Главная // Актуальные документы // ГОСТ (Государственный стандарт)СПРАВКА
Источник публикации
В данном виде документ опубликован не был.
Первоначальный текст документа опубликован в издании
М.: Стандартинформ, 2014.
Информацию о публикации документов, создающих данную редакцию, см. в справке к этим документам.
Примечание к документу
Документ включен в
Перечень международных и региональных (межгосударственных) стандартов, а в случае их отсутствия - национальных (государственных) стандартов, в результате применения которых на добровольной основе обеспечивается соблюдение требований технического
регламента Таможенного союза "О безопасности пищевой продукции" (ТР ТС 021/2011) (
Решение Коллегии Евразийской экономической комиссии от 24.12.2019 N 236).
Текст данного документа приведен с учетом поправок, опубликованных в "ИУС",
N 3, 2016;
N 5, 2017.
Изменение N 1 введено в действие на территории Российской Федерации Приказом Росстандарта от 01.12.2023 N 1514-ст с 01.01.2024.
Название документа
"ГОСТ 32776-2014. Межгосударственный стандарт. Кофе растворимый. Общие технические условия"
(введен в действие Приказом Росстандарта от 20.08.2014 N 918-ст)
(ред. от 01.12.2023)
"ГОСТ 32776-2014. Межгосударственный стандарт. Кофе растворимый. Общие технические условия"
(введен в действие Приказом Росстандарта от 20.08.2014 N 918-ст)
(ред. от 01.12.2023)
агентства по техническому
регулированию и метрологии
от 20 августа 2014 г. N 918-ст
МЕЖГОСУДАРСТВЕННЫЙ СТАНДАРТ
КОФЕ РАСТВОРИМЫЙ
ОБЩИЕ ТЕХНИЧЕСКИЕ УСЛОВИЯ
Instant coffee. General specification
ГОСТ 32776-2014
| | Список изменяющих документов Приказом Росстандарта от 01.12.2023 N 1514-ст) | |
| | Приказом Росстандарта от 15.12.2015 N 2161-ст дата введения в действие для добровольного применения в Российской Федерации была перенесена на 01.07.2016. | |
Дата введения
1 января 2016 года
Цели, основные принципы и основной порядок проведения работ по межгосударственной стандартизации установлены
ГОСТ 1.0-92 "Межгосударственная система стандартизации. Основные положения" и
ГОСТ 1.2-2009 "Межгосударственная система стандартизации. Стандарты межгосударственные, правила и рекомендации по межгосударственной стандартизации. Правила разработки, принятия, применения, обновления и отмены"
1 РАЗРАБОТАН Некоммерческой организацией "Российская Ассоциация производителей чая и кофе "РОСЧАЙКОФЕ" (Ассоциация "РОСЧАЙКОФЕ")
2 ВНЕСЕН Федеральным агентством по техническому регулированию и метрологии
3 ПРИНЯТ Межгосударственным советом по стандартизации, метрологии и сертификации (протокол от 25 июня 2014 г. N 45-2014)
За принятие голосовали:
Краткое наименование страны по МК (ИСО 3166) 004-97 | Код страны по МК (ИСО 3166) 004-97 | Сокращенное наименование национального органа по стандартизации |
Армения | AM | Минэкономики Республики Армения |
Беларусь | BY | Госстандарт Республики Беларусь |
Казахстан | KZ | Госстандарт Республики Казахстан |
Киргизия | KG | Кыргызстандарт |
Россия | RU | Росстандарт |
Таджикистан | TJ | Таджикстандарт |
4
Приказом Федерального агентства по техническому регулированию и метрологии от 20 августа 2014 г. N 918-ст межгосударственный стандарт ГОСТ 32776-2014 введен в действие в качестве национального стандарта Российской Федерации с 1 января 2016 г.
5 ВВЕДЕН ВПЕРВЫЕ
Информация об изменениях к настоящему стандарту публикуется в ежегодном информационном указателе "Национальные стандарты", а текст изменений и поправок - в ежемесячном информационном указателе "Национальные стандарты". В случае пересмотра (замены) или отмены настоящего стандарта соответствующее уведомление будет опубликовано в ежемесячном информационном указателе "Национальные стандарты". Соответствующая информация, уведомление и тексты размещаются также в информационной системе общего пользования - на официальном сайте Федерального агентства по техническому регулированию и метрологии в сети Интернет
Настоящий стандарт распространяется на растворимый кофе.
