Главная // Актуальные документы // ГОСТ (Государственный стандарт)СПРАВКА
Источник публикации
М.: Стандартинформ, 2015
Примечание к документу
Текст данного документа приведен с учетом
поправки, опубликованной в "ИУС", N 12, 2021.
Документ
введен в действие с 01.07.2015.
Название документа
"ГОСТ 10181-2014. Межгосударственный стандарт. Смеси бетонные. Методы испытаний"
(введен в действие Приказом Росстандарта от 11.12.2014 N 1972-ст)
"ГОСТ 10181-2014. Межгосударственный стандарт. Смеси бетонные. Методы испытаний"
(введен в действие Приказом Росстандарта от 11.12.2014 N 1972-ст)
агентства по техническому
регулированию и метрологии
от 11 декабря 2014 г. N 1972-ст
МЕЖГОСУДАРСТВЕННЫЙ СТАНДАРТ
СМЕСИ БЕТОННЫЕ
МЕТОДЫ ИСПЫТАНИЙ
Concrete mixtures. Methods of testing
(EN 12350-1:2009, NEQ)
(EN 12350-2:2009, NEQ)
(EN 12350-3:2009, NEQ)
(EN 12350-4:2009, NEQ)
(EN 12350-5:2009, NEQ)
(EN 12350-6:2009, NEQ)
(EN 12350-7:2009, NEQ)
ГОСТ 10181-2014
Дата введения
1 июля 2015 года
Цели, основные принципы и основной порядок проведения работ по межгосударственной стандартизации установлены в
ГОСТ 1.0-92 "Межгосударственная система стандартизации. Основные положения" и
ГОСТ 1.2-2009 "Межгосударственная система стандартизации. Стандарты межгосударственные, правила и рекомендации по межгосударственной стандартизации. Правила разработки, принятия, применения, обновления и отмены".
1. Разработан Научно-исследовательским, проектно-конструкторским и технологическим институтом бетона и железобетона им. А.А. Гвоздева (НИИЖБ), подразделением ОАО "НИЦ "Строительство".
2. Внесен Техническим комитетом по стандартизации ТК 465 "Строительство".
3. Принят Межгосударственным советом по стандартизации, метрологии и сертификации (Протокол от 14 ноября 2014 г. N 72-П).
За принятие проголосовали:
Краткое наименование страны по МК (ИСО 3166) 004-97 | Код страны по МК (ИСО 3166) 004-97 | Сокращенное наименование национального органа по стандартизации |
Азербайджан | AZ | Азстандарт |
Армения | AM | Минэкономики Республики Армения |
Казахстан | KZ | Госстандарт Республики Казахстан |
Киргизия | KG | Кыргызстандарт |
Россия | RU | Росстандарт |
Туркмения | TM | Главгосслужба "Туркменстандартлары" |
4.
Приказом Федерального агентства по техническому регулированию и метрологии от 11 декабря 2014 г. N 1972-ст межгосударственный стандарт ГОСТ 10181-2014 введен в действие в качестве национального стандарта Российской Федерации с 1 июля 2015 г.
5. Настоящий стандарт соответствует следующим европейским региональным стандартам:
- EN 12350-1:2009 Testing fresh concrete - Part 1: Sampling (Испытание свежеприготовленной бетонной смеси. Часть 1. Отбор образцов) в части отбора образцов;
- EN 12350-2:2009 Testing fresh concrete - Part 2: Slump test (Испытание свежеприготовленной бетонной смеси. Часть 2. Определение осадки конуса) в части общих требований к методу определения осадки конуса;
- EN 12350-3:2009 Testing fresh concrete - Part 3: Vebe test (Испытание свежеприготовленной бетонной смеси. Часть 3. Метод Вебе) в части общих требований к определению удобоукладываемости методом Вебе;
- EN 12350-4:2009 Testing fresh concrete - Part 4: Degree of compactability (Испытание свежеприготовленной бетонной смеси. Часть 4. Степень уплотняемости) в части метода определения степени уплотняемости;
- EN 12350-5:2009 Testing fresh concrete - Part 5: Flow table test (Испытание свежеприготовленной бетонной смеси. Часть 5. Определение расплыва) в части метода определения расплыва;
- EN 12350-6:2009 Testing fresh concrete - Part 6: Density (Испытание свежеприготовленной бетонной смеси. Часть 6. Плотность) в части общих требований к методу определения средней плотности;
- EN 12350-7:2009 Testing fresh concrete - Part 7: Air content - Messure methods (Испытание свежеприготовленной бетонной смеси. Часть 7. Содержание воздуха. Методы определения под давлением) в части общих требований к методу определения содержания воздуха.
Перевод с английского языка (en).
Степень соответствия - неэквивалентная (NEQ).
Информация об изменениях к настоящему стандарту публикуется в ежегодном информационном указателе "Национальные стандарты", а текст изменений и поправок - в ежемесячном информационном указателе "Национальные стандарты". В случае пересмотра (замены) или отмены настоящего стандарта соответствующее уведомление будет опубликовано в ежемесячном информационном указателе "Национальные стандарты". Соответствующая информация, уведомление и тексты размещаются также в информационной системе общего пользования - на официальном сайте Федерального агентства по техническому регулированию и метрологии в сети Интернет.
Настоящий стандарт распространяется на бетонные смеси тяжелого, мелкозернистого и легкого бетонов, изготовляемые по
ГОСТ 7473, и устанавливает правила отбора проб и методы определения удобоукладываемости, средней плотности, пористости, расслаиваемости, температуры и сохраняемости свойств бетонной смеси.
Настоящий стандарт не распространяется на бетонные смеси крупнопористого и ячеистого бетонов, полистиролбетона и самоуплотняющиеся бетонные смеси.
В настоящем стандарте использованы нормативные ссылки на следующие межгосударственные стандарты:
ГОСТ 8.001-80
<*> Государственная система обеспечения единства измерений. Организация и порядок проведения государственных испытаний средств измерений
ГОСТ 8.326-89
<*> Государственная система обеспечения единства измерений. Метрологическая аттестация средств измерений
ГОСТ 8.383-80 <*> Государственная система обеспечения единства измерений. Государственные испытания средств измерений. Основные положения
--------------------------------
<*> На территории Российской Федерации действуют
ПР 50.2.009-94 "Государственная система обеспечения единства измерений. Порядок проведения испытаний и утверждения типа средств измерений".
ГОСТ 427-75 Линейки измерительные металлические. Технические условия
ГОСТ 1770-74 (ИСО 1042-83, ИСО 4788-80) Посуда мерная лабораторная стеклянная. Цилиндры, мензурки, колбы, пробирки. Общие технические условия
ГОСТ 2789-73 Шероховатость поверхности. Параметры и характеристики
ГОСТ 8269.0-97 Щебень и гравий из плотных горных пород и отходов промышленного производства для строительных работ. Методы физико-механических испытаний
ГОСТ 9533-81 Кельмы, лопатки и отрезовки. Технические условия
ГОСТ 9758-2012 Заполнители пористые неорганические для строительных работ. Методы испытаний
ГОСТ 10180-2012 Бетоны. Методы определения прочности по контрольным образцам
ГОСТ 13646-68 Термометры стеклянные ртутные для точных измерений. Технические условия
ГОСТ 22685-89 Формы для изготовления контрольных образцов бетона. Технические условия
--------------------------------
<*> На территории Российской Федерации действует
ГОСТ Р 53228-2008 "Весы неавтоматического действия. Часть 1. Метрологические и технические требования. Испытания".
Примечание. При пользовании настоящим стандартом целесообразно проверить действие ссылочных стандартов в информационной системе общего пользования - на официальном сайте Федерального агентства по техническому регулированию и метрологии в сети Интернет или по ежегодному информационному указателю "Национальные стандарты", который опубликован по состоянию на 1 января текущего года, и по выпускам ежемесячного информационного указателя "Национальные стандарты" за текущий год. Если ссылочный стандарт заменен (изменен), то при пользовании настоящим стандартом следует руководствоваться заменяющим (измененным) стандартом. Если ссылочный стандарт отменен без замены, то положение, в котором дана ссылка на него, применяется в части, не затрагивающей эту ссылку.
3. Правила отбора проб и проведения испытаний
3.1. Пробы бетонной смеси для испытания при производственном контроле следует отбирать:
- при отпуске товарной бетонной смеси - на месте ее приготовления через 15 мин после ее выгрузки из смесителя в транспортное средство;
- при производстве сборных изделий и монолитных конструкций - на месте укладки бетонной смеси;
