Главная // Актуальные документы // ГОСТ (Государственный стандарт)СПРАВКА
Источник публикации
М.: Стандартинформ, 2021
Примечание к документу
Текст данного документа приведен с учетом
поправки, опубликованной в "ИУС", N 4, 2021.
Документ
введен в действие с 01.09.2021.
Название документа
"ГОСТ 34684-2020. Межгосударственный стандарт. Наноматериалы. Нанотрубки углеродные одностенные. Технические требования и методы испытаний"
(введен в действие Приказом Росстандарта от 23.12.2020 N 1370-ст)
"ГОСТ 34684-2020. Межгосударственный стандарт. Наноматериалы. Нанотрубки углеродные одностенные. Технические требования и методы испытаний"
(введен в действие Приказом Росстандарта от 23.12.2020 N 1370-ст)
агентства по техническому
регулированию и метрологии
от 23 декабря 2020 г. N 1370-ст
МЕЖГОСУДАРСТВЕННЫЙ СТАНДАРТ
НАНОМАТЕРИАЛЫ
НАНОТРУБКИ УГЛЕРОДНЫЕ ОДНОСТЕННЫЕ
ТЕХНИЧЕСКИЕ ТРЕБОВАНИЯ И МЕТОДЫ ИСПЫТАНИЙ
Nanomaterials. Single-wall carbon nanotubes.
Technical requirements and test methods
ГОСТ 34684-2020
| | ИС МЕГАНОРМ: примечание. В официальном тексте документа, видимо, допущена опечатка: код 07.120 в МКС отсутствует. | |
07.120
Дата введения
1 сентября 2021 года
Цели, основные принципы и общие правила проведения работ по межгосударственной стандартизации установлены
ГОСТ 1.0 "Межгосударственная система стандартизации. Основные положения" и
ГОСТ 1.2 "Межгосударственная система стандартизации. Стандарты межгосударственные, правила и рекомендации по межгосударственной стандартизации. Правила разработки, принятия, обновления и отмены"
1 ПОДГОТОВЛЕН Автономной некоммерческой организацией в области технического регулирования и аккредитации "ВНИИНМАШ" (АНО "ВНИИНМАШ")
2 ВНЕСЕН Межгосударственным техническим комитетом по стандартизации МТК 441 "Нанотехнологии"
3 ПРИНЯТ Межгосударственным советом по стандартизации, метрологии и сертификации (протокол от 30 октября 2020 г. N 134-П)
За принятие проголосовали:
Краткое наименование страны по МК (ИСО 3166) 004-97 | Код страны по МК (ИСО 3166) 004-97 | Сокращенное наименование национального органа по стандартизации |
Армения | AM | ЗАО "Национальный орган по стандартизации и метрологии" Республики Армения |
Беларусь | BY | Госстандарт Республики Беларусь |
Россия | RU | Росстандарт |
Таджикистан | TJ | Таджикстандарт |
Узбекистан | UZ | Узстандарт |
4
Приказом Федерального агентства по техническому регулированию и метрологии от 23 декабря 2020 г. N 1370-ст межгосударственный стандарт ГОСТ 34684-2020 введен в действие в качестве национального стандарта Российской Федерации с 1 сентября 2021 г.
--------------------------------
<*>
Приказом Федерального агентства по техническому регулированию и метрологии от 23 декабря 2020 г. N 1370-ст
ГОСТ Р 58356-2019 отменен с 1 сентября 2021 г.
6 ВВЕДЕН ВПЕРВЫЕ
Информация о введении в действие (прекращении действия) настоящего стандарта и изменений к нему на территории указанных выше государств публикуется в указателях национальных стандартов, издаваемых в этих государствах, а также в сети Интернет на сайтах соответствующих национальных органов по стандартизации.
В случае пересмотра, изменения или отмены настоящего стандарта соответствующая информация будет опубликована на официальном интернет-сайте Межгосударственного совета по стандартизации, метрологии и сертификации в каталоге "Межгосударственные стандарты"
Настоящий стандарт распространяется на материалы (далее - наноматериалы), содержащие одностенные углеродные нанотрубки (далее - ОУНТ), полученные химическим осаждением из газовой фазы, электродуговым или лазерным испарением, и устанавливает технические требования и методы испытаний.
Наноматериалы ОУНТ используют для изготовления модификаторов, применяемых при производстве полимерных композиционных и лакокрасочных материалов, катодов и электродов, металл-углеродных материалов, катализаторов и др.
