Главная // Актуальные документы // ГОСТ (Государственный стандарт)СПРАВКА
Источник публикации
В данном виде документ опубликован не был.
Первоначальный текст документа опубликован в издании:
М.: Издательство стандартов, 1976.
Информацию о публикации документов, создающих данную редакцию, см. в справке к этим документам.
Примечание к документу
Документ утратил силу на территории Российской Федерации с 10.07.2020 в связи с полным прекращением выпуска продукции по данному стандарту на территории Российской Федерации (
Приказ Росстандарта от 09.07.2020 N 358-ст).
С 1 июля 2003 года до вступления в силу технических регламентов акты федеральных органов исполнительной власти в сфере технического регулирования носят рекомендательный характер и подлежат обязательному исполнению только в части, соответствующей целям, указанным в
пункте 1 статьи 46 Федерального закона от 27.12.2002 N 184-ФЗ.
Изменение N 3, утв. Постановлением Госстандарта СССР от 06.05.1991 N 635, введено в действие с 1 января 1992 года.
Ограничение срока действия снято Постановлением Госстандарта СССР от 06.05.1991 N 635 ("ИУС", N 8, 1991).
Взамен ГОСТ 10096-62.
Название документа
"ГОСТ 10096-76. Пудра алюминиевая комкованная. Технические условия"
(утв. Постановлением Госстандарта СССР от 17.09.1976 N 2132)
(ред. от 06.05.1991)
"ГОСТ 10096-76. Пудра алюминиевая комкованная. Технические условия"
(утв. Постановлением Госстандарта СССР от 17.09.1976 N 2132)
(ред. от 06.05.1991)
Утвержден и введен в действие
Постановлением Госстандарта СССР
от 17 сентября 1976 г. N 2132
ГОСУДАРСТВЕННЫЙ СТАНДАРТ СОЮЗА ССР
ПУДРА АЛЮМИНИЕВАЯ КОМКОВАННАЯ
ТЕХНИЧЕСКИЕ УСЛОВИЯ
Clotted aluminium powder.
Technical requirements
ГОСТ 10096-76
| | Список изменяющих документов Госстандарта СССР от 07.07.1983 N 2969, Госстандарта СССР от 29.06.1987 N 2775, Госстандарта СССР от 06.05.1991 N 635) | |
(код ОКП введен
Изменением N 1, введенным Постановлением Госстандарта СССР от 07.07.1983 N 2969, в ред.
Изменения N 2, утв. Постановлением Госстандарта СССР от 29.06.1987 N 2775)
Взамен
ГОСТ 10096-62
Срок действия
с 1 января 1978 года
до 1 января 1983 года
Разработан Всесоюзным научно-исследовательским и проектным институтом алюминиевой, магниевой и электродной промышленности (ВАМИ).
Зам. директора А.А. Костюков.
Руководитель темы Р.Г. Смолянский.
Исполнители: В.Г. Уваров, А.Н. Нечитайлов, Е.А. Качанова.
Всесоюзным научно-исследовательским институтом легких сплавов (ВИЛС).
Зам. начальника В.И. Добаткин.
Руководитель темы А.И. Литвинцев.
Исполнитель Л.Б. Вульфович.
Внесен Министерством цветной металлургии СССР.
Зам. министра В.Н. Костин.
Подготовлен к утверждению Всесоюзным научно-исследовательским институтом стандартизации (ВНИИС).
Директор А.В. Гличев.
Утвержден и введен в действие Постановлением Государственного комитета стандартов Совета Министров СССР от 17 сентября 1976 г. N 2132.
Настоящий стандарт распространяется на алюминиевую комкованную пудру, предназначенную для изготовления теплопрочного деформируемого материала типа САП.
Абзац исключен с 1 января 1988 года. -
Изменение N 2, утв. Постановлением Госстандарта СССР от 29.06.1987 N 2775.
Требования стандарта являются обязательными.
(абзац введен
Изменением N 3, утв. Постановлением Госстандарта СССР от 06.05.1991 N 635)
Раздел 1 исключен с 1 января 1988 года. -
Изменение N 2, утв. Постановлением Госстандарта СССР от 29.06.1987 N 2775.