Требования, обеспечивающие безопасность продукции, изложены в
5.1.5, требования к качеству продукции - в
5.1.2 -
5.1.4, к упаковке - в
5.3, к маркировке - в
5.4.
(в ред.
Изменения N 1, введенного в действие Приказом Росстандарта от 01.12.2023 N 1514-ст)
В настоящем стандарте использованы нормативные ссылки на следующие стандарты:
ГОСТ 8.579 Государственная система обеспечения единства измерений. Требования к количеству фасованных товаров при их производстве, фасовании, продаже и импорте
(в ред.
Изменения N 1, введенного в действие Приказом Росстандарта от 01.12.2023 N 1514-ст)
ГОСТ OIML R 76-1 Государственная система обеспечения единства измерений. Весы неавтоматического действия. Часть 1. Метрологические и технические требования. Испытания
ГОСТ 1770 (ИСО 1042-83, ИСО 4788-80) Посуда мерная лабораторная стеклянная. Цилиндры, мензурки, колбы, пробирки. Общие технические условия
ГОСТ 3118 Реактивы. Кислота соляная. Технические условия
ГОСТ ISO 4052 Кофе. Определение содержания кофеина. Контрольный метод
ГОСТ 4328 Реактивы. Натрия гидроокись. Технические условия
ГОСТ 6038 Реактивы. D-глюкоза. Технические условия
ГОСТ 6656 Бумага писчая потребительских форматов. Технические условия
ГОСТ 6709 Вода дистиллированная. Технические условия <*>
(в ред.
Изменения N 1, введенного в действие Приказом Росстандарта от 01.12.2023 N 1514-ст)
--------------------------------
<*> В Российской Федерации действует
ГОСТ Р 58144-2018 "Вода дистиллированная. Технические условия".
(сноска введена
Изменением N 1, введенным в действие Приказом Росстандарта от 01.12.2023 N 1514-ст)
ГОСТ 9147 Посуда и оборудование лабораторные фарфоровые. Технические условия
ГОСТ 10131 Ящики из древесины и древесных материалов для продукции пищевых отраслей промышленности, сельского хозяйства и спичек. Технические условия
ГОСТ 11354 Ящики из древесины и древесных материалов многооборотные для продукции пищевых отраслей промышленности и сельского хозяйства. Технические условия
ГОСТ 12026 Бумага фильтровальная лабораторная. Технические условия
ГОСТ 34405 Банки металлические сборные. Общие технические условия
(в ред.
Изменения N 1, введенного в действие Приказом Росстандарта от 01.12.2023 N 1514-ст)
ГОСТ 33781 Упаковка потребительская из картона, бумаги и комбинированных материалов. Общие технические условия
(в ред.
Изменения N 1, введенного в действие Приказом Росстандарта от 01.12.2023 N 1514-ст)
ГОСТ 12302 Пакеты из полимерных пленок и комбинированных материалов. Общие технические условия
ГОСТ 13511 Ящики из гофрированного картона для пищевых продуктов, спичек, табачных изделий и моющих средств. Технические условия
ГОСТ 14919 Электроплиты, электроплитки и жарочные электрошкафы бытовые. Общие технические условия
ГОСТ 15113.0 Концентраты пищевые. Правила приемки, отбор и подготовка проб
ГОСТ 15113.2 Концентраты пищевые. Методы определения примесей и зараженности вредителями хлебных запасов
ГОСТ 15113.4 Концентраты пищевые. Гравиметрические методы определения массовой доли влаги
(в ред.
Изменения N 1, введенного в действие Приказом Росстандарта от 01.12.2023 N 1514-ст)
ГОСТ ISO 20481 Кофе и кофейные продукты. Определение содержания кофеина с использованием высокоэффективной жидкостной хроматографии (HPLC). Стандартный метод
ГОСТ 21400 Стекло химико-лабораторное. Технические требования. Методы испытаний
ГОСТ 33772 Пакеты из бумаги и комбинированных материалов. Общие технические условия
(в ред.