В настоящем стандарте использованы нормативные ссылки на следующие межгосударственные стандарты:
ГОСТ 1770 (ИСО 1042-83, ИСО 4788-80) Посуда мерная лабораторная стеклянная. Цилиндры, мензурки, колбы, пробирки. Общие технические условия
ГОСТ 3022 Водород технический. Технические условия
ГОСТ 6709 Вода дистиллированная. Технические условия
ГОСТ 9147 Посуда и оборудование лабораторные фарфоровые. Технические условия
ГОСТ 9284 Стекла предметные для микропрепаратов. Технические условия
ГОСТ 9293 (ИСО 2435-73) Азот газообразный и жидкий. Технические условия
ГОСТ 10157 Аргон газообразный и жидкий. Технические условия
ГОСТ 19126 Инструменты медицинские металлические. Общие технические условия
ГОСТ 20298 Смолы ионообменные. Катиониты. Технические условия
ГОСТ 21241 Пинцеты медицинские. Общие технические требования и методы испытаний
ГОСТ 25336 Посуда и оборудование лабораторные стеклянные. Типы, основные параметры и размеры
ГОСТ 29027 Влагомеры твердых и сыпучих веществ. Общие технические требования и методы испытаний
ГОСТ 31340-2013 Предупредительная маркировка химической продукции. Общие требования
ГОСТ OIML R 76-1 Государственная система обеспечения единства измерений. Весы неавтоматического действия. Метрологические и технические требования. Испытания
ГОСТ ISO/TS 80004-6 Нанотехнологии. Часть 6. Характеристики нанообъектов и методы их определения. Термины и определения
ГОСТ ISO/TS 80004-8 Нанотехнологии. Часть 8. Процессы нанотехнологического производства. Термины и определения
Примечание - При пользовании настоящим стандартом целесообразно проверить действие ссылочных стандартов и классификаторов на официальном интернет-сайте Межгосударственного совета по стандартизации, метрологии и сертификации (www.easc.by) или по указателям национальных стандартов, издаваемым в государствах, указанных в предисловии, или на официальных сайтах соответствующих национальных органов по стандартизации. Если на документ дана недатированная ссылка, то следует использовать документ, действующий на текущий момент, с учетом всех внесенных в него изменений. Если заменен ссылочный документ, на который дана датированная ссылка, то следует использовать указанную версию этого документа. Если после принятия настоящего стандарта в ссылочный документ, на который дана датированная ссылка, внесено изменение, затрагивающее положение, на которое дана ссылка, то это положение применяется без учета данного изменения. Если ссылочный документ отменен без замены, то положение, в котором дана ссылка на него, применяется в части, не затрагивающей эту ссылку.
3.1 адсорбат: Адсорбированное вещество, находящееся на поверхности или в объеме пор адсорбента.
3.2 адсорбент: Твердое тело или жидкость, избирательно поглощающие из окружающей среды газы, пары или растворенные вещества.
3.3 адсорбтив: Вещество, обладающее свойством адсорбироваться, но еще не адсорбированное.
3.4 мезопористый материал: Пористый материал, структура которого характеризуется наличием полостей или каналов диаметром от 2 до 50 нм.
3.5 микропористый материал: Пористый материал, структура которого характеризуется наличием полостей или каналов диаметром менее 2 нм.
4.1 Наноматериалы ОУНТ должны соответствовать требованиям настоящего стандарта, нормативных и технических документов на наноматериалы ОУНТ конкретных марок.
4.2 Наноматериалы изготавливают в виде гранул и/или порошка черного цвета, содержащих отдельные ОУНТ и их пучки. В наноматериале ОУНТ не допускается видимых посторонних включений.
4.3 По физико-химическим показателям наноматериалы ОУНТ должны соответствовать требованиям и нормам, указанным в таблице 1.
Таблица 1
Наименование показателя | Норма |
1 Массовая доля углерода, %, не менее, включая: | 85,00 |
- массовую долю ОУНТ, %, не менее | 80,00 |
- массовую долю других углеродных примесей, %, не более | 5,00 |
2 Массовая доля неорганических примесей, %, не более | 15,00 |
3 Средний наружный диаметр ОУНТ, нм, не более | 3 |
4 Удельная поверхность, м2/г, не менее | 300,00 |
5 Влажность, %, не более | 5 |
Примечание - Значения по показателям 1, 2 указаны в пересчете на сухое вещество |
4.4 Значения насыпной плотности указывают в нормативном документе на наноматериал ОУНТ конкретной марки.
4.5 Дополнительные требования и показатели, не предусмотренные настоящим стандартом, должны быть указаны в нормативном документе на наноматериал ОУНТ конкретной марки.
4.6 При изготовлении наноматериалов ОУНТ используют углеродосодержащее сырье и в зависимости от способа изготовления - водород по
ГОСТ 3022, инертный газ и металлосодержащий катализатор - в соответствии с нормативным документом на наноматериал ОУНТ конкретной марки.
4.7 Упаковка и транспортная тара должны соответствовать требованиям
ГОСТ 26319. Для упаковки наноматериала ОУНТ применяют потребительскую и транспортную тару, которые обеспечивают сохранность продукции, безопасность для жизни и здоровья населения, защиту окружающей природной среды.
