Главная // Актуальные документы // ГОСТ Р (Государственный стандарт)СПРАВКА
Источник публикации
М.: Стандартинформ, 2021
Примечание к документу
Документ утратил силу с 01.01.2024 в связи с изданием
Приказа Росстандарта от 22.12.2023 N 1618-ст. Взамен введен в действие
ГОСТ Р 59570-2023.
Документ включен в Перечень международных и региональных (межгосударственных) стандартов (
п. п. 236,
326,
348), а в случае их отсутствия - национальных (государственных) стандартов, содержащих правила и методы исследований (испытаний) и измерений, в том числе правила отбора образцов, необходимые для применения и исполнения требований технического
регламента Евразийского экономического союза "О безопасности алкогольной продукции" (ТР ЕАЭС 047/2018) и осуществления оценки соответствия объектов технического регулирования (
Решение Коллегии Евразийской экономической комиссии от 17.05.2022 N 80).
В соответствии с
Приказом Росстандарта от 17.06.2021 N 567-ст данный документ
вводился в действие с 01.05.2022. В соответствии с изменением, внесенным
Приказом Росстандарта от 31.03.2022 N 183-ст срок введения в действие данного документа перенесен на 01.01.2024.
Название документа
"ГОСТ Р 59570-2021. Национальный стандарт Российской Федерации. Продукция винодельческая. Идентификация компонентов в части определения природы этанола и других соединений физико-химического состава"
(утв. и введен в действие Приказом Росстандарта от 17.06.2021 N 567-ст)
"ГОСТ Р 59570-2021. Национальный стандарт Российской Федерации. Продукция винодельческая. Идентификация компонентов в части определения природы этанола и других соединений физико-химического состава"
(утв. и введен в действие Приказом Росстандарта от 17.06.2021 N 567-ст)
Утвержден и введен в действие
по техническому регулированию
и метрологии
от 17 июня 2021 г. N 567-ст
НАЦИОНАЛЬНЫЙ СТАНДАРТ РОССИЙСКОЙ ФЕДЕРАЦИИ
ПРОДУКЦИЯ ВИНОДЕЛЬЧЕСКАЯ
ИДЕНТИФИКАЦИЯ КОМПОНЕНТОВ В ЧАСТИ ОПРЕДЕЛЕНИЯ ПРИРОДЫ
ЭТАНОЛА И ДРУГИХ СОЕДИНЕНИЙ ФИЗИКО-ХИМИЧЕСКОГО СОСТАВА
Winemaking products. Identification of components in terms
of determination of the origin of ethanol and other
compounds of physical-chemical composition
ГОСТ Р 59570-2021
| | Приказом Росстандарта от 31.03.2022 N 183-ст дата введения в действие перенесена на 01.01.2024. | |
Дата введения
1 мая 2022 года
1 РАЗРАБОТАН Некоммерческой организацией "Союз производителей коньяка" (НКО "Союзконьяк")
2 ВНЕСЕН Техническим комитетом по стандартизации ТК 162 "Виноградарство и виноделие"
3 УТВЕРЖДЕН И ВВЕДЕН В ДЕЙСТВИЕ
Приказом Федерального агентства по техническому регулированию и метрологии от 17 июня 2021 г. N 567-ст
4 В настоящем стандарте учтены основные нормативные положения методов Международной межправительственной организации по виноградарству и виноделию (OIV), обозначения и наименования которых приведены в
разделе "Введение"
5 ВВЕДЕН ВПЕРВЫЕ
Правила применения настоящего стандарта установлены в статье 26 Федерального закона от 29 июня 2015 г. N 162-ФЗ "О стандартизации в Российской Федерации". Информация об изменениях к настоящему стандарту публикуется в ежегодном (по состоянию на 1 января текущего года) информационном указателе "Национальные стандарты", а официальный текст изменений и поправок - в ежемесячном информационном указателе "Национальные стандарты". В случае пересмотра (замены) или отмены настоящего стандарта соответствующее уведомление будет опубликовано в ближайшем выпуске ежемесячного информационного указателя "Национальные стандарты". Соответствующая информация, уведомление и тексты размещаются также в информационной системе общего пользования - на официальном сайте Федерального агентства по техническому регулированию и метрологии в сети Интернет (www.gost.ru)
В настоящем стандарте учтены основные нормативные положения методов анализа Международной межправительственной организации по виноградарству и виноделию (OIV), опубликованных в 2019 г. в сборниках методов анализа вина и спиртных напитков виноградного происхождения (дополнительная информация - http://www.oiv.int/en/technical-standards-and-documents/methods-of-analysis):
- OIV-MA-AS312-06:R2009 "IRMS/SIRA. Масс-спектрометрический метод определения отношений изотопов углерода 13C/12C в этаноле вина или этаноле, полученном брожением виноградного сусла, концентрированного виноградного сусла или виноградного сахара";
- OIV-MA-BS-22:R2009 "IRMS/SIRA. Масс-спектрометрический метод определения отношений изотопов углерода 13C/12C в этаноле спиртных напитков виноградного происхождения";
- OIV-MA-AS311-09:R2017 "HPLC-IRMS/SIRA. Метод определения отношений изотопов углерода 13C/12C в глюкозе, фруктозе, глицерине и этаноле продукции виноградного происхождения с помощью высокоэффективной жидкостной хроматографии в комбинации с масс-спектрометрией";
- OIV-MA-AS312-07:R2009 "GC-IRMS/SIRA, HPLC-IRMS/SIRA. Метод определения отношений изотопов углерода 13C/12C в глицерине вина с помощью газовой хроматографии или высокоэффективной жидкостной хроматографии в комбинации с масс-спектрометрией";
- OIV-MA-AS2-12 "IRMS/SIRA. Масс-спектрометрический метод определения отношений изотопов кислорода 18O/16O в воде вина и сусла";
- OIV-MA-AS314-03:R2009 "IRMS/SIRA. Масс-спектрометрический метод определения отношений изотопов углерода 13C/12C в углекислом газе CO2, растворенном в игристых винах";
- OIV-MA-BS-16:R2009 "Метод определения основных соединений, экстрагируемых из древесины во время созревания алкогольных напитков виноградного происхождения";
- AOAC 948.07 "Качественный тест для определения карамельного колера в винах и других спиртных напитках";
- OIV-MA-BS-19:R2013 "Метод общего определения фенольных соединений в алкогольных напитках виноградного происхождения, не содержащих добавок карамельного колера";
- OIV-MA-BS-17:R2009 "Метод анализа

соединений в алкогольных напитках виноградного происхождения с помощью газовой хроматографии с дериватизацией с 1,2-диаминбензолом";
- OIV-MA-BS-18:R2013 "Метод анализа

соединений в алкогольных напитках виноградного происхождения с помощью высокоэффективной жидкостной хроматографии с дериватизацией с 1,2-диаминбензолом";
- OIV-MA-AS311-05:R2011 "SNIF-NMR/RMN-FINS Метод определения распределения изотопов водорода - дейтерия в этаноле, полученном брожением виноградного сусла, концентрированного виноградного сусла, виноградного сахара, ректификованного виноградного сусла, и в этаноле вина с помощью ядерного магнитного резонанса";
- OIV-MA-BS-23:R2009 "SNIF-NMR/RMN-FINS Метод определения распределения изотопа водорода - дейтерия в этаноле спиртных напитков виноградного происхождения с помощью ядерного магнитного резонанса";
- OIV-MA-BS-24:R2009 "Метод прямого определения содержания нестабильного изотопа углерода 14C в этаноле с помощью жидкого сцинтилляционного детектора LSC".
Настоящий стандарт распространяется на винодельческую продукцию из винограда (
Vitis vinifera L.) и гибридов, полученных скрещиванием сортов
Vitis vinifera L. с сортами винограда других видов рода
Vitis, которая включает наименования продуктов по
[1] -
[3] и устанавливает процедуру идентификации компонентов в части определения характеристик спирта (этанола) и других соединений физико-химического состава.
В настоящем стандарте использованы нормативные ссылки на следующие стандарты:
ГОСТ 12494 Коньяки (бренди), поставляемые для экспорта. Технические условия
ГОСТ 31728 Дистилляты коньячные. Технические условия
ГОСТ 31729 Напитки винные. Общие технические условия
ГОСТ 31730 Продукция винодельческая. Правила приемки и методы отбора проб
ГОСТ 32030 Вина столовые и виноматериалы столовые. Общие технические условия
ГОСТ 33311 Вина игристые. Основные правила производства
ГОСТ 33336 Вина игристые. Общие технические условия
ГОСТ Р 1.4 Стандартизация в Российской Федерации. Стандарты организаций. Общие положения
ГОСТ Р 52195 Вина ароматизированные. Общие технические условия
ГОСТ Р 52335 Продукция винодельческая. Термины и определения
ГОСТ Р 52501 (ИСО 3696:1987) Вода для лабораторного анализа. Технические условия
ГОСТ Р 52558 Вина газированные и вина газированные жемчужные. Общие технические условия
ГОСТ Р 55242 Вина защищенных географических указаний и вина защищенных наименований места происхождения. Общие технические условия
ГОСТ Р 56547 Российское качество. Коньяки особые. Общие технические условия
ГОСТ Р ИСО 5725-2 Точность (правильность и прецизионность) методов и результатов измерений. Часть 2. Основной метод определения повторяемости и воспроизводимости стандартного метода измерений
Примечание - При пользовании настоящим стандартом целесообразно проверить действие ссылочных стандартов в информационной системе общего пользования - на официальном сайте Федерального агентства по техническому регулированию и метрологии в сети Интернет или по ежегодному информационному указателю "Национальные стандарты", который опубликован по состоянию на 1 января текущего года, и по выпускам ежемесячного информационного указателя "Национальные стандарты" за текущий год. Если заменен ссылочный стандарт, на который дана недатированная ссылка, то рекомендуется использовать действующую версию этого стандарта с учетом всех внесенных в данную версию изменений. Если заменен ссылочный стандарт, на который дана датированная ссылка, то рекомендуется использовать версию этого стандарта с указанным выше годом утверждения (принятия). Если после утверждения настоящего стандарта в ссылочный стандарт, на который дана датированная ссылка, внесено изменение, затрагивающее положение, на которое дана ссылка, то это положение рекомендуется применять без учета данного изменения. Если ссылочный стандарт отменен без замены, то положение, в котором дана ссылка на него, рекомендуется применять в части, не затрагивающей эту ссылку.
В настоящем стандарте применены термины по
[1] -
[4],
ГОСТ 12494,
ГОСТ 31493,
ГОСТ 31728,
ГОСТ 31729,
ГОСТ 31730,
ГОСТ 31732,
ГОСТ 31763,
ГОСТ 32030,
ГОСТ 33311,
ГОСТ 33336,
ГОСТ Р 52195,
ГОСТ Р 52335,
ГОСТ Р 52558,
ГОСТ Р 55242,
ГОСТ Р 55458,
ГОСТ Р 55459,
ГОСТ Р 55461,
ГОСТ Р 56547 и
ГОСТ Р 58206, а также следующие термины с соответствующими определениями:
3.1
качество винодельческой продукции: Совокупность двух составляющих, к которым относятся внутренние свойства, образуемые физико-химическими и органолептическими признаками (формируются в ходе изготовления как продукта в целом, так и его отдельных компонентов) и обуславливающие в соответствии с установленными требованиями принадлежность продукта к определенной(ому) группе или типу, а также внешние свойства, определяющие пригодность продукции удовлетворять в соответствии со своим назначением обусловленные или предполагаемые потребности пользователя.
3.2 оценка качества винодельческой продукции: Подтверждение соответствия заявленного наименования продукта в целом или его отдельных компонентов на основе сочетания документальных, инструментальных и органолептических методов внутренним и (или) внешним свойствам, которые в виде требований установлены в национальных, межгосударственных (региональных) и (или) международных документах по стандартизации для определенной(ого) группы или типа продуктов.
3.3 идентификация компонентного состава винодельческой продукции: Взаимосвязанная с оценкой качества самостоятельная процедура для установления инструментальными методами тождественности свойств компонентов с их существенными признаками, характерными для эталонного образца компонента и (или) его описания.
3.4
существенные признаки компонентов винодельческой продукции: Количественные и качественные физико-химические показатели, их характеристики, нормы, в том числе характеристики заявленного состава, пищевой и энергетической ценности, отличительные критерии наименований, технологических процессов производства, используемого сырья и иные сведения о составе продукции, содержащиеся в нормативных правовых актах Российской Федерации, национальных, межгосударственных (региональных), международных документах по стандартизации, научно-технических документах, включающих описания винодельческой продукции и (или) ее компонентов, и (или) в единой базе данных о компонентном составе винодельческой продукции.
3.5 эталонный образец компонентов винодельческой продукции: Продукт виноделия или компонент продукта виноделия, в том числе компонент для изготовления продукта виноделия, качество и соответственно внутренние и внешние свойства которого имеют подробное описание, принимаются за исходные для сопоставления с ними других продуктов и (или) компонентов со схожими заявленным наименованием и характеристиками, изготавливаемый и определяемый в соответствии с требованиями и порядком, установленными в нормативных правовых актах Российской Федерации.
3.6
описание компонентов винодельческой продукции: Набор существенных признаков компонентов винодельческой продукции, содержащийся в нормативных правовых актах Российской Федерации, национальных, межгосударственных (региональных), международных документах по стандартизации, научно-технических документах и (или) в единой базе данных о компонентном составе винодельческой продукции.
3.7 методология идентификации компонентного состава винодельческой продукции: Сочетание инструментальных методов и интерпретации результатов их применения для установления тождественности свойств компонентов продукции с существенными признаками, характерными для эталонного образца компонента и (или) его описания.
3.8 результат идентификации компонентного состава винодельческой продукции: Подтверждение или неподтверждение тождественности свойств компонента продукции с его существенными признаками, оформляемое в виде заключения о соответствии (несоответствии) компонента его эталонному образцу и (или) их описанию.
3.9 подлинность компонентов винодельческой продукции: Тождественность свойств компонента продукции с его существенными признаками, установленная в ходе идентификации компонентного состава.
3.10
заявитель об идентификации компонентного состава винодельческой продукции: Физическое или юридическое лицо, которое является приобретателем (потребителем) или осуществляет хозяйственную деятельность, деятельность в области оценки соответствия, в том числе контроле (надзоре), или иную деятельность, соответствующую нормативным правовым актам Российской Федерации в области производства и торгового обращения винодельческой продукции.
Примечание - Заявитель об идентификации компонентного состава винодельческой продукции не должен быть юридически связан с лицом, непосредственно осуществляющим идентификацию компонентного состава винодельческой продукции, или иным образом оказывать влияние на деятельность этого лица.
3.11
лица, осуществляющие идентификацию компонентного состава винодельческой продукции: Федеральные и региональные органы исполнительной власти; организации, осуществляющие подтверждение соответствия, в область аккредитации которых входит винодельческая продукция; организации, осуществляющие производство винодельческой продукции; организации, осуществляющие закупку и продажу винодельческой продукции; отраслевые, научно-технические и иные организации в случаях, предусмотренных нормативными правовыми актами Российской Федерации, или в инициативном порядке.
3.12 недопустимая модификация компонентного состава винодельческой продукции: Умышленное или неумышленное изменение физико-химического состава и (или) свойств компонентов винодельческой продукции в ходе ее изготовления, осуществленное путем применения технологических процессов и (или) сырья, следствием которого являются нарушение тождественности свойств и существенных признаков продуктов, компонентов и (или) имитация (подделка) их свойств.
Примечание - Изменение качества винодельческой продукции и (или) ее компонентного состава, которое является следствием использования разрешенных в нормативных правовых документах сырья и (или) технологических процессов, но совершенное без указания этого изменения в маркировке на потребительской или транспортной упаковке, или при отсутствии соответствующей информации в товаросопроводительных документах, предусмотренных обязательными требованиями, относится к недопустимой модификации состава продуктов и (или) их компонентов.
3.13 географическое происхождение винодельческой продукции и ее компонентов: Характеристика внутренних свойств, относящихся к качеству продукта и (или) его компонента, которая формируется природно-климатическими и агротехническими особенностями, присущими для географического объекта, в границах которого произрастает виноград, производятся его переработка и изготовление винодельческой продукции.
3.14 ботаническое происхождение компонентов винодельческой продукции: Характеристика внутренних свойств, относящихся к качеству компонента, формируемая физиологическими и биохимическими особенностями семейства сельскохозяйственных растений, используемых в виде сырья в производстве винодельческой продукции, купажных составляющих, вспомогательных материалов.
4.1 Идентификацию компонентов винодельческой продукции в части определения природы спирта (этанола) и других соединений физико-химического состава проводят в целях предупреждения введения в заблуждение потребителей и защиты их здоровья, защиты интересов добросовестных изготовителей, а также для подтверждения соответствия продукции нормативным правовым требованиям, противодействия изготовлению и выпуску в торговое обращение продукции с недопустимым составом, соблюдения условий добросовестной конкуренции, повышения конкурентоспособности и для развития экспортного потенциала виноградарской и винодельческой отраслей Российской Федерации.
4.2 Идентификацию компонентов в продуктах проводят лица, перечисленные в
3.11, в тех случаях, когда в информации о составе продукции отсутствует или представлено неполное описание, либо необходимо подтверждение достоверности описания, представленного в документации, сопровождающей винодельческую продукцию.
4.3 Идентификацию компонентного состава винодельческой продукции в случаях, приведенных в
4.2, осуществляют лица, перечисленные в
3.11.
При проведении идентификации допускается применение документов по стандартизации: национальных, межгосударственных стандартов, сводов правил и (или) стандартов организаций (СТО).
Примечание - В соответствии с
ГОСТ Р 1.4 перед утверждением стандартов организаций проводят их экспертизу. Экспертиза может быть проведена в соответствующем техническом комитете по стандартизации.
При этом используемые для идентификации документы по стандартизации должны включать методы исследований (анализа, испытаний, определения, измерений), основанные на иных аналитических принципах и обеспечивающие сопоставимость результатов исследований с результатами, полученными при исследовании соответствующих показателей методами, содержащимися в
5.1.4 -
5.1.17. Применение указанных документов по стандартизации должно осуществляться согласно требованиям
5.1.1 -
5.1.3; интерпретация полученных результатов - согласно требованиям
5.2 или соответствующих стандартов, устанавливающих требования к продукции (при наличии); представление результата идентификации - по
разделу 6.
4.4 Описание компонентного состава винодельческой продукции приведено в
[1] -
[4],
ГОСТ 12494,
ГОСТ 31493,
ГОСТ 31728,
ГОСТ 31729,
ГОСТ 31730,
ГОСТ 31732,
ГОСТ 31763,
ГОСТ 32030,
ГОСТ 33311,
ГОСТ 33336,
ГОСТ Р 52195,
ГОСТ Р 52335,
ГОСТ Р 52558,
ГОСТ Р 55242,
ГОСТ Р 55458,
ГОСТ Р 55459,
ГОСТ Р 55461,
ГОСТ Р 56547 и
ГОСТ Р 58206. Для идентификации могут быть использованы сведения из единой базы данных о компонентном составе винодельческой продукции (см.
6.3) и (или) документы, перечисленные в
4.3, а также иные документы по стандартизации и научно-технические документы, содержащие наборы признаков, критериев, параметров, показателей, сведений и (или) требований, характеризующих компоненты, физико-химический состав и связанные с ним свойства продукции, включая ее географическое и ботаническое происхождение, в том числе публикации в специализированных научных изданиях, отчеты о результатах научно-исследовательских работ, диссертации и иные научные документы, прошедшие рецензирование (экспертизу) и опубликованные в общедоступном формате.
Не допускается использование для проведения идентификации документов, к содержанию которых отсутствует или ограничен общий доступ.
4.5 Решение о проведении идентификации компонентного состава винодельческой продукции, а также о требуемом объеме информации для организации идентификации принимает заявитель либо лица, перечисленные в
3.11.
5 Методология идентификации
В зависимости от задач идентификации в части определения природы спирта (этанола) и других компонентов физико-химического состава винодельческой продукции специалисты - эксперты, проводящие идентификацию, используют методы аналитического исследования компонентов и критерии интерпретации результатов, приведенные в
5.1 и
5.2. Программа идентификации может быть составлена также с учетом или полностью на основе запросов заявителей (см.
3.10), направленных в адрес лица, проводящего идентификацию (см.
3.11). Настоящий стандарт основан на современных научно-технических знаниях, исходящих из результатов научно-исследовательских, экспертных и методических разработок, опубликованных в общедоступных специализированных изданиях в печатном и (или) электронном формате для технических сортов винограда и винодельческой продукции, производимой в природно-климатических и агротехнических условиях Российской Федерации, стран ЕАЭС и схожих с ними условиях зарубежных виноградарских и винодельческих регионов. В части технического обеспечения производства винодельческой продукции настоящий стандарт учитывает разрешенные в Российской Федерации и государствах - членах ЕАЭС технологические приемы и оборудование, а также принимает во внимание имеющиеся на момент разработки настоящего стандарта научные знания о техногенном влиянии используемых способов производства на физико-химический состав и свойства компонентов продуктов. Настоящий стандарт устанавливает в
5.2.1 требования к экспертам, участвующим в подготовке и проведении идентификации продукции, включая представление ее результатов в виде заключения (см.
6.2), рекомендуемая
форма которого представлена в приложении А.
5.1 Инструментальные методы
Отбор проб винодельческой продукции и (или) ее компонентов, используемых в качестве сырья, проводят в зависимости от вида продукта в соответствии с
ГОСТ 31730.
5.1.2 Изучение документов
5.1.2.1 Перечень документов
Изучение документов проводят при необходимости. В перечень документов, подлежащих изучению, входят обязательные документы, предусмотренные нормативными правовыми актами Российской Федерации для обеспечения производства и торгового обращения продукции.
5.1.2.2 Критерии для изучения документов
Изучение документов предусматривает проверку содержания документов лицом, осуществляющим идентификацию, на соответствие приведенных в них сведений о винодельческой продукции нормативным правовым актам Российской Федерации, в том числе:
- соответствие наименования продукта;
- наличие ссылок о соответствии продукта нормативным правовым актам, в том числе документам по стандартизации, устанавливающим требования к винодельческой продукции и (или) ее компонентам;
- наличие сведений об области применения продукта;
- наличие сведений о составе продукта, пищевой и энергетической ценности;
- наличие сведений о сроке годности продукта;
- наличие сведений об условиях хранения продукта.
Дополнительно в документах проводят проверку:
- соответствия перечня физико-химических показателей продукта заявленному наименованию и описанию винодельческой продукции и (или) ее компонентов (см.
3.6);
- значений характеристик и значений физико-химических и органолептических показателей и их связи с конкретной партией продукции, подлежащей идентификации.
5.1.2.3 Дополнительные документы
Для изучения могут быть приняты во внимание дополнительные документы, предоставляемые изготовителем и (или) поставщиком продукции по запросу лица, осуществляющего идентификацию, или заявителя об идентификации. В качестве дополнительных документов для изучения могут быть приняты во внимание международные, межгосударственные (региональные) и национальные сертификаты о соответствии других стран, международных ассоциаций и межгосударственных объединений, а также протоколы испытаний продукции и (или) ее компонентов, проведенных в Российской Федерации и (или) в зарубежных научных и экспертных организациях.
5.1.3 Программа идентификации
Перед проведением идентификации эксперт разрабатывает программу (задание на проведение исследований), содержащую(ее) перечень существенных признаков (см.
3.4), подлежащих исследованию с применением инструментальных методов, установленных в
5.1.4 -
5.1.17, и (или) методов, установленных документами по стандартизации - национальными, межгосударственными, стандартами, сводами правил и (или) стандартами организаций (СТО).
Примечание - В соответствии с
ГОСТ Р 1.4 перед утверждением стандартов организаций проводят их экспертизу. Экспертиза может быть проведена в соответствующем техническом комитете по стандартизации.
При этом используемые для идентификации документы по стандартизации должны включать методы исследований (анализа, испытаний, определения, измерений), основанные на иных аналитических принципах и обеспечивающие сопоставимость результатов исследований с результатами, полученными при исследовании соответствующих показателей методами, содержащимися в
5.1.4 -
5.1.17.
Программа идентификации включает нижеприведенные основные этапы, реализуемые последовательно.
Этап 1. Исследование обязательных для соблюдения показателей физико-химического состава, установленных в
[1] -
[3] и стандартах для соответствующего вида винодельческой продукции и (или) ее компонента:
ГОСТ 12494,
ГОСТ 31493,
ГОСТ 31728,
ГОСТ 31729,
ГОСТ 31730,
ГОСТ 31732,
ГОСТ 31763,
ГОСТ 32030,
ГОСТ 33311,
ГОСТ 33336,
ГОСТ Р 52195,
ГОСТ Р 52335,
ГОСТ Р 52558,
ГОСТ Р 55242,
ГОСТ Р 55458,
ГОСТ Р 55459,
ГОСТ Р 55461,
ГОСТ Р 56547 и
ГОСТ Р 58206. Для исследования обязательных для соблюдения показателей физико-химического состава используют методы, предусмотренные нормативными правовыми актами Российской Федерации и документами по стандартизации. При выявлении в ходе исследований несоответствия свойств продукта (компонента) требованиям, установленным в документах по стандартизации для соответствующего вида винодельческой продукции, исследования на
этапах 2 и
3 не проводят. В данном случае идентификация считается завершенной на этапе 1. Результат идентификации представляют согласно требованиям, приведенным в
разделе 6.
Примечание - При наличии протокола испытаний объекта идентификации сторонней испытательной организации, содержащего результаты исследования минимального перечня показателей физико-химического состава, установленных в нормативных правовых актах Российской Федерации и документах стандартизации для соответствующего вида винодельческой продукции и (или) ее компонента, проведение исследований по
этапу 1 по решению эксперта может быть исключено из программы.
Этап 2. В зависимости от задачи идентификации исследования на этапе 2 проводят по показателям, установленным в
таблице 1. Данный этап реализуется при отсутствии отклонений в обязательном для соблюдения перечне показателей физико-химического состава, исследованных на
этапе 1.
Таблица 1
Показатели идентификации компонентного состава
винодельческой продукции
Вид винодельческой продукции (компонента) | Задача исследования | Показатель исследования | Метод исследования (принцип метода и структурный элемент) |
| | | |
1 Вино, в т.ч. молодое, выдержанное, коллекционное, сортовое, защищенного наименования места происхождения, защищенного географического указания, ароматизированное, игристое (шампанское), игристое жемчужное, газированное, газированное жемчужное, крепленое (ликерное), наливом (виноматериал), ароматизированное. Напитки, в т.ч. винные, виноградные, виноградосодержащие. Коктейли винные | Ботаническое (виноградное) происхождение этанола | Отношение стабильных изотопов углерода 13C/ 12C в этаноле  | Содержание дейтерия в метильной и метиленовой группах молекулы этанола [(D/H)I, (D/H)II, ppm]. Отношение между значениями величин (D/H)II и (D/H)I, R | Масс-спектрометрия IRMS/SIRA (5.1.4) | |
2 Дистилляты, в т.ч. винные, винные ректификованные, виноградные, для бренди, коньячные, виноградного происхождения, виноградного происхождения ректификованные, винные, выдержанные, винные молодые. Бренди, коньяки. Спирты, в т.ч. винные, виноградные. Водка виноградная | Ботаническое (виноградное) происхождение этанола | Отношение стабильных изотопов углерода 13C/ 12C в этаноле  | Содержание дейтерия в метильной и метиленовой группах молекулы этанола [(D/H)I, (D/H)II, ppm]. Отношение между значениями величин (D/H)II и (D/H)I, R. Содержание нестабильного изотопа углерода 14C в этаноле (cBq/gC) | Масс-спектрометрия IRMS/SIRA (5.1.5) | Сцинтилляция с применением жидкого детектора (LSC) (5.1.17) |
3 Сусло виноградное, в т.ч. виноградное концентрированное, виноградное концентрированное ректификованное. Сок виноградный. Вино, в т.ч. молодое, выдержанное, коллекционное, сортовое, защищенного наименования места происхождения, защищенного географического указания, ароматизированное, игристое (шампанское), игристое жемчужное, газированное, газированное жемчужное, крепленое (ликерное), наливом (виноматериал). Напитки, в т.ч. винные, виноградные, виноградосодержащие. Коктейли винные | Ботаническое (виноградное) происхождение углеводов (сахаров) | Отношение стабильных изотопов углерода 13C/ 12C в этаноле и (или) в углеводах (сахарах)  | Содержание дейтерия в метильной и метиленовой группах молекулы этанола [(D/H)I, (D/H)II], полученного брожением из углеводов (сахаров) - для сусла виноградного (в т.ч. сусло концентрированное, сусло концентрированное ректификованное). Отношение между значениями величин (D/H)II и (D/H)I. R - для сусла виноградного (в т.ч. сусло концентрированное, сусло концентрированное ректификованное) | | |
4 Сусло виноградное, в т.ч. виноградное концентрированное, виноградное концентрированное ректификованное. Сок виноградный. Вино, в т.ч. молодое, выдержанное, коллекционное, сортовое, защищенного наименования места происхождения, защищенного географического указания, ароматизированное, игристое (шампанское), игристое жемчужное, газированное, газированное жемчужное, крепленое (ликерное), наливом (виноматериал) | Происхождение воды (биологическая/геологическая вода <*>) | Отношение стабильных изотопов кислорода 18O/ 16O в воде  | Содержание дейтерия в метильной и метиленовой группах молекулы этанола [(D/H)I, (D/H)II], полученного брожением из углеводов (сахаров) - для сусла виноградного (в т.ч. сусло концентрированное, сусло концентрированное ректификованное). Отношение между значениями величин (D/H)II и (D/H)I, R | Масс-спектрометрия IRMS/SIRA (5.1.8) | |
5 Вино, в т.ч. молодое, выдержанное, коллекционное, сортовое, защищенного наименования места происхождения, защищенного географического указания, ароматизированное, игристое (шампанское), игристое жемчужное, газированное, газированное жемчужное, крепленое (ликерное), наливом (виноматериал), ароматизированное. Напитки, в т.ч. винные, виноградные, виноградосодержащие. Коктейли винные. Вино игристое (шампанское), игристое жемчужное, газированное, газированное жемчужное, крепленое (ликерное), наливом (виноматериал) | Ботаническое (виноградное) происхождение продуктов брожения - глицерин, 2,3-бутандиол | - | Отношение стабильных изотопов углерода 13C/ 12C в глицерине/2,3-бутандиоле  , бутандиоле  | - | |
6 Вино игристое (шампанское), игристое жемчужное, газированное | Происхождение растворенного диоксида углерода (подтверждение вторичного брожения) | Отношение стабильных изотопов углерода 13C/ 12C в диоксиде углерода  | - | Масс-спектрометрия IRMS/SIRA (5.1.9) | - |
7 Дистилляты, в т.ч. винные, винные ректификованные, виноградные, для бренди, коньячные, виноградного происхождения, виноградного происхождения ректификованные, винные выдержанные, винные молодые. Бренди, коньяки. Спирты, в т.ч. винные, виноградные | Определение выдержки (созревания) в контакте с древесиной дуба | Содержание фурфурала, 5-гидроксиметилфурфурала, 5-метилфурфурала, ванилина, сиреневого альдегида, кониферилового альдегида, синапового альдегида, галловой, эллаговой, ванилиновой и сиреневой кислот и скополетина, мг/дм3 | - | | - |
8 Дистилляты, в т.ч. винные, винные ректификованные, виноградные, для бренди, коньячные, виноградного происхождения, виноградного происхождения ректификованные, винные выдержанные, винные молодые. Бренди, коньяки. Спирты, в т.ч. винные, виноградные | Присутствие карамельного колера | Визуальное определение | Содержание фенольных соединений, мг/дм3 | | |
9 Дистилляты, в т.ч. винные, винные ректификованные, виноградные, для бренди, коньячные, виноградного происхождения, виноградного происхождения ректификованные, винные выдержанные, винные молодые. Бренди, коньяки. Спирты, в т.ч. винные, виноградные | Состав  соединений (общая оценка подлинности и безопасности продукции с высоким содержанием спирта) | - | Содержание глиоксаля, метилглиоксаля, диацетила и пентан-2,3-диона, мг/дм3 | - | |
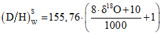
<*> Под биологической водой понимается внутриклеточная вода растительных объектов, специфичный изотопный состав которой определяет характер процессов метаболизма и водного обмена с окружающей средой, протекающих в растениях. Уникальной особенностью водного обмена, получившей наименование биологического изотопного эффекта, является обогащение высшими растениями (например, винограда) внутриклеточной воды тяжелым изотопом кислорода 18O в ходе своего биологического развития. Под геологической водой понимается вода природных или искусственно созданных подземных или поверхностных объектов, используемых для промышленных целей в качестве источников питьевой и технологической вод, а также в целях снабжения населения питьевой водой. Специфичный уровень распределения изотопов кислорода в геологической воде определяют физические процессы (термодинамического и/или кинетического характера), протекающие в природных водных объектах, включая атмосферные процессы, связанные с испарением и выпадением водных осадков. Согласно базе данных GNIP/GNIR/WISER МАГАТЭ и результатам отечественных научных исследований средние значения величины  для геологической воды в основных виноградарских регионах Российской Федерации лежат в интервале от  до  . <**> ВЭЖХ - метод высокоэффективной жидкостной хроматографии. <***> ГХ - метод газовой хроматографии. |
Этап 3. В спорных (арбитражных) случаях, возникающих в практике оценки соответствия, в том числе в рамках мероприятий по контролю (надзору) за производством и торговым обращением винодельческой продукции и (или) ее компонентов (сырья), данный этап реализуется по решению эксперта для уточнения общего результата идентификации, а также с применением дополнительных показателей (см.
таблицу 1) после проведения исследований по показателям
этапа 2.
Практическая реализация программы идентификации осуществляется в собственной(ых) аккредитованной(ых) лаборатории(ях) лица, проводящего идентификацию, или по запросу этого лица в сторонней аккредитованной или иной(ых) лаборатории(ях), обладающей(их) аналитическими ресурсами и квалифицированным персоналом, необходимыми и достаточными для проведения полного объема исследований или части исследований, предусмотренных программой идентификации и задачами исследований (см.
таблицу 1). Для подготовки и реализации программы идентификации лица, проводящие идентификацию, вправе обращаться в сторонние экспертные и научно-исследовательские организации.
5.1.4 Масс-спектрометрический метод определения отношений изотопов углерода 13C/12C в этаноле вина или этаноле, полученном брожением виноградного сусла, концентрированного виноградного сусла или виноградного сахара
5.1.4.1 Настоящий метод предназначен для измерения отношений изотопов углерода 13C/12C в этаноле вина и этаноле, полученном брожением продуктов переработки винограда (виноградное сусло, концентрированное виноградное сусло, виноградный сахар <1>.
--------------------------------
<1> Виноградный сахар - глюкоза (декстроза моногидрат), выделенная из винограда, или ректификованное концентрированное виноградное сусло.
5.1.4.2 Стандартные образцы
V-PDB - международный стандартный образец мрамора с установленным изотопным составом углерода Vienna-Pee-Dee Belemnite (RPDB = 0,00112372) <2>.
--------------------------------
<2> Допускается применение иных международных стандартных образцов, соответствующих цели исследования и предлагаемых Международным агентством по атомной энергии (МАГАТЭ). Используется взамен предыдущего основного международного образца - ископаемого ракушечника из Южной Каролины (США) PDB (Pee-Dee Belemnite) с установленным природным содержанием изотопа углерода 13C. Отношение изотопов углерода 13C/12C или показатель RPDB составляет 0,00112372. Запас ископаемого ракушечника PDB исчерпан много лет тому назад. Новый международный стандартный образец V-PDB, калиброванный относительно образца первичного стандарта PDB, предлагается для использования в настоящее время МАГАТЭ (г. Вена, Австрия).
5.1.4.3 Сокращения
13C/12C - отношение изотопов углерода 13C и 12C в исследуемой пробе.