Изменения N 1, введенного в действие Приказом Росстандарта от 01.12.2023 N 1514-ст)
ГОСТ 25336 Посуда и оборудование лабораторные стеклянные. Типы, основные параметры и размеры
ГОСТ 25776 Упаковка. Упаковывание сгруппированных единиц продукции в термоусадочную пленку
(в ред.
Изменения N 1, введенного в действие Приказом Росстандарта от 01.12.2023 N 1514-ст)
ГОСТ 25951 Пленка полиэтиленовая термоусадочная. Технические условия
ГОСТ 26272 Часы электронно-механические кварцевые наручные и карманные. Общие технические условия <*>
(в ред.
Изменения N 1, введенного в действие Приказом Росстандарта от 01.12.2023 N 1514-ст)
--------------------------------
<*> В Российской Федерации действует
ГОСТ Р 59973-2021 "Часы электронно-механические наручные и карманные. Общие технические условия".
(сноска введена
Изменением N 1, введенным в действие Приказом Росстандарта от 01.12.2023 N 1514-ст)
ГОСТ 26927 Сырье и продукты пищевые. Методы определения ртути
ГОСТ 26929 Сырье и продукты пищевые. Подготовка проб. Минерализация для определения содержания токсичных элементов
ГОСТ 26930 Сырье и продукты пищевые. Метод определения мышьяка
ГОСТ 26932 Сырье и продукты пищевые. Методы определения свинца
(в ред.
Изменения N 1, введенного в действие Приказом Росстандарта от 01.12.2023 N 1514-ст)
ГОСТ 26933 Сырье и продукты пищевые. Методы определения кадмия
(в ред.
Изменения N 1, введенного в действие Приказом Росстандарта от 01.12.2023 N 1514-ст)
ГОСТ 28498 Термометры жидкостные стеклянные. Общие технические требования. Методы испытаний
ГОСТ 29227 (ИСО 835-1-81) Посуда лабораторная стеклянная. Пипетки градуированные. Часть 1. Общие требования
ГОСТ 30178 Сырье и продукты пищевые. Атомно-абсорбционный метод определения токсичных элементов
ГОСТ 30288 Тара стеклянная. Общие положения по безопасности, маркировке и ресурсосбережению
ГОСТ 30538 Продукты пищевые. Методика определения токсичных элементов атомно-эмиссионным методом
ГОСТ 31628 Продукты пищевые и продовольственное сырье. Инверсионно-вольтамперометрический метод определения массовой концентрации мышьяка
Примечание - При пользовании настоящим стандартом целесообразно проверить действие ссылочных стандартов и классификаторов на официальном интернет-сайте Межгосударственного совета по стандартизации, метрологии и сертификации (www.easc.by) или по указателям национальных стандартов, издаваемым в государствах, указанных в предисловии, или на официальных сайтах соответствующих национальных органов по стандартизации. Если на документ дана недатированная ссылка, то следует использовать документ, действующий на текущий момент, с учетом всех внесенных в него изменений. Если заменен ссылочный документ, на который дана датированная ссылка, то следует использовать указанную версию этого документа. Если после принятия настоящего стандарта в ссылочный документ, на который дана датированная ссылка, внесено изменение, затрагивающее положение, на которое дана ссылка, то это положение применяется без учета данного изменения. Если ссылочный документ отменен без замены, то положение, в котором дана ссылка на него, применяется в части, не затрагивающей эту ссылку.
(примечание в ред.
Изменения N 1, введенного в действие Приказом Росстандарта от 01.12.2023 N 1514-ст)
В настоящем стандарте применены следующие термины с соответствующими определениями:
3.1 растворимый кофе: Сухой пищевой однокомпонентный продукт, растворимый в воде, получаемый из жареного кофе физическими методами с использованием в качестве экстрагента воды.
3.2 жареный кофе: Пищевой однокомпонентный продукт, получаемый обжариванием зеленого кофе одного или нескольких ботанических видов.
По характеру технологической обработки и форме растворимый кофе подразделяют:
- на порошкообразный;
- гранулированный;
- сублимированный.
5.1 Характеристики
5.1.1 Растворимый кофе должен быть изготовлен в соответствии с требованиями настоящего стандарта с соблюдением требований
[1] или нормативных правовых актов, действующих на территории государства, принявшего стандарт.