Вид, тип, вместимость тары должны быть указаны в нормативном документе на наноматериал ОУНТ конкретной марки.
4.8 Транспортная маркировка - в соответствии с требованиями
ГОСТ 14192 с нанесением манипуляционных знаков "Беречь от влаги", "Верх", предупредительной маркировки по ГОСТ 31340-2013 (
пункты 5.14 -
5.20), сигнальное слово "Осторожно".
На каждую упаковочную единицу должна быть наклеена этикетка, содержащая следующие сведения:
- наименование продукции и марку;
- наименование и адрес организации-изготовителя;
- обозначение настоящего стандарта;
- номер партии;
- дату изготовления;
- массу нетто, г;
- состав продукции;
- класс опасности при применении;
- срок хранения;
- условия хранения, транспортирования.
Информацию на этикетку наносят типографским или иным способом, обеспечивающим четкое прочтение на протяжении всего срока хранения. Текст маркировки должен быть на русском языке.
5.1.1 Отбор и подготовку проб выполняют в соответствии с нормативными документами или технологической документацией на наноматериал ОУНТ конкретной марки или стандартом/методикой на конкретный метод испытания.
5.1.2 Испытания проводят в помещении при температуре 15 °C - 35 °C, относительной влажности воздуха не более 40% и нормальном атмосферном давлении.
5.1.3 Отбор и подготовку проб выполняют в вытяжном шкафу или перчаточном боксе, при этом следует руководствоваться требованиями безопасности, изложенными в нормативных или технических документах на наноматериал ОУНТ конкретной марки. Помещения, в которых проводят испытания, должны быть оборудованы общей приточной и местной вытяжной вентиляцией. Оборудование и коммуникации должны быть герметизированы. Персонал должен быть обеспечен средствами индивидуальной защиты.
5.1.4 Средства измерений должны быть поверены, а испытательное оборудование аттестовано в установленном порядке.
5.1.5 При использовании в качестве реактивов опасных (едких, токсичных) веществ следует руководствоваться требованиями безопасности, изложенными в нормативных документах или технической документации на эти реактивы.
5.2 Контроль внешнего вида и цвета
Внешний вид и цвет наноматериала ОУНТ контролируют визуально без применения увеличительных приборов при дневном отраженном свете сравнением с образцом, утвержденным в установленном порядке.
5.3 Определение массовой доли углерода и неорганических примесей
Массовую долю углерода и неорганических примесей определяют методом определения зольности.
Допускается применять другие методы, обеспечивающие достоверность результатов и заданную точность измерений, например метод термогравиметрии (ТГ) (см.
[1]), масс-спектрометрии с индуктивно-связанной плазмой (см.
[2]) или масс-спектрометрии вторичных ионов по нормативным документам государств, принявших настоящий стандарт <*>.
--------------------------------
<*> В Российской Федерации действует ФР.1.27.2009.07630 "Методика измерений. Углеродные нанотрубки. Измерения концентрации примесных элементов металлов методом вторично-ионной масс-спектрометрии".
5.3.1 Метод определения зольности
5.3.1.1 Сущность метода
Сущность метода заключается в окислении пробы наноматериала ОУНТ на воздухе в тигле при температуре 950 °C, охлаждении в эксикаторе, взвешивании и вычислении массовой доли неорганических примесей.
Перед проведением испытания определяют влажность пробы по
5.7.
5.3.1.2 Оборудование
Для проведения испытания применяют:
- весы лабораторные, класса точности I по
ГОСТ OIML R 76-1 с диапазоном измерения от 0,001 до 50 г;
- электропечь лабораторную камерную, обеспечивающую температуру 900 °C - 950 °C;
- шкаф электрический сушильный, отрегулированный на температуру (105 +/- 2) °C;
- эксикатор по
ГОСТ 25336, заполненный твердым осушителем.
Допускается использование другого оборудования с аналогичными техническими и метрологическими характеристиками.
5.3.1.3 Проведение испытания
Тигель промывают без применения моющих средств и высушивают в печи при 140 °C в течение 24 ч. Затем помещают в эксикатор, охлаждают до 20 °C - 26 °C и взвешивают, результат взвешивания записывают с точностью до четвертого десятичного знака. В тигель помещают пробу массой 0,4 - 0,6 г и взвешивают с точностью до четвертого десятичного знака.
Тигель с испытуемой пробой помещают в печь, устанавливают температуру 950 °C, скорость нагрева 7 - 8 °C/мин и расход воздуха 200 дм3/ч. Время выдержки пробы при температуре 950 °C составляет 180 мин.
После остывания печи до 150 °C тигель с золой охлаждают в эксикаторе до 20 °C - 26 °C и взвешивают с точностью до четвертого десятичного знака.
5.3.1.4 Обработка результатов
Массовую долю неорганических примесей X, %, вычисляют по формуле

, (1)
где m0 - масса тигля, г;
m1 - масса тигля с пробой до окисления, г;
m2 - масса тигля с пробой после окисления, г.