- содержание изотопа углерода
13C, выраженное в промилле (одной тысячной доле),

.
RMN-FINS - метод ядерного магнитного резонанса для исследования фракционирования специфичных природных изотопов.
V-PDB - международный стандартный образец мрамора с установленным изотопным составом углерода <**>.
В этой связи содержание природного изотопа углерода 13C в настоящее время определяют относительно современного стандартного образца V-PDB;
m/z - отношение массы молекулы к ее заряду.
5.1.4.4 Сущность метода
В ходе фотосинтеза ассимиляция углеродсодержащего газа (диоксида углерода) в растениях протекает по двум путям метаболизма - C3-путь (цикл Кальвина) и C4-путь (цикл Хэтча - Слека). Эти пути метаболизма представляют собой разные типы фракционирования изотопов. Такие продукты, как сахар и спирт, полученные из C4-растений с последующим брожением, обладают повышенным содержанием изотопа углерода 13C в сравнении с продуктами из C3-растений. К основной группе C3-растений принадлежат виноград и сахарная свекла. Сахарный тростник и кукуруза относятся к C4-растениям. Измерение содержания изотопа углерода 13C позволяет количественно выявить добавление сахаросодержащих продуктов из C4-растений (например, тростниковый сахар, кукурузный сироп - изоглюкоза) к продукции из винограда (например, виноградное сусло, вино). Совмещенный методический подход на основе масс-спектрометрического метода определения содержания изотопа углерода 13C и метода ядерного магнитного резонанса RMN-FINS обеспечивает количественное выявление добавления смеси сахаров или спирта, полученных из C3- и C4-растений.
Содержание изотопа углерода
13C определяют путем измерения диоксида углерода, образующегося при полном сжигании исследуемой пробы. Распределение основных изотопомеров диоксида углерода с массами 44 (
12CO
2), 45 (
13C
16O
2,
12C
17O
16O) и 46 (
12C
16O
18O), результирующихся из различных комбинаций изотопов кислорода и углерода
18O,
17O,
16O,
13C и
12C, исследуется путем измерения ионных токов тремя разными коллекторами масс-спектрометра. Вкладами в интенсивность сигнала изотопомеров
13C
17O
16O и
12C
17O
2 в некоторых случаях можно пренебречь ввиду их незначительного присутствия. Ионный ток по массе
m/
z = 45 подлежит корректировке из вклада в интенсивность сигнала изотопомера
12C
17O
16O, которая осуществляется в соответствии с интенсивностью сигнала по массе
m/
z = 46 и с учетом относительного распространения изотопов кислорода
18O и
17O (корректировка по Крейгу). Сравнение результата измерения с калиброванным стандартным образцом и международным стандартным образцом V-PDB позволяет рассчитать содержание изотопа углерода
13C по относительной шкале показателя

.
5.1.4.5 Стандартные образцы, реактивы и материалы
Реактивы и расходные материалы зависят от технической конфигурации оборудования, используемого для измерения (см.
5.1.4.6). Большинство аппаратных систем основаны на применении элементного анализатора. Эти системы оборудованы устройствами для ввода проб, размещенных в запечатанных металлических капсулах (капсулированные твердые пробы). Жидкие пробы вводят в прибор, используя микрошприц или автоматический податчик для жидкостей.
Поставку стандартных образцов, приведенных в
таблице 2, осуществляет МАГАТЭ.
Обозначение | Вещество | |
IAEA-CH-6 | | -10,4 |
IAEA-CH-7 | Полиэтилен | -31,8 |
NBS22 | Масло | -29,7 |
USGS24 | Графит | -16,1 |
<*> Сахароза из растений группы C 4. |
Поставку стандартных образцов, приведенных в
таблице 3, осуществляет IRMM (Институт стандартных образцов и измерений, г. Геель, Бельгия).
Обозначение | Вещество | |
CRM 656 | Этанол виноградного происхождения | -26,93 |
CRM 657 | | -10,75 |
CRM 660 | Водный раствор этанола (12% об.) | -26,72 |
<*> Глюкоза из растений группы C 4. |
Рабочие стандартные образцы применяют с установленным значением отношения изотопов углерода 13C/12C, калиброванным относительно международных стандартных образцов.
Также используют реактивы и расходные материалы, предназначенные для работы в системах непрерывных измерений в потоке гелия, в том числе гелий для анализа (CAS 07440-59-7), кислород для анализа (CAS 07782-44-7), диоксид углерода для анализа [используется в методе в качестве вторичного стандартного образца, содержащего изотоп углерода 13C (CAS 00124-38-9)], окислительный реагент для системы сжигания элементного анализатора (оксид меди II, CAS 1317-38-0), водопоглощающий реагент для элементного анализатора <1> (перхлорат магния, CAS 10034-81-8).
--------------------------------
<1> Отдельный водопоглощающий реагент не используется в системах, оснащенных криогенными или мембранными устройствами для удаления воды.
а) Масс-спектрометр для измерения отношений изотопов (IRMS)
Метод масс-спектрометрии отношений изотопов (IRMS) позволяет определять относительное содержание изотопа углерода
13C в диоксиде углерода CO
2 с внутренней точностью измерения

или с относительным значением, выраженным согласно
5.1.4.9. При этом значение внутренней точности устанавливают как разницу между двумя параллельными измерениями одной и той же пробы диоксида углерода CO
2. Масс-спектрометр, обычно используемый для определения изотопного состава диоксида углерода CO
2, как правило, оснащен тройным коллектором для одновременного измерения ионных токов молекул с массами
m/
z = 44, 45 и 46. Масс-спектрометр, применяемый при измерении, должен быть оснащен или двойной системой напуска для измерения неизвестной пробы и стандартного образца, или системой для непрерывных измерений в потоке гелия, которая количественно сжигает исследуемую пробу, отделяет образовавшийся диоксид углерода от других продуктов горения перед измерением в масс-спектрометре соответствующего спектра масс.
б) Прибор для сжигания пробы
Прибор для сжигания должен количественно преобразовывать исследуемую пробу (сахар, этанол) в диоксид углерода, отделять другие продукты горения, включая воду, не допуская при этом изотопного фракционирования (изменения изотопного состава). Прибор может быть выполнен в виде системы, интегрированной в масс-спектрометр [см.
5.1.4.6б)1)], или в виде отдельного устройства [см.
5.1.4.6б)2)]. Прибор должен обладать характеристиками, заявленными в
5.1.4.11.
1) Система непрерывного измерения в потоке гелия
Данное оборудование может быть исполнено как элементный анализатор или как газовый хроматограф, оснащенный устройством для сжигания пробы в потоке гелия.
Следующий лабораторный материал используют для системы, ввод пробы в которой осуществляют в металлических капсулах:
- объемный микродозатор с соответствующими наконечниками;
- весы с точностью взвешивания в диапазоне микрограммов или лучше;
- пинцет для капсулирования;
- капсулы из олова для жидких проб;
- капсулы из олова для твердых проб.
Следующий лабораторный материал используют при применении элементного анализатора с автоматическим податчиком для жидких проб, а также при использовании хроматографической системы подготовки проб к сжиганию:
- микрошприц для жидкостей;
- флаконы для жидких проб с герметичной укупоркой с инертной мембраной.
Указанные лабораторные материалы являются примерами. В исследовании могут быть использованы эквивалентные лабораторные материалы, пригодные для работы с оборудованием для сжигания органических проб и масс-спектрометрических измерений.
2) Автоматизированная система подготовки проб
Диоксид углерода CO2, предназначенный для анализа и образующийся при сжигании пробы и стандартного образца, концентрируют в бульбовом сосуде и вводят в систему двойного напуска для проведения изотопного измерения. При этом могут быть использованы разные типы аппаратов для сжигания, которые перечислены ниже:
- закрытая система для сжигания, заполненная циркулирующим кислородом;
- элементный анализатор с регулируемыми потоками гелия и кислорода;
- стеклянный бульбовый сосуд для герметичного запаивания с внесенным оксидом меди (II), используемым в качестве окислительного реагента.
5.1.4.7 Подготовка проб
Этанол выделяют из спиртосодержащего образца (например, вино, сброженное сусло) путем дистилляции согласно условиям, установленным в
5.1.15.6, метода RMN-FINS (см.
5.1.15). Для исследования сахаров их предварительно сбраживают для получения этанола и его последующего выделения из исследуемого образца путем дистилляции согласно
5.1.15.6.
5.1.4.8 Проведение исследования
При подготовке к исследованию избегают значительных потерь этанола через его испарение, которое может привести к изменению изотопного состава пробы. Нижеприведенное описание процедуры исследования относится к способу применения коммерческих автоматизированных систем для сжигания проб. Другие методы и оборудование могут быть использованы при условии обеспечения ими количественного преобразования этанола в диоксид углерода без потерь спирта в результате испарения.
Последовательность экспериментального исследования включает следующие операции:
а) размещение проб в капсулах:
- используют капсулы, пинцет и чистый штатив для капсул,
- капсулы соответствующего размера для внесения пробы отбирают пинцетом,
- соответствующий объем жидкой пробы вносят в капсулу микропипеткой.
Примечание - 3,84 мг абсолютного этанола или 4,17 мг дистиллята крепостью 92% мас. необходимы для получения 2 мг углерода. Соответствующее количество дистиллята должен быть рассчитано аналогичным образом для обеспечения необходимого уровня чувствительности масс-спектрометрического измерения;
- герметично запечатывают капсулы пинцетом,
- каждая капсула должна быть полностью запечатана (в противном случае капсулу с пробой не используют при измерении),
- для каждой пробы готовят две капсулы,
- запечатанные капсулы размещают в устройстве подачи проб элементного анализатора (регистрируют номера проб в капсулах),
- системным образом в начале и в конце серии капсул с пробами размещают капсулы со стандартным образцом,
- внутри серии проб регулярно также размещают капсулы со стандартным образцом;
б) контроль и регулировка элементного анализатора и масс-спектрометра:
- проводят настройку реакторов элементного анализатора, потоков гелия и кислорода для оптимального сжигания проб,
- контролируют герметичность элементного анализатора и масс-спектрометра, например путем проверки ионных токов по массе m/z = 28 азота N2,
- настраивают масс-спектрометр на диапазон измерения ионных токов по массам m/z = 44, 45 и 46,
- контролируют всю систему путем измерения стандартного образца с установленным изотопным составом;
в) проведение серии измерений
Пробы в системе элементного анализатора или в хроматографической системе исследуют последовательно. Диоксид углерода после сжигания каждой пробы направляют в масс-спектрометр для измерения ионного тока. Компьютерный интерфейс регистрирует интенсивность ионных токов и рассчитывает значения показателя

для каждой пробы (см.
5.1.4.9).
5.1.4.9 Расчет и выражение результатов
Целью метода является измерение отношения изотопов углерода
13C/
12C этанола, выделенного из вина или из сброженных продуктов переработки винограда. Отношение изотопов углерода
13C/
12C выражают как отклонение от стандартного образца. Содержание изотопа углерода
13C (как показатель

) рассчитывают по шкале

в виде тысячной доли при сравнении значений, полученных для исследуемой пробы, и значений для стандартного образца, предварительно калиброванного относительно первичного международного стандартного образца (V-PDB). Значение показателя для пробы, измеренное относительно рабочего стандартного образца

, в сравнении со стандартным образцом вычисляют по формуле

, (1)
где Rпр - отношение изотопов углерода 13C/12C в пробе;
Rстан - отношение изотопов углерода 13C/12C в стандартном образце.
С учетом международного стандартного образца V-PDB корректировку значения показателя для пробы

, проводят по формуле

, (2)
где

- значение показателя для рабочего стандартного образца, калиброванного относительно первичного международного стандартного образца V-PDB,

.
Небольшие различия между измеренными значениями проб могут наблюдаться при измерениях в режиме реального времени по причине изменений характеристик инструментального оборудования. В этом случае значение показателя

должно быть скорректировано в соответствии с разницей между измеренным значением показателя

рабочего стандартного образца и его паспортным значением, которое должно быть получено калибровкой относительно первичного международного стандартного образца V-PDB. Вариации двух измерений рабочего стандартного образца и применяемая корректировка результатов измерения пробы подчиняются линейной зависимости. Рабочий стандартный образец должен быть исследован в начале и конце измерений каждой серии проб. Таким образом, корректировка может быть рассчитана путем линейной интерполяции между двумя значениями (разница между паспортным значением рабочего стандартного образца и измеренным значением этого образца).
5.1.4.10 Обеспечение качества исследования и контроль
Путем контроля определяют разницу между результатами по изотопу углерода
13C в рабочем стандартном образце, составляющую не более

между измеренным и паспортным значениями. В противном случае необходимо проверить настройку масс-спектрометра.
Для каждой пробы разница между двумя измеренными значениями пробы в двух капсулах не должна превышать

. За окончательный результат принимают среднее арифметическое значение измерений пробы в двух капсулах. При отклонениях более

измерения повторяют.
Контроль качества измерений может быть основан на регистрации интенсивности ионного тока по массе m/z = 44, которая должна быть пропорциональна количеству углерода в пробе, внесенной в элементный анализатор. В стандартных условиях измерения интенсивность ионного тока должна оставаться постоянной для всех анализируемых проб. Значительные отклонения могут указывать на испарение этанола (например, негерметичная капсула) или на нестабильную работу элементного анализатора/масс-спектрометра.
5.1.4.11 Характеристики точности метода (прецизионность)
В рамках межлабораторного эксперимента [см.
5.1.4.11а)] исследовались дистилляты, содержащие этанол из винограда, сахарного тростника и сахарной свеклы, а также смеси спиртов указанного происхождения. В ходе исследования не учитывались конкретные системы для дистилляции. Результаты другого межлабораторного исследования приведены в
5.1.4.11б), а результаты тестов на пригодность изотопных измерений - в
5.1.4.11в). Общие результаты показывают, что различные дистилляционные системы, используемые надлежащим образом, в том числе системы для метода RMN-FINS, не вносят существенных изменений в определение показателя

в вине. Характеристики точности, полученные для вина, практически идентичны тем характеристикам, которые получены в межлабораторном эксперименте для дистиллятов [см.
5.1.4.11а)].
а) Межлабораторный эксперимент с дистиллятами (см.
таблицы 4,
5)
Год проведения межлабораторного эксперимента - 1996 г.
Количество лабораторий - 20.
Количество образцов - 6 образцов для сравнения "двойным слепым" методом.
Цель анализа - исследование показателя

этанола.
Код образца | Спирт из винограда, % | Спирт из сахарной свеклы, % | Спирт из сахарного тростника, % |
A/G | 80 | 10 | 10 |
B/C | 90 | 10 | 0 |
D/F | 0 | 100 | 0 |
E/I | 90 | 0 | 10 |
H/K | 100 | 0 | 0 |
J/L | 0 | 0 | 100 |
Образец | A/G | B/C | D/F | E/I | H/K | J/L |
Количество лабораторий, результаты которых остались после исключения выбросов | 19 | 18 | 17 | 19 | 19 | 19 |
Количество принятых результатов | 38 | 36 | 34 | 38 | 38 | 38 |
Среднее значение  | -25,32 | -26,75 | -27,79 | -25,26 | -26,63 | -12,54 |
Sr2 | 0,0064 | 0,0077 | 0,0031 | 0,0127 | 0,0069 | 0,0041 |
Стандартное отклонение повторяемости Sr,  | 0,08 | 0,09 | 0,06 | 0,11 | 0,08 | 0,06 |
Предел повторяемости r (2,8· Sr),  | 0,22 | 0,25 | 0,16 | 0,32 | 0,23 | 0,18 |
SR2 | 0,0389 | 0,0309 | 0,0382 | 0,0459 | 0,0316 | 0,0584 |
Стандартное отклонение воспроизводимости SR,  | 0,20 | 0,18 | 0,20 | 0,21 | 0,18 | 0,24 |
Предел воспроизводимости R (2,8· SR),  | 0,55 | 0,9 | 0,55 | 0,60 | 0,50 | 0,68 |
б) Межлабораторный эксперимент с двумя образцами вина и одним образцом спирта (см.
таблицу 6)
Год проведения межлабораторного эксперимента - 1996 г.
Количество лабораторий: 14 - для проведения дистилляции этанола из вина; 7 - для измерения показателя

этанола в двух образцах вина; 8 - для измерения показателя

этанола в одном образце спирта.
Количество образцов - 3 образца (1 образец белого вина - спирт 9,3% об., 1 образец красного вина - спирт 9,6% об., 1 образец спирта крепостью 93% мас.).
Цель анализа - исследование показателя

этанола.
Образец | Красное вино | Белое вино | Спирт |
Количество лабораторий | 7 | 7 | 8 |
Количество принятых результатов | 7 | 7 | 8 |
Среднее значение  | -26,20 | -26,20 | -25,08 |
Воспроизводимость SR2 | 0,0525 | 0,0740 | 0,0962 |
Стандартное отклонение воспроизводимости SR,  | 0,23 | 0,27 | 0,31 |
Предел воспроизводимости R (2,8· SR),  | 0,64 | 0,76 | 0,87 |
Лаборатории, участвовавшие в межлабораторном эксперименте, использовали разные дистилляционные системы. Результаты исследования показателя

, полученные в одной лаборатории по всему количеству дистиллятов, направленных участниками, не были бессмысленными и не имели существенных отклонений по средним значениям. Отклонение результатов в данном эксперименте (
S2 = 0,0059) сравнимо со значением повторяемости
Sr2, полученном в межлабораторном эксперименте с дистиллятами [см.
5.1.4.11а)].
в) Результаты тестов на компетентность изотопных измерений
С декабря 1994 г. на регулярной основе организовывались и проводились тесты для оценки компетентности изотопных измерений. В тестах исследовались вина и спирты (дистилляты крепостью 96% об.). Участие в тестах позволило оценить лабораториям качество своих анализов.
Статистическая обработка результатов определяет их приемлемость в принятых условиях воспроизводимости метода. Проведение тестов позволило получить данные о пределах повторяемости и воспроизводимости. Результаты, полученные для вина и этанола в дистилляте

, суммированы в
таблице 7.
Дата | Вино | Дистиллят |
N | SR | S2R | R | N | SR | S2R | R |
Декабрь 1994 г. | 6 | 0,210 | 0,044 | 0,59 | 6 | 0,151 | 0,023 | 0,42 |
Июнь 1995 г. | 8 | 0,133 | 0,018 | 0,37 | 8 | 0,147 | 0,021 | 0,41 |
Декабрь 1995 г. | 7 | 0,075 | 0,006 | 0,21 | 8 | 0,115 | 0,013 | 0,32 |
Март 1996 г. | 9 | 0,249 | 0,062 | 0,70 | 11 | 0,278 | 0,077 | 0,78 |
Июнь 1996 г. | 8 | 0,127 | 0,016 | 0,36 | 8 | 0,189 | 0,036 | 0,53 |
Сентябрь 1996 г. | 10 | 0,147 | 0,022 | 0,41 | 11 | 0,224 | 0,050 | 0,63 |
Декабрь 1996 г. | 10 | 0,330 | 0,109 | 0,92 | 9 | 0,057 | 0,003 | 0,16 |
Март 1997 г. | 10 | 0,069 | 0,005 | 0,19 | 8 | 0,059 | 0,003 | 0,16 |
Июнь 1997 г. | 11 | 0,280 | 0,079 | 0,78 | 11 | 0,175 | 0,031 | 0,49 |
Сентябрь 1997 г. | 12 | 0,237 | 0,056 | 0,66 | 11 | 0,203 | 0,041 | 0,57 |
Декабрь 1997 г. | 11 | 0,127 | 0,016 | 0,36 | 12 | 0,156 | 0,024 | 0,44 |
Март 1998 г. | 12 | 0,285 | 0,081 | 0,80 | 13 | 0,245 | 0,060 | 0,69 |
Июнь 1998 г. | 12 | 0,182 | 0,033 | 0,51 | 12 | 0,263 | 0,069 | 0,74 |
Сентябрь 1998 г. | 11 | 0,264 | 0,070 | 0,74 | 12 | 0,327 | 0,107 | 0,91 |
Взвешенное среднее значение | - | 0,215 | 0,046 | 0,60 | - | 0,209 | 0,044 | 0,59 |
Примечание - N - количество лабораторий, принявших участие в тестах. |
5.1.5 Масс-спектрометрический метод определения отношений изотопов углерода 13C/12C в этаноле спиртных напитков виноградного происхождения
5.1.5.1 Настоящий метод предназначен для измерения отношений изотопов углерода 13C/12C в этаноле спиртных напитков виноградного происхождения.
5.1.5.2 Стандартные образцы
V-PDB - международный стандартный образец мрамора с известным изотопным составом углерода (RPDB = 0,00112372).
5.1.5.3 Сокращения
13C/12C - отношение изотопов углерода 13C и 12C в исследуемой пробе.

