Главная // Актуальные документы // ГОСТ (Государственный стандарт)СПРАВКА
Источник публикации
М.: ФГБУ "РСТ", 2022
Примечание к документу
Текст данного документа приведен с учетом
поправки, опубликованной в "ИУС", N 2, 2023.
Документ
введен в действие с 01.07.2023.
Название документа
"ГОСТ 5698-2022. Межгосударственный стандарт. Изделия хлебобулочные. Методы определения массовой доли пищевой соли"
(введен в действие Приказом Росстандарта от 30.05.2022 N 417-ст)
"ГОСТ 5698-2022. Межгосударственный стандарт. Изделия хлебобулочные. Методы определения массовой доли пищевой соли"
(введен в действие Приказом Росстандарта от 30.05.2022 N 417-ст)
по техническому регулированию
и метрологии
от 30 мая 2022 г. N 417-ст
МЕЖГОСУДАРСТВЕННЫЙ СТАНДАРТ
ИЗДЕЛИЯ ХЛЕБОБУЛОЧНЫЕ
МЕТОДЫ ОПРЕДЕЛЕНИЯ МАССОВОЙ ДОЛИ ПИЩЕВОЙ СОЛИ
Bakers products. Methods for determination
of salt mass fraction
ГОСТ 5698-2022
Дата введения
1 июля 2023 года
Цели, основные принципы и общие правила проведения работ по межгосударственной стандартизации установлены
ГОСТ 1.0 "Межгосударственная система стандартизации. Основные положения" и
ГОСТ 1.2 "Межгосударственная система стандартизации. Стандарты межгосударственные, правила и рекомендации по межгосударственной стандартизации. Правила разработки, принятия, обновления и отмены"
1 РАЗРАБОТАН Федеральным государственным автономным научным учреждением "Научно-исследовательский институт хлебопекарной промышленности" (ФГАНУ НИИХП)
2 ВНЕСЕН Межгосударственным техническим комитетом МТК 003 "Хлебобулочные и макаронные изделия"
3 ПРИНЯТ Межгосударственным советом по стандартизации, метрологии и сертификации (протокол от 29 апреля 2022 г. N 150-П)
За принятие проголосовали:
Краткое наименование страны по МК (ИСО 3166) 004-97 | Код страны по МК (ИСО 3166) 004-97 | Сокращенное наименование национального органа по стандартизации |
Азербайджан | AZ | Азстандарт |
Армения | AM | ЗАО "Национальный орган по стандартизации и метрологии" Республики Армения |
Беларусь | BY | Госстандарт Республики Беларусь |
Казахстан | KZ | Госстандарт Республики Казахстан |
Киргизия | KG | Кыргызстандарт |
Молдова | MD | Институт стандартизации Молдовы |
Россия | RU | Росстандарт |
Узбекистан | UZ | Узстандарт |
4
Приказом Федерального агентства по техническому регулированию и метрологии от 30 мая 2022 г. N 417-ст межгосударственный стандарт ГОСТ 5698-2022 введен в действие в качестве национального стандарта Российской Федерации с 1 июля 2023 г.
Информация о введении в действие (прекращении действия) настоящего стандарта и изменений к нему на территории указанных выше государств публикуется в указателях национальных стандартов, издаваемых в этих государствах, а также в сети Интернет на сайтах соответствующих национальных органов по стандартизации.
В случае пересмотра, изменения или отмены настоящего стандарта соответствующая информация будет опубликована на официальном интернет-сайте Межгосударственного совета по стандартизации, метрологии и сертификации в каталоге "Межгосударственные стандарты"
Настоящий стандарт распространяется на хлебобулочные изделия, в том числе с пониженной влажностью и специализированные, и устанавливает аргентометрический и меркурометрический методы определения массовой доли пищевой соли.
При разногласиях по результатам испытаний определение массовой доли пищевой соли проводят аргентометрическим методом.
