Главная // Актуальные документы // ГОСТ (Государственный стандарт)СПРАВКА
Источник публикации
М.: Стандартинформ, 2019
Примечание к документу
Текст данного документа приведен с учетом
поправки, опубликованной в "ИУС", N 12, 2021.
Документ
введен в действие с 01.09.2019.
Название документа
"ГОСТ 20910-2019. Межгосударственный стандарт. Бетоны жаростойкие. Технические условия"
(введен в действие Приказом Росстандарта от 26.04.2019 N 171-ст)
"ГОСТ 20910-2019. Межгосударственный стандарт. Бетоны жаростойкие. Технические условия"
(введен в действие Приказом Росстандарта от 26.04.2019 N 171-ст)
агентства по техническому
регулированию и метрологии
от 26 апреля 2019 г. N 171-ст
МЕЖГОСУДАРСТВЕННЫЙ СТАНДАРТ
БЕТОНЫ ЖАРОСТОЙКИЕ
ТЕХНИЧЕСКИЕ УСЛОВИЯ
Refractory concretes. Specifications
ГОСТ 20910-2019
Дата введения
1 сентября 2019 года
Цели, основные принципы и основной порядок проведения работ по межгосударственной стандартизации установлены в
ГОСТ 1.0-2015 "Межгосударственная система стандартизации. Основные положения" и
ГОСТ 1.2-2015 "Межгосударственная система стандартизации. Стандарты межгосударственные, правила и рекомендации по межгосударственной стандартизации. Порядок разработки, принятия, обновления и отмены"
1 РАЗРАБОТАН Структурным подразделением АО "НИЦ "Строительство" - Научно-исследовательским, проектно-конструкторским и технологическим институтом бетона и железобетона им. А.А. Гвоздева (НИИЖБ им. А.А. Гвоздева АО "НИЦ "Строительство")
2 ВНЕСЕН Техническим комитетом по стандартизации ТК 465 "Строительство"
3 ПРИНЯТ Межгосударственным советом по стандартизации, метрологии и сертификации (протокол от 28 февраля 2019 г. N 116-П)
За принятие проголосовали:
Краткое наименование страны по МК (ИСО 3166) 004-97 | Код страны по МК (ИСО 3166) 004-97 | Сокращенное наименование национального органа по стандартизации |
Армения | AM | Минэкономики Республики Армения |
Беларусь | BY | Госстандарт Республики Беларусь |
Киргизия | KG | Кыргызстандарт |
Россия | RU | Росстандарт |
Туркмения | TM | Главгосслужба "Туркменстандартлары" |
4
Приказом Федерального агентства по техническому регулированию и метрологии от 26 апреля 2019 г. N 171-ст межгосударственный стандарт ГОСТ 20910-2019 введен в действие в качестве национального стандарта Российской Федерации с 1 сентября 2019 г.
Информация об изменениях к настоящему стандарту публикуется в ежегодном информационном указателе "Национальные стандарты", а текст изменений и поправок - в ежемесячном информационном указателе "Национальные стандарты". В случае пересмотра (замены) или отмены настоящего стандарта соответствующее уведомление будет опубликовано в ежемесячном информационном указателе "Национальные стандарты". Соответствующая информация, уведомление и тексты размещаются также в информационной системе общего пользования - на официальном сайте Федерального агентства по техническому регулированию и метрологии в сети Интернет (www.gost.ru)
Настоящий стандарт распространяется на жаростойкие бетоны (далее - бетоны), предназначенные для применения при эксплуатационных температурах не выше 1800 °C.
Требования настоящего стандарта следует соблюдать при разработке новых стандартов, пересмотре действующих стандартов, технических условий, проектной и технологической документации и производстве сборных бетонных и железобетонных изделий и конструкций, монолитных и сборно-монолитных сооружений (далее - изделия, конструкции и сооружения) из бетонов данного вида.
Настоящий стандарт не распространяется на огнеупорные бетоны.
В настоящем стандарте использованы нормативные ссылки на следующие межгосударственные стандарты:
ГОСТ 969-91 Цементы глиноземистые и высокоглиноземистые. Технические условия
ГОСТ 2642.0-2014 Огнеупоры и огнеупорное сырье. Общие требования к методам анализа
ГОСТ 2642.1-2016 Огнеупоры и огнеупорное сырье. Методы определения содержания влаги
ГОСТ 2642.2-2014 Огнеупоры и огнеупорное сырье. Метод определения относительного изменения массы при прокаливании
ГОСТ 2642.3-2014 Огнеупоры и огнеупорное сырье. Методы определения оксида кремния (IV)
ГОСТ 2642.4-2016 Огнеупоры и огнеупорное сырье. Методы определения оксида алюминия
ГОСТ 2642.5-2016 Огнеупоры и огнеупорное сырье. Методы определения оксида железа (III)
ГОСТ 2642.6-2017 Огнеупоры и огнеупорное сырье. Методы определения оксида титана (IV)
ГОСТ 2642.7-2017 Огнеупоры и огнеупорное сырье. Методы определения оксида кальция
ГОСТ 2642.8-2017 Огнеупоры и огнеупорное сырье. Методы определения оксида магния
ГОСТ 2642.9-97 Огнеупоры и огнеупорное сырье. Методы определения оксида хрома (III)
ГОСТ 2642.10-86 Огнеупоры и огнеупорное сырье. Методы определения пятиокиси фосфора
ГОСТ 2642.11-97 Огнеупоры и огнеупорное сырье. Метод определения оксидов калия и натрия
ГОСТ 2642.12-97 Огнеупоры и огнеупорное сырье. Методы определения оксида марганца (II)
ГОСТ 5578-94 Щебень и песок из шлаков черной и цветной металлургии для бетонов. Технические условия
ГОСТ 8335-96 Пирометры визуальные с исчезающей нитью. Общие технические условия
ГОСТ 9758-2012 Заполнители пористые неорганические для строительных работ. Методы испытаний
ГОСТ 10178-85 Портландцемент и шлакопортландцемент. Технические условия
ГОСТ 10180-2012 Бетоны. Методы определения прочности по контрольным образцам
ГОСТ 13015-2012 Изделия бетонные и железобетонные для строительства. Общие технические требования. Правила приемки, маркировки, транспортирования и хранения
ГОСТ 13079-93/
ГОСТ Р 50418-92 Силикат натрия растворимый. Технические условия
ГОСТ 13236-83 Порошки периклазовые электротехнические. Технические условия
ГОСТ 13646-68 Термометры стеклянные ртутные для точных измерений. Технические условия
ГОСТ 18481-81 Ареометры и цилиндры стеклянные. Общие технические условия
ГОСТ 20419-83 Материалы керамические электротехнические. Классификация и технические требования
ГОСТ 22685-89 Формы для изготовления контрольных образцов бетона. Технические условия
ГОСТ 23732-2011 Вода для бетонов и строительных растворов. Технические условия
--------------------------------
<*> В Российской Федерации действует
ГОСТ Р 53228-2008 "Весы неавтоматического действия. Часть 1. Метрологические и технические требования. Испытания".
