Главная // Актуальные документы // ГОСТ (Государственный стандарт)СПРАВКА
Источник публикации
М.: Стандартинформ, 2018
Примечание к документу
Текст данного документа приведен с учетом
поправки, опубликованной в "ИУС", N 4, 2021;
поправки, введенной в действие с 03.11.2021, опубликованной в "ИУС", N 2, 2022.
Документ
введен в действие с 01.04.2019.
Название документа
"ГОСТ 3916.2-2018. Межгосударственный стандарт. Фанера общего назначения с наружными слоями из шпона хвойных пород. Технические условия"
(введен в действие Приказом Росстандарта от 27.06.2018 N 367-ст)
"ГОСТ 3916.2-2018. Межгосударственный стандарт. Фанера общего назначения с наружными слоями из шпона хвойных пород. Технические условия"
(введен в действие Приказом Росстандарта от 27.06.2018 N 367-ст)
агентства по техническому
регулированию и метрологии
от 27 июня 2018 г. N 367-ст
МЕЖГОСУДАРСТВЕННЫЙ СТАНДАРТ
ФАНЕРА ОБЩЕГО НАЗНАЧЕНИЯ С НАРУЖНЫМИ СЛОЯМИ
ИЗ ШПОНА ХВОЙНЫХ ПОРОД
ТЕХНИЧЕСКИЕ УСЛОВИЯ
Plywood for general use with outer layers
of coniferous veneer. Specifications
(EN 13986:2004+A1:2015, NEQ)
ГОСТ 3916.2-2018
Дата введения
1 апреля 2019 года
Цели, основные принципы и основной порядок проведения работ по межгосударственной стандартизации установлены в
ГОСТ 1.0-2015 "Межгосударственная система стандартизации. Основные положения" и
ГОСТ 1.2-2015 "Межгосударственная система стандартизации. Стандарты межгосударственные, правила и рекомендации по межгосударственной стандартизации. Правила разработки, принятия, обновления и отмены"
1 РАЗРАБОТАН Техническим комитетом по стандартизации ТК 121 "Плиты древесные"
2 ВНЕСЕН Федеральным агентством по техническому регулированию и метрологии
3 ПРИНЯТ Межгосударственным советом по стандартизации, метрологии и сертификации (протокол от 30 мая 2018 г. N 109-П)
За принятие проголосовали:
Краткое наименование страны по МК (ИСО 3166) 004-97 | Код страны по МК (ИСО 3166) 004-97 | Сокращенное наименование национального органа по стандартизации |
Армения | AM | Минэкономики Республики Армения |
Беларусь | BY | Госстандарт Республики Беларусь |
Казахстан | KZ | Госстандарт Республики Казахстан |
Киргизия | KG | Кыргызстандарт |
Россия | RU | Росстандарт |
Таджикистан | TJ | Таджикстандарт |
4
Приказом Федерального агентства по техническому регулированию и метрологии от 27 июня 2018 г. N 367-ст межгосударственный стандарт ГОСТ 3916.2-2018 введен в действие в качестве национального стандарта Российской Федерации с 1 апреля 2019 г.
5 Настоящий стандарт разработан с учетом основных нормативных положений европейского стандарта EN 13986:2004+A1:2015 "Древесные плиты для использования в строительстве. Характеристики, оценка соответствия и маркировка" ("Wood-based panels for use in construction - Characteristics, evaluation of conformity and marking", NEQ)
Информация об изменениях к настоящему стандарту публикуется в ежегодном информационном указателе "Национальные стандарты", а текст изменений и поправок - в ежемесячном информационном указателе "Национальные стандарты". В случае пересмотра (замены) или отмены настоящего стандарта соответствующее уведомление будет опубликовано в ежемесячном информационном указателе "Национальные стандарты". Соответствующая информация, уведомление и тексты размещаются также в информационной системе общего пользования - на официальном сайте Федерального агентства по техническому регулированию и метрологии в сети Интернет (www.gost.ru)
Настоящий стандарт распространяется на фанеру общего назначения с наружными слоями из шпона хвойных пород древесины (далее - фанера).
Настоящий стандарт не распространяется на фанеру специального назначения и облицованную.
