Главная // Актуальные документы // ГОСТ (Государственный стандарт)СПРАВКА
Источник публикации
М.: Стандартинформ, 2015
Примечание к документу
Документ
введен в действие с 1 июля 2015 года.
Название документа
"ГОСТ ISO 4052-2013. Межгосударственный стандарт. Кофе. Определение содержания кофеина. Контрольный метод"
(введен в действие Приказом Росстандарта от 25.03.2014 N 223-ст)
"ГОСТ ISO 4052-2013. Межгосударственный стандарт. Кофе. Определение содержания кофеина. Контрольный метод"
(введен в действие Приказом Росстандарта от 25.03.2014 N 223-ст)
агентства по техническому
регулированию и метрологии
от 25 марта 2014 г. N 223-ст
МЕЖГОСУДАРСТВЕННЫЙ СТАНДАРТ
КОФЕ
ОПРЕДЕЛЕНИЕ СОДЕРЖАНИЯ КОФЕИНА
КОНТРОЛЬНЫЙ МЕТОД
Coffee. Determination of caffeine content. Reference method
(ISO 4052:1983, IDT)
ГОСТ ISO 4052-2013
Дата введения
1 июля 2015 года
Цели, основные принципы и основной порядок проведения работ по межгосударственной стандартизации установлены
ГОСТ 1.0-92 "Межгосударственная система стандартизации. Основные положения" и
ГОСТ 1.2-2009 "Межгосударственная система стандартизации. Стандарты межгосударственные, правила и рекомендации по межгосударственной стандартизации. Правила разработки, принятия, применения, обновления и отмены".
1. Подготовлен Некоммерческой организацией "Российская Ассоциация производителей чая и кофе "РОСЧАЙКОФЕ" (Ассоциация "РОСЧАЙКОФЕ") на основе аутентичного перевода на русский язык указанного в
пункте 5 стандарта, который выполнен ФГУП "СТАНДАРТИНФОРМ".
2. Внесен Федеральным агентством по техническому регулированию и метрологии (ТК 451).
3. Принят Межгосударственным советом по стандартизации, метрологии и сертификации (Протокол от 27 декабря 2013 г. N 63-П).
За принятие голосовали:
Краткое наименование страны по МК (ИСО 3166) 004-97 | Код страны по МК (ИСО 3166) 004-97 | Сокращенное наименование национального органа по стандартизации |
Армения | AM | Минэкономики Республики Армения |
Беларусь | BY | Госстандарт Республики Беларусь |
Кыргызстан | KG | Кыргызстандарт |
Молдова | MD | Молдова-Стандарт |
Российская Федерация | RU | Росстандарт |
Таджикистан | TJ | Таджикстандарт |
4.
Приказом Федерального агентства по техническому регулированию и метрологии от 25 марта 2014 г. N 223-ст межгосударственный стандарт ГОСТ ISO 4052-2013 введен в действие в качестве национального стандарта Российской Федерации с 1 июля 2015 г.
5. Настоящий стандарт идентичен международному стандарту ISO 4052:1983 Coffee - Determination of caffeine content (Reference method) [(Кофе. Определение содержания кофеина (Контрольный метод)].
Международный стандарт разработан подкомитетом ISO/TS 34/SC 15 "Кофе" Технического комитета по стандартизации ISO/TS 34 "Пищевые продукты" Международной организации по стандартизации (ISO).
Перевод с английского языка (en).
Официальный экземпляр международного стандарта, на основе которого подготовлен настоящий межгосударственный стандарт, имеется в Федеральном агентстве по техническому регулированию и метрологии Российской Федерации.
Сведения о соответствии межгосударственных стандартов ссылочным международным стандартам приведены в дополнительном
Приложении ДА.
Степень соответствия - идентичная (IDT).
6. Введен впервые.