ГОСТ 25592-91 Смеси золошлаковые тепловых электростанций для бетонов. Технические условия
ГОСТ 25818-2017 Золы-уноса тепловых электростанций для бетонов. Технические условия
ГОСТ 27005-2014 Бетоны легкие и ячеистые. Правила контроля средней плотности
ГОСТ 30108-94 Материалы и изделия строительные. Определение удельной эффективной активности естественных радионуклидов
ГОСТ 32496-2013 Заполнители пористые для легких бетонов. Технические условия
Примечание - При пользовании настоящим стандартом целесообразно проверить действие ссылочных стандартов в информационной системе общего пользования - на официальном сайте Федерального агентства по техническому регулированию и метрологии в сети Интернет или по ежегодному информационному указателю "Национальные стандарты", который опубликован по состоянию на 1 января текущего года, и по выпускам ежемесячного информационного указателя "Национальные стандарты" за текущий год. Если ссылочный стандарт заменен (изменен), то при пользовании настоящим стандартом следует руководствоваться заменяющим (измененным) стандартом. Если ссылочный стандарт отменен без замены, то положение, в котором дана ссылка на него, применяется в части, не затрагивающей эту ссылку.
В настоящем стандарте применены следующие термины с соответствующими определениями:
3.1 бетон: Искусственный камневидный строительный материал, получаемый в результате формования и твердения рационально подобранной и уплотненной бетонной смеси.
3.2 жаростойкие бетоны: Специальные бетоны, предназначенные для применения в бетонных и железобетонных конструкциях и изделиях, работающих в условиях воздействия высоких технологических температур.
3.3 конструкционные бетоны: Бетоны несущих и ограждающих конструкций зданий и сооружений, определяющими требованиями к качеству которых являются требования по физико-механическим характеристикам.
3.4 крупнопористые бетоны: Бетоны, у которых пространство между зернами крупного и мелкого заполнителя не полностью заполнено или совсем не заполнено мелкими заполнителями и затвердевшими вяжущими, поризованными добавками, регулирующими пористость в объеме не более 6%.
3.5 легкие бетоны: Бетоны на цементном вяжущем, пористом крупном и пористом или плотном мелком заполнителе.
3.6 монолитные бетонные и железобетонные конструкции: Конструкции из бетона и железобетона, изготовляемые непосредственно на строительной площадке при возведении зданий и сооружений.
3.7 несущие конструкции (элементы): Конструкции, воспринимающие постоянную и временную нагрузку, в том числе нагрузку от других частей зданий.
3.8 плотные бетоны: Бетоны, у которых пространство между зернами крупного и мелкого или только мелкого заполнителя заполнено затвердевшим вяжущим и порами вовлеченного газа или воздуха, в том числе образующимися за счет применения добавок, регулирующих пористость в объеме не более 6%.
3.9 сборные бетонные и железобетонные изделия: Изделия из бетона или железобетона, предназначенные для возведения зданий и сооружений, изготовляемые вне места их окончательного применения.
3.10 специальные бетоны: Бетоны, к которым предъявляются специальные требования в соответствии с их назначением.
3.11 теплоизоляционные бетоны: Специальные бетоны, предназначенные для тепловой изоляции конструкций, зданий и сооружений.
3.12 ячеистые бетоны: Бетоны, у которых основную часть объема составляют равномерно распределенные поры в виде ячеек, полученных с помощью газо- или пенообразователей.
4.1 Бетоны должны соответствовать требованиям настоящего стандарта и обеспечивать изготовление изделий, конструкций и возведение сооружений, удовлетворяющих требованиям стандартов или технических условий, нормам проектирования и проектной документации на данные изделия, конструкции и сооружения.
4.2 Классификация бетонов
4.2.1 Бетоны классифицируют по следующим признакам:
- по назначению;
- структуре;
- виду вяжущего;
- виду тонкомолотой добавки;
- виду заполнителя.
4.2.2 По основному назначению бетоны подразделяют:
- на конструкционные;
- конструкционно-теплоизоляционные;
- теплоизоляционные.
Бетоны по назначению подразделяют в соответствии с
ГОСТ 25192 для тяжелых бетонов,
ГОСТ 25820 для легких бетонов и
ГОСТ 25485 для ячеистых бетонов. Допускается определять вид бетонов по назначению по нормативному документу <*>, действующему на территории государства - участника Соглашения, принявшего настоящий стандарт.
--------------------------------
<*> В Российской Федерации действует
СП 63.13330.2012 "СНиП 52-01-2003 Бетонные и железобетонные конструкции. Основные положения".
4.2.3 По структуре бетоны подразделяют:
- на плотные тяжелые и легкие;
- ячеистые.
4.2.4 По виду вяжущего бетоны подразделяют:
- на портландцемент и его разновидности (быстротвердеющий портландцемент, шлакопортландцемент);
- алюминатные цементы (глиноземистый и высокоглиноземистый);
- силикатные вяжущие (жидкое стекло с отвердителем, силикат-глыба с отвердителем).
4.2.5 В зависимости от вида тонкомолотой добавки различают бетоны со следующими добавками:
- шамотной;
- кордиеритовой;
- золошлаковой;
- керамзитовой;
- аглопоритовой;
- магнезиальной;
- периклазовой;
- алюмохромитовой;
- карборундовой;
- силикатной;
- алюмосиликатной;
- золой-уноса.
4.2.6 По виду заполнителя бетоны подразделяют:
- на шамотные;
- муллитокорундовые;
- корундовые;
- магнезиальные;
- карборундовые;
- кордиеритовые;
- кордиеритомуллитовые;
- муллитокордиеритовые;
- шлаковые;
- золошлаковые;
- базальтовые;
- диабазовые;
- андезитовые;
- диоритовые;
- керамзитовые;
- аглопоритовые;
- перлитовые;
- вермикулитовые;
- бетоны из боя бетона;
- алюмосиликатные.
4.3 Условное обозначение бетона должно соответствовать
ГОСТ 25192 и настоящему стандарту и включать в себя основные признаки:
- вид бетона (BR - жаростойкий бетон);
- вид вяжущего (P - портландцемент, A - алюминатный цемент, S - силикатное вяжущее);
- класс бетона по прочности на сжатие (B1 - B50);
- класс бетона по предельно допустимой температуре применения (И2 - И18).
Примеры условных обозначений
Жаростойкий бетон на портландцементе, класса B20 по прочности на сжатие, с температурой применения 1200 °C:
BR P B20 И12 ГОСТ 20910-2018
Жаростойкий бетон на алюминатном цементе, класса B35 по прочности на сжатие, с температурой применения 1600 °C:
BR A B35 И16 ГОСТ 20910-2018
Жаростойкий бетон на силикатном вяжущем, класса B25 по прочности на сжатие, с температурой применения 1300 °C:
BR S B25 И13 ГОСТ 20910-2018
4.4 Показатели качества бетона
4.4.1 Основными нормируемыми и контролируемыми показателями качества бетона конкретного назначения являются:
- класс бетона по прочности на сжатие B;
- предельно допустимая температура применения бетона И;
- марка бетона по термической стойкости в теплосменах водных - Т1 и воздушных - Т2;
- марка бетона по водонепроницаемости W;
- марка бетона по морозостойкости F;
- марка бетона по средней плотности D;
- предельное значение усадки бетона, %;
- класс бетона по прочности на осевое растяжение Bt (при необходимости).