В настоящем стандарте использованы нормативные ссылки на следующие межгосударственные стандарты:
ГОСТ 12.1.044-89 (ИСО 4589-84) Система стандартов безопасности труда. Пожаровзрывоопасность веществ и материалов. Номенклатура показателей и методы их определения
ГОСТ 12.4.011-89 Система стандартов безопасности труда. Средства защиты работающих. Общие требования и классификация
ГОСТ 427-75 Линейки измерительные металлические. Технические условия
ГОСТ 2140-81 Видимые пороки древесины. Классификация, термины и определения, способы измерения
ГОСТ 7016-2013 Изделия из древесины и древесных материалов. Параметры шероховатости поверхности
ГОСТ 7076-99 Материалы и изделия строительные. Метод определения теплопроводности и термического сопротивления при стационарном тепловом режиме
ГОСТ 7502-98 Рулетки измерительные металлические. Технические условия
ГОСТ 8925-68 Щупы плоские для станочных приспособлений. Конструкция
ГОСТ 9620-94 Древесина слоистая клееная. Отбор образцов и общие требования при испытании
ГОСТ 9621-72 Древесина слоистая клееная. Методы определения физических свойств
ГОСТ 9622-2016 Древесина слоистая клееная. Методы определения предела прочности и модуля упругости при растяжении
ГОСТ 9624-2009 Древесина слоистая клееная. Метод определения предела прочности при скалывании
ГОСТ 9625-2013 Древесина слоистая клееная. Методы определения предела прочности и модуля упругости при статическом изгибе
ГОСТ 9626-90 Древесина слоистая клееная. Метод определения ударной вязкости при изгибе
ГОСТ 9627.1-75 Древесина слоистая клееная. Метод определения твердости
ГОСТ 11358-89 Толщиномеры и стенкомеры индикаторные с ценой деления 0,01 и 0,1 мм. Технические условия
ГОСТ EN 12086-2011 Изделия теплоизоляционные, применяемые в строительстве. Метод определения характеристик паропроницаемости
ГОСТ 15612-2013 Изделия из древесины и древесных материалов. Методы определения параметров шероховатости поверхности
ГОСТ 15812-87 Древесина клееная слоистая. Термины и определения
ГОСТ 16297-80 Материалы звукоизоляционные и звукопоглощающие. Методы испытаний
ГОСТ 18321-73 Статистический контроль качества. Методы случайного отбора выборок штучной продукции
ГОСТ 25898-2012 Материалы и изделия строительные. Методы определения паропроницаемости и сопротивления паропроницанию
ГОСТ 27296-2012 Здания и сооружения. Методы измерения звукоизоляции ограждающих конструкций
ГОСТ 27678-2014 Плиты древесные и фанера. Перфораторный метод определения содержания формальдегида
ГОСТ 30244-94 Материалы строительные. Методы испытаний на горючесть
ГОСТ 30255-2014 Мебель, древесные и полимерные материалы. Метод определения выделения формальдегида и других вредных летучих химических веществ в климатических камерах
ГОСТ 30427-96 Фанера общего назначения. Общие правила классификации по внешнему виду
ГОСТ 32155-2013 Плиты древесные и фанера. Определение выделения формальдегида методом газового анализа
Примечание - При пользовании настоящим стандартом целесообразно проверить действие ссылочных стандартов в информационной системе общего пользования - на официальном сайте Федерального агентства по техническому регулированию и метрологии в сети Интернет или по ежегодному информационному указателю "Национальные стандарты", который опубликован по состоянию на 1 января текущего года, и по выпускам ежемесячного информационного указателя "Национальные стандарты" за текущий год. Если ссылочный стандарт заменен (изменен), то при пользовании настоящим стандартом следует руководствоваться заменяющим (измененным) стандартом. Если ссылочный стандарт отменен без замены, то положение, в котором дана ссылка на него, применяется в части, не затрагивающей эту ссылку.
3 Классификация и размеры
3.1 Фанеру подразделяют:
- на сорта в зависимости от внешнего вида поверхности;
- марки по степени водостойкости клеевого соединения;
- шлифованную и нешлифованную в зависимости от степени механической обработки поверхности.
3.1.1 По внешнему виду фанеру подразделяют на сорта в зависимости от комбинации сортности наружных слоев: Ex, Ix, IIx, IIIx, IVx.
3.1.2 По степени водостойкости клеевого соединения фанеру подразделяют на марки:
- ФСФ - повышенной водостойкости для внутреннего и наружного использования;
- ФК - водостойкая для внутреннего использования.
3.1.3 По степени механической обработки поверхности фанеру подразделяют:
- на нешлифованную - НШ;
- шлифованную с одной стороны - Ш1;
- шлифованную с двух сторон - Ш2.
3.2 Размеры
3.2.1 Размеры и слойность листов фанеры должны соответствовать нормам, указанным в
таблицах 1,
2.
В миллиметрах
Длина или ширина листов фанеры | Предельное отклонение |
1200; 1220; 1250 | +/- 3,0 |
1500; 1525; 1800; 1850; 2100; 2135; 2400; 2440; 2500 | +/- 4,0 |
2700; 2745; 3000; 3050; 3600; 3660 | +/- 5,0 |
Примечание - Допускается изготовлять фанеру другой длины или ширины по согласованию изготовителя с потребителем. |
В миллиметрах
Номинальная толщина фанеры | Слойность фанеры, не менее | Шлифованная фанера | Нешлифованная фанера |
Предельное отклонение | Разнотолщинность | Предельное отклонение | Разнотолщинность |
4 | 3 | +0,3 -0,5 | 0,6 | +0,9 -0,4 | 1,0 |
6,5 | 3 | +0,4 -0,6 | +1,0 -0,5 |
9 | 5 | +0,4 -0,6 | +1,0 -0,5 |
12 | 5 | +0,5 -0,7 | +1,1 -0,6 |
15 | 7 | +0,6 -0,8 | +1,2 -0,7 | 1,5 |
18 | 9 | +0,7 -0,9 | +1,3 -0,8 |
21 | 9 | +0,8 -1,0 | +1,4 -0,9 |
24 | 11 | +0,9 -1,1 | +1,5 -1,0 |
27 | 11 | +1,0 -1,2 | 1,0 | +1,6 -1,1 | 2,0 |
30 | 13 | +1,1 -1,3 | +1,7 -1,2 |
Примечание - Допускается изготовлять фанеру других толщин и слойности по согласованию изготовителя с потребителем. При этом предельные отклонения вычисляют по формулам: - для шлифованной фанеры: +(0,2 + 0,03Sф), -(0,4 + 0,03Sф); - нешлифованной фанеры: +(0,8 + 0,03Sф), -(0,3 + 0,03Sф), где Sф - номинальная толщина фанеры. |
3.2.2 Листы фанеры должны быть обрезаны под прямым углом. Косина не должна превышать 2 мм на 1 м длины кромки листа.