Информация об изменениях к настоящему стандарту публикуется в ежегодном информационном указателе "Национальные стандарты", а текст изменений и поправок - в ежемесячном информационном указателе "Национальные стандарты". В случае пересмотра (замены) или отмены настоящего стандарта соответствующее уведомление будет опубликовано в ежемесячном информационном указателе "Национальные стандарты". Соответствующая информация, уведомление и тексты размещаются также в информационной системе общего пользования - на официальном сайте Федерального агентства по техническому регулированию и метрологии в сети Интернет.
Настоящий стандарт устанавливает контрольный метод определения содержания кофеина в кофе.
Метод применим к зеленым кофейным зернам, декофеинизированным зеленым кофейным зернам, обжаренным зернам кофе, декофеинизированным обжаренным зернам кофе, кофейным экстрактам, как сухим, так и жидким, а также к сухим и жидким декофеинизированным экстрактам.
Нижний предел обнаружения равен 0,02% кофеина в пересчете на сухое вещество.
Примечание. Метод, описанный в настоящем стандарте, выбран из нескольких методов по результатам сравнительного исследования и вследствие его широкой повторяемости, воспроизводимости, специфичности, легкости в использовании и быстроты исполнения.
Однако этот метод весьма чувствителен к изменениям в процессе его применения, и поэтому необходимо строго соблюдать требования и последовательность измерения.
ISO 1447 Green coffee - Determination of moisture content (Routine method) [Кофе сырой. Определение содержания влаги (практический метод)]
ISO 3726 Instant coffee - Determination of loss in mass at 70 degrees C under reduced pressure (Кофе растворимый. Определение потери массы при 70 град. C и пониженном давлении)
ISO 4072 Green coffee in bags - Sampling (Кофе сырой в мешках. Отбор проб)
ISO 6670 Instant coffee - Sampling method for bulk units with liners (Кофе быстрорастворимый. Метод отбора проб кофе, хранимого насыпью в коробках, проложенных выстилочным материалом)
ISO 6673 Green coffee - Determination of loss in mass at 105 degrees C [Кофе зеленый (сырой). Определение потери массы при температуре 105 °C]
Примечание. При пользовании настоящим стандартом целесообразно проверить действие ссылочных стандартов в информационной системе общего пользования - на официальном сайте Федерального агентства по техническому регулированию и метрологии в сети Интернет или по ежегодному информационному указателю "Национальные стандарты", который опубликован по состоянию на 1 января текущего года, и по выпускам ежемесячного информационного указателя "Национальные стандарты" за текущий год. Если ссылочный стандарт заменен (изменен), то при пользовании настоящим стандартом следует руководствоваться заменяющим (измененным) стандартом. Если ссылочный стандарт отменен без замены, то положение, в котором дана ссылка на него, применяется в части, не затрагивающей эту ссылку.
Экстракция кофеина из пробы для анализа в аммиачной среде. Последующее очищение диэтиловым эфиром на двух хроматографических колонках, первое в щелочной среде, а второе в кислой среде, за которым следует элюирование кофеина хлороформом.
Спектрометрическое измерение элюата на длине волны с максимальной оптической плотностью (в ультрафиолетовой области спектра).
Применяют реактивы удостоверяемого аналитического качества. Используют только дистиллированную воду или воду эквивалентной чистоты.
4.1. Кислота серная, раствор 200 г/дм
3 [c(H
2SO
4) ~= 2 моль/дм
3].
4.2. Натрия гидроксид, раствор 80 г/дм
3 [c(NaOH) ~= 2 моль/дм
3].
Используемый продукт должен обеспечивать не менее 98% восстановления кофеина из пробы для анализа.
Примечание. Подходит Celite 545.
4.4. Аммиак, раствор 70 г/дм
3 (один объем концентрированного раствора аммиака,

, плюс два объема воды).
4.5. Эфир диэтиловый, чистый или повторно очищенный (см.
7.5) в процессе хроматографии, как указано ниже, и насыщенный водой.