- при входном контроле качества бетонной смеси при изготовлении монолитных конструкций - из автобетоносмесителя через 15 мин после ее доставки и дополнительного перемешивания.
3.2. Пробу бетонной смеси для испытаний на месте укладки отбирают перед началом бетонирования. Отбор пробы из автобетоносмесителя проводят при непрерывном перемешивании бетонной смеси за один прием либо за два или три приема с интервалом не менее 1 мин. При непрерывной подаче бетонной смеси (ленточными транспортерами, бетононасосами) пробы отбирают в три приема в случайные моменты времени в течение не более 10 мин.
3.3. Объем отобранной пробы должен обеспечивать не менее двух определений всех нормируемых и контролируемых показателей качества бетонной смеси.
3.4. Отобранная проба перед проведением испытаний должна быть дополнительно перемешана.
Бетонные смеси, содержащие воздухововлекающие, газообразующие и пенообразующие добавки, а также предварительно разогретые смеси перед испытанием не перемешивают.
3.5. Испытание бетонной смеси и изготовление контрольных образцов бетона должно быть начато не позднее чем через 10 мин и закончено не позднее чем через 30 мин после отбора пробы.
3.6. Температура бетонной смеси от момента отбора пробы до момента окончания испытания не должна изменяться более чем на 5 °C.
3.7. Условия хранения пробы бетонной смеси после ее отбора до момента испытания должны исключить потерю влаги или увлажнение.
3.8. Взвешивание образцов, изготовленных из проб бетонной смеси, следует проводить с погрешностью не более 5 г.
3.9. Поверку средств измерений и аттестацию испытательного оборудования следует проводить в соответствии с ГОСТ 8.001, ГОСТ 8.326, ГОСТ 8.383.
3.10. Результаты определения нормируемых и контролируемых показателей качества бетонной смеси должны быть занесены в журнал, в котором указывают:
- наименование организации-изготовителя и поставщика бетонной смеси;
- условное обозначение бетонной смеси по
ГОСТ 7473;
- место отбора пробы;
- дату и время испытания;
- температуру бетонной смеси;
- результаты частных определений отдельных показателей качества бетонной смеси и средние результаты по каждому показателю.
3.11. При определении свойств бетонных смесей допускается применение других приборов и оборудования, кроме приведенных в настоящем стандарте, в случаях если они соответствуют требованиям настоящего стандарта по точности и чувствительности.
Методика оценки точности и чувствительности альтернативного прибора для определения удобоукладываемости бетонной смеси приведена в
Приложении А.
3.12. Методы определения свойств бетонных смесей и применяемые при этом приборы и оборудование по
разделам 4,
5,
6,
7 используют для испытания бетонных смесей с крупным заполнителем, у которого максимальный размер зерен не превышает 40 мм.
При применении бетонных смесей с заполнителем, у которого максимальный размер зерен превышает 40 мм и составляет от 80 (70) до 150 мм, допускается испытывать бетонные смеси, из которых путем отсева удалены зерна заполнителя размером более 40 мм.
Правила проведения испытаний и методика определения переходных коэффициентов должны быть приведены в проекте производства работ или технологическом регламенте конкретного объекта строительства.
Методика определения подвижности бетонной смеси с заполнителем размером 120 мм приведена в
Приложении Б.
4. Определение удобоукладываемости бетонной смеси
4.1. Удобоукладываемость бетонной смеси оценивают показателями подвижности, жесткости, расплыва, степени уплотняемости.
4.2. Определение подвижности бетонной смеси
4.2.1. Подвижность бетонной смеси оценивают по осадке конуса (ОК), отформованного из бетонной смеси.
4.2.2. Средства испытания
Для определения подвижности бетонной смеси применяют:
- загрузочную воронку;
- секундомер;
- гладкий жесткий лист размерами не менее 700 x 700 мм из водонепроницаемого материала (металл, пластмасса и т.п.);
- прямой металлический гладкий стержень диаметром 16 мм, длиной 600 мм с округленными концами.
1 - ручка; 2 - корпус; 3 - упоры
Рисунок 1. Конус для определения подвижности
Конус изготовляют из листовой стали толщиной не менее 1,5 мм. Внутренняя поверхность конуса должна иметь шероховатость не более 40 мкм по
ГОСТ 2789.
Размеры конуса приведены в таблице 1.
Наименование конуса | Внутренний размер конуса, мм |
d | D | H |
Нормальный | 100 +/- 2 | 200 +/- 2 | 300 +/- 2 |
Увеличенный | 150 +/- 2 | 300 +/- 2 | 450 +/- 2 |
Конус для определения жесткости по методу Скрамтаева | 100 +/- 2 | 194 +/- 2 | 300 +/- 2 |
Примечание. Конус для определения жесткости по методу Скрамтаева изготовляют без упоров. |
4.2.3. Порядок подготовки и проведения испытания
4.2.3.1. Для определения подвижности бетонной смеси с зернами заполнителя наибольшей крупностью до 40 мм включительно применяют нормальный конус, с зернами наибольшей крупностью более 40 мм - увеличенный.
4.2.3.2. При подготовке конуса и приспособлений к испытаниям все соприкасающиеся с бетонной смесью поверхности следует очистить и увлажнить.
4.2.3.3. Конус устанавливают на гладкий лист и заполняют бетонной смесью марок П1, П2 или П3 через воронку в три слоя одинаковой высоты.
Каждый слой уплотняют штыкованием металлическим стержнем в нормальном конусе 25 раз, в увеличенном - 56 раз.
Бетонной смесью марок П4 и П5 конус заполняют в один прием и штыкуют в нормальном конусе 10 раз, в увеличенном - 20 раз.
Конус во время заполнения и штыкования должен быть плотно прижат к листу.
4.2.3.4. После уплотнения бетонной смеси снимают загрузочную воронку, избыток смеси срезают кельмой вровень с верхними краями конуса и заглаживают поверхность бетонной смеси. Время от начала заполнения конуса до его снятия не должно превышать 3 мин.
4.2.3.5. Конус плавно снимают с отформованной бетонной смеси в строго вертикальном направлении и устанавливают рядом с ней. Время, затраченное на подъем конуса, должно составлять 5 - 7 с.
Если после снятия конуса бетонная смесь разваливается, измерение не выполняют и испытание повторяют на новой пробе бетонной смеси.
Осадку конуса бетонной смеси, определенную в увеличенном конусе, приводят к осадке, определенной в нормальном конусе, умножением осадки увеличенного конуса на коэффициент 0,67.
4.2.3.6. Осадку конуса бетонной смеси определяют, укладывая гладкий стержень на верх конуса и измеряя расстояние от нижней поверхности стержня до поверхности бетонной смеси с погрешностью не более 0,5 см.
4.2.3.7. Осадку конуса бетонной смеси определяют два раза. Общее время испытания с начала заполнения конуса бетонной смесью при первом определении и до момента измерения осадки конуса при втором определении не должно превышать 10 мин.
4.2.3.8. Осадку конуса бетонной смеси одной пробы вычисляют с округлением до 1,0 см как среднеарифметическое значение результатов двух определений, отличающихся между собой не более чем:
- на 1 см при осадке конуса до 9 см включительно;
- на 2 см при осадке конуса от 10 до 15 см;
- на 3 см при осадке конуса от 16 см и выше.
При большем расхождении результатов испытание повторяют на новой порции бетонной смеси той же пробы.
4.3. Определение жесткости бетонной смеси
4.3.1. Жесткость бетонной смеси характеризуют временем вибрации в секундах, необходимым для выравнивания бетонной смеси и появления цементного теста в отверстиях прибора по методам Вебе и Красного или по выравниванию поверхности бетонной смеси по методу Скрамтаева.
4.3.2. Для определения марки бетонной смеси по жесткости по
ГОСТ 7473 применяют следующие методы:
- Вебе;
- Красного;
- Скрамтаева.
4.3.3. Средства испытания
4.3.3.1. Для определения жесткости бетонной смеси применяют:
- конус для метода Скрамтаева (размеры приведены в
таблице 1) и металлическую форму ФК-200 по
ГОСТ 22685;
- лабораторную виброплощадку;
- секундомер;
- прямой металлический гладкий стержень диаметром 16 мм, длиной 600 мм с округленными концами;
- загрузочную воронку;
1 - цилиндр с фланцем в основании; 2 - конус;
3 - кольцо-держатель с ручками; 4 - загрузочная воронка;
5 - штатив; 6 - направляющая втулка; 7 - фиксирующая втулка;
8 - диск с шестью отверстиями; 9 - стальная шайба;
10 - штанга
1 - ножки; 2 - отверстия