2. ТЕХНИЧЕСКИЕ ТРЕБОВАНИЯ
2.1а. Алюминиевую комкованную пудру изготовляют в соответствии с требованиями настоящего стандарта по технологическому регламенту, утвержденному в установленном порядке.
(п. 2.1а введен
Изменением N 1, введенным Постановлением Госстандарта СССР от 07.07.1983 N 2969)
2.1. Алюминиевую комкованную пудру изготовляют из первичного алюминия марок не ниже А-6 по ГОСТ 11069-74 или из отходов чистого алюминия, если по своему химическому составу они не ниже марки А-6.
2.2а. Пудру алюминиевую комкованную изготовляют следующих марок: АПС-1А, АПС-1Б, АПС-2, АПС-3.
(п. 2.2а введен
Изменением N 2, утв. Постановлением Госстандарта СССР от 29.06.1987 N 2775)
2.2. Физико-химические свойства пудры и коды ОКП должны соответствовать указанным в табл. 1.
(в ред.
Изменения N 1, введенного Постановлением Госстандарта СССР от 07.07.1983 N 2969)
Таблица 1
───────┬────────────┬───────────────────────────────────┬──────────┬────────────
Марки │ Код ОКП │ Химический состав, %, │ Насыпная │ Содержание
│ │ не более │плотность,│ магнитной
│ ├──────────┬───────┬────────┬───────┤ г/см3, │ фракции,
│ │ окись │железо │жировые │ влага │ не менее │ г/100 кг,
│ │ алюминия │ │добавки │ │ │ не более
───────┼────────────┼──────────┼───────┼────────┼───────┼──────────┼────────────
АПС-1А │17 9133 0001│ 6 - 8 │0,20 │0,25 │0,1 │0,9 │0,7
АПС-1Б │17 9133 0002│ 6 - 8 │0,25 │0,25 │0,1 │1,0 │1
АПС-2 │17 9133 0003│ 9 - 12 │0,25 │0,30 │0,1 │1,0 │2
АПС-3 │17 9133 0004│ 13 - 17 │0,25 │0,30 │0,1 │1,0 │3
(в ред.
Изменения N 1, введенного Постановлением Госстандарта СССР от 07.07.1983 N 2969,
Изменения N 2, утв. Постановлением Госстандарта СССР от 29.06.1987 N 2775)
Примечание исключено с 1 января 1984 года. -
Изменение N 1, введенное Постановлением Госстандарта СССР от 07.07.1983 N 2969.
2.3. Гранулометрический состав пудры должен соответствовать указанному в табл. 2.
Таблица 2
───────┬──────────────────────────────────────────────────────────
Марки │ Остаток на сите с сетками по
ГОСТ 6613-86, %, не более
├──────────────────┬──────────────────┬────────────────────
│ 0315 │ 05 │ 1
───────┼──────────────────┼──────────────────┼────────────────────
АПС-1А │15 │0,3 │-
АПС-1Б │- │- │0,3
АПС-2 │- │- │0,3
АПС-3 │- │- │0,3
(в ред.
Изменения N 2, утв. Постановлением Госстандарта СССР от 29.06.1987 N 2775)
2.4. Пудра должна представлять собой продукт серого цвета с отдельными частицами, имеющими металлический блеск.
2.5. Пудра не должна содержать видимых невооруженным глазом инородных примесей.
2.6. Срок хранения пудры - два года со дня изготовления.
(п. 2.6 введен
Изменением N 2, утв. Постановлением Госстандарта СССР от 29.06.1987 N 2775)
2а. ТРЕБОВАНИЯ БЕЗОПАСНОСТИ
Постановлением Госстандарта СССР
от 07.07.1983 N 2969)
2а.1. Алюминиевую пудру по степени воздействия на организм человека относят к 3-му классу опасности в соответствии с требованиями
ГОСТ 12.1.005-88.
(в ред.
Изменения N 3, утв. Постановлением Госстандарта СССР от 06.05.1991 N 635)
При вдыхании пыль алюминия поражает главным образом легкие, вызывая алюминоз легких.
2а.2. Предельно допустимая концентрация алюминиевой пудры в воздухе рабочей зоны в соответствии с требованиями
ГОСТ 12.1.005-88 - 2 мг/м3.
(в ред.
