Главная // Актуальные документы // ГОСТ (Государственный стандарт)СПРАВКА
Источник публикации
М.: ИПК Издательство стандартов, 1997
Примечание к документу
С 1 июля 2003 года до вступления в силу технических регламентов акты федеральных органов исполнительной власти в сфере технического регулирования носят рекомендательный характер и подлежат обязательному исполнению только в части, соответствующей целям, указанным в
пункте 1 статьи 46 Федерального закона от 27.12.2002 N 184-ФЗ.
Ограничение срока действия снято по Протоколу N 3-93 Межгосударственного совета по стандартизации, метрологии и сертификации ("ИУС", N 5-6, 1993).
Документ
введен в действие с 1 января 1989 года.
Взамен ГОСТ 11270-65.
Название документа
"ГОСТ 11270-88. Государственный стандарт Союза ССР. Изделия хлебобулочные. Соломка. Общие технические условия"
(утв. и введен в действие Постановлением Госстандарта СССР от 20.05.1988 N 1410)
(ред. от 12.10.1995)
"ГОСТ 11270-88. Государственный стандарт Союза ССР. Изделия хлебобулочные. Соломка. Общие технические условия"
(утв. и введен в действие Постановлением Госстандарта СССР от 20.05.1988 N 1410)
(ред. от 12.10.1995)
Утвержден и введен в действие
Постановлением Государственного
комитета СССР по стандартам
от 20 мая 1988 г. N 1410
ГОСУДАРСТВЕННЫЙ СТАНДАРТ СОЮЗА ССР
ИЗДЕЛИЯ ХЛЕБОБУЛОЧНЫЕ. СОЛОМКА
ОБЩИЕ ТЕХНИЧЕСКИЕ УСЛОВИЯ
Bakery products. Solomka. General specifications
ГОСТ 11270-88
| | Список изменяющих документов (в ред. Изменения N 1, утв. в феврале 1991 г., Изменения N 2, утв. в октябре 1995 г.) | |
Дата введения
1 января 1989 года
1. РАЗРАБОТАН И ВНЕСЕН Министерством хлебопродуктов СССР
РАЗРАБОТЧИКИ: Р.В. Кузьминский, канд. техн. наук; И.П. Петраш, канд. биол. наук; М.И. Васин, канд. техн. наук; С.Р. Тулякова
2. УТВЕРЖДЕН И ВВЕДЕН В ДЕЙСТВИЕ Постановлением Государственного комитета СССР по стандартам от 20.05.88 N 1410
Изменение N 2 ГОСТ 11270-88 принято Межгосударственным Советом по стандартизации, метрологии и сертификации (протокол N 8 от 12.10.95)
За принятие проголосовали:
Наименование государства | Наименование национального органа стандартизации |
Республика Беларусь | Белстандарт |
Республика Казахстан | Госстандарт Республики Казахстан |
Киргизская Республика | Киргизстандарт |
Республика Молдова | Молдовастандарт |
Российская Федерация | Госстандарт России |
Республика Таджикистан | Таджикский государственный центр по стандартизации, метрологии и сертификации |
Туркменистан | Туркменглавгосинспекция |
Украина | Госстандарт Украины |
3. Срок первой проверки - 1992 г. Периодичность проверки - 5 лет
4. ВЗАМЕН ГОСТ 11270-65
5. ССЫЛОЧНЫЕ НОРМАТИВНО-ТЕХНИЧЕСКИЕ ДОКУМЕНТЫ
Обозначение НТД, на который дана ссылка | Номер пункта, подпункта |
| |
| |
| |
| |
| | ИС МЕГАНОРМ: примечание. Взамен ГОСТ 8494-73 Постановлением Госстандарта России от 05.11.1996 N 609 с 1 августа 1997 года введен в действие ГОСТ 8494-96. | |
|
ГОСТ 8494-73 | |
| |
| |
| |
| | ИС МЕГАНОРМ: примечание. ГОСТ 13512-91 утратил силу на территории Российской Федерации с 1 марта 2012 года в связи с введением в действие ГОСТ Р 54463-2011 (Приказ Росстандарта от 30.09.2011 N 433-ст). | |
|
ГОСТ 13512-91 | |
| |
| |
| |
ГОСТ 26930-86 - ГОСТ 26934-86 | |
6. Ограничение срока действия снято по Протоколу N 3-93 Межгосударственного Совета по стандартизации, метрологии и сертификации (ИУС 5-6-93)
7. ПЕРЕИЗДАНИЕ (июль 1997 г.) с Изменениями N 1, 2, утвержденными в феврале 1991 г., октябре 1995 г. (ИУС 5-91, 8-96)
Настоящий стандарт распространяется на соломку, изготовляемую из пшеничной муки первого и высшего сортов с добавлением сахара, жира и другого сырья.
