Главная // Актуальные документы // ГОСТ (Государственный стандарт)СПРАВКА
Источник публикации
М.: Стандартинформ, 2018
Примечание к документу
Документ
введен в действие с 1 апреля 2019 года.
Название документа
"ГОСТ 16295-2018. Межгосударственный стандарт. Бумага противокоррозионная. Технические условия"
(введен в действие Приказом Росстандарта от 27.06.2018 N 361-ст)
"ГОСТ 16295-2018. Межгосударственный стандарт. Бумага противокоррозионная. Технические условия"
(введен в действие Приказом Росстандарта от 27.06.2018 N 361-ст)
агентства по техническому
регулированию и метрологии
от 27 июня 2018 г. N 361-ст
МЕЖГОСУДАРСТВЕННЫЙ СТАНДАРТ
БУМАГА ПРОТИВОКОРРОЗИОННАЯ
ТЕХНИЧЕСКИЕ УСЛОВИЯ
Anticorrosive paper. Specifications
ГОСТ 16295-2018
Дата введения
1 апреля 2019 года
Цели, основные принципы и основной порядок проведения работ по межгосударственной стандартизации установлены в
ГОСТ 1.0-2015 "Межгосударственная система стандартизации. Основные положения" и
ГОСТ 1.2-2015 "Межгосударственная система стандартизации. Стандарты межгосударственные, правила и рекомендации по межгосударственной стандартизации. Правила разработки, принятия, обновления и отмены"
1 РАЗРАБОТАН Открытым акционерным обществом "Центральный научно-исследовательский институт бумаги", Техническим комитетом по стандартизации ТК 157 "Древесная масса. Бумага, картон и изделия из них"
2 ВНЕСЕН Федеральным агентством по техническому регулированию и метрологии
3 ПРИНЯТ Межгосударственным советом по стандартизации, метрологии и сертификации (протокол от 30 мая 2018 г. N 109-П)
За принятие проголосовали:
Краткое наименование страны по МК (ИСО 3166) 004-97 | Код страны по МК (ИСО 3166) 004-97 | Сокращенное наименование национального органа по стандартизации |
Беларусь | BY | Госстандарт Республики Беларусь |
Киргизия | KG | Кыргызстандарт |
Россия | RU | Росстандарт |
Таджикистан | TJ | Таджикстандарт |
Узбекистан | UZ | Узстандарт |
Украина | UA | Минэкономразвития Украины |
4
Приказом Федерального агентства по техническому регулированию и метрологии от 27 июня 2018 г. N 361-ст межгосударственный стандарт ГОСТ 16295-2018 введен в действие в качестве национального стандарта Российской Федерации с 1 апреля 2019 г.
Информация об изменениях к настоящему стандарту публикуется в ежегодном информационном указателе "Национальные стандарты", а текст изменений и поправок - в ежемесячном информационном указателе "Национальные стандарты". В случае пересмотра (замены) или отмены настоящего стандарта соответствующее уведомление будет опубликовано в ежемесячном информационном указателе "Национальные стандарты". Соответствующая информация, уведомление и тексты размещаются также в информационной системе общего пользования - на официальном сайте Федерального агентства по техническому регулированию и метрологии в сети Интернет (www.gost.ru)
Настоящий стандарт распространяется на противокоррозионную бумагу (далее - бумага), содержащую ингибиторы атмосферной коррозии металлов.
Стандарт устанавливает технические требования к противокоррозионной бумаге, предназначенной для временной защиты от атмосферной коррозии изделий из черных и цветных металлов, в соответствии с
приложением А.
В настоящем стандарте использованы нормативные ссылки на следующие межгосударственные стандарты:
ГОСТ 9.014-78 Единая система защиты от коррозии и старения. Временная противокоррозионная защита изделий. Общие требования
ГОСТ 12.0.003-2015 Система стандартов безопасности труда. Опасные и вредные производственные факторы. Классификация
ГОСТ 12.1.001-89 Система стандартов безопасности труда. Ультразвук. Общие требования безопасности
ГОСТ 12.1.004-91 Система стандартов безопасности труда. Пожарная безопасность. Общие требования
ГОСТ 12.1.005-88 Система стандартов безопасности труда. Общие санитарно-гигиенические требования к воздуху рабочей зоны
ГОСТ 12.1.007-76 Система стандартов безопасности труда. Вредные вещества. Классификация и общие требования безопасности
ГОСТ 12.1.010-76 Система стандартов безопасности труда. Взрывобезопасность. Общие требования
ГОСТ 12.1.018-93 Система стандартов безопасности труда. Пожаровзрывобезопасность статического электричества. Общие требования
ГОСТ 12.1.030-81 Система стандартов безопасности труда. Электробезопасность. Защитное заземление, зануление
ГОСТ 12.3.002-2014 Система стандартов безопасности труда. Процессы производственные. Общие требования безопасности
ГОСТ 12.4.011-89 Система стандартов безопасности труда. Средства защиты работающих. Общие требования и классификация
ГОСТ 12.4.028-76 Система стандартов безопасности труда. Респираторы ШБ-1 "Лепесток". Технические условия
ГОСТ 12.4.034-2001 (ЕН 133-90) Система стандартов безопасности труда. Средства индивидуальной защиты органов дыхания. Классификация и маркировка
ГОСТ 17.2.3.02-2014 Правила установления допустимых выбросов загрязняющих веществ промышленными предприятиями
ГОСТ 427-75 Линейки измерительные металлические. Технические условия
ГОСТ 1641-75 Бумага. Упаковка, маркировка, транспортирование и хранение
ГОСТ 1770-74 (ИСО 1042-83, ИСО 4788-80) Посуда мерная лабораторная стеклянная. Цилиндры, мензурки, колбы, пробирки. Общие технические условия
ГОСТ 4165-78 Реактивы. Медь (II) сернокислая 5-водная. Технические условия
ГОСТ 4328-77 Реактивы. Натрия гидроокись. Технические условия
ГОСТ 5100-85 Сода кальцинированная техническая. Технические условия
ГОСТ 6413-77 Кислота бензойная техническая. Технические условия
ГОСТ 7518-83 Трансформаторы для бытовых электроприборов. Технические условия
ГОСТ 8828-89 Бумага-основа и бумага двухслойная водонепроницаемая упаковочная. Технические условия
ГОСТ 9147-80 Посуда и оборудование лабораторные фарфоровые. Технические условия
ГОСТ 10564-75 Латекс синтетический СКС-65 ГП. Технические условия
ГОСТ 12026-76 Бумага фильтровальная лабораторная. Технические условия
ГОСТ 13523-78 Полуфабрикаты волокнистые, бумага и картон. Метод кондиционирования образцов <*>
--------------------------------
<*> В Российской Федерации действует ГОСТ Р ИСО 187-2012 "Целлюлоза, бумага, картон. Стандартная атмосфера для кондиционирования и испытания. Метод контроля за атмосферой и условиями кондиционирования".
ГОСТ 14919-83 Электроплиты, электроплитки и жарочные электрошкафы бытовые. Общие технические условия
ГОСТ 15150-69 Машины, приборы и другие технические изделия. Исполнения для различных климатических районов. Категории, условия эксплуатации, хранения и транспортирования в части воздействия климатических факторов внешней среды
ГОСТ 16711-84 Основа парафинированной бумаги. Технические условия
ГОСТ 17052-86 Производство бумаги и картона. Термины и определения
--------------------------------
<**> В Российской Федерации действует
ГОСТ Р 53636-2009 "Целлюлоза, бумага, картон. Термины и определения".
ГОСТ 18481-81 Ареометры и цилиндры стеклянные. Общие технические условия
ГОСТ 20010-93 Перчатки резиновые технические. Технические условия
ГОСТ 21102-97 Бумага и картон. Методы определения размеров и косины листа
ГОСТ 21472-81 Материалы листовые. Гравиметрический метод определения паропроницаемости
ГОСТ 23932-90 Посуда и оборудование лабораторные стеклянные. Общие технические условия
--------------------------------
<***> В Российской Федерации действует
ГОСТ Р 53228-2008 "Весы неавтоматического действия. Часть 1. Метрологические и технические требования. Испытания".