Неорганические примеси в основном состоят из частиц металлосодержащих катализаторов группы железа (далее - металлические частицы), используемых при изготовлении наноматериала ОУНТ и образующих оксиды в процессе испытания. При обработке результатов испытания следует учитывать увеличение массы неорганического вещества при образовании оксидов. Поэтому при расчете массовой доли неорганических примесей вносят соответствующую поправку, значение которой должно быть установлено в нормативном документе на наноматериал ОУНТ конкретной марки.
За результат испытания принимают среднее арифметическое значение результатов трех параллельных определений, расхождение между которыми не более 20% среднего значения. Результат испытания записывают с точностью до второго десятичного знака.
Пределы допускаемой относительной погрешности результатов измерений должны быть не более +/- 10% при доверительной вероятности P = 0,95.
Массовую долю углерода XC, %, вычисляют по формуле
XC = 100 - X·K, (2)
где K - корректирующий коэффициент, значение которого должно быть установлено в нормативном документе на наноматериал ОУНТ конкретной марки.
5.4 Определение массовой доли ОУНТ и наличия других углеродных примесей
5.4.1 Наноматериал ОУНТ может содержать несколько аллотропных форм углерода, включая ОУНТ, углеродные оболочки металлических частиц и др. Наличие в пробе нескольких форм углерода может быть определено методом ТГ по числу пиков на ТГ-кривой (см.
[1]). При этом следует учитывать, что невозможно определить наличие и количество какой-нибудь конкретной формы углерода по определенному пику на ТГ-кривой.
5.4.2 Наличие ОУНТ и других углеродных примесей (углеродные оболочки металлических частиц и другие аллотропные формы углерода) определяют методом просвечивающей электронной микроскопии (метод ПЭМ) (см.
[3]).
Допускается применять другие методы, обеспечивающие достоверность результатов и заданную точность измерений, например методы растровой электронной микроскопии и энергодисперсионной рентгеновской спектроскопии (см.
[4]).
5.4.3 Сущность метода
Сущность метода заключается в визуальном определении наличия в наноматериале ОУНТ, углеродных оболочек металлических частиц и других аллотропных форм углерода по результатам анализа полученных изображений и вычислении массовой доли ОУНТ.
5.4.4 Обработка результатов
По полученным изображениям визуально определяют наличие ОУНТ, углеродных оболочек металлических частиц и других аллотропных форм углерода в наноматериале. В протоколе регистрируют все обнаруженные формы углерода.
Массовую долю углеродных оболочек металлических частиц XCS, %, вычисляют по формуле

, (3)
где

- отношение массы углеродных оболочек
mC к массе металлических частиц
mFe, вычисляемое по формуле

, (4)
где d - диаметр металлической частицы, нм;
n - число углеродных оболочек металлической частицы;

- расстояние между углеродными оболочками металлической частицы, равное 0,34 нм;

- плотность углерода, г/см
3;

- плотность железа, г/см
3.
Диаметры и число оболочек металлических частиц должны быть установлены в нормативном документе на наноматериал ОУНТ конкретной марки.
Массовую долю ОУНТ XОУНТ, %, вычисляют по формуле
XОУНТ = 100 - X·K - XCS. (5)
Металлические частицы диаметром 10 нм и более имеют три и более углеродных оболочек, крупные частицы диаметром 100 нм и более имеют значительное число углеродных оболочек. При этом доля углеродных оболочек составляет менее 10% массы самой частицы и не влияет на увеличение общей доли аллотропных форм углерода.
Массовую долю ОУНТ, углеродных оболочек металлических частиц и других аллотропных форм углерода в процентах регистрируют в протоколе.
Результатом испытания является среднее арифметическое значение трех определений, расхождение между которыми не более 20% среднего значения. Результат испытания записывают с точностью до второго десятичного знака.
Пределы допускаемой относительной погрешности результатов измерений должны быть не более +/- 10% при доверительной вероятности P = 0,95.
5.5 Определение среднего наружного диаметра ОУНТ
Средний наружный диаметр ОУНТ определяют методом абсорбционной спектроскопии в ультрафиолетовой, видимой и ближней инфракрасной областях спектра (далее - спектроскопия УФ-Вид-БИК).
Допускается применять другие методы, обеспечивающие достоверность результатов и заданную точность измерений, например методы сканирующей зондовой микроскопии по нормативным документам государств, принявших настоящий стандарт <*>, растровой электронной микроскопии по нормативным документам государств, принявших настоящий стандарт <**> и др.
--------------------------------
<*> В Российской Федерации действует ФР.1.27.2010.07626 "Методика измерений. Геометрические размеры углеродных нанотрубок. Измерения диаметров методом сканирующей зондовой микроскопии".