Пропускают 800 см3 диэтилового эфира через колонку, содержащую 100 г основного оксида алюминия 1-й степени активности. Очищенный таким образом диэтиловый эфир следует хранить в темных колбах. (В качестве альтернативы допускается использовать недавно дистиллированный и свободный от пероксидов диэтиловый эфир вместо диэтилового эфира, повторно очищенного в процессе хроматографии.)
4.6. Кофеин (1,3,7-триметил-2,6-диоксопурин, C
8H
10N
4O
2), чистый, безводный.
4.7. Хлороформ, чистый или повторно очищенный (см.
7.5) в процессе хроматографии, как описано в
4.5, и насыщенный водой.
5.1. Колонки хроматографические (см. рисунок 1) длиной 250 мм, с внутренними диаметрами 21 мм (колонка I) и 17 мм (колонка II), с клапаном, предпочтительно изготовленным из политетрафторэтилена.
Рисунок 1. Хроматографические колонки
5.2. Спектрометр ультрафиолетовый с точностью в пределах 0,004 единиц оптической плотности в пределах используемого диапазона.
5.3. Кюветы кварцевые с оптической длиной пути 10 мм.
5.4. Обычное лабораторное оборудование, включая:
5.4.1. Стаканы химические вместимостью 100 см
3.
5.4.2. Баню водяную кипящую.
5.4.3. Колбы мерные с одной меткой вместимостью 50, 100 и 1000 см
3.
5.4.4. Пипетки с одной меткой вместимостью 2 и 5 см
3.
5.4.5. Весы аналитические.
5.5. Кофемолка, подходящая для обжаренных кофейных зерен.
5.6. Мельница с зубчатым диском, с охлаждающим кожухом или аналитическая мельница с запасной фрезой и охлаждающим кожухом, или подобное устройство, подходящее для зеленых кофейных зерен.
5.7. Сито из металлической ткани с номинальным размером отверстий 600 или 630 мкм в соответствии с ISO 3310-1.
Пробы отбирают согласно методу, указанному в соответствующем стандарте <1>.
--------------------------------
<1> Для отбора проб зеленых кофейных зерен в мешках см. ISO 4072; для отбора проб растворимого кофе в коробках см. ISO 6670. Методы отбора проб других видов кофе и кофейных продуктов еще не разработаны.
7. Процедура проведения анализа
7.1. Подготовка пробы для анализа
При необходимости пробу измельчают, используя оборудование, указанное в
5.5 и
5.6, чтобы ее можно было пропустить через сито (см.
5.7).
7.2. Определение содержания сухого вещества
Рассчитывают содержание сухого вещества после определения содержания влаги в части пробы для анализа (см.
7.1) согласно методу, установленному в соответствующем стандарте <1>.
--------------------------------
<1> Для определения содержания влаги в зеленых кофейных зернах см. ISO 1447; для определения потери массы зеленых кофейных зерен при 105 °C см. ISO 6673; для определения потери массы быстрорастворимого кофе при 70 °C при пониженном давлении см. ISO 3726. Методы определения содержания влаги для других видов кофе и кофейных продуктов еще не разработаны.
7.3.1. Зеленые и обжаренные кофейные зерна
Взвешивают с точностью до 0,1 мг приблизительно 1 г пробы для анализа (см.
7.1). Переносят в химический стакан вместимостью 100 см
3 (см.
5.4.1), добавляют 5 см
3 раствора аммиака (см.
4.4) и нагревают в течение 2 мин на кипящей водяной бане (см.
5.4.2). Дают охладиться, затем переносят в мерную колбу (см.
5.4.3) вместимостью 100 см
3, разбавляют водой до метки и перемешивают. Дают мутному раствору отстояться и затем с помощью пипетки (см.
5.4.4) переносят 5,0 см
3 раствора в химический стакан вместимостью 100 см
3 (см.
5.4.1), добавляют 6 г диатомита (см.
4.3) и осторожно перемешивают.
7.3.2. Сухой кофейный экстракт
Выполняют процедуру в соответствии с
7.3.1, но используют пробу для анализа массой 0,5 г и аликвоту мутного раствора объемом 2 см
3, а также 3 г диатомита.