5.1.2 По органолептическим показателям растворимый кофе должен соответствовать требованиям, указанным в таблице 1.
Таблица 1
Наименование показателя | Характеристика |
Внешний вид | |
- порошкообразный | Мелкодисперсный, сыпучий порошок |
- гранулированный | Агломерированные частицы различных форм и размеров |
- сублимированный | Частицы плотной структуры различных форм и размеров с гладкой или слегка шероховатой поверхностью |
Цвет | От светло- до темно-коричневого, однородный по интенсивности |
Вкус | Выраженный, с различными оттенками, свойственный данному продукту |
Аромат | Ярко выраженный, свойственный данному продукту |
5.1.3 Физико-химические показатели растворимого кофе должны соответствовать нормам, указанным в таблице 2.
Таблица 2
Наименование показателя | Значение показателя |
Массовая доля влаги, % (мас.), не более | 6,0 |
Кофеин (в пересчете на сухое вещество), % (мас.), не менее | 2,3 |
Кофеин (в пересчете на сухое вещество) для декофеинизированного кофе, % (мас.), не более | 0,3 |
Общее содержание золы (в пересчете на сухое вещество), % (мас.), не менее | 6,0 |
Продолжительность растворения в воде, мин, не более | |
- в горячей воде (при температуре 96 °C - 98 °C) | 0,5 |
- в холодной воде (при температуре 18 °C - 20 °C) | 3,0 |
Содержание металлических примесей (частиц не более 0,3 мм в наибольшем линейном измерении), % (мас.), не более | 3·10-4 |
Содержание глюкозы (в пересчете на сухое вещество), % (мас.), не более | 2,46 |
Содержание ксилозы (в пересчете на сухое вещество), % (мас.), не более | 0,45 |
5.1.4 В растворимом кофе не допускается присутствие посторонних примесей.
5.1.5 По показателям безопасности растворимый кофе должен соответствовать требованиям
[1] или нормативным правовым актам, действующих на территории государства, принявшего стандарт.
5.2 Требования к сырью
5.2.1 Для изготовления растворимого кофе применяют жареный кофе, в т.ч. декофеинизированный.
5.2.2 Сырье, используемое при производстве растворимого кофе, по показателям безопасности должно соответствовать требованиям
[1] или нормативных правовых актов, действующих на территории государства, принявшего стандарт.
5.3.1 Растворимый кофе фасуют в упаковку, изготовленную из материалов, обеспечивающих его сохранность при условии соблюдения условий хранения, в соответствии с
[2] или нормативными правовыми актами, действующими на территории государства, принявшего стандарт.
Рекомендуемые способы упаковывания приведены в
приложении А.
5.3.2 Масса растворимого кофе в единице потребительской упаковки должна соответствовать номинальному количеству, указанному в маркировке на потребительской упаковке, с учетом допускаемых отклонений.
Пределы допускаемых отрицательных отклонений массы продукта в единице потребительской упаковки от номинального количества - по
ГОСТ 8.579.
5.3.3 Потребительскую упаковку помещают в транспортную упаковку.
5.4.1 Маркировка потребительской упаковки - в соответствии с
[3] или нормативными правовыми актами, действующими на территории государства, принявшего стандарт.
Примечание - На упаковку может быть нанесена дополнительная маркировка с указанием рекомендованного способа приготовления.
5.4.2 Наименование растворимого кофе должно включать слова: "кофе", "растворимый" - и по усмотрению производителя может быть дополнено другой информацией, характеризующей продукт (например, словом "натуральный"), а также придуманным (фантазийным) названием, фирменным названием, товарным знаком/маркой.
Порядок слов в наименовании не регламентируется.
5.4.3 Допускается нанесение другой информации, не вводящей в заблуждение потребителя и не противоречащей нормативным правовым актам, действующим на территории государства, принявшего стандарт.
5.4.4 Маркировка транспортной упаковки дополнительно должна содержать номер партии или другую информацию, позволяющую идентифицировать партию.
5.4.5 Дополнительно могут быть нанесены манипуляционные знаки по
ГОСТ 14192.