4.4.2 Бетоны должны иметь следующие классы по прочности на сжатие в проектном возрасте: B1; B1,5; B2; B2,5; B3,5; B5; B7,5; B10; B12,5; B15; B20; B22,5; B25; B30; B35; B40; B50.
Класс по прочности на сжатие бетона B определяют и контролируют во всех случаях.
4.4.3 Высокопрочные бетоны классов по прочности на сжатие от B55 и выше допускается применять при условии экспериментальной проверки изменения их физико-механических и деформативных свойств при температурных воздействиях.
4.4.4 При изготовлении сборных бетонных и железобетонных изделий и конструкций устанавливают отпускную прочность бетона, а при возведении монолитных конструкций и сооружений - прочность бетона в промежуточном возрасте.
Отпускная прочность бетона должна быть не менее 70% нормируемой. Прочность бетона в промежуточном возрасте принимают по проектно-технической документации.
4.4.5 Для бетонов устанавливают следующие классы по предельно допустимой температуре применения согласно таблице 1.
Таблица 1
Класс бетона по предельно допустимой температуре применения
Класс бетона по предельно допустимой температуре применения | Предельно допустимая температура применения, °C | Класс бетона по предельно допустимой температуре применения | Предельно допустимая температура применения, °C |
И2 | 200 | - | - |
И3 | 300 | И11 | 1100 |
И4 | 400 | И12 | 1200 |
И5 | 500 | И13 | 1300 |
И6 | 600 | И14 | 1400 |
И7 | 700 | И15 | 1500 |
И8 | 800 | И16 | 1600 |
И9 | 900 | И17 | 1700 |
И10 | 1000 | И18 | 1800 |
Классы бетонов по предельно допустимой температуре применения И13 - И18 устанавливают только для ненесущих изделий и конструкций.
4.4.6 Класс бетонов по предельно допустимой температуре применения определяют по значениям остаточной прочности и температуры деформации под нагрузкой, указанным в таблице 2.
Таблица 2
Класс бетонов по предельно допустимой температуре
применения по значениям остаточной прочности
и температуры деформации под нагрузкой
Класс бетона по предельно допустимой температуре применения | Вид вяжущего | Остаточная прочность, %, не менее | Температура, °C, не менее, соответствующая деформации под нагрузкой |
4 | 40 (или разрушение) |
| P | 80 | - | - |
И4 | 70 |
И5 | 60 |
И6 | S | 80 |
P | 50 |
И7 | 40 |
| P, A | 30 |
S | 70 |
И9 | Р | 30 | 900 | 950 |
И10 | P, A | | 1000 | 1050 |
S | 70 | 1000 |
И11 | P, A | 30 | 1080 | 1150 |
S | 70 | 1080 |
И12 | P, A | 30 | 1180 | 250 |
S | 70 | 1180 |
И13 | A | 30 | 1270 | 1340 |
S | 50 |
И14 | A | 30 | 1360 | 1420 |
| 1450 | - |
И16 | 1510 |
S | 70 |
И17 | A | 30 | 1600 |
| 1650 |
Примечания 1 Для бетонов классов И3 - И8 температуры деформации под нагрузкой не определяют. 2 Для бетонов классов И15 - И18 определяют температуру 4%-ной деформации. |
4.4.7 Остаточная прочность бетона зависит от вида вяжущего, температуры нагрева и характеризуется процентным отношением прочности бетона после нагрева до предельно допустимой температуры применения для бетонов классов И2 - И7 и после нагрева до температуры 800 °C для бетонов классов И8 - И18 к прочности бетона в проектном возрасте.
4.4.8 Класс бетона по прочности на осевое растяжение Bt назначают в тех случаях, когда данная характеристика имеет главенствующее значение, и ее контролируют на производстве.
Классы бетонов по прочности на осевое растяжение (в случае необходимости) назначают для тяжелых бетонов в соответствии с
ГОСТ 26633, для легких бетонов - в соответствии с
ГОСТ 25820.
4.4.9 Для бетонов, предназначенных для изготовления изделий, конструкций и сооружений, к которым предъявляют требования по термостойкости, устанавливают следующие марки по термостойкости: Т15, Т110, Т115, Т120, Т130, Т140 (водные теплосмены); Т210, Т215, Т220, Т225 (воздушные теплосмены).
4.4.10 Марку бетона по водонепроницаемости W назначают для тех конструкций, к которым предъявляют требования по ограничению водопроницаемости.
Для бетонов со средней плотностью 1500 кг/м3 и более, предназначенных для изготовления конструкций и изделий, к которым предъявляют требования по водонепроницаемости, устанавливают следующие марки по водонепроницаемости: W2, W4, W6, W8, W10, W12.
Для бетонов, предназначенных для изготовления тепловых агрегатов и других конструкций, находящихся над землей или подвергающихся атмосферным осадкам, должна быть обеспечена марка по водонепроницаемости не менее W8.
4.4.11 Марку бетона по морозостойкости F назначают для конструкций, подвергающихся воздействию попеременного замораживания и оттаивания.
Для бетонов со средней плотностью 1500 кг/м3 и более, предназначенных для изготовления конструкций и изделий, к которым предъявляются требования по морозостойкости F1 и F2, устанавливают следующие марки по морозостойкости: F115, F125, F135, F150, F175, F1100, F1150.
Бетоны, предназначенные для изготовления тепловых агрегатов, которые в процессе эксплуатации могут подвергаться эпизодическому воздействию температуры ниже 0 °C в условиях воздушно-влажностного состояния, должны иметь марку по морозостойкости не ниже F75.
4.4.12 Установленные значения марок по водонепроницаемости и морозостойкости должны быть обеспечены в возрасте, указанном в проектной документации.
Испытания бетонов на водонепроницаемость и морозостойкость проводят по соответствующим методикам на образцах после режимов твердения и сушки в соответствии с
таблицей А.1 приложения А.
Если в проектной документации указана необходимость обеспечения характеристик водонепроницаемости и морозостойкости после воздействия на бетон высокой температуры, испытания следует проводить на образцах после режимов твердения, сушки и нагрева по методике, аналогичной принятой для определения остаточной прочности в соответствии с
приложением А.
4.4.13 Для бетонов могут быть назначены более высокие значения марок по водонепроницаемости и морозостойкости при условии подтверждения этих марок путем испытаний по соответствующим методикам.
4.4.14 Для легкого бетона устанавливают следующие марки по средней плотности в сухом состоянии: D300, D400, D500, D600, D700, D800, D900, D1000, D1100, D1200, D1300, D1400, D1500, D1600, D1700, D1800, D1900.
4.4.15 Для бетонов устанавливают требования по предельным значениям усадки (расширения) после нагрева до предельно допустимой температуры применения бетонов классов И2 - И12 и до температуры применения бетонов классов И13 - И18, которые не должны превышать, %:
- 1,0 - для бетонов плотной структуры со средней плотностью 1500 кг/м3 и более;
- 1,5 - для бетонов плотной структуры со средней плотностью менее 1500 кг/м3;
- 2,0 - для бетонов ячеистой структуры.
4.4.16 Нормируемые показатели качества бетона обеспечиваются подбором состава бетонной смеси, технологией приготовления бетонных смесей и технологией производства бетонных работ при изготовлении бетонных и железобетонных изделий и конструкций.