Изменения N 3, утв. Постановлением Госстандарта СССР от 06.05.1991 N 635)
Контроль воздушной среды рабочей зоны необходимо осуществлять в соответствии с требованиями
ГОСТ 12.1.005-88 и типовым положением по организации контроля воздушной среды, утвержденным Госгортехнадзором СССР.
(в ред.
Изменения N 3, утв. Постановлением Госстандарта СССР от 06.05.1991 N 635)
Определение содержания алюминия в воздухе рабочей зоны следует проводить фотометрическим методом в соответствии с методиками, утвержденными Министерством здравоохранения СССР.
(абзац введен
Изменением N 3, утв. Постановлением Госстандарта СССР от 06.05.1991 N 635)
Абзац исключен с 1 января 1988 года. -
Изменение N 2, утв. Постановлением Госстандарта СССР от 29.06.1987 N 2775.
2а.2.1. Исключен с 1 января 1988 года. -
Изменение N 2, утв. Постановлением Госстандарта СССР от 29.06.1987 N 2775.
2а.3. Алюминиевую пудру в соответствии с требованиями
ГОСТ 12.1.044-89 относят к группе горючих веществ. Во взвешенном состоянии в атмосфере воздуха алюминиевая пудра (аэрозоль) взрывоопасна, в насыпанном состоянии (аэрогель) - пожароопасна.
(в ред.
Изменения N 2, утв. Постановлением Госстандарта СССР от 29.06.1987 N 2775,
Изменения N 3, утв. Постановлением Госстандарта СССР от 06.05.1991 N 635)
При наличии источника иницирования воспламенения (горящие или накаленные тела, искрение от удара или трения, тепловые проявления химических реакций и механических воздействий, электрические разряды и т.п.) аэрозоль алюминиевой пыли при концентрации выше нижнего концентрационного предела распространения пламени (НКПР) взрывается.
(в ред.
Изменения N 3, утв. Постановлением Госстандарта СССР от 06.05.1991 N 635)
При этом осевшая в помещении алюминиевая пыль может перейти во взвешенное состояние и вызвать более сильный взрыв. НКПР алюминиевой пыли не менее 40 г/м3, ориентировочные значения показателей температуры воспламенения аэрозоля - 540 °С, аэрогеля - 470 °С.
(в ред.
Изменения N 3, утв. Постановлением Госстандарта СССР от 06.05.1991 N 635)
Алюминиевая пудра при взаимодействии с водой, кислородом воздуха и окислителями способна гореть.
(в ред.
Изменения N 2, утв. Постановлением Госстандарта СССР от 29.06.1987 N 2775)
При попадании в алюминиевую пудру воды возможно ее самовозгорание. Опасность возрастает по мере увеличения дисперсности пудры.
При работе с пудрой необходимо избегать пыления, не допускать наличия источников иницирования воспламенения, попадания в пудру влаги, скоплений осевшей пыли.
2а.4. В соответствии с требованиями
ГОСТ 19433-88 по степени опасности груза пудру относят к опасным грузам класса 4, подкласса 4.3. Категория опасности груза 431.
(п. 2а.4 в ред.
Изменения N 2, утв. Постановлением Госстандарта СССР от 29.06.1987 N 2775,
Изменения N 3, утв. Постановлением Госстандарта СССР от 06.05.1991 N 635)
| | ИС МЕГАНОРМ: примечание. Постановлением Госстандарта СССР от 14.06.1991 N 875 с 1 июля 1992 года введен в действие ГОСТ 12.1.004-91. | |
2а.5. Для тушения алюминиевой пудры применяют: песок, сухие порошки глинозема, магнезита, обезвоженного карналлита и огнетушащие порошки на основе хлоридов щелочных и щелочноземельных металлов. Запрещается применять воду, пенные и углекислотные огнетушители. Общие требования по обеспечению пожарной безопасности должны соответствовать требованиям ГОСТ 12.1.004-85.
(п. 2а.5 в ред.
Изменения N 2, утв. Постановлением Госстандарта СССР от 29.06.1987 N 2775,
Изменения N 3, утв. Постановлением Госстандарта СССР от 06.05.1991 N 635)
2а.6. Для индивидуальной защиты органов дыхания от аэрозолей алюминиевой пудры необходимо применять специальную пылезащитную одежду согласно действующим типовым отраслевым нормам бесплатной выдачи спецодежды, спецобуви и предохранительных приспособлений рабочим и служащим, утвержденным Госкомитетом СССР по труду и социальным вопросам.