Рисунок 3. Прибор Красного
4.3.3.2. Цилиндр 1, конус 2, воронку 4, диск 8, шайбу 9 и штангу 10 (см.
рисунок 2) прибора Вебе изготовляют из листовой стали.
Кольцо-держатель 3 и конус 2 должны иметь гладкую внутреннюю поверхность, степень шероховатости не должна быть более 40 мкм по
ГОСТ 2789.
Общая масса диска, штанги и шайбы должна быть (2750 +/- 50) г.
4.3.3.3. Лабораторная виброплощадка с установленным на ней прибором Вебе с бетонной смесью должна обеспечивать вертикально направленные колебания частотой (2900 +/- 100) в минуту и амплитудой (0,50 +/- 0,05) мм.
Прибор Вебе для определения жесткости бетонной смеси должен при испытаниях жестко крепиться к поверхности виброплощадки.
4.3.3.4. Прибор Красного изготовляют из стали с шероховатостью поверхности не более 40 мкм по
ГОСТ 2789. Отклонение толщины диска и диаметра отверстий прибора не должно превышать +/- 0,1 мм, остальных размеров - +/- 0,2 мм. Общая масса прибора должна составлять (435 +/- 15) г.
4.3.4. Определение жесткости бетонной смеси на приборе Вебе
4.3.4.1. Прибор собирают и закрепляют на виброплощадке.
4.3.4.2. Заполнение конуса прибора бетонной смесью, уплотнение смеси и снятие с отформованной смеси конуса проводят в соответствии с
4.2.3.3, как для смесей марок П1 - П3.
4.3.4.3. Поворотом штатива 5 диск 8 (см.
рисунок 2) устанавливают над отформованным конусом бетонной смеси и плавно опускают его до соприкосновения с поверхностью смеси. Включают виброплощадку и секундомер и наблюдают за выравниванием бетонной смеси. Смесь вибрируют до тех пор, пока не начнется выделение цементного теста из любых двух отверстий диска 8. В этот момент выключают секундомер и вибратор. Время, измеренное в секундах, характеризует жесткость бетонной смеси.
4.3.5. Определение жесткости бетонной смеси по методу Красного
4.3.5.1. При определении жесткости бетонной смеси прибор Красного устанавливают в форму:
- ФК-150 - при наибольшей крупности зерен заполнителя до 40 мм;
- ФК-200 - при наибольшей крупности зерен заполнителя более 40 мм.
4.3.5.2. Установленную на виброплощадку форму заполняют бетонной смесью доверху с помощью штыкования без виброуплотнения. Избыток смеси срезают кельмой вровень с верхними краями формы.
4.3.5.3. Прибор Красного погружают в бетонную смесь ножками вниз до соприкосновения нижней поверхности диска с поверхностью смеси.
4.3.5.4. Включают одновременно виброплощадку и секундомер и вибрируют смесь до тех пор, пока не начнется выделение цементного теста из любых двух отверстий диска прибора. В этот момент выключают секундомер и виброплощадку. Полученное время в секундах характеризует жесткость бетонной смеси.
Переходный коэффициент к прибору Вебе устанавливают экспериментально по ГОСТ 10180,
приложение Л. Допускается переходный коэффициент принимать равным 1.
4.3.6. Определение жесткости бетонной смеси по методу Скрамтаева
4.3.6.1. Жесткость бетонной смеси по методу Скрамтаева определяют в формах ФК-200 по
ГОСТ 22685.
4.3.6.2. Для определения жесткости бетонной смеси в закрепленную на виброплощадке форму помещают конус Скрамтаева и заполняют его бетонной смесью, как указано в
4.2.3.3 для смесей марок П1 - П3.
Затем конус плавно снимают и одновременно включают виброплощадку и секундомер. Смесь вибрируют до тех пор, пока поверхность бетонной смеси не станет горизонтальной.
Время в секундах, необходимое для выравнивания поверхности бетонной смеси в форме, характеризует жесткость смеси.
Переходный коэффициент от метода Скрамтаева к методу Вебе устанавливают экспериментально по ГОСТ 10180,
приложение Л. Допускается принимать переходный коэффициент равным 0,7.
4.3.7. Обработка результатов испытания
4.3.7.1. Жесткость бетонной смеси одной пробы определяют два раза. Общее время испытания с начала заполнения формы при первом определении и до окончания вибрирования при втором определении не должно превышать 10 мин.
4.3.7.2. Жесткость бетонной смеси вычисляют с округлением до 1 с как среднеарифметическое значение результатов двух определений, отличающихся между собой не более чем на 20% среднего значения. При большем расхождении результатов испытание повторяют на новой пробе.
4.4. Определение расплыва бетонной смеси
4.4.1. Расплыв бетонной смеси определяют путем измерения величины расплыва на встряхивающем столе.
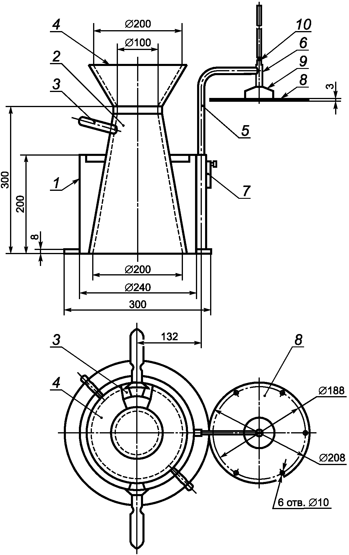
4.4.2. Средства испытания
Для определения расплыва бетонной смеси применяют:
- встряхивающий стол
(рисунок 4), состоящий из верхней металлической подвижной плиты 1 размерами в плане [(700 x 700) +/- 2] мм, толщиной не менее 2 мм, шарнирно прикрепленной к нижней плите-основанию 4, на которую верхняя плита 1 может падать с фиксированной высоты (40 +/- 1) мм. Масса верхней плиты (16,0 +/- 0,5) кг.
1 - верхняя плита; 2 - верхний блок-останов;
3 - наружные шарниры; 4 - нижняя плита-основание;
5 - ручка для подъема; 6 - нижний блок-останов
Рисунок 4. Встряхивающий стол
Через центр верхней плиты должны быть прочерчены две маркировочные взаимно перпендикулярные линии, параллельные краям плиты, в середине плиты должен быть прочерчен круг диаметром (210 +/- 1) мм.
По углам верхней плиты с боков должны быть прикреплены снизу два тяжелых жестких блока-останова 2 для передачи нагрузки верхней плиты на плиту-основание 4 (см.
рисунок 4).
Подъем верхней плиты стола проводят вручную или с помощью подъемного механизма, обеспечивая подъем без резких толчков и свободное падение на полную фиксированную высоту;
- конусную форму
(рисунок 5) следующих внутренних размеров:
нижний диаметр - (200 +/- 2) мм,
верхний диаметр - (130 +/- 2) мм,
высота - (200 +/- 2) мм.
1 - ручка; 2 - корпус; 3 - упоры
Рисунок 5. Конусная форма
Внутренняя поверхность формы должна иметь шероховатость не более 40 мкм по
ГОСТ 2789.
Плоскости верхнего и нижнего оснований формы должны быть параллельными друг другу и перпендикулярными вертикальной оси. Форма должна иметь две ручки и упоры для прижатия формы к основанию;
- уплотняющий брус
(рисунок 6) из твердого материала, одна часть которого выполнена квадратного сечения со стороной (40 +/- 1) мм и длиной 200 мм, другая (ручка) - круглого сечения диаметром (40 +/- 1) мм, длиной 120 - 150 мм;
- металлическую линейку длиной 700 мм, ценой деления 5 мм по
ГОСТ 427;
- контейнер для повторного перемешивания;
- совок с квадратным устьем;
- влажную ткань;
- лопатку шириной (100 +/- 10) мм;
- таймер или часы с точностью измерения до 1 с.
Рисунок 6. Уплотняющий брус
4.4.3. Проведение испытания
Встряхивающий стол устанавливают на плоскую горизонтальную поверхность.
Стол и конусную форму очищают и увлажняют до испытания.
Помещают форму в центре стола и фиксируют ее положение с помощью фиксаторов.
Форму наполняют бетонной смесью совком двумя равными слоями. Каждый слой уплотняют 10 легкими ударами уплотняющего бруса. После наполнения с помощью уплотняющего бруса срезают излишек массы вровень с краями формы, поверхность стола очищают от остатков смеси.
Через 30 с с момента срезки излишка смеси форму поднимают за ручки вертикально вверх за время от 3 до 6 с.
Верхнюю плиту стола плавно поднимают до верхнего блока-останова так, чтобы плита не стукнулась о блок-установ. Дают возможность верхней плите стола свободно упасть на нижний блок-останов. Повторяют цикл 15 раз, проводя каждый цикл в течение 2 - 5 с. Линейкой измеряют максимальные размеры расплыва бетонной смеси с точностью до 10 мм в двух направлениях d1 и d2 (рисунок 7), параллельных краям стола.
Рисунок 7. Измерение расплыва бетонной смеси
Визуально проверяют расплывшуюся смесь на расслоение. Если образовалось расслоение, его регистрируют, а испытание считают неудовлетворительным.
Величину расплыва Dраспл, мм, определяют с точностью до 10 мм по формуле