7.3.3. Жидкий кофейный экстракт
Выполняют процедуру в соответствии с
7.3.1, но используют пробу для анализа массой от 1,0 до 2,5 г, соответствующую приблизительно 0,5 г сухого вещества, и аликвоту мутного раствора объемом 2 см
3, а также 3 г диатомита.
7.3.4. Декофеинизированные зеленые и обжаренные кофейные зерна
Взвешивают с точностью до 0,1 мг приблизительно 1 г пробы для анализа (см.
7.1). Переносят в химический стакан (см.
5.4.1), добавляют 5 см
3 раствора аммиака (см.
4.4) и нагревают в течение 2 мин на кипящей водяной бане (см.
5.4.2). Добавляют 6 г диатомита (см.
4.3) и осторожно перемешивают.
7.3.5. Сухой декофеинизированный экстракт кофе
Выполняют процедуру в соответствии с
7.3.4, но используют пробу для анализа массой 0,5 г.
7.3.6. Жидкий декофеинизированный экстракт кофе
Выполняют процедуру в соответствии с
7.3.4, но используют пробу для анализа массой от 1,0 до 2,5 г, соответствующую приблизительно 0,5 г сухого вещества, и от 7 до 8 г диатомита.
7.4.1. Наполнение колонок
7.4.1.1. Колонка I (колонка с щелочной средой)
7.4.1.1.1. Слой A
Осторожно перемешивают гибким шпателем 3 г диатомита (см.
4.3) и 2 см
3 раствора гидроксида натрия (см.
4.2) до образования однородной массы (см. примечание). Получается слегка влажный порошок. Переносят порошок порциями приблизительно по 2 г в хроматографическую колонку (см.
5.1) диаметром 21 мм, в нижнюю часть которой помещен шарик из хлопковой ваты или стекловаты. Смесь утрамбовывают после каждого добавления, без излишних усилий, используя стеклянную палочку, один конец которой сплющен в соответствии с диаметром колонки для получения идеально однородного и компактного слоя. Маленький шарик из хлопковой ваты или стекловаты может быть помещен поверх слоя A.
Примечание. Набивочный материал для колонки можно приготовить в большом количестве заранее и хранить его в закрытых контейнерах. Для каждой колонки с щелочной средой требуется материал массой 5,16 г.
7.4.1.1.2. Слой B
Переносят смесь диатомита и пробу для анализа (см.
7.3) в колонку поверх слоя A. Две порции диатомита (см.
4.3) по 1 г сушат в стакане и переносят в колонку. Утрамбовывают для получения однородного слоя и помещают шарик из хлопковой ваты или стекловаты поверх слоя B.
7.4.1.2. Колонка II (колонка с кислотной средой)
Переносят в хроматографическую колонку (см.
5.1) диаметром 17 мм, в нижнюю часть которой помещен шарик из стекловаты, 3 г диатомита (см.
4.3) и 3 см
3 раствора серной кислоты (см.
4.1), осторожно перемешивают и утрамбовывают в колонку, как указано в
7.4.1.1 для слоя A в колонке I. Помещают шарик из стекловаты поверх этого слоя.
Примечание. Набивочный материал для колонки можно приготовить в большом количестве заранее и хранить его в закрытых контейнерах. Для каждой колонки с кислой средой требуется материал массой 6,36 г.
7.4.2. Хроматографический анализ
Устанавливают колонки одну на другую таким образом, чтобы элюат из колонки I мог стекать непосредственно в колонку II. Пропускают 150 см
3 диэтилового эфира (см.
4.5) через две колонки. Регулируют клапан колонки II так, чтобы некоторое количество жидкости оставалось над слоем.
Снимают колонку I. Пропускают 50 см
3 диэтилового эфира (см.
4.5) через колонку II, используя первоначальную порцию, чтобы промыть конец колонки I, и пропуская эту порцию в колонку II. Выпускают элюат из колонки II.