3.2.3 Отклонение от прямолинейности кромок не должно превышать 2 мм на 1 м длины листа.
3.3 Условное обозначение фанеры должно содержать:
- наименование продукции;
- породу древесины наружных слоев;
- марку;
- сочетание сортов шпона наружных слоев;
- класс эмиссии;
- вид обработки поверхности;
- размеры;
- обозначение настоящего стандарта.
3.4 Пример условного обозначения фанеры с наружными слоями из шпона сосны, марки ФСФ с сочетанием сортов шпона наружных слоев IIIx/IVx, класса эмиссии E1, нешлифованной, длиной 2440 мм, шириной 1220 мм, толщиной 9 мм:
Фанера, сосна ФСФ, IIIx/IVx, E1, НШ, 2440 x 1220 x 9 ГОСТ 3916.2-2018
4.1 Характеристики
4.1.1 При изготовлении фанеры применяют:
- лущеный шпон хвойных пород (сосны, лиственницы, ели, пихты и кедра), внутренние слои могут быть изготовлены из шпона лиственных пород при условии сохранения механических и эксплуатационных свойств фанеры;
- низкотоксичные термореактивные смолы.
Фанеру считают изготовленной из той породы древесины, из которой изготовлены ее наружные слои.
При четном числе слоев шпона два средних слоя должны иметь параллельное направление волокон. Симметрично расположенные слои шпона по толщине фанеры должны быть из древесины одной породы, толщины и с одинаковым направлением волокон относительно центрального слоя.
4.1.2 В наружных слоях фанеры не допускаются пороки древесины и дефекты обработки, превышающие ограничения, установленные в
таблице 3.
Наименование пороков древесины и дефектов обработки | Фанера с наружными слоями из шпона хвойных пород сортов |
Ex | Ix | IIx | IIIx | IVx |
| Допускаются до 3 шт. на 1 м2 поверхности листа | Допускаются |
2 Здоровые сросшиеся светлые и темные сучки по ГОСТ 2140 | Не допускаются | Допускаются диаметром, мм, не более | Допускаются |
20 | 40 | 60 |
в количестве, на 1 м2 поверхности листа не более 10 шт. Сердцевинные трещины шириной не более 3 мм | Без ограничения количества |
3 Частично сросшиеся, несросшиеся выпадающие сучки, отверстия от них, червоточина по ГОСТ 2140 | Не допускаются | Допускаются диаметром, мм, не более |
6 | 6 | 40 | 100 |
при условии заделки замазками диаметром, мм, не более | |
10 | 15 | Без ограничения количества |
в количестве, шт. на 1 м2 поверхности листа, не более |
3 | 6 |
| Не допускаются | Допускаются |
| Не допускаются | Допускаются длиной, мм, не более |
250 | 400 | 600 | Без ограничения |
шириной, мм, не более |
3 при условии заделки замазкой | 5 | 10 | 15 |
в количестве, шт., не более |
2 | 3 | 3 | Без ограничения количества |
на 1 м ширины листа |
| Не допускается | Допускается |
| Не допускается | Допускается шириной, мм, не более | Допускается |
6 длиной, мм, не более |
50 | 100 |
| Не допускается | Допускаются общей площадью не более 10% поверхности листа | Допускается |
| Не допускается | Допускаются шириной, мм, не более | Допускается |
6 | 75 |
10 Отклонение в строении древесины по ГОСТ 2140: наклон волокон, свилеватость, завиток, темные глазки, групповые глазки | Допускается незначительное количество случайного характера, кроме темных глазков | Допускаются |
11 Здоровое изменение окраски без признаков разрушения древесины по ГОСТ 2140: внутренняя заболонь, химическая окраска, синева, цветные заболонные пятна | Не допускаются | Допускаются не более, 30%, поверхности листа | Допускаются |
12 Нездоровое изменение окраски с признаками разрушения древесины по ГОСТ 2140: грибные ядровые пятна (полосы), темные заболонные грибные окраски | Не допускаются | Допускаются |
| Не допускают | Допускаются в общем числе с нормами позиции 3 |
14 Нахлестка по ГОСТ 15812 | Не допускается | Допускается длиной, мм, не более | Допускается |
200 | 400 |
в количестве на 1 м ширины листа, шт., не более |
3 | 5 |
15 Недостача шпона, дефекты кромок листа при шлифовании и обрезке по ГОСТ 15812, ГОСТ 30427 | Не допускается | Допускается от кромок, мм, не более |
2 | 5 | 15 |
| Не допускаются | Допускаются только в нешлифованной фанере | Допускаются |
17 Просачивание клея по ГОСТ 15812 | Не допускаются | Допускаются не более, %, поверхности листа | Допускаются |
5 | 10 |
| Не допускаются | Допускаются |
| Не допускаются | Допускаются высотой (глубиной) в пределах значений предельных отклонений по толщине | Допускаются |
| Не допускаются | Допускается не более, %, поверхности листа | Допускается |
5 | 15 |
| Не допускается | Допускается не более 1%, поверхности листа | Допускается |
| В фанере толщиной не более 9 мм не учитывается, толщиной 9 мм и более допускается со стрелой прогиба не более 15 мм на 1 м длины диагонали листа фанеры |
| Не допускаются | Допускаются скобки из цветного металла |
| Не допускается | Допускается шириной, не более, мм, |