В настоящем стандарте использованы нормативные ссылки на следующие межгосударственные стандарты:
ГОСТ 8.234-2013 Государственная система обеспечения единства измерений. Меры вместимости стеклянные. Методика поверки
ГОСТ 12.0.004 Система стандартов безопасности труда. Организация обучения безопасности труда. Общие положения
ГОСТ 12.1.004 Система стандартов безопасности труда. Пожарная безопасность. Общие требования
ГОСТ 12.1.005 Система стандартов безопасности труда. Общие санитарно-гигиенические требования к воздуху рабочей зоны
ГОСТ 12.1.007 Система стандартов безопасности труда. Вредные вещества. Классификация и общие требования безопасности
ГОСТ 12.1.019 Система стандартов безопасности труда. Электробезопасность. Общие требования и номенклатура видов защиты
ГОСТ 12.2.007.0 Система стандартов безопасности труда. Изделия электротехнические. Общие требования безопасности
ГОСТ 12.4.009 Система стандартов безопасности труда. Пожарная техника для защиты объектов. Основные виды. Размещение и обслуживание
ГОСТ 12.4.021 Система стандартов безопасности труда. Системы вентиляционные. Общие требования
ГОСТ 12.4.103 Система стандартов безопасности труда. Одежда специальная защитная, средства индивидуальной защиты ног и рук. Классификация
ГОСТ 686 Сухари армейские. Технические условия
ГОСТ 1277 Реактивы. Серебро азотнокислое. Технические условия
ГОСТ 1770 (ИСО 1042-83, ИСО 4788-80) Посуда мерная лабораторная стеклянная. Цилиндры, мензурки, колбы, пробирки. Общие технические условия
ГОСТ 3774 Реактивы. Аммоний хромовокислый. Технические условия
ГОСТ 4233 Реактивы. Натрий хлористый. Технические условия
ГОСТ 4453 Уголь активный осветляющий древесный порошкообразный. Технические условия
ГОСТ 4459 Реактивы. Калий хромовокислый. Технические условия
ГОСТ 4461 Реактивы. Кислота азотная. Технические условия
ГОСТ 4520 Реактивы. Ртуть (II) азотнокислая 1-водная. Технические условия
ГОСТ 4919.1-2016 Реактивы и особо чистые вещества. Методы приготовления растворов индикаторов
ГОСТ 5556 Вата медицинская гигроскопическая. Технические условия
ГОСТ 5667 Хлеб и хлебобулочные изделия. Правила приемки, методы отбора образцов, методы определения органолептических показателей и массы изделий
ГОСТ 5962 Спирт этиловый ректификованный из пищевого сырья. Технические условия
ГОСТ 6709 <*> Вода дистиллированная. Технические условия
--------------------------------
ГОСТ 7128 Изделия хлебобулочные бараночные. Технические условия
ГОСТ 8494 Сухари сдобные пшеничные. Технические условия
ГОСТ 9846 Хлебцы хрустящие. Технические условия
ГОСТ 11270 Изделия хлебобулочные. Соломка. Общие технические условия
ГОСТ 12026 Бумага фильтровальная лабораторная. Технические условия
ГОСТ 21094 Хлеб и хлебобулочные изделия. Метод определения влажности
ГОСТ 25336 Посуда и оборудование лабораторные стеклянные. Типы, основные параметры и размеры
ГОСТ 25794.1-83 Реактивы. Методы приготовления титрованных растворов для кислотно-основного титрования
ГОСТ 25794.3-83 Реактивы. Методы приготовления титрованных растворов для титрования осаждением, неводного титрования и других методов
ГОСТ 27752 Часы электронно-механические кварцевые настольные, настенные и часы-будильники. Общие технические условия
ГОСТ 29169 (ИСО 648-77) Посуда лабораторная стеклянная. Пипетки с одной отметкой
ГОСТ 29251 (ИСО 385-1-84) Посуда лабораторная стеклянная. Бюретки. Часть 1. Общие требования
ГОСТ 32677 Изделия хлебобулочные. Термины и определения
ГОСТ ИСО 5725-6 <**> Точность (правильность и прецизионность) методов и результатов измерений. Часть 6. Использование значений точности на практике
--------------------------------
ГОСТ OIML R 76-1 Государственная система обеспечения единства измерений. Весы неавтоматического действия. Часть 1. Метрологические и технические требования. Испытания
Примечание - При пользовании настоящим стандартом целесообразно проверить действие ссылочных стандартов и классификаторов на официальном интернет-сайте Межгосударственного совета по стандартизации, метрологии и сертификации (www.easc.by) или по указателям национальных стандартов, издаваемым в государствах, указанных в
предисловии, или на официальных сайтах соответствующих национальных органов по стандартизации. Если на документ дана недатированная ссылка, то следует использовать документ, действующий на текущий момент, с учетом всех внесенных в него изменений. Если заменен ссылочный документ, на который дана датированная ссылка, то следует использовать указанную версию этого документа. Если после принятия настоящего стандарта в ссылочный документ, на который дана датированная ссылка, внесено изменение, затрагивающее положение, на которое дана ссылка, то это положение применяется без учета данного изменения. Если ссылочный документ отменен без замены, то положение, в котором дана ссылка на него, применяется в части, не затрагивающей эту ссылку.