Примечание. Используемый диэтиловый эфир может быть восстановлен путем встряхивания его с сульфатом железа (II).
Пропускают поток воздуха с верхней к нижней части колонки II (например, используя воздухонагнетатель) до тех пор, пока диэтиловый эфир не перестанет вытекать из колонки, а в воздушном потоке из клапана будет ощущаться лишь слабый запах диэтилового эфира (см. предупреждение ниже). Элюируют колонку II хлороформом в объеме от 45 до 50 см
3 (см.
4.7). Собирают элюат в мерную колбу вместимостью 50 см
3 (см.
5.4.3), доводят хлороформом (см.
4.7) до метки и осторожно перемешивают.
Скорость потока диэтилового эфира и хлороформа должна быть от 1,5 до 3,0 см3/мин. Если эта скорость превышена, возможно, что произошло образование каналов, и следует повторить определение.
Предупреждение - Введение диэтилового спирта и хлороформа следует проводить в хорошо проветриваемом вытяжном шкафу, чтобы предупредить вероятность вдыхания паров растворителя и вероятность взрыва.
7.4.3. Спектроскопические измерения (см. рисунок 2)
Рисунок 2. Пример спектроскопического измерения
7.4.3.1. Измерение испытуемого раствора
Стараясь избежать погрешностей при испарении хлороформа и используя кварцевые кюветы (см.
5.3), измеряют оптическую плотность раствора кофеина в хлороформе (см.
7.4.2) относительно хлороформа (см.
4.7) на длине волны, соответствующей максимуму поглощения (приблизительно 276 нм), и на длинах волн на 30 нм выше и ниже этой длины для проверки чистоты полученного кофеина.
Если максимальная оптическая плотность превышает предел прецизионного измерения используемой аппаратуры, повторяют измерение на разбавленной аликвоте раствора кофеина в хлороформе (см.
7.4.2). В этом случае учитывают разбавление при расчете. Соответственно следует скорректировать коэффициенты в
формулах (1) -
(5). Если максимальная измеренная оптическая плотность ниже 0,2, повторяют определение, используя пробу для анализа большей массы.
7.4.3.2. Приготовление и измерение контрольного раствора
Готовят контрольный раствор кофеина следующим образом.
С точностью до 0,1 мг взвешивают (100 +/- 20) мг чистого безводного кофеина (см.
4.6). Помещают его в мерную колбу вместимостью 1000 см
3 (см.
5.4.3), растворяют в хлороформе и доводят раствор до метки. С помощью пипетки (см.
5.4.4) переносят 5,0 см
3 этого раствора в мерную колбу вместимостью 50 см
3 (см.
5.4.3) и доводят хлороформом до метки.
Измеряют оптическую плотность этого раствора, как указано в
7.4.3.1. Скорректированное значение оптической плотности контрольного раствора (см.
8.1.1 и
рисунок 2) должно быть равно приблизительно 0,4.
7.4.4. Количество измерений
Проводят два определения на отдельных порциях пробы для анализа, отобранных из одной и той же пробы для анализа.
Проводят контрольный опыт на реактивах, используя описанную методику, но без пробы для анализа.
Перед использованием очищенных для повторного применения реактивов (см.
4.5 и
4.7) повторяют контрольный опыт для проверки их чистоты.
8.1. Метод расчета и формулы
8.1.1. Зеленые и обжаренные кофейные зерна
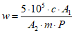
Содержание кофеина в пробе, выраженное в граммах на 100 г сухого вещества, вычисляют по формуле

, (1)
где c - концентрация кофеина в контрольном растворе (см.
7.4.3.2), г/см
3;
A
1 - скорректированное значение оптической плотности очищенного экстракта (см.
7.4.2), полученное в
7.4.3.1, т.е.

, (2)
где

- нижний индекс - относится к длине волны, соответствующей максимальной оптической плотности (приблизительно 276 нм);
A
2 - скорректированное значение оптической плотности контрольного раствора кофеина (см.