Обязательные требования, направленные на обеспечение безопасности для жизни и здоровья населения, изложены в
пп. 1.1.4,
1.1.5,
1.1.7,
2.7,
3.10.
(Измененная редакция, Изм. N 1, 2).
1. ТЕХНИЧЕСКИЕ ТРЕБОВАНИЯ
1.1. Характеристики
1.1а. Каждая партия крупы должна сопровождаться сертификатом или заявлением-декларацией с обязательным указанием в них показателей и норм качества крупы, обеспечивающих безопасность данного вида продукции для жизни и здоровья населения.
(Введен дополнительно, Изм. N 2).
1.1.1. Соломка должна изготовляться в соответствии с требованиями настоящего стандарта с соблюдением санитарных правил, рецептур и технологических инструкций, утвержденных в установленном порядке.
Соломка выпускается следующих видов: сладкая, соленая, киевская и ванильная.
(Измененная редакция, Изм. N 2).
1.1.2. По органолептическим показателям соломка должна соответствовать требованиям, указанным в табл. 1.
Таблица 1
Наименование показателя | Характеристика |
Внешний вид | |
форма | Палочки округленной формы. Допускается наличие небольшой плоскости на стороне, лежавшей на поду; слабая изогнутость палочек; наличие слипшихся палочек в количестве не более 2% по массе в ящике и не более 4% в коробке, пачке |
размеры | Толщина не более 8 мм, длина от 10 до 28 см. Соломка длиной менее 10 см считается ломом, менее 2 см - крошкой |
поверхность | Глянцевитая, без вздутий и трещин, допускается слегка шероховатая и рифленая. Для соленой соломки - посыпана солью, для киевской соломки - с включением мака |
Цвет | От светло-желтого до светло-коричневого |
Массовая доля лома и крошки | Массовая доля лома в ящиках - не более 10%, в коробках и пачках - не более 7%, для киевской соломки допускается до 8%; массовая доля крошки в ящиках - не более 5%, в коробках и пачках - не более 2%, для ванильной соломки допускается до 3%, для киевской - до 5% |
Внутреннее состояние | Хорошо пропеченная, без признаков непромеса |
Хрупкость | Хрупкая, легко разламывающаяся |
Вкус | Свойственный данному виду изделий, без постороннего привкуса; для соломки сладкой - сладковатый, киевской - сладкий, соленой - солоноватый, ванильной - сладкий, сдобный |
Запах | Свойственный данному виду изделий, без постороннего запаха, для киевской и ванильной соломки - с легким запахом ванилина |
1.1.3. По физико-химическим показателям соломка должна соответствовать требованиям, указанным в табл. 2.
Таблица 2
Наименование показателя | Норма для соломки |
сладкой | соленой | киевской | ванильной |
Влажность, %, не более | 10,0 | 11,0 | 7,0 | 8,0 |
Кислотность, град., не более | 2,5 | 2,0 | 2,5 | 2,5 |
Массовая доля сахара в пересчете на сухое вещество, % | 14,0 +/- 1,0 | 3,0 +/- 1,0 | 17,5 +/- 1,0 | 12,5 +/- 1,0 |
Массовая доля жира в пересчете на сухое вещество, % | 5,0 +/- 0,5 | 3,0 +/- 0,5 | 5,0 +/- 0,5 | 10,0 +/- 0,5 |
Примечание. Допускается превышение верхнего предела по массовой доле сахара и жира.