(в ред.
Изменения N 3, утв. Постановлением Госстандарта СССР от 06.05.1991 N 635)
Коллективные средства защиты от алюминиевой пыли должны соответствовать правилам безопасности при производстве порошков и пудр алюминия, магния и сплавов на их основе, утвержденным Госгортехнадзором СССР.
2а.7. Непригодную к использованию алюминиевую пудру и пыль (отходы) не допускается вывозить в отвалы. Отходы должны сжигаться в местах, согласованных с местными органами пожарного надзора.
2а.8. Исключен с 1 января 1988 года. -
Изменение N 2, утв. Постановлением Госстандарта СССР от 29.06.1987 N 2775.
3.1. Пудру принимают партиями. Партия должна состоять из пудры одной марки и оформлена одним документом о качестве, содержащим:
товарный знак или наименование предприятия-изготовителя и товарный знак;
марку пудры;
номер партии;
массу (нетто) партии;
количество мест в партии;
результаты испытаний;
дату изготовления;
обозначение настоящего стандарта.
Масса партии должна быть не более 3000 кг
(п. 3.1 в ред.
Изменения N 1, введенного Постановлением Госстандарта СССР от 07.07.1983 N 2969)
Партия состоит из пудры одной марки, оформленной одним документом о качестве.
3.2. Для определения качества пудры отбирают выборку в соответствии с табл. 3.
Таблица 3
────────────────────────────────────────────┬─────────────────────
Количество банок в контролируемой партии │ Объем выборки
────────────────────────────────────────────┼─────────────────────
От 1 до 5 │Все
Св. 5 " 15 │5
" 15 " 35 │7
" 35 " 60 │8
Св. 60 до 99 │9
(в ред.
Изменения N 1, введенного Постановлением Госстандарта СССР от 07.07.1983 N 2969)
3.3. Содержание магнитной фракции и влаги в пудре изготовитель определяет периодически на каждой десятой партии на выборке, отобранной по
п. 3.2.
3.4. Проверку соответствия упаковки и маркировки требованиям настоящего стандарта проводят на каждом барабане партии.
(в ред.
Изменения N 2, утв. Постановлением Госстандарта СССР от 29.06.1987 N 2775)
3.5. При получении неудовлетворительных результатов испытаний хотя бы по одному из показателей по нему проводят повторные испытания на удвоенной выборке, отобранной от той же партии пудры. Результаты повторных испытаний распространяются на всю партию.
4.1. Для определения химического и гранулометрического составов и насыпной плотности отбирают среднюю пробу.
4.2. Отбор и подготовка проб
4.2.1. Из каждого барабана выборки щупом по ГОСТ 23148-78 отбирают точечную пробу массой не менее 150 г.
(в ред.
Изменения N 2, утв. Постановлением Госстандарта СССР от 29.06.1987 N 2775)
4.2.2. Точечные пробы соединяют, тщательно перемешивают и сокращают методом квартования или с помощью струйного делителя до средней пробы массой не менее 500 г.
(в ред.
Изменения N 2, утв. Постановлением Госстандарта СССР от 29.06.1987 N 2775)
4.2.3. Среднюю пробу делят на две части, одну из которых подвергают испытаниям, а другую упаковывают в плотно закрывающуюся тару и хранят в течение трех месяцев на случай разногласия в оценке качества.
4.3. Определение гранулометрического состава
Гранулометрический состав определяют просевом пробы массой 50 г через сита с сетками по
ГОСТ 6613-86.
(в ред.
Изменения N 2, утв. Постановлением Госстандарта СССР от 29.06.1987 N 2775)
4.3.1. Аппаратура
Механический встряхиватель с частотой вращения сит 270 - 300 об/мин и числом встряхиваний 140 - 180 в минуту.
Весы лабораторные общего назначения 4-го класса точности с погрешностью взвешивания не более 0,01 г по ГОСТ 24104-88.
(в ред.
Изменения N 2, утв. Постановлением Госстандарта СССР от 29.06.1987 N 2775,
Изменения N 3, утв. Постановлением Госстандарта СССР от 06.05.1991 N 635)
(в ред.