ГОСТ 25336-82 Посуда и оборудование лабораторные стеклянные. Типы, основные параметры и размеры
ГОСТ 27575-87 Костюмы мужские для защиты от общих производственных загрязнений и механических воздействий. Технические условия
ГОСТ 28498-90 Термометры жидкостные стеклянные. Общие технические требования. Методы испытаний
ГОСТ 29169-91 (ИСО 648-77) Посуда лабораторная стеклянная. Пипетки с одной отметкой
ГОСТ 29251-91 (ИСО 385-1-84) Посуда лабораторная стеклянная. Бюретки. Часть 1. Общие требования
ГОСТ 29329-92 Весы для статического взвешивания. Общие технические требования <*>
--------------------------------
<*> В Российской Федерации действует
ГОСТ Р 53228-2008 "Весы неавтоматического действия. Часть 1. Метрологические и технические требования. Испытания".
ГОСТ 32546-2013 (ISO 186:2002) Бумага и картон. Отбор проб для определения среднего качества
ГОСТ ISO 287-2014 Бумага и картон. Определение влажности продукции в партии. Метод высушивания в сушильном шкафу
ГОСТ ИСО 1924-1-96 Бумага и картон. Определение прочности при растяжении. Часть 1. Метод нагружения с постоянной скоростью
ГОСТ OIML R 111-1-2009 Государственная система обеспечения единства измерений. Гири классов точности E
1, E
2, F
1, F
2, M
1, M
1-2, M
2, M
2-3 и M
3. Часть 1. Метрологические и технические требования
Примечание - При пользовании настоящим стандартом целесообразно проверить действие ссылочных стандартов в информационной системе общего пользования - на официальном сайте Федерального агентства по техническому регулированию и метрологии в сети Интернет или по ежегодному информационному указателю "Национальные стандарты", который опубликован по состоянию на 1 января текущего года, и по соответствующим выпускам ежемесячного информационного указателя "Национальные стандарты" за текущий год. Если ссылочный стандарт заменен (изменен), то при пользовании настоящим стандартом следует руководствоваться заменяющим (измененным) стандартом. Если ссылочный стандарт отменен без замены, то положение, в котором дана ссылка на него, применяется в части, не затрагивающей эту ссылку.
4 Классификация, марки и размеры
4.1 В зависимости от вида и содержания ингибитора, массы бумаги-основы противокоррозионную бумагу выпускают следующих марок, указанных в
таблице 1.
Марка бумаги | Вид ингибитора (обозначение) | Бумага-основа | Наличие барьерного полимерного покрытия и другие характеристики |
Наименование, марка, обозначение нормативной и/или технической документации | Масса бумаги площадью 1 м2, г |
УНИ-35-80 УНИ-22-80 УНИ-14-80 | Нитрит натрия с уротропином (УНИ) | Основа противокоррозионной бумаги, марка A по технической документации | 80,0 +/- 4,0 | Без полимерного покрытия, с покрытием латексом синтетическим (кроме УНИ-35-80) или полиэтиленом |
УНИс-22-80 УНИс-14-80 | С полимерным покрытием (полиэтиленом), армированная сеткой |
УНИк-22-80 | Без полимерного покрытия, крепированная |
УНИ-22-70 | 70,0 +/- 4,0 | Без полимерного покрытия, с покрытием латексом синтетическим или полиэтиленом |
УНИ-14-70 |
УНИ-7-60 | 60,0 +/- 4,0 | Без полимерного покрытия |
УНИ-14-40 УНИ-7-40 | 40,0 +/- 2,0 | Без полимерного покрытия или с покрытием полиэтиленом |
БН-22-80 БН-18-80 | Бензоат натрия (БН) | 80,0 +/- 4,0 | Без полимерного покрытия, с покрытием полиэтиленом или латексом синтетическим |
БН-10-60 | 60,0 +/- 4,0 | Без полимерного покрытия |
МБГИ-8-40 МБГИ-3-40 | Мета-нитробензоат гексаметиленимина (МБГИ) (ингибитор Г-2) или мета-нитробензоат морфолина (ингибитор Г-2М) | 40,0 +/- 2,0 | Без полимерного покрытия, крепированная |
МБГИ-3-25 | | 25,0 +/- 2,0 |
| Мета-нитробензоат морфолина (ингибитор Г-2М) | Крафт-бумага марка A по технической документации | 50,0 +/- 2,0 | Без полимерного покрытия, крепированная |
| С полимерным покрытием, крепированная |
| С полимерным покрытием, крепированная, армированная сеткой |
УНИБ.1-5-80 | Соль циклогексиламина и синтетических жирных кислот (ингибитор М-1) (УНИБ.1) | Основа противокоррозионной бумаги, марка B, по технической документации | 80,0 +/- 4,0 | Без полимерного покрытия, с покрытием полиэтиленом, латексом синтетическим или парафином |
УНИБ.2-6-80 | Ингибитор М-1 и бензотриазол (УНИБ.2) |
УНИБ.2-6-60 | Основа противокоррозионной бумаги, марка A, по технической документации; | 60,0 +/- 4,0 | Без полимерного покрытия, с покрытием полиэтиленом или парафином |
УНИБ.2-6-40 |
| 40,0 +/- 2,0 |
БЛИКМ-7-80 | Смесь ингибитора М-1 (соль циклогексиламина и синтетических жирных кислот) с индустриальным маслом (БЛИКМ) | Основа противокоррозионной бумаги по технической документации; | 80,0 +/- 4,0 | Без полимерного покрытия |
| 70,0 - 100,0 |
БЛИКМ-7-35 | Основа парафинированной бумаги, марка ОДП-35 по ГОСТ 16711 | 35,0 +/- 1,8 |
БЛИКП-7-80 | Смесь ингибитора М-1 с парафином (БЛИКП) | Основа противокоррозионной бумаги по технической документации; | 80,0 +/- 4,0 | Барьерное покрытие парафином, содержащее ингибитор |
| 70,0 - 100,0 |
БЛИКП-7-35 | Основа парафинированной бумаги, марка ОДП-35, по ГОСТ 16711 | 35,0 +/- 1,8 |
<*> В бумаге массовую долю ингибитора определяют в процентах. Примечания 1 Допускается применение в качестве бумаги-основы других видов бумаги при условии их соответствия требованиям настоящего стандарта. 2 Наличие и вид барьерного полимерного покрытия устанавливают по согласованию потребителя с изготовителем. |
4.3 Бумагу выпускают в рулонах шириной 700; 800; 840; 920; 1050; 1200; 1210; 1240; 1250 и 1280 мм. Предельные отклонения по ширине рулона не должны превышать +/- 20 мм.
Масса рулона должна быть от 200 до 250 кг.
По согласованию изготовителя с потребителем допускается изготовлять бумагу в рулонах другой ширины и массы.
4.4 В условном обозначении бумаги необходимо указывать: обозначение ингибитора, его массу в бумаге площадью 1 м2 или массовую долю ингибитора в бумаге, массу бумаги-основы площадью 1 м2, наличие полимерного покрытия полиэтиленом по варианту "а" или "б" (в зависимости от паропроницаемости бумаги) обозначают соответственно "Эа" или "Эб"; наличие покрытия синтетическим латексом СКС-65ГП - "С"; наличие покрытия парафином - "П", армирование сеткой - "АС".
4.5 Примеры условных обозначений противокоррозионной бумаги:
- БН - бензоат натрия, 22 - масса ингибитора в бумаге площадью 1 м2 в граммах, 80 - масса бумаги-основы площадью 1 м2 в граммах, Эа - покрытие полиэтиленом по варианту "а":
БН-22-80 Эа ГОСТ 16295-2018,
- МБГИ - мета-нитробензоат гексаметиленимина, 8 - масса ингибитора в бумаге площадью 1 м2 в граммах, 40 - масса бумаги-основы площадью 1 м2 в граммах:
МБГИ-8-40 ГОСТ 16295-2018,
- МБГИ - мета-нитробензоат морфолина, 8 - массовая доля ингибитора в бумаге в процентах, 50 - масса бумаги-основы площадью 1 м2 в граммах:
МБГИ-8-50 ГОСТ 16295-2018.
5.1 Бумагу должны изготовлять в соответствии с требованиями настоящего стандарта согласно технологической документации на конкретный вид продукции, утвержденной в установленном порядке.
5.2 Показатели качества бумаги должны соответствовать значениям, указанным в
таблице 2.
5.3 Ширина непокрытой полимером кромки бумаги не должна превышать 20 мм.
5.4 При изготовлении бумаги должны применять вещества в соответствии с
приложением Б.