6.1 Правила приемки - по
ГОСТ 15113.0. Растворимый кофе принимают партиями. Партией считают определенное количество продукции одного наименования, одинаково упакованной, изготовленной одним изготовителем по одному документу в определенный промежуток времени, сопровождаемое товаросопроводительной документацией, обеспечивающей прослеживаемость продукции.
6.2 Порядок и периодичность контроля показателей безопасности растворимого кофе устанавливает изготовитель в программе производственного контроля.
6.3 Массовую долю влаги, продолжительность растворения в воде и содержание металлических примесей, а также органолептические показатели контролируют в каждой партии.
6.4 Содержание кофеина, общей золы, глюкозы и ксилозы контролируют только при наличии разногласий в оценке качества растворимого кофе.
7.2 Определение органолептических показателей - в соответствии с
приложением Б.
7.4 Определение содержания кофеина - по ГОСТ ISO 20481 или
ГОСТ ISO 4052.
7.6 Определение продолжительности растворения в воде - в соответствии с
приложением В.
7.7 Определение металлических и посторонних примесей - по
ГОСТ 15113.2.
7.8 Определение содержания глюкозы и ксилозы в воде - в соответствии с
приложением Г.
7.9 Подготовка проб к минерализации - по
ГОСТ 26929.
7.10 Определение токсичных элементов:
8 Транспортирование и хранение
8.1 Растворимый кофе транспортируют всеми видами транспорта в условиях окружающей среды в соответствии с правилами транспортирования.
8.2 Срок годности, условия хранения и правила транспортирования в течение срока годности устанавливает изготовитель.
(рекомендуемое)
СПОСОБЫ УПАКОВЫВАНИЯ РАСТВОРИМОГО КОФЕ
А.1 Упаковывание в потребительскую упаковку
А.1.1 Растворимый кофе фасуют массой нетто от 1,0 до 1000,0 г включительно.
А.1.2 Растворимый кофе упаковывают:
(в ред.
Изменения N 1, введенного в действие Приказом Росстандарта от 01.12.2023 N 1514-ст)
- пакеты из бумаги и комбинированных материалов по
ГОСТ 33772;
(в ред.
Изменения N 1, введенного в действие Приказом Росстандарта от 01.12.2023 N 1514-ст)
- коробки из картона, бумаги и комбинированных материалов по
ГОСТ 33781;
(в ред.
Изменения N 1, введенного в действие Приказом Росстандарта от 01.12.2023 N 1514-ст)
- пакеты из полимерных и комбинированных материалов по
ГОСТ 12302.
А.1.3 Допускается потребительскую упаковку по
А.1.2 комплектовать и укладывать в групповую упаковку.
А.2 Упаковывание в транспортную упаковку
А.2.1 Фасованный растворимый кофе упаковывают в транспортную упаковку:
А.3 Допускается использовать виды потребительской и транспортной упаковки, аналогичные указанным в
А.1 и
А.2.
(обязательное)
МЕТОД ОПРЕДЕЛЕНИЯ ОРГАНОЛЕПТИЧЕСКИХ ПОКАЗАТЕЛЕЙ
Б.1 Область применения
Настоящий метод распространяется на растворимый кофе и устанавливает метод определения органолептических показателей.
Б.2 Средства измерений, вспомогательные устройства, посуда, материалы
Весы лабораторные неавтоматического действия по
ГОСТ OIML R 76-1 с наибольшим пределом взвешивания 500 г 3-го класса точности.
Плитка электрическая по
ГОСТ 14919 или газовая горелка.
Стаканы типов Н(В)-1(2)-250 ТХС (ТС) по
ГОСТ 25336.
Стакан фарфоровый вместимостью 250 см
3 по
ГОСТ 9147.
Чашка, изготовленная из фарфора или глазурованной керамики, вместимостью 150 - 250 см3.
Термометр жидкостный стеклянный диапазоном измерения от 0 °C до 100 °C, ценой деления шкалы не более 1 °C по
ГОСТ 28498.
Допускается применение других средств измерений, вспомогательных устройств, посуды и материалов, метрологические и технические характеристики которых не ниже указанных.
Б.4 Проведение анализа
Органолептические показатели определяют в следующей последовательности: внешний вид, цвет и аромат сухого продукта, аромат и вкус напитка, отмечая их выраженность и оттенки.
(в ред.