Изменения N 2, утв. Постановлением Госстандарта СССР от 29.06.1987 N 2775)
Кисточка мягкая по нормативно-технической документации.
(в ред.
Изменения N 2, утв. Постановлением Госстандарта СССР от 29.06.1987 N 2775)
4.3.2. Проведение анализа
Под набором сит, собранных в необходимой последовательности, помещают поддон и устанавливают на механический встряхиватель. Пробу массой 50 г взвешивают с погрешностью не более 0,01 г, помещают на верхнее сито и закрывают крышкой. Включают встряхиватель и просеивают пудру в течение 30 мин.
Остаток на ситах и поддоне определяют взвешиванием с погрешностью не более 0,01 г. Застрявшие в отверстиях сит частицы извлекают с помощью мягкой кисточки и присоединяют к остатку на сите.
Потери при просеивании не должны превышать 1%.
4.3.3. Обработка результатов
Массовая доля отдельных фракций (Х) в процентах вычисляют по формуле
(в ред.
Изменения N 2, утв. Постановлением Госстандарта СССР от 29.06.1987 N 2775)

,
где

- масса данной фракции, г;
m - масса испытуемой пробы, г.
За результат анализа принимают округленное до первого десятичного знака среднее арифметическое результатов двух определений, расхождение между которыми не должно превышать 20 отн. %.
(в ред.
Изменения N 2, утв. Постановлением Госстандарта СССР от 29.06.1987 N 2775)
4.4. Определение насыпной плотности
4.4.1. Аппаратура
Весы лабораторные общего назначения 4-го класса точности с погрешностью взвешивания не более 0,01 г по ГОСТ 24104-88.
(в ред.
Изменения N 2, утв. Постановлением Госстандарта СССР от 29.06.1987 N 2775,
Изменения N 3, утв. Постановлением Госстандарта СССР от 06.05.1991 N 635)
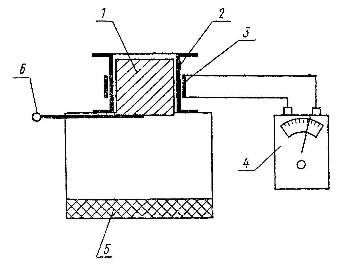
Установка для определения насыпной плотности (черт. 1).
Металлическая пластина.
1 - воронка из латуни; 2 - сетка N 1,6 по ГОСТ 3584-73;
3 - корпус из прозрачного органического стекла;
4 - наклонные стеклянные пластины;
5 - цилиндрический стакан вместимостью
(100 +/- 0,05) см3 с внутренним диаметром 50 мм;
6 - стойка
Госстандарта СССР от 29.06.1987 N 2775,
Госстандарта СССР от 06.05.1991 N 635)
Черт. 1
4.4.2. Проведение испытания
Навеску пудры массой 150 - 200 г постепенно насыпают через воронку 1 с сеткой 2 и корпус 3 с наклонными пластинами 4 в мерный стакан 5. Расстояние между нижним срезом корпуса 3 и верхней кромкой стакана 5 должно быть 25 мм. Корпус 3 крепят к стойке 6.
(в ред.
Изменения N 2, утв. Постановлением Госстандарта СССР от 29.06.1987 N 2775)
Избыток пудры осторожно снимают металлической пластиной. Затем стакан с пудрой взвешивают с погрешностью не более 0,01 г.
4.4.3. Обработка результатов
Насыпную плотность (

) в г/см3 вычисляют по формуле

,
где m - масса стакана с пудрой, г;

- масса стакана, г;

- вместимость стакана, см3.
За результат испытания принимают округленное до первого десятичного знака среднее арифметическое результатов трех параллельных определений, расхождение между которыми не должно превышать 5 отн. %.
(в ред.
Изменения N 2, утв. Постановлением Госстандарта СССР от 29.06.1987 N 2775)
4.5. Определение массовой доли магнитной фракции
(в ред.
Изменения N 2, утв. Постановлением Госстандарта СССР от 29.06.1987 N 2775)
4.5.1. Проверку на массовую долю магнитной фракции проводят на всей массе пудры любого барабана (массой не более 10 кг), входящей в выборку.
(в ред.