4.4.17 Составы бетонов следует подбирать в соответствии с технологическими требованиями
<*>, предъявляемыми к изготовлению жаростойких бетонов. При этом бетоны по эффективной удельной активности природных радионуклидов должны соответствовать требованиям нормативных документов
<**>, действующих на территории государства - участника Соглашения, принявшего настоящий стандарт.
--------------------------------
<*> В Российской Федерации принимают технологические требования по изданию: Технология изготовления жаростойких бетонов: Справочное пособие к СНиП 3.09.01-87 и СНиП 3.03.01-87/НИИЖБ Госстроя СССР. - М.: Стройиздат, 1991.
<**> "Основные санитарные правила обеспечения радиационной безопасности
(ОСПОРБ-99/2010)".
4.4.18 Контроль соответствия нормируемых показателей бетона проводят как на стадии изготовления бетонной смеси, так и на стадии бетонирования конструкций.
4.4.19 Бетонные смеси в соответствии с
ГОСТ 7473 и в зависимости от степени готовности подразделяют на готовые к употреблению и сухие.
4.4.20 Бетонные смеси для бетонов плотной структуры приготовляют по
ГОСТ 7473, а для бетонов ячеистой структуры - по
ГОСТ 25485.
4.4.21 Бетонные смеси для бетонов, кроме ячеистых, должны соответствовать маркам по удобоукладываемости Ж1 - Ж4, П1 - П4 согласно
ГОСТ 7473, принимаемым по технологической документации.
4.4.22 В бетонную смесь, приготовленную на портландцементе, допускается введение пластифицирующих добавок при условии сохранения заданных свойств бетона. При этом марка по удобоукладываемости бетонной смеси должна быть не более П4 по
ГОСТ 7473.
4.4.23 Возможно установление более высоких марок по удобоукладываемости и подвижности бетонной смеси в технологической документации при условии обеспечения и контроля отсутствия расслоения смеси и неравномерности заполнителя в объеме бетона (для исключения всплытия легкого заполнителя).
4.4.24 Бетонную смесь, приготовленную на портландцементе и высокоглиноземистом цементе, а также бетонную смесь, приготовленную на жидком стекле и глиноземистом цементе при температуре наружного воздуха не выше 20 °C, транспортируют в соответствии с требованиями
ГОСТ 7473.
Время от приготовления бетонной смеси на основе жидкого стекла и глиноземистого цемента до ее укладки не должно превышать 30 мин.
Бетонную смесь на основе жидкого стекла и глиноземистого цемента при температуре наружного воздуха выше 20 °C приготовляют на месте укладки.
4.5 Материалы
4.5.1 Для приготовления бетонов в качестве вяжущих применяют:
- портландцемент, быстротвердеющий портландцемент, шлакопортландцемент по
ГОСТ 10178 или
ГОСТ 31108;
- высокоглиноземистый цемент по
ГОСТ 969 или по техническим условиям;
- силикат-глыбу по ГОСТ 13079.
4.5.2 Для бетонов на жидком стекле и силикат-глыбе в качестве отвердителя применяют кремнефтористый натрий или феррохромовый шлак по техническим условиям и другие материалы, удовлетворяющие требованиям стандартов или технических условий и обеспечивающие получение бетона с заданными характеристиками.
4.5.3 Для бетонов на портландцементе и жидком стекле в качестве тонкомолотых добавок, устойчивых к воздействию высоких температур, принимают:
- бетонные из дробленых жаростойких бетонов;
- глиноземистые по техническим условиям;
- силикатные по техническим условиям;
- алюмосиликатные по техническим условиям.
Для бетонов на жидком стекле кроме указанных добавок допускается применять магнезиальную добавку по
ГОСТ 23037.
4.5.4 Тонкость помола добавок для бетона должна быть такой, чтобы при просеивании через сито N 008 по
ГОСТ 310.2 проходило не менее 50% взятой пробы.
4.5.5 В тонкомолотых добавках содержание свободных оксида кальция CaO и оксида магния MgO в сумме не должно превышать 3%, а карбонатов - 2%.
4.5.6 Для бетонов в качестве заполнителей применяют шамотные, муллитокорундовые и магнезиальные материалы по
ГОСТ 23037, а также другие материалы в соответствии с таблицей 3.
Таблица 3
Материалы, применяемые в качестве заполнителей
Вид заполнителя | Нормативный документ | Содержание химических компонентов, % |
Кордиеритовый | | Кордиерит - не менее 30, MgO - от 12 до 14, Fe2O3 - не более 2,5 |
Кордиеритомуллитовый | | Кордиерит - не менее 40, MgO - от 6 до 7, Fe2O3 - не более 2,5 |
Муллитокордиеритовый | | Кордиерит - не менее 15, MgO - от 3 до 4, Fe2O3 - не более 2,5 |
Корунд | По техническим условиям | - |
Периклаз | ГОСТ 13236 | - |
Карборундовый | По техническим условиям | - |
Доменный, литой отвальный и гранулированный шлак | | CaO + MgO - в сумме не более 48, в т.ч. MgO - не более 10, сульфатов в пересчете на SO3 - не более 5, свободных CaO и MgO - в сумме не более 2 |
Золошлаковая смесь | | SiC2 + Al2O3 - в сумме не менее 75, в т.ч. SiO2 - не менее 40, сульфатов в пересчете на SO3 - не более 3, свободных CaO и MgO - в сумме не более 4, потери при прокаливании - не более 5 |
Керамзитовый, аглопоритовый | | Свободные CaO и MgO - в сумме не более 2, карбонатов - не более 2 |
Шлаковая пемза | | - |
Перлитовый | | - |
Вермикулитовый | | - |
Бетонный из лома жаростойких бетонов с шамотным заполнителем на портландцементе | - | CaO - не более 41, Al2O3 - не менее 14 |
То же, на жидком стекле | - | Na2O - не более 4 |
Алюмосиликатные | По техническим условиям | |
4.5.7 В качестве заполнителей, устойчивых к воздействию высоких температур, допускается применять:
- кусковой огнеупор первичного обжига и дробленые некондиционные огнеупорные изделия;
- вторичные огнеупоры и жаростойкие бетоны, загрязненность которых шлаком, углем, металлом, а также динасовыми и хромомагнезитовыми материалами не должна превышать 0,5%.
4.5.8 Заполнитель для бетонов в зависимости от крупности зерен подразделяют:
- на мелкий - песок с зернами размером от 0 до 5 мм;
- крупный - щебень с зернами размером от 5 до 20 мм.
4.5.9 Зерновой состав заполнителей для бетонов должен удовлетворять требованиям, приведенным в таблице 4.
Таблица 4
Зерновой состав заполнителей
Размер отверстий контрольных сит, мм | Полные остатки на контрольных ситах, % по массе, для заполнителей крупностью, мм |
Не более 5 | От 5 до 20 |
20 | - | 0 - 5 |
10 | 0 | 30 - 60 |
5 | 0 - 5 | 95 - 100 |
2,5 | 10 - 40 | - |
1,25 | 20 - 60 | - |
0,63 | 40 - 85 | - |
0,315 | 60 - 95 | - |
0,16 | 80 - 100 | - |
4.5.10 Средняя насыпная плотность пористых заполнителей должна быть в пределах, указанных в таблице 5.