1.1.4. В соломке не допускаются признаки плесени, посторонние включения, хруст от минеральной примеси.
1.1.5. Содержание токсичных элементов, микотоксинов и пестицидов в соломке не должно превышать допустимые уровни, установленные медико-биологическими
требованиями и санитарными нормами качества продовольственного сырья и пищевых продуктов органов Госкомсанэпиднадзора.
(Измененная редакция, Изм. N 1, 2).
1.1.6. Сырье, применяемое при производстве соломки, должно соответствовать требованиям действующей нормативно-технической документации, медико-биологическим
требованиям и санитарным нормам качества продовольственного сырья и пищевых продуктов, утвержденными органами Госкомсанэпиднадзора.
1.1.7. Каждая партия сырья, поступающая для производства соломки, должна сопровождаться документом о качестве с указанием в нем соответствия нормативам безопасности.
1.1.6 - 1.1.7. (Введены дополнительно, Изм. N 2).
1.2. Упаковка
1.2.1. Соломку должны вырабатывать весовой и фасованной в картонные или бумажные коробки или пачки массой нетто 0,4 и 0,5 кг.
Допускаемое отклонение от установленной массы в фасованной соломке не должно быть более +/- 2%.
Примечание. Соломка сладкая и киевская может вырабатываться весовой только по требованию потребителя.
| | ИС МЕГАНОРМ: примечание. ГОСТ 13512-91 утратил силу на территории Российской Федерации с 1 марта 2012 года в связи с введением в действие ГОСТ Р 54463-2011 (Приказ Росстандарта от 30.09.2011 N 433-ст). | |
1.2.2. Весовую соломку должны упаковывать в дощатые и фанерные ящики по
ГОСТ 10131 и ящики из гофрированного картона по ГОСТ 13512.
Соломка должна фасоваться в картонные или бумажные коробки по
ГОСТ 12301 или пачки по
ГОСТ 12303 массой нетто до 0,5 кг и укладываться в ящики или контейнеры открытого или закрытого типа. Допускается использовать для упаковывания весовой и фасованной соломки возвратную тару.
(Измененная редакция, Изм. N 1, 2).
1.2.3. Перед упаковыванием весовой соломки фанерные и дощатые ящики внутри со всех сторон должны быть выложены чистой бумагой по
ГОСТ 8273.
1.3. Маркировка
1.3.1. В каждый ящик должен быть вложен или наклеен ярлык, на котором указывается: наименование изделия и предприятия, дата выработки, номер смены, номер или фамилия укладчика.
1.3.2. Ящики, коробки и пачки, в которые укладывают соломку, должны иметь следующую маркировку:
наименование предприятия-изготовителя и его местонахождение;
товарный знак;
наименование продукции;
масса нетто (для фасованной соломки);
дата и смена выпуска продукции;
обозначение настоящего стандарта;
срок хранения;
информационные сведения об энергетической ценности, содержании белка, жира и углеводов в 100 г соломки.
(Измененная редакция, Изм. N 2).
1.3.3. Транспортная маркировка - по
ГОСТ 14192 с нанесением манипуляционных знаков "Хрупкое. Осторожно", "Беречь от влаги".
2.1. Соломку принимают партиями. Партией считают:
у изготовителя - соломку одного наименования, выработанную на одной печи в одну смену;
в торговой сети - соломку одного наименования, выработанную одним предприятием и полученную по одной товарно-транспортной накладной.
В товарно-транспортной накладной проставляют штамп на соответствие партии изделий требованиям настоящего стандарта и дату выработки изделий.
(Измененная редакция, Изм. N 2).
2.2. Показатели: форму, размеры, поверхность, цвет соломки и массу фасованной продукции контролируют на 2 - 3 лотках от каждой вагонетки, контейнера или стеллажа, на 10% ящиков от каждой полки.
Результаты контроля распространяются на вагонетку, контейнер, стеллаж, полку, от которых отбиралась продукция.
2.3. Для контроля органолептических (кроме формы, размеров, поверхности и цвета) и физико-химических показателей составляют представительную выборку способом "россыпью" по
ГОСТ 18321.