Изменения N 2, утв. Постановлением Госстандарта СССР от 29.06.1987 N 2775)
4.5.2. Аппаратура
Контрольный сепаратор (черт. 2).
1 - емкость для сепарируемой пудры; 2 - вентиль; 3 - корпус
сепаратора (квадратная труба с площадью внутреннего сечения,
равной 16 см2); 4 - кожух магнита (восемь взаимно
перпендикулярных кожухов укреплены консольно в стенках
трубы); 5 - магниты (цилиндрические постоянные магниты
диаметром 25 мм, длиной 25 мм, расположенные в кожухах);
6 - емкость для отсепарированной пудры; 7 - стойка
Постоянный магнит в кожухе из немагнитного металла (черт. 3). Магнит изготовлен из сплава марки ЮНДК 35Т5БА по
ГОСТ 17809-72 и должен иметь магнитный поток не менее 0,2 мВб.
Черт. 3
Установка для измерения магнитного потока (черт. 4).
| | ИС МЕГАНОРМ: примечание. ГОСТ 16507-80 утратил силу с 1 января 1992 года (ИУС "Государственные стандарты", N 8, 1991). | |
1 - магнит; 2 - катушка наружным диаметром 28 +/- 0,5 мм,
с толщиной стенки 0,2 - 0,5 мм,
изготовленная из немагнитного металла (алюминий, медь);
3 - обмотка, состоящая из 20 витков,
намотанных в два слоя медным эмалированным проводом (ПЭЛ)
или обмоточным с эмалевоволокнистой изоляцией
проводом (ПЭЛШО) диаметром 0,2 мм по ГОСТ 16507-80;
4 - милливеберметр;
5 - подставка; 6 - фиксатор
Госстандарта СССР от 07.07.1983 N 2969,
Госстандарта СССР от 06.05.1991 N 635)
Черт. 4
Весы лабораторные общего назначения 2-го класса точности с погрешностью взвешивания не более 0,001 г по ГОСТ 24104-88.
(в ред.
Изменения N 2, утв. Постановлением Госстандарта СССР от 29.06.1987 N 2775,
Изменения N 3, утв. Постановлением Госстандарта СССР от 06.05.1991 N 635)
4.5.3. Проведение испытания
4.5.3.1. Определение величины магнитного потока постоянных магнитов
Магнит 1 (см. черт. 4) устанавливают внутри катушки 2 на фиксатор 6. Затем фиксатор отводят, и магнит под действием собственной тяжести падает на подставку 5, при этом стрелка милливеберметра отклоняется.
Расстояние от фиксатора 6 до центра обмотки 3 должно быть равно половине высоты магнита 1.
Величину магнитного потока (Ф) в мВб вычисляют по формуле

,
где р - показание стрелки милливеберметра.
4.5.3.2. Проведение анализа
В кожухи 4 (см.
черт. 2) контрольного сепаратора вставляют магниты 5 и сепаратор устанавливают на емкость 6 для отсепарированной пудры.
Расстояние между центрами любых двух соседних магнитов должно быть равным и не менее 50 мм.
В емкость 1 загружается испытуемая пудра. Открывая вентиль 2, дают возможность пудре из емкости 1 пересыпаться через сепаратор в емкость 6. После окончания сепарации сепаратор устанавливают на лист кальки размером 200 х 200 мм. Из кожухов извлекают магниты. Сепаратор встряхивают для очистки его от зависшей на кожухах смеси частиц магнитной фракции и пудры. Затем с помощью магнита, помещенного в кожух, производят выделение частиц магнитной фракции из смеси, находящейся на кальке. Последнюю операцию повторяют трижды. Выделенную магнитную фракцию взвешивают на аналитических весах с погрешностью не более 0,001 г.
4.5.3.3. Обработка результатов
Массовая доля магнитной фракции (

) в граммах на 100 кг вычисляют по формуле
(в ред.
Изменения N 2, утв. Постановлением Госстандарта СССР от 29.06.1987 N 2775)

,
где m - масса магнитной фракции, г;

- масса испытуемой пудры, кг.
За результат испытания принимают округленное до первого десятичного знака среднее арифметическое результатов двух параллельных определений, расхождение между которыми не должно превышать 20 отн. %.
(в ред.