- содержание изотопа углерода
13C, выраженное в промилле (одной тысячной доле),

.
SNIF-NMR - метод ядерного магнитного резонанса для исследования фракционирования специфичных природных изотопов.
V-PDB - международный стандартный образец мрамора с установленным изотопным составом углерода.
m/z - отношение массы молекулы к ее заряду.
5.1.5.4 Сущность метода
В ходе фотосинтеза ассимиляция углеродсодержащего газа (диоксида углерода) в растениях протекает по двум путям метаболизма - C3-путь (цикл Кальвина) и C4-путь (цикл Хэтча - Слека). Эти два пути метаболизма представляют собой разные типы фракционирования изотопов. Такие продукты, как сахар и спирт, полученные из C4-растений с последующим брожением, обладают повышенным содержанием изотопа углерода 13C в сравнении с продуктами из C3-растений. К основной группе C3-растений принадлежат виноград и сахарная свекла. Сахарный тростник и кукуруза относятся к C4-растениям. Измерение содержания изотопа углерода 13C позволяет количественно выявить добавление сахаросодержащих продуктов из C4-растений (например, тростниковый сахар, кукурузный сироп - изоглюкоза) к продукции из винограда (например, виноградное сусло, вино). Совмещенный методический подход на основе масс-спектрометрического метода определения содержания изотопа углерода 13C и метода ядерного магнитного резонанса RMN-FINS обеспечивает количественное выявление добавления смеси сахаров или спирта, полученных из C3- и C4-растений.
Содержание изотопа углерода
13C определяют путем измерения диоксида углерода, образующегося при полном сжигании исследуемой пробы. Распределение основных изотопомеров диоксида углерода с массами 44 (
12CO
2), 45 (
13C
16O
2,
12C
17O
16O) и 46 (
12C
16O
18O), результирующихся из различных комбинаций изотопов кислорода и углерода
18O,
17O,
16O,
13C и
12C, исследуется путем измерения ионных токов тремя разными коллекторами масс-спектрометра. Вкладами в интенсивность сигнала изотопомеров
13C
17O
16O и
12C
17O
2 в некоторых случаях можно пренебречь ввиду их незначительного присутствия. Ионный ток по массе
m/z = 45 подлежит корректировке из вклада в интенсивность сигнала изотопомера
12C
17O
16O, которая осуществляется в соответствии с интенсивностью сигнала по массе
m/
z = 46 и с учетом относительного распространения изотопов кислорода
18O и
17O (т.е. корректировка по Крейгу). Сравнение результата измерения с калиброванным стандартным образцом и международным стандартным образцом V-PDB позволяет рассчитать содержание изотопа углерода
13C по относительной шкале показателя

.
5.1.5.5 Аппаратура, реактивы, стандартные образцы
Реактивы и расходные материалы зависят от технической конфигурации оборудования, используемого для измерения (см.
5.1.5.6). Большинство аппаратных систем основаны на применении элементного анализатора. Эти системы оборудованы устройствами для ввода проб, размещенных в запечатанных металлических капсулах. Жидкие пробы вводят в прибор, используя микрошприц или автоматический податчик для жидкостей.
Поставку стандартных образцов, приведенных в
таблице 8, осуществляет МАГАТЭ.
Обозначение | Вещество | |
IAEA-CH-6 | | -10,4 |
IAEA-CH-7 | Полиэтилен | -31,8 |
NBS22 | Масло | -29,7 |
USGS24 | Графит | -16,1 |
<*> Сахароза из растений группы C 4. |
Поставку стандартных образцов, приведенных в
таблице 9, осуществляет IRMM.
Обозначение | Вещество | |
CRM 656 | Этанол виноградного происхождения | -26,93 |
CRM 657 | | -10,75 |
CRM 660 | Водный раствор этанола (12% об.) | -26,72 |
<*> Глюкоза из растений группы C 4. |
Рабочие стандартные образцы применяют с установленным значением отношения изотопов углерода 13C/12C, калиброванным относительно международных стандартных образцов.
Также используют реактивы и расходные материалы, предназначенные для работы в системах непрерывных измерений в потоке гелия, в том числе гелий для анализа (CAS 07440-59-7), кислород для анализа (CAS 07782-44-7), диоксид углерода для анализа [используется в качестве вторичного стандартного образца, содержащего изотоп углерода 13C (CAS 00124-38-9)], окислительный реагент для системы сжигания элементного анализатора (оксид меди II, CAS 1317-38-0), водопоглощающий реагент для элементного анализатора <1> (перхлорат магния, CAS 10034-81-8).
--------------------------------
<1> Отдельный водопоглощающий реагент не используется в системах, оснащенных криогенными или мембранными устройствами для удаления воды.
а) Масс-спектрометр для измерения отношений изотопов (IRMS)
Метод масс-спектрометрии отношений изотопов (IRMS) позволяет определять относительное содержание изотопа углерода
13C в диоксиде углерода CO
2 с внутренней точностью измерения

или относительным значением, выраженным согласно
5.1.5.9. При этом значение внутренней точности устанавливают как разницу между двумя параллельными измерениями одной и той же пробы диоксида углерода CO
2. Масс-спектрометр, обычно используемый для определения изотопного состава диоксида углерода CO
2, как правило, оснащен тройным коллектором для одновременного измерения ионных токов молекул с массами
m/
z = 44, 45 и 46. Масс-спектрометр, применяемый при измерении, должен быть оснащен или двойной системой напуска для измерения неизвестной пробы и стандартного образца, или системой для непрерывных измерений в потоке гелия, которая количественно сжигает исследуемую пробу, отделяя образовавшийся диоксид углерода от других продуктов горения перед измерением в масс-спектрометре соответствующего спектра масс.
б) Прибор для сжигания пробы
Прибор для сжигания должен количественно преобразовывать исследуемую пробу (этанол) в диоксид углерода, отделять другие продукты горения, включая воду, не допуская при этом изотопного фракционирования (изменения изотопного состава). Прибор может быть выполнен в виде системы, интегрированной в масс-спектрометр [см.
5.1.5.6б)1)], или в виде отдельного устройства [см.
5.1.5.6б)2)]. Прибор должен обладать характеристиками, заявленными в
5.1.5.11.
1) Система непрерывного измерения в потоке гелия
Данное оборудование может быть исполнено как элементный анализатор или как газовый хроматограф, оснащенный устройством для сжигания пробы в потоке гелия.
Следующее вспомогательное оборудование используют для системы, ввод пробы в которой осуществляют в металлических капсулах:
- объемный микродозатор с соответствующими наконечниками;
- весы с точностью взвешивания в диапазоне микрограммов или лучше;
- пинцет для капсулирования;
- капсулы из олова для жидких проб.
Следующее вспомогательное оборудование используют при применении элементного анализатора с автоматическим податчиком для жидких проб, а также при использовании хроматографической системы подготовки проб к сжиганию:
- микрошприц для жидкостей;
- флаконы для жидких проб с герметичной укупоркой с инертной мембраной.
В исследовании могут быть использованы эквивалентные лабораторные материалы, пригодные для работы с оборудованием для сжигания органических проб и масс-спектрометрических измерений.
2) Автоматизированная система подготовки проб
Диоксид углерода, предназначенный для анализа и образующийся при сжигании пробы и стандартного образца, концентрируют в бульбовом сосуде и вводят в систему двойного напуска для проведения изотопного измерения. При этом могут быть использованы разные типы аппаратов для сжигания, которые перечислены ниже:
- закрытая система для сжигания, заполненная циркулирующим кислородом;
- элементный анализатор с регулируемыми потоками гелия и кислорода;
- стеклянный бульбовый сосуд для герметичного запаивания с внесенным оксидом меди (II), используемым в качестве окислительного реагента.
5.1.5.7 Подготовка проб
Этанол выделяют из спиртосодержащего образца (например, вино, сброженное сусло) путем дистилляции согласно условиям, установленным в
5.1.15.6 метода RMN-FINS (см.
5.1.15). Для исследования сахаров их предварительно сбраживают для получения этанола и его последующего выделения из исследуемого образца путем дистилляции согласно
3.1.
5.1.5.8 Проведение исследования
При подготовке к исследованию избегают значительных потерь этанола через его испарение, которое может привести к изменению изотопного состава пробы. Нижеприведенное описание процедуры исследования относится к способу использования коммерческих автоматизированных систем для сжигания проб. Другие методы и оборудование могут быть использованы при условии обеспечения ими количественного преобразования этанола в диоксид углерода без потерь спирта в результате испарения.
Последовательность экспериментального исследования включает следующие операции:
а) размещение проб в капсулах:
- используют капсулы, пинцет и чистый штатив для капсул,
- капсулы, соответствующего размера, для внесения пробы отбирают пинцетом,
- соответствующий объем жидкой пробы вносят в капсулу микропипеткой.
Примечание - 3,84 мг абсолютного этанола или 4,17 мг дистиллята крепостью 92% мас. необходимы для получения 2 мг углерода. Соответствующее количество дистиллята должно быть рассчитано аналогичным образом для обеспечения необходимого уровня чувствительности масс-спектрометрического измерения;
- герметично запечатывают капсулы пинцетом,
- каждая капсула должна быть полностью запечатана (в противном случае капсулу с пробой не используют при измерении),
- для каждой пробы готовят две капсулы,
- запечатанные капсулы размещают в устройстве подачи проб элементного анализатора (регистрируют номера проб в капсулах),
- системным образом в начале и в конце серии капсул с пробами размещают капсулы со стандартным образцом,
- внутри серии проб регулярно также размещают капсулы со стандартным образцом;
б) контроль и регулировка элементного анализатора и масс-спектрометра:
- проводят настройку реакторов элементного анализатора, потоков гелия и кислорода для оптимального сжигания проб,
- контролируют герметичность элементного анализатора и масс-спектрометра, например путем проверки ионных токов по массе m/z = 28 азота N2,
- настраивают масс-спектрометр на диапазон измерения ионных токов по массам m/z = 44, 45 и 46,
- контролируют всю систему путем измерения стандартного образца с установленным изотопным составом;
в) проведение серии измерений
Пробы в системе элементного анализатора или в хроматографической системе исследуют последовательно. Диоксид углерода после сжигания каждой пробы направляют в масс-спектрометр для измерения ионного тока. Компьютерный интерфейс регистрирует интенсивность ионных токов и рассчитывает значения показателя

для каждой пробы (см.
5.1.5.9).
5.1.5.9 Расчет и выражение результатов
Целью метода является измерение отношения изотопов углерода
13C/
12C этанола, выделенного из вина или из сброженных продуктов переработки винограда. Отношение изотопов углерода
13C/
12C выражают как отклонение от стандартного образца. Содержание изотопа углерода
13C (как показатель

) рассчитывают по шкале

в виде тысячной доли при сравнении значений, полученных для исследуемой пробы, и значений для стандартного образца, предварительно калиброванного относительно первичного международного стандартного образца (V-PDB). Значения

в сравнении со стандартным образцом вычисляют по
формуле (1).
С учетом международного стандартного образца V-PDB корректировку значения проводят по
формуле (2).
Небольшие различия между измеренными значениями проб могут наблюдаться при измерениях в режиме реального времени по причине изменений характеристик инструментального оборудования. В этом случае значение показателя

должно быть скорректировано в соответствии с разницей между измеренным значением показателя

рабочего стандартного образца и его паспортным значением, которое должно быть получено калибровкой относительно первичного международного стандартного образца V-PDB. Вариации двух измерений рабочего стандартного образца и применяемая корректировка результатов измерения пробы подчиняются линейной зависимости. Рабочий стандартный образец должен быть исследован в начале и конце измерений каждой серии проб. Таким образом, корректировка может быть рассчитана путем линейной интерполяции между двумя значениями (разница между паспортным значением рабочего стандартного образца и измеренным значением этого образца).
5.1.5.10 Обеспечение качества исследования и контроль
Путем контроля проверяют, что разница между результатами по изотопу углерода
13C в рабочем стандартном образце составляет не более

между измеренным и паспортным значениями. В противном случае необходимо проверить настройку масс-спектрометра.
Для каждой пробы разница между двумя измеренными значениями пробы в двух капсулах не должна превышать

. За окончательный результат принимают среднее арифметическое значение измерений пробы в двух капсулах. При отклонениях более

измерения повторяют.
Контроль качества измерений может быть основан на регистрации интенсивности ионного тока по массе m/z = 44, которая должна быть пропорциональна количеству углерода в пробе, внесенной в элементный анализатор. В стандартных условиях измерения интенсивность ионного тока должна оставаться постоянной для всех анализируемых проб. Значительные отклонения могут указывать на испарение этанола (негерметичность капсулы) или на нестабильную работу элементного анализатора/масс-спектрометра.
5.1.5.11 Характеристики точности метода (прецизионность)
В рамках межлабораторного эксперимента [см.
5.1.5.11а)] исследовались дистилляты, содержащие этанол из винограда, сахарного тростника и сахарной свеклы, а также смеси спиртов указанного происхождения. В ходе исследования не учитывались конкретные системы для дистилляции. Результаты другого межлабораторного исследования приведены в
5.1.5.11б), а результаты тестов на пригодность изотопных измерений - в
5.1.5.11в). Общие результаты показывают, что различные дистилляционные системы, используемые надлежащим образом, в том числе системы для метода RMN-FINS, не вносят существенных изменений в определение показателя

в вине. Характеристики точности, полученные для вина, практически идентичны тем характеристикам, которые получены в межлабораторном эксперименте для дистиллятов [см.
5.1.5.11а)].
а) Межлабораторный эксперимент с дистиллятами (см.
таблицы 10,
11)
Год проведения межлабораторного эксперимента - 1996 г.
Количество лабораторий - 20.
Количество образцов - 6 образцов для сравнения "двойным слепым" методом сравнения.
Цель анализа - исследование показателя

этанола.
Код образца | Спирт из винограда, % | Спирт из сахарной свеклы, % | Спирт из сахарного тростника, % |
A/G | 80 | 10 | 10 |
B/C | 90 | 10 | 0 |
D/F | 0 | 100 | 0 |
E/I | 90 | 0 | 10 |
H/K | 100 | 0 | 0 |
J/L | 0 | 0 | 100 |
Образец | A/G | B/C | D/F | E/I | H/K | J/L |
Количество лабораторий, результаты которых остались после исключения выбросов | 19 | 18 | 17 | 19 | 19 | 19 |
Количество принятых результатов | 38 | 36 | 34 | 38 | 38 | 38 |
Среднее значение  | -25,32 | -26,75 | -27,79 | -25,26 | -26,63 | -12,54 |
Sr2 | 0,0064 | 0,0077 | 0,0031 | 0,0127 | 0,0069 | 0,0041 |
Стандартное отклонение повторяемости Sr,  | 0,08 | 0,09 | 0,06 | 0,11 | 0,08 | 0,06 |
Предел повторяемости r (2,8· Sr),  | 0,22 | 0,25 | 0,16 | 0,32 | 0,23 | 0,18 |
SR2 | 0,0389 | 0,0309 | 0,0382 | 0,0459 | 0,0316 | 0,0584 |
Стандартное отклонение воспроизводимости SR,  | 0,20 | 0,18 | 0,20 | 0,21 | 0,18 | 0,24 |
Предел воспроизводимости R (2,8· SR),  | 0,55 | 0,9 | 0,55 | 0,60 | 0,50 | 0,68 |
б) Межлабораторный эксперимент с двумя образцами вина и одним образцом спирта (см.
таблицу 12)
Год проведения межлабораторного эксперимента - 1996 г.
Количество лабораторий: 14 - для проведения дистилляции этанола из вина; 7 - для измерения показателя

этанола в двух образцах вина; 8 - для измерения показателя

этанола в одном образце спирта.
Количество образцов - 3 образца (1 образец белого вина - спирт 9,3% об., 1 образец красного вина - спирт 9,6% об., 1 образец спирта крепостью 93% мас.).
Цель анализа - исследование показателя

этанола.
Образец | Красное вино | Белое вино | Спирт |
Количество лабораторий | 7 | 7 | 8 |
Количество принятых результатов | 7 | 7 | 8 |
Среднее значение  | -26,20 | -26,20 | -25,08 |
Воспроизводимость SR2 | 0,0525 | 0,0740 | 0,0962 |
Стандартное отклонение воспроизводимости SR,  | 0,23 | 0,27 | 0,31 |
Предел воспроизводимости R (2,8· SR),  | 0,64 | 0,76 | 0,87 |
Лаборатории, участвовавшие в межлабораторном эксперименте, использовали разные дистилляционные системы. Результаты исследования показателя

, полученные в одной лаборатории по всему количеству дистиллятов, направленных участниками, не были бессмысленными и не имели существенных отклонений по средним значениям. Отклонение результатов в данном эксперименте (
S2 = 0,0059) сравнимо со значением повторяемости
Sr2, полученным в межлабораторном эксперименте с дистиллятами [см.
5.1.5.11а)].
в) Результаты тестов на компетентность изотопных измерений
С декабря 1994 г. на регулярной основе организовывались и проводились тесты для оценки компетентности изотопных измерений. В тестах исследовались вина и спирты (дистилляты крепостью 96% об.). Участие в тестах позволило оценить лабораториям качество своих анализов.
Статистическая обработка результатов определяет их приемлемость в принятых условиях воспроизводимости метода. Проведение тестов позволило получить данные о пределах повторяемости и воспроизводимости. Результаты, полученные для вина этанола в дистилляте

, суммированы в
таблице 13.
Дата | Вино | Дистилляты |
N | SR | S2R | R | N | SR | S2R | R |
Декабрь 1994 г. | 6 | 0,210 | 0,044 | 0,59 | 6 | 0,151 | 0,023 | 0,42 |
Июнь 1995 г. | 8 | 0,133 | 0,018 | 0,37 | 8 | 0,147 | 0,021 | 0,41 |
Декабрь 1995 г. | 7 | 0,075 | 0,006 | 0,21 | 8 | 0,115 | 0,013 | 0,32 |
Март 1996 г. | 9 | 0,249 | 0,062 | 0,70 | 11 | 0,278 | 0,077 | 0,78 |
Июнь 1996 г. | 8 | 0,127 | 0,016 | 0,36 | 8 | 0,189 | 0,036 | 0,53 |
Сентябрь 1996 г. | 10 | 0,147 | 0,022 | 0,41 | 11 | 0,224 | 0,050 | 0,63 |
Декабрь 1996 г. | 10 | 0,330 | 0,109 | 0,92 | 9 | 0,057 | 0,003 | 0,16 |
Март 1997 г. | 10 | 0,069 | 0,005 | 0,19 | 8 | 0,059 | 0,003 | 0,16 |
Июнь 1997 г. | 11 | 0,280 | 0,079 | 0,78 | 11 | 0,175 | 0,031 | 0,49 |
Сентябрь 1997 г. | 12 | 0,237 | 0,056 | 0,66 | 11 | 0,203 | 0,041 | 0,57 |
Декабрь 1997 г. | 11 | 0,127 | 0,016 | 0,36 | 12 | 0,156 | 0,024 | 0,44 |
Март 1998 г. | 12 | 0,285 | 0,081 | 0,80 | 13 | 0,245 | 0,060 | 0,69 |
Июнь 1998 г. | 12 | 0,182 | 0,033 | 0,51 | 12 | 0,263 | 0,069 | 0,74 |
Сентябрь 1998 г. | 11 | 0,264 | 0,070 | 0,74 | 12 | 0,327 | 0,107 | 0,91 |
Взвешенное среднее значение | - | 0,215 | 0,046 | 0,60 | - | 0,209 | 0,044 | 0,59 |
Примечание - N - количество лабораторий, принявших участие в тестах. |
5.1.6 Метод определения отношений изотопов углерода 13C/12C в глюкозе, фруктозе, глицерине и этаноле продукции виноградного происхождения с помощью высокоэффективной жидкостной хроматографии в комбинации с масс-спектрометрией
5.1.6.1 Настоящий метод предназначен для исследования продуктов виноградного происхождения. В части исследования глюкозы, фруктозы и глицерина метод относится к методам II типа <1>, в части исследования этанола - к методам III типа.
--------------------------------
<1> По классификации методов анализа Международной межправительственной организации по виноградарству и виноделию (OIV).
5.1.6.2 Сущность метода
Пробы после предварительного разбавления (при необходимости) и фильтрования подвергают предварительному хроматографическому разделению с использованием жидкостного хроматографа (ВЭЖХ). После окисления в условиях жидкой среды отношение изотопов углерода 13C/12C измеряют с помощью метода масс-спектрометрии. Окисление пробы в жидкой среде, получившей сокращенное обозначение "co", позволяет преобразовать органическое вещество в диоксид углерода CO2 химическим способом. Аппаратная комбинация HPLC-co-IRMS создает методическую основу для последовательного определения изотопных отношений в следующем ряду соединений: глюкозе, фруктозе, глицерине и этаноле.
5.1.6.3 Реактивы
а) Деионизированная вода (качество ВЭЖХ) с электросопротивлением более 18 МОм.
б) Персульфат аммония для анализа (CAS 7727-54-0).
в) Ортофосфорная кислота для анализа концентрацией 85% (CAS 7664-38-2).
г) Гелий для анализа в качестве газа-носителя (CAS 07440-59-7).
д) Диоксид углерода для анализа для использования в качестве рабочего стандартного вещества (CAS 00124-38-9).
е) Международные стандартные образцы.
5.1.6.4 Аппаратура
а) Оборудование общелабораторного назначения для ежедневного использования.
б) Хроматограф ВЭЖХ.
в) Интерфейс для проведения окисления проб в жидкой среде химическим способом.
г) Масс-спектрометр для измерения отношений стабильных изотопов легких элементов (IRMS).
5.1.6.5 Проведение исследования
а) Подготовка пробы
В зависимости от концентрации сахаров, глицерина и этанола исходные образцы подлежат разбавлению деионизированной водой
[5.1.6.3а)] до уровня, соответствующего условиям исследования. Также в зависимости от концентрации компонентов в определении одной пробы проводят два измерения с аналитами в разных разбавлениях.
б) Пример условий аналитического исследования
Общая длительность анализа - 20 мин.
Примерная степень разбавления образцов - виноградные соки и вина 1:200, концентрированное виноградное сусло 1:500.
Хроматограф ВЭЖХ:
- хроматографическая колонка углеводного типа <2>;
--------------------------------
<2> Например, 700-CH Carbohydrate, HyperRez XP Carbohydrate H+. Данная информация приведена для удобства пользователей настоящего стандарта и не исключает возможности использования другого оборудования с аналогичными характеристиками.
- объем вводимой пробы 25 мм3;
- подвижная фаза деионизированная вода [см.
5.1.6.3а)];
- скорость потока 0,4 мл/мин;
- температура колонки 80 °C.
Интерфейс для окисления пробы:
- реактивы - раствор персульфата аммония концентрацией 15% мас. [см.
5.1.6.3б)], ортофосфорная кислота концентрацией 2,5% об.;
- скорость потока в перистальтическом насосе 0,6 см3/мин;
- температура нагревателя 93 °C;
- скорость потока газа-носителя - гелия 15 см3/мин;
- скорость потока гелия при сушке 50 см3/мин.
Масс-спектрометр IRMS:
- сила тока в ловушке 300 мкА.
в) Пример хроматограммы
На
рисунке 1 представлена хроматограмма сладкого вина, исследованного методом ВЭЖХ в комбинации с масс-спектрометром IRMS.
5.1.6.6 Расчет и выражение результатов
Рабочий стандартный образец - диоксид углерода CO
2, калибруют относительно первичных международных стандартов. Отношение изотопов выражают в виде показателя

, относительно международного стандартного образца - ископаемого ракушечника PDB, и вычисляют значение показателя для пробы

, по формуле

, (3)
где Rпр - отношение изотопов углерода 13C/12C в пробе;
Rстан - отношение изотопов углерода 13C/12C в стандартном образце.
5.1.6.7 Характеристики точности метода (прецизионность)
Характеристики точности метода для исследования отношения изотопов углерода

глюкозы, фруктозы, глицерина и этанола применением инструментальной комбинации ВЭЖХ в комбинации с масс-спектрометром IRMS с химическим окислением пробы определены по результатам межлабораторного эксперимента, в которым исследованы четыре образца (сухое вино, сладкое вино, виноградный сок и ректификованное концентрированное виноградное сусло).
5.1.6.8 Результаты, полученные в эксперименте для каждого компонента
а) Статистическая обработка результатов межлабораторного эксперимента по подтверждению характеристик точности метода ВЭЖХ в комбинации с масс-спектрометром IRMS (повторяемость и воспроизводимость)
Перечень лабораторий с указанием страны приведен в
таблице 14.
Наименование страны | Сокращенное наименование лаборатории |
Бельгия | IRMM |
Китай | CNRIFFI |
Чешская Республика | SZPI |
Франция | SCL-33 |
Германия | INTERTEK |
UNI DUE |
ELEMENTAR |
QSI |
LVI |
Италия | FLORAMO |
Япония | AKITA Univ. |
Испания | MAGRAMA |
Отклики - 12 лабораторий/14 откликов.
- образцы: 1 сухое вино (вино А), 1 сладкое вино (вино Б), 1 ректификованное концентрированное виноградное сусло (РКВС), 1 виноградный сок (ВС);
- аналитические условия: каждый образец исследован в двух повторностях (повторяемость) и двойным слепым способом (воспроизводимость);
- результаты выражены в промилях относительно стандартного образца PDB.
в) Характеристики точности метода при измерении глюкозы (повторяемость и воспроизводимость) приведены в
таблице 15.
Наименование характеристики | Вино А | РКВС | ВС |
Количество лабораторий | 12 | 12 | 12 |
Количество откликов | 14 | 13 | 14 |
Количество откликов, оставшихся после исключения выбросов | 13 | 13 | 12 |
Минимальное значение | -26,33 | -25,04 | -25,78 |
Максимальное значение | -23,72 | -23,74 | -24,62 |
Среднее значение | -25,10 | -24,24 | -25,19 |
Повторяемость | 0,02 | 0,01 | 0,01 |
Стандартное отклонение повторяемости Sr | 0,14 | 0,10 | 0,09 |
Предел повторяемости r,  | 0,40 | 0,29 | 0,24 |
Воспроизводимость | 0,39 | 0,14 | 0,11 |
Стандартное отклонение воспроизводимости SR | 0,62 | 0,38 | 0,33 |
Предел воспроизводимости R,  | 1,77 | 1,06 | 0,94 |
г) Характеристики точности метода при измерении фруктозы (повторяемость и воспроизводимость) приведены в
таблице 16.
Наименование характеристики | Вино Б | РКВС | ВС |
Количество лабораторий | 12 | 11 | 12 |
Количество откликов | 14 | 13 | 14 |
Количество откликов, оставшихся после исключения выбросов | 13 | 13 | 13 |
Минимальное значение | -25,56 | -24,19 | -25,33 |
Максимальное значение | -24,12 | -23,19 | -23,98 |
Среднее значение | -24,87 | -23,65 | -24,56 |
Повторяемость | 0,02 | 0,03 | 0,02 |
Стандартное отклонение повторяемости Sr | 0,14 | 0,16 | 0,14 |
Предел повторяемости r,  | 0,40 | 0,46 | 0,39 |
Воспроизводимость | 0,15 | 0,10 | 0,18 |
Стандартное отклонение воспроизводимости SR | 0,39 | 0,32 | 0,42 |
Предел воспроизводимости R,  | 1,10 | 0,90 | 1,19 |
д) Характеристики точности метода при измерении глицерина (повторяемость и воспроизводимость) приведены в
таблице 17.
Наименование характеристики | Вино А | Вино Б |
Количество лабораторий | 12 | 12 |
Количество откликов | 12 | 12 |
Количество откликов, оставшихся после исключения выбросов | 11 | 11 |
Минимальное значение | -32,91 | -30,74 |
Максимальное значение | -30,17 | -28,27 |
Среднее значение | -31,75 | -29,54 |
Повторяемость | 0,13 | 0,04 |
Стандартное отклонение повторяемости Sr | 0,36 | 0,19 |
Предел повторяемости r,  | 1,03 | 0,55 |
Воспроизводимость | 0,57 | 0,37 |
Стандартное отклонение воспроизводимости SR | 0,76 | 0,61 |
Предел воспроизводимости R,  | 2,14 | 1,72 |
е) Характеристики точности метода при измерении этанола (повторяемость и воспроизводимость) приведены в
таблице 18.
Наименование характеристики | Вино А | Вино Б |
Количество лабораторий | 12 | 12 |
Количество откликов | 11 | 12 |
Количество откликов, оставшихся после исключения выбросов | 10 | 12 |
Минимальное значение | -27,85 | -27,60 |
Максимальное значение | -26,50 | -26,06 |
Среднее значение | -27,21 | -26,82 |
Повторяемость | 0,03 | 0,03 |
Стандартное отклонение повторяемости Sr | 0,16 | 0,17 |
Предел повторяемости r,  | 0,47 | 0,47 |
Воспроизводимость | 0,16 | 0,23 |
Стандартное отклонение воспроизводимости SR | 0,40 | 0,47 |
Предел воспроизводимости R,  | 1,14 | 1,34 |
5.1.7 Метод определения отношений изотопов углерода 13C/12C в глицерине вина с помощью газовой хроматографии или высокоэффективной жидкостной хроматографии в комбинации с масс-спектрометрией
5.1.7.1 Настоящий метод предусматривает применение ГХ или ВЭЖХ в комбинации с масс-спектрометрией (ГХ-IRMS, ВЭЖХ-IRMS) для измерения отношения изотопов углерода 13C/12C в глицерине. При применении ГХ с изотопным масс-спектрометрическим детектированием определение количества аналита может быть совмещено с измерением в нем отношения изотопов углерода 13C/12C. Использование 1,5-пентандиола в качестве внутреннего стандарта обеспечивает определение концентрации глицерина с одновременным анализом в нем отношения изотопов углерода 13C/12C.
5.1.7.2 Сокращения и определения
13C/12C - отношение изотопов углерода 13C и 12C в исследуемой пробе.