Наименование показателя | Значение для бумаги марок | Метод испытания |
БН-22-80 | БН-18-80 | БН-10-60 | МБГИ-8-40 | МБГИ-3-25, МБГИ-3-40 | МБГИ-8-50 | МБГИп-8-50 | МБГИпа-8-50 | УНИБ.1-5-80 | УНИБ.2-6-80, УНИБ.2-6-60, УНИБ.2-6-40 | БЛИКМ-7-80 | БЛИКМ-7-35 | БЛИКП-7-80 | БЛИКП-7-35 | УНИ-35-80 | УНИ-22-80, УНИ-22-70 | УНИс-22-80 | УНИк-22-80 | УНИ-14-80, УНИ-14-70, УНИ-14-40, УНИс-14-80 | УНИ-7-60, УНИ-7-40 |
1 Масса ингибитора в бумаге площадью 1 м2, г, не менее | 22,0 | 18,0 | 10,0 | 8,0 | 3,0 | - | - | - | 5,0 | 6,0 | 7,0 | 7,0 | 7,0 | 7,0 | 35,0 | 22,0 | 22,0 | 22,0 | 14,0 | 7,0 | |
2 Массовая доля ингибитора в бумаге, %, не менее | - | - | - | - | - | 8,0 | 8,0 | 8,0 | - | - | - | - | - | - | - | - | - | - | - | - | |
3 Массовая доля индустриального масла, %, не менее | - | - | - | - | - | - | - | - | - | - | 20,0 | 15,0 | - | - | - | - | - | - | - | - | |
4 Массовая доля парафина, %, не менее | - | - | - | - | - | - | - | - | - | - | - | - | 20,0 | 15,0 | - | - | - | - | - | - | |
5 Влажность, %, не более | 12,0 | 12,0 | 12,0 | 12,0 | 12,0 | 12,0 | 12,0 | 12,0 | 12,0 | 12,0 | - | - | - | - | 15,0 | 12,0 | 12,0 | 12,0 | 12,0 | 12,0 | |
6 Паропроницаемость за 24 ч, г/м2, не более, для бумаги с полиэтиленовым покрытием: | | | | | | | | | | | | | | | | | | | | | |
вариант а | 20,0 | 20,0 | - | - | - | - | 20,0 | 20,0 | 20,0 | 20,0 | - | - | - | - | 20,0 | 20,0 | 20,0 | - | 20,0 | - | |
вариант б | 80,0 | 80,0 | - | - | - | - | - | - | 80,0 | 80,0 | - | - | - | - | 80,0 | 80,0 | 80,0 | - | 80,0 | - | |
7 Масса каучука в бумаге с покрытием синтетическим латексом площадью 1 м2, г, не менее | 5,0 | 5,0 | - | - | - | - | - | - | 5,0 | 5,0 | - | - | - | - | - | 5,0 | - | - | 5,0 | - | |
8 Относительное удлинение в машинном направлении, %, не менее | - | - | - | 10,0 | 10,0 | 5,0 | 5,0 | 5,0 | - | - | - | - | - | - | - | - | - | 5,0 | - | - | |
По согласованию изготовителя с потребителем для изготовления бумаги марки БЛИКП-7-80 вместо парафина допускается применять нефтяные остатки (гач депарафинизации) марок 1 и 2 по технической документации.
5.5 Не допускается осыпание ингибитора с поверхности бумаги.
5.6 В противокоррозионной бумаге не допускается дырчатость, механические повреждения, металлические и минеральные включения.
Малозаметные вышеперечисленные дефекты, которые не могут быть обнаружены в процессе производства, допускаются, если показатель этих дефектов, определенный по
ГОСТ 13525.5, не превышает 5,0%.
5.7 Количество обрывов в рулоне не должно превышать трех. Места обрывов должны быть отмечены цветными сигналами, видимыми с торца рулона.
5.8 Упаковка и маркировка
5.8.1 Упаковка и маркировка бумаги - по
ГОСТ 1641 со следующими дополнениями.
5.8.1.1 Перед упаковыванием рулон дополнительно завертывают в один слой водонепроницаемой двухслойной бумаги по
ГОСТ 8828 или в слой бумаги, покрытой полиэтиленом по технической документации, загибая ее на торцы.
По согласованию потребителя с изготовителем допускаются другие виды упаковки.
Упаковка должна обеспечивать целостность и сохранность продукции при транспортировании выбранным видом транспорта.
На верхний слой неупакованного рулона бумаги без полимерного покрытия должна быть нанесена печатной краской маркировка - "Наружная сторона".
5.8.1.2 Бумажный ярлык, наклеиваемый на торец рулона, дополнительно должен содержать инструкцию по технике безопасности, изложенную в
приложении В.
На внешнюю упаковку рулонов и на транспортный пакет на поддоне наклеивают бумажный ярлык с маркировкой, содержащей:
- наименование страны-изготовителя;
- наименование и адрес организации-изготовителя, его товарный знак (при наличии);
- юридический адрес предприятия-изготовителя;
- наименование продукции, марку (или условное обозначение продукции);
- обозначение настоящего стандарта;
- дату изготовления (число, месяц, год);
- номер партии;
- номер рулона;
- ширину рулона;
- массу нетто рулона;
- штриховой код продукции (при наличии);
- манипуляционные знаки "Беречь от влаги", "Герметичная упаковка", "Крюками не брать" и информационную надпись "Беречь от действия солнечного света".
5.8.1.4 Допускается включать в маркировку дополнительную информацию о продукции.
6.1 Бумагу предъявляют к приемке партиями. Партия определяется объемом бумаги, выработанной по заказу, сформированному и утвержденному в установленном порядке на предприятии. Объем выборки - по
ГОСТ 32546.
6.2 Партию следует сопровождать документом о качестве, содержащем следующие данные:
- номер партии;
- наименование страны-изготовителя продукции;
- наименование и адрес изготовителя, его товарный знак (при наличии);
- условное обозначение бумаги;
- массу нетто;
- дату изготовления (месяц, год);
- результаты проведенных испытаний или подтверждение соответствия продукции требованиям настоящего стандарта.
6.3 Каждая партия проходит приемо-сдаточные испытания и должна быть принята отделом технического контроля предприятия-изготовителя.
6.4 При получении неудовлетворительных результатов хотя бы по одному из показателей по нему проводят повторные испытания на удвоенной выборке.
Результаты повторных испытаний распространяются на всю партию.
7.3 Массу рулона контролируют взвешиванием на весах для статического взвешивания по
ГОСТ 29329.
7.5 Ширину не покрытой полимером кромки бумаги контролируют линейкой измерительной металлической по
ГОСТ 427 с пределом измерения 150 мм.
7.6 Контроль, проводимый по
5.5 -
5.7 - визуально.
7.7 Определение массы ингибитора в бумаге площадью 1 м
2
7.7.1 Аппаратура, материалы и реактивы
Для определения массы ингибиторов в бумаге должны применять следующую аппаратуру, материалы и реактивы:
- шкаф сушильный с автоматическим регулированием температуры от 30 °C до 200 °C, предельные отклонения температуры от установленного значения в рабочей зоне - +/- 2 °C;
- муфельную печь, обеспечивающую температуру (600 +/- 25) °C;
- весы лабораторные общего назначения с наибольшим пределом взвешивания 200 г, 2 класса точности, по
ГОСТ 24104;
- секундомер и/или часы песочные по технической документации;
- каплеуловитель КОКШ XV-I по
ГОСТ 25336 или насадка Кьельдаля по нормативной документации;
- установку для экстрагирования типа Сокслета, состоящую из насадки для экстрагирования типа НЭТ-150 по
ГОСТ 25336, холодильник типа XIII-НШ по
ГОСТ 25336 и колбы типа ККШ, вместимостью 500 см
3, по
ГОСТ 25336;
- колориметр фотоэлектрический, с погрешностью показаний прибора по шкале светопропускания +/- 1%, по нормативной документации;
- pH-метр с диапазоном измерения от минус 1 до плюс 14 ед. pH. Пределы допускаемых значений основной абсолютной погрешности +/- 0,4 ед. pH;
- магнитную мешалку по нормативной документации;
- универсальный аппарат для встряхивания;
- водяную баню;
- колбы мерные, вместимостью 200, 250 и 1000 см
3, 2 класса точности, по
ГОСТ 1770;
- колбы конические вместимостью 100, 250 и 500 см
3, колбы круглодонные, вместимостью 500 см
3 и стаканы вместимостью 150, 200 и 300 см
3 по
ГОСТ 25336;
- бюретки вместимостью 50 см
3, 2 класса точности, по
ГОСТ 29251;
- пипетки вместимостью 5, 10, 25 и 50 см
3, 2 класса точности, по
ГОСТ 29169;
- цилиндр вместимостью 100 см
3, 2 класса точности, по
ГОСТ 1770;
- воронки стеклянные типов В и ВД вместимостью 100 см
3 по
ГОСТ 25336;
- кислоту соляную по
ГОСТ 3118, ч.д.а.: раствор с молярной концентрацией 0,1 моль/дм
3;
- кислоту серную по
ГОСТ 4204, ч.д.а.: растворы с молярной концентрацией 0,05 и 0,005 моль/дм
3 и раствор с массовой долей серной кислоты 72%;
- натрия гидроокись по
ГОСТ 4328, ч.д.а.: растворы с молярной концентрацией 0,1 и 0,01 моль/дм
3 и раствор с массовой долей гидроокиси натрия 10%;
- уротропин технический по
ГОСТ 1381: раствор с молярной концентрацией 0,1 моль/дм
3;
- медь (II) сернокислая, 5-водная, по
ГОСТ 4165;
- бензотриазол по технической документации, ч;
- аммиак водный по
ГОСТ 3760, раствор с молярной концентрацией 0,2 моль/дм
3;
- эфир петролейный по технической документации или бензин авиационный по
ГОСТ 1012, или нефрас по технической документации;
- индикаторы: метиловый оранжевый, метиловый красный, бромтимоловый синий и метиленовый синий;
- шаблон ЛДБ-1;
- бумагу фильтровальную мелкопористую по
ГОСТ 12026.