В настоящем стандарте применены термины по
[1] -
[3] и
ГОСТ 32677, а также следующий термин с соответствующим определением:
3.1 массовая доля пищевой соли в хлебобулочных изделиях: Массовая доля пищевой соли, определенная в соответствии с методами, изложенными в настоящем стандарте, и выраженная в процентах в пересчете на 100 г целого изделия или на сухое вещество мякиша изделия.
4 Условия проведения измерений
4.1 При подготовке и проведении измерений в помещении лаборатории должны быть соблюдены следующие условия:
- температура окружающей среды .............................................. | (20 +/- 5) °C; |
- относительная влажность воздуха ............................................ | не более 85%. |
4.2 Все операции с реактивами следует проводить в вытяжном шкафу.
4.3 Подготовку химической посуды проводят в соответствии с ГОСТ 8.234-2013
(приложение Б).
4.4 К выполнению измерений и обработке результатов допускаются лица, имеющие профессиональное техническое образование, освоившие настоящую методику, прошедшие обучение работе с приборами и соответствующий инструктаж по технике безопасности.
5 Требования безопасности
5.1 При выполнении измерений необходимо соблюдать требования техники безопасности при работе с химическими реактивами по
ГОСТ 12.1.007 и
ГОСТ 12.4.103.
5.2 Помещение, в котором проводят измерения, должно быть оборудовано общей приточно-вытяжной вентиляцией по
ГОСТ 12.4.021.
5.4 Организация обучения персонала безопасности труда - по
ГОСТ 12.0.004.
5.5 Помещение лаборатории должно соответствовать требованиям пожарной безопасности по
ГОСТ 12.1.004 и иметь средства пожаротушения по
ГОСТ 12.4.009.
5.6 Содержание вредных веществ в воздухе рабочей зоны не должно превышать норм, установленных
ГОСТ 12.1.005.
6 Отбор и подготовка проб
6.1 Отбор проб
6.1.1 Отбор проб хлебобулочных изделий - по
ГОСТ 5667.
6.1.2 Отбор проб бараночных изделий - по
ГОСТ 7128.
6.1.3 Отбор проб сдобных пшеничных сухарей - по
ГОСТ 8494.
6.1.4 Отбор проб армейских сухарей - по
ГОСТ 686.
6.1.5 Отбор проб хрустящих хлебцев - по
ГОСТ 9846.
6.1.6 Отбор проб соломки, хлебных палочек - по
ГОСТ 11270.
6.2 Оборудование, применяемое для пробоподготовки
Весы неавтоматического действия по
ГОСТ OIML R 76-1 высокого (II) класса точности с действительной ценой деления 0,01 г и нагрузкой не менее 200 г.
Измельчитель ножевой электрический.
Разделочная доска и нож.
Терка.
Шпатель.
6.3 Подготовка проб мякиша
6.3.1 Пробы мякиша используют для определения массовой доли пищевой соли как показателя качества на соответствие требованиям нормативных документов, в соответствии с которыми изготовлены и могут быть идентифицированы изделия.
В изделиях, у которых мякиш отграничен и легко отделяется от корки (булки, халы, сдобы, за исключением слойки), анализируют только мякиш. В остальных изделиях (баранки, сухари, хлебцы, соломки, хлебные палочки, слойки) анализируют образец с коркой. Масса выделенной пробы должна быть не менее 40 г.
6.3.2 При подготовке к проведению измерений штучных хлебобулочных изделий массой менее 0,2 кг берут целые изделия, с которых срезают корки и подкорочный слой общей толщиной от 8 до 12 мм.
6.3.3 При подготовке к проведению измерений весовых и штучных хлебобулочных изделий массой более 0,2 кг:
- целые изделия разрезают пополам по ширине и от одной половины отрезают кусок (ломоть) массой от 70 до 110 г, у которого срезают корки и подкорочный слой общей толщиной от 8 до 12 мм;
- у образца, состоящего из части изделия, срезают с одной стороны заветренную часть, делая сплошной срез толщиной от 4 до 8 мм. Затем отрезают кусок массой от 70 до 110 г, у которого срезают корки и подкорочный слой общей толщиной от 8 до 12 мм.
6.3.4 При подготовке к проведению измерений изделий в нарезке из середины изделия берут несколько кусков (ломтей) общей массой от 70 до 110 г, срезают корки и подкорочный слой общей толщиной от 8 до 12 мм.