3 | 10 | 15 |
в количестве, шт., не более |
1 | 2 | Без ограничения |
при условии заделки замазкой |
25 Волнистость (для шлифованной фанеры), ворсистость, рябь шпона по ГОСТ 15812, ГОСТ 30427 | Не допускаются | Допускаются |
| Параметр шероховатости Rm по ГОСТ 7016, мкм, не более: |
- для шлифованной фанеры - 200; |
- нешлифованной фанеры - 320 |
27 Вставки из древесины: | | Допускаются размером не более 80 мм | |
а) для починки сучков и отверстий | Не допускаются | в количестве, не более, 5 шт. на 1 м2 поверхности листа | Без ограничения | Допускаются |
б) для починки разошедшихся трещин | Не допускаются | Допускаются длиной, мм, не более | Допускаются |
500 | 800 |
шириной, мм, не более |
30 | 60 |
в количестве не более 2 шт. на 1 м ширины листа |
28 Двойная вставка | Не допускается | Допускается не более 1 шт. на 1 м2 листа | Допускается |
Примечания 1 Норма дефекта обработки "недостача шпона" относится и к внутренним слоям фанеры. 2 Пороки древесины и дефекты обработки, не указанные в таблице 3 (гниль, расслоение, пузырь, закорина и др.), не допускаются. |
4.1.3 Во внутренних слоях фанеры допустимы пороки древесины и дефекты обработки, не влияющие на ее качество и размеры, требования к которым установлены настоящим стандартом.
4.1.4 Сочетание сортов шпона наружных слоев указано в
ГОСТ 30427.
4.1.5 В фанере шириной не более 1525 мм наружный слой сорта Ex может быть составлен из двух полос шпона с соединением по центру листа. В фанере шириной 1525 мм и более наружный слой сорта Ex может быть из трех полос шпона одинаковой ширины. Наружные слои остальных сортов допускается составлять из неограниченного количества полос шпона.
Для сортов Ex, Ix, IIx соединения шпона должны быть параллельны кромкам фанеры, а полосы подобраны по цвету.
4.1.6 Вставки из шпона должны подходить к поверхности, прочно держаться и соответствовать направлению волокон древесины породы наружного слоя фанеры. Для сортов Ix, IIx вставки должны соответствовать цвету древесины.
Замазки должны обеспечивать приклеивание облицовочных материалов, не выкрашиваться при механической обработке и гнутье фанеры, не растрескиваться.
4.2 Физико-механические показатели фанеры должны соответствовать нормам, указанным в
таблицах 4,
5.
Предел прочности при скалывании по клеевому слою, МПа | Разрушение по древесине, % |
Св. 0,2 до 0,4 включ. | Св. или равно 80 |
Св. 0,4 до 0,6 включ. | Св. или равно 60 |
Св. 0,6 до 1,0 | Св. или равно 40 |
От 1,0 и более | - |
Примечания 1 Испытание фанеры марки ФК проводят после вымачивания образцов в воде в течение 24 ч, а фанеры марки ФСФ после кипячения в воде в течение 1 или 6 ч. 2 Испытание фанеры после кипячения в воде в течение 6 ч проводят по согласованию изготовителя с потребителем. 3 Процент разрушения по древесине определяют визуально. 4 Испытания на скалывание проводят в разных клеевых слоях по согласованию изготовителя с потребителем. |
Наименование показателя | Толщина, мм | Марка фанеры | Значение физико-механических показателей |
1 Влажность, % | 4 - 30 | ФК, ФСФ | 5 - 10 |
2 Предел прочности при статическом изгибе вдоль волокон наружных слоев, МПа, не менее | 6,5 - 30 | 30 |
3 Предел прочности при растяжении вдоль волокон наружных слоев, МПа, не менее | 4 - 6,5 | 20 |
4 Модуль упругости при статическом изгибе вдоль волокон, МПа, не менее | 6,5 - 30 | 7000 |
5 Ударная вязкость при изгибе, КДж/м2, не менее | 12 - 30 | 34 |
6 Твердость, МПа | 6,5 - 30 | 20 |
7 Коэффициент теплопроводности, Вт (м·К), при средней плотности, кг/м3 | 4 - 30 | |
300 | 0,09 |
500 | 0,13 |
700 | 0,17 |
1000 | 0,24 |
8 Коэффициент сопротивления диффузии: | | |
- водяному пару при испытаниях во влажной среде при средней плотности, кг/м3 | 4 - 30 | |
300 | 50 |
500 | 70 |
700 | 90 |
1000 | 110 |
- водяному пару при испытаниях в сухой среде при средней плотности, кг/м3 | 4 - 30 | ФК, ФСФ | |
300 | 150 |
500 | 200 |
700 | 220 |
1000 | 250 |
9 Коэффициент звукопоглощения, дБ, в диапазоне частот, Гц | 4 - 30 | |
250 - 500 | 0,10 |
1000 - 2000 | 0,30 |
10 Звукоизоляция, дБ | 6,5 - 30 | 23,0 |
11 Биологическая стойкость: | | 2 |
11.1 Класс опасности | 4 - 30 | 3 |
11.2 Естественная стойкость к воздействию: | | |
- дереворазрушающих грибков | | 4 |
- дереворазрушающих насекомых: | | |
- усачи (Hylotrupes); | | Dhy |
- точильщики (Anobium); | | Sa |
- термиты | | St |
| 4 - 30 | |
Примечание - Показатели позиций 4 - 12 выбирают по согласованию изготовителя с потребителем. |
4.3 Содержание формальдегида в фанере и выделение формальдегида из фанеры в воздух помещения в зависимости от класса эмиссии должны соответствовать значениям, указанным в
таблице 6.