7.7.2 Определение массы ингибитора в бумаге марки УНИ
7.7.2.1 Масса ингибитора в бумаге марки УНИ равняется сумме массы нитрита натрия и уротропина.
Вычисляют массу ингибитора в бумаге площадью 1 м2 X1, г, по формуле
X1 = X2 + X3, (1)
где X2 - масса нитрита натрия в бумаге площадью 1 м2, г;
X3 - масса уротропина в бумаге площадью 1 м2, г.
7.7.2.2 Определение массы нитрита натрия
7.7.2.2.1 Метод основан на сжигании бумаги марки УНИ, растворении полученного после сжигания остатка в соляной кислоте и титровании избытка соляной кислоты гидроокисью натрия.
7.7.2.2.2 Отбор образцов
Из листов, отобранных по
7.1, вырезают девять образцов размером (10,00 +/- 0,05) x (10,00 +/- 0,05) см.
7.7.2.2.3 Проведение испытания
Три образца бумаги разрезают на кусочки площадью не более 0,5 см2 и помещают в фарфоровые тигли. Бумагу сжигают и прокаливают до полного исчезновения черных включений в золе при температуре (600 +/- 25) °C. Охлажденную золу количественно переносят 100 см3 дистиллированной воды в стакан вместимостью 300 см3 и добавляют 100 см3 раствора соляной кислоты с молярной концентрацией 0,1 моль/дм3.
Избыток кислоты титруют раствором гидроокиси натрия с молярной концентрацией 0,1 моль/дм3 в присутствии индикатора метилового оранжевого до перехода красной окраски в желтую.
7.7.2.2.4 Обработка результатов
Массу нитрита натрия в бумаге площадью 1 м2 X2, г, вычисляют по формуле

(2)
где V - объем раствора гидроокиси натрия с молярной концентрацией 0,1 моль/дм3, израсходованный на обратное титрование, см3;
0,0069 - масса нитрита натрия, связываемого 1 см3 раствора соляной кислоты с молярной концентрацией 0,1 моль/дм3, г;
S - площадь трех образцов бумаги, взятых для анализа, дм2.
За результат испытания принимают среднеарифметическое значение трех определений, округленное до 0,1 г.
Границы общей относительной погрешности составляют +/- 2,0% с доверительной вероятностью 0,95.
7.7.2.3 Определение массы уротропина
7.7.2.3.1 Метод основан на взаимодействии водной вытяжки бумаги с серной кислотой и титровании избытка серной кислоты раствором гидроокиси натрия.
7.7.2.3.2 Отбор образцов
Из листов, отобранных по
7.1, нарезают шесть образцов размером (10,00 +/- 0,05) x (10,00 +/- 0,05) см.
7.7.2.3.3 Проведение испытания
Водную вытяжку готовят следующим образом: три образца бумаги разрезают на кусочки площадью не более 0,5 см2, помещают в мерную колбу вместимостью 250 см3, заливают 100 см3 дистиллированной воды и взбалтывают в течение не менее 10 мин. Затем доливают водой до метки и перемешивают в течение не менее 1 мин.
Из водной вытяжки отбирают пипеткой две параллельные пробы по 25 см3 в две конические колбы вместимостью по 250 см3; в каждую колбу прибавляют по 5 см3 раствора уротропина с молярной концентрацией 0,1 моль/дм3 и по 50 см3 раствора серной кислоты с молярной концентрацией 0,05 моль/дм3. Колбы накрывают воронками и кипятят содержимое в течение (3,0 +/- 1,0) мин, после чего охлаждают, прибавляют несколько капель смешанного индикатора и титруют избыток серной кислоты раствором гидроокиси натрия с молярной концентрацией 0,1 моль/дм3 до перехода фиолетовой окраски в зеленую. Смешанный индикатор готовят следующим образом: 0,125 г метилового оранжевого и 0,085 г метиленового синего растворяют в 100 см3 этилового спирта при нагревании на водяной бане при температуре (50 +/- 1) °C.
7.7.2.3.4 Обработка результатов
Массу уротропина в бумаге площадью 1 м2 X3, г, вычисляют по формуле

(3)
где 50 - объем взятого для анализа раствора серной кислоты с молярной концентрацией 0,05 моль/дм3, см3;
V - объем раствора гидроокиси натрия с молярной концентрацией 0,1 моль/дм3, израсходованный на обратное титрование (среднеарифметическое значение двух титрований), см3;
V1 - объем раствора серной кислоты с молярной концентрацией 0,05 моль/дм3, израсходованный на разложение 5 см3 раствора уротропина с молярной концентрацией 0,1 моль/дм3, см3;
0,0035 - масса уротропина, связываемого 1 см3 раствора серной кислоты с молярной концентрацией 0,05 моль/дм3;
250 - объем водной вытяжки, см3;
S - площадь трех образцов бумаги, взятых для приготовления водной вытяжки, дм2;
25 - объем водной вытяжки, взятой для анализа.
V1 определяют следующим образом: 5 см3 раствора уротропина с молярной концентрацией 0,1 моль/дм3 переносят в коническую колбу вместимостью 250 см3, прибавляют 20 см3 воды, 50 см3 раствора серной кислоты с молярной концентрацией 0,05 моль/дм3, а затем накрывают воронкой и кипятят в течение (3,0 +/- 1,0) мин, после чего охлаждают, прибавляют несколько капель смешанного индикатора и титруют избыток серной кислоты раствором гидроокиси натрия с молярной концентрацией 0,1 моль/дм3 до перехода фиолетовой окраски в зеленую.
Объем раствора серной кислоты V1 вычисляют по формуле
V1 = 50 - b, (4)
где 50 - объем раствора серной кислоты с молярной концентрацией 0,05 моль/дм3, израсходованный для определения, см3;
b - объем раствора гидроокиси натрия с молярной концентрацией 0,1 моль/дм3, израсходованный на обратное титрование, см3.
За результат испытания принимают среднеарифметическое значение двух определений, округленное до 0,1 г.
Границы общей относительной погрешности составляют +/- 2,5% с доверительной вероятностью 0,95.
7.7.2.4 Упрощенный метод определения массы ингибитора в бумаге марки УНИ
7.7.2.4.1 Метод основан на измерении разницы масс противокоррозионной бумаги и бумаги-основы после удаления из первой ингибитора экстрагированием.
7.7.2.4.2 Отбор образцов
Из листов, отобранных по
7.1, нарезают шесть образцов бумаги размером (20,00 +/- 0,05) x (25,00 +/- 0,05) см.
В воронку Бюхнера вкладывают фильтровальную бумагу и соединяют ее через колбу с водоструйным насосом.
7.7.2.4.3 Проведение испытания
Для одного измерения берут два образца бумаги, взвешивают с точностью до 0,005 г. Потом образцы измельчают на кусочки площадью не более 0,5 см2, помещают их в коническую колбу вместимостью 1000 см3, доливают ее не менее 500 см3 дистиллированной воды и взбалтывают не менее 0,5 ч.
Полученный экстракт отфильтровывают на воронке Бюхнера. Фильтр с кусочками бумаги высушивают в сушильном шкафу при температуре (105 +/- 2) °C, затем выдерживают в эксикаторе до температуры окружающей среды, отделяют кусочки бумаги от фильтра и взвешивают их с точностью до 0,005 г.