(1)
Регистрация результатов испытания должна включать в себя:
- условное обозначение бетонной смеси по
ГОСТ 7473;
- место проведения испытания;
- дату и время проведения испытания;
- температуру пробы бетонной смеси на момент испытания;
- наличие расслоения бетонной смеси;
- результат испытания.
Примечание. Разность между значениями расплыва d1 и d2 при одном определении не должна превышать 15% среднего значения.
4.4.4. Обработка результатов испытания
4.4.4.1. Расплыв бетонной смеси одной пробы определяют два раза.
Общее время испытания не должно превышать 15 мин.
4.4.4.2. Расплыв бетонной смеси вычисляют с округлением до 10 мм как среднеарифметическое значение результатов двух определений расплыва одной пробы бетонной смеси, отличающихся между собой не более чем на 20% среднего значения. При большем расхождении результатов испытание повторяют на новой пробе.
4.5. Определение степени уплотняемости бетонной смеси
4.5.1. Степень уплотняемости бетонной смеси оценивают по разности высот бетонной смеси в форме до и после ее уплотнения.
4.5.2. Средства испытания
Для определения степени уплотняемости применяют:
- форму квадратного сечения
(рисунок 8) с внутренними размерами:
дно - [(200 x 200) +/- 2] мм,
высота - (400 +/- 2) мм.
Дно формы может быть перфорированным для облегчения его опорожнения. В этом случае на дно формы укладывают пленку;
- лабораторную виброплощадку;
- влажную ткань;
Рисунок 8. Форма для определения степени
уплотняемости бетонной смеси
4.5.3. Проведение испытания
Перед испытанием проба должна быть перемешана, внутренняя поверхность формы увлажнена. Наполняют форму без уплотнения. После наполнения формы излишек бетонной смеси без ее уплотнения срезают вровень с краями формы.
После уплотнения определяют расстояние между поверхностью уплотненного образца и верхом формы S (см.
рисунок 8) с точностью до 1 мм.
4.5.4. Обработка результатов испытания
4.5.4.1. Степень уплотняемости C определяют по формуле
C = h1/h2, (2)
где h1 - высота формы, мм;
h2 - высота бетонной смеси в форме после уплотнения, мм.
Регистрация результатов испытания должна включать в себя:
- условное обозначение бетонной смеси по
ГОСТ 7473;
- дату и время проведения испытания;
- значение степени уплотняемости;
- температуру пробы бетонной смеси на момент испытания.
4.5.4.2. Степень уплотняемости бетонной смеси одной пробы определяют два раза. Общее время испытания не должно превышать 15 мин.
4.5.4.3. Степень уплотняемости бетонной смеси вычисляют с округлением до сотых долей как среднеарифметическое значение результатов двух определений степени уплотняемости одной пробы бетонной смеси, отличающихся между собой не более чем на 20% среднего значения. При большем расхождении результатов испытание повторяют на новой пробе.
5. Определение средней плотности бетонной смеси
5.1. Среднюю плотность бетонной смеси характеризуют отношением массы уплотненной бетонной смеси к ее объему.
5.2. Средства испытания
Для определения средней плотности бетонной смеси применяют:
- формы для изготовления контрольных образцов бетона по
ГОСТ 22685;
- лабораторную виброплощадку;
- мерные металлические цилиндрические сосуды, размеры которых принимают в зависимости от наибольшей крупности зерен фракции заполнителя по таблице 2.
Наибольшая крупность зерен фракции заполнителя, мм | Вместимость сосуда, см3, не менее | Внутренний размер сосуда, мм |
Диаметр | Высота |
20 | 1000 | 108 | 108 |
40 | 5000 | 185 | 185 |
80 (70) | 10000 | 234 | 234 |
Примечание. Плотность бетонной смеси, предназначенной для бетонов класса B5 и менее на пористых заполнителях, определяют в сосудах вместимостью 5000 см3 или в формах ФК-150 независимо от наибольшей крупности заполнителя. |
5.3. Проведение испытания
5.3.1. Перед испытанием мерный сосуд взвешивают.
5.3.2. Бетонную смесь помещают в сосуд и уплотняют в соответствии с
ГОСТ 10180.
5.3.3. После уплотнения избыток бетонной смеси срезают металлической линейкой и тщательно выравнивают поверхность на уровне краев мерного сосуда. Сосуд с бетонной смесью взвешивают с погрешностью не более 5 г.
5.4. Обработка результатов испытания
5.4.1. Среднюю плотность бетонной смеси