- содержание изотопа углерода
13C, выраженное в промилле (одной тысячной доле),

.
ГХ-IRMS - метод газовой хроматографии, реализованный в приборной комбинации газового хроматографа, устройства (интерфейса) для сжигания пробы и масс-спектрометра для измерения отношений стабильных изотопов легких элементов.
V-PDB - PDB является первичным международным стандартным образцом, содержащим карбонат кальция из ископаемого ракушечника. Изотопный состав углерода 13C/12C в данном стандартном образце составляет RPDB = 0,0112372.
5.1.7.3 Сущность метода
Существенная разница в содержании изотопа углерода 13C в сахарах растений обуславливается различиями в двух путях фотосинтеза - путь C3 (цикл Кальвина) и путь C4 (цикл Хэтча - Слека). Большинство растений, среди которых виноград и сахарная свекла, относятся к растениям так называемой группы C3.
Кукуруза и сахарный тростник принадлежат к растениям группы C4. Содержание изотопа углерода 13C сахаров и соответствующих метаболитов, образующихся при брожении (этанол, глицерин) коррелируют друг с другом.
Измерение содержания изотопа углерода 13C может обеспечить возможность выявления добавления в вина или спиртные напитки глицерина из кукурузы (растения группы C4) или синтетического глицерина, получаемого из ископаемых источников. Выделение глицерина из матрицы вина обеспечивается применением газовой или жидкостной хроматографии.
В ГХ-IRMS варианте аналит после хроматографического разделения подвергают окислительно-восстановительному преобразованию (сжиганию) в окислительном и восстановительном реакторах устройства. Иные компоненты пробы, исключая глицерин, например растворитель, удаляют в атмосферу через специальную систему вентилей, которой оснащено устройство, что позволяет предотвратить загрязнение реакторов и появление помех в хроматограммах. Содержание изотопа углерода 13C определяют путем измерения диоксида углерода, который образуется при сжигании глицерина, содержащегося в пробе. При окислении глицерина кроме диоксида углерода CO2 образуется вода H2O, которую удаляют через специальную ловушку, основным компонентом которой является мембрана <1>. Образовавшийся диоксид углерода в потоке гелия направляют для измерения отношения изотопов углерода 13C/12C в ионный источник масс-спектрометра IRMS.
--------------------------------
<1> Например, мембрана

. Данная информация приведена для удобства пользователей настоящего стандарта и не исключает возможности использования мембраны с аналогичными характеристиками.
В ВЭЖХ-IRMS варианте аналит после хроматографического разделения подвергают окислению непосредственно в подвижной фазе устройства. Образующийся диоксид углерода CO2 переводят в режиме оперативного времени из потока растворителя через газообменную мембрану в поток гелия He. Как и в варианте ГХ-IRMS, поток гелия для удаления из него воды проходит через мембранную ловушку, затем через открытый делитель потока (open-split) направляется в ионный источник масс-спектрометра IRMS.
Распределение основных изотопомеров диоксида углерода с массами 44 (
12CO
2), 45 (
13C
16O
2,
12C
17O
16O) и 46 (
12C
16O
18O), результирующими из различных комбинаций изотопов кислорода и углерода
18O,
17O,
16O,
13C и
12C, исследуется путем измерения ионных токов тремя разными коллекторами масс-спектрометра. Вкладами в интенсивность сигнала изотопомеров
13C
17O
16O и
12C
17O
2 в некоторых случаях можно пренебречь ввиду их незначительного присутствия. Ионный ток по массе
m/
z = 45 подлежит корректировке из вклада в интенсивность сигнала изотопомера
12C
17O
16O, которая осуществляется в соответствии с интенсивностью сигнала по массе
m/
z = 46 и с учетом относительного распространения изотопов кислорода
18O и
17O (т.н. корректировка по Крейгу). Сравнение результата измерения с калиброванным стандартным образцом и международным стандартным образцом V-PDB позволяет рассчитать содержание изотопа углерода
13C по относительной шкале показателя

.
5.1.7.4 Реактивы, рабочие стандартные образцы
а) Безводный этанол (CAS 64-17-5).
б) Глицерин для анализа >= 99% (CAS 56-81-5).
в) 1,5-Пентандиол (CAS 111-29-5).
г) Раствор 1,5-пентандиола [см.
5.1.7.4в)] в этаноле
[5.1.7.4а)]. Раствор готовят в концентрации, которая должна находиться в интервале от 0,5 до 1,0 г/дм
3. Раствор используют для разбавления исследуемых образцов вина.
д) Ортофосфорная кислота.
е) Окислитель - пероксидсульфат натрия.
ж) Газ-носитель - гелий для анализа (CAS 07440-59).
и) Регенерирующий газ для окислительного реактора - кислород для анализа (CAS 07782-44-7).
к) Вторичный (рабочий) стандартный образец, содержащий изотоп углерода
13C - диоксид углерода для анализа (CAS 00124-38-9).
л) Рабочий стандартный образец глицерина с установленным изотопным составом углерода 13C/12C, калиброванным относительно международного стандартного образца.
м) Рабочий стандартный образец 1,5-пентандиола с установленным изотопным составом углерода 13C/12C, калиброванным относительно международного стандартного образца.
5.1.7.5 Аппаратура
Масс-спектрометр IRMS для измерения отношений изотопов, позволяющий определять относительное содержание изотопа углерода
13C в диоксиде углерода CO
2 с внутренней точностью измерения

или относительным значением, выраженным согласно
5.1.7.8. При этом значение внутренней точности устанавливают как разницу между двумя параллельными измерениями одной и той же пробы диоксида углерода CO
2. Масс-спектрометр, обычно используемый для определения изотопного состава диоксида углерода CO
2, как правило, оснащен тройным коллектором для одновременного измерения ионных токов молекул с массами
m/
z = 44, 45 и 46. Для регистрации измеряемых значений и расчета результатов используют программное обеспечение, которым оснащен масс-спектрометр.
Используют газовый хроматограф, совмещенный с устройством для сжигания пробы и масс-спектрометром для измерения отношения стабильных изотопов [см.
5.1.7.5а)].
Газовый хроматограф должен быть оснащен полярной капиллярной колонкой <1>, обеспечивающей хроматографическое отделение глицерина от других компонентов вина.
--------------------------------
<1> Например, колонка Chrompack WCOT из плавленого кварца с неподвижной фазой - полиэтиленгликолем CP-Wax-57 CB, длиной 25 м, внутренним диаметром 0,25 мм и толщиной неподвижной фазы 0,20 мкм. Данная информация приведена для удобства пользователей настоящего стандарта и не исключает возможности использования другой колонки с аналогичными характеристиками.
Устройство (интерфейс) для сжигания пробы должно (должен) состоять из окислительного реактора (керамическая трубка с внутренним проволочным катализатором из никеля, платины и меди) и восстановительного реактора (керамическая трубка с внутренним проволочным катализатором из меди).
в) Жидкостный хроматограф
Используют жидкостный хроматограф <2>, совмещенный с масс-спектрометром для измерения отношения стабильных изотопов [см.
5.1.7.5а)] через устройство (интерфейс) для окислительного преобразования пробы.
--------------------------------
<2> Например, LC Isolink. Данная информация приведена для удобства пользователей настоящего стандарта и не исключает возможности использования другого хроматографа с аналогичными характеристиками.
Жидкостный хроматограф должен быть оснащен колонкой <3>, обеспечивающей хроматографическое отделение глицерина от других компонентов вина без использования органических растворителей или добавок.
--------------------------------
<3> Например, колонка HyperRez carbohydrate H+ длиной 30 см, диаметром 8 мм. Данная информация приведена для удобства пользователей настоящего стандарта и не исключает возможности использования другой колонки с аналогичными характеристиками.
Устройство (интерфейс) для окислительного преобразования пробы должно(ен) быть оснащено (оснащен) окислительным реактором и мембранным обменником (три мембраны).
г) Оборудование
Используют оборудование общелабораторного назначения, в том числе:
- микрошприц для ввода проб или автоматический податчик проб;
- мерные колбы;
- мембранные фильтры с диаметром пор 0,2 мкм;
- хроматографические флаконы для проб;
- микрошприц вместимостью 10 мм3 для жидкостей.
Перечисленное оборудование указано в качестве примера. При исследовании может быть использовано другое оборудование со схожими характеристиками.
5.1.7.6 Подготовка проб
а) Исследование изотопного состава углерода
13C/
12C в глицерине в инструментальном варианте ГХ-IRMS
Каждый образец вина
<4> фильтруют через мембранный фильтр с диаметром пор 0,2 мкм. Аликвоту разбавляют этанолом в соотношении 1:4. Пробу переносят в соответствующий хроматографический флакон, который плотно укупоривают и хранят до анализа при температуре не выше 4 °C.
б) Исследование изотопного состава углерода
13C/
12C в глицерине с одновременным определением его количества в пробе в инструментальном варианте ГХ-IRMS
Каждый образец вина
<4> фильтруют через мембранный фильтр с диаметром пор 0,2 мкм. Аликвоту разбавляют раствором 1,5-пентандиола в этаноле в соотношении 1:4
(5.1.7.4). Пробу переносят в соответствующий хроматографический флакон, который плотно укупоривают и хранят до анализа при температуре не выше 4 °C.
в) Исследование изотопного состава углерода
13C/
12C в глицерине в инструментальном варианте ВЭЖХ-IRMS
Каждый образец вина
<4> фильтруют через мембранный фильтр с диаметром пор 0,2 мкм. Аликвоту разбавляют водой в соотношении 1:4. Пробу переносят в соответствующий хроматографический флакон, который плотно укупоривают и хранят до анализа при температуре не выше 4 °C.
--------------------------------
<4> Или спиртного напитка.
5.1.7.7 Проведение исследования
а) ГХ-IRMS вариант
Нижеследующее описание относится к общей процедуре исследования отношения изотопов углерода 13C/12C в глицерине, которая может быть реализована с использованием коммерчески доступных автоматизированных ГХ-IRMS-систем.
Процедура может быть адаптирована и изменена в соответствии с рекомендациями изготовителей конкретных инструментальных систем.
Примечание - Указанные объемы, температура, потоки и длительность являются примерами. Корректные значения должны быть установлены и оптимизированы в соответствии с указаниями изготовителей оборудования.
При использовании колонки и устройства для сжигания пробы, приведенных в
5.1.7.5б), действуют следующие параметры:
- температура инжектора - 270 °C;
- температурная программа - начальная температура колонки 120 °C, выдержка 2 мин. Затем повышают температуру со скоростью 10 °C/мин до уровня 220 °C с окончательной выдержкой в течение 2 мин. Длительность одного анализа составляет 14 мин (без учета времени на охлаждение оборудования);
- гелий (He) используют в качестве газа носителя;
- температура окислительного и восстановительного реакторов в устройстве для сжигания - 960 °C и 640 °C;
- введение в колонку хроматографа пробу в объеме 0,3 мм3, используя режим деления потока со скоростью 120 см3/мин.
Через регулярные временные интервалы (как правило, один раз в неделю) проводят регенерацию окислительного реактора путем подачи в него чистого кислорода O2 (периодичность и длительность регенерации зависят от количества проб, преобразованных в реакторе).
2) Изотопный состав углерода
13C/
12C в глицерине
Во время измерения изотопов углерода
13C/
12C в системе генерируют как минимум два импульса рабочего стандартного образца - чистого диоксида углерода CO
2 [см.
5.1.7.4к)]. Этот образец предварительно калибруют относительно международных стандартных образцов V-PDB, в свою очередь калиброванных относительно стандартных образцов МАГАТЭ. Рабочий стандартный образец диоксида углерода может быть также калиброван относительно внутрилабораторных стандартных образцов.
Каждый образец вина
[5.1.7.6а)] исследуют в трех повторностях. В каждой серии проб должны быть предусмотрены пробы со стандартными образцами.
Типичную серию проб составляют следующим образом:
- контрольная проба;
- контрольная проба;
- проба 1;
- проба 1;
- проба 1;
- проба 2.
...
Каждую пробу измеряют в трех повторностях.
...
- проба 6;
- проба 6;
- проба 6;
- контрольная проба;
- контрольная проба.
В качестве контрольной пробы используют спиртовой раствор глицерина с установленным значением показателя

, измеренным, например, с применением элементного анализатора. Контрольная проба обеспечивает корректировку возможного дрифта значений в ходе измерения серии проб.
3) Изотопный состав углерода
13C/
12C в глицерине и его количественное определение
Если необходимо количественно определить глицерин одновременно с измерением в нем изотопного состава углерода
13C/
12C, применяют вышеописанную процедуру [см.
5.1.7.7а)2)] в отношении проб, подготовленных согласно
5.1.7.6б).
1,5-Пентандиол как внутренний стандарт обеспечивает количественное определение концентрации глицерина. Значения показателя

для внутреннего стандарта могут быть использованы для корректировки результатов анализа и контроля качества измерений как изотопного состава, так и реакций окислительно-восстановительного преобразования пробы. Концентрацию глицерина в образце вина определяют способом внутреннего стандарта. Для этого, используя раствор 1,5-пентандиола установленных концентраций и раствор глицерина пяти концентраций в интервале от 0,50 до 1,0 г/дм
3, строят калибровочный график. Эти растворы готовят взвешиванием и растворением глицерина [см.
5.1.7.4б)] и 1,5-пентандиола в этаноле [см.
5.1.7.4а)] в мерных колбах. Должен быть подтвержден линейный отклик измеренных в ходе анализа значений при исследовании проб в трех повторностях согласно построенной линейной зависимости для растворов, содержащих внутренний стандарт.
б) Вариант ВЭЖХ-IRMS
Нижеследующее описание относится к общей процедуре исследования отношения изотопов углерода 13C/12C в глицерине, которая может быть реализована с использованием коммерчески доступных автоматизированных систем ВЭЖХ-IRMS.
Процедура может быть адаптирована и изменена в соответствии с рекомендациями изготовителей конкретных инструментальных систем.
Примечание - Указанные объемы, температура, потоки и длительность являются примерами. Корректные значения должны быть установлены и оптимизированы в соответствии с указаниями изготовителей оборудования.
1) Рабочие условия
При использовании колонки и устройства для сжигания пробы, приведенных в
5.1.7.5в), действуют следующие параметры:
- скорость потока элюента - 400 мм3/мин;
- скорость потоков кислоты и окислителя в LC-устройстве - 40 и 30 мм3/мин соответственно;
- температура реактора и колонки - 99,9 °C и 65 °C соответственно;
- скорость потока гелия при разделении - 1 мм3/мин.
Емкости с реагентами дегазируют гелием во время всего хроматографического анализа.
2) Изотопный состав углерода 13C/12C в глицерине
Во время измерения изотопов углерода
13C/
12C в системе генерируют как минимум два импульса рабочего стандартного образца - чистого диоксида углерода CO
2 (пример хроматограммы приведен на
рисунке 2). Этот образец предварительно калибруют относительно международных стандартных образцов V-PDB, в свою очередь калиброванных относительно стандартных образцов МАГАТЭ. Рабочий стандартный образец диоксида углерода может быть также калиброван относительно внутрилабораторных стандартных образцов.
Каждый образец вина [см.
5.1.7.6в)] исследуют в трех повторностях. В каждой серии проб должны быть предусмотрены пробы со стандартными образцами.
Типичную серию проб составляют следующим образом:
- контрольная проба;
- контрольная проба;
- проба 1;
- проба 1;
- проба 1;
- проба 2.
...
Каждую пробу измеряют в трех повторностях.
...
- проба 6;
- проба 6;
- проба 6;
- контрольная проба;
- контрольная проба.
В качестве контрольной пробы используют спиртовой раствор глицерина с установленным значением показателя

, измеренным, например, с применением элементного анализатора. Контрольная проба обеспечивает корректировку возможного дрифта значений в ходе измерения серии проб.
5.1.7.8 Расчет и выражение результатов
а) Значение изотопного состава углерода 13C/12C может быть выражено относительно рабочего стандартного образца.
Содержание изотопа углерода
13C (как показатель

) рассчитывают по шкале

в виде тысячной доли в сравнении значений, полученных для исследуемой пробы, и значений для стандартного образца, предварительно калиброванного относительно первичного международного стандартного образца (V-PDB). Во время измерения изотопов
13C/
12C в систему вводят стандартный образец диоксида углерода CO
2, калиброванный относительно международного стандартного образца, который в свою очередь калиброван относительно стандартного образца PDB.
Значения

в сравнении со значением показателя для пробы, измеренным относительно рабочего стандартного образца,

, вычисляют по формуле

, (4)
где Rпр - отношение изотопов углерода 13C/12C в пробе;
Rстан - отношение изотопов углерода 13C/12C в стандартном образце.
С учетом международного стандартного образца V-PDB корректировку значения проводят по
формуле (2).
Незначительные различия между измеренными значениями проб могут наблюдаться при измерениях в режиме реального времени по причине изменений характеристик инструментального оборудования. В этом случае значение показателя

должно быть скорректировано в соответствии с разницей между измеренным значением показателя

и его паспортным значением, которое должно быть получено калибровкой относительно первичного международного стандартного образца V-PDB. Вариации двух измерений рабочего стандартного образца и применяемая корректировка результатов измерения пробы подчиняются линейной зависимости. Рабочий стандартный образец должен быть исследован в начале и конце измерений каждой серии проб. Таким образом, корректировка может быть рассчитана путем линейной интерполяции между двумя значениями (разница между паспортным значением рабочего стандартного образца и измеренным значением этого образца).
б) Определение концентрации глицерина в варианте ГХ-IRMS
При построении калибровочного графика и каждом вводе пробы, измеряемым параметром, принимаемым во внимание, является площадь пика
S (выражена в
V·
s), регистрируемая на спектрометре. Вычисляют отношение
R по
формуле (5) и строят графическую зависимость
R от соотношения
C концентраций глицерина и внутреннего стандарта
IS. Должен быть получен график линейной зависимости с коэффициентом корреляции не менее 0,99.

. (5)
При условиях анализа, описанных в [см.
5.1.7.7а)1)], 1,5-пентандиол (время ретенции примерно 310 с) проявляет меньшую полярность, чем глицерин (время ретенции 460 с). Пример хроматограммы приведен на
рисунке 2.
Концентрацию глицерина в каждой пробе Cглиц/(пр), г/дм3, введенной в колонку хроматографа, вычисляют по формуле

, (6)
где K - фактор отклика, который вычисляют по формуле;
C1,5ПД(пр) - концентрация внутреннего стандарта в пробе, г/дм3;
Sглиц(пр) - площадь пика глицерина в пробе;
S1,5ПД(пр) - площадь пика внутреннего стандарта в пробе;

, (7)
где Cглиц(стан) - концентрация стандартного раствора глицерина, г/дм3;
C1,5ПД(стан) - концентрация раствора внутреннего стандарта, г/дм3;
S1,5ПД(стан) - площадь пика внутреннего стандарта;
Sглиц(стан) - площадь пика глицерина в стандартном растворе.
Обозначение "(стан)" относится к концентрациям и площадям пиков 1,5-пентандиола и глицерина в пяти стандартных растворах, приготовленных для калибровки [см.
5.1.7.7а)3)].
Фактор разбавления относится к этапу подготовки проб, описанных в
5.1.7.7. В этом случае фактор разбавления равен 4.
Значение концентрации, г/дм3, для каждой пробы является средним арифметическим значением трех параллельных определений.
5.1.7.9 Обеспечение качества исследования и контроль
а) Вариант ГХ-IRMS
Для каждой пробы контролируют значение стандартного отклонения (
SD), которое в трех измерениях не должно превышать уровня

. За окончательный результат принимают среднее арифметическое значение, рассчитанное по результатам трех измерений. Если отклонение между результатами превышает

, измерение повторяют.
Контроль качества измерений может быть основан на регистрации интенсивности ионного тока по массе m/z = 44, которая должна быть пропорциональна количеству углерода в пробе, внесенной в элементный анализатор. В стандартных условиях измерения интенсивность ионного тока должна оставаться постоянной для всех анализируемых проб. Значительные отклонения могут указывать на недостаточный уровень хроматографического выделения или на окисление глицерина, а также на нестабильную работу элементного анализатора/масс-спектрометра.
б) Вариант ВЭЖХ-IRMS
Контролируют значение по изотопу углерода
13C для рабочего стандартного образца, которое не должно быть более чем на

в сравнении с паспортным значением. В противном случае проверяют настройку спектрометра.
Для каждой пробы контролируют значение стандартного отклонения (
SD), которое в трех измерениях не должно превышать уровня

. За окончательный результат принимают среднее арифметическое значение, рассчитанное по результатам трех измерений. Если отклонение между результатами превышает

, измерение повторяют.
Контроль качества измерений может быть основан на регистрации интенсивности ионного тока по массе m/z = 44, которая должна быть пропорциональна количеству углерода в пробе, внесенной в элементный анализатор. В стандартных условиях измерения интенсивность ионного тока должна оставаться постоянной для всех анализируемых проб. Значительные отклонения могут указывать на недостаточный уровень хроматографического выделения или на окисление глицерина, а также на нестабильную работу элементного анализатора/масс-спектрометра.
5.1.7.10 Характеристики точности метода (прецизионность)
а) Вариант ГХ-IRMS
1) Прецизионность
Предварительные исследования проведены на четырех модельных растворах "вина" (вода - этанол - глицерин), для приготовления которых использован глицерин различного происхождения с установленными значениями показателя

, измеренными, например, с помощью элементного анализатора (EA) в комбинации с масс-спектрометром IRMS (метод EA-IRMS). Для трех параллельных определений (
n = 3) и при использовании инструментального варианта ГХ-IRMS стандартное отклонение

считается приемлемым. При исследовании сладких вин на прецизионность может повлиять перекрытие пика 1,5-пентандиола и пиков других компонентов вина или побочных продуктов.
2) Определение концентрации глицерина
Для подтверждения характеристик этого метода использованы два раствора глицерина. С учетом того, что типичные концентрации глицерина в сухих винах лежат в интервале от 4 до 10 г/дм3, два раствора глицерина приготовлены в соответствии с данным интервалом. Концентрация первого раствора составила 4,0 г/дм3, а значение, измеренное в эксперименте, 3,6 г/дм3 (SD = 0,2, n = 8); во втором растворе концентрация соответственно 8,0 и 7,9 г/дм3 (SD = 0,3, n = 8).
В дальнейшем в исследовании использованы пять образцов вина (A - E), в которых в рамках теста BIPEA по оценке компетентности лабораторий другими методами определена концентрация глицерина (см.
таблицу 19).
Таблица 19
Сравнение концентраций глицерина в пяти образцах
упакованного вина
Образец | A | B | C | D | E |
Тип | Белое | Розовое | Белое | Красное | Белое |
Заданный интервал | 6,2 - 8,4 | 4,8 - 6,6 | 5,7 - 7,7 | 6,3 - 8,5 | 4,6 - 6,2 |
Среднее значение | 7,3 | 5,4 | 6,7 | 7,4 | 5,4 |
Значение, определенное в варианте ГХ-IRMS | 6,4 | 5,4 | 6,7 | 7,8 | 5,4 |
Примечания
1 Определение концентраций глицерина в тесте BIPEA проведено с использованием метода ВЭЖХ и (или) ферментативного анализа.
2 Указанные концентрации выражены в граммах на кубический дециметр (n > 3, SD < 0,6).
б) Вариант ВЭЖХ-IRMS
Для подтверждения характеристик метода в инструментальном варианте ВЭЖХ-IRMS использованы следующие образцы:
- стандартный образец глицерина;
- три модельных образца вина с типичными концентрациями глицерина, характерными для натурального вина;
- образец вина.
Прецизионность определения глицерина установлена путем десятикратного измерения каждой пробы в воспроизводимых условиях, а также путем проведения десяти независимых анализов одной и той же пробы в воспроизводимых условиях в течение трех произвольно выбранных дней (см.
таблицу 20).
Таблица 20
Точность и прецизионность измерений значения

для глицерина в инструментальном варианте ВЭЖХ-IRMS
План проведения измерений | ВЭЖХ-IRMS |
День 1 | День 2 | День 3 | Характеристики точности (прецизионность) |
Образец | Количество повторных определений для одного образца | Среднее значение  | SD,  | Среднее значение  | SD,  | Среднее значение  | SD,  | r,  | R,  |
Стандартный образец глицерина <*> | 10 | -27,99 | 0,05 | -27,94 | 0,04 | -27,95 | 0,08 | 0,17 | 0,18 |
Модельный образец вина (глицерин 6 г/дм3) | 10 | -28,06 | 0,13 | -28,14 | 0,12 | -28,14 | 0,11 | 0,34 | 0,35 |
Модельный образец вина (глицерин 8 г/дм3) | 10 | -28,11 | 0,12 | -28,18 | 0,07 | -28,21 | 0,07 | 0,25 | 0,28 |
Модельный образец вина (глицерин 10 г/дм3) | 10 | -28,06 | 0,06 | -28,06 | 0,09 | -28,05 | 0,09 | 0,23 | 0,24 |
Вино | 10 | -28,88 | 0,10 | -28,85 | 0,27 | -28,72 | 0,23 | 0,60 | 0,62 |
<*> Значение показателя  для стандартного образца глицерина получено методом EA-IRMS и составляет -  . |
При исследовании показателя

глицерина в одном образце вина получены характеристики точности метода:
- повторяемость

;
- воспроизводимость

.
5.1.7.11 Типичная хроматограмма ГХ-IRMS анализа глицерина в вине приведена на
рисунке 2.
Рисунок 2 - Типичная хроматограмма ГХ-IRMS анализа
глицерина в вине
5.1.7.12 Типичная хроматограмма ВЭЖХ-IRMS анализа глицерина приведена на
рисунке 3.
Рисунок 3 - Типичная хроматограмма
HPLC-IRMS анализа глицерина
5.1.8 Масс-спектрометрический метод определения отношений изотопов кислорода 18O/16O в воде вина и сусла
5.1.8.1 Метод предназначен для определения изотопного состава кислорода 18O/16O в воде вина и сусла с использованием уравновешивания с диоксидом углерода CO2 и масс-спектрометрического измерения отношения изотопов (IRMS).
5.1.8.2 Стандартные образцы
V-SMOW - международный стандартный образец воды
<1> с установленным изотопным составом кислорода Vienna-Standard Mean Ocean Water (
18O/
16O = R
V-SMOW = 0,0020052).
GISP - международный стандартный образец воды
<1> с установленным изотопным составом кислорода Greenland Ice Sheet Precipitation.
SLAP - международный стандартный образец воды
<1> с установленным изотопным составом кислорода Standard Light Antarctic Precipitation.
--------------------------------
<1> Допускается применение иных международных стандартных образцов, соответствующих цели исследования и предлагаемых МАГАТЭ.
5.1.8.3 Сокращения
18O/16O - отношение изотопов кислорода 18O и 16O в исследуемой пробе.

- относительный показатель для выражения результата измерения изотопного состава кислорода
18O и
16O в исследуемой пробе. Значение показателя

, измеренное относительно международного стандартного образца V-SMOW, вычисляют по формуле

, (8)
где (
18O/
16O)
пр - измеренное значение изотопного состава кислорода в пробе,

;
(
18O/
16O)
стан - измеренное значение изотопного состава кислорода в стандартном образце,

;
1000 - расчетный фактор.
BCR - Официальное бюро стандартных образцов Европейского союза.
IAEA - Международное агентство по атомной энергии (Вена, Австрия).
IRMM - Институт стандартных образцов и измерений.
IRMS - масс-спектрометрия отношений стабильных изотопов легких элементов.
m/z - отношение массы к заряду.
NIST - Национальный институт стандартов и технологий.
RM - стандартный образец.
5.1.8.4 Сущность метода
Метод основан на уравновешивании изотопов кислорода воды, содержащейся в вине или сусле, со стандартным газом - диоксидом углерода CO2, протекающем в соответствии со следующим уравнением реакции изотопного обмена

. (9)
После завершения реакции изотопного обмена диоксид углерода CO2, находящийся в газовой фазе, используют для проведения масс-спектрометрического измерения, по результатам которого вычисляют значение изотопного состава кислорода 18O/16O в воде пробы.
5.1.8.5 Реактивы и материалы
Реактивы и расходные материалы зависят от технической конфигурации оборудования, используемого для измерения (см.
5.1.8.6). Большинство аппаратных систем основаны на принципе изотопного уравновешивания воды вина или сусла с диоксидом углерода CO
2. Могут быть использованы международные стандартные образцы, рабочие стандартные образцы и расходные материалы, в частности первичные стандартные образцы, приведенные в
таблице 21.
а) Первичные стандартные образцы
--------------------------------
<1> Допускается использовать международные стандартные образцы воды и других материалов, предлагаемые в настоящее время IAEA и BCR.
Обозначение | Организация-поставщик | Значение  |
V-SMOW, RM 8535 | IAEA/NIST | 0,00 |
BCR-659 | IRMM | -7,18 |
GISP, RM 8536 | IAEA/NIST | -24,78 |
SLAP, RM 8537 | IAEA/NIST | -55,5 |
б) Рабочие стандартные образцы
Используют следующие рабочие стандартные образцы:
- диоксид углерода CO2 в качестве вторичного стандартного газа для проведения измерения (CAS 00124-38-9);
- диоксид углерода CO2 для проведения изотопного уравновешивания (в зависимости от аппаратной конфигурации допускается использовать или диоксид углерода как вторичный стандартный газ, указанный выше, или диоксид углерода, входящий в состав газовой смеси с гелием);
- рабочие стандартные образцы воды с установленными значениями изотопного состава кислорода

относительно первичных международных стандартных образцов;
- гелий для анализа (CAS 07440-59-7).
а) Масс-спектрометр для измерения отношений стабильных изотопов легких элементов (IRMS)
Масс-спектрометр должен обеспечивать определение относительного содержания изотопа кислорода
18O в газообразном диоксиде углерода CO
2 со значением внутренней точности, которое не превышает