<**> В Российской Федерации действует ФР.1.31.2010.07627 "Методика измерений. Геометрические размеры углеродных нанотрубок. Измерения диаметров методом растровой электронной микроскопии".
5.5.1 Сущность метода
Сущность метода заключается в измерении интенсивности прошедшего через испытуемую пробу излучения в ультрафиолетовой, видимой и ближней инфракрасной областях спектра с последующим вычислением значений определяемых показателей.
Методом спектроскопии УФ-Вид-БИК измеряют межзонные оптические переходы наноматериалов ОУНТ и на основе полученных результатов вычисляют средний наружный диаметр ОУНТ.
Наноматериал содержит ОУНТ с полупроводниковыми и проводниковыми свойствами. С целью определения среднего наружного диаметра ОУНТ методом спектроскопии УФ-Вид-БИК для регистрируемых межзонных оптических переходов (далее - пиков поглощения) используют обозначение S11 и S22 (для первого и второго межзонных переходов ОУНТ с полупроводниковыми свойствами соответственно) и M11 (для первого межзонного перехода ОУНТ с проводниковыми свойствами).
5.5.2 Оборудование и материалы
Для проведения испытания применяют:
- спектрофотометр точностью +/- 0,02 единиц, обеспечивающий регистрацию спектров в диапазоне длин волн от 190 до 3500 нм.
- компьютер персональный с соответствующим программным обеспечением для обработки и хранения результатов испытания;
- диспергатор ультразвуковой;
- весы лабораторные, класса точности I по
ГОСТ OIML R 76-1 с диапазоном измерения от 0,001 до 50 г;
- печь муфельную, обеспечивающую постоянные температуру и скорость нагрева;
- воду бидистиллированную (вода дистиллированная по
ГОСТ 6709, перегнанная повторно или пропущенная через колонку с ионообменной смолой по
ГОСТ 20298);
- поверхностно-активные вещества (ПАВ) в соответствии с нормативным документом на наноматериал ОУНТ конкретной марки;
Допускается применять аппаратуру с аналогичными техническими и метрологическими характеристиками, а также реактивы, по качеству, не хуже указанному в настоящем стандарте.
5.5.3 Подготовка проб
Готовят раствор из бидистиллированной воды и ПАВ концентрацией 0,2% ПАВ объемом 10 см3. Раствор готовят в ультразвуковом диспергаторе в течение 15 - 20 мин до полного растворения ПАВ.
В 10 мл приготовленного раствора шпателем или пинцетом добавляют навеску наноматериала ОУНТ массой 0,001 - 0,002 г. Далее испытуемую пробу обрабатывают ультразвуком (в ультразвуковом диспергаторе при частоте ультразвука 40 кГц и мощности 2 кВт·ч/дм3) в течение 7 мин при температуре не выше 25 °C. Полученную суспензию методом распыления наносят на предметное стекло. Концентрация испытуемой пробы должна обеспечивать наличие не менее одного максимума поглощения в пределах от 0,5 до 1,5 единиц.
Затем стекло с испытуемой пробой помещают в муфельную печь и прогревают при температуре 300 °C в течение 15 мин в инертной атмосфере (аргона или азота).
5.5.4 Проведение испытания
Спектрофотометр включают за 30 мин до начала испытаний и выводят на режим измерений в соответствии с инструкцией по эксплуатации. В зависимости от модели прибора допускается предварительно не прогревать спектрофотометр.
Стекло с испытуемой пробой помещают и закрепляют в кюветном отсеке спектрофотометра. Спектрофотометр устанавливают на сканирование со скоростью, соответствующей разрешению требуемой длины волны и спектру испытуемой пробы, установленному в нормативном документе на наноматериал ОУНТ конкретной марки. Измерения выполняют при температуре 25 °C.
В качестве образца сравнения используют чистое предметное стекло.
Испытания проводят на трех пробах наноматериала ОУНТ поочередно.
5.5.5 Обработка результатов
Регистрацию и обработку результатов испытания наноматериала ОУНТ осуществляют в автоматическом режиме с использованием соответствующего программного обеспечения.
Регистрируют спектр испытуемой пробы и для последующих вычислений выполняют перерасчет в энергию фотонов (эВ). Регистрируют пики поглощения S11, S22 и M11. По графику зависимости положений пиков поглощения от диаметров ОУНТ (графику Катауры) вычисляют наружный диаметр ОУНТ для каждого пика поглощения. Средний наружный диаметр ОУНТ вычисляют как среднее арифметическое значение при пиках поглощения S11, S22 и M11.
Результатом испытания является среднее арифметическое значение трех определений, расхождение между которыми не более 20% среднего значения.
Пределы допускаемой относительной погрешности результатов измерений должны быть не более +/- 10% при доверительной вероятности P = 0,95.
5.6 Определение удельной поверхности
Удельную поверхность наноматериала ОУНТ определяют многоточечным методом Брунауэра, Эммета и Теллера (далее - метод БЭТ) по изотермам адсорбции газа (азота или аргона).