Высушивание проводят до тех пор, пока разница масс между повторными взвешиваниями будет не более 0,005 г.
7.7.2.4.4 Обработка результатов
Массу ингибиторов в бумаге площадью 1 м2 X4, г, вычисляют по формуле

(5)
где m1 - масса двух образцов противокоррозионной бумаги, взятых для анализа, г;
W - влажность противокоррозионной бумаги, взятой для анализа, %;
m2 - масса высушенных образцов бумаги после экстрагирования, г.
За результат испытаний принимают среднеарифметическое значение трех определений, округленное до 0,1 г.
Границы общей относительной погрешности составляют +/- 1,3% с доверительной вероятностью 0,95.
7.7.3 Определение массы бензоата натрия в бумаге марки БН
7.7.3.1 Метод основан на титровании водной вытяжки бумаги раствором соляной кислоты.
7.7.3.2 Отбор образцов
Из листов, отобранных по
7.1, вырезают шесть образцов размером (10,00 +/- 0,05) x (10,00 +/- 0,05) см.
7.7.3.3 Проведение испытания
Из водной вытяжки, приготовленной в соответствии с требованиями
подпункта 7.7.2.3.3, отбирают пипеткой две параллельные пробы по 25 см
3 в две конические колбы вместимостью по 250 см
3; в каждую колбу прибавляют несколько капель раствора метилового оранжевого с массовой долей 0,1% и титруют раствором соляной кислоты с молярной концентрацией 0,1 моль/дм
3 до перехода желтой окраски в красную.
7.7.3.4 Обработка результатов
Массу бензоата натрия в бумаге площадью 1 м2 X5, г, вычисляют по формуле

(6)
где V - объем раствора соляной кислоты с молярной концентрацией 0,1 моль/дм3, израсходованный на титрование (среднеарифметическое значение двух титрований, округленное до 0,5 см3), см3;
0,0144 - масса бензоата, связываемого 1 см3 раствора соляной кислоты с молярной концентрацией 0,1 моль/дм3, г;
250 - объем водной вытяжки;
S - площадь трех образцов бумаги, взятых для приготовления водной вытяжки, дм2.
За результат испытания принимают среднеарифметическое значение двух определений, округленное до 0,1 г.
Границы общей относительной погрешности составляют +/- 3,5% с доверительной вероятностью 0,95.
7.7.4 Определение массы мета-нитробензоата гексаметиленимина в бумаге марок МБГИ
7.7.4.1 Метод основан на разложении мета-нитробензоата гексаметиленимина гидроокисью натрия, отгонке выделившегося гидроксиламина с водяным паром, связывании его соляной кислотой и титровании избытка соляной кислоты раствором гидроокиси натрия.
7.7.4.2 Отбор образцов
Из листов, отобранных по
7.1, вырезают двенадцать образцов бумаги размером (10,00 +/- 0,05) x (10,00 +/- 0,05) см.
7.7.4.3 Проведение испытания
Для проведения испытания собирают установку по схеме (см.
рисунок 1). В круглодонную колбу 1, вместимостью 500 см
3, помещают три образца бумаги, разрезанной на кусочки площадью не более 0,5 см
2, наливают 200 см
3 дистиллированной воды и добавляют 15 см
3 раствора гидроокиси натрия с массовой долей 10%.
Колбу соединяют с холодильником 3 стеклянной трубкой с каплеуловителем 2 (или насадкой Кьельдаля).
1 - круглодонная колба; 2 - каплеуловитель;
3 - холодильник; 4 - приемная колба
Рисунок 1 - Схема установки
для определения массы ингибитора
К нижней части холодильника присоединяют приемную колбу 4 вместимостью 250 см3, в которую предварительно наливают 25 см3 раствора соляной кислоты с молярной концентрацией 0,1 моль/дм3. Объем отогнанного раствора должен составлять от 65 до 70 см3. После окончания перегонки холодильник промывают сверху этиловым спиртом (при этом приемную колбу не отсоединяют). В приемную колбу приливают несколько капель индикатора бромтимолового синего и титруют раствором гидроокиси натрия с молярной концентрацией 0,1 моль/дм3 до перехода желтой окраски в синюю.
7.7.4.4 Обработка результатов
Массу мета-нитробензоата гексаметиленимина в бумаге площадью 1 м2 X6, г, вычисляют по формуле

(7)
где 25 - объем раствора соляной кислоты с молярной концентрацией 0,1 моль/дм3, помещенной в приемную колбу, см3;
V - объем раствора гидроокиси натрия с молярной концентрацией 0,1 моль/дм3, израсходованный на обратное титрование избытка соляной кислоты, см3;
0,0266 - масса ингибитора, связываемого 1 см3 раствора соляной кислоты с молярной концентрацией 0,1 моль/дм3, г;
S - площадь трех образцов бумаги, взятых для анализа, дм2.
За результат испытания принимают среднеарифметическое значение четырех определений, округленное до 0,1 г.
Границы общей относительной погрешности составляют +/- 5% с доверительной вероятностью 0,95.
7.7.5 Определение массовой доли ингибитора Г-2М в бумаге марок МБГИ
7.7.5.1 Метод основан на титровании спиртовой вытяжки бумаги раствором соляной кислоты.
7.7.5.2 Отбор проб
Из листов, отобранных по
7.1, отбирают образцы общей массой не менее 10,0 г, которые перед испытанием нарезают на кусочки площадью не более 0,5 см
2.
7.7.5.3 Аппаратура, посуда и реактивы
Для проведения испытаний должны применять:
- потенциометр любого типа с хлорсеребряным типа ЭВЛ-1МЗ и стеклянным типа ЭСЛ-43-07 электродами;
- магнитную мешалку;
- весы лабораторные общего назначения по
ГОСТ 24104, 2 класса точности;
- спирт изопропиловый по технической документации;
- кислоту соляную по технической документации: раствор с молярной концентрацией 0,1 моль/дм3.
7.7.5.4 Проведение испытания
Измельченные образцы помещают в колбу вместимостью 500 см3, заливают 250 см3 изопропилового спирта для извлечения ингибитора и выдерживают от 1,5 до двух суток.
После выдержки содержимое колбы тщательно перемешивают при помощи стеклянной палочки, отбирают 60 см3 в стакан для титрования и потенциометрически определяют массовую долю ингибитора Г-2М с помощью раствора соляной кислоты, добавляя титрант по 0,5 см3.
Скачок потенциала находится в интервале от плюс 130 до плюс 190 мВ.
Объем титранта, пошедшего на титрование, находят методом второй производной.
7.7.5.5 Обработка результатов
Массовую долю ингибитора Г-2М X7, %, в бумаге марки МБГИ рассчитывают по формуле
| | ИС МЕГАНОРМ: примечание. Формула дана в соответствии с официальным текстом документа. | |

(8)
где V - объем раствора соляной кислоты с молярной концентрацией 0,1 моль/дм3, израсходованный на титрование, см3;
0,0254 - масса ингибитора Г-2М, соответствующая 1 см3 раствора соляной кислоты с молярной концентрацией 0,1 моль/дм3, г;
250 - объем изопропилового спирта, взятый для извлечения ингибитора Г-2М, см3;
60 - объем, взятый на титрование, см3;
М - масса навески бумаги марки МБГИ, г.
За результат анализа принимают среднеарифметическое значение результатов двух параллельных определений, абсолютное значение расхождений между которыми не превышает значения допускаемого расхождения, равного 0,5%.
7.7.6 Определение массы ингибитора М-1, массовой доли индустриального масла и парафина в бумаге марок БЛИКМ и БЛИКП
7.7.6.1 Метод основан на экстрагировании пробы противокоррозионной бумаги петролейным эфиром или бензином, обработке экстракта раствором серной кислоты и обратном титровании избытка серной кислоты, израсходованной на реакцию с циклогексиламином, гидроокисью натрия.
7.7.6.2 Отбор образцов
Из листов, отобранных по
7.1, нарезают шесть образцов бумаги размером (10,00 +/- 0,05) x (10,00 +/- 0,05) см.
7.7.6.3 Проведение испытания
Два образца бумаги взвешивают, записывают массу (m1) в граммах, разрезают пополам, скручивают в спираль и помещают в экстрактор так, чтобы уровень бумаги был от 1,0 до 1,5 см ниже уровня перелива в аппарате (верхнего уровня сифона). В колбу аппарата наливают 200 см3 петролейного эфира или бензина. Затем соединяют экстрактор с холодильником и колбой.