, кг/м
3, рассчитывают по формуле

(3)
где m - масса мерного сосуда с бетонной смесью, г;
m1 - масса мерного сосуда без смеси, г;
V - вместимость мерного сосуда, см3.
5.4.2. Среднюю плотность каждой пробы бетонной смеси определяют два раза как среднеарифметическое значение результатов двух определений средней плотности, отличающихся между собой не более чем на 2% среднего значения. При большем расхождении результатов испытание повторяют на новой пробе бетонной смеси.
6. Определение пористости (воздухосодержания)
бетонной смеси
6.1. Общие положения
Пористость бетонной смеси оценивают следующими показателями: объемом воздуха или газа, содержащегося в уплотненной бетонной смеси, и объемом межзерновых пустот.
Объем воздуха или газа определяют в бетонной смеси на плотных и пористых заполнителях; объем межзерновых пустот - в бетонных смесях на пористых заполнителях.
Объем воздуха или газа определяют экспериментальным или расчетным методом.
Объем воздуха или газа в смеси на плотном заполнителе определяют объемным или компрессионным методом (с помощью объемомера или поромера соответственно), на пористом заполнителе - только объемным методом.
6.2. Средства испытания
Для определения объема воздуха или газа в бетонной смеси применяют:
- лабораторную виброплощадку;
- противень;
- прямой металлический гладкий стержень длиной 600 мм, диаметром 16 мм с округленными концами.
1 - крышка; 2 - ограничители; 3 - стрелка; 4 - петля;
5 - пригружающий пуансон; 6 - цилиндрический сосуд
1 - чаша; 2 - накидной болт; 3 - крышка; 4 - водомерная
трубка; 5 - манометр; 6 - входной вентиль;
7 - ручной насос; 8 - сливной вентиль
6.2.1. Вместимость цилиндрического сосуда объемомера устанавливают в зависимости от наибольшей крупности зерен фракции заполнителя по таблице 3.
Таблица 3
Наибольшая крупность зерен фракции заполнителя, мм | 20 | 40 |
Вместимость цилиндрического сосуда, см3, не менее | 5000 | 10000 |
Отношение высоты цилиндрического сосуда к его диаметру должно быть от 1 до 2.
Пригружающий пуансон 5 (см.
рисунок 9) должен быть выполнен в виде металлического кольца высотой 20 мм и наружным диаметром на 3 мм меньше внутреннего диаметра сосуда, иметь дно из сетки с ячейками размером 1,2 мм и проволочную петлю для извлечения его из сосуда.
Расстояние между ограничителями 2 крышки 1 должно быть равным наружному диаметру сосуда. Стрелка 3 длиной 22 мм должна иметь конусообразную форму с острым концом.
6.2.2. Градуировка объемомера
6.2.2.1. Градуировка объемомера заключается в установлении объема его сосуда (постоянной объемомера).
В пустой цилиндрический сосуд 6 (см.
рисунок 9) помещают пригружающий пуансон 5, устанавливают на сосуд крышку 1 со стрелкой 3 и наливают воду до тех пор, пока ее поверхность не придет в соприкосновение с острием стрелки, что фиксируют по моменту соприкосновения острия стрелки с его отражением в воде.
6.2.2.2. Постоянную объемомера V0 вычисляют по формуле

(4)
где mв - масса влитой воды, г;

- плотность воды, принимаемая равной 1 г/см
3.
6.2.3. Градуировка поромера
6.2.3.1. Градуировка поромера заключается в измерении вместимости чаши 1 и определении цены деления поромера.
Чаша 1 и крышка 3 (см.
рисунок 10) поромера должны иметь жесткую конструкцию, не допускающую изменение объема поромера при приложении давления до 200 кПа. Соединение крышки 3 и чаши 1 должно иметь уплотнение, обеспечивающее герметичность поромера. Внутренняя поверхность крышки 3 должна иметь угол к плоскости ее основания не менее 30°, чаша 1 - плоское дно.
Отношение диаметра чаши к ее высоте должно составлять 1,00 +/- 0,25.
Вместимость чаши принимают в зависимости от наибольшей крупности зерен фракции заполнителя по таблице 4.
Таблица 4
Наибольшая крупность зерен фракции заполнителя, мм | 20 | 40 |
Вместимость чаши, см3, не менее | 2000 | 8000 |
Вместимость водомерной трубки 4 должна составлять (6 +/- 1)% вместимости чаши 1. Длина шкалы водомерной трубки должна быть не менее 100 мм, число делений - не менее 100.
В пустом поромере давление (100 +/- 20) кПа не должно снижаться более чем на 5 кПа в течение 1 мин. Шкала манометра 5 должна иметь верхний предел 200 кПа.
Материал чаши и крышки прибора должен быть устойчив к действию щелочей цемента.
6.2.3.2. Поромер должен иметь следующее дополнительное оборудование:
- воронку для наливания воды в прибор;
- сосуд для воды вместимостью не менее 3000 см3;
- стальную пластину размерами 500 x 20 x 5 мм.
6.2.3.3. Для определения вместимости чаши на ее фланец наносят тонкий слой гидрофобной смазки, чашу накрывают стеклянным листом и взвешивают. Затем стеклянный лист снимают, наливают в чашу воду до образования выпуклого мениска и вновь накрывают стеклянным листом. После стекания излишков воды чашу обтирают тканью, чашу с листом и водой взвешивают.
Вместимость чаши Vч, см3, вычисляют с округлением до 1 см3 по формуле

(5)
где m2 - масса чаши со стеклянным листом и водой, г;
m1 - масса чаши со стеклянным листом без воды, г;