Класс эмиссии | Содержание формальдегида | Выделение формальдегида |
Перфораторный метод, мг/100 г абс. сухой фанеры, мг | Камерный метод, мг/м3 воздуха | Газоаналитический метод, мг/м2·ч |
E0,5 | До 4,0 включ. | До 0,01 включ. | До 1,5 включ. |
E1 | Св. 4,0 до 8,0 включ. | Св. 0,01 до 0,124 включ. | Св. 1,5 до 3,5 включ. или менее 5,0 в течение 3 дней после изготовления |
E2 | Св. 8,0 до 30 включ. | Св. 0,124 до 0,3 | Св. 3,5 до 8,0 включ. или от 5,0 до 12,0 в течение 3 дней после изготовления |
4.4 Учет фанеры производят в кубических метрах и/или квадратных метрах. Объем одного листа определяют с точностью до 0,00001 м3, объем партии фанеры - с точностью до 0,01 м3. Площадь листа фанеры учитывают с точностью до 0,01 м2, площадь листов в партии - с точностью до 0,5 м2.
4.5 Маркировка
Маркировку наносят несмываемой краской на оборотную сторону каждого листа фанеры с указанием марки, сорта фанеры, номера сортировщика.
На пакет фанеры наносят маркировку, содержащую:
- наименование страны-изготовителя;
- наименование предприятия-изготовителя и/или его товарный знак;
- условное обозначение фанеры;
- количество листов в пакете;
- обозначение национального знака соответствия для сертифицируемой продукции.
Допускается при поставке на экспорт наносить дополнительную маркировку.
4.6 Упаковка
4.6.1 Фанера должна быть сформирована в пакеты массой не более 1500 кг отдельно по породам, маркам, сортам, классу эмиссии, видам обработки поверхности и размерам.
Допускается по согласованию изготовителя с потребителем упаковывать в пакеты другой массы.
4.6.2 Упаковка должна обеспечивать сохранность и целостность продукции при транспортировании и хранении. По согласованию изготовителя с потребителем фанеру могут поставлять без упаковки.
5 Требования безопасности и охрана окружающей среды
5.1 Содержание вредных химических веществ, выделяемых при эксплуатации фанеры в воздух жилых помещений и общественных зданий, должно соответствовать требованиям, установленным национальными органами санитарно-эпидемиологического надзора.
5.2 Синтетические материалы, применяемые для изготовления фанеры, должны соответствовать санитарно-эпидемиологическим и гигиеническим требованиям и иметь документ, подтверждающий безопасность данной продукции и оформленный в установленном порядке.
5.3 Допустимый уровень удельной активности радионуклидов цезия-137 в фанере (показатель радиационной безопасности) должен соответствовать нормам, установленным национальными органами санитарно-эпидемиологического надзора.
5.4 Лица, связанные с изготовлением фанеры, должны быть обеспечены средствами индивидуальной защиты по
ГОСТ 12.4.011 (специальной одеждой, защитными очками и комбинированными рукавицами).
6.1 Фанеру предъявляют к приемке партиями. Партия должна состоять из фанеры одной породы древесины, марки, одного сорта, класса эмиссии формальдегида, вида обработки поверхности и размера листов и должна быть оформлена одним документом о качестве, содержащим:
- наименование страны-изготовителя;
- наименование и/или товарный знак предприятия-изготовителя и его адрес;
- условное обозначение фанеры;
- объем или площадь листов в партии.
6.2 Качество и размеры листов фанеры проверяют выборочным контролем. Допускается в соответствии с условиями договора (контракта) осуществлять проверку сплошным контролем.
При выборочном контроле листы фанеры отбирают "вслепую" по
ГОСТ 18321 в количестве, указанном в
таблице 7.