. При этом значение внутренней точности устанавливают как разницу между двумя параллельными измерениями одной и той же пробы диоксида углерода CO
2. Масс-спектрометр, обычно используемый для определения изотопного состава диоксида углерода CO
2, как правило, оснащен тройным коллектором для одновременного измерения ионных токов молекул с массами:
- m/z = 44 (12C16O18O);
- m/z = 45 (13C16O16O и 2C17O16O);
- m/z = 46 (12C16O18O, 12C17O17O и 12C17O16O).
Путем измерения интенсивности соответствующих сигналов определяют отношение изотопов кислорода 18O/16O из отношения интенсивности сигналов с m/z = 46 и m/z = 44 с корректировкой сигналов изобаров (12C17O17O и 12C17O16O), чей вклад может быть учтен путем измерения интенсивности сигнала с m/z = 45 и количественными значениями по обычному распространению изотопов углерода 13C и кислорода 17O в природе.
Масс-спектрометр, используемый в измерении, должен быть оснащен:
- или двойной системой напуска для измерения неизвестной пробы и стандартного образца;
- или системой для непрерывных измерений в потоке гелия, которая количественно подает в масс-спектрометр диоксид углерода CO2 из флаконов с пробой после завершения реакции изотопного уравновешивания со вторичным стандартным газом CO2.
б) Лабораторное оборудование и материалы
Используемое лабораторное оборудование должно удовлетворять требованиям метода, а также эксплуатироваться в соответствии с указаниями изготовителей. Применяют следующее оборудование или оборудование с аналогичными характеристиками:
- флаконы с герметичной укупоркой для проведения реакции изотопного уравновешивания в соответствующей аппаратной конфигурации;
- дозаторы с наконечниками соответствующей вместимости для дозирования жидких проб;
- воздушная или жидкостная система для термостатирования флаконов с пробами для проведения изотопного уравновешивания при постоянной температуре с точностью контроля +/- 1 °C;
- вакуумный насос (если необходим для используемой аппаратной конфигурации);
- автоматический податчик проб (если необходим для используемой аппаратной конфигурации);
- газовая хроматографическая система с соответствующей колонкой для выделения CO2 из газовой фазы после завершения реакции изотопного обмена (если необходима для используемой аппаратной конфигурации);
- устройство для удаления воды из газовой фазы (например, криоловушка, селективная мембрана или др.).
5.1.8.7 Отбор проб
Вино и сусло, а также стандартные образцы используют в определении без предварительной подготовки. При наличии признаков брожения в образцы добавляют бензойную кислоту (или другое вещество со схожим консервирующим действием) или фильтруют через мембранный фильтр с диаметром пор 0,22 мкм.
Предпочтительно, если при проведении определения стандартные образцы, используемые для калибровки, измеряют в начале и в конце измерения одной серии проб, а также после измерения каждой десятой пробы.
5.1.8.8 Проведение исследования
Общая процедура исследования предусматривает определение отношения изотопов кислорода 18O/16O путем предварительного изотопного уравновешивания пробы воды с диоксидом углерода CO2, используемым в качестве рабочего стандартного вещества, с последующим масс-спектрометрическим измерением (IRMS). Эта процедура может быть модифицирована в соответствии с характеристиками аналитического оборудования и условиями его эксплуатации, установленными изготовителем, т.к. для проведения изотопного уравновешивания могут быть использованы устройства, в которых реакция изотопного обмена реализуется в различных условиях. Для исследования может быть использована одна из двух принципиальных технических систем для напуска CO2 в масс-спектрометр после завершения изотопного уравновешивания - система двойного напуска или система для непрерывного измерения в потоке гелия. Представить полное описание данных систем и условий их применения в настоящем методе не представляется возможным.
Примечание - Все значения, приведенные в настоящем методе, для определения объема, температуры, давления и длительности операций являются ориентировочными. Точные значения должны быть установлены согласно требованиям изготовителей оборудования и/или определены экспериментально.
а) Проведение уравновешивания в ручном режиме
Точный объем пробы или стандартного образца с помощью дозатора переносят в емкость, которую помещают в вакуумный манифолд. Манифолд охлаждают до температуры минус 80 °C для замораживания пробы (емкость, снабженная капиллярами не нуждается в охлаждении и замораживании пробы/стандарта). Из манифолда откачивают воздух.
После создания стабильного вакуума емкость с пробой заполняют газообразным диоксидом углерода CO2. Для проведения реакции изотопного обмена каждый манифолд размещают в водяном термостате для выдержки в течение 12 ч (через ночь) при температуре (25 +/- 1) °C. Критическим моментом является поддержание температуры на постоянном уровне до завершения изотопного обмена.
После завершения реакции изотопного обмена диоксид углерода CO2 направляют в зону подачи пробы двойной системы напуска масс-спектрометра. Измерения проводят путем неоднократного сравнения изотопных отношений диоксида углерода CO2, содержащегося в зоне подачи пробы, и стандартного образца - диоксида углерода CO2, находящегося в зоне стандарта системы двойного напуска масс-спектрометра. Подобные измерения продолжают выполнять со всеми пробами, входящими в серию проб, подготовленную для проведения исследования.
б) Применение автоматизированной системы изотопного уравновешивания
Точный объем пробы или стандартного образца с помощью дозатора переносят во флакон, которую(ый) размещают в системе для изотопного уравновешивания. Систему охлаждают до температуры минус 80 °C для замораживания пробы (емкость, снабженная капиллярами не нуждается в охлаждении и замораживании пробы/стандарта). Затем из системы откачивают воздух.
После создания стабильного вакуума флакон с пробой заполняют газообразным диоксидом углерода CO2. Состояние изотопного равновесия достигается в течение 5 ч при выдержке при температуре (22 +/- 1) °C и умеренном перемешивании содержимого флакона. Вместе с тем, длительность изотопного обмена в данных условиях зависит от ряда параметров (например, от геометрии флакона с пробой, температуры, интенсивности перемешивания и др.). В этой связи минимальные затраты времени, необходимые для достижения изотопного равновесия, необходимо установить экспериментально.
После завершения реакции изотопного обмена диоксид углерода CO2 направляют в зону подачи пробы двойной системы напуска масс-спектрометра. Измерения проводят путем неоднократного сравнения изотопных отношений диоксида углерода CO2, содержащегося в зоне подачи пробы, и стандартного образца - диоксида углерода CO2, находящегося в зоне стандарта системы двойного напуска масс-спектрометра. Подобные измерения продолжают выполнять со всеми пробами, входящими в серию проб, подготовленную для проведения исследования.
в) Подготовка в ручном режиме. Реализация изотопного уравновешивания и анализ в автоматизированном режиме в системе двойного напуска масс-спектрометра IRMS
Точный объем пробы или стандартного образца (например, 200 мм
3) с помощью дозатора переносят во флакон. Открытые флаконы с пробами размещают в герметичной емкости, в которую непрерывно подают газообразный диоксид углерода для проведения изотопного обмена [см.
5.1.8.5б)]. По истечении времени, достаточного для полного вытеснения из емкости воздуха, флаконы с пробами герметично укупоривают и размещают в держателе термостатируемого податчика проб. Равновесное состояние достигается в данных условиях в течение 8 ч при температуре 40 °C. После завершения изотопного обмена преобразованный в газовой фазе диоксид углерода CO
2 замораживают, затем переносят в зону подачи пробы системы двойного напуска масс-спектрометра. Измерения проводят путем неоднократного сравнения изотопных отношений диоксида углерода CO
2, содержащегося в зоне подачи пробы, и стандартного образца - диоксида углерода CO
2, находящегося в зоне стандарта системы двойного напуска масс-спектрометра. Подобные измерения продолжают со всеми пробами, входящими в серию проб, подготовленную для проведения исследования.
г) Применение автоматизированной системы для изотопного уравновешивания в условиях непрерывного потока гелия
Точный объем пробы или стандартного образца с помощью дозатора переносят во флакон. Флаконы с пробами закрывают и размещают в термостатируемом держателе. Используя газовый микрошприц, объем во флаконах с пробами продувают газовой смесью гелия He и диоксида углерода CO2, который остается в газовой фазе внутри флакона и участвует в реакции изотопного обмена. Равновесие достигается в течение как минимум 18 ч при температуре (30 +/- 1) °C.
После завершения реакции изотопного обмена преобразованный диоксид углерода CO2 из газовой фазы подают в непрерывном потоке гелия в ионный источник масс-спектрометра. Стандартный образец - газообразный диоксид углерода CO2, также подают в масс-спектрометр IRMS в потоке гелия.
Измерение проводят в соответствии с требованиями по использованию каждого типа аналитического оборудования.
5.1.8.9 Расчет и выражение результатов
Интенсивности сигналов для масс
m/
z = 44, 45 и 46, измеренные в ходе исследования, регистрируют для каждой пробы и стандартного образца. Количественные данные об отношениях изотопов кислорода
18O/
16O рассчитывают с помощью программного обеспечения, прилагаемого к масс-спектрометрическому оборудованию, в соответствии с принципами, представленными в
5.1.8.6а). В практике рутинных исследований отношения изотопов кислорода
18O/
16O измеряют относительно вторичных (рабочих) стандартных образцов воды, предварительно калиброванных с помощью первичного международного стандарта воды V-SMOW.
Небольшие различия между измеренными значениями проб могут наблюдаться при измерениях в режиме реального времени по причине изменений характеристик инструментального оборудования. В этом случае значение показателя

должно быть скорректировано в соответствии с разницей между измеренным значением показателя

рабочего стандартного образца и его паспортным значением, которое должно быть получено калибровкой относительно первичного международного стандартного образца V-SMOW. Вариации двух измерений рабочего стандартного образца и применяемая корректировка результатов измерения пробы подчиняются линейной зависимости. Рабочий стандартный образец должен быть исследован в начале и конце измерений каждой серии проб. Таким образом, корректировка может быть рассчитана путем линейной интерполяции между двумя значениями (разница между паспортным значением рабочего стандартного образца и измеренным значением этого образца).
Окончательные результаты выражают в виде относительного показателя

. Значение показателя

вычисляют по
формуле (8).
Значение показателя

, вычисляют по формуле

, (10)
где

- измеренное значение изотопного состава кислорода в пробе,

;

- измеренное значение изотопного состава кислорода в стандартном образце V-SMOW,

;

- измеренное значение изотопного состава кислорода в стандартном образце SLAP,

;
55,5 - расчетный фактор [соответствует по своему абсолютному значению принятому по паспорту международного стандартного образца

(см. также
таблицу 20)].
5.1.8.10 Характеристики точности метода (прецизионность)
Повторяемость
r равна

.
Воспроизводимость
R равна

.
| | ИС МЕГАНОРМ: примечание. В официальном тексте документа, видимо, допущена опечатка: п. [6] в Библиографии отсутствует. | |
Результаты межлабораторного эксперимента (см. [6]) по подтверждению характеристик точности метода приведены в
таблице 22.
Характеристика точности метода | Общее среднее значение,  | Стандартное отклонение повторяемости Sr,  | Повторяемость r,  | Стандартное отклонение воспроизводимости SR,  | Воспроизводимость R,  |
Вода: |
образец 1 | -8,20 | 0,068 | 0,19 | 0,171 | 0,48 |
образец 2 | -8,22 | 0,096 | 0,27 | 0,136 | 0,38 |
Вино N 1: |
образец 5 | 6,87 | 0,098 | 0,27 | 0,220 | 0,62 |
образец 8 | 6,02 | 0,074 | 0,21 | 0,167 | 0,47 |
образец 9 | 5,19 | 0,094 | 0,26 | 0,194 | 0,54 |
образец 4 | 3,59 | 0,106 | 0,30 | 0,205 | 0,57 |
Вино N 2: |
образец 3 | -1,54 | 0,065 | 0,18 | 0,165 | 0,46 |
образец 6 | -1,79 | 0,078 | 0,22 | 0,141 | 0,40 |
образец 7 | -2,04 | 0,089 | 0,25 | 0,173 | 0,49 |
образец 10 | -2,61 | 0,103 | 0,29 | 0,200 | 0,56 |
5.1.9 Масс-спектрометрический метод определения отношений изотопов углерода 13C/12C в углекислом газе CO2, растворенном в игристых винах
5.1.9.1 Настоящий метод разработан по соглашению с лабораториями, которые приняли участие в межлабораторном эксперименте, организованном в 2003 - 2004 гг. Международной организацией по виноградарству и виноделию OIV "IRMS-Анализ содержания изотопа углерода 13C в диоксиде углерода игристых вин".
В верхней части бутылки с игристым вином содержится газовая фаза, которая обогащена диоксидом углерода CO2, находящимся в количественном равновесии с углекислым газом, растворенным в жидкой фазе (вине). Диоксид углерода CO2 образуется во время вторичного брожения, индуцируемого добавлением сахаров винограда, сахарной свеклы, сахарного тростника или кукурузы. Вместе с тем, содержание диоксида углерода CO2 в игристых винах может быть увеличено путем их искусственной сатурации промышленным диоксидом углерода CO2.
Данный метод учитывает, описывает основные принципы, обеспечивающие правильное определение содержания изотопа углерода 13C в диоксиде углерода CO2 игристых вин, и представляет обобщенное описание аналитических процедур, используемых в настоящее время, с указанием примеров и отдельных исчерпывающих сведений методических вариантов в режиме отключения и реального времени для проведения исследования.
5.1.9.2 Настоящим методом определяют отношение стабильных изотопов углерода 13C/12C в диоксиде углерода CO2 игристых вин с помощью масс-спектрометрии изотопных отношений (IRMS). Метод описывает ряд аналитических процедур, использование которых ориентировано на имеющиеся инструментальные ресурсы.
5.1.9.3 Сокращения
13C/12C - отношение изотопов углерода 13C и 12C в исследуемой пробе.

- содержание изотопа углерода
13C, выраженное в промилле (одной тысячной доле),

.
PDB <1> - первичный международный стандартный образец, содержащий карбонат кальция из ископаемого ракушечника и используемый для исследования природных вариаций содержания изотопа углерода 13C. Изотопный состав углерода 13C/12C в данном стандартном образце составляет RPDB = 0,0112372.
--------------------------------
<1> Допускается применение иных международных стандартных образцов, соответствующих цели исследования и предлагаемых МАГАТЭ.
m/z - отношение массы молекулы к ее заряду.
Sr - относительное стандартное отклонение повторяемости. Стандартное отклонение результатов измерений соответствует условиям повторяемости, т.е. тем условиям, в которых независимые результаты измерений получают одним методом на идентичной пробе в одной и той же лаборатории одним и тем же оператором с использованием одного и того же оборудования в течение короткого временного интервала.
r - предел повторяемости. Значение, которое с доверительной вероятностью 95% не превышается абсолютной величиной разности между результатами двух измерений, полученными в условиях повторяемости (r = 2,8·Sr).
SR - относительное стандартное отклонение воспроизводимости. Стандартное отклонение результатов измерений соответствует условиям воспроизводимости, т.е. условиям, в которых результаты измерений получают одним методом на идентичной пробе в разных лабораториях разными операторами с использованием разного оборудования.
R - предел воспроизводимости. Значение, которое с доверительной вероятностью 95% не превышается абсолютной величиной разности между результатами двух измерений, полученными в условиях воспроизводимости (r = 2,8·SR).
5.1.9.4 Сущность метода
Классификация растений на две группы C3 и C4 основана на различиях в пути синтеза сахаров. Сахар, синтезируемый в растениях группы C3, к которым относятся виноград и сахарная свекла, характеризуется пониженным содержанием изотопа углерода 13C, в то время как сахар в растениях группы C4, в состав которой входят сахарный тростник и кукуруза, обогащен данным изотопом. Это различие сохраняется также для таких продуктов брожения сахаров, как этанол и диоксид углерода CO2. Содержание изотопа углерода 13C в диоксиде углерода CO2 промышленного происхождения, получаемого сжиганием ископаемого топлива или при термообработке карбонатов, отличается от продуктов из растений групп C3 и C4. В этой связи изотопный состав углерода 13C/12C в диоксиде углерода CO2 игристых вин будет определен типом сахара, использованного для вторичного брожения (растения группы C3 или C4), или изотопным составом добавленного промышленного диоксида углерода CO2.
Результаты исследований содержания изотопа углерода
13C в диоксиде углерода CO
2 игристых вин, проведенных в настоящее время, показали, что при брожении сахаров растений группы C
3 значения показателя

составили от

до

в то время, как брожение сахаров растений группы C
4 привело к образованию диоксида углерода CO
2 с показателем

от

до

. Изотопный состав углерода
13C/
12C в углекислом газе сатурированных вин составил менее

или более

. Таким образом, измерение изотопного состава углерода
13C/
12C в диоксиде углерода игристых вин может быть эффективным способом определения происхождения газа. Распределение основных изотопомеров диоксида углерода с массами 44 (
12CO
2), 45 (
13C
16O
2,
12C
17O
16O) и 46 (
12C
16O
18O), результирующихся из различных комбинаций изотопов кислорода и углерода
18O,
17O,
16O,
13C и
12C, исследуется путем измерения ионных токов тремя разными коллекторами масс-спектрометра. Вкладами в интенсивность сигнала изотопомеров
13C
17O
16O и
12C
17O
2 в некоторых случаях можно пренебречь ввиду их незначительного присутствия. Ионный ток по массе
m/
z = 45 подлежит корректировке из вклада в интенсивность сигнала изотопомера
12C
17O
16O, которая осуществляется в соответствии с интенсивностью сигнала по массе
m/
z = 46 и с учетом относительного распространения изотопов кислорода
18O и
17O (т.н. корректировка по Крейгу). Сравнение результата измерения с калиброванным стандартным образцом и международным стандартным образцом V-PDB позволяет рассчитать содержание изотопа углерода
13C по относительной шкале показателя

.
5.1.9.5 Реактивы и материалы
Реактивы и материалы зависят от типа инструментального оборудования, используемого в лаборатории. Если выделение и очистка проб диоксида углерода CO2 осуществлены с помощью т.н. "криоловушки" при пониженном давлении, то применяют следующие реактивы:
- жидкий азот;
- этанол;
- твердый диоксид углерода CO2 ("сухой лед").
В случае применения для исследования аналитической системы для непрерывных измерений в потоке гелия He (EA-IRMS или GC-IRMS) используют расходные материалы из нижеприведенного списка (другие материалы с аналогичными характеристиками могут заменить любой продукт из этого списка):
- гелий He для анализа (CAS 07440-59-7);
- кислород O для анализа (CAS 07782-44-7);
- диоксид углерода CO2 для анализа для использования в качестве вторичного стандартного образца - газа, содержащего изотоп углерода 13C (CAS 00124-38-9);
- окислитель для реактора системы для сжигания пробы, например оксид меди Cu2O для микроанализа (CAS 1317-38-0);
- сиккатив для удаления воды, которая образуется при сжигании пробы, например перхлорат магния Mg(ClO4)2 для микроанализа (CAS 10034-81-4). Сиккатив не используют при наличии системы EA-IRMS или GC-IRMS, оснащенной криоловушкой для удаления воды;
- в случае системы GC-IRMS капиллярная колонка и устройство для удаления воды на основе мембраны.
В качестве стандартного образца газа в исследовании может быть использован сертифицированный газ или рабочий стандартный образец диоксида углерода CO
2, калиброванный относительно международного стандартного образца с установленным значением показателя

(сертифицированные газы или стандартные образцы). Международные стандартные образцы, которые могут быть использованы для калибровки стандартного образца газа и контроля его калибровки, приведены в
таблице 23.
Обозначение стандартного образца | Материал | Значение показателя  | Поставщик |
IMEP-8-A | Диоксид углерода | -6,40 | Messer Griesheim |
ISO-TOP | Диоксид углерода | -25,7 | Messer Griesheim |
BCR-656 | Этанол | -20,91 | IRMM |
BCR-657 | Глюкоза | -10,76 | IRMM |
SAI-692C | Диоксид углерода | -10,96 | Oztech Trading Corporation (США) |
NBS-22 | Масло | -29,7 | IAEA |
IAEA-CH-6 (ANU) | Сахароза | -10,4 | IAEA |
NBS-18 | Кальцит | -5,1 | IAEA |
NBS-19 | Известняк | 1,95 | IAEA |
FID-Mix | Смесь n-алканов в изооктаноле: | Varian |
C14 | -29,61 |
C15 | -25,51 |
C16 | -33,39 |
5.1.9.6 Аппаратура
Используют обычное оборудование для измерения отношений изотопов углерода, в частности:
- масс-спектрометр IRMS для измерения отношений изотопов (IRMS), позволяющий определять относительное содержание изотопа углерода
13C в диоксиде углерода CO
2 с внутренней точностью измерения

или лучше, выраженном в виде относительного значения

. При этом значение внутренней точности устанавливают как разницу между двумя параллельными измерениями одной и той же пробы диоксида углерода CO
2. Масс-спектрометр, обычно используемый для определения изотопного состава диоксида углерода CO
2, как правило, оснащен тройным коллектором для одновременного измерения ионных токов молекул с массами
m/
z = 44, 45 и 46. Масс-спектрометр должен иметь систему двойного напуска для измерения неизвестной пробы и стандартного образца газа или систему для непрерывного измерения в потоке гелия (CF-IRMS);
- систему для непрерывного измерения в потоке гелия (CF-IRMS) (могут быть использованы различные типы систем <1> с автоматизированным отбором проб газа);
--------------------------------
<1> Например, коммерческие системы CF-IRMS:
- ГХ-IRMS (инструментальная конфигурация, основанная на ГХ и окислительно-восстановительном преобразовании пробы с масс-спектрометрией IRMS);
- EA-IRMS (инструментальная конфигурация, основанная на применении элементного анализатора EA, имеющего технические возможности для работы с жидкими или твердыми пробами).
Данные системы способны выделять, очищать диоксид углерода CO2 и направлять его камеру ионизации масс-спектрометра. Данная информация приведена для удобства пользователей настоящего стандарта и не исключает возможности использования других систем с аналогичными характеристиками.
- систему для подготовки проб IRMS - периферийную систему, которая может быть использована для подготовки проб газа в оперативном режиме, выделения CO2 и его направления в масс-спектрометр для измерения изотопных отношений;
- стеклянную или стальную вакуумную линию, оснащенную криоловушками и соединенную с вакуумным насосом для создания пониженного давления ниже 0,5 Па;
- устройства для отбора проб газа (например, шприцы для отбора проб газа) или разработанные в лаборатории, обеспечивающие отбор аликвоты диоксида углерода CO2 из игристого вина без изотопного фракционирования;
- герметичные флаконы для проб газа, применяемые для использования вместе с автоматическим податчиком проб в системах для непрерывного измерения в потоке гелия He;
- герметичные флаконы для аликвот игристого вина, применяемые для использования с вакуумными линиями и (или) в комбинации с автоматическим податчиком газовых проб в системах для непрерывного измерения в потоке гелия He.
5.1.9.7 Проведение исследования
Настоящий метод включает следующие три основные операции:
- отбор проб газовой смеси, содержащей диоксид углерода CO2;
- выделение и очистка диоксида углерода CO2;
- измерение отношение изотопов углерода 13C/12C.
Указанные операции могут быть реализованы независимо друг от друга путем использования внепоточных систем или могут быть полностью или частично осуществлены в поточных системах. Любая процедура, которая позволяет избежать изотопного фракционирования в пробе диоксида углерода CO
2, может быть использована в настоящем методе в рамках трех вышеуказанных операций. Отдельные примеры частичных процедур, основанных на применении внепоточных и поточных (CF) систем, приведены в
5.1.9.11 -
5.1.9.13.
Приведенное ниже описание относится к тем способам, которые использованы лабораториями во время проведения межлабораторного эксперимента.
а) Способы отбора газовой смеси, содержащей диоксид углерода CO2
1) Отбор газовой пробы из верхней части бутылки осуществляют специальным устройством через бутылочную пробку при комнатной температуре.
2) Или отбор газовой пробы из верхней части бутылки осуществляют после удаления бутылочной пробки и герметичного укупоривания бутылки специальной пробкой, соединенной капилляром с устройством для отбора проб. При этом бутылка с игристым вином перед заменой укупорки должна быть предварительно охлаждена до температуры ниже 0 °C, затем нагрета до комнатной температуры. Аликвоту газа, собранного в устройстве для отбора проб, отбирают специальным газовым микрошприцем и переносят в герметичные флаконы для газовой хроматографии.
3) Или отбор пробы диоксида углерода CO
2 из аликвоты игристого вина производят нижеприведенным образом.
Бутылку с игристым вином предварительно охлаждают до температуры от 4 °C до 5 °C перед удалением пробки. Аликвоту игристого вина переносят в специальный флакон, который подходит для подключения к вакуумной линии или к автоматическому податчику газовых проб.
4) Бутылку предварительно охлаждают до температуры от 4 °C до 5 °C, затем быстро переносят определенный объем жидкости в бутылку и герметично укупоривают ее крышкой с тефлон-силиконовой мембраной. Затем 5,0 см
3 жидкости переносят в другую бутылку вместимостью 10 см
3 и используют в анализе. Если необходимо, флакон должен быть предварительно заполнен гелием He для удаления атмосферного диоксида углерода CO
2.
5) После охлаждения образца бутылку открывают при комнатной температуре с помощью пипетки, от образца отбирают 200 мм
3 жидкости, которую переносят в подходящий флакон. Флакон герметично укупоривают и помещают перед анализом в ультразвуковую баню на 10 мин.
Результаты статистической обработки данных, полученных в межлабораторном эксперименте, в котором использовались способы отбора
(4) и
(5), приведены в
5.1.9.15.
б) Выделение и очистка диоксида углерода CO2
1) Неконденсированные газы и вода, присутствующие в пробе газовой смеси, удаляют в вакуумной линии с использованием криогенных ловушек.
2) Или диоксид углерода CO2 выделяют из пробы газовой смеси и очищают с применением различных поточных систем, соединенных с масс-спектрометром IRMS и работающих в потоке гелия He, или с помощью криогенных ловушек. Некоторые из поточных систем, которые могут быть использованы для этой цели, представлены ниже:
- криогенная ловушка для удаления воды, поточно соединенная с системой непрерывных измерений в потоке гелия He;
- ловушка на основе перхлората магния Mg(ClO4)2 для удаления воды в комбинации с газовым хроматографом;
- газовый хроматограф, соединенный или непосредственно с масс-спектрометром IRMS, или через устройство для сжигания проб.
в) Измерение отношения изотопов углерода 13C/12C
Измерение отношения изотопов углерода 13C/12C в диоксиде углерода CO2, выделенном из игристого вина, проводят с помощью масс-спектрометра IRMS.
5.1.9.8 Расчет и выражение результатов
Значение изотопного состава углерода
13C/
12C в диоксиде углерода CO
2 игристого вина выражают как отклонение от рабочего стандартного образца (показатель

), предварительно калиброванного относительно международного стандартного образца PDB. Этот показатель определяют как относительную разность на 1/1000 между значением отношения изотопов углерода
13C/
12C, полученным для исследуемой пробы, относительно первичного международного стандартного образца PDB. Стандартный образец PDB <1> представляет собой ископаемый карбонат кальция, значение изотопного отношения в котором для углерода составляет
RPDB = 0,0112372. Это значение является эталонной точкой для международной шкалы PDB для значений показателя

, которые выражают в виде тысячной доли - промилле,

.
--------------------------------
<1> Допускается применение иных международных стандартных образцов, соответствующих цели исследования и предлагаемых МАГАТЭ.
Значения

в сравнении с рабочим стандартным образцом вычисляют по
формуле (1). С учетом международного стандартного образца PDB корректировку значения проводят по
формуле (2). Результат записывают с двумя знаками после запятой.
5.1.9.9 Характеристики точности метода (прецизионность)
Детали межлабораторного эксперимента по оценке прецизионности метода приведены в
5.1.9.14 и
5.1.9.15.
а) Повторяемость
Абсолютная разность между двумя отдельными результатами, полученными на идентичной пробе одним оператором на одном и том же оборудовании в течение наименьшего промежутка времени, будет превышать предел повторяемости не более чем в 5% случаев. Принятые средние значения стандартного отклонения повторяемости Sr и предела повторяемости r равны:
-

,

.
-

,

.
б) Воспроизводимость
Абсолютная разность между двумя отдельными результатами, полученными на идентичной пробе в двух разных лабораториях, будет превышать предел воспроизводимости не более чем в 5% случаев. Принятые средние значения стандартного отклонения воспроизводимости SR и предела воспроизводимости R равны:
-

,

.
-

,

.
5.1.9.10 Протокол исследования
Протокол исследования должен содержать следующие данные:
- всю информацию, необходимую для идентификации исследуемого образца;
- ссылку на международный стандартизованный метод анализа;
- описание метода, включая процедуры отбора проб и измерения, а также описание использованной инструментальной системы;
- результаты исследования, единицы измерения, включая данные о значениях отдельных измерений, среднее арифметическое значение, вычисленные согласно
5.1.9.8;
- все отклонения от предписанной процедуры;
- все необычные отклонения, которые наблюдались во время исследования;
- дату исследования;
- наличие значения повторяемости измерений;
- описание процедуры калибровки стандартного образца диоксида углерода CO2, использованного при измерении серий проб.
5.1.9.11 Экспериментальная процедура, основанная на использовании внепоточной системы для отбора проб и измерения (система разработана в лаборатории, используется внепоточная вакуумная линия и масс-спектрометр IRMS с двойным напуском)
а) Аппаратура
Устройство для отбора проб, которое будет использовано для извлечения аликвот газа из бутылки, состоит из полого пуансона (стальной иглы) с тремя боковыми отверстиями, через которые поступает газ. Он подключен к системе вентилей, состоящей из двух последовательно соединенных вентилей, и обладает вместимостью примерно 1 см
3. Один вентиль прикреплен к пуансону (вентиль 1), а другой прикреплен к стальной трубке (вентиль 2), которая соединяет устройство с вакуумной линией. Для стеклянной вакуумной линии потребуется переходник с гибкой стальной трубкой. На
рисунке 4 изображено устройство для отбора проб газа.
1 - соединитель с вакуумной линией; 2 - вентиль 1;
3 - вентиль 2, 4 - резервуар с CO2; 5 - отверстие;
6 - пуансон; 7 - измерительный прибор; 8 - к насосу;
9 - первая криоловушка; 10 - вторая криоловушка;
11 - вакуумная линия
Рисунок 4 - Схема внепоточной системы
Внепоточная вакуумная линия с двумя криогенными ловушками (P < 0,05 мбар). Может быть использована стеклянная или стальная вакуумная линия.
Масс-спектрометр IRMS с двойной системой напуска с возможностью определения содержания изотопа углерода
13C в диоксиде углерода CO
2 в диапазоне природной распространенности с внутренней прецизионностью измерений в