Изменения N 2, утв. Постановлением Госстандарта СССР от 29.06.1987 N 2775)
4.6. Массовую долю железа определяют по ГОСТ 12697.7-77.
(в ред.
Изменения N 1, введенного Постановлением Госстандарта СССР от 07.07.1983 N 2969,
Изменения N 2, утв. Постановлением Госстандарта СССР от 29.06.1987 N 2775)
4.7. Массовую долю жировых добавок и влаги определяют по ГОСТ 5494-71.
(в ред.
Изменения N 2, утв. Постановлением Госстандарта СССР от 29.06.1987 N 2775)
4.8. Определение массовой доли активного алюминия
Массовую долю активного алюминия определяют косвенным способом: измеряя объем водорода, образовавшегося в результате реакции с гидроокисью натрия.
4.8.1. Аппаратура и реактивы
Газоволюметр (черт. 5);
Госстандарта СССР от 06.05.1991 N 635)
Черт. 5
Весы лабораторные общего назначения 2-го класса точности с погрешностью взвешивания не более 0,0002 г по ГОСТ 24104-88;
(в ред.
Изменения N 3, утв. Постановлением Госстандарта СССР от 06.05.1991 N 635)
натрия гидроокись по
ГОСТ 4328-77, массовая концентрация 20 г/дм3;
4.8.2. Проведенные испытания
Навеску пудры массой 0,05 - 0,1 г, взвешенную с погрешностью не более 0,0002 г, помещают в пробирку, установленную в реакционном сосуде наклонно. В реакционный сосуд осторожно наливают 30 см3 раствора натрия гидроокиси с массовой концентрацией 20 г/дм3 так, чтобы раствор находился ниже краев пробирки.
Реакционный сосуд плотно закрывают резиновой пробкой, через которую проходит трубка, соединяющая его через трехходовой кран с атмосферой и через двухходовой кран с измерительной бюреткой.
Перед началом опыта измерительную бюретку при помощи уравнительной склянки заполняют водой, затем реакционный сосуд поворотом трехходового крана разобщают с атмосферой и соединяют с измерительной бюреткой.
Температура воды, охлаждающей реакционный сосуд, а также воды, заключенной в кожухе измерительной бюретки, не должна отличаться от температуры окружающего воздуха более чем на 1 °С.
Реакционный сосуд встряхивают так, чтобы часть раствора попала в пробирку с пудрой, и погружают в воду. Встряхивание повторяют несколько раз до полного растворения алюминия.
После прекращения выделения газа и охлаждения реакционного сосуда до температуры окружающего воздуха объем газа измеряют 2 - 3 раза через каждые 15 мин при помощи уравнительной склянки. После того, как объем газа станет постоянным, измеряют атмосферное давление и температуру окружающего воздуха.
4.8.3. Обработка результатов
Массовую долю активного алюминия (

) в процентах вычисляют по формуле

,
где Р - атмосферное давление, Па;

- упругость водяных паров при температуре анализа, Па;
0,000216 - коэффициент пересчета водорода на алюминий;
V - объем выделившегося газа, см3;
t - температура в кожухе измерительной бюретки, °С;
M - навеска алюминиевой пудры, г.
За результат испытания принимают округленное до первого десятичного знака среднее арифметическое двух параллельных определений, расхождение между которыми не должно превышать 1 отн. %.
Контроль правильности результатов анализа следует проводить методом стандартной добавки в соответствии с требованиями
ГОСТ 25086-87.
(п. 4.8 в ред.
Изменения N 2, утв. Постановлением Госстандарта СССР от 29.06.1987 N 2775,
Изменения N 3, утв. Постановлением Госстандарта СССР от 06.05.1991 N 635)
4.9. Массовую долю окиси алюминия (

) определяют по разности между 100% и массовой доли суммы активного алюминия, железа жировых добавок и влаги в процентах.
(в ред.
Изменения N 2, утв. Постановлением Госстандарта СССР от 29.06.1987 N 2775)
4.10. Проверку внешнего вида пудры и на отсутствие инородных примесей проводят внешним осмотром всей выборки.