В листах
Объем партии | Контролируемый показатель по пунктам |
| |
Объем выборки | Приемочное число | Объем выборки | Приемочное число |
Не более 500 | 8 | 1 | 13 | 1 |
От 501 до 1200 | 13 | 1 | 20 | 2 |
От 1201 до 3200 | 13 | 1 | 32 | 3 |
От 3201 до 10000 | 20 | 2 | 32 | 3 |
6.3 Предел прочности при скалывании по клеевому слою, при статическом изгибе вдоль волокон наружных слоев, при растяжении вдоль волокон контролируют для каждой марки, толщины и слойности фанеры не реже одного раза в месяц. Допускается контроль для каждой партии по согласованию изготовителя с потребителем, для этого отбирают 0,1% листов от партии, но не менее одного листа.
6.4 Для контроля выделения формальдегида отбирают один лист фанеры от любого объема выборки. Показатель выделения формальдегида контролируют для фанеры марок ФСФ и ФК один раз в 7 сут.
6.5 Партию считают соответствующей требованиям настоящего стандарта и принимают, если в выборках:
- количество листов фанеры, не отвечающих требованиям стандарта по размерам, косине, прямолинейности, порокам древесины и дефектам обработки, менее или равно приемочному числу, установленному в
таблице 7;
- все листы фанеры не имеют пузырей, расслоения и закорин;
- выделение формальдегида соответствует нормам, установленным в
таблице 6;
- физико-механические показатели соответствуют нормам, установленным в
таблицах 4,
5.
7.2 Длину и ширину фанеры измеряют в двух точках параллельно кромкам на расстоянии не менее 100 мм от кромок металлической рулеткой по
ГОСТ 7502 с погрешностью 1 мм. За фактическую длину (ширину) листа принимают среднеарифметическое значение результатов двух измерений.
7.3 Толщину измеряют на расстоянии не менее 25 мм от кромок и посередине каждой стороны листа толщиномером по
ГОСТ 11358 или микрометром по
ГОСТ 6507 с погрешностью не более 0,1 мм.
За фактическую толщину листа принимают среднеарифметическое значение результатов четырех измерений.
Разнотолщинность в одном листе фанеры определяют как разницу между наибольшей и наименьшей толщиной четырех измерений.
7.5 Предел прочности при скалывании по клеевому слою - по
ГОСТ 9624.
7.6 Предел прочности и модуль упругости при статическом изгибе - по
ГОСТ 9625.
7.7 Предел прочности при растяжении - по
ГОСТ 9622.
7.8 Содержание формальдегида - по
ГОСТ 27678 (указанный метод используют в качестве арбитражного). Выделение формальдегида в воздух помещения - по
ГОСТ 30255 или
ГОСТ 32155.
7.11 Отклонение от прямолинейности кромок листа фанеры определяют измерением максимального зазора между кромкой листа и кромкой металлической линейки по
ГОСТ 427, щупом - по ГОСТ 8925 с погрешностью 0,2 мм.
7.14 Ударная вязкость при изгибе - по
ГОСТ 9626.
7.18 Коэффициент теплопроводности - по
ГОСТ 7076.
8 Транспортирование и хранение
8.1 Фанеру перевозят всеми видами транспорта в соответствии с правилами перевозки грузов, действующими для данного вида транспорта, с обязательным предохранением от атмосферных осадков.
8.2 Фанеру хранят в виде горизонтально уложенных пакетов на поддонах или деревянных прокладках в закрытых помещениях при температуре от минус 40 °C до плюс 50 °C и относительной влажности воздуха не более 80%.
Изготовитель гарантирует соответствие качества фанеры требованиям настоящего стандарта при соблюдении условий транспортирования и хранения.
Гарантийный срок хранения фанеры марки ФК - три года, марки ФСФ - пять лет со дня получения ее потребителем.
(рекомендуемое)
МИНИМАЛЬНОЕ КОЛИЧЕСТВО ОБРАЗЦОВ ДЛЯ ФИЗИКО-МЕХАНИЧЕСКИХ
ИСПЫТАНИЙ ФАНЕРЫ И ОЦЕНКА РЕЗУЛЬТАТОВ ИСПЫТАНИЙ
Минимальное количество образцов фанеры для некоторых физико-механических испытаний, вырезанных из одного листа, приведено в
таблице А.1.
Наименование показателя | Метод испытания | Минимальное количество образцов |
1 Влажность | | 4 |
2 Плотность | | 6 |
3 Предел прочности и модуль упругости при статическом изгибе | |
4 Ударная вязкость при изгибе | |
5 Предел прочности при растяжении | |
6 Предел прочности при скалывании по клеевому слою | | 10 |
Для других физико-механических испытаний фанеры, предусмотренных настоящим стандартом, количество образцов и оценка результатов испытаний приведены в соответствующих нормативных документах.
(обязательное)
ОПРЕДЕЛЕНИЕ КОЭФФИЦИЕНТА СОПРОТИВЛЕНИЯ ДИФФУЗИИ ВОДЯНОГО
ПАРА ПРИ ИСПЫТАНИИ ФАНЕРЫ В СУХИХ И ВЛАЖНЫХ СРЕДАХ
Б.1 Методика проведения испытаний
Коэффициент сопротивления диффузии водяному пару указывает, на сколько больше сопротивляемость материала по сравнению со стационарным слоем воздуха равной толщины при одинаковой температуре.