или лучше (выражается в виде относительного показателя

). Под внутренней прецизионностью понимается разность между значениями двух измерений одной пробы диоксида углерода CO
2.
1) Отбор проб диоксида углерода CO2:
- соединяют устройство для отбора проб с вакуумной линией и проверяют ее герметичность;
- погружают вращающими движениями пуансон устройства в пробку бутылки, которую держат вертикально (вентили устройства закрыты);
- соединяют устройство с вакуумной линией и удаляют из нее воздух с помощью двух вентилей (вентиль 2 открыт, вентиль 1 закрыт);
- после создания вакуума в резервуаре закрывают вентиль 2, открывают вентиль 1 и оставляют устройство в таком состоянии на 1 мин. После достижения равновесия закрывают вентиль 1. Газ, оставшийся в резервуаре, подвергают очистке.
2) Выделение и очистка диоксида углерода CO2:
- переводят диоксид углерода CO2, собранный в резервуаре, в 1-ю криогенную ловушку с жидким азотом для выдержки в течение не менее 1 мин, затем откачивают неконденсированный газ, контролируя давление до 0,05 мбар или ниже;
- переводят пробу диоксида углерода CO2 в измерительное устройство с жидким азотом во 2-ю криогенную ловушку, заменив при этом жидкий азот в 1-й криогенной ловушке на ловушку для воды с температурой минус (80 +/- 5) °C. Оставляют в таком состоянии как минимум на 1 мин;
- откачивают неконденсированный газ (до достижения давления 0,05 мбар или ниже) прежде, чем закрыть измерительное устройство.
3) Измерение отношения изотопов углерода 13C/12C
Отношение изотопов углерода в диоксиде углерода CO2 измеряют с использованием масс-спектрометра IRMS с двойным напуском.
5.1.9.12 Экспериментальная процедура, основанная на использовании поточной системы для отбора проб и измерения (CF-IRMS)
а) Способ отбора проб
В первую очередь из системы удаляют воздух, затем с помощью устройства для отбора проб из бутылки получают определенный объем диоксида углерода CO
2, который подают в емкость для хранения. Путем создания противодавления и использования ограничителя небольшое количество газа вводится в поток гелия He. Система для отбора проб представлена на
рисунке 5. Таким образом в потоке гелия He (поток пробы) создается поток диоксида углерода CO
2. Оставшийся поток гелия He свободен от диоксида углерода и служит в этой связи в качестве нулевого потока. Искусственные пики подключения, регистрируемые масс-спектрометром, генерируются временным подключением нулевого потока к потоку пробы (время подключения - 2 с).
1 - 4 - контрольные вентили; VP - вакуумный насос;
VF - вентиль тонкой регулировки; SK - устройство для отбора
проб; PRO - поток пробы (гелий, 50 см3/мин); NUL - нулевой
поток (гелий, 60 см3/мин); KF - ловушка для воды (пропанол,
температура минус 90 °C); GV - емкость для хранения газа
(250 см3); DM - манометр; KA - капилляр-ограничитель
(10 см, 150 мкм); VM - 2/4-путевой вентиль; 5 - бутылка
с вином; 6 - масс-спектрометр IRMS
Рисунок 5 - Схема поточной системы
1) Удаление воздуха из системы отбора проб
Из всей системы для отбора проб откачивают воздух до достижения негативного давления 1 мбар (вентиль 3 закрыт).
2) Отбор проб
Пробку бутылки прокалывают устройством для отбора проб и весь газовый объем в верхней части бутылки подают в емкость для хранения (GV) путем создания пониженного давления с увеличением общего давления до 50 мбар. Тонкая регулировка вентиля VF осуществляет контролируемый и медленный перевод газа. Во время перевода газ подвергается очистке в криоловушке.
3) Подача газа
После отбора пробы (вентили 3, 2 закрыты, вентиль 4 открыт) с помощью гелия He создают повышенное давление в 1,5 бар. Газ, подлежащий измерению, подают в систему масс-спектрометра CF-IRMS путем открытия вентиля 3. Процесс измерения можно запустить после предварительной выдержки в течение 150 с. В качестве ограничителя в систему интегрирован капилляр, через который подают крайне малые количества газа-носителя (скорость подачи 10 см3/мин).
4) Измерение отношения изотопов углерода 13C/12C
Поток диоксида углерода CO2 непрерывно подают в поток гелия He пробы (PRO). Переключение от потока пробы (PRO) к чистому (нулевому) потоку гелия (NUL) генерирует искусственные пики подключения. Подключение потока пробы - 2 с, подключение нулевого потока - от 10 до 30 с.
5.1.9.13 Экспериментальная процедура, основанная на использовании газового хроматографа GC-C-IRMS
а) Характеристики оборудования:
- газовый хроматограф <1>;
--------------------------------
<1> Например, GC Varian 3400. Данная информация приведена для удобства пользователей настоящего стандарта и не исключает возможности использования другого оборудования с аналогичными характеристиками.
- капиллярная колонка <2> (неподвижная фаза - поперечносвязанный полиэтиленгликоль), длиной 30 м, с внутренним диаметром 0,25 мм, толщиной слоя неподвижной фазы 0,5 мкм;
--------------------------------
<2> Например, HP-INNOWax. Данная информация приведена для удобства пользователей настоящего стандарта и не исключает возможности использования другого оборудования с аналогичными характеристиками.
- система для сжигания пробы <3> с окислительным реактором (температура 940 °C) и восстановительным реактором (температура 640 °C);
--------------------------------
<3> Например, ThermoFinnigan-MAT. Данная информация приведена для удобства пользователей настоящего стандарта и не исключает возможности использования другого оборудования с аналогичными характеристиками.
- масс-спектрометр <4> для измерения отношений стабильных изотопов.
--------------------------------
<4> Например, DeltaPlus ThermoFinnigan-MAT. Данная информация приведена для удобства пользователей настоящего стандарта и не исключает возможности использования другого оборудования с аналогичными характеристиками.
б) Процедура
1) Отбор пробы диоксида углерода CO2:
- аликвоты газа собирают с помощью шприца вместимостью 25 см3, протыкая длинной стальной иглой пробку бутылки. Давление газа в бутылке способствует спонтанному наполнению внутреннего объема шприца;
- газ переводят в предварительно укупоренную бутылку для последующего анализа. Укупорка бутылки должна включать тефлон-силиконовую мембрану. Для удаления воздуха из флакона и соответственно атмосферного диоксида углерода CO
2 через мембрану вводят вторую иглу, чтобы газ из вина выдавил воздух из бутылки (см.
рисунок 6).
Примечание - Для отбора используют шприц большой вместимости, превышающей объем бутылки. В описанном выше случае применяют шприц вместимостью 25 см3 (или большей вместимости) и флакон объемом 2 см3.
Примечание - Объем флакона должен быть меньше объема шприца.
Рисунок 6 - Отбор пробы диоксида углерода CO
2
2) анализ ГХ-IRMS - ввод диоксида углерода CO2 и измерение изотопного состава углерода 13C/12C.
Небольшое количество газа, мм3, напрямую вводят в колонку газового хроматографа, используя микрошприц на 10 мм3. Прибор предварительно настраивают на использование деления в потоке. Давление газа - носителя гелия He, составляет 0,138 МПа.
Каждую пробу исследуют в четырех повторностях. Общее время анализа одной пробы составляет 6 мин (см.
рисунок 7 с типичной хроматограммой).
Рисунок 7 - Типичная хроматограмма анализа GC-C-IRMS
3) Обработка результатов
Для регистрации сигналов масс-спектрометра и обработки результатов используют программное обеспечение <1> для операционной системы MS Windows NT.
--------------------------------
<1> Например, Isodat NT, вер. 1.50 компании ThermoFinnigan (г. Бремен, Германия). Данная информация приведена для удобства пользователей настоящего стандарта и не исключает возможности использования другого оборудования с аналогичными характеристиками.
Для каждой пробы по результатам трех измерений вычисляют среднее значение для показателя

. Значение

для первого измерения систематически отбрасывают.
5.1.9.14 Статистическая обработка результатов межлабораторного эксперимента
В соответствии с
ГОСТ Р ИСО 5725-2 для проведения межлабораторного эксперимента, в котором приняли участие 11 европейских и одна мексиканская лаборатория (см.
таблицу 24), определены следующие параметры:
- период проведения межлабораторного эксперимента - 2003 - 2004 гг.;
- количество лабораторий - 12;
- количество образцов - 5 ("слепые двойные" пробы);
- показатель для исследования -

диоксида углерода CO
2.
Обозначение образца | A | B | C | D | E |
Количество участвовавших лабораторий | 12 |
Количество лабораторий, оставшихся после исключения выбросов | 12 | 11 | 12 |
Количество повторов на лабораторию | 2 |
Количество принятых результатов | 24 | 22 | 24 |
Среднее значение  | -9,92 | -20,84 | -23,66 | -34,80 | -36,43 |
Стандартное отклонение повторяемости Sr2 | 0,057 | 0,031 | 0,119 | 0,006 | 0,044 |
Стандартное отклонение повторяемости Sr,  | 0,24 | 0,18 | 0,35 | 0,08 | 0,21 |
Повторяемость r (2,8· Sr),  | 0,67 | 0,49 | 0,97 | 0,21 | 0,58 |
SR2 | 0,284 | 0,301 | 0,256 | 0,140 | 0,172 |
Стандартное отклонение воспроизводимости SR,  | 0,53 | 0,55 | 0,51 | 0,37 | 0,41 |
Воспроизводимость R (2,8· SR),  | 1,49 | 1,54 | 1,42 | 1,05 | 1,16 |
Описание образцов: A - игристое вино (C4-сахар), B - игристое вино (C3-сахар), C - игристое вино (C3-сахар), D - газированное вино, E - газированное вино. |
5.1.9.15 Статистическая обработка результатов межлабораторного эксперимента по исследованию игристых и газированных вин [способы отбора проб
5.1.9.7а)4) и
5.1.9.7а)5)]
Ниже приведены параметры, которые определены в качестве части межлабораторного эксперимента (см.
таблицы 25,
26,
рисунок 8), в котором приняли участие 16 лабораторий:
- период проведения межлабораторного эксперимента - 2013 - 2014 гг.;
- количество лабораторий - 16;
- типы образцов - игристые и газированные вина;
- количество образцов - 3 ("слепые двойные" пробы);
- показатель для исследования -

диоксида углерода CO
2.
Параметр | Вино N 1 | Вино N 2 | Вино N 3 |
Количество участвовавших лабораторий | 16 | 14 | 16 |
Количество повторов | 2 | 2 | 2 |
Минимальное значение | -32,90 | -33,10 | -23,64 |
Максимальное значение | -29,83 | -30,97 | -20,57 |
Отклонение повторяемости Sr2 | 0,0467 | 0,0118 | 0,0648 |
Отклонение внутри группы SL2 | 0,43853 | 0,29762 | 0,51616 |
Отклонение воспроизводимости SR2 | 0,4852 | 0,3094 | 0,5810 |
Общее среднее значение | -31,42 | -31,83 | -22,15 |
Стандартное отклонение повторяемости Sr | 0,22 | 0,11 | 0,25 |
Предел повторяемости r | 0,612 | 0,307 | 0,720 |
Стандартное отклонение воспроизводимости | 0,70 | 0,56 | 0,76 |
Предел воспроизводимости R | 1,971 | 1,574 | 2,157 |
Код лаборатории | A | B | A | B | A | B | Вино N 1 | Вино N 2 | Вино N 3 |
Lab 1 | -31,40 | -31,69 | -31,56 | -31,88 | -21,93 | -22,12 | -0,18 | -0,19 | 0,16 |
Lab 2 | -31,23 | -31,29 | -31,43 | -31,41 | -21,46 | -22,04 | 0,23 | -0,73 | 0,52 |
Lab 3 | -32,65 | -32,12 | -32,15 | -32,13 | -23,41 | -23,64 | -1,39 | -0,56 | -1,81 |
Lab 4 | -31,55 | -31,50 | -31,46 | -31,66 | -22,40 | -22,54 | -0,15 | 0,48 | -0,42 |
Lab 5 | -31,50 | -31,30 | -31,80 | -31,90 | -22,00 | -22,30 | 0,03 | -0,04 | 0,00 |
Lab 6 | -31,46 | -31,75 | -31,96 | -31,75 | -22,39 | -22,10 | -0,27 | -0,05 | -0,13 |
Lab 7 | -31,48 | -30,66 | -31,29 | -29,35 | -21,47 | -20,57 | 0,50 | 2,71 | 1,48 |
Lab 8 | -29,83 | -30,17 | -29,73 | -31,35 | -21,50 | -21,96 | 2,04 | 2,31 | 0,55 |
Lab 9 | -30,96 | -30,90 | -31,34 | -31,21 | -22,22 | -22,27 | 0,70 | 0,99 | -0,13 |
Lab 10 | -32,34 | -32,29 | -32,68 | -32,75 | -23,25 | -23,14 | -1,29 | -1,60 | -1,37 |
Lab 11 | -32,90 | -32,70 | -33,10 | -33,10 | -23,00 | -23,50 | -1,98 | -2,29 | -1,45 |
Lab 12 | -31,91 | -31,68 | -32,22 | -32,14 | -22,58 | -22,66 | -0,54 | -0,63 | -0,62 |
Lab 13 | -31,03 | -31,10 | -31,61 | -31,68 | -21,78 | -21,74 | 0,51 | 0,33 | 0,51 |
Lab 14 | -31,25 | -30,93 | -31,43 | -31,54 | -22,01 | -22,02 | 0,57 | 0,62 | 0,17 |
Lab 15 | -30,89 | -30,88 | -31,59 | -31,47 | -21,08 | -21,07 | 0,76 | 0,53 | 1,41 |
Lab 16 | -31,05 | -30,98 | -31,24 | -30,97 | -21,09 | -21,49 | 0,58 | 1,30 | 1,13 |

5.1.10 Метод определения основных соединений, экстрагируемых из древесины во время созревания алкогольных напитков виноградного происхождения
5.1.10.1 Настоящий метод предназначен для определения фурфурала, 5-гидроксиметилфурфурола, 5-метилфурфурола, ванилина, сиреневого альдегида, кониферилового альдегида, синапового альдегида, галловой, эллаговой, ванильной и сиреневой кислот и скополетина с помощью ВЭЖХ.
5.1.10.2 Сущность метода
Определение с помощью ВЭЖХ с детектированием методами спектрофотометрии в ультрафиолетовой области на нескольких длинах волн и спектрофлуорометрии.
Следует использовать реактивы аналитической чистоты. Используемая вода должна быть дистиллированной или, по меньшей мере, эквивалентной чистоты. Предпочтительно использовать воду, прошедшую микрофильтрацию и имеющую сопротивление 18,2 МОм.
Перечень используемых реактивов:
- спирт этиловый объемной долей 96%;
- метанол квалификации для ВЭЖХ (растворитель B);
- кислота уксусная, разбавленная до объемной доли 0,5% (растворитель A);
- подвижные фазы (приведены только в качестве примера). Растворитель A (0,5%-ная уксусная кислота) и растворитель B (чистый метанол) фильтруют через мембранный фильтр (размер пор 0,45 мкм), при необходимости дегазируют на ультразвуковой бане;
- стандартные образцы сравнения чистотой не менее 99%: фурфурола, 5-гидроксиметилфурфурола, 5-метилфурфурола, ванилина, сиреневого альдегида, кониферилового альдегида, синапового альдегида, галловой, эллаговой, ванильной и сиреневой кислот и скополетина;
- градуировочные растворы. Стандартные образцы сравнения растворяют в водном растворе этилового спирта объемной долей 50%. Конечная концентрация градуировочных растворов должна составлять около 5 мг/дм3 для фурфурола, 10 мг/дм3 для 5-гидроксиметилфурфурола, 2 мг/дм3 для 5-метилфурфурола, 5 мг/дм3 для ванилина, 10 мг/дм3 для сиреневого альдегида, 5 мг/дм3 для кониферилового альдегида, 5 мг/дм3 для синапового альдегида, 10 мг/дм3 для галловой кислоты, 10 мг/дм3 для эллаговой кислоты, 5 мг/дм3 для ванильной кислоты, 5 мг/дм3 для сиреневой кислоты, 5 мг/дм3 для скополетина.
Обычная лабораторная аппаратура, в том числе:
- высокоэффективный жидкостный хроматограф, пригодный для работы в двухкомпонентном градиентном режиме, оснащенный следующими модулями: спектрофотометрическим детектором, пригодным для измерения при длинах волн от 280 до 313 нм (для подтверждения чистоты пиков предпочтителен многоволновой детектор с диодной матрицей или аналогичный); спектрофлуорометрическим детектором с длиной волны возбуждения 354 нм и длиной волны эмиссии 446 нм (для определения следовых количеств скополетина, также детектируемого спектрофотометрически при длине волны 313 нм); инжектором, обеспечивающим объем ввода пробы 10 или 20 мм3 (значения даны для примера); колонкой для ВЭЖХ <1> размером частиц сорбента не более 5 мкм;
--------------------------------
<1> Например, типа RP C18. Данная информация приведена для удобства пользователей настоящего стандарта и не исключает возможности использования другого оборудования с аналогичными характеристиками.
- шприцы для ВЭЖХ;
- устройство для мембранной фильтрации малых объемов;
- интегратор, компьютер или самописец с разрешающей способностью, согласующейся с разрешающей способностью прибора в целом, и в частности имеющие несколько каналов регистрации данных.
5.1.10.5 Проведение исследования
а) Подготовка анализируемых растворов к хроматографическому анализу
Градуировочные растворы и алкогольный напиток при необходимости фильтруют через мембранный фильтр с диаметром пор не более 0,45 мкм.
б) Условия хроматографического анализа
Анализ проводят при комнатной температуре при условиях, приведенных в
5.1.10.4, с использованием подвижных фаз (см.
5.1.10.3) при скорости потока около 0,5 см
3/мин по следующей градиентной программе (приведена только в качестве примера):
Время | 0 мин | 50 мин | 70 мин | 90 мин |
Растворитель A (вода - уксусная кислота) | 100% | 60% | 100% | 100% |
Растворитель B (метанол) | 0% | 40% | 0% | 0% |
В некоторых случаях во избежание наложения пиков может потребоваться корректировка градиентной программы.
в) Анализ
Проводят хроматографический анализ градуировочных растворов по отдельности, затем в смеси. Корректируют условия хроматографического анализа таким образом, чтобы факторы разделения пиков всех компонентов были не менее двух. Проводят хроматографический анализ пробы, подготовленной по
5.1.10.5а), фильтрованной через мембранный фильтр. Определяют площади пиков на хроматограммах градуировочных растворов и пробы алкогольного напитка, рассчитывают концентрации компонентов.
5.1.10.6 Выражение результатов исследования
Концентрацию каждого компонента выражают в миллиграммах на кубический дециметр.
5.1.10.7 Характеристики точности метода (прецизионность)
Приведенные в
таблицах 27 -
38 данные получены в 2009 г. в результате межлабораторных испытаний метода на различных алкогольных напитках, которые проведены в соответствии с процедурами, согласованными на международном уровне.
Обозначения:
nLT - число лабораторий - участников испытаний;
nL - число лабораторий, чьи результаты использованы для расчета характеристик прецизионности;
r - предел повторяемости;
Sr - стандартное отклонение повторяемости;
RSDr - относительное стандартное отклонение повторяемости, выраженное в процентах от среднего значения;
R - предел воспроизводимости;
SR - относительное стандартное отклонение воспроизводимости;
RSDR - относительное стандартное отклонение воспроизводимости, выраженное в процентах от среднего значения;
PRSDR - прогнозируемое по формуле Горвица RSDR, %;
HoR - индекс Горвица (HorRat) = RSDR/PRSDR.
Таблица 27
Образец | nLT | nL | Среднее значение, мг/дм3 | r, мг/дм3 | Sr, мг/дм3 | RSDr, % | R, мг/дм3 | SR, мг/дм3 | RSDR, % | PRSDR, % | HoR |
Виски | 16 | 15 | 1,2 | 0,2 | 0,07 | 6,1 | 1,2 | 0,43 | 36 | 16 | 2,3 |
Бренди | 15 | 14 | 0,4 | 0,1 | 0,04 | 8,1 | 0,6 | 0,20 | 47 | 18 | 2,6 |
Ром | 16 | 16 | 2,0 | 0,2 | 0,06 | 2,9 | 1,7 | 0,62 | 31 | 14 | 2,1 |
Коньяк 1 | 16 | 16 | 6,1 | 0,5 | 0,18 | 3,0 | 9,1 | 3,3 | 53 | 12 | 4,4 |
Бурбон | 16 | 16 | 7,3 | 0,5 | 0,18 | 2,4 | 6,2 | 2,2 | 30 | 12 | 2,6 |
Коньяк 2 | 16 | 16 | 21,8 | 1,7 | 0,60 | 2,8 | 21,7 | 7,7 | 35 | 10 | 3,5 |
Таблица 28
5-Гидроксиметилфурфурал
Образец | nLT | nL | Среднее значение, мг/дм3 | r, мг/дм3 | Sr, мг/дм3 | RSDr, % | R, мг/дм3 | SR, мг/дм3 | RSDR, % | PRSDR, % | HoR |
Виски | 16 | 14 | 5,0 | 0,2 | 0,09 | 1,7 | 1,1 | 0,39 | 8 | 13 | 0,6 |
Бренди | 16 | 14 | 11,1 | 0,3 | 0,09 | 0,8 | 2,8 | 1,01 | 9 | 11 | 0,8 |
Ром | 16 | 14 | 9,4 | 0,3 | 0,09 | 1,0 | 1,4 | 0,50 | 5 | 11 | 0,5 |
Коньяк 1 | 16 | 14 | 33,7 | 1,2 | 0,42 | 1,3 | 12,5 | 4,5 | 13 | 9 | 1,4 |
Бурбон | 16 | 14 | 5,8 | 0,2 | 0,07 | 1,2 | 1,1 | 0,4 | 9 | 12 | 0,6 |
Коньяк 2 | 16 | 14 | 17,5 | 0,4 | 0,13 | 0,8 | 4,6 | 1,6 | 7 | 10 | 0,9 |
Таблица 29
Фурфурал
Образец | nLT | nL | Среднее значение, мг/дм3 | r, мг/дм3 | Sr, мг/дм3 | RSDr, % | R, мг/дм3 | SR, мг/дм3 | RSDR, % | PRSDR, % | HoR |
Виски | 15 | 14 | 2,9 | 0,1 | 0,04 | 1,4 | 0,7 | 0,24 | 8 | 14 | 0,6 |
Бренди | 15 | 12 | 1,2 | 0,2 | 0,05 | 4,5 | 0,5 | 0,18 | 5 | 16 | 0,9 |
Ром | 15 | 13 | 1,7 | 0,1 | 0,04 | 2,3 | 0,3 | 0,09 | 5 | 15 | 0,4 |
Коньяк 1 | 15 | 14 | 10,6 | 0,5 | 0,18 | 1,7 | 3,8 | 1,4 | 13 | 11 | 1,1 |
Бурбон | 15 | 13 | 15,3 | 0,6 | 0,23 | 1,5 | 1,4 | 0,49 | 3 | 11 | 0,3 |
Коньяк 2 | 15 | 13 | 13,9 | 0,6 | 0,20 | 1,5 | 1,9 | 0,69 | 5 | 11 | 0,5 |
Таблица 30
Ванильная кислота
Образец | nLT | nL | Среднее значение, мг/дм3 | r, мг/дм3 | Sr, мг/дм3 | RSDr, % | R, мг/дм3 | SR, мг/дм3 | RSDR, % | PRSDR, % | HoR |
Виски | 15 | 12 | 0,2 | 0,1 | 0,03 | 14,2 | 0,2 | 0,06 | 28 | 20 | 1,4 |
Бренди | 15 | 11 | 0,2 | 0,1 | 0,04 | 16,5 | 0,10 | 0,05 | 20 | 20 | 1,0 |
Ром | 15 | 14 | 1,5 | 0,1 | 0,03 | 2,3 | 1,4 | 0,51 | 35 | 15 | 2,3 |
Коньяк 1 | 15 | 14 | 0,8 | 0,3 | 0,10 | 12,6 | 0,7 | 0,2 | 31 | 17 | 1,9 |
Бурбон | 15 | 15 | 2,4 | 0,4 | 0,13 | 5,3 | 3,4 | 1,22 | 51 | 14 | 3,6 |
Коньяк 2 | 15 | 14 | 2,7 | 0,6 | 0,21 | 7,7 | 2,0 | 0,70 | 28 | 14 | 1,9 |
Таблица 31
5-Метилфурфурал
Образец | nLT | nL | Среднее значение, мг/дм3 | r, мг/дм3 | Sr, мг/дм3 | RSDr, % | R, мг/дм3 | SR, мг/дм3 | RSDR, % | PRSDR, % | HoR |
Виски | 11 | 11 | 0,1 | 0,0 | 0,01 | 10,7 | 0,1 | 0,03 | 35 | 24 | 1,5 |
Бренди | 11 | 11 | 0,2 | 0,0 | 0,01 | 6,1 | 0,1 | 0,04 | 18 | 20 | 0,9 |
Ром | 11 | 8 | 0,1 | 0,1 | 0,02 | 13,6 | 0,1 | 0,03 | 22 | 22 | 1,0 |
Коньяк 1 | 11 | 11 | 0,5 | 0,1 | 0,02 | 4,7 | 0,5 | 0,18 | 39 | 18 | 2,2 |
Бурбон | 11 | 10 | 1,7 | 0,1 | 0,03 | 2,0 | 0,6 | 0,20 | 12 | 15 | 0,8 |
Коньяк 2 | 11 | 11 | 0,8 | 0,2 | 0,07 | 10,0 | 0,7 | 0,26 | 35 | 17 | 2,1 |
Таблица 32
Сиреневая кислота
Образец | nLT | nL | Среднее значение, мг/дм3 | r, мг/дм3 | Sr, мг/дм3 | RSDr, % | R, мг/дм3 | SR, мг/дм3 | RSDR, % | PRSDR, % | HoR |
Виски | 16 | 16 | 0,4 | 0,1 | 0,03 | 6,7 | 0,2 | 0,08 | 19 | 18 | 1,0 |
Бренди | 15 | 15 | 0,2 | 0,1 | 0,02 | 12,6 | 0,1 | 0,05 | 29 | 21 | 1,4 |
Ром | 16 | 15 | 2,5 | 0,2 | 0,06 | 2,3 | 0,8 | 0,29 | 11 | 14 | 0,8 |
Коньяк 1 | 16 | 15 | 1,4 | 0,4 | 0,13 | 9,0 | 0,7 | 0,26 | 18 | 15 | 1,2 |
Бурбон | 16 | 16 | 3,4 | 0,2 | 0,08 | 2,3 | 1,2 | 0,43 | 13 | 13 | 0,9 |
Коньяк 2 | 16 | 15 | 4,8 | 0,3 | 0,11 | 2,3 | 1,9 | 0,67 | 14 | 13 | 1,1 |
Таблица 33
Ванилин
Образец | nLT | nL | Среднее значение, мг/дм3 | r, мг/дм3 | Sr, мг/дм3 | RSDr, % | R, мг/дм3 | SR, мг/дм3 | RSDR, % | PRSDR, % | HoR |
Виски | 16 | 16 | 0,5 | 0,1 | 0,03 | 6,8 | 0,3 | 0,09 | 19 | 18 | 1,1 |
Бренди | 15 | 15 | 0,2 | 0,1 | 0,02 | 9,6 | 0,2 | 0,06 | 25 | 20 | 1,2 |
Ром | 16 | 16 | 1,2 | 0,2 | 0,06 | 4,6 | 0,5 | 0,18 | 15 | 16 | 1,0 |
Коньяк 1 | 16 | 16 | 1,2 | 0,3 | 0,11 | 8,9 | 0,8 | 0,27 | 22 | 16 | 1,4 |
Бурбон | 16 | 16 | 3,2 | 0,3 | 0,11 | 3,5 | 1,2 | 0,41 | 13 | 13 | 0,9 |
Коньяк 2 | 16 | 16 | 3,9 | 0,3 | 0,09 | 2,3 | 1,7 | 0,62 | 16 | 13 | 1,2 |
Таблица 34
Сиреневый альдегид
Образец | nLT | nL | Среднее значение, мг/дм3 | r, мг/дм3 | Sr, мг/дм3 | RSDr, % | R, мг/дм3 | SR, мг/дм3 | RSDR, % | PRSDR, % | HoR |
Виски | 16 | 13 | 1,0 | 0,1 | 0,03 | 2,6 | 0,2 | 0,08 | 8 | 16 | 0,5 |
Бренди | 15 | 13 | 0,2 | 0,1 | 0,02 | 8,1 | 0,2 | 0,07 | 33 | 20 | 1,6 |
Ром | 16 | 13 | 4,8 | 0,1 | 0,04 | 0,8 | 0,7 | 0,23 | 5 | 13 | 0,4 |
Коньяк 1 | 16 | 12 | 3,2 | 0,2 | 0,08 | 2,6 | 0,5 | 0,19 | 6 | 14 | 0,4 |
Бурбон | 16 | 14 | 10,5 | 0,3 | 0,10 | 0,9 | 1,1 | 0,39 | 4 | 11 | 0,3 |
Коньяк 2 | 16 | 13 | 9,7 | 0,3 | 0,09 | 0,9 | 1,2 | 0,43 | 4 | 11 | 0,4 |
Таблица 35
Скополетин
Образец | nLT | nL | Среднее значение, мг/дм3 | r, мг/дм3 | Sr, мг/дм3 | RSDr, % | R, мг/дм3 | SR, мг/дм3 | RSDR, % | PRSDR, % | HoR |
Виски | 10 | 9 | 0,09 | 0,007 | 0,0024 | 2,6 | 0,04 | 0,01 | 15 | 23 | 0,6 |
Бренди | 10 | 8 | 0,04 | 0,002 | 0,0008 | 2,2 | 0,02 | 0,01 | 16 | 26 | 0,6 |
Ром | 10 | 9 | 0,11 | 0,005 | 0,0018 | 1,6 | 0,07 | 0,03 | 23 | 22 | 1,0 |
Коньяк 1 | 10 | 8 | 0,04 | 0,004 | 0,0014 | 3,3 | 0,02 | 0,01 | 17 | 26 | 0,7 |
Бурбон | 10 | 8 | 0,65 | 0,015 | 0,0054 | 0,8 | 0,26 | 0,09 | 15 | 17 | 0,8 |
Коньяк 2 | 10 | 8 | 0,15 | 0,011 | 0,0040 | 2,7 | 0,06 | 0,02 | 15 | 21 | 0,7 |
Таблица 36
Конифериловый альдегид
Образец | nLT | nL | Среднее значение, мг/дм3 | r, мг/дм3 | Sr, мг/дм3 | RSDr, % | R, мг/дм3 | SR, мг/дм3 | RSDR, % | PRSDR, % | HoR |
Виски | 13 | 12 | 0,2 | 0,04 | 0,02 | 9,2 | 0,1 | 0,04 | 23 | 21 | 1,1 |
Бренди | 12 | 12 | 0,2 | 0,04 | 0,02 | 9,8 | 0,1 | 0,04 | 27 | 21 | 1,3 |
Ром | 13 | 13 | 0,6 | 0,07 | 0,03 | 4,6 | 0,3 | 0,11 | 21 | 18 | 1,2 |
Коньяк 1 | 12 | 12 | 0,8 | 0,09 | 0,03 | 4,3 | 0,5 | 0,18 | 23 | 17 | 1,4 |
Бурбон | 13 | 13 | 4,6 | 0,24 | 0,09 | 1,9 | 1,1 | 0,38 | 8 | 13 | 0,6 |
Коньяк 2 | 13 | 13 | 1,3 | 0,16 | 0,06 | 4,5 | 0,7 | 0,25 | 19 | 15 | 1,2 |
Таблица 37
Синаповый альдегид
Образец | nLT | nL | Среднее значение, мг/дм3 | r, мг/дм3 | Sr, мг/дм3 | RSDr, % | R, мг/дм3 | SR, мг/дм3 | RSDR, % | PRSDR, % | HoR |
Виски | 14 | 14 | 0,3 | 0,06 | 0,02 | 7,5 | 0,2 | 0,09 | 31 | 19 | 1,6 |
Бренди | 14 | 13 | 0,2 | 0,03 | 0,01 | 4,6 | 0,2 | 0,05 | 27 | 20 | 1,3 |
Ром | 14 | 12 | 0,2 | 0,06 | 0,02 | 11,2 | 0,2 | 0,08 | 46 | 21 | 2,2 |
Коньяк 1 | 14 | 13 | 1,6 | 0,17 | 0,06 | 3,7 | 0,6 | 0,20 | 13 | 15 | 0,8 |
Бурбон | 15 | 13 | 8,3 | 0,38 | 0,14 | 1,6 | 2,3 | 0,81 | 10 | 12 | 0,8 |
Коньяк 2 | 14 | 12 | 0,3 | 0,08 | 0,03 | 11,4 | 0,5 | 0,18 | 73 | 20 | 3,7 |
Таблица 38
Образец | nLT | nL | Среднее значение, мг/дм3 | r, мг/дм3 | Sr, мг/дм3 | RSDr, % | R, мг/дм3 | SR, мг/дм3 | RSDR, % | PRSDR, % | HoR |
Виски | 7 | 7 | 3,2 | 0,6 | 0,20 | 6,3 | 4,0 | 1,41 | 44 | 13 | 3,2 |
Бренди | 7 | 7 | 1,0 | 0,4 | 0,16 | 16 | 1,2 | 0,42 | 43 | 16 | 2,7 |
Ром | 7 | 7 | 9,5 | 0,9 | 0,30 | 3,2 | 11 | 4,0 | 42 | 11 | 3,7 |
Коньяк 1 | 7 | 7 | 13 | 1,1 | 0,41 | 3,2 | 14 | 5,0 | 39 | 11 | 3,6 |
Бурбон | 7 | 7 | 13 | 2,7 | 0,95 | 7,4 | 14 | 4,9 | 39 | 11 | 3,5 |
Коньяк 2 | 7 | 7 | 36 | 1,0 | 0,34 | 1,0 | 40 | 14 | 40 | 9 | 4,3 |
5.1.11 Качественный тест для определения карамельного колера в винах и других спиртных напитках
5.1.11.1 Аппаратура
Используют аппаратуру общелабораторного назначения:
- тест-бутылку Бабкока;
- пробирки для центрифугирования;
- стеклянную лабораторную посуду для приготовления реактивов.
5.1.11.2 Реактивы
Используют следующие реактивы:
- дистиллированная вода;
- раствор гидроксида калия в дистиллированной воде массовой долей 2%;
- раствор хлорида цинка в дистиллированной воде массовой долей 5%;
- раствор этилового спирта в дистиллированной воде объемной долей 85%, содержащий 0,5% соляной кислоты.
5.1.11.3 Проведение теста
Пробу объемом 10 см3 помещают в тест-бутылку Бабкока или подходящую центрифужную пробирку, нейтрализуют добавлением раствора гидроксида калия массовой долей 2%, после чего добавляют 2 см3 раствора хлорида цинка массовой долей 5% и 2 см3 раствора гидроксида калия массовой долей 2%. Емкость интенсивно встряхивают и центрифугируют в течение 5 - 10 мин.
Супернатант аккуратно декантируют от осадка, к осадку добавляют горячую или кипящую дистиллированную воду. Емкость интенсивно встряхивают, центрифугируют, после чего содержимое снова промывают горячей водой. Процедуру повторяют до получения практически бесцветного водного слоя, используя горячую воду в подходящем объеме.
К промытому осадку добавляют 50 см3 или более водно-спиртового раствора объемной долей этанола 85%, содержащего 0,5% соляной кислоты, после чего центрифугирование повторяют. При этом карамельный колер проявляется в виде коричневого слоя на дне емкости. Добавляют новую порцию водно-спиртового раствора объемной долей этанола 85%, содержащего 0,5% соляной кислоты, после чего центрифугирование повторяют. Данную процедуру повторяют до получения практически бесцветного и прозрачного супернатанта. Для облегчения промывки осадка емкость для центрифугирования с содержимым помещают в стакан с кипящей водой. Если раствор прозрачный и имеет коричневый цвет, то в нем может присутствовать карамельный колер. Для подтверждения проводят анализ с 2,4-динитрофенилгидразином по методу 11.046 <1>.
--------------------------------
<1> Подтверждение присутствия карамельного колера проводят по методу, приведенному в
5.1.12.
5.1.11.4 Оценка результатов теста
После окончания промывки и декантирования супернатанта остаток в емкости для центрифугирования растворяют в 10 см3 воды. Проводят визуальную оценку цвета полученного раствора. Коричневый цвет раствора говорит о вероятном присутствии карамели.
5.1.12 Метод общего определения фенольных соединений в алкогольных напитках виноградного происхождения, не содержащих добавок карамельного колера
5.1.12.1 Метод Фолина-Чокалтеу позволяет измерять общее содержание фенольных соединений древесного происхождения, присутствующих в спиртах, выдержанных в бочках и не содержащих добавленной карамели. Этот метод неспецифичен по отношению к фенольным соединениям. Карамельный колер также реагирует с реактивом Фолина-Чокалтеу. Но в случае спиртов, выдержанных в деревянных бочках, подавляющее большинство результатов анализа следует относить к присутствию фенольных компонентов из древесины дуба.
5.1.12.2 Сущность метода
Все фенольные компоненты окисляются реактивом Фолина-Чокалтеу. Этот реактив состоит из смеси фосфорновольфрамовой и фосфорномолибденовой кислот, которая при окислении фенольных соединений восстанавливается в смесь оксидов молибдена и вольфрама голубого цвета. Развивающаяся в результате этого голубая окраска обладает максимумом оптической плотности в области от 750 до 760 нм, пропорциональной количеству окисленных фенольных компонентов.
5.1.12.3 Аппаратура
Применяют обычную лабораторную аппаратуру:
- водяную баню с возможностью контроля температуры (70 °C);
- спектрофотометр.
5.1.12.4 Реактивы
а) Реактив Фолина-Чокалтеу
Реактив доступен для приобретения в виде, готовом к употреблению. Его также можно приготовить следующим способом: 100 г вольфрамовокислого натрия (CAS N 13472-45-2) и 25 г молибденовокислого аммония (CAS N 7631-95-0) растворяют в 700 см
3 дистиллированной воды (CAS N 7732-18-5). В полученный раствор добавляют 50 см
3 фосфорной кислоты массовой долей 85% (CAS N 7664-38-2)