Изменения N 1, введенного в действие Приказом Росстандарта от 01.12.2023 N 1514-ст)
Оттенки аромата сухого продукта, аромата и вкуса кофейного напитка делятся на следующие группы: сладкие (коричневый сахар, ванилин, общая сладость и т.д.), цветочные (жасмин, роза, ромашка, черный чай и т.д.), фруктовые (цитрусовые, ягоды, сушеные фрукты, прочие фрукты и т.д.), кислые и забродившие (разные типы кислот и вино, виски, передержанное тесто, перезревшие фрукты и т.д.), травянистые и овощные (сено, фасоль, горох, недозревшие овощи и т.д.), жареные (поджаренные продукты, копченые, дым, злаки, табак и т.д.), специи (черный перец, гвоздика, корица и т.д.), ореховые и какао (шоколад, миндаль, лесной орех и т.д.), прочие (земля, кожа, резина, химические и бумажные, пыльные и т.д.).
(абзац введен
Изменением N 1, введенного в действие Приказом Росстандарта от 01.12.2023 N 1514-ст)
Б.4.1 Внешний вид и цвет сухого продукта определяют визуально при ярком рассеянном дневном свете или люминесцентном освещении в части объединенной пробы продукта, помещенной на лист белой бумаги ровным слоем. Затем определяют аромат в сухом продукте.
Б.4.2 Определение аромата и вкуса напитка
Готовят напиток, для чего 2,5 г анализируемой пробы кофе помещают в стеклянный или фарфоровый стакан вместимостью 250 см3 и растворяют при помешивании в 150 см3 горячей кипяченой воды температурой 96 °C - 98 °C.
Сразу же определяют аромат напитка. Напиток охлаждают до температуры не более 55 °C, после чего определяют вкус напитка.
При наличии разногласий в оценке органолептических показателей кофе для приготовления напитка используют рекомендации производителя, которые являются приоритетными.
Б.5 При наличии разногласий в оценке органолептических показателей растворимого кофе несогласная сторона формирует дегустационную комиссию с участием третьей стороны, состав которой обеспечивает паритетное представительство заинтересованных сторон и независимых экспертов.
Дегустационная комиссия проводит органолептический анализ проб растворимого кофе, результаты которого являются обязательными для всех заинтересованных сторон.
(обязательное)
МЕТОД ОПРЕДЕЛЕНИЯ ПРОДОЛЖИТЕЛЬНОСТИ РАСТВОРЕНИЯ В ВОДЕ
В.1 Сущность метода
Метод основан на определении продолжительности полной растворимости продукта в горячей и холодной воде. Степень растворимости определяют визуально.
В.2 Средства измерений и вспомогательные устройства
Весы лабораторные неавтоматического действия по
ГОСТ OIML R 76-1 с наибольшим пределом взвешивания 500 г 3-го класса точности.
Термометр жидкостный стеклянный диапазоном измерения от 0 °C до 100 °C, ценой деления шкалы не более 1 °C по
ГОСТ 28498.
Секундомер, ценой деления шкалы не более 1 с.
Допускается применение других средств измерений, вспомогательных устройств, посуды и материалов, метрологические и технические характеристики которых не ниже указанных.
В.4 Порядок проведения анализа
2,5 г анализируемой пробы кофе помещают в стеклянный стакан и растворяют при помешивании в 150 см3 горячей (температура 96 °C - 98 °C) воды.
Продолжительность растворения определяют по секундомеру.
Аналогично проводят определение продолжительности растворения в холодной воде при температуре 18 °C - 20 °C.
Растворимость считают неполной, если через 0,5 мин растворения в горячей воде (температура 96 °C - 98 °C) или 3,0 мин в холодной воде (температура 18 °C - 20 °C) в стакане остаются нерастворимые частицы, или если после прекращения перемешивания выпадает осадок.
В.5 Оформление результатов анализа
В протоколе анализа указывают:
- метод отбора проб;
- метод анализа;
- результаты анализа.
Должны быть также отражены все детали анализа, которые могли повлиять на результат. Протокол должен содержать всю информацию, необходимую для полной идентификации пробы.