Испытуемый образец устанавливают в чашке, содержащей либо высушенное средство (сухая среда), либо водный насыщенный раствор (влажная среда).
Затем его помещают в камеру, где контролируют влажность и температуру воздуха. Из-за разницы давления пара между чашкой и камерой пар проходит через испытуемый образец. Чтобы определить скорость прохождения водяного пара в стабильном состоянии, производят периодические взвешивания испытуемого образца.
Испытывают как минимум три образца.
Перед проведением испытания образцы должны выдержать при температуре (23 +/- 5) °C и относительной влажности (50 +/- 5)% в течение времени, достаточном для стабилизации их массы и получения результатов трех последующих ежедневных измерений, отличающихся не более чем на 5%.
Серия | Температура, °C | Относительная влажность, % |
Сухая среда | Влажная среда |
Заданная величина | Допуск | Заданная величина | Допуск |
| 23 +/- 0,5 | 0 | +3 | 50 | +/- 3 |
| 23 +/- 0,5 | 50 | +/- 3 | 93 | +/- 3 |
Примечание - Испытания в сухой среде серии 1 дают информацию о поведении материалов при низкой влажности, когда передача влаги зависит от диффузии пара. Испытание во влажной среде серии 2 дает информацию о поведении материалов при условии высокой влажности. |
Ниже даны примеры осушителей и пропитывающих водных растворов, которые обеспечивают определенную относительную влажность воздуха при температуре 23 °C.
а) Осушители:
- хлорид кальция CaCl2 - размер частиц менее 3 мм: 0%;
- перхлорат магния Mg(ClO4)2: 0%.
б) Водные насыщенные растворы:
- нитрат магния Mg(NO3)2: 53%;
- хлорид калия KCl: 85%;
- дигидрофосфат аммония NH4H2PO4: 93%;
- нитрат калия, KNO3: 94%.
Подготовка образцов и комплектов для испытаний, процедура испытания, вычисления паропроницаемости - по
ГОСТ EN 12086.
При испытании фанеры в сухой и влажной среде осушитель или насыщенный водный раствор помещают в чашки так, чтобы воздушное расстояние между осушителем или насыщенным раствором и образцом было (15 +/- 5) мм.
Б.2 Расчет коэффициента сопротивляемости диффузии водяному пару
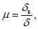
Коэффициент сопротивления диффузии водяному пару

вычисляют по формуле

(Б.1)
где

- паропроницаемость воздуха [в зависимости от среднего атмосферного давления в процессе испытания (см.
рисунок Б.1)];

- паропроницаемость материала, мг/м·ч·Па.
Рисунок Б.1 - Паропроницаемость воздуха
при температуре 23 °C
Допускается, что паропроницаемость воздуха и материала может в равной степени меняться по мере изменения атмосферного давления. Поэтому коэффициент можно считать независимым от атмосферного давления.
(обязательное)
ОПРЕДЕЛЕНИЕ БИОЛОГИЧЕСКОЙ СТОЙКОСТИ ФАНЕРЫ
В зависимости от биологического класса опасности по
ГОСТ 34034 фанера подвергается риску повреждения от воздействия дереворазрушающих грибков и насекомых в разной степени.
Естественная биологическая стойкость фанеры зависит от породы древесины, слоя древесины, толщины шпона, типа и содержания связующего, защиты кромок и др.
В.1 Порода древесины
Чем больше естественная биологическая стойкость используемой плотной древесины, тем выше стойкость фанеры.
Древесину подразделяют по степени естественной стойкости к воздействию дереворазрушающих грибков на пять классов:
- 1 - очень стойкая;
- 2 - стойкая;
- 3 - сравнительно стойкая;
- 4 - немного стойкая;
- 5 - нестойкая.
Древесину по степени естественной стойкости к воздействию насекомых усачей (Hylotrupes) и точильщиков (Anobium) подразделяют на классы:
- D - стойкая;
- S - восприимчивая;
- SH - ядровая древесина также известна, как восприимчивая.
Древесину по степени естественной стойкости к воздействию насекомых термитов подразделяют на классы:
- D - стойкая;
- M - сравнительно стойкая;
- S - восприимчивая.
Характеристики естественной стойкости лиственных и хвойных пород древесины, которые используют при производстве фанеры, приведены в
таблицах В.1,
В.2. Если фанера изготовлена из шпона разных пород древесины, то породу, имеющую самую низкую естественную стойкость, следует использовать для определения ожидаемого уровня стойкости непропитанной фанеры.