Дополнительные сведения о применении метода БЭТ для определения удельной поверхности наноматериала ОУНТ приведены в
приложении А.
5.6.1 Сущность метода
Сущность метода заключается в определении количества газа-адсорбтива, которое необходимо для покрытия внешней и внутренней поверхностей пор наноматериала ОУНТ монослоем газа-адсорбата. Количество газа-адсорбата вычисляют по изотерме адсорбции с применением уравнения БЭТ.
5.6.2 Оборудование и материалы
Для проведения испытания применяют:
- анализатор удельной поверхности и размеров пор (далее - прибор);
- компьютер персональный с соответствующим программным обеспечением для обработки и хранения результатов испытаний;
- весы лабораторные, класса точности I по
ГОСТ OIML R 76-1 с диапазоном измерения от 0,001 до 50 г;
- гелий газообразный, в. ч.
Прибор должен состоять из системы приготовления газовой смеси заданного состава, блока адсорбера, устройства, обеспечивающего нагревание испытуемой пробы и проведение процесса измерений без механических перемещений составных частей, анализатора (датчика теплопроводности), системы автоматического регулирования температуры и продолжительности нагрева пробы до получения результатов измерений с заданной точностью, системы обработки информации для вычисления удельной поверхности по полученным результатам испытания.
Допускается применять аппаратуру с аналогичными техническими и метрологическими характеристиками, а также реактивы, по качеству, не хуже указанному в настоящем стандарте.
5.6.3 Подготовка к испытанию
Приготовление и дозирование рабочей газовой смеси выполняют в автоматическом режиме в приборе. Состав и концентрация рабочей газовой смеси должны быть установлены в нормативном документе на наноматериал ОУНТ конкретной марки.
5.6.4 Проведение испытания
Навеску испытуемой пробы массой не менее 0,01 г помещают в прибор, затем его включают и выводят на режим в соответствии с инструкцией по эксплуатации. В случае если в процессе испытаний установлено, что значение удельной поверхности пробы не соответствует диапазону измерений применяемого прибора, то массу пробы следует изменить соответствующим образом.
Перед началом испытаний выполняют дегазацию испытуемой пробы, удаляя с ее поверхности адсорбированные компоненты путем дегазации, при этом не допуская необратимых изменений поверхности. Максимально допустимую температуру для пробы определяют методом ТГ (см.
[1]) или проводят одну дегазацию при температуре (300 +/- 10) °C и временами выдержек 30 мин, 1, 2, 3 ч и т.д. до тех пор, пока измеренные значения удельной поверхности не станут постоянными. Дегазацию пробы микропористого наноматериала ОУНТ выполняют в вакууме при постоянном остаточном давлении менее 1 Па в течение 15 - 30 мин. Дегазацию пробы мезопористого наноматериала выполняют путем продувки пробы инертным газом при температуре 300 °C, время выдержки определяют по времени, в течение которого масса пробы становится неизменной, а изотермы воспроизводимыми.
После дегазации пробу взвешивают, результат регистрируют в протоколе. Пробу помещают в прибор, устанавливают заданный состав рабочей газовой смеси и проводят испытание.
Температуру адсорбтива постоянно контролируют в процессе испытания. Давление насыщения адсорбтива при температуре измерения определяют измерением давления конденсации адсорбтива в измерительной или дополнительной ячейке или измерением температуры в термостате.
Измеряют количество адсорбированного газа при заданном давлении, когда адсорбат и адсорбтив находятся в равновесии, и получают изотерму адсорбции - зависимость количества газа-адсорбата от относительного давления. Изотерму адсорбции получают одним или несколькими методами: объемным (волюметрическим), гравиметрическим, калориметрическим, спектроскопическим, тепловой десорбцией (метод газа-носителя).
Испытания проводят на трех пробах поочередно.
5.6.5 Обработка результатов
Обработку результатов осуществляют в автоматическом режиме с использованием соответствующего программного обеспечения или выполняют самостоятельно по полученным значениям с применением уравнения БЭТ (см.
А.3).
В протоколе испытаний регистрируют средние арифметические значения удельной поверхности, полученные в результате трех параллельных определений.
5.7 Определение влажности
5.7.1 Сущность метода заключается в прямом измерении влажности пробы путем определения потери массы при высушивании.
Для определения потери массы при высушивании измеряют массу пробы до и после процесса сушки. Разницу между этими значениями используют для определения влажности в процентах.
5.7.2 Оборудование и материалы
Для проведения испытания применяют:
- анализатор влажности по ГОСТ 29027 с пределом абсолютной погрешности взвешивания не более 0,005 г, с ценой наименьшего разряда в единицах влажности 0,01% и точностью поддержания температуры в диапазоне +/- 5 °C от заданного значения;
- кисть плоскую с натуральной щетиной 20 мм;
- чашку из алюминиевой фольги.