7.4.3.2), т.е.

, (3)
где

- нижний индекс - относится к длине волны, соответствующей максимальной оптической плотности (приблизительно 276 нм);
m - масса пробы для анализа, г;
P - содержание сухого вещества в пробе, выраженное в процентах по массе (см.
7.2).
8.1.2. Сухой и жидкий экстракты кофе
Содержание кофеина в пробе, выраженное в граммах на 100 г сухого вещества, вычисляют по формуле

, (4)
где обозначения имеют тот же смысл, что и в
8.1.1.
8.1.3. Декофеинизированные зеленые и обжаренные кофейные зерна, сухой и жидкий декофеинизированные кофейные экстракты
Содержание кофеина в пробе, выраженное в граммах на 100 г сухого вещества, вычисляют по формуле

, (5)
где обозначения имеют тот же смысл, что и в
8.1.1.
8.1.4. Результат
За результат принимают среднеарифметическое полученных значений при условии, что соблюдено требование к повторяемости (см. 8.2).
Абсолютное значение разности двух независимых испытаний, проведенных с использованием одного и того же метода и на одном и том же испытуемом материале в одной и той же лаборатории на одном и том же оборудовании одним и тем же оператором в течение небольшого промежутка времени, не должно превышать значений, приведенных в таблице 1.
Таблица 1
Значения пределов повторяемости и воспроизводимости
Образец | Содержание кофеина, г/100 г сухого вещества | Повторяемость, г кофеина/100 г кофе | Воспроизводимость, г кофеина/100 г кофе |
Зеленые кофейные зерна | Около 2 | 0,12 | 0,38 |
Около 1 | 0,08 | 0,31 |
Декофеинизированный < 0,1 | < 0,01 | 0,01 |
Обжаренные кофейные зерна | Около 2 | 0,10 | 0,32 |
Около 1 | 0,04 | 0,19 |
Декофеинизированный < 0,1 | < 0,01 | 0,01 |
Растворимый кофе | Около 4 | 0,17 | 0,38 |
Около 2 | 0,12 | 0,20 |
Декофеинизированный < 0,3 | 0,01 | 0,01 |
Абсолютное значение разности двух независимых испытаний, проведенных на одном и том же испытуемом материале в различных лабораториях, не должно превышать значений, приведенных в
таблице 1.
В протоколе испытания должны быть указаны применяемый метод и полученный результат. В нем также следует указать все рабочие подробности, не включенные в настоящий стандарт или считающиеся необязательными, вместе с любыми особенностями, которые могут повлиять на результаты.
Кроме того, в протоколе должна содержаться вся информация, необходимая для полной идентификации пробы.
СВЕДЕНИЯ О СООТВЕТСТВИИ МЕЖГОСУДАРСТВЕННЫХ
СТАНДАРТОВ ССЫЛОЧНЫМ МЕЖДУНАРОДНЫМ СТАНДАРТАМ
Таблица ДА.1
Обозначение и наименование международного стандарта | Степень соответствия | Обозначение и наименование межгосударственного стандарта |
ISO 1447:1978 Кофе сырой. Определение содержания влаги (практический метод) | - | |
ISO 3726:1983 Кофе растворимый. Определение потери массы при 70 град. C и пониженном давлении | - | |
ISO 4072:1982 Кофе сырой в мешках. Отбор проб | - | |
ISO 6670:2002 Кофе быстрорастворимый. Метод отбора проб кофе, хранимого насыпью в коробках, проложенных выстилочным материалом | - | |
ISO 6673:2003 Кофе зеленый (сырой). Определение потери массы при температуре 105 °C | - | |
<*> Соответствующий межгосударственный стандарт отсутствует. До его принятия рекомендуется использовать перевод на русский язык данного международного стандарта. Перевод данного международного стандарта находится в Федеральном информационном фонде технических регламентов и стандартов. |