Таблица 5
Средняя насыпная плотность пористых заполнителей
Заполнитель | Средняя насыпная плотность, кг/м3 для фракций, мм |
Не более 5 | От 5 до 20 |
Шамотный легковесный | 400 - 1200 | 300-800 |
Муллитокорундовый легковесный | Не более 1400 | Не более 900 |
Корундовый легковесный | Не более 1400 | Не более 900 |
Керамзитовый | - | 400 - 800 |
Перлитовый | 100 - 500 | 300 - 500 |
Вермикулитовый | Не более 200 | - |
4.5.11 Не допускается загрязнение добавок и заполнителей другими материалами, способными снизить его эксплуатационные свойства или привести к разрушению бетона после нагрева (известняк, гранит, доломит, магнезит и др.).
4.5.12 Допускается применение других материалов с характеристиками, отличающимися от указанных в
4.5.1 -
4.5.11, качество которых должно удовлетворять требованиям стандартов или технических условий и обеспечивать получение бетона, отвечающего заданным физико-техническим характеристикам, приведенным в настоящем стандарте.
4.5.13 Вода для приготовления бетонов должна отвечать требованиям
ГОСТ 23732.
5.1 Приемку бетонов для сборных бетонных и железобетонных изделий и конструкций проводят по показателям качества на месте их изготовления по
ГОСТ 13015 и стандартам или техническим условиям на конкретные изделия или конструкции, утвержденным в установленном порядке.
Приемку бетона монолитных бетонных и железобетонных конструкций проводят по показателям качества, установленным в нормативных документах, проектной и технологической документации, утвержденных в установленном порядке.
5.2 Приемку бетонных смесей проводят по
ГОСТ 7473, стандартам или техническим условиям на бетонные смеси конкретных видов.
5.3 Приемку бетонов по прочности проводят партиями. Объем и состав партии принимают по
ГОСТ 18105.
5.4 Приемку бетонов по прочности в проектном возрасте и остаточной прочности проводят при подборе каждого нового номинального состава бетона, а в дальнейшем - не реже одного раза в месяц, а также при изменении состава бетона, технологии производства и качества используемых материалов.
5.5 Приемку бетонов по отпускной прочности и прочности в промежуточном возрасте проводят от каждой партии по
ГОСТ 18105, а для легких и ячеистых бетонов - по средней плотности по
ГОСТ 27005.
5.6 При необходимости оценку качества бетона по показателям предельно допустимой температуры применения, термостойкости, водонепроницаемости, морозостойкости и усадке проводят в соответствии с требованиями стандарта и технических условий на бетон конструкции конкретного вида.
5.7 Периодические испытания бетонов по показателю удельной активности естественных радионуклидов проводят не реже одного раза в год, а также при изменении качества применяемых материалов.
6.1 Подлежат контролю следующие физико-механические свойства бетонов:
- прочность бетона на сжатие и прочность на осевое растяжение в проектном возрасте, отпускная прочность, прочность в промежуточном возрасте и остаточная прочность - по
приложению А;
- класс бетона по предельно допустимой температуре применения - по
приложению Б;
6.2 Жесткость и подвижность бетонной смеси определяют по
ГОСТ 10181.
6.3 Проверку качества добавок и заполнителей проводят:
- на устойчивость при воздействии высоких температур - по
приложению Д;
- среднюю плотность пористых заполнителей - по
ГОСТ 9758;
6.4 Проверку удельной активности естественных радионуклидов, содержащихся в материалах для бетонов, проводят в соответствии с методиками
ГОСТ 30108.
(обязательное)
МЕТОД ОПРЕДЕЛЕНИЯ ПРОЧНОСТИ БЕТОНА
А.1 Образцы
А.1.1 Прочность бетона определяют на образцах, изготовленных по
ГОСТ 10180.
А.1.2 Отбор проб для контроля прочности бетона - по
ГОСТ 18105.
А.1.3 Время от момента приготовления бетонной смеси до изготовления образцов для бетонов на жидком стекле и глиноземистом цементе, а также для всех бетонов со средней плотностью 1500 кг/м3 и менее не должно превышать 30 мин.
Для бетонов со средней плотностью свыше 1500 кг/м3 на портландцементе, шлакопортландцементе, быстротвердеющем портландцементе и высокоглиноземистом цементе перерыв между приготовлением бетонной смеси и изготовлением образцов не должен превышать 1 ч.
А.1.4 Температура бетонной смеси в момент приготовления для бетонов ячеистой структуры на портландцементе, высокоглиноземистом цементе и силикат-глыбе должна быть от 30 °C до 50 °C, а для бетонов на глиноземистом цементе и жидком стекле - не более 20 °C.
А.2 Средства контроля
А.2.1 Изготовление образцов проводят в формах, отвечающих требованиям
ГОСТ 22685.
А.2.2 Для проведения испытаний применяют следующее оборудование:
- шкаф сушильный электрический типа СНОЛ;
- печь камерная электрическая типа СНОЛ;
- стеллажи сетчатые для размещения образцов и оборудование для испытания образцов по
ГОСТ 10180;
- ванна с крышкой для выдержки образцов над водой.
А.3 Подготовка к испытаниям и испытания
А.3.1 Для определения прочности на сжатие бетона:
- в проектном возрасте;
- отпускной;
- в промежуточном возрасте;
- остаточной, а также при необходимости прочности на сжатие бетона в горячем состоянии,
образцы подготовляют и испытывают в соответствии с
ГОСТ 10180 и настоящим приложением.
А.3.2 Прочность бетона на сжатие и осевое растяжение в проектном возрасте определяют после режимов твердения и сушки в соответствии с таблицей А.1.
Таблица А.1
Температурно-влажностный режим твердения и сушки образцов
для установления остаточной прочности бетона
Бетоны | Температурно-влажностный режим твердения | Температурный режим сушки |
Выдержка | Подъем температуры | Изотермический прогрев | Остывание, ч, не менее | Подъем температуры | Сушка при (105 +/- 5) °C, ч | Остывание, ч |
Температура, °C | Относительная влажность, % | Время | Скорость, °C/ч | Время, ч | Температура, °C | Относительная влажность, % | Время, ч | Скорость, °C/ч | Время, ч |
сут | ч |
Плотной структуры: | | | | | | | | | | | | | | |
- на портландцементе, - быстротвердеющем портландцементе, - шлакопортландцементе и высокоглиноземистом цементе | 20 +/- 5 | 90 - 100 | 7 | - | - | - | - | - | - | - | 50 | 2 | 48 | 4 |
- жидком стекле | Более 15 | Менее 70 | 3 | - | - | - | - | - | - | - | 50 | 2 | 48 | 4 |
- глиноземистом цементе | 7 - 25 | 90 - 100 | 3 | - | - | - | - | - | - | - | 50 | 2 | 48 | 4 |
Ячеистой структуры: | | | | | | | | | | | | | | |
- на глиноземистом цементе | 20 +/- 5 | 90 - 100 | 3 | - | - | - | - | - | - | - | 50 | 2 | 48 | 4 |
- силикат-глыбе | 20 +/- 5 | 90 - 100 | - | 2 | 30 - 40 | 4 | 174 | 100 | 6 | 4 | 50 | 2 | 48 | 4 |
Плотной и ячеистой структуры: | | | | | | | | | | | | | | |
- на портландцементе, - шлакопортландцементе и высокоглиноземистом цементе | 20 +/- 5 | 90 - 100 | - | 2 | 20 - 25 | 4 | 80 - 90 | 100 | 6 | 4 | 50 | 2 | 48 | 4 |
А.3.3 Отпускную прочность бетона и прочность бетона в промежуточном возрасте определяют после режимов твердения в соответствии с
таблицей А.1.