- плотность воды, принимаемая равной 1 г/см
3.
6.2.3.4. Для определения цены деления шкалы поромера в чашу наливают воду, накрывают ее крышкой, затягивают накидные болты, закрывают сливной вентиль и через воронку доливают воду немного выше уровня верхнего (нулевого) деления шкалы. Открыв сливной вентиль, устанавливают уровень воды на нулевом делении. Затем, подставив предварительно взвешенный стакан, открывают сливной вентиль и сливают воду до отметки от 30% до 60% шкалы водомерной трубки. Взвешивают стакан с водой с погрешностью не более 1 г.
Цену деления шкалы поромера C вычисляют по формуле

(6)
где m4, m3 - масса стакана с водой и без воды соответственно, г;
E - число делений водомерной трубки, соответствующее объему вылитой воды;
Vч - вместимость чаши, см3;

- плотность воды, принимаемая равной 1 г/см
3.
Примечание. Допускается использование поромера других конструкций, поверенного в установленном порядке. В этом случае градуировку следует проводить в соответствии с инструкцией к поромеру.
6.3. Объемный метод определения объема воздуха или газа в бетонной смеси
6.3.1. Отбирают пробу бетонной смеси массой mсм, г, вычисляемой по формуле

(7)
где

- плотность бетонной смеси в уплотненном состоянии, г/см
3;
Vсм - объем бетонной смеси в уплотненном состоянии, принимаемый равным (0,2 - 0,3)Vч, см3.
6.3.2. Пробу бетонной смеси помещают в сосуд объемомера и уплотняют по
ГОСТ 10180.
6.3.3. В объемомер с пробой бетонной смеси наливают взвешенное количество воды объемом в 1,5 - 2,0 раза большим, чем объем испытуемой смеси, до тех пор пока поверхность воды не придет в соприкосновение с острием стрелки.
В течение 2 - 3 мин тщательно перемешивают бетонную смесь с водой металлическим стержнем. После перемешивания снимают образовавшуюся в сосуде пену и помещают ее в предварительно взвешенный стеклянный стакан вместимостью 100 - 200 мл.
6.3.4. Перемешивание и отбор пены повторяют не менее двух раз с промежутком времени 2 - 3 мин, после чего устанавливают суммарную массу отобранной пены.
6.3.5. При испытании бетонной смеси на пористом заполнителе перед каждым снятием пены в сосуд опускают пригружающий пуансон для предотвращения всплывания зерен заполнителя.
6.3.6. После последнего снятия пены в сосуд опускают пригружающий пуансон, на сосуд накладывают пластину со стрелкой так, чтобы ограничители соприкасались со стенками сосуда. Затем постепенно небольшой струей доливают в сосуд воду по
6.3.3 и взвешиванием определяют суммарную массу налитой в сосуд воды.
6.3.7. После окончания испытания бетонной смеси на пористом заполнителе поднимают пуансон, отбирают из испытанной смеси 20 - 50 зерен крупного заполнителя, которые обтирают влажной тканью, взвешивают, высушивают до постоянной массы и вычисляют водопоглощение заполнителя Wщ, % массы, за время от начала приготовления бетонной смеси до окончания испытания по формуле

(8)
где Щ1 - масса отобранной пробы крупного заполнителя в водонасыщенном состоянии, г;
Щ2 - масса отобранной пробы крупного заполнителя в сухом состоянии, г.
6.3.8. Объем воздуха или газа в бетонной смеси Vв, %, вычисляют с округлением до 0,1% по формуле

(9)
где Vсм - объем испытуемой бетонной смеси в уплотненном состоянии, см3;
mв - масса всей влитой воды, г;

- плотность воды, принимаемая равной 1 г/см
3;
V
0 - постоянная объемомера, см
3, определяемая по
6.2.2;
mп - масса отобранной пены, г;
Wщ - водопоглощение крупного пористого заполнителя за время от момента приготовления смеси до окончания испытания, % массы;
n - коэффициент, равный 0,4 для пористого гравия, 0,75 - для пористого щебня;
Щ - содержание крупного пористого заполнителя в номинальном составе бетонной смеси, кг/м3.
Для бетонной смеси на плотном заполнителе величины n, Wщ и Щ принимают равными нулю.
Примечание. Пену в объемомере допускается гасить путем вливания от 1 до 3 мл спирта (этилового, метилового или др.). В этом случае пену допускается не собирать, а объем воздуха или газа в бетонной смеси Vв определяют по формуле

(10)
6.3.9. Объем воздуха или газа бетонной смеси вычисляют с округлением до 0,1% как среднеарифметическое значение результатов двух определений объема воздуха или газа в одной пробе бетонной смеси, отличающихся между собой не более чем на 20% среднего значения. При большем расхождении испытание повторяют на новой пробе бетонной смеси.
6.4. Компрессионный метод определения объема воздуха или газа
6.4.1. Бетонную смесь укладывают в чашу поромера и уплотняют по
ГОСТ 10180. После уплотнения излишек бетонной смеси срезают металлической линейкой. Фланец тщательно очищают от бетонной смеси, устанавливают на чаше крышку поромера и прижимают ее накидными болтами. Сливной вентиль при этом должен быть закрыт.
6.4.2. Через воронку заливают в поромер воду до отметки (50 +/- 30)% шкалы. Затем отклоняют поромер примерно на 30° от вертикали и, используя дно чаши как точку опоры, описывают 10 полных кругов верхним концом поромера, одновременно постукивая рукой по конической крышке для удаления пузырьков воздуха. Поромер возвращают в вертикальное положение и доливают через воронку воду до уровня выше нулевой риски шкалы.
Если на поверхности воды появляется пена, то ее необходимо удалить путем вливания через воронку от 1 до 3 мл спирта (этилового, метилового или др.).
Открыв сливной вентиль, приводят уровень воды к нулевому делению шкалы поромера.
6.4.3. Закрывают входной и сливной вентили и насосом поднимают давление в поромере до (110 +/- 5) кПа. Постукивают рукой по стенкам чаши и отмечают по шкале поромера уровень воды H
1 после того, когда давление опустится до 100 кПа.
6.4.4. Открыв входной вентиль, уменьшают избыточное давление до нуля, постукивая рукой в течение 1 мин по стенкам чаши, и отмечают уровень воды H
2.
6.4.5. Объем воздуха или газа в бетонной смеси Vв, %, вычисляют по формуле
Vв = C(H1 - H2)·100, (11)
где C - цена деления шкалы поромера, устанавливаемая по
6.2.3;
H
1 и H
2 - уровни воды, отмеченные в
6.4.3 и
6.4.4.
6.4.6. Объем воздуха или газа в бетонной смеси вычисляют с округлением до 0,1% как среднеарифметическое значение результатов двух определений объема воздуха или газа в одной пробе бетонной смеси, отличающихся между собой не более чем на 20% среднего значения. При большем расхождении испытание повторяют на новой пробе бетонной смеси.
Примечание. При использовании поромеров других конструкций пористость бетонной смеси определяют в соответствии с инструкциями по их применению.
6.5. Расчетный метод определения объема воздуха или газа в бетонной смеси
Объем воздуха или газа в уплотненной бетонной смеси Vв, %, вычисляют с округлением до 0,1% по формуле

(12)
где Ц, П, Щ, В и В
1 - фактическая масса, кг, цемента, сухих песка и щебня (гравия), воды и раствора добавок соответственно в 1 м
3 уплотненной бетонной смеси, вычисленные по
формулам (1) -
(4) ГОСТ 27006, кг;