и 100 см
3 концентрированной соляной кислоты (CAS N 7647-01-0)

. Полученный раствор кипятят в колбе с дефлегматором в течение 10 ч, после чего добавляют 150 г сульфата лития (CAS N 10377-48-7) и несколько капель брома (CAS N 7726-95-6), после чего кипятят еще в течение 15 мин. Раствор охлаждают и доводят его объем до 1 дм
3 дистиллированной водой.
б) Безводный карбонат натрия
Готовят раствор массовой долей 4,25% в дистиллированной воде.
в) Безводная галловая кислота (CAS N 149-91-7).
5.1.12.5 Проведение исследования
а) Градуировка по галловой кислоте
Готовят основной водно-спиртовой раствор галловой кислоты путем растворения ее точной навески. Путем разбавления основного раствора готовят градуировочные растворы (не менее 2). Диапазон градуировки также должен включать в себя нулевую точку для холостого раствора (водно-спиртовой раствор). Например, градуировку можно проводить по растворам концентрациями 0,2000 и 0,4000 мг/дм3. Проверяют линейность градуировочной характеристики.
5.1.12.6 Подготовка проб к исследованию
Проба должна быть абсолютно прозрачной и не содержать осадка.
5.1.12.7 Проведение реакции
В пробирку последовательно вносят:
- 0,2 см3 пробы (или градуировочного раствора);
- 1 см3 реактива Фолина-Чокалтеу;
- 18,8 см3 раствора карбоната натрия.
После перемешивания раствор выдерживают при температуре примерно 70 °C в течение 20 мин на водяной бане с функцией контроля температуры, после чего охлаждают в проточной холодной воде.
5.1.12.8 Измерение оптической плотности при длине волны 760 нм
Оптическую плотность при длине волны 760 нм измеряют в кюветах длиной оптического пути 1 см.
5.1.12.9 Выражение результатов
Результат выражают в миллиграммах галловой кислоты на кубический дециметр, исходя из градуировочной характеристики и принимая во внимание разбавление пробы, если оно имело место. Если оптическая плотность испытуемого раствора превышает 1, раствор разбавляют и проводят измерение повторно (при условии соблюдения линейности).
5.1.13 Метод анализа
соединений в алкогольных напитках виноградного происхождения с помощью газовой хроматографии с дериватизацией с 1,2-диаминбензолом
5.1.13.1 Основными

соединениями, содержащимися в спиртах виноградного происхождения винных спиртах, являются глиоксаль, метилглиоксаль, диацетил и пентан-2,3-дион:
- глиоксаль - OCH-CHO (этандиаль);
- метилглиоксаль - CH3-CO-CHO (2-оксопропаналь);
- диацетил - CH3-CO-CO-CH3 (бутан-2,3-дион);
- пентан-2,3-дион - CH3-CH2-CO-CO-CH3;
- гексан-2,3-дион - CH3-CH2-CH2-CO-CO-CH3.
Дикарбонильные соединения оказывают влияние на органолептические свойства винодельческой продукции, поэтому их исследование имеет большое значение для идентификации продуктов. Настоящий метод распространяется на спиртные напитки виноградного происхождения с содержанием карбонильных компонентов от 0,05 до 20 мг/дм3.
5.1.13.2 Сущность метода
Метод основан на образовании из

соединений хиноксалиновых производных с 1,2-диаминобензолом (см.
рисунок 9).
Рисунок 9 - Образование производных
дикарбонильных соединений
Реакция протекает в спиртном напитке, разбавленном четыре раза, при pH 8,0 в течение 3 ч при температуре 60 °C. Дальнейший анализ производных проводят после их экстракции дихлорметаном с последующим определением методом газовой хроматографии с масс-спектрометрическим детектированием (ГХ-МС) или с использованием детектора, селективного к азотсодержащим компонентам.
5.1.13.3 Реактивы
а) Дикарбонильные соединения:
- глиоксаль (CAS N 107-22-3), раствор массовой долей 40%;
- метилглиоксаль (CAS N 78-98-8), раствор массовой долей 40%;
- диацетил (CAS N 431-03-8) чистотой более 99%;
- пентан-2,3-дион (CAS N 600-14-6) чистотой более 97%;
- гексан-2,3-дион (CAS N 3848-24-6) чистотой более 90%.
б) Реактивы для аналитического исследования:
- 1,2-диаминобензол (CAS N 95-54-5) порошкообразный чистотой более 97%;
- этанол (CAS N 64-17-5), чистый для ВЭЖХ;
- гидроксид натрия (CAS N 1310-73-2), раствор концентрации 0,1 моль/дм3;
- кислота серная (CAS N 7664-93-9) чистотой, обеспечивающей кристаллизацию;
- дихлорметан (CAS N 75-09-2);
- сульфат натрия безводный (CAS N 7757-82-6);
- водно-спиртовой раствор с объемной долей этанола 50% (смешивают 50 см3 чистого этанола для ВЭЖХ с 50 см3 воды);
- раствор внутреннего стандарта гексан-2,3-диона 2,0 г/дм3 (40 мг гексан-2,3-диона помещают в колбу вместимостью 30 см3 и растворяют в 20 см3 водного раствора этанола объемной долей 50%, перемешивают до полного растворения).
5.1.13.4 Аппаратура
Обычная лабораторная аппаратура, в том числе:
- газовый хроматограф с масс-спектрометрическим детектором или с детектором, селективным к азотсодержащим компонентам;
- капиллярная колонка <1> умеренной полярности с полиэтиленгликолем в качестве неподвижной жидкой фазы длиной 50 м, внутренним диаметром 0,32 мм, толщиной слоя неподвижной фазы 0,25 мкм (характеристики приведены в качестве примера);
--------------------------------
<1> Например, Carbowax 20M, BP21. Данная информация приведена для удобства пользователей настоящего стандарта и не исключает возможности использования другого оборудования с аналогичными характеристиками.
- устройство сбора данных (компьютер с программным обеспечением для регистрации и обработки хроматографических данных);
- pH-метр;
- магнитная мешалка;
- весы аналитические с точностью взвешивания до 0,1 мг;
- воздушный термостат, пригодный для поддержания температуры 60 °C;
- стандартное лабораторное оборудование из стекла, включая пипетки, колбы с винтовой крышкой вместимостью 30 см3 и микрошприцы.
5.1.13.5 Подготовка пробы
Исходный образец спиртного напитка разбавляют водой для ВЭЖХ четыре раза.
5.1.13.6 Проведение исследования
Помещают 10 см
3 подготовленной пробы (см.
5.1.13.5) в колбу вместимостью 30 см
3. Значение pH раствора в колбе доводят до 8,0 добавлением раствора гидроксида натрия концентрации 0,1 моль/дм
3 при перемешивании. Добавляют 5 мг раствора 1,2-диаминобензола. Добавляют 10 мм
3 гексан-2,3-диона (внутренний стандарт) концентрации 2,0 г/дм
3. Закрывают колбу винтовой крышкой с тефлоновой прокладкой. Перемешивают на магнитной мешалке до полного растворения реактивов. Колбу помещают в воздушный термостат при температуре 60 °C на 3 ч, после чего колбу охлаждают.
а) Экстрагирование хиноксалинов:
- значение pH реакционной смеси, приготовленной по
5.1.13.6, доводят до 2,0 путем добавления раствора серной кислоты концентрации 2 моль/дм
3;
- проводят экстрагирование двумя порциями дихлорметана в течение 5 мин с использованием магнитной мешалки;
- после каждого экстрагирования отделяют нижнюю фазу;
- объединяют оба полученных экстракта;
- объединенный экстракт обезвоживают добавлением примерно 1 г безводного сульфата натрия;
- обезвоженный экстракт отделяют от осадка.
б) Параметры хроматографического анализа (приведенные значения даны в качестве примера)
Детектирование. Для анализа методом ГХ-МС использован газовый хроматограф <2>, соединенный с устройством обработки данных и масс-спектрометром <3> (ионизация электронным ударом при 70 эВ; 2,7 кВ).
--------------------------------
<2> Например, Hewlett Packard HP 5890. Данная информация приведена для удобства пользователей настоящего стандарта и не исключает возможности использования другого оборудования с аналогичными характеристиками.
<3> Например, HP 5970. Данная информация приведена для удобства пользователей настоящего стандарта и не исключает возможности использования другого оборудования с аналогичными характеристиками.
Примечание - Допускается использовать детектор, селективный к азотсодержащим компонентам.
Колонка. Использована колонка <4> (SGE, 50 м x 0,32 мм x 0,25 мкм).
--------------------------------
<4> Например, BP21. Данная информация приведена для удобства пользователей настоящего стандарта и не исключает возможности использования другого оборудования с аналогичными характеристиками.
Температурный режим. Температура инжектора и детектора - 250 °C и 280 °C соответственно. Температурная программа термостата колонок - 1 мин при 60 °C, затем повышение температуры до 220 °C со скоростью 2 °C/мин, продолжительность конечного изотермического участка - 20 мин.
Параметры инжекции. Объем инжекции - 2 мм3, время перекрытия клапана сброса потока (режим без деления потока) - 30 мин.
в) Анализ хиноксалинов в подготовленном растворе пробы
Хроматографическое разделение. Хроматограмма производных с 1,2-диаминобензолом в пробе вина, полученная путем регистрации в режиме мониторинга выбранных ионов (SIM) приведена на
рисунке 10.
1 - глиоксаль; 2 - метилглиоксаль; 3 - 0 диацетил;
4 - пентан-2,3-дион; 5 - гексан-2,3-дион
(внутренний стандарт)
Примечания
1 Колонка: BP 21 длиной 50 м, внутренним диаметром 0,32 мм, толщиной слоя фазы 0,25 мкм.
2 Температурная программа: 60 °C в течение 1 мин, затем повышение до 220 °C со скоростью 2 °C/мин. Температура инжектора - 250 °C.
Рисунок 10 - Хроматограмма 1,2-диаминофенольных
производных дикарбонильных компонентов вина,
полученная с масс-спектрометрическим детектированием
в режиме мониторинга ионов с m/z 76, 77,
103, 117, 130, 131, 144, 158, 160 и 171
Идентификация пиков. Для идентификации производных дикарбонильных компонентов в вине используется ГХ-МС в режиме мониторинга общего ионного тока (сканирование), позволяющего получать масс-спектры хиноксалиновых производных и сравнивать их с библиотечными спектрами. В дополнение к этому времена удерживания пиков на хроматограмме испытуемого раствора пробы сравниваются с временами удерживания пиков на хроматограммах аналитических стандартов, полученных при аналогичных условиях. В
таблице 39 приведены основные ионы масс-спектров производных дикарбонильных соединений.
Таблица 39
Масс-спектры производных дикарбонильных соединений
с 2,3-диаминобензолом (указаны значения m/z ионов
и их интенсивность относительно пика с максимальной
интенсивностью)
Дикарбонильное соединение | Производное | Масс-спектр (основные ионы и их интенсивность) |
Глиоксаль | Хиноксалин | 130 (100), 103 (56,2), 76 (46,8), 50 (20,2), 75 (10,4), 131 (9,4) |
Метилглиоксаль | 2-метилхиноксалин | 144 (100), 117 (77,8), 76 (40,5), 77 (23,3), 50 (21,9), 75 (11,3), 145 (10,3) |
Диацетил | 2,3-диметилхиноксалин | 117 (100), 158 (75,6), 76 (32,3), 77 (23,1), 50 (18,3), 75 (10,4) |
Пентан-2,3-дион | 2-этил-3-метилхиноксалин | 171 (100), 172 (98), 130 (34,1), 75 (33,3), 77 (21), 50 (19,4), 144 (19), 143 (14,1), 103 (14) |
Гексан-2,3-дион | 2,3-диэтилхиноксалин | 158 (100), 171 (20,1), 76 (13,7), 77 (12,8), 159 (11,4), 157 (10,8), 50 (8,1) |
Количественное определение. Количественное определение дикарбонильных компонентов проводят в режиме SIM путем мониторинга ионов с m/z, равными 76, 77, 103, 117, 130, 144, 158 и 171. Ионы с m/z 76 и 77 используют для количественного анализа, прочие ионы - для идентификации, в частности для глиоксаля - ионы с m/z 103 и 130, для метилглиоксаля - ионы с m/z 117 и 144, для диацетила - ионы с m/z 117 и 158, для пентан-2,2-диона - ион с m/z 171 и для гексан-2,3-диона - ионы с m/z 158 и 171.
5.1.13.7 Характеристики точности метода
Метод прошел внутрилабораторную валидацию, не являющуюся формальной валидацией в соответствии с протоколом, регулирующим планирование, проведение и интерпретацию исследований эффективности методов анализа.
Повторяемость. При исследовании повторяемости для четырех дикарбонильных компонентов получены коэффициенты вариации в диапазоне от 2% до 5%.
Полнота обнаружения. Добавленные в вино компоненты обнаружены в количествах, на 6% менее ожидаемых значений.
Линейность. Линейная корреляция получена в диапазоне концентраций от 0,05 до 20 мг/дм3.
Предел обнаружения. Для большинства производных дикарбонильных компонентов предел обнаружения составил 0,05 мг/дм3.
5.1.14 Метод анализа
соединений в алкогольных напитках виноградного происхождения с помощью высокоэффективной жидкостной хроматографии с дериватизацией с 1,2-диаминбензолом
5.1.14.1 Основными

соединениями, содержащимися в спиртах виноградного происхождения (винных спиртах), являются глиоксаль, метилглиоксаль, диацетил и пентан-2,3-дион:
- глиоксаль - OCH-CHO (этандиаль);
- метилглиоксаль - CH3-CO-CHO (2-оксопропаналь);
- диацетил - CH3-CO-CO-CH3 (бутан-2,3-дион);
- пентан-2,3-дион - CH3-CH2-CO-CO-CH3;
- гексан-2,3-дион - CH3-CH2-CH2-CO-CO-CH3.
Дикарбонильные соединения оказывают влияние на органолептические свойства винодельческой продукции, поэтому их исследование имеет большое значение для идентификации продуктов. Настоящий метод распространяется на спиртные напитки виноградного происхождения с содержанием карбонильных компонентов от 0,05 до 20 мг/дм3.
5.1.14.2 Сущность метода
Метод основан на образовании из

компонентов хиноксалиновых производных с 1,2-диаминобензолом (см.
рисунок 11).
Рисунок 11 - Образование производных
дикарбонильных соединений
Реакция протекает в спиртном напитке, разбавленном четыре раза, при pH 8 в течение 3 ч при температуре 60 °C. Далее анализ производных проводят методом ВЭЖХ со спектрофотометрическим детектированием при длине волны 313 нм.
5.1.14.3 Реактивы
а) Дикарбонильные соединения:
- глиоксаль (CAS N 107-22-3), раствор массовой долей 40%;
- метилглиоксаль (CAS N 78-98-8), раствор массовой долей 40%;
- диацетил (CAS N 431-03-8) чистотой более 99%;
- пентан-2,3-дион (CAS N 600-14-6) чистотой более 97%;
- гексан-2,3-дион (CAS N 3848-24-6) чистотой более 90%.
б) Реактивы для аналитического исследования:
- 1,2-диаминобензол (CAS N 95-54-5) порошкообразный чистотой более 97%;
- этанол (CAS N 64-17-5), чистый для ВЭЖХ;
- гидроксид натрия (CAS N 1310-73-2) раствор концентрации 0,1 моль/дм3;
- кислота уксусная (CAS N 64-19-7) ледяная;
- подвижная фаза A для анализа ВЭЖХ (к 1 дм3 воды для ВЭЖХ добавляют 0,5 см3 уксусной кислоты, перемешивают, дегазируют, например с помощью ультразвука);
- подвижная фаза B для анализа ВЭЖХ (метанол CAS N 67-56-1) чистотой, пригодной для ВЭЖХ;
- водно-спиртовой раствор с объемной долей этанола 50% (смешивают 50 см3 чистого этанола для ВЭЖХ с 50 см3 воды для ВЭЖХ);
- раствор внутреннего стандарта гексан-2,3-диона 2,0 г/дм3 (40 мг гексан-2,3-диона помещают в колбу вместимостью 30 см3 и растворяют в 20 см3 водного раствора этанола объемной долей 50%, перемешивают до полного растворения).
5.1.14.4 Аппаратура
Обычная лабораторная аппаратура, в том числе:
- высокоэффективный жидкостный хроматограф со спектрофотометрическим детектором, позволяющим проводить измерения при длине волны 313 нм;
- аналитическая колонка, заполненная силикагелем с привитыми октадецильными группами размером частиц 5 мкм, длиной 250 мм, внутренним диаметром 4,6 мм (размеры даны в качестве примера);
- устройство сбора данных (компьютер с программным обеспечением для регистрации и обработки хроматографических данных);
- pH-метр;
- магнитная мешалка;
- весы аналитические с точностью взвешивания до 0,1 мг;
- устройство для дегазации подвижной фазы для ВЭЖХ (например, ультразвуковая баня);
- воздушный термостат, пригодный для поддержания температуры 60 °C;
- стандартное лабораторное оборудование из стекла, включая пипетки, колбы с винтовой крышкой вместимостью 30 см3 и микрошприцы.
5.1.14.5 Подготовка пробы
Исходный образец спиртного напитка разбавляют водой для ВЭЖХ четыре раза.
5.1.14.6 Проведение исследования
Помещают 10 см
3 спиртного напитка, разбавленного четыре раза (см.
5.1.14.5), в колбу вместимостью 30 см
3. Значение pH раствора в колбе доводят до 8,0 добавлением раствора гидроксида натрия концентрации 0,1 моль/дм
3 при перемешивании. Добавляют 5 мг раствора 1,2-диаминобензола. Добавляют 10 мм
3 гексан-2,3-диона (внутренний стандарт) концентрации 2,0 г/дм
3. Закрывают колбу винтовой крышкой с тефлоновой прокладкой. Перемешивают на магнитной мешалке до полного растворения реагентов. Колбу помещают в воздушный термостат при температуре 60 °C на 3 ч, после чего колбу охлаждают до комнатной температуры.
а) Параметры хроматографического анализа
Параметры инжекции. Исследуемый раствор, содержащий хиноксалины (см.
5.1.14.6), после охлаждения инжектируют в систему для ВЭЖХ при объеме инжекции 20 мм
3.
Программа элюирования. В
таблице 40 приведен пример программы элюирования, обеспечивающей хроматографическое разделение.
Таблица 40
Пример программы элюирования при анализе ВЭЖХ
Время, мин | Подвижная фаза A | Подвижная фаза B |
0 | 80 | 20 |
8 | 50 | 50 |
26 | 25 | 75 |
30 | 0 | 100 |
32 | 0 | 100 |
40 | 100 | 0 |
45 | 80 | 20 |
50 | 80 | 20 |
Примечание - Скорость подачи подвижной фазы - 0,6 мл/мин.
Хроматографическое разделение. Типичная хроматограмма анализа ВЭЖХ настоящим методом приведена на
рисунке 12.
Рисунок 12 - Хроматограмма 1,2-диаминофенольных
производных дикарбонильных компонентов вина, полученная
при спектрофотометрическом детектировании при длине волны
313 нм, колонка <1> длиной 250 мм, внутренним диаметром
4,6 мм, размером частиц сорбента 5 мкм
--------------------------------
<1> Например, Spherisirb ODS. Данная информация приведена для удобства пользователей настоящего стандарта и не исключает возможности использования другого оборудования с аналогичными характеристиками.
Детектирование. Для производных всех дикарбонильных соединений установлены максимумы спектрального поглощения и найдена оптимальная длина волны 313 нм.
Идентификация пиков производных. Идентификацию пиков производных проводят путем сопоставления с временами удерживания пиков на хроматограммах стандартных растворов. Приведенные параметры хроматографического анализа обеспечивают удовлетворительное разделение пиков при анализе любой винодельческой продукции.
5.1.14.7 Характеристики точности метода
Метод прошел внутрилабораторную валидацию, не являющуюся формальной валидацией в соответствии с протоколом, регулирующим планирование, проведение и интерпретацию исследований эффективности методов анализа.
Линейность. Линейность метода испытана с использованием стандартных растворов (в качестве матрицы применен водно-спиртовой раствор с объемной долей спирта 12%) (см.
таблицу 41). Количественное определение добавленных дикарбонильных компонентов показало, что метод обеспечивает линейность для всех четырех компонентов с полнотой обнаружения в диапазоне от 92% до 117%.
Таблица 41
Коэффициенты корреляции, полученные при проверке линейности
метода и полноты обнаружения с использованием стандартных
растворов (водно-спиртовые растворы объемной
долей этанола 12%)
Глиоксаль | Метилглиоксаль | Диацетил | Пентан-2,3-дион |
0,992 | 0,997 | 0,999 | 0,999 |
Предел количественного определения. Для всех дикарбонильных компонентов предел количественного определения очень низкий, при этом наилучшие результаты получены для диацетила, предел обнаружения которого в 10 раз меньше, чем для остальных компонентов (см.
таблицу 42).
Таблица 42
Параметры эффективности метода ВЭЖХ для количественного
определения дикарбонильных компонентов
Компонент | Предел обнаружения, мг/дм 3 <а> | Предел определения, мг/дм 3 <а> | Предел количественного определения, мг/дм 3 <а> |
Глиоксаль | 0,015 | 0,020 | 0,028 |
Метилглиоксаль | 0,015 | 0,020 | 0,027 |
Диацетил | 0,002 | 0,002 | 0,003 |
Пентан-2,3-дион | 0,003 | 0,004 | 0,006 |
<а> Результаты, мг/дм 3, для водно-спиртового раствора объемной долей спирта 10%. |
5.1.15 Метод определения распределения изотопов водорода - дейтерия в этаноле, полученном брожением виноградного сусла, концентрированного виноградного сусла, виноградного сахара, ректификованного виноградного сусла, и в этаноле вина с помощью ядерного магнитного резонанса
5.1.15.1 Изотоп водорода дейтерий, содержащийся в углеводах (сахарах) и воде виноградного сусла, перераспределяется после брожения в молекулах I, II, III и IV этанола и воды вина:
CH2DCH2OH | CH3CHDOH | CH3CH2OD | HOD |
I | II | III | IV |
5.1.15.2 Настоящий метод предназначен для измерения отношения изотопов водорода - дейтерия (D/H) в этаноле вина и этаноле, полученном брожением продуктов переработки винограда (сусло, концентрированное сусло, ректификованное концентрированное сусло).
5.1.15.3 Сокращения
(D/H)I - отношение изотопов водорода, ассоциированное с молекулой I <1>.
--------------------------------
<1> Структурный элемент молекулы этанола - метильная группа.
(D/H)II - отношение изотопов водорода, ассоциированное с молекулой II <2>.
--------------------------------
<2> Структурный элемент молекулы этанола - метиленовая группа.