А.3.4 Для установления остаточной прочности определяют прочность на сжатие бетона после нагрева до предельно допустимой температуры применения для бетонов классов И2 - И7 и до температуры нагрева 800 °C - для бетонов классов И8 - И18.
Нагреву подвергают образцы бетона после температурно-влажностного режима твердения и сушки согласно
таблице А.1.
Образцы бетона нагревают в камерной электрической печи со скоростью подъема температуры 150 °C/ч, с выдержкой при требуемой температуре 4 ч и остыванием вместе с печью до комнатной температуры.
После остывания образцы бетона помещают на сетчатый стеллаж, расположенный в ванне над водой. Слой воды в ванне должен быть не менее 10 см. Расстояние от нижней поверхности образцов бетона до уровня воды и от верхней поверхности образцов до крышки ванны должно быть (4 +/- 1) см.
Образцы выдерживают в ванне 7 сут, затем вынимают, осматривают и определяют прочность на сжатие по
ГОСТ 10180.
Если после нагрева или выдержки над водой в образцах появились трещины, дутики или околы, бетон бракуют.
А.3.5 Остаточную прочность бетона на сжатие

, %, вычисляют по формуле

(1)
где
Rt - прочность бетона на сжатие после нагрева по
А.3.4;
R - прочность бетона на сжатие в проектном возрасте.
А.3.6 Прочность бетона на сжатие и осевое растяжение для каждой требуемой температуры нагрева, не выше указанной в
таблице А.2, определяют после режимов твердения и сушки в соответствии с
таблицей А.1 и после нагрева в камерной печи в соответствии с
А.3.4 в охлажденном состоянии.
Прочность на сжатие бетона в нагретом состоянии принимают равной прочности бетона после нагрева до температуры, указанной в таблице А.2.
Таблица А.2
Температура нагрева образцов для определения
остаточной прочности бетона
Класс бетона по предельно допустимой температуре применения | Температура нагрева t1, °C |
И2 | 200 |
И3 | 300 |
И4 | 400 |
И5 | 500 |
И6 | 600 |
И7 | 700 |
И8 - И18 | 800 |
| | ИС МЕГАНОРМ: примечание. Обозначение дано в соответствии с официальным текстом документа. | |
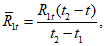
Прочность бетона на сжатие для несущих конструкций в нагретом состоянии
R1t бетонов классов по предельно допустимым температурам применения, указанным в
таблице А.2, вычисляют по формуле

(2)
где
R1t - прочность бетона на сжатие после нагрева до температуры, указанной в
таблице А.2;
t2 - предельно допустимая температура применения;
t - температура, при которой определяют прочность бетона на сжатие в нагретом состоянии, °C;
t1 - температура, указанная в
таблице А.2, при которой определяют прочность бетона на сжатие после нагрева, °C.
А.3.7 В журнал заносят результаты испытаний образцов бетона по
ГОСТ 10180, а также следующие показатели:
- вид и класс бетона по предельно допустимой температуре применения, по прочности на сжатие и прочности на осевое растяжение (при необходимости);
- температуру нагрева образцов;
- прочность в проектном возрасте и остаточную прочность.
(обязательное)
МЕТОД ОПРЕДЕЛЕНИЯ ТЕМПЕРАТУР, СООТВЕТСТВУЮЩИХ
4%-НОЙ И 40%-НОЙ ДЕФОРМАЦИЯМ ПОД НАГРУЗКОЙ
Б.1 По настоящему методу определяют температуры, соответствующие 4%-ной и 40%-ной деформациям под нагрузкой для установления класса бетона по предельно допустимой температуре применения в соответствии с требованиями
таблицы 2.
Б.2 Образцы
Б.2.1 Температуры, соответствующие 4%-ной и 40%-ной деформациям под нагрузкой при высоких температурах, определяют на образцах-цилиндрах диаметром (36 +/- 1) мм и высотой (50 +/- 1) мм.
Б.2.2 Образцы изготовляют в формах, удовлетворяющих требованиям
ГОСТ 22685, или выпиливают из средней части контрольных неармированных блоков и изделий в соответствии с
ГОСТ 10180.
Б.2.3 Верхнее и нижнее основания образцов должны быть отшлифованы корундовым диском.
Отклонение от перпендикулярности основания и боковой поверхности цилиндра не должно превышать 0,5 мм. Отклонение от перпендикулярности определяют по
ГОСТ 10180.
Б.3 Средства контроля
Б.3.1 Для испытаний применяют следующее оборудование:
- печь муфельная;
- шкаф электрический;
- печь электрическая с механическим устройством для нагружения образца и измерения деформации;
- термопара платино-платинородиевая по техническим условиям.
Б.3.2 Электрическая печь и механическое устройство для нагружения образца и измерения деформации должны обеспечивать:
- равномерный подъем температуры со скоростью 5 °C/мин и рабочую температуру печи не менее 1700 °C;
- вертикальную передачу нагрузки на образец;
- измерение деформации образца с погрешностью +/- 0,1 мм;
- сжатие образца не менее чем на 20 мм.
Б.4 Подготовка к испытаниям и испытания
Б.4.1 Перед загрузкой с механического устройства печи необходимо снять характеристики холостого хода. Твердение и сушку изготовленных образцов осуществляют в соответствии с требованиями
таблицы А.1. Образцы из бетона на жидком стекле дополнительно подвергают термообработке по режиму: подъем до температуры 800 °C со скоростью 200 °C/ч, выдержка при температуре 800 °C 1 ч и охлаждение до температуры воздуха в помещении.
Б.4.2 Для определения температуры деформации бетона под нагрузкой испытывают один образец.
Б.4.3 Нагрузку на образец выбирают таким образом, чтобы в поперечном сечении образца, перпендикулярном к действию сжимающей силы, создать напряжения, равные, МПа:
- 0,2 - для бетонов средней плотности 1500 кг/м3 и более;
- 0,15 - для бетонов средней плотности от 1000 до 1500 кг/м3;
- 1,0 - для бетонов средней плотности менее 1000 кг/м3.
Б.4.4 Образец устанавливают на стержень по центру печи таким образом, чтобы середина его высоты находилась в центре визирной трубки, используемой для измерения температуры образца. Сверху и снизу образца между стержнями и образцом устанавливают угольные прокладки диаметром 50 и толщиной 10 мм. Сверху образца устанавливают стержень и механическое устройство для нагружения и измерения деформации образца.
Б.4.5 Скорость подъема температуры при испытании не должна превышать, °C/мин:
- 10 - при нагреве до температуры не выше 800 °C;
- 5 - при нагреве до температуры свыше 800 °C.
Б.4.6 Температуру измеряют:
- платино-платинородиевой термопарой при нагреве до температуры не выше 1300 °C;
- параллельно термопарой и оптическим пирометром при нагреве до температуры от 1000 °C до 1300 °C;
- оптическим пирометром при нагреве до температуры свыше 1300 °C.