Таблица В.1
Естественная стойкость лиственных пород древесины
Научное название | Обычное название | Плотность (диапазон средних значений при влажности 12%), кг/м3 | Естественная стойкость |
Грибок | Насекомые |
Anobium точильщики | Термиты |
1 Acer pseudoplatanaus L. | Клен остролистный | 610 - 680 | 5 | S | S |
2 Acer platanoides L. | Клен ложноплатановый, явор белый | 610 - 680 | 5 | S | S |
3 Alnus glutinosa (L.) Gaertn. | Ольха черная, или клейкая | 500 - 550 | 5 | S | S |
4 Alnus incana (L.) Moench | Ольха серая, или белая | 500 - 550 | 5 | S | S |
5 Betula pubescens Ehrh. | Береза пушистая | 640 - 670 | 5 | S | S |
6 Betula pendula Roth | Береза плакучая, повислая, бородавчатая | 640 - 670 | 5 | S | S |
7 Fagus sylvatica L. | Бук лесной, или европейский | 690 - 750 | 5 | Нет данных | Нет данных |
8 Populas nigra Ait. | Тополь черный (осокорь) | 420 - 480 | 5 | S | S |
9 Populus alba L. | Тополь белый, тополь серебристый | 420 - 480 | 5 | S | S |
10 Quercus robur L. | Дуб черешчатый, летний | 670 - 760 | 2 | S | M |
11 Quercus petraer (Matt.) Liebl. | Дуб скальный, или зимний | 670 - 760 | 2 | S | M |
12 Titia cordata Mill. | Липа мелколистная, сердцевидная | 520 - 560 | 5 | Нет данных | S |
13 Titia platyphyllos Scop. | Липа крупнолистная | 520 - 560 | 5 | Нет данных | S |
Примечания 1 Естественная стойкость к воздействию дереворазрушающих грибков. Естественная стойкость, указанная в данной таблице, относится только к ядровой древесине; считают, что заболонная древесина всех пород относится к классу стойкости 5 (нестойкая), если нет других данных. 2 Естественная стойкость к воздействию насекомых Anobium точильщики. В таблице допускается, что ядровая древесина всех пород - стойкая при воздействии этих насекомых, за исключением тех случаев, когда она обозначается иначе для насекомых Anobium точильщики. SH - ядровая древесина также известна, как восприимчивая. 3 Естественная стойкость к воздействию термитов. Стойкость относится только к ядровой древесине; заболонная древесина всех пород восприимчива. "Стойкая" не предполагает полной сопротивляемости. |
Таблица В.2
Естественная стойкость хвойных пород древесины
Научное название | Обычное название | Плотность (диапазон средних значений при влажности 12%), кг/м3 | Естественная стойкость |
Грибок | Насекомые |
Hylotrupes усачи | Anobium точильщики | Термиты |
1 Abies alba Mill. | Пихта белая, европейская, гребенчатая | 440 - 480 | 4 | SH | SH | S |
2 Larix decidua Mill. | Лиственница европейская опадающая | 470 - 650 | 3 - 4 | S | S | S |
3 Picea abies (L.) Karst | Ель обыкновенная | 440 - 470 | 4 | SH | SH | S |
4 Pinus pinaster Ait. | Сосна приморская | 530 - 550 | 3 - 4 | S | S | S |
5 Pinus sylvestris L. | Сосна обыкновенная | 500 - 540 | 3 - 4 | S | S | S |
Примечания 1 Естественная стойкость к воздействию дереворазрушающего грибка. Стойкость, указанная в данной таблице, относится только к ядровой древесине; считается, что заболонная древесина всех пород относится к классу стойкости 5 (нестойкая), если нет других данных. 2 Естественная стойкость к воздействию насекомых Hylotrupes усачи, Anobium точильщики. SH - ядровая древесина также известна, как восприимчивая. В таблице допускается, что ядровая древесина всех пород - стойкая при воздействии этих насекомых, за исключением тех случаев, когда она обозначается иначе для насекомых Hylotrupes усачи, Anobium точильщики. 3 Естественная стойкость к воздействию термитов. Стойкость относится только к ядровой древесине; заболонная древесина всех пород восприимчива. "Стойкая" не предполагает полной сопротивляемости. |
В.2 Заболонь и ядровая древесина
Естественная биологическая стойкость у заболони менее, чем у ядровой древесины. Если для изготовления фанеры использован шпон из заболонной и ядровой частей древесины, то естественную биологическую стойкость фанеры берут по заболони. Биологическая стойкость заболонного шпона может быть увеличена благодаря проникновению клея. Это может повлиять на масштабы повреждения фанеры, вызванные грибками и насекомыми.
В.3 Толщина шпона
Биологическую стойкость фанеры можно повысить в результате пропитки слоев шпона клеем.
Уменьшая толщину слоя шпона, можно повысить биологическую стойкость фанеры, тонкие слои шпона легче пропитать.
Толщина применяемого шпона может вызвать изменение естественной стойкости фанеры.
При толщине шпона более 3 мм естественная стойкость фанеры полностью соответствует данным
таблиц В.1,
В.2.
При толщине шпона более 1,5 мм, но менее или равной 3 мм следует в
таблице В.2 естественную стойкость при воздействии усачей Hylotrupes заменить S и SH на D.
При толщине шпона менее или равной 1,5 мм следует в
таблицах В.1,
В.2 естественную стойкость при воздействии точильщиков Anobium заменить S и SH на D.
В.4 Тип и содержание связующего
Некоторые связующие обладают характеристиками, влияющими на биологическую стойкость фанеры и степень защищенности от грибка, что может повысить ее биологическую стойкость.
Клеевые швы могут действовать как барьеры, не позволяющие насекомым и их личинкам проникать между слоями.