Аппарат устанавливают на водяную баню, помещенную на электроплиту. Нагрев прекращают, когда количество переливов растворителя в экстракторе достигает четырех. После окончания экстрагирования образцы бумаги извлекают из экстрактора, высушивают на воздухе в течение от 5 до 10 мин, а затем - в сушильном шкафу при температуре (120 +/- 2) °C до постоянной массы, взвешивают и записывают их массу (m2) в граммах. Дают растворителю остыть и количественно переносят экстракт в мерную колбу вместимостью 200 см3 с притертой пробкой. Петролейным эфиром или бензином ополаскивают колбу от экстракта и доводят объем экстракта в мерной колбе до метки. После этого колбу закрывают притертой пробкой и тщательно перемешивают содержимое. 50 см3 экстракта при помощи пипетки переносят в делительную воронку. Туда же добавляют 25 см3 раствора серной кислоты с молярной концентрацией 0,005 моль/дм3.
Тщательно закрывают воронку пробкой и встряхивают в течение не менее 5 мин. После отстаивания нижний слой сливают в коническую колбу вместимостью 250 см3. Затем слой петролейного эфира промывают три раза дистиллированной водой (по 20 см3) и все водные вытяжки сливают в ту же колбу. Третью промывную воду проверяют на нейтральную реакцию. Для этого смачивают одной каплей воды из делительной воронки индикаторную бумажку и если среда еще кислая, делают еще одну промывку.
К раствору в конической колбе прибавляют три-четыре капли индикатора метилового красного и титруют раствором гидроокиси натрия с молярной концентрацией 0,01 моль/дм3 до появления желтой окраски и определяют объем (V1) как среднеарифметическое значение результатов трех параллельных титрований, округленное до 0,5 см3. Параллельно проводят холостой опыт и определяют V0.
7.7.6.4 Обработка результатов
7.7.6.4.1 Массу ингибитора М-1 в бумаге площадью 1 м2 X8, г, вычисляют по формуле
X8 = (V0 - V])·K·0,85, (9)
где V0 - объем раствора гидроокиси натрия, израсходованный на титрование холостой пробы, см3;
V1 - объем раствора гидроокиси натрия, израсходованный на титрование пробы экстракта исследуемой бумаги, см3;
K - поправка на титр гидроокиси натрия (справочник химика);
0,85 - коэффициент, учитывающий среднюю молекулярную массу ингибитора М-1, концентрацию раствора гидроокиси натрия, объем пробы экстракта в делительной воронке, площадь исследуемого образца, единицы физических величин.
За результат испытания принимают среднеарифметическое значение трех определений, округленное до 0,1 г.
Границы общей относительной погрешности составляют +/- 4% с доверительной вероятностью 0,95.
7.7.6.4.2 Массовую долю индустриального масла или парафина в бумаге площадью 1 м2 X9, %, вычисляют по формуле

(10)
где m1 и m2 - массы образцов бумаги до и после экстрагирования соответственно, г;
0,02 - коэффициент, учитывающий площадь образцов, взятых для испытания.
За результат испытания принимают среднеарифметическое значение пяти определений, округленное до 1%.
Границы общей относительной погрешности составляют +/- 3% с доверительной вероятностью 0,95.
7.7.7 Определение массы ингибитора в противокоррозионной бумаге марок УНИБ
7.7.7.1 Определение массы ингибитора М-1
7.7.7.1.1 Метод основан на обработке водной вытяжки из противокоррозионной бумаги серной кислотой, связывании серной кислотой выделившегося в результате реакции циклогексиламина и титровании избытка серной кислоты гидроокисью натрия.
7.7.7.1.2 Отбор образцов
Из листов, отобранных по
7.1, нарезают 15 образцов размером (10,00 +/- 0,05) x (10,00 +/- 0,05) см.
7.7.7.1.3 Проведение испытания
Пять образцов разрезают на кусочки площадью не более 0,25 см2, помещают в мерную колбу вместимостью 250 см3 и заполняют на 2/3 объема дистиллированной водой, нагретой до температуры от 70 °C до 80 °C. Колбу устанавливают в аппарат для встряхивания и проводят экстракцию при встряхивании не менее 15 мин, после чего доводят содержимое колбы дистиллированной водой до метки и перемешивают. Из колбы с водной вытяжкой отбирают пипеткой 25 см3 раствора, переносят его в стакан для титрования и добавляют 25 см3 раствора серной кислоты с молярной концентрацией 0,005 моль/дм3. Стакан устанавливают на магнитную мешалку, вводят в раствор электроды pH-метра и ведут титрование водным раствором гидроокиси натрия с молярной концентрацией 0,01 моль/дм3 до pH = 4,3.
Из одной вытяжки проводят три параллельных титрования. Для расчета берут среднеарифметическое значение трех титрований, округленное до 0,5 см3.
7.7.7.1.4 Обработка результатов
Массу ингибитора М-1 в бумаге площадью 1 м2 X10, г, вычисляют по формуле
X10 = (25 - V)·0,62, (11)
где V - объем раствора гидроокиси натрия с молярной концентрацией 0,01 моль/дм3, израсходованный на титрование избытка серной кислоты, см3;
0,62 - коэффициент, учитывающий концентрацию раствора кислоты и гидроокиси натрия, молярную массу ингибитора М-1, отношение объема вытяжки к объему пробы, площадь образца бумаги и единицы физических величин.
За результат испытаний принимают среднеарифметическое значение трех определений, округленное до 0,1 г.
Границы общей относительной погрешности составляют +/- 5,5% с доверительной вероятностью 0,95.
7.7.7.2 Определение массы бензотриазола
7.7.7.2.1 Метод основан на фотоколометрическом измерении оптической плотности водно-аммиачного раствора сернокислой меди после осаждения части катионов меди бензатриазолом, содержащимся в вытяжке из противокоррозионной бумаги.
7.7.7.2.2 Отбор образцов
Из листов, отобранных по
7.1, нарезают 12 образцов бумаги размером (5,00 +/- 0,1) x (5,00 +/- 0,1) см.
7.7.7.2.3 Приготовление водно-аммиачного раствора сернокислой меди
От 2,5 до 3,0 г меди (II) сернокислой 5-водной, взвешенной с погрешностью +/- 0,01 г, вносят в мерную колбу вместимостью 1000 см3. Колбу наполняют на 4/5 объема водным раствором аммиака с молярной концентрацией 0,2 моль/дм3, перемешивают до полного растворения осадка, доливают до метки раствором аммиака и вновь перемешивают.
7.7.7.2.4 Приготовление водно-аммиачного раствора бензотриазола
1 г бензотриазола, взвешенного с погрешностью +/- 0,0002 г, вносят в мерную колбу вместимостью 1000 см3. Колбу наполняют на 4/5 объема водным раствором аммиака с молярной концентрацией 0,2 моль/дм3, перемешивают до полного растворения навески бензотриазола, доливают до метки водным раствором аммиака и вновь перемешивают.
7.7.7.2.5 Проведение испытания
Четыре образца бумаги размером (5,00 +/- 0,1) x (5,00 +/- 0,1) см нарезают на кусочки площадью не более 0,25 см2, помещают в коническую колбу вместимостью 150 см3, приливают 50 см3 водного раствора аммиака и устанавливают колбу на магнитную мешалку. При непрерывном помешивании в течение от 1 до 2 мин в колбу приливают 50 см3 водно-аммиачного раствора сернокислой меди. Перемешивают в течение от 2 до 3 мин, снимают колбу с мешалки и после 20 мин отстаивания раствор фильтруют через бумажный фильтр. Полученный фильтрат - анализируемая проба.
Для приготовления стандартной пробы в коническую колбу наливают 50 см
3 водно-аммиачного раствора бензотриазола, приготовленного по
7.7.7.2.4, и 50 см
3 водно-аммиачного раствора сернокислой меди, приготовленного по
7.7.7.2.3. Устанавливают колбу на магнитную мешалку и перемешивают содержимое в течение от 2 до 3 мин, затем снимают колбу с мешалки и после 20 мин отстаивания раствор фильтруют через бумажный фильтр. Полученный фильтрат - стандартная проба.
Для приготовления холостой пробы в коническую колбу наливают 50 см3 раствора аммиака с молярной концентрацией 0,2 моль/дм3 и 50 см3 водно-аммиачного раствора сернокислой меди. Устанавливают колбу на магнитную мешалку и перемешивают содержимое в течение от 2 до 3 мин, затем раствор фильтруют через бумажный фильтр. Полученный фильтрат - холостая проба.