6.3.5 При подготовке к проведению измерений хлебобулочных изделий пониженной влажности (бараночных изделий, сухарей и т.д.) из изделий удаляют включения и отделку, кроме изделий с маком и орехами, и измельчают на терке, в ступке или на ножевом электрическом измельчителе.
6.3.6 Из кусков (ломтей) изделий, подготовленных по
6.3.2 -
6.3.5, удаляют все включения и поверхностную отделку (кроме изделий по
6.3.5), затем их измельчают в крошку на ножевом электрическом измельчителе, перемешивают и сразу же берут навески.
6.4 Подготовка проб целого изделия
6.4.1 Пробы целого изделия используют для определения массовой доли пищевой соли как показателя пищевой ценности готовой продукции.
Из хлебобулочных изделий, не удаляя включения (повидло, варенье, изюм и т.п.), вырезают часть, в которой соотношение между количеством мякиша, корки, начинки (цукатов, винограда сушеного, орехов, мака и др.), отделки, обсыпки и т.д. такое же, как и в целом изделии. Масса выделенной пробы должна быть не менее 50 г.
6.4.2 Весовые и штучные хлебобулочные изделия массой менее 0,1 кг анализируют целиком.
6.4.3 При подготовке к проведению измерений весовых и штучных хлебобулочных изделий массой от 0,1 до 0,2 кг:
- целые изделия разрезают на две равные части;
- у образцов, состоящих из части изделия, предварительно срезают заветренную часть, делая сплошной срез толщиной от 4 до 8 мм (у изделий в нарезке отделяют первый заветренный ломоть). Оставшуюся часть изделия разрезают на две равные части.
6.4.4 При подготовке к проведению измерений весовых и штучных хлебобулочных изделий массой более 0,2 кг:
- целые изделия разрезают на четыре равные части. Из хлебобулочных изделий округлой формы допускается вырезать сегмент массой не менее 50 г таким образом, чтобы линии среза проходили через центр изделия;
- у образцов, состоящих из части изделия, предварительно срезают заветренную часть, делая сплошной срез толщиной от 4 до 8 мм (у нарезанных изделий отделяют первый заветренный ломоть). Оставшуюся часть изделия разрезают на четыре равные части.
6.4.5 Порядок подготовки к проведению измерений выпеченных штучных хлебобулочных изделий специфической формы устанавливают в нормативных документах на эти изделия.
6.4.6 При подготовке к проведению измерений хлебобулочных изделий пониженной влажности (бараночных изделий, сухарей и т.д.) хлебобулочные изделия вместе с включениями и отделкой измельчают на терке, в ступке или на ножевом электрическом измельчителе.
6.4.7 Куски изделий, подготовленные по
6.4.2 -
6.4.6, не удаляя включения (повидло, варенье, изюм и т.п.) и поверхностную отделку (обсыпку сахаром и т.п.), измельчают в крошку на ножевом электрическом измельчителе, перемешивают и сразу же берут навески.
Начинку и крупные включения рекомендуется предварительно отделять от основы, измельчать отдельно и соединять с измельченной основой. Однородные начинки допускается предварительно не измельчать.
7 Аргентометрический метод
7.1 Сущность метода
Метод основан на титровании хлоридов, выделенных из хлебобулочных изделий, азотнокислым серебром в присутствии хромовокислого калия или хромовокислого аммония в качестве индикатора и последующем пересчете на хлорид натрия. Метод применяют при возникновении разногласий в оценке качества.
7.2 Средства измерений, вспомогательное оборудование, посуда, материалы и реактивы
Весы неавтоматического действия по
ГОСТ OIML R 76-1 высокого (2) класса точности с действительной ценой деления 0,01 г и нагрузкой не менее 200 г.
Часы электронно-механические кварцевые по
ГОСТ 27752.
Сито с размером ячеек от 0,1 до 0,6 мм.
Мешалка магнитная.
Палочка с резиновым наконечником.
Колбы мерные 1 (2а)-100 (250)-2 по
ГОСТ 1770.
Стаканчики для взвешивания СН-34/12 (45/13) по
ГОСТ 25336.
Калий хромовокислый по
ГОСТ 4459, ч.д.а., х.ч.
Аммоний хромовокислый по ГОСТ 3774, ч.д.а.
Серебро азотнокислое по
ГОСТ 1277, ч.д.а., х.ч.
Стандарт-титр (фиксанал) серебра азотнокислого молярной концентрации c (AgNO3) = 0,1 моль/дм3 (0,1 н).
Уголь активный (активированный) по
ГОСТ 4453.
Допускается применение других средств измерений, вспомогательного оборудования и посуды, не уступающих вышеуказанным по метрологическим и техническим характеристикам и обеспечивающих необходимую точность измерения, а также реактивов и материалов по качеству не ниже вышеуказанных.