5.7.3 Проведение испытания
Устанавливают значение температуры сушки 130 °C и режим сушки до постоянной массы. Устанавливают вывод на электронное табло анализатора результата измерения влажности в процентном отношении. Чашку из алюминиевой фольги размещают на держателе чаши, обнуляют массу чашки и помещают в нее ровным слоем пробу массой не менее 1 г. После стабилизации показаний массы пробы на электронном табло закрывают крышку анализатора влажности. Проводят измерения в течение 15 мин. Анализатор может автоматически завершить процесс сушки, если проба приобретает постоянную массу, то есть, несмотря на нагревание, потеря массы пробы более не происходит.
5.7.4 Обработка результатов
Обработку результатов осуществляют в автоматическом режиме с выдачей на табло анализатора влажности результата измерения.
Полученные результаты с точностью 0,01% и указанием времени сушки регистрируют в протоколе.
5.8 Определение насыпной плотности
5.8.1 Сущность метода
Сущность метода заключается в взвешивании определенного объема наноматериала ОУНТ и расчета насыпной плотности.
5.8.2 Оборудование
Для проведения испытания применяют:
- весы лабораторные, класса точности I по
ГОСТ OIML R 76-1 с диапазоном измерения от 0,001 до 50 г.
5.8.3 Проведение испытания
Наноматериал ОУНТ насыпают по центру мерного цилиндра высотой не более 50 мм от его верхнего края до образования над цилиндром конуса. Выравнивают поверхность наноматериала с верхним краем цилиндра. Для этого одним движением шпателя, держа его горизонтально, срезают избыток наноматериала ОУНТ перпендикулярно к краю цилиндра. Цилиндр взвешивают и определяют массу наноматериала ОУНТ с точностью до 1,0 г.
5.8.4 Обработка результатов
Насыпную плотность

, г/см
3, вычисляют по формуле

, (6)
где m - масса наноматериала ОУНТ, г;
V - вместимость мерного цилиндра, см3.
За результат испытания принимают среднее арифметическое значение результатов трех параллельных определений, полученных одним исполнителем, расхождение между которыми не более 20%.
Результат испытания записывают с точностью до второго десятичного знака.
Пределы допускаемой относительной погрешности результатов измерений должны быть не более +/- 10% при доверительной вероятности P = 0,95.
(справочное)
ДОПОЛНИТЕЛЬНЫЕ СВЕДЕНИЯ О ПРИМЕНЕНИИ МЕТОДА БЭТ
ДЛЯ ОПРЕДЕЛЕНИЯ УДЕЛЬНОЙ ПОВЕРХНОСТИ НАНОМАТЕРИАЛА ОУНТ
А.1 Выбор газа-адсорбтива
В качестве газа-адсорбтива допускается применять любой газ, который обладает свойством сорбироваться на поверхности твердого тела, взаимодействуя с ним только слабыми связями (силами Ван-дер-Ваальса), и десорбироваться при уменьшении давления при той же температуре.
Наиболее часто в качестве газа-адсорбтива используют азот с температурой кипения 77,35 К или аргон с температурой кипения 87,27 К. Аргон является хорошим адсорбтивом при определении удельной поверхности (особенно графитированного углерода и гидроксилированной оксидной поверхности), так как аргон химически инертный одноатомный газ с молекулами с симметричной электронной оболочкой, в отличие от азота. Азот и аргон обладают схожей поляризуемостью.
А.2 Дегазация микропористого наноматериала ОУНТ
Для микропористых наноматериалов ОУНТ рекомендуется выполнять дегазацию пробы ступенчатым нагревом в вакууме с контролем давления. Сначала выполняют откачку воздуха до значения давления менее 1 Па, затем начинают нагрев пробы. При температуре выше 100 °C происходит интенсивная десорбция компонентов с поверхности пробы. После того, как давление превысит 10 Па, нагрев пробы прекращают и выдерживают изотерму до тех пор, пока давление снова не упадет до значения 1 Па и ниже. Затем нагрев пробы возобновляют с постоянным контролем значений давления до достижения заданных значений температуры дегазации.
Примечание - Применение такого способа дегазации испытуемой пробы позволяет избежать структурных изменений в микропористых материалах, которые могут быть вызваны бурной десорбцией и большим потоком пара из микропор, а также предотвратить унос тонкодисперсного наноматериала ОУНТ из зоны измерения, вызванный бурным выделением газа.
А.3 Обработка результатов (см.
[5])
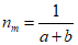
Результатом измерений является изотерма адсорбции, представляющая собой зависимость количества адсорбата na от значений относительного давления адсорбтива p/p0. Количество адсорбата в монослое (далее - емкость монослоя) nm вычисляют с применением уравнения БЭТ

, (А.1)
где C - энергетическая константа уравнения БЭТ, характеризующая энергию взаимодействия адсорбата с поверхностью пробы (далее - константа);
na - количество газа-адсорбата, моль/г;
p0 - давление насыщения адсорбтива, Па;
p - давление, Па;
nm - емкость монослоя, моль/г.