Проводят измерение оптической плотности стандартной и анализируемой проб по отношению к холостой пробе. Фотометрирование проводят при длине волны 680 нм (красный светофильтр) в кювете с длиной поглощения 50 мм.
7.7.7.2.6 Обработка результатов
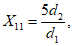
Массу бензотриазола в бумаге площадью 1 м2 X11, г, вычисляют по формуле

(12)
где 5 - коэффициент, учитывающий объем водного раствора аммиака, взятого для экстракции бензотриазола из бумаги, площадь анализируемого образца бумаги;
d2 - оптическая плотность водно-аммиачного раствора сернокислой меди при его смешивании с вытяжкой из противокоррозионной бумаги (анализируемая проба);
d1 - оптическая плотность водно-аммиачного раствора сернокислой меди при его смешивании с раствором бензотриазола (стандартная проба).
За результат испытания принимают среднеарифметическое значение трех параллельных определений, округленное до 0,05 г.
Границы общей относительной погрешности составляют +/- 2,3% с доверительной вероятностью 0,95.
7.8 Определение влажности противокоррозионной бумаги
7.8.1 Из листов пробы отбирают образцы общей массой не менее 10 г, которые перед испытаниями нарезают на кусочки площадью не более 0,25 см2 и перемешивают.
Для одного определения используют не менее 2 г бумаги.
7.8.2 Продолжительность высушивания - (3,00 +/- 0,25) ч, температура - (100 +/- 2) °C.
7.8.3 За результат испытания принимают среднеарифметическое значение пяти определений, округленное до 0,5%.
Границы общей относительной погрешности составляют +/- 0,7% с доверительной вероятностью 0,95.
7.9 Определение паропроницаемости противокоррозионной бумаги с полиэтиленовым покрытием
7.9.1 Условия испытания - температура (38 +/- 1) °C, относительная влажность (90 +/- 2)%.
7.9.2 Чашки с образцами выдерживают в условиях испытания в климатической камере не менее 24 ч, после чего проводят первое взвешивание. Затем чашки вновь помещают в камеру на 24 ч и проводят второе взвешивание.
Для расчета паропроницаемости используют разность масс чашек второго и первого взвешиваний.
7.10 Определение массы каучука в противокоррозионной бумаге
7.10.1 Метод основан на обработке бумаги раствором серной кислоты с массовой долей 72% для осуществления гидролиза целлюлозы и определения массы латекса по массе образовавшегося остатка с учетом поправки на негидролизуемые вещества бумаги-основы.
7.10.1.1 Для проведения испытания должны применять следующую аппаратуру и реактивы:
- автотрансформатор для бытовых электроприборов по
ГОСТ 7518;
- баню водяную;
- стаканы химические вместимостью 500 и 100 см
3, колбы конические вместимостью 250 см
3 по
ГОСТ 25336;
- колбу Бунзена (для фильтрования под вакуумом) по
ГОСТ 23932;
- воронку Бюхнера, чашки выпарные по
ГОСТ 9147;
- шкаф сушильный с естественной или искусственной циркуляцией воздуха и автоматическим регулированием температуры от 30 °C до 200 °C;
- бумагу индикаторную универсальную;
- весы лабораторные общего назначения с наибольшим пределом взвешивания 200 г и погрешностью не более 0,0001 г по
ГОСТ 24104;
7.10.1.2 Отбор образцов
Из листов, отобранных по
подразделу 7.1, нарезают четыре образца бумаги размером (10,00 +/- 0,05) x (20,00 +/- 0,05) см.
7.10.1.3 Проведение испытания
Образец бумаги разрезают на кусочки площадью не более 0,5 см2, помещают в коническую колбу вместимостью 250 см3, добавляют 100 см3 дистиллированной воды и взбалтывают не менее 10 мин, затем жидкость декантируют, к остатку в колбе приливают 100 см3 воды и повторяют операцию. Отмытые кусочки бумаги количественно переносят в стакан вместимостью 100 см3 и подсушивают в сушильном шкафу при температуре от 100 °C до 105 °C в течение не менее 1 ч. В стакан с бумагой приливают 40 см3 раствора серной кислоты с массовой долей 72% и помещают на водяную баню при температуре от 30 °C до 33 °C. Гидролиз проводят при периодическом перемешивании не менее 2 ч. По окончании гидролиза содержимое стакана переносят в другой стакан вместимостью 500 см3, в который налито 400 см3 воды, смесь перемешивают, а потом фильтруют под вакуумом на установке, состоящей из воронки Бюхнера, колбы Бунзена и водоструйного насоса. При этом используют фильтры, масса которых в абсолютно сухом состоянии определена заранее. На дно воронки Бюхнера помещают фильтр, поверх него еще два фильтра, измельченных на кусочки размером не более 5 мм в наибольшем измерении. После окончания фильтрования осадок промывают водой до нейтральной реакции промывных вод. Осторожно снимают фильтр с осадком, переносят в предварительно высушенную в сушильном шкафу до постоянной массы и взвешенную выпарительную чашку. Осадок, оставшийся на стенках воронки, тщательно снимают фильтром, который помещают в ту же чашку. Чашку с содержимым высушивают в сушильном шкафу при температуре от 100 °C до 105 °C до постоянной массы. Массу абсолютно сухого осадка с фильтром определяют по разности между массой чашки с осадком и фильтрами и массой чашки.
7.10.1.4 Обработка результатов
Массу каучука в бумаге площадью 1 м2 X12, г, вычисляют по формуле
X12 = (m1 - m2)·50 - 0,7·m3, (13)
где m1 - масса абсолютно сухого остатка и фильтров после гидролиза и отмывания противокоррозионной бумаги с латексным покрытием, г;
m2 - масса абсолютно сухих фильтров, г;
50 - коэффициент пересчета массы латекса и негидролизуемых веществ бумаги в противокоррозионной бумаге с латексным покрытием площадью 1 м2;
0,07 - поправка на содержание негидролизуемых веществ в бумаге-основе;
m3 - масса бумаги-основы площадью 1 м2.
За результат испытания принимают среднеарифметическое значение четырех определений, округленное до 0,5 г.
Границы общей относительной погрешности составляют +/- 2,9% с доверительной вероятностью 0,95.
7.11 При определении относительного удлинения бумаги марок МБГИ и УНИ
К кондиционирование образцов следует проводить по
ГОСТ 13523 при температуре воздуха (23 +/- 1) °C и относительной влажности воздуха (50 +/- 2)%. Продолжительность кондиционирования - не менее 2 ч.
8 Транспортирование и хранение
Транспортирование и хранение бумаги - по
ГОСТ 1641 со следующими дополнениями:
8.1 Бумагу должны хранить в закрытых складах, защищенной от атмосферных осадков, почвенной влаги и действия солнечного света.
8.2 Температура в помещении для хранения бумаги должна быть в пределах +/- 40 °C.
8.3 Рулоны бумаги должны размещать на расстоянии не менее 1 м от отопительных приборов.
8.4 Не разрешается хранить бумагу в одном помещении с кислотами, солями и растворителями.
9.1 Изготовитель гарантирует соответствие противокоррозионной бумаги требованиям настоящего стандарта при соблюдении условий транспортирования и хранения.
9.2 Гарантийный срок хранения - один год со дня изготовления бумаги.
10 Требования безопасности
10.2 При производстве и испытании противокоррозионной бумаги, консервации металлоизделий в бумагу и их расконсервации на работающего могут воздействовать химические факторы, относящиеся к общетоксичным по
ГОСТ 12.0.003:
- ингибиторы коррозии;
- щелочные растворы;
- органические растворители.
10.3 Противокоррозионная бумага - композиционный материал, состоящий из ингибитора коррозии металлов и бумаги-основы. Бумага-основа выполняет роль носителя и в химическом отношении никаких соединений с ингибитором не образует. Класс опасности противокоррозионной бумаги определяется содержащимися в ней ингибиторами.
10.4 Вещества, применяемые при изготовлении противокоррозионной бумаги, приведены в
приложении Б.
10.5 Оборудование, коммуникации и емкости должны быть заземлены от статического электричества по
ГОСТ 12.1.030.
10.6 Для обеспечения безопасного ведения процесса производства необходимо пользоваться
ГОСТ 12.1.005.
Предельно допустимые концентрации (ПДК) веществ по
ГОСТ 12.1.005, применяемых при изготовлении противокоррозионной бумаги, ее хранении и использовании, а также характер их действия на организм человека - в соответствии с
приложением Б.