2.4. Объем представительной выборки определяют следующим образом:
5 ящиков, 10 коробок или пачек - при массе партии до 0,4 т;
10 ящиков, коробок или пачек - при массе партии более 0,4 т.
2.5. При получении неудовлетворительных результатов анализов хотя бы по одному из показателей проводят повторные анализы на удвоенной выборке, взятой от той же партии.
Результаты повторных анализов распространяются на всю партию.
2.6. Массовую долю сахара, жира, лома и крошки определяют по требованию потребителя.
2.7. Контроль показателей безопасности в соломке осуществляется в соответствии с порядком, установленным производителем продукции по согласованию с органами Госкомсанэпиднадзора и гарантирующим безопасность продукции.
(Измененная редакция, Изм. N 1, 2).
Отбор проб для определения качества соломки проводят от представительной выборки методом "вслепую" по
ГОСТ 18321 не ранее чем через 6 ч после выемки из печи.
Из каждых отобранных для анализа по
п. 2.4 ящика, коробки или пачки отбирают точечные пробы для получения объединенной пробы массой не менее 0,5 кг.
3.2. Правила подготовки и упаковки лабораторных образцов для отправки в лабораторию на анализ - по
ГОСТ 5667.
3.3. Форму, поверхность, размеры и цвет контролируют осмотром соломки, отобранной в количестве, указанном в
п. 2.2.
Массу определяют путем взвешивания не менее 10 коробок и пачек, отобранных от того же количества.
Толщину соломки определяют путем измерения диаметра поперечного сечения изделия.
3.4. По объединенной пробе определяют внутреннее состояние, хрупкость, вкус и запах.
3.5. Определение массовой доли лома и крошки
3.5.1. Приборы
Весы лабораторные общего назначения с допускаемой погрешностью взвешивания +/- 0,05 г.
(Измененная редакция, Изм. N 1).
3.5.2. Проведение анализа
Соломку перекладывают из ящиков, коробок и пачек на стол и отбирают лом и крошку.
3.5.3. Обработка результатов
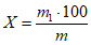
Массовую долю лома и крошки (X) в процентах вычисляют по формуле

,
где m - масса соломки в ящиках, коробках, пачках, кг;

- масса лома и крошки в ящиках, коробках, пачках, кг.
3.6. Подготовка пробы для физико-химического анализа
Объединенную пробу соломки измельчают в крошку, которую тщательно перемешивают. Из этого количества выделяют аналитическую пробу массой 50 - 60 г, тщательно растирают в ступке в порошок с тем, чтобы он полностью просеивался через проволочную сетку N 08.
При определении массовой доли сахара и жира аналитическую пробу готовят массой 300 г.
Из аналитической пробы берут навески для определения влажности и кислотности.
| | ИС МЕГАНОРМ: примечание. Взамен ГОСТ 8494-73 Постановлением Госстандарта России от 05.11.1996 N 609 с 1 августа 1997 года введен в действие ГОСТ 8494-96. | |
3.7. Определение влажности и кислотности - по ГОСТ 8494.
3.10. Содержание токсичных элементов определяют по
ГОСТ 26927, ГОСТ 26930 - ГОСТ 26934, микотоксинов и пестицидов - по методам, утвержденным органами Госкомсанэпиднадзора.
(Измененная редакция, Изм. N 1, 2).
4. ТРАНСПОРТИРОВАНИЕ И ХРАНЕНИЕ
4.1. Соломка должна храниться в чистом, не зараженном вредителями хлебных запасов помещении при температуре не выше 25 °C и относительной влажности воздуха 65 - 75%.
4.2. Соломку транспортируют всеми видами транспорта в крытых транспортных средствах в соответствии с правилами перевозок грузов, действующими на соответствующем виде транспорта.
4.3. Срок хранения с момента выработки устанавливается: 3 месяца для соломки сладкой и соленой, 1 месяц для соломки киевской и ванильной.
4.4. Реализация весовой соломки в розничной торговой сети должна осуществляться при наличии информационных сведений об энергетической ценности, содержании белка, жира и углеводов в 100 г изделий.