(обязательное)
МЕТОД ОПРЕДЕЛЕНИЯ СОДЕРЖАНИЯ ГЛЮКОЗЫ И КСИЛОЗЫ
Г.1 Область применения
Метод распространяется на растворимый кофе и устанавливает метод определения массовых долей общей глюкозы и ксилозы с использованием высокоэффективной анионообменной хроматографии.
Г.2 Сущность метода
Метод основан на определении общего количества углеводов, присутствующих в растворе после гидролиза водным раствором соляной кислоты, с помощью ионной хроматографии.
Г.3 Средства измерений, вспомогательные устройства, посуда, материалы, реактивы
Весы лабораторные общего назначения с наибольшим пределом взвешивания 200 г 2-го класса точности по
ГОСТ OIML R 76-1.
Фильтры бумажные складчатые средней плотности из лабораторной фильтровальной бумаги по
ГОСТ 12026.
Фильтры сменные мембранные диаметром пор 0,2 мкм.
Хроматограф жидкостный, не содержащий металлических частей, с колонкой, заполненной анионообменным сорбентом, устойчивым к действию щелочей, с предколонкой (защитной колонкой), заполненной тем же сорбентом, устройством для послеколоночного добавления щелочи в подвижную фазу и импульсным амперометрическим детектором с золотым электродом в комплекте с устройством регистрации и обработки хроматографических данных.
Патроны концентрирующие с рабочим объемом 1 - 2 см3, заполненные обращенно-фазовым сорбентом с октадецильными группами и анионообменным сорбентом.
Цилиндры градуированные высокие 1-100-2, 1-1000-2 по
ГОСТ 1770.
Пипетки 2-1-2-5, 2-1-2-10, 2-1-2-25 по
ГОСТ 29227.
Натрия гидроокись по
ГОСТ 4328, х.ч., раствор массовой долей 50%.
Кислота соляная по
ГОСТ 3118, х.ч., плотностью 1190 кг/м
3, стандартный раствор молярной концентрации 1,00 моль/дм
3.
Вода дистиллированная по
ГОСТ 6709 или деминерализованная (удельное сопротивление не менее 18 МОм/см).
Ксилоза с содержанием основного вещества не менее 99%.
Допускается применение других средств измерений, вспомогательных устройств, посуды и материалов, не уступающих вышеуказанным по метрологическим и техническим характеристикам, и обеспечивающих необходимую точность измерения, а также реактивов, по качеству не хуже вышеуказанных.
Г.4 Приготовление растворов
Г.4.1 Элюент 1 (S1) - дистиллированная или деминерализованная (удельное сопротивление не менее 18 МОм/см) вода
Воду фильтруют через сменный мембранный фильтр с отверстиями диаметром 0,2 мкм. Дегазируют продувкой гелием в течение 20 - 30 мин.
Г.4.2 Элюент 2 (S2) - раствор гидроокиси натрия молярной концентрации 300 ммоль/дм3
К 985 см3 дегазированной воды прибавляют пипеткой 15,6 см3 раствора гидроокиси натрия.
Срок хранения раствора в герметичной посуде не более 1 мес.
Г.4.3 Приготовление основных градуировочных растворов углеводов
Готовят свежие растворы глюкозы и ксилозы. Взвешивают (100,0 +/- 0,1) мг каждого углевода в отдельные мерные колбы вместимостью 100 см3 и доводят до метки дегазированной водой. Получают основные градуировочные растворы массовой концентрации 1000 мг/дм3.
Г.4.4 Приготовление рабочих градуировочных растворов углеводов
Рабочие градуировочные растворы готовят разведением основных градуировочных растворов до массовых концентраций углеводов, близких к ожидаемым массовым концентрациям их в анализируемом растворе. Допускается приготовление смешанных градуировочных растворов из основных растворов, если известно время удерживания каждого углевода в оптимальных условиях хроматографирования.
Г.5 Порядок проведения анализа
Г.5.1 Подготовка пробы для измерения
Взвешивают (300,0 +/- 0,1) мг растворимого кофе в мерную колбу вместимостью 100 см3. Прибавляют 50 см3 соляной кислоты (стандартный раствор молярной концентрации 1,00 моль/дм3) и перемешивают. Помещают колбу на кипящую водяную баню на 2,5 ч.