5. УПАКОВКА, МАРКИРОВКА, ТРАНСПОРТИРОВАНИЕ И ХРАНЕНИЕ
5.1. Пудру алюминиевую упаковывают в соответствии с требованиями
ГОСТ 26319-84 в металлические герметично закрывающиеся барабаны типа БТ-50-II или БТО-50-I ТУ 48-5-254-86, вместимостью 40, 50, 56 дм3, массой брутто не более 75 кг.
(в ред.
Изменения N 3, утв. Постановлением Госстандарта СССР от 06.05.1991 N 635)
Для предохранения от коррозии наружная поверхность барабанов должна быть окрашена.
Крышка каждого упакованного барабана должна быть герметизирована замазкой, не оказывающей отрицательного влияния на качество пудры.
(п. 5.1 в ред.
Изменения N 2, утв. Постановлением Госстандарта СССР от 29.06.1987 N 2775)
5.2. Транспортная маркировка - по
ГОСТ 14192-77 с нанесением на барабанах манипуляционных знаков: "Боится сырости", "Герметичная упаковка" и знака опасности по
ГОСТ 19433-88, подкласса 4.3.
(в ред.
Изменения N 3, утв. Постановлением Госстандарта СССР от 06.05.1991 N 635)
На каждом барабане несмываемой краской при помощи штампа или трафарета должны быть указаны:
товарный знак или наименование и товарный знак предприятия-изготовителя;
наименование пудры;
марка пудры;
номер партии;
масса брутто и нетто;
дата изготовления;
номер упаковочной единицы;
обозначение настоящего стандарта;
серийный номер 00Н 1396.
(абзац введен
Изменением N 3, утв. Постановлением Госстандарта СССР от 06.05.1991 N 635)
(п. 5.2 в ред.
Изменения N 1, введенного Постановлением Госстандарта СССР от 07.07.1983 N 2969; п. 5.2 в ред.
Изменения N 2, утв. Постановлением Госстандарта СССР от 29.06.1987 N 2775)
5.3. Исключен с 1 января 1984 года. -
Изменение N 1, введенное в действие Постановлением Госстандарта СССР от 07.07.1983 N 2969.
5.4. Пудру транспортируют транспортом всех видов в крытых транспортных средствах в соответствии с правилами перевозок грузов, действующими на транспорте данного вида.
Формирование транспортных пакетов в соответствии с требованиями
ГОСТ 26663-85 и ТУ 48-5-286-87. Средства скрепления пакетов должны соответствовать требованиям
ГОСТ 21650-76. Транспортная маркировка пакетов - по
ГОСТ 14192-77.
(в ред.
Изменения N 3, утв. Постановлением Госстандарта СССР от 06.05.1991 N 635)
На железнодорожном транспорте пудру следует транспортировать повагонно.
При транспортировании алюминиевой пудры воздушным транспортом масса груза нетто на одну упаковку не должна превышать 15 кг на пассажирских и 50 кг на грузовых воздушных судах.
(в ред.
Изменения N 3, утв. Постановлением Госстандарта СССР от 06.05.1991 N 635)
Погрузочно-разгрузочные работы с алюминиевой пудрой следует выполнять в соответствии с требованиями
ГОСТ 12.3.009-76. Не допускается перебрасывать барабаны с пудрой и перекатывать их боковой поверхностью.
(п. 5.4 в ред.
Изменения N 2, утв. Постановлением Госстандарта СССР от 29.06.1987 N 2775)
5.5. Пудру хранят в упаковке изготовителя в закрытых сухих помещениях на расстоянии не менее 1 м от отопительных приборов.
Запрещается совместное хранение пудры с окислителями и водными растворами различных соединений.
(в ред.
Изменения N 2, утв. Постановлением Госстандарта СССР от 29.06.1987 N 2775)
6.1. Изготовитель должен гарантировать соответствие качества пудры требованиям настоящего стандарта при соблюдении условий хранения, транспортирования и правил погрузочно-разгрузочных работ.
(в ред.
Изменения N 1, введенного Постановлением Госстандарта СССР от 07.07.1983 N 2969)
Гарантийный срок хранения пудры всех марок устанавливается один год с момента изготовления.
7. ТРЕБОВАНИЯ БЕЗОПАСНОСТИ
Исключен с 1 января 1984 года. -
Изменение N 1, введенное Постановлением Госстандарта СССР от 07.07.1983 N 2969.