- истинная плотность цемента, г/см
3, определяемая по
ГОСТ 310.2 или принимаемая равной 3,1 для портландцемента и его разновидностей, 3,0 - для шлакопортландцемента;

,

- средняя плотность зерен песка и щебня (гравия), г/см
3, определяемая для плотного заполнителя по
ГОСТ 8735 и
ГОСТ 8269.0 соответственно, для пористого заполнителя - по
ГОСТ 9758 в цементном тесте;
n - коэффициент, учитывающий увеличение средней плотности зерен крупного заполнителя в результате его частичного дробления при перемешивании бетонной смеси в смесителе принудительного действия; n принимают равным:
- 1,00 - для плотного заполнителя;
- 1,05 - для пористого заполнителя марки по прочности П75 и более;
- 1,10 - для пористого заполнителя марки по прочности менее П75.
6.6. Определение объема межзерновых пустот в бетонной смеси
6.6.1. Объем межзерновых пустот, оставшихся в уплотненной бетонной смеси вследствие ее неполного уплотнения или недостаточного содержания растворной составляющей (по сравнению с объемом межзерновых пустот в крупном заполнителе), выражаемый в процентах общего объема смеси, определяют экспериментальным способом в последовательности, приведенной ниже.
6.6.2. Уплотненную бетонную смесь после определения средней плотности по
5.3 выкладывают из формы на противень, растирают комья, тщательно перемешивают с добавлением 2000 г цемента и 600 - 800 г воды. Затем определяют среднюю плотность полученной смеси в уплотненном состоянии в соответствии с
5.4.
6.6.3. Объем межзерновых пустот в уплотненной бетонной смеси Vп, %, вычисляют по формуле

(13)
где V
1 - объем бетонной смеси, см
3, равный вместимости мерного сосуда или формы, в которой определяли среднюю плотность по
5.4;
V2 - объем уплотненной бетонной смеси после добавления в нее цемента и воды, см3, вычисляемый по формуле

(14)
здесь

- средняя плотность бетонной смеси в уплотненном состоянии после добавления в нее цемента и воды, г/см
3;
Vцт - объем добавленного цементного теста, см3, определяемый по формуле

(15)
здесь mсм - масса испытуемой бетонной смеси (до добавления цемента и воды), г;
mц - масса добавленного цемента, г;
mв - масса добавленной воды, г;

- плотность цемента, г/см
3, принимают по
6.5.
6.6.4. Объем межзерновых пустот в уплотненной бетонной смеси вычисляют с округлением до 0,1% как среднеарифметическое значение результатов двух определений объема межзерновых пустот в одной пробе, отличающихся между собой не более чем на 20% среднего значения. При большем расхождении результатов испытание повторяют на новой пробе.
7. Определение расслаиваемости бетонной смеси
7.1. Расслаиваемость бетонной смеси оценивают показателями раствороотделения и водоотделения.
7.2. Средства испытания
Для определения расслаиваемости бетонной смеси применяют:
- стальные формы для изготовления контрольных образцов бетона ФК-200 по
ГОСТ 22685;
- мерный сосуд вместимостью 5000 - 10000 см3;
- лабораторную виброплощадку;
- противень;
- сито с отверстиями диаметром 5 мм;
- сушильный электрошкаф.
7.3. Определение раствороотделения бетонной смеси
7.3.1. Раствороотделение бетонной смеси с крупным заполнителем, характеризующее ее расслаиваемость при динамическом воздействии, определяют путем сопоставления содержания растворной составляющей в нижней и верхней частях бетонной смеси, уплотненной в мерном сосуде или форме.
7.3.2. Бетонную смесь выкладывают в мерный сосуд (форму) и уплотняют в соответствии с
ГОСТ 10180. Уплотненную бетонную смесь дополнительно вибрируют на лабораторной виброплощадке в течение времени:
- жесткую смесь марок Ж1 - Ж4 ................... 120 с;
- подвижную смесь марок П1 и П2 ................. 25 с;
марок П3, П4 и П5 ............. 10 с.
7.3.3. После дополнительного вибрирования верхний слой бетонной смеси высотой около половины высоты мерного сосуда (формы) отбирают на предварительно взвешенный противень, а смесь, оставшуюся в нижней части мерного сосуда (формы), вибрируют до выравнивания поверхности смеси. Затем измеряют с погрешностью до 5 мм высоту слоя смеси H
н, оставшейся в нижней части мерного сосуда (формы), и вычисляют высоту отобранного слоя смеси H
в. Оставшуюся в форме смесь выкладывают на второй взвешенный противень.
7.3.4. Разделенную на две навески бетонную смесь из верхней и нижней частей мерного сосуда (формы) взвешивают и подвергают мокрому рассеву на сите с отверстиями диаметром 5 мм. При мокром рассеве каждую навеску смеси, выложенную на сито, промывают струей чистой воды до полного удаления цементно-песчаного раствора с поверхности зерен крупного заполнителя.
7.3.5. Отмытый крупный заполнитель из каждой навески бетонной смеси переносят на чистый противень, высушивают до постоянной массы при температуре (105 +/- 5) °C и взвешивают.
7.3.6. Массу растворной составляющей в навесках верхней и нижней частей мерного сосуда (формы) с учетом объема отобранной пробы определяют по формулам

(16)

(17)
где mр. в, mр. н - масса растворной составляющей смеси, находившейся в верхней и нижней частях мерного сосуда (формы), г;
mсм. в, mсм. н - масса бетонной смеси, отобранной из верхней и нижней частей мерного сосуда (формы), г;
mщ. в, mщ. н - масса высушенного крупного заполнителя, содержащегося в навесках из верхней и нижней частей мерного сосуда (формы), г;
H - высота мерного сосуда (формы), мм;
H
в, H
н - фактическая высота верхнего и нижнего слоев смеси соответственно по
7.3.3, мм.
7.3.7. Раствороотделение бетонной смеси Пр, %, определяют по формуле

(18)
7.3.8. Раствороотделение каждой пробы бетонной смеси определяют два раза и вычисляют с округлением до 1% как среднеарифметическое значение результатов двух определений, отличающихся между собой не более чем на 20% среднего значения. При большем расхождении результатов испытание повторяют на новой пробе бетонной смеси.
7.4. Определение водоотделения бетонной смеси
7.4.1. Водоотделение бетонной смеси определяют после ее отстаивания в мерном сосуде или форме в течение определенного промежутка времени.
7.4.2. Бетонную смесь укладывают в мерный сосуд (форму), вместимость и размер которого в зависимости от наибольшей крупности зерен фракции заполнителя принимают по
таблице 2, и уплотняют на виброплощадке в зависимости от удобоукладываемости смеси в соответствии с
7.3.2. Уровень бетонной смеси должен быть на (10 +/- 5) мм ниже верхнего края мерного сосуда (формы).
7.4.3. Форму (сосуд) накрывают листом паронепроницаемого материала (стекло, стальная пластина и т.п.) и оставляют в покое на 2 ч.
7.4.4. Пипеткой отбирают каждые 15 мин отделившуюся воду, собирая ее в стакан с крышкой и взвешивая по окончании испытания.
Примечание. Допускается отделившуюся воду отбирать с помощью фильтровальной бумаги и определять ее количество взвешиванием.
7.4.5. Водоотделение бетонной смеси Пв, %, характеризуют объемом воды, выделившейся из бетонной смеси за 2 ч, отнесенным к объему бетонной смеси в мерном сосуде (форме), и вычисляют по формуле