При измерении температуры горячий спай термопары следует располагать на уровне середины высоты образца бетона; спай не должен касаться внутренней нагреваемой поверхности печи.
Оптическим пирометром измеряют температуру боковой поверхности бетонного образца через визирную трубку из высокоогнеупорного материала внутренним диаметром от 10 до 12 мм, установленную в футеровке печи в середине зоны наименьшей температуры нагрева. Снаружи трубку закрывают заслонкой, открываемой только на время измерения температуры.
Б.4.7 После достижения температуры 400 °C температуру и деформацию бетонного образца измеряют каждые 5 мин.
Результаты измерений записывают в журнал. Испытание заканчивают в тот момент, когда деформация бетонного образца достигнет 40%-ной первоначальной его высоты или произойдет разрушение образца.
Б.4.8 Результаты определения деформаций под нагрузкой оформляют в виде диаграммы "температура-деформация" (рисунок Б.1).
1 - кривая для бетонного образца с пластичным разрушением;
2 - то же, с хрупким разрушением
Рисунок Б.1 - Диаграмма "температура-деформация"
Б.4.9 На диаграмме "температура-деформация" отмечают температуру:
- начала размягчения, определяемую по точке НР, лежащей на 3 мм ниже наивысшего положения этой кривой;
- соответствующую 4%-ной деформации бетонного образца, определяемую по точке, лежащей на 20 мм ниже наивысшего положения кривой;
- соответствующую 40%-ной деформации бетонного образца, определяемую по точке, лежащей на 200 мм ниже наивысшего положения кривой;
- при которой произошло внезапное разрушение образца.
Температурный интервал размягчения определяют как разность между температурой, соответствующей 40%-ной деформации образца (или температурой разрушения ТР), и температурой начала размягчения.
Б.4.10 Результаты испытания округляют до целых десятков градусов Цельсия. В журнале испытаний отмечают внешний вид образца после испытания (например, бочкообразный, оплавленный, с трещинами на поверхности и т.п.).
Б.4.11 Результаты испытания признают недействительными и испытания повторяют, если при визуальном осмотре испытуемого бетонного образца обнаружены:
- грибовидная форма, свидетельствующая о неравномерном нагреве образца по высоте;
- перекос - смещение в сторону верхнего основания относительно нижнего на расстояние от 4 до 5 мм или разница в высоте образца по его периметру более 2 мм;
- одностороннее оплавление или другие признаки неравномерного нагрева образца.
Б.4.12 Погрешность определения результатов испытаний по данному методу не должна превышать +/- 20 °C.
Б.4.13 Форма журнала записи образцов определения температуры деформации бетона под нагрузкой приведена в таблице Б.1.
Форма журнала записи испытания образцов для определения
деформации бетона под нагрузкой
Маркировка образца и вид жаростойкого бетона | Время отсчета по приборам | Температура, °C | Деформация образца, мм | Примечание |
Календарное | Истекшее от начала испытания | по термопаре | по пирометру |
| | | | | | |
Б.4.14 Температуры 4%-ной и 40%-ной деформации должны быть не ниже значений, приведенных в
таблице 2 для данного класса бетона по предельно допустимой температуре применения.
(обязательное)
МЕТОД ОПРЕДЕЛЕНИЯ ТЕРМОСТОЙКОСТИ БЕТОНА
В.1 Сущность метода заключается в определении способности образцов бетона выдерживать резкие смены температур от предельно допустимой температуры применения до 20 °C для классов по предельно допустимой температуре применения бетонов И2 - И7 и от 800 °C до 20 °C для классов бетонов И8 - И18.
В.2 Образцы
Изготовляют три бетонных образца-куба с ребром длиной 7 см из бетонной смеси рабочего состава.
В.3 Средства контроля
Для испытания применяют:
- шкаф сушильный электрический типа СНОЛ;
- печь камерную электрическую типа СНОЛ;
- ванну вместимостью 10 л.
В.4 Подготовка к испытаниям и испытания
В.4.1 Образцы после изготовления выдерживают в условиях согласно
таблице А.1, затем подвергают визуальному осмотру и взвешивают. Образцы, на которых обнаруживают трещины, бракуют.
В.4.2 Для бетонов средней плотности 1500 кг/м3 и более термостойкость T1 определяют в водных теплосменах в следующем порядке.
В.4.2.1 Образцы помещают в печь, предварительно разогретую до расчетной температуры, и выдерживают при этой температуре 40 мин. Колебания температуры в печи допускаются в пределах +/- 20 °C. Время отсчитывают начиная с того момента, когда в печи установится необходимая температура.
В.4.2.2 По истечении 40 мин образцы вынимают из печи и погружают в ванну вместимостью 10 л с водой комнатной температуры для их последующего охлаждения. В процессе испытания температура воды не должна повышаться более чем на 30 °C.
В.4.2.3 Образцы охлаждают в воде в течение 5 мин, после чего вынимают из воды и выдерживают при температуре (20 +/- 5) °C в течение 10 мин. Затем нагревание повторяют. После каждой теплосмены воду в ванне необходимо менять.
В.4.3 Для бетонов средней плотности менее 1500 кг/м3 и ячеистой структуры термическую стойкость T2 определяют в воздушных теплосменах в следующем порядке.
В.4.3.1 После высушивания образцы помещают в печь, предварительно разогретую до расчетной температуры, и выдерживают при этой температуре 1 ч. Колебания температуры в печи допускаются в пределах +/- 20 °C.
В.4.3.2 Через 1 ч образцы вынимают из печи и охлаждают струей воздуха комнатной температуры из вентилятора в течение 20 мин. Затем нагревание повторяют.
В.4.4 Каждый нагрев и охлаждение в воде или на воздухе является теплосменой. После каждой теплосмены остывшие образцы осматривают, отмечают появление трещин, характер разрушения (выкрашивание или отколы материала) и определяют потери в массе. При этом отколовшимися считаются не только те куски, которые отпали при охлаждении в воде, но и те, которые отделяются при легком надавливании пальцами на образец.
В.4.5 Число теплосмен, вызвавших разрушение образцов или потерю бетоном 20% первоначальной массы, принимают за термическую стойкость бетона в водных или воздушных теплосменах. Показателем термостойкости жаростойкого бетона считается среднее арифметическое результатов, полученных после испытания всех образцов-кубов.
(обязательное)
МЕТОД ОПРЕДЕЛЕНИЯ ДЕФОРМАЦИЙ УСАДКИ ЖАРОСТОЙКИХ БЕТОНОВ
Г.1 Сущность метода заключается в определении изменения размеров образца бетона после нагрева до предельно допустимой температуры применения бетонов классов И2 - И12 и до температуры эксплуатации - для бетонов классов И13 - И18.
Г.2 Образцы
Изготовление контрольных образцов для дальнейшего определения деформаций усадки проводят в соответствии с
ГОСТ 10180.
Изготовляют три бетонных образца-куба с ребром длиной 7 см из бетонной смеси рабочего состава. Образцы выдерживают в условиях согласно
таблице А.1. Из бетонов ячеистой структуры образцы выпиливают из затвердевших изделий, конструкций или контрольных блоков.