Уровень нагреваемого раствора пробы должен быть всегда ниже уровня воды в бане. Через каждые 30 мин раствор встряхивают вручную. Содержимое колбы охлаждают до комнатной температуры, выдерживая колбу под струей водопроводной воды. Доводят до метки водой и фильтруют раствор через складчатый бумажный фильтр. 3 см3 фильтрата пропускают через концентрирующий патрон, заполненный анионообменным сорбентом. Первый кубический сантиметр фильтрата отбрасывают.
Г.5.2 Хроматографический анализ
Градуировочные и испытуемые растворы углеводов фильтруют через мембранные фильтры диаметром пор 0,2 мкм.
Хроматографический анализ градуировочных и анализируемых растворов проводят в соответствии с параметрами, приведенными в таблицах Г.1 и
Г.2.
Таблица Г.1
Условия анализа
Наименование операции, показателя, оборудования | Параметры |
Объем анализируемого раствора, инжектируемый в хроматограф, мм3 | 20 |
Скорость протока подвижной фазы, см3/мин | 1,0 |
Скорость послеколоночного добавления элюента S2, см3/мин | 0,6 |
Температура, °C | 18 - 25 |
Детектор | Кювету сравнения заполняют элюентом 2 (S2) Устанавливают оптимальные условия, рекомендованные изготовителем |
Таблица Г.2
Режим элюирования и регенерации колонки
Элюирование | Время, мин | Элюент 1 (S1), см3 | Элюент 2 (S2), см3 | Последовательность операций |
Изократическое | 0 | 100,0 | 0 | Начало сбора данных |
50,0 | 100,0 | 0 | Окончание сбора данных |
50,1 | 0 | 100,0 | Начало промывки |
65,1 | 0 | 100,0 | Окончание промывки |
65,1 | 100,0 | 0 | Начало вывода на рабочий режим |
80,0 | 100,0 | 0 | Окончание вывода на рабочий режим |
Идентификацию и оценку количества углеводов в растворе пробы проводят сравнением со временем удерживания и площадями соответствующих пиков градуировочных растворов.
Чтобы учесть изменения во времени удерживания и значениях пиков, через каждые четыре анализа анализируемых растворов вводят градуировочный раствор.
Г.6 Обработка результатов
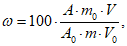
Массовую долю углевода в растворимом кофе

, % в пересчете на сухое вещество, вычисляют по формуле

(Г.1)
где 100 - коэффициент перевода в проценты;
A - площадь пика конкретного углевода в испытуемом растворе;
m0 - масса углевода в градуировочном растворе, г;
V - объем анализируемого раствора, см3;
A0 - площадь пика конкретного углевода в градуировочном растворе;
m - масса продукта в анализируемом растворе в пересчете на сухое вещество, г;
V0 - объем градуировочного раствора с учетом разделения, см3.
Вычисления проводят до третьего десятичного знака.
За окончательный результат принимают среднеарифметическое значение двух параллельных измерений с округлением до второго десятичного знака.
Относительное стандартное отклонение сходимости от среднего из двух параллельных определений не должно превышать 4,5% при массовой доле углеводов более 0,3%.
Относительное стандартное отклонение воспроизводимости двух независимых результатов измерений массовых долей углеводов, выполненных в разных лабораториях в разное время, не должно превышать 14,3% от среднего из двух независимых результатов измерений при массовых долях углеводов более 0,3%.
Г.7 Оформление результатов анализа
В протоколе анализа указывают:
- метод отбора проб;
- метод анализа;
- результаты анализа для каждого углевода с указанием фактических значений показателей сходимости и воспроизводимости.
Должны быть также отражены все детали анализа, которые могли повлиять на результат. Протокол должен содержать всю информацию, необходимую для полной идентификации пробы.
[1] Технический
регламент Таможенного союза ТР ТС 021/2011 "О безопасности пищевой продукции"
[2] Технический
регламент Таможенного союза ТР ТС 005/2011 "О безопасности упаковки"
[3] Технический
регламент Таможенного союза ТР ТС 022/2011 "Пищевая продукция в части ее маркировки"
УДК 663.93:006.354 | |
Ключевые слова: кофе растворимый, порошкообразный, гранулированный, сублимированный, метод определения органолептических показателей, метод определения содержания глюкозы и ксилозы |