Строят график БЭТ, представляющий собой часть изотермы адсорбции, в координатах БЭТ, в котором по оси ординат отложены значения (
p/
p0)/[
na(1 -
p/
p0)], а по оси абсцисс значения
p/
p0. График должен иметь вид прямой линии (
y =
a +
bx) в правильно выбранном диапазоне значений относительного давления (примерно от 0,05 до 0,3). Одно из условий выбора диапазона значений относительного давления - пересечение линии с осью ординат должно давать положительную отсечку
a. Для вычислений следует выбирать не менее четырех точек диапазона БЭТ. Наклон

и отсечку на оси ординат
a = 1/(
nmC) рассчитывают с помощью линейной регрессии.
Значение емкости монослоя nm, моль/г, вычисляют по формуле

. (А.2)
Значение константы C вычисляют по формуле

. (А.3)
Удельную поверхность наноматериала ОУНТ aS, м2/г, вычисляют по формуле
aS = nmamNa, (А.4)
где am - площадь площадки, занимаемой одной молекулой адсорбата, нм2 (для азота при температуре 77,35 К рекомендуемое значение 0,162 нм2, для аргона при температуре 87,27 К рекомендуемое значение 0,142 нм2);
Na - число Авогадро, количество молекул в одном моле вещества, равное 6,022·1023 моль-1.
А.4 Особенности применения метода БЭТ для микропористых материалов (см.
[6])
При наличии микропор в наноматериале иногда невозможно разделить процессы монослойной/многослойной адсорбции и объемного заполнения микропор, так как заполнение микропор полностью происходит, как правило, при значениях p/p0 менее 0,1. В этом случае диапазон линейности графика БЭТ определить сложно, при этом график сильно сдвинут влево. При определении значения nm для уравнения БЭТ должны быть выполнены следующие основные условия:
- значение константы C должно быть положительным, то есть отрицательная отсечка на оси ординат графика БЭТ является признаком того, что диапазон БЭТ выбран неверно;
- применение уравнения БЭТ должно быть ограничено диапазоном точек, где значение n(1 - p/p0) непрерывно растет с увеличением значений p/p0;
- значение p/p0, соответствующее значению nm, должно находиться внутри выбранного диапазона БЭТ.
При этом следует учитывать, что выполнение данных условий не является подтверждением правильности определения емкости монослоя, а значения удельной поверхности микропористых материалов, полученные методом БЭТ, могут быть недостоверными. В этом случае удельную поверхность следует рассматривать, как условную удельную поверхность, являющуюся одной из характеристик пористых и дисперсных материалов.
| ISO/TS 11308:2011 | Nanotechnologies. Characterization of single-wall carbon nanotubes using thermogravimetric analysis (Нанотехнологии. Определение характеристик одностенных углеродных нанотрубок с использованием метода термогравиметрического анализа) |
| ISO/TS 13278:2017 | Nanotechnologies. Determination of elemental impurities in samples of carbon nanotubes using inductively coupled plasma mass spectrometry (Нанотехнологии. Определение элементных примесей в образцах углеродных нанотрубок с применением масс-спектрометрии с индуктивно-связанной плазмой) |
| ISO/TS 10797:2012 | Nanotechnologies. Characterization of single-wall carbon nanotubes using transmission electron microscopy (Нанотехнологии. Определение характеристик одностенных углеродных нанотрубок с использованием метода просвечивающей электронной микроскопии) |
| ISO/TS 10798:2011 | Nanotechnologies. Charaterization of single-wall carbon nanotubes using scanning electron microscopy and energy dispersive X-ray spectrometry analysis (Нанотехнологии. Определение характеристик одностенных углеродных нанотрубок методами растровой электронной микроскопии и энергодисперсионной рентгеновской спектроскопии) |
| Грег С., Синг К. Адсорбция, удельная поверхность, пористость: Пер. с англ. 2-е изд. - М.: Мир, 1984. - 306 с. |
| Matthias Thommes, Katsumi Kaneko, Alexander V. Neimark, James P. Olivier, Francisco Rodriguez-Reinoso, Jean Rouquerol and Kenneth S.W. Sing. Physisorption of gases, with special reference to the evaluation of surface area and pore size distribution (IUPAC Technical Report), Pure Appl. Chem. 2015; 87(9 - 10): 1051 - 1069. |
| | ИС МЕГАНОРМ: примечание. В официальном тексте документа, видимо, допущена опечатка: код 07.120 в МКС отсутствует. | |
УДК 661.666:006.354 | 07.120 |
Ключевые слова: наноматериал, нанотрубки углеродные одностенные, технические требования, методы определения |