7.3 Подготовка к измерению
7.3.1 Приготовление раствора хромовокислого калия массовой концентрации c (K2CrO4) = 100 г/дм3
В стакане вместимостью 150 см3 растворяют 10,00 г хромовокислого калия в 40 - 50 см3 дистиллированной воды и количественно переносят в мерную колбу вместимостью 100 см3. Доводят объем до метки дистиллированной водой и перемешивают.
Раствор хранят в стеклянной химической посуде в условиях по
4.1 - не более 6 мес.
7.3.2 Приготовление раствора хромовокислого аммония массовой концентрации c ((NH4)2CrO4) = 100 г/дм3
В стакане вместимостью 150 см3 растворяют 10,00 г хромовокислого аммония в 40 - 50 см3 дистиллированной воды и количественно переносят в мерную колбу вместимостью 100 см3. Доводят объем до метки дистиллированной водой и перемешивают.
Раствор хранят в стеклянной химической посуде в условиях по
4.1 - не более 6 мес.
7.3.3 Приготовление раствора азотнокислого серебра молярной концентрации c (AgNO3) = 0,05 моль/дм3 (0,05 н)
Приготовление раствора азотнокислого серебра молярной концентрации
c (AgNO
3) = 0,05 моль/дм
3 (0,05 н) проводят по ГОСТ 25794.3-83
(пункт 2.2) или из стандарт-титра (фиксанала) азотнокислого серебра молярной концентрации
c (AgNO
3) = 0,1 моль/дм
3 (0,1 н), используя при этом мерную колбу вместимостью в два раза больше, чем указано в инструкции к стандарт-титру.
Раствор хранят в химической посуде, изготовленной из темного стекла, в защищенном от света месте в условиях по
4.1 - не более 12 мес.
Коэффициент поправки раствора азотнокислого серебра допускается проверять один раз в месяц по ГОСТ 25794.3-83
(пункт 2.2).
7.4 Проведение измерений
Измельченную навеску анализируемого изделия массой 25 г, взвешенную с точностью до 0,01 г, для мякиша (см.
6.3) или для целого изделия (см.
6.4), количественно переносят в мерную колбу вместимостью 250 см
3. В колбу осторожно опускают якорь магнитной мешалки и прибавляют от 50 до 150 см
3 дистиллированной воды. Предварительно на колбе (заполнив ее дистиллированной водой) делают отметку, соответствующую увеличению объема сверх 250 см
3 за счет якоря магнитной мешалки (метка N 2). Включив магнитную мешалку, доводят объем дистиллированной водой до метки N 2 и продолжают перемешивание в течение 30 мин. Обороты магнитной мешалки подбирают так, чтобы перемешивание происходило по всему объему колбы.
По истечении 30 мин отключают магнитную мешалку, доводят объем дистиллированной водой до метки N 2 (при необходимости), включают мешалку на 1 мин, отключают мешалку и оставляют стоять на 10 мин. Затем осторожно сливают надосадочную жидкость через сито в стакан вместимостью 400 см
3 или фильтруют в колбу через небольшой ватный тампон, вложенный в узкую часть воронки. Пипеткой отбирают по 25 см
3 фильтрата в две конические колбы вместимостью 100 см
3, добавляют в каждую колбу по 1 см
3 раствора хромовокислого калия, приготовленного по
7.3.1, или хромовокислого аммония, приготовленного по
7.3.2, и титруют из бюретки раствором азотнокислого серебра, приготовленного по
7.3.3, до перехода окраски из желто-зеленой в красновато-бурую.
Переход окраски может быть недостаточно четким, например при титровании фильтрата, полученного из ржаного хлеба. В этом случае перед началом экстракции к навеске анализируемого изделия в мерную колбу дополнительно прибавляют от 2,0 до 2,5 г активированного угля, затем экстрагируют, доводят до метки и отделяют фильтрат, как описано выше. Фильтрат центрифугируют 10 мин, сливают надосадочную жидкость, отбирают пипеткой по 25 см3 в две конические колбы и анализируют, как описано выше.
7.5 Обработка результатов
7.5.1 Массовую долю пищевой соли X1, %, в целом изделии вычисляют по формуле

, (1)
где V - объем 0,05 н раствора азотнокислого серебра, израсходованный на титрование, см3;
K - коэффициент поправки 0,05 н раствора азотнокислого серебра;
0,00292 - масса хлористого натрия, соответствующая 1 см3 точно 0,05 н раствора азотнокислого серебра, г/см3;
100 - коэффициент пересчета результата в проценты;
V1 - объем водной вытяжки анализируемого изделия (см.