(19)
где mв - масса отделившейся воды, г;

- плотность воды, принимаемая равной 1 г/см
3;
Vб. см - объем уплотненной бетонной смеси, см3.
7.4.6. Водоотделение определяют два раза для каждой пробы бетонной смеси и вычисляют с округлением до 1% как среднеарифметическое значение результатов двух определений, отличающихся между собой не более чем на 20% среднего значения. При большем расхождении результатов испытание повторяют на новой пробе бетонной смеси.
8. Определение температуры бетонной смеси
8.1. Средства испытания
Для определения температуры бетонной смеси применяют стеклянный термометр по
ГОСТ 13646 или другой прибор для измерения температуры с ценой деления не более 1,0 °C.
8.2. Проведение испытания
8.2.1. Измерение температуры бетонной смеси должно быть начато не позднее чем через 2 мин после отбора пробы.
8.2.2. Прибор для измерения температуры погружают в бетонную смесь на глубину, определяемую техническим требованием к прибору для измерения температуры.
8.2.3. Толщина слоя бетонной смеси вокруг прибора для измерения температуры должна быть не менее 75 мм.
8.2.4. Температуру измеряют через 3 мин после погружения прибора для измерения температуры в бетонную смесь до ее стабилизации.
8.2.5. Температуру одной пробы бетонной смеси измеряют два раза с интервалом 5 мин. Разность между результатами двух определений температуры не должна превышать 2 °C.
9. Определение сохраняемости свойств бетонной смеси
9.1. Оценка сохраняемости свойств бетонной смеси (
разделы 4 -
8) заключается в получении и оценке данных об изменении свойств в течение определенного времени.
9.2. Средства испытания
Для определения сохраняемости свойств бетонной смеси применяют приборы и вспомогательное оборудование в соответствии с требованиями соответствующих методов определения свойств бетонной смеси.
9.3. Проведение испытания
9.3.1. Объем порции бетонной смеси, отобранной для испытания, должен быть достаточным для изготовления из нее отдельных проб на каждый срок измерения определяемого свойства бетонной смеси.
9.3.2. Условия хранения пробы бетонной смеси от момента ее отбора до момента испытания должны соответствовать температурно-влажностным условиям транспортирования и укладки бетонной смеси.
9.3.3. Первое испытание следует проводить непосредственно после окончания перемешивания смеси, второе и последующие - через каждые 30 мин до окончания испытания.
9.3.4. Для каждого испытания следует использовать новую пробу бетонной смеси.
(рекомендуемое)
ОЦЕНКА ТОЧНОСТИ И ЧУВСТВИТЕЛЬНОСТИ АЛЬТЕРНАТИВНОГО ПРИБОРА
ДЛЯ ОПРЕДЕЛЕНИЯ УДОБОУКЛАДЫВАЕМОСТИ БЕТОННОЙ СМЕСИ
А.1. Оценку сравнительной точности и чувствительности проверяемого альтернативного прибора для определения удобоукладываемости бетонной смеси выполняют на двух составах, отличающихся подвижностью не менее чем на 10 см или жесткостью не менее чем на 15 с.
Для определения каждого свойства бетонной смеси проводят по пять испытаний на проверяемом и стандартизованном приборах.
А.2. Точность проверяемого прибора характеризуют отношением средних коэффициентов вариации удобоукладываемости бетонной смеси, полученных на проверяемом и стандартизованном приборах. Средние коэффициенты вариации V
п(с) показателей удобоукладываемости, определенные по результатам испытаний, проверяемым V
j1 и стандартизованным V
j2 приборами, вычисляют по формуле

(А.1)
где Vj1, Vj2 - коэффициенты вариации показателя удобоукладываемости бетонной смеси для каждого из двух испытанных составов, определяемые на проверяемом и стандартизованном приборах и вычисляемые по формуле

(А.2)
где

(А.3)
здесь Sjп(с) - среднеквадратическое отклонение показателя удобоукладываемости бетонной смеси j-го состава, полученное на проверяемом и стандартизованном приборах;

- средний показатель удобоукладываемости бетонной смеси j-го состава, полученный на проверяемом и стандартизованном приборах;
Yijп(с) - результат определения удобоукладываемости бетонной смеси в i-й пробе j-го состава (i = 1 - 5; j = 1; 2), полученный на проверяемом и стандартизованном приборах;

(А.4)
Точность проверяемого прибора признают удовлетворительной, если соблюдается соотношение

(А.5)
где

,

- средние коэффициенты вариации показателя удобоукладываемости бетонной смеси, полученные при испытании на проверяемом и стандартизованном приборах, вычисленные по
формуле (А.1).
А.3. Чувствительность прибора X
п(с) характеризуют оценкой относительного изменения удобоукладываемости бетонной смеси при изменении ее водосодержания и вычисляют по формуле

(А.6)
где

,

- средние показатели удобоукладываемости бетонной смеси двух испытанных составов по
А.1, вычисленные по
формуле (А.4);
В
1, В
2 - водосодержание бетонной смеси двух различных составов по
А.1, л/м
3.
Чувствительность проверяемого прибора признают удовлетворительной, если соблюдается соотношение

(А.7)
где X
п, X
с - чувствительность проверяемого и стандартизованного приборов соответственно, вычисленная по
формуле (А.6).
А.4. Проверяемый прибор, удовлетворяющий требованиям
А.2 и
А.3, градуируют путем установления зависимости Y
с = a + bY
п между показателями удобоукладываемости по проверяемому и стандартизованному приборам.
Коэффициенты a и b вычисляют по формулам

(А.8)

(А.9)
где

,

,

,

- средние значения показателя удобоукладываемости двух испытанных составов бетонной смеси, полученные на проверяемом и стандартизованном приборах и вычисленные по
формуле (А.4).
(рекомендуемое)
ОПРЕДЕЛЕНИЯ ПОДВИЖНОСТИ БЕТОННОЙ СМЕСИ С ЗАПОЛНИТЕЛЕМ
РАЗМЕРОМ ЗЕРЕН 120 ММ ПО ОСАДКЕ КОНУСА
Б.1. Экспериментально подобранную бетонную смесь с заполнителем размером зерен 120 мм, соответствующую по удобоукладываемости оборудованию и технологии бетонных работ на данном конкретном объекте строительства, подвергают рассеву на сите с размером ячейки 40 мм.
Б.2. На отсеянной бетонной смеси определяют подвижность по осадке конуса по
4.2.
Б.3. При производственном контроле удобоукладываемость бетонной смеси контролируют и оценивают по результатам определения осадки конуса отсеянной бетонной смеси.
Примечание. При производственном контроле других нормируемых показателей качества бетонной смеси (средней плотности, воздухосодержания, расслаиваемости, температуры и сохраняемости свойств), а также показателей качества бетонов (прочности, морозостойкости, водонепроницаемости) испытания проводят также на отсеянной бетонной смеси. При этом коэффициенты перехода от результатов определения свойств бетонной смеси на отсеянных пробах к результатам этих же свойств на неотсеянных бетонных смесях должны быть приведены в проекте производства работ или технологическом регламенте данного объекта строительства.