10.7 Лица, занятые в процессе производства противокоррозионной бумаги и в процессе консервации металлоизделий бумагой, должны пользоваться средствами индивидуальной защиты по
ГОСТ 12.4.011 и средствами защиты органов дыхания по
ГОСТ 12.4.034.
Лица, занятые в процессе приготовления растворов ингибиторов, должны быть обеспечены спецодеждой по
ГОСТ 27575, резиновыми перчатками по
ГОСТ 20010, резиновыми сапогами по
ГОСТ 5375, респираторами типа "Лепесток", ШР-1 или УК-2 по
ГОСТ 12.4.028.
11 Требования охраны окружающей среды
11.1 Бумага противокоррозионная является взрывобезопасной, горючей. Воспламеняется под воздействием открытого огня.
В воздушной среде, в присутствии других веществ, в нормальных условиях не образует вредных соединений.
11.2 Выбросы в атмосферу не должны превышать норм предельно допустимых выбросов (ПДВ), установленных для предприятий в соответствии с требованиями
ГОСТ 17.2.1.01 и
ГОСТ 17.2.3.02.
При превышении норм ПДВ должна быть предусмотрена очистка удаляемого воздуха на газоочистных установках.
Содержание вредных веществ в воздушных выбросах не должно приводить к повышению их ПДК в воздухе населенных мест.
Бумагу противокоррозионную утилизируют как твердые бытовые отходы.
(обязательное)
НАЗНАЧЕНИЕ ПРОТИВОКОРРОЗИОННОЙ БУМАГИ
Таблица А.1
Марка бумаги | Характеристика защитного действия | |
БН-22-80 БН-18-80 | Защита контактными ингибиторами коррозии изделий из черных и цветных металлов (сталь, цинк, алюминий, никель, хром, олово) | Три года в условиях хранения 1 и один год в условиях хранения 2 при варианте упаковки ВУ-1; Три года в условиях хранения 2 при варианте упаковки ВУ-2 и ВУ-4 |
БН-10-60 | Один год в условиях хранения 1 при варианте упаковки ВУ-0 и ВУ-1 |
МБГИ-8-40 МБГИ-3-40 МБГИ-3-25 | Защита летучими ингибиторами коррозии изделий из черных и цветных металлов, за исключением магния | Два года в условиях хранения 1 и 1 год в условиях хранения 2 при варианте упаковки ВУ-1 |
МБГИ-8-50 МБГИп-8-50 МБГИпа-8-50 | Два года в условиях хранения 1 и один год в условиях хранения 2 при варианте упаковки ВУ-1, пять лет в условиях хранения 1, 2, 3, 4 при варианте упаковки ВУ-5, ВУ-6 |
УНИБ.1-5-80 | Защита летучими ингибиторами коррозии изделий из черных металлов (кроме чугуна), никеля, хрома, цинка, алюминия и с покрытием из этих металлов | Не менее двух лет в условиях хранения 1 и 2 при варианте упаковки ВУ-0 и ВУ-1 |
УНИБ.2-6-80 УНИБ.2-6-60 УНИБ.2-6-40 | Защита летучими ингибиторами коррозии изделий из стали, чугуна, железа, алюминия и его сплавов, меди и ее сплавов (за исключением свинцовистой бронзы), кадмия, цинка, хрома, серебра, никеля, олова и с покрытиями из этих металлов | Пять лет в условиях хранения 1, 2, 3 и 4 при варианте упаковки ВУ-1; Один год в условиях хранения 5 и 6 при варианте упаковки ВУ-1 |
БЛИКМ-7-80 БЛИКМ-7-35 БЛИКП-7-80 БЛИКП-7-35 | Защита летучими ингибиторами коррозии изделий из черных металлов, никеля, хрома, цинка, алюминия и с покрытием из этих металлов | Не менее двух лет в условиях хранения 1 и 2 при варианте упаковки ВУ-0 и ВУ-1 |
УНИ-35-80 | Защита летучими ингибиторами коррозии изделий из черных металлов, за исключением чугуна | Пять лет в условиях хранения 1 и три года в условиях хранения 2 при варианте упаковки ВУ-1; 15 лет в условиях хранения 1 и 2; 10 лет в условиях хранения 3; Шесть лет в условиях хранения 4 при варианте упаковки ВУ-5 и ВУ-6 |
УНИ-22-80 УНИ-22-70 УНИ-14-40 УНИк-22-80 | Защита летучими ингибиторами коррозии изделий из черных металлов, за исключением чугуна | Два года в условиях хранения 1 и один год в условиях хранения 2 при варианте упаковки ВУ-1; Семь лет в условиях хранения 1 и 2; Пять лет в условиях хранения 3; Три года в условиях хранения 4 при варианте упаковки ВУ-5 и ВУ-6 |
УНИ-7-60 | Не менее одного года в условиях хранения 1 и 2 при варианте упаковки ВУ-0 и ВУ-1 |
Примечание - Указанные сроки защиты изделий ориентировочные и могут уточняться на основании опыта хранения. |
(обязательное)
ВЕЩЕСТВА, ПРИМЕНЯЕМЫЕ ПРИ ИЗГОТОВЛЕНИИ
ПРОТИВОКОРРОЗИОННОЙ БУМАГИ
Таблица Б.1
Наименование вещества | | | Характер токсикологического действия на организм человека |
1 Кислота бензойная техническая по ГОСТ 6413 | 5,0 | III | Раздражение слизистых оболочек и верхних дыхательных путей |
2 Сода кальцинированная техническая по ГОСТ 5100 | 2,0 | III | При попадании на влажную кожу и слизистые оболочки может вызвать раздражение, а при длительном воздействии - дерматит |
3 Мета-нитробензоат гексаметиленимина (ингибитор Г-2) по технической документации | 3,0 | III | Раздражение слизистых оболочек и верхних дыхательных путей и кожи |
4 Мета-нитробензоат морфолина (ингибитор Г-2М) по технической документации | 3,0 | III | Раздражение слизистых оболочек и верхних дыхательных путей и кожи |
5 Соль циклогексиламина и синтетических жирных кислот (ингибитор М-1) по технической документации | 10,0 | III | Раздражение слизистых оболочек и кожи; кожно-резорбтивное действие. При хроническом действии вызывает реакцию соединительной ткани |
6 Бензотриазол по технической документации | 5,0 | III | Раздражение слизистых оболочек и кожи; кожно-резорбтивное действие. При хроническом действии угнетает активность щитовидной железы |
| 5,0 (по стиролу) | III | Токсического действия на организм человека не оказывает |
| 300,0 | IV | В виде аэрозоля вызывает потерю аппетита и раздражение слизистой оболочки дыхательных путей. Попадание расплавленного парафина на кожу может вызвать ожог |
9 Гач депарафинизации (высокозастывающий нефтяной компонент) по технической документации | 300,0 | IV |
| 5,0 | III | Раздражение слизистой оболочки верхних дыхательных путей. При кожных аппликациях местное и резорбтивное действие |
| 10,0 | III | Токсического действия на организм человека не оказывает |
| 0,1 | I | Действует на сосудистую систему. При длительном контакте поражает кожу и вызывает отечность рук и ног |
Примечание - По согласованию производителя с потребителем допускается изменение перечня веществ, применяемых при изготовлении противокоррозионной бумаги. |
(обязательное)
ИНСТРУКЦИЯ ПО ТЕХНИКЕ БЕЗОПАСНОСТИ
В.1 К работе с противокоррозионной бумагой не допускаются лица, имеющие ссадины, порезы, раздражения и другие поражения кожи на открытых частях тела.
В.2 Лица, работающие с противокоррозионной бумагой, должны пользоваться халатами, резиновыми перчатками, головными уборами, защитными очками при работе с концентрированными кислотами и щелочами.
В.3 Категорически запрещается:
- использовать противокоррозионную бумагу не по прямому назначению;
- хранить бумагу в распакованном виде;
- принимать пищу в помещении, где ведутся работы с противокоррозионной бумагой;
- курение в помещении, где ведутся работы с противокоррозийной бумагой.
В.4 В случае попадания сухого ингибитора на слизистые оболочки или кожу следует промыть их раствором тиосульфата натрия (массовая доля 1%) с последующей промывкой водой.
В.5 Отходы бумаги должны быть тщательно изолированы.
В.6 Лица, работающие на консервации или расконсервации металлических изделий, должны быть ознакомлены с правилами требований безопасности настоящего стандарта и
ГОСТ 9.014.