6.4), взятый для титрования, см
3;
m - масса навески анализируемого изделия (см.
6.4), г;
250 - объем мерной колбы, см3;
W - массовая доля влаги в целом изделии, определенная по
ГОСТ 21094;
1,5 - усредненный эмпирический коэффициент, учитывающий переход растворимых веществ из анализируемого изделия в водную вытяжку и соответствующее изменение ее плотности.
7.5.2 Массовую долю пищевой соли X2, %, в мякише изделия в пересчете на сухое вещество вычисляют по формуле

(2)
где
V2 - объем водной вытяжки анализируемого изделия (см.
6.3), взятый для титрования, см
3;
m - масса навески анализируемого изделия (см.
6.3), г;
W - массовая доля влаги в мякише изделия, определенная по
ГОСТ 21094.
Вычисление проводят с точностью до 0,1%.
За окончательный результат принимают среднее арифметическое двух параллельных определений для одного фильтрата, допускаемые расхождения между которыми не должны превышать значения, указанного в
таблице 1.
8 Меркурометрический метод
8.1 Сущность метода
Метод основан на титровании хлоридов азотнокислой ртутью в присутствии индикатора дифенилкарбазида или дифенилкарбазона.
8.2 Средства измерений, вспомогательное оборудование, посуда, материалы и реактивы
Весы неавтоматического действия по
ГОСТ OIML R 76-1 высокого (II) класса точности с действительной ценой деления 0,01 г и нагрузкой не менее 200 г.
Часы электронно-механические кварцевые по
ГОСТ 27752.
Шкаф сушильный, обеспечивающий поддержание температуры сушки от 20 °C до 200 °C с погрешностью +/- 2 °C.
Сито с размером ячеек от 0,1 до 0,6 мм.
Мешалка магнитная.
Палочка с резиновым наконечником.
Колбы мерные 1 (2а)-250 (1000)-2 по
ГОСТ 1770.
Стаканчики для взвешивания СН-34/12 (45/13) по
ГОСТ 25336.
Палочка стеклянная оплавленная.
Ртуть (II) азотнокислая 1-водная по
ГОСТ 4520, ч.д.а., х.ч.
Дифенилкарбазид (индикатор).
Дифенилкарбазон (индикатор).
Стандарт-титр (фиксанал) натрия хлористого молярной концентрации c (NaCl) = 0,1 моль/дм3 (0,1 н).
Допускается применение других средств измерений, вспомогательных оборудования и посуды, не уступающих вышеуказанным по метрологическим и техническим характеристикам и обеспечивающих необходимую точность измерения, а также реактивов и материалов по качеству не ниже вышеуказанных.
8.3 Подготовка к измерению
8.3.1 Приготовление раствора дифенилкарбазида
Спиртовой раствор дифенилкарбазида готовят по ГОСТ 4919.1-2016
(таблица 4, пункт 4). Раствор годен к применению через 5 сут.
Раствор хранят в химической посуде, изготовленной из темного стекла, в холодильнике - не более 4 мес.
8.3.2 Приготовление раствора дифенилкарбазона
Раствор хранят в химической посуде, изготовленной из темного стекла, в холодильнике - не более 1 мес.
8.3.3 Приготовление раствора азотнокислой ртути (II) c (1/2 Hg(NO3)2) = 0,05 моль/дм3 (0,05 н)
В стакане вместимостью 100 см3 растворяют 8,57 г 1-водной азотнокислой ртути (II) (Hg(NO3)2 x H2O) в 7 - 10 см3 концентрированной азотной кислоты. Раствор количественно переносят в мерную колбу вместимостью 1 дм3, доводят дистиллированной водой до метки, хорошо перемешивают и фильтруют через бумажный складчатый фильтр. Раствор пригоден для использования через 2 сут.
Раствор хранят в химической посуде, изготовленной из темного стекла, в условиях по
4.1 - не более 6 мес.
Коэффициент поправки раствора азотнокислой ртути (II) допускается проверять один раз в два месяца по
8.3.4.
8.3.4 Определение коэффициента поправки растворов азотнокислой ртути (II)
8.3.4.1 Определение проводят в трех повторностях. За окончательный результат принимают среднее арифметическое трех параллельных определений.