Г.3 Средства контроля
| | ИС МЕГАНОРМ: примечание. Текст дан в соответствии с официальным текстом документа. | |
Г.3.1 Для испытаний принимают:
- штатив с индикатором часового типа ценой деления 0,01 мм и ходом штока 10 мм, приведенный на рисунке Г.1;
- шкаф сушильный электрический типа СНОЛ;
- печь камерную электрическую типа СНОЛ.
1 - основание; 2 - стойка; 3 - кронштейн;
4 - шаровая опора; 5 - индикатор
Рисунок Г.1 - Схема штатива с индикатором часового типа
Г.3.2 Для повышения достоверности результатов измерений и контроля исходной базы измерений допускается применение эталонного стержня, фиксирующего расстояние между головкой индикатора и шаровой опорой.
Г.3.3 Для измерения образцов-кубов могут быть использованы микрометры по
ГОСТ 6507, снабженные фиксирующим устройством, позволяющим устанавливать образцы в строго центральном положении по отношению к микрометру.
Г.4 Подготовка к испытаниям и испытания
Г.4.1 После режима твердения в соответствии с
таблицей А.1 образцы измеряют в трех взаимно перпендикулярных направлениях и вычисляют среднее арифметическое значение замеров. Результат измерений принимают за размер образца после твердения
l1.
Г.4.2 Затем образцы подвергают термообработке в режиме: подъем до температуры (105 +/- 5) °C со скоростью 50 °C/ч, выдержка при температуре (105 +/- 5) °C 48 ч и охлаждение до температуры воздуха в помещении.
Г.4.3 После сушки образцы нагревают до температуры эксплуатации. Скорость подъема температуры - 150 °C/ч, время выдержки - 4 ч.
Г.4.4 После нагревания и охлаждения образцов до температуры воздуха в помещении их подвергают визуальному осмотру. При наличии поверхностных трещин шириной раскрытия более 0,1 мм или признаков оплавления образцы бракуют.
| | ИС МЕГАНОРМ: примечание. В официальном тексте документа, видимо, допущена опечатка: имеется в виду пункт Г.4.1, а не пункт Д.4.1. | |
Образцы измеряют согласно
Д.4.1 и определяют среднее значение измерений образца после нагревания
l2.
Г.4.5 Усадку

, %, вычисляют по формуле

(Г.1)
где l2 - среднее значение размера образца после нагревания, мм;
l1 - среднее значение размера образца после твердения, мм.
Если деформации усадки превышают значения, указанные в
4.4.15, бетон бракуют.
(обязательное)
МЕТОД ОПРЕДЕЛЕНИЯ УСТОЙЧИВОСТИ ЗАПОЛНИТЕЛЕЙ И ДОБАВОК
ПРИ ВОЗДЕЙСТВИИ ВЫСОКИХ ТЕМПЕРАТУР
Д.1 Сущность метода состоит в проверке способности заполнителей и добавок не разрушаться при нагреве, а также после него.
Д.2 Отбор проб
Д.2.1 Для проверки устойчивости заполнителей и тонкомолотых добавок отбирают пробы от каждой партии указанных материалов из нескольких мест, но не менее чем из трех.
Д.2.2 Пробу заполнителя отбирают в объеме 10 л, методом квартования уменьшают ее до 5 л. Пробу тонкомолотой добавки отбирают в объеме 5 л, методом квартования уменьшают ее до 1 л.
Д.3 Средства контроля
Д.3.1 Для проведения испытаний применяют:
- шкаф сушильный электрический типа СНОЛ;
- печь камерную электрическую типа СНОЛ;
- ванну с крышкой для выдержки образцов над водой;
- стеллажи сетчатые для размещения образцов.
Д.4 Подготовка к испытаниям и испытания
Д.4.1 Для проведения испытаний необходимо иметь заполнитель, приготовленный дроблением шамотного кирпича, рассеянного на фракции 0 - 5 мм и 5 - 20 мм в соответствии с требованиями
4.5.7 и
4.5.9.
Д.4.2 Приготовляют бетонную смесь, состоящую из портландцемента, проверяемой добавки и чистого шамотного заполнителя в соотношении 1:0; 3:4.
Д.4.3 Из бетонной смеси изготовляют шесть образцов-кубов с ребром длиной 7 или 10 см. Образцы выдерживают в условиях согласно
таблице А.1.
Д.4.4 Три образца испытывают после высушивания при температуре (105 +/- 5) °C.
Д.4.5 Для бетонов марок И8 - И16 нагревают три образца до температуры 800 °C; бетоны других марок нагревают до предельно допустимой температуры применения.
Д.4.6 Тонкомолотую добавку считают пригодной, если после нагрева и последующей выдержки над водой в течение 7 сут образцы не имеют дутиков, трещин, а остаточная прочность отвечает требованиям
4.4.6.
Д.4.7 Для проверки качества заполнителя приготовляют бетонную смесь, состоящую из портландцемента, добавки и проверяемого заполнителя (1:0; 3:4); допускается проверка на рабочем составе.
Д.4.8 Изготовление, хранение, испытание образцов, а также оценку пригодности заполнителя осуществляют в соответствии с
Д.4.3 -
Д.4.6.
Д.4.9 Керамзитовый заполнитель допускается проверять прокаливанием и последующим кипячением.
Д.4.10 Среднюю пробу керамзитового гравия массой 0,5 кг прокаливают в течение 3 ч при температуре 800 °C.
Д.4.11 Прокаленную пробу керамзита после остывания помещают в сосуд, заливают водой и кипятят в течение 4 ч. После остывания воду сливают, а керамзит рассыпают тонким слоем на металлический лист, выбирают разрушенные зерна и взвешивают.
Д.4.12 Партию керамзита считают пригодной для применения в качестве заполнителя в бетоне, если разрушенные зерна в высушенном состоянии до постоянной массы составят не более 5% первоначальной навески.
Д.4.13 Окончательное заключение о пригодности керамзита составляют после получения результатов испытания, предусмотренных
Д.4.7,
Д.4.8.
(обязательное)
МЕТОД ОПРЕДЕЛЕНИЯ АКТИВНОСТИ ОТВЕРДИТЕЛЯ
Е.1 Сущность метода состоит в проверке способности отвердителя обеспечивать затвердение жидкого стекла.
Е.2 Отбор проб
Е.2.1 Для проверки активности отвердителя отбирают пробы от каждой партии указанного отвердителя из нескольких мест, но не менее чем из трех.
Е.2.2 Пробу отвердителя отбирают в объеме 5 л, методом квартования уменьшают ее до 1 л.
Е.3 Средства контроля
Для испытаний применяют:
Е.4 Подготовка к испытаниям и испытания
Е.4.1 200 г тонкомолотого шамота смешивают со 100 г отвердителя (нефелинового шлама, саморассыпающегося шлама) или 30 г отвердителя (кремнефтористого натрия), затворяют жидким стеклом плотностью 1,36 г/см3 до получения теста нормальной густоты.
Е.4.2 Из полученной массы изготовляют лепешку, которую сразу же помещают в полиэтиленовый пакет.
Е.4.3 После выдерживания лепешки в пакете при температуре не ниже 20 °C в течение 24 ч ее вынимают и осматривают.
Е.4.4 Отвердитель считают активным, если он обеспечивает однородное твердение раствора по всему сечению.