8.3.4.2 Определение коэффициента поправки по навеске хлористого натрия
Взвешивают с записью результата до третьего десятичного знака от 0,4 до 0,5 г химически чистого, дважды перекристаллизованного и высушенного до постоянной массы при температуре от 140 °C до 150 °C хлористого натрия, количественно переносят в мерную колбу вместимостью 250 см
3, доводят дистиллированной водой до метки и тщательно перемешивают. Затем в коническую колбу вместимостью 100 см
3 пипеткой отбирают 25 см
3 полученного раствора, добавляют две капли азотной кислоты и 2 см
3 раствора дифенилкарбазида, приготовленного по
8.3.1, или 1 см
3 раствора дифенилкарбазона, приготовленного по
8.3.2, хорошо перемешивают и титруют из бюретки раствором азотнокислой ртути (II), приготовленной по
8.3.3, до появления фиолетового (фиолетово-розового) окрашивания, не исчезающего в течение 30 с.
Коэффициент поправки K вычисляют по формуле

, (3)
где m - масса навески хлористого натрия, г;
25 - объем раствора хлористого натрия, взятый для титрования, см3;
V - объем 0,05 н раствора азотнокислой ртути (II), израсходованного на титрование, см3;
0,00292 - масса хлористого натрия, соответствующая 1 см3 точно 0,05 н раствора азотнокислой ртути (II), г/см3;
250 - объем мерной колбы с раствором хлористого натрия, см3.
Вычисление проводят с точностью до четвертого знака после запятой.
8.3.4.3 Определение коэффициента поправки по раствору установочного вещества хлористого натрия молярной концентрации c (NaCl) = 0,1 моль/дм3 (0,1 н), приготовленного из стандарт-титра (фиксанала)
Из стандарт-титра хлористого натрия в соответствии с инструкцией готовят раствор молярной концентрации
c (NaCl) = 0,1 моль/дм
3 (0,1 н). В коническую колбу вместимостью 100 см
3 пипеткой отбирают 10 см
3 приготовленного раствора, прибавляют 10 см
3 дистиллированной воды, две капли азотной кислоты и 2 см
3 раствора дифенилкарбазида, приготовленного по
8.3.1, или 1 см
3 раствора дифенилкарбазона, приготовленного по
8.3.2, хорошо перемешивают и титруют из бюретки раствором азотнокислой ртути (II), приготовленной по
8.3.3, до появления фиолетового (фиолетово-розового) окрашивания, не исчезающего в течение 30 с.
Коэффициент поправки K вычисляют по формуле

, (4)
где V" - объем 0,1 н раствора хлористого натрия, взятый для титрования, см3;
K1 - коэффициент поправки 0,1 н раствора хлористого натрия, определяют по ГОСТ 25794.1-83 (
пункты 1.8 -
1.12);
2 - коэффициент для пересчета объема 0,1 н раствора в 0,05 н;
V - объем 0,05 н раствора азотнокислой ртути (II), израсходованный на титрование, см3.
Вычисление проводят с точностью до четвертого знака после запятой.
8.4 Проведение измерений
Измельченную навеску анализируемого изделия массой 25 г, взвешенную с точностью до 0,01 г, для мякиша (см.
6.3) или для целого изделия (см.
6.4), количественно переносят в мерную колбу вместимостью 250 см
3. В колбу осторожно опускают якорь магнитной мешалки и прибавляют от 50 до 150 см
3 дистиллированной воды. Предварительно на колбе (заполнив ее дистиллированной водой) делают отметку, соответствующую увеличению объема сверх 250 см
3 за счет якоря магнитной мешалки (метка N 2). Включив магнитную мешалку, доводят объем дистиллированной водой до метки N 2 и продолжают перемешивание в течение 30 мин. Обороты магнитной мешалки подбирают так, чтобы перемешивание происходило по всему объему колбы.
По истечении 30 мин отключают магнитную мешалку, доводят объем дистиллированной водой до метки N 2 (при необходимости), включают мешалку на 1 мин, отключают мешалку и оставляют стоять на 10 мин. Затем осторожно сливают надосадочную жидкость через сито в стакан вместимостью 400 см
3 или фильтруют в колбу через небольшой ватный тампон, вложенный в узкую часть воронки. Пипеткой отбирают по 25 см
3 фильтрата в две конические колбы вместимостью 100 см
3, в каждую добавляют по две капли азотной кислоты и 2 см
3 раствора дифенилкарбазида, приготовленного по
8.3.1, или 1 см
3 раствора дифенилкарбазона, приготовленного по
8.3.2, хорошо перемешивают и титруют из бюретки раствором азотнокислой ртути (II), приготовленной по
8.3.3 до появления фиолетового (фиолетово-розового) окрашивания, не исчезающего в течение 30 с.
8.5 Обработка результатов
8.5.1 Массовую долю пищевой соли X3, %, в целом изделии вычисляют по формуле

, (5)
где V2 - объем 0,05 н раствора азотнокислой ртути (II), израсходованный на титрование, см3;
K - коэффициент поправки раствора азотнокислой ртути (II);
0,00292 - масса хлористого натрия, соответствующая 1 см3 точно 0,05 н раствора азотнокислой ртути (II), г/см3;
100 - коэффициент пересчета результата в проценты;
V3 - объем водной вытяжки изделия (см.
6.4), взятый для титрования, см
3;
m - масса навески анализируемого изделия (см.
6.4), г;
250 - объем мерной колбы, см3;
W - массовая доля влаги в целом изделии, определенная по
ГОСТ 21094;
1,5 - усредненный эмпирический коэффициент, учитывающий переход растворимых веществ из анализируемого изделия в водную вытяжку и соответствующее изменение ее плотности.
8.5.2 Массовую долю пищевой соли X4, %, в мякише изделия в пересчете на сухое вещество вычисляют по формуле

(6)
где
V4 - объем водной вытяжки анализируемого изделия (см.
6.3), взятый для титрования, см
3;
m - масса навески анализируемого изделия (см.
6.3), г.
Вычисление проводят с точностью до 0,1%.
За окончательный результат принимают среднее арифметическое двух параллельных определений для одного фильтрата, допускаемые расхождения между которыми не должны превышать значения, указанного в
таблице 1.
9 Метрологические характеристики
9.1 Метрологические характеристики методов в относительных величинах при доверительной вероятности
P = 95% приведены в
таблице 1.
Наименование определяемого показателя | Диапазон измерения массовой доли соли, % |  , %, стандартное отклонение повторяемости | r, %, предел повторяемости |  , % стандартное отклонение воспроизводимости | R, %, предел воспроизводимости | +/- U, %, расширенная неопределенность при коэффициенте охвата k = 2 |
Массовая доля соли (аргентометрический, меркурометрический метод) | От 0,1 до 2,7 включ. | 2,7 | 7,6 | 3,8 | 10,6 | 7,4 |
Расширенная неопределенность при коэффициенте охвата k = 2 соответствует значению относительной погрешности метода при доверительной вероятности P = 95%.
9.2 Проверка приемлемости результатов измерений, полученных в условиях повторяемости
За окончательный результат принимают среднеарифметическое значение результатов двух параллельных измерений, выполненных одним оператором при анализе одной и той же пробы и в минимально возможный промежуток времени, если расхождение между ними не превышает предела повторяемости при доверительной вероятности
P = 95% (см.
таблицу 1), если выполняется условие

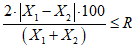
, (7)
где X1, X2 - результаты параллельных определений, %;
r - значение предела повторяемости (см.
таблицу 1), %.
При превышении предела повторяемости измерение повторяют. При повторном превышении указанного норматива выясняют причины, приводящие к неудовлетворительным результатам, и устраняют их.
9.3 Проверка приемлемости результатов измерений, полученных в условиях воспроизводимости
Расхождение между результатами измерений, выполненных в условиях воспроизводимости (разное время, разные операторы, разные лаборатории), не должно превышать предела воспроизводимости
R (см.
таблицу 1) согласно условию

, (8)
где X1, X2 - результаты измерений, выполненных в условиях воспроизводимости (разное время, разные операторы, разные лаборатории), %;
R - предел воспроизводимости (см.
таблицу 1), %.
9.4 Оформление результатов
Результат измерений представляют в виде

, % при доверительной вероятности
P = 95%, (9)
где

- среднее арифметическое результатов определений, признанных приемлемыми, %;
U - значение показателя расширенной неопределенности измерений при коэффициенте охвата k = 2, %.
10 Контроль точности результатов измерений
10.1 Контроль стабильности результатов измерений рекомендуется проводить в соответствии с ГОСТ ИСО 5725-6 с использованием карт Шухарта, либо в соответствии с
рекомендациями [4].
| | О безопасности пищевой продукции |
[2] | | Пищевая продукция в части ее маркировки |
| | О безопасности отдельных видов специализированной пищевой продукции, в том числе диетического лечебного и диетического профилактического питания |
| | Государственная система обеспечения единства измерений. Внутренний контроль качества результатов количественного химического анализа |
УДК 664.41:664.662:664.661.1:006.354 | |
Ключевые слова: хлебобулочные изделия, массовая доля пищевой соли, аргентометрический метод, меркурометрический метод |