- отношение изотопов водорода в воде вина (или в сброженных продуктах переработки винограда).
R = 2(D/H)II/(D/H)I, показатель R характеризует относительное распределение дейтерия в молекулах I и II, значение R получают прямым измерением интенсивности сигналов h (высота пиков) и равен соответственно R = 3hII/hI.
5.1.15.4 Сущность метода
Показатели R, (D/H)I и (D/H)II, приведенные выше, исследуют методом спектроскопии ядерного магнитного резонанса (ЯМР) дейтерия в этаноле, выделенном из вина или из продуктов брожения сусла, концентрированного сусла или виноградного сахара (ректификованного концентрированного сусла), полученных в заданных условиях.
5.1.15.5 Реактивы и материалы
а) Реактивы:
1) реагенты для определения содержания воды по методу Карла Фишера (в случае применения этого метода для измерения доли спирта в дистилляте);
2) гексафторбензол (C
6F
6), используемый для стабилизации магнитного поля (lock substance);
3) трифторуксусная кислота (TFA, CAS 76-05-1) или альтернативный реактив - трифторуксусный ангидрид (TFAA, CAS 407-25-0).
б) Стандартные образцы:
1) запаянная стеклянная ЯМР ампула <1> для проверки калибровки оборудования;
--------------------------------
<1> Например, типа CRM-123. Данная информация приведена для удобства пользователей настоящего стандарта и не исключает возможности использования других ампул с аналогичными характеристиками.
2) стандартный образец N,N-тетраметилмочевины (TMU) с калиброванным значением отношения изотопов водорода (D/H);
3) другие стандартные образцы <2> типа CRM для проверки дистилляции и подготовки проб (согласно
таблице 43).
--------------------------------
<2> Например, типа CRM. Данная информация приведена для удобства пользователей настоящего стандарта и не исключает возможности использования других стандартных образцов с аналогичными характеристиками.
Стандартный образце (тип CRM) | Состав стандартного образца | Параметр | Сертифицированное значение | Неопределенность (погрешность) |
CRM-656 | Этанол из вина, 96% об. | - | - | - |
tD (этанол), % мас. | 94,61 | 0,05 |
 (этанол),  VPDB | -26,91 | 0,07 |
(D/H)I (этанол), ppm | 102,84 | 0,20 |
(D/H)II (этанол), ppm | 132,07 | 0,30 |
R (этанол) | 2,57 | 0,005 |
CRM-660 | Водный раствор этанола, 12% об. | - | - | - |
tQ (этанол), % об. | 11,96 | 0,06 |
 (этанол),  VPDB | -26,72 | 0,09 |
(D/H)I (этанол), ppm | 102,90 | 0,16 |
(D/H)II (этанол), ppm | 131,95 | 0,23 |
R (этанол) | 2,567 | 0,005 |
(D/H)W (вода), ppm | 148,68 | 0,14 |
1) ЯМР-спектрометр, оснащенный специальным "дейтерным" датчиком, настроенным на характерную частоту
vo поля B
o (например, для B
o = 7,05Т,
vo = 46,05 МГц, для B
o = 9,4Т,
vo = 61,4 МГц), а также обладающий каналом с развязкой от протонов (B
2) и каналом стабилизации частоты поля (lock) на частоте фтора. Дополнительно ЯМР-спектрометр может быть оснащен автоматической системой смены проб и программным обеспечением для оценки спектров и обработки результатов измерений. Настройка и характеристики ЯМР-спектрометра могут быть проверены использованием сертифицированного стандартного образца - запаянной стеклянной ампулы [см.
5.1.15.5б)1)].
2) Стеклянная ЯМР-ампула диаметром 10 мм.
3) Дистилляционная установка.
Примечание - Допускается использовать любой способ выделения этанола из исследуемого образца при условии, что этанол получают из вина без изотопного фракционирования (изменения изотопного состава).
На
рисунке 13 представлен пример дистилляционной системы на основе колонны Кадио, которая позволяет в ручном режиме выделить из образца этанол с выходом от 96% до 98% без изменения его изотопного состава. При этом доля этанола в получаемом дистилляте составляет от 92% мас. до 93% мас. (95% об.). Подобная система состоит:
- из электрического нагревателя с регулятором напряжения;
- круглодонной колбы вместимостью 1 дм3 со шлифовым соединением;
- дистилляционной колонны Кадио с размещенной внутри вращающейся лентой из тефлона;
- конических колб со шлифовыми соединениями для сбора дистиллята.
1 - мотор; 2 - герметичное соединение; 3 - термометр;
4 - колонна; 5 - пробка; 6 - атмосфера; 7 - зонд; 8 - колба
Рисунок 13 - Дистилляционная система для выделения этанола
Проверку соответствия дистилляционной системы требованиям по выходу этанола и точности изотопных измерений проводят периодически, например путем использования для дистилляции и измерения стандартного образца CRM-660 (см.
таблицу 43).
4) Для проведения исследований требуется следующее оборудование общелабораторного назначения и расходные материалы:
- микродозаторы с соответствующими наконечниками;
- весы с точностью взвешивания 0,1 мг или лучше;
- весы с точностью взвешивания 0,1 г или лучше;
- одноразовые шприцы для жидкостей;
- точно градуированные мерные цилиндры вместимостью 50, 100, 250 см3 и др.;
- флаконы с герметичной укупоркой с инертной мембраной (для хранения аликвот вина, дистиллятов и остатков до их измерения);
- оборудование и расходные материалы из описаний других методов, ссылки на которые приведены в настоящем методе.
Вышеперечисленное оборудование и расходные материалы являются примерами. В исследовании допускается использовать другое оборудование с эквивалентными характеристиками.
5.1.15.6 Отбор и подготовка проб
а) Если отсутствуют сведения о доле этанола в образце вина или сброженного продукта (
tv), их исследуют пригодным для этой цели методом. Доля этанола должна быть определена с точностью, близкой к 0,05% об.
Мерным цилиндром соответствующей вместимости отбирают необходимый объем V, см3, пробы от образца вина или сброженного продукта и переносят его в круглодонную колбу дистилляционной системы. К системе присоединяют коническую колбу для сбора дистиллята. Включают нагреватель и доводят продукт до дистилляции, поддерживая постоянным количество флегмы, образующейся на уровне конденсатора. Сбор дистиллята начинают при достижении стабильной температуры паров, типичной азеотропной смеси этанола и воды (78 °C). Сбор дистиллята останавливают при повышении температуры. Сбор дистиллята следует продолжать до полного выделения азеотропной смеси этанола и воды из образца.
В случае использования дистилляционной колонны Кадио (см.
рисунок 13) операции по выделению этанола могут быть осуществлены следующим образом:
- начинают собирать кипящую фракцию, соответствующую азеотропной смеси этанола и воды, при повышении температуры;
- затем прерывают сбор на 5 мин;
- после снижения температуры до 78 °C возобновляют сбор дистиллята до следующего повышения температуры паров;
- указанные операции повторяют до тех пор, пока температура после последнего прекращения сбора дистиллята не будет снижаться до 78 °C.
В качестве альтернативного варианта могут быть использованы дистилляционные системы, которые имеются в продаже и соответствуют требованиям настоящего метода.
После завершения дистилляции взвешиванием определяют вес дистиллята mD с точностью более 0,1 г.
Для предотвращения изотопного фракционирования дистиллят необходимо хранить в герметично укупоренном флаконе, избегая любого испарения, до последующего определения в нем крепости [см.
5.1.15.6в)] и подготовки зонда для ЯМР [см.
5.1.15.7.1а)]. Во флаконе оставляют аликвоту (несколько миллилитров) дистиллята для хранения на случай определения отношения изотопов, характеризуемого показателем

.
в) Определение крепости дистиллята
Долю этанола, % мас., в дистилляте определяют с точностью более 0,1%. Содержание воды в дистилляте (

, г) может быть исследовано методом Карла Фишера, используя для этого 0,5 см
3 пробы массой

, г.
Долю этанола дистиллята

, % мас., вычисляют по формуле

, (11)
где

- содержание воды в дистилляте, г;

- вес 0,5 см
3 дистиллята, г.
В качестве альтернативного метода для определения доли этанола может быть использовано измерение плотности дистиллята, например с помощью электронного денситометра.
г) Выход этанола после дистилляции
Выход этанола, %, после дистилляции вычисляют по формуле

, (12)
где

- доля этанола (крепость) в дистилляте, % мас.;
mD - вес дистиллята, г;
V - объем исходной пробы, использованный для дистилляции, см3;
tv - доля этанола в образце вина или сброженного продукта переработки винограда, % об.
С учетом уровней неопределенности для каждой составляющей по
формуле (12), в особенности для показателя
tv, точность определения выхода этанола после дистилляции составит +/- 0,5% (в случае вина с долей этанола 10% об.).
При использовании дистилляционной колонны Кадио для выхода этанола выше чем 96% существенное изотопное фракционирование в дистилляте отсутствует. В любом случае оператор может использовать для дистилляции достаточный объем исходного вина (V, см3) <1> или сброженного продукта переработки винограда для обеспечения достаточного выхода этанола. Типичными объемами для вина или сброженных продуктов для дистилляции с использованием колонны Кадио являются 750, 500, 400 и 300 см3 (tv = 4, 6, 8 и 10% об. соответственно). Эти объемы достаточны для обеспечения выхода этанола не менее 96%.
--------------------------------
<1> Практика применения настоящего метода показывает, что объем V должен составлять не менее 300 см3.
д) Брожение сусла, концентрированного сусла и ректификованного концентрированного сусла
Перед использованием дрожжи могут быть активированы в небольшом объеме сусла. Емкость для брожения должна быть оснащена клапаном, исключающим проникновение воздуха и потери этанола.
В емкость для брожения вносят 1 дм
3 сусла, в котором предварительно определена концентрация сбраживаемых сахаров. К суслу добавляют 1 г сухих или заранее активированных дрожжей. Емкость закрывают и обеспечивают ее герметичность от проникновения воздуха извне. Проводят полное сбраживание сахаров. Полученный сброженный продукт используют для выделения этанола путем дистилляции, варианты которой представлены в
5.1.15.6а) -
5.1.15.6г).
Примечание - Сусло, консервированное с помощью диоксида серы, подвергают десульфитации барботированием сусла азотом в водяной бане при температуре от 70 °C до 80 °C с возвратом и улавливанием флегмы для предотвращения изотопного фракционирования в результате испарения воды. Диоксид серы можно удалить альтернативным способом путем добавления в сусло небольшого количества перекиси (H2O2).
2) Концентрированное сусло
В емкость для брожения вносят
V, см
3, концентрированного сусла с установленным количеством сбраживаемых сахаров (примерно 170 г). Объем содержимого в емкости доводят добавлением воды, см
3, до 1 дм
3 (1000 -
V). К содержимому добавляют 1 г сухих дрожжей и 3 г азотсодержащей подкормки без аминокислот <1>. Содержимое гомогенизируют, далее ведут процесс согласно
5.1.15.6д)1).
--------------------------------
<1> Например, Bacto Yeast Nitrogen Base. Данная информация приведена для удобства пользователей настоящего стандарта.
3) Виноградный сахар (ректификованное концентрированное сусло)
Процесс брожения ведут согласно
5.1.15.6д)2), добавляя к ректификованному концентрированному суслу воду (1000 -
V) для повышения объема содержимого до 1 дм
3. Объем воды, используемый для корректировки объема, должен содержать 3 г винной кислоты.
Примечание - Концентрированное сусло и ректификованное концентрированное сусло разбавляют имеющейся в распоряжении водой, значения показателей (D/H) которой отличаются от значений воды, содержащейся в сусле. По принятому условию значения показателей (D/H)I и (D/H)II, которые исследуют в этаноле, должны быть нормализованы так, как это было бы при использовании при брожении воды с концентрацией дейтерия, соответствующей международному стандартному образцу воды V-SMOW (155,76 ppm). Нормализованное значение (D/H)I, ppm, вычисляют по формулам:

, (13)
где (D/H)I - значение до нормализации, ppm;

- отношение изотопов водорода - дейтерия в воде разбавленного сусла, ppm [определяют по
формуле (15) - Крейга "Global Meteoric Water Line", 1961 г.];

, (14)
где (D/H)II - значение до нормализации, ppm;

- отношение изотопов водорода - дейтерия в воде разбавленного сусла, ppm [определяют по
формуле (15) - Крейга "Global Meteoric Water Line", 1961 г.];

, (15)
где

- изотопный состав кислорода в воде разбавленного сусла, определенный методом масс-спектрометрии отношений изотопов в воде вин и сусел,

(см.
5.1.8).
От каждой пробы сусла, сульфитированного сусла, концентрированного сусла или ректификованного концентрированного сусла сохраняют 50 см
3 для возможного выделения воды и определения в ней изотопного состава водорода, характеризуемого показателем

.
5.1.15.7 Проведение исследования
5.1.15.7.1 Подготовка пробы этанола для ЯМР-измерения
а) Подготовка ЯМР-ампулы диаметром 10 мм:
- в предварительно взвешенный флакон вносят 3,2 см
3 дистиллята по
5.1.15.6б);
- флакон с дистиллятом взвешивают с точностью 0,1 мг (mA);
- отбирают 1,3 см
3 стандартного образца TMU [см.
5.1.15.5б)2)] и взвешивают его с точностью 0,1 мг (
mST).
В зависимости от типа ЯМР-спектрометра и используемого датчика в пробу вносят достаточное количество гексафторбензола [см.
5.1.15.5а),2)] в качестве вещества стабилизатора частоты поля (lock):
Спектрометр | Датчик диаметром 10 мм |
7,05Т | вносят 150 мм3 гексафторбензола |
9,4Т | вносят 35 мм3 гексафторбензола |
Указанные количества являются примерами. Актуальный объем выбирают в зависимости от чувствительности ЯМР-спектрометра. Во время подготовки пробы и ЯМР-измерения оператор должен избегать испарения этанола и стандартного образца TMU, т.к. это может вызвать изотопное фракционирование, ошибки в весе дистиллята (mA) и стандартного образца (mST), что в свою очередь может привести к ошибочным результатам ЯМР-измерения. Контроль процессов подготовки пробы и ее измерения может быть проведен с использованием стандартного образца CRM-656.
Примечание - В состав гексафторбензола может быть введена трифторуксусная кислота в количестве 10% об. [см.
5.1.15.5а)3)] для катализа быстрого водородного обмена по гидроксильным связям, который регистрируется в отдельном ЯМР-пике для сигналов гидроксильной группы и воды.
б) Регистрация
2H-ЯМР-спектров этанола
| | ИС МЕГАНОРМ: примечание. Здесь и далее в официальном тексте документа, видимо, допущена опечатка: имеется в виду п. 5.1.15.7.1а), а не 5.1.15.7а). | |
Однородность магнитного поля B
o в пробе обеспечивается посредством т.н. шиммирования, которое усиливает
19F-ЯМР-стабилизирующий сигнал, наблюдаемый по гексафторбензолу. Современные ЯМР-спектрометры реализуют эту процедуру в автоматическом режиме, что обеспечивает начальную настройку, близкую к оптимальной однородности магнитного поля для заданных проб, например для серии проб этанола, подготовленной согласно условиям в
5.1.15.7а). Эффективность этой процедуры может быть проверена через разрешающую способность, измеренную в спектре, полученном без экспоненциального увеличения (например,
LB = 0, см.
рисунок 15) и выраженном как ширина пиков на полувысоте сигналов метильной, метиленовой групп этанола и метильной группы TMU, которая должна быть менее 0,5 Гц в наиболее благоприятных условиях. Чувствительность, измеренная с экспоненциальным фактором
LB = 2 (см.
рисунок 15), должна быть более или равна 150 для сигнала метильной группы этанола, который имеет чистоту в 95% об. (93,5% мас.).
в) Проверка настройки оборудования
| | ИС МЕГАНОРМ: примечание. В официальном тексте документа, видимо, допущена опечатка: имеется в виду п. 5.1.15.7.1г), а не 5.1.15.7г). | |
Проверку однородности поля и чувствительности проводят согласно инструкциям изготовителя оборудования. Для проверки используют запаянные стандартные образцы CRM-123 типов H (high), M (medium), L (low). Следуя процедуре, описанной в
5.1.15.7г), проводят измерение этих спиртов, обозначая их как "H
meas", "M
meas", "L
meas". Результаты измерения сравнивают с паспортными значениями "H
st", "M
st" и "L
st". Типичные значения для стандартного отклонения результатов серии измерений из 10 повторностей составляют 0,01 для показателя
R, 0,05 ppm для показателя (D/H)
I и 1 ppm для показателя (D/H)
II.
Средние значения, полученные для разных изотопных показателей [R, (D/H)I и (D/H)II] должны коррелировать с соответствующим стандартным отклонением для каждого показателя стандартного образца CRM-123. В противном случае проверку настроек оборудования повторяют.
г) Условия для измерения ЯМР-спектров
| | ИС МЕГАНОРМ: примечание. В официальном тексте документа, видимо, допущена опечатка: имеется в виду п. 5.1.15.7.1, а не 7.1. | |
Вносят пробу этанола, подготовленную по
7.1, в стеклянную ЯМР-ампулу диаметром 10 мм [см.
5.1.15.5в)] и вводят ее в датчик.
Предлагаемые условия для измерения ЯМР-спектров представлены в нижеприведенном перечислении:
- устанавливают постоянную температуру датчика с точностью более +/- 0,5 К, в диапазоне от 302 К до 306 К в зависимости от мощности нагрева, генерируемой в результате развязки;
- время измерения составляет как минимум 6,8 с для спектральной широты 1200 Гц (память 16 К), например примерно 20 ppm при 61,4 МГц или 27 ppm при 46,1 МГц;
- импульс 90°;
- параболическое детектирование: значение офсет 01 фиксируют между сигналами гидроксильной (OD) и метиленовой (CHD) групп для этанола и между сигналами воды (HOD) и стандартного образца TMU;
- определяют значение офсет 02 развязки из протонного спектра, измеренного на канале развязки (датчика) на одной и той же пробе. Положительная развязка достигается в том случае, если значение 02 локализовано в центре частотного интервала, существующего между метильной CH3- и метиленовой CH2-группами. Для обеспечения гомогенной развязки необходимо использовать широкополосный режим или составные последовательности импульсов.
| | ИС МЕГАНОРМ: примечание. В официальном тексте документа, видимо, допущена опечатка: имеется в виду п. 5.1.15.7.1б), а не 5.1.15.7б). | |
Для каждого спектра проводят ряд измерений для аккумулирования (
NS) сигнала, достаточного для получения отношения "сигнал/шум", характеризуемого как чувствительность в
5.1.15.7б), и повторяют определенное количество раз (
NE) этот набор аккумулирующих измерений. Значения
NS-сигналов зависят от типа спектрометра и используемого датчика. Примеры для возможного выбора приведены ниже:
Спектрометр | Датчик 10 мм |
7,05Т | NS = 304 |
9,4Т | NS = 200 |
Количество повторов
NE должно быть статистически значимым и достаточным для обеспечения характеристик точности метода, представленных в
5.1.15.9.
При исследовании двух проб, подготовленных согласно условиям, указанным в
5.1.15.7а), для каждой пробы могут быть зарегистрированы пять ЯМР-спектров (
NE = 5). За окончательный результат для каждого изотопного показателя принимают среднее арифметическое значение для двух ЯМР-проб. В этом случае критериями приемлемости для подтверждения результатов исследования, полученных на этих двух пробах, будут являться следующие:
| Mes1 (D/H)I - Mes2 (D/H)I | < 0,05 ppm,
где Mes1 (D/H)I и Mes2 (D/H)I - измеренные значения для показателя (D/H)I - метильная группа молекулы этанола;
| Mes1 (D/H)II - Mes2 (D/H)II | < 0,08 ppm,
где Mes1 (D/H)II и Mes2 (D/H)II - измеренные значения для показателя (D/H)II - метиленовая группа молекулы этанола.
5.1.15.8 Расчет и выражение результатов
Для каждого спектра
NE (см. ЯМР-спектр этанола на
рисунке 14) вычисляют значения изотопного показателя
R по формуле

, (16)
где hII - высота пика для сигнала II - метиленовая группа молекулы этанола (CH3CHDOH);
hI - высота пика сигнала I - метильная группа молекулы этанола (CH2DCH2OH).
Изотопный состав водорода в метильной группе молекул этанола (D/H)I, ppm, вычисляют по формуле

, (17)
где TI - корректирующий фактор - отношение высоты пика сигнала I - метильная группа молекулы этанола (CH2DCH2OH) к высоте пика сигнала внутреннего стандартного образца (TMU);
mST - вес 1,3 см
3 внутреннего стандартного образца [см.
5.1.15.7а)], г;
(D/H)ST - паспортное значение изотопного состава водорода во внутреннем стандартном образце (TMU), ppm;

- доля этанола в дистилляте, % мас.
Изотопный состав водорода в метильной группе молекул этанола (D/H)II, ppm, вычисляют по формуле

, (18)
где TII - корректирующий фактор - отношение высоты пика сигнала II - метиленовая группа молекулы этанола (CH3CHDOH) к высоте пика сигнала внутреннего стандартного образца (TMU);
mST - вес 1,3 мл внутреннего стандартного образца [см.
5.1.15.7а)], г;
(D/H)ST - паспортное значение изотопного состава водорода во внутреннем стандартном образце (TMU), ppm;

- доля этанола в дистилляте, % мас.
Рисунок 14 -
2H-ЯМР-Спектр этанола, выделенного
из вина, с внутренним стандартным образцом
(TMU: N,N-тетраметилмочевина)
Рисунок 15 -
2H-ЯМР-Спектр этанола, зарегистрированный в тех
же условиях, что и спектр на
рисунке 14, но без применения
экспоненциального увеличения (LB = 0)
Использование в расчете высоты пиков вместо площади пиков, что является менее точным, предполагает, что ширина пика на половине его высоты является идентичным значением и, если применимо, разумной аппроксимацией (см.
рисунок 15).
Для каждого изотопного показателя вычисляют среднее значение и доверительный интервал для всего количества повторных регистраций спектра для заданной пробы. В исследовании может быть использовано соответствующее программное обеспечение, которое позволяет провести расчет результатов в оперативном режиме.
5.1.15.9 Характеристики точности метода (прецизионность)
Характеристики повторяемости и воспроизводимости метода SNIF-NMR исследованы в рамках межлабораторного эксперимента на фруктовых соках. Однако в этом эксперименте рассматривался только показатель изотопного состава водорода в метильной группе молекулы этанола (D/H)
I. В случае данных по вину, которые получены в рамках собственных исследований в нескольких лабораториях, результаты, лежащие в основе значений для стандартного отклонения повторяемости и предела повторяемости, представлены в
5.1.15.10. Результаты теста на компетентность, приведенные в
5.1.15.11, могут быть использованы для расчета стандартного отклонения воспроизводимости и предела воспроизводимости для исследования вина.
Все данные о характеристиках точности метода могут быть обобщены. (см.
таблицу 44)
Наименование показателя | (D/H)I | (D/H)II | R |
Стандартное отклонение повторяемости Sr | 0,26 | 0,30 | 0,005 |
Предел повторяемости r | 0,72 | 0,84 | 0,015 |
Стандартное отклонение воспроизводимости SR | 0,35 | 0,62 | 0,006 |
Предел воспроизводимости R | 0,99 | 1,75 | 0,017 |
5.1.15.10 Исследование повторяемости в межлабораторном эксперименте
В ходе межлабораторного эксперимента, проведенного с участием четырех лабораторий, получены данные о повторяемости данного метода (метод SNIF-NMR). Исследование проведено с применением для каждой пробы двух дистилляций и измерений 10, 9 или 15 разных образцов вина в лабораториях N 1, 2 и 3 (см.
таблицы 45 -
47). В качестве альтернативы в лаборатории N 4 в короткий временной интервал выполнены 16 дистилляций одного образца вина с соблюдением условий повторяемости метода (см.
таблицу 48).
Таблица 45
Лаборатория N 1. Результаты исследования
10 образцов вина, проведенного в двух повторностях
Образец | (D/H)I | (D/H)II | R | | | (D/H)II | [(D/H)II]2 | | |
1 | 103,97 | 130,11 | 2,503 | 0,55 | 0,302 | 0,68 | 0,462 | 0,000 | 0,00000 |
104,52 | 130,79 | 2,503 |
2 | 103,53 | 130,89 | 2,529 | 0,41 | 0,168 | 0,32 | 0,102 | 0,016 | 0,00026 |
103,94 | 130,57 | 2,513 |
3 | 102,72 | 130,00 | 2,531 | 0,32 | 0,102 | 0,20 | 0,040 | 0,004 | 0,00002 |
103,04 | 130,20 | 2,527 |
4 | 105,38 | 132,39 | 2,513 | 0,14 | 0,020 | 0,20 | 0,040 | 0,000 | 0,00000 |
105,52 | 132,59 | 2,513 |
5 | 101,59 | 127,94 | 2,519 | 0,48 | 0,230 | 0,20 | 0,040 | 0,016 | 0,00026 |
101,11 | 128,14 | 2,535 |
6 | 103,23 | 132,14 | 2,560 | 0,30 | 0,090 | 0,36 | 0,130 | 0,001 | 0,00000 |
102,93 | 131,78 | 2,561 |
7 | 103,68 | 130,95 | 2,526 | 0,15 | 0,023 | 0,75 | 0,563 | 0,011 | 0,00012 |
103,53 | 130,20 | 2,515 |
8 | 101,76 | 128,86 | 2,533 | 0,24 | 0,058 | 0,42 | 0,176 | 0,003 | 0,00001 |
101,52 | 128,44 | 2,530 |
9 | 103,05 | 129,59 | 2,515 | 0,04 | 0,002 | 0,44 | 0,194 | 0,007 | 0,00005 |
103,01 | 129,15 | 2,508 |
10 | 101,47 | 132,63 | 2,614 | 0,50 | 0,250 | 0,18 | 0,032 | 0,010 | 0,00010 |
100,97 | 132,45 | 2,624 |
- | - | - | - | Сумма квадратов: | 1,245 | - | 1,779 | - | 0,00081 |
- | - | - | - | Sr | 0,25 | - | 0,30 | - | 0,006 |
- | - | - | - | r | 0,71 | - | 0,84 | - | 0,018 |
Таблица 46
Лаборатория N 2. Результаты исследования девяти образцов
вина, проведенного в двух повторностях
Образец | (D/H)I | (D/H)II | R | | | (D/H)II | [(D/H)II]2 | | |
1 | 105,02 | 133,78 | 2,548 | 0,26 | 0,068 | 0,10 | 0,010 | 0,008 | 0,00007 |
104,76 | 133,88 | 2,556 |
2 | 102,38 | 130,00 | 2,540 | 0,73 | 0,533 | 0,40 | 0,160 | 0,010 | 0,00011 |
101,65 | 129,60 | 2,550 |
3 | 100,26 | 126,08 | 2,515 | 0,84 | 0,706 | 0,64 | 0,410 | 0,008 | 0,00007 |
99,42 | 125,44 | 2,523 |
4 | 101,17 | 128,83 | 2,547 | 0,51 | 0,260 | 0,45 | 0,203 | 0,004 | 0,00002 |
100,66 | 128,38 | 2,551 |
5 | 101,47 | 128,78 | 2,538 | 0,00 | 0,000 | 0,26 | 0,068 | 0,005 | 0,00003 |
101,47 | 128,52 | 2,533 |
6 | 106,14 | 134,37 | 2,532 | 0,12 | 0,014 | 0,04 | 0,002 | 0,002 | 0,00000 |
106,26 | 134,41 | 2,530 |
7 | 103,62 | 130,55 | 2,520 | 0,05 | 0,003 | 0,11 | 0,012 | 0,003 | 0,00001 |
103,57 | 130,66 | 2,523 |
8 | 103,66 | 129,88 | 2,506 | 0,28 | 0,078 | 0,55 | 0,302 | 0,004 | 0,00001 |
103,38 | 129,33 | 2,502 |
9 | 103,50 | 129,66 | 2,506 | 0,43 | 0,185 | 0,22 | 0,048 | 0,015 | 0,00021 |
103,93 | 129,44 | 2,491 |
- | - | - | - | Сумма квадратов: | 1,846 | - | 1,214 | - | 0,00053 |
- | - | - | - | Sr | 0,32 | - | 0,26 | - | 0,005 |
- | - | - | - | r | 0,91 | - | 0,74 | - | 0,015 |
Таблица 47
Лаборатория N 3. Результаты исследования 14 образцов
вина, проведенного в двух повторностях
Образец | (D/H)I | (D/H)II | R | | | (D/H)II | [(D/H)II]2 | | |
1 | 101,63 | 125,87 | 2,477 | 0,06 | 0,004 | 0,46 | 0,212 | 0,007 | 0,00005 |
101,57 | 125,41 | 2,470 |
2 | 99,24 | 124,41 | 2,507 | 0,05 | 0,002 | 0,04 | 0,002 | 0,001 | 0,00000 |
99,19 | 124,37 | 2,508 |
3 | 101,23 | 125,07 | 2,471 | 0,06 | 0,004 | 0,16 | 0,026 | 0,005 | 0,00002 |
101,17 | 125,23 | 2,476 |
4 | 100,71 | 125,29 | 2,488 | 0,07 | 0,005 | 1,16 | 1,346 | 0,024 | 0,00058 |
100,78 | 124,13 | 2,464 |
5 | 99,89 | 124,02 | 2,483 | 0,18 | 0,032 | 0,56 | 0,314 | 0,007 | 0,00005 |
99,71 | 123,46 | 2,476 |
6 | 100,60 | 124,14 | 2,468 | 0,19 | 0,036 | 0,66 | 0,436 | 0,018 | 0,00032 |
100,41 | 124,80 | 2,486 |
7 | 101,47 | 125,60 | 2,476 | 0,23 | 0,053 | 0,14 | 0,020 | 0,003 | 0,00001 |
101,70 | 125,74 | 2,473 |
8 | 102,02 | 124,00 | 2,431 | 0,13 | 0,017 | 0,07 | 0,005 | 0,005 | 0,00002 |
102,15 | 123,93 | 2,426 |
9 | 99,69 | 124,60 | 2,500 | 0,40 | 0,160 | 0,53 | 0,281 | 0,000 | 0,00000 |
100,09 | 125,13 | 2,500 |
10 | 99,17 | 123,71 | 2,495 | 0,30 | 0,090 | 0,19 | 0,036 | 0,004 | 0,00002 |
99,47 | 123,90 | 2,491 |
11 | 100,60 | 123,89 | 2,463 | 0,40 | 0,160 | 0,54 | 0,292 | 0,001 | 0,00000 |
101,00 | 124,43 | 2,464 |
12 | 99,38 | 124,88 | 2,513 | 0,33 | 0,109 | 0,55 | 0,302 | 0,002 | 0,00000 |
99,05 | 124,33 | 2,511 |
13 | 99,51 | 125,24 | 2,517 | 0,44 | 0,194 | 0,01 | 0,000 | 0,011 | 0,00012 |
99,95 | 125,25 | 2,506 |
14 | 101,34 | 124,68 | 2,460 | 0,43 | 0,185 | 0,41 | 0,168 | 0,002 | 0,00000 |
101,77 | 125,09 | 2,458 |
- | - | - | - | Сумма квадратов: | 1,050 | - | 3,437 | - | 0,00120 |
- | - | - | - | Sr | 0,19 | - | 0,34 | - | 0,006 |
- | - | - | - | r | 0,53 | - | 0,96 | - | 0,018 |
Таблица 48
Лаборатория N 4. Результаты исследования
одного образца вина в 16 повторностях
Повторность | (D/H)I | (D/H)II | R |
1 | 101,38 | 126,87 | 2,503 |
2 | 101,30 | 126,22 | 2,492 |
3 | 100,98 | 125,86 | 2,493 |
4 | 100,94 | 126,00 | 2,497 |
5 | 100,71 | 125,79 | 2,498 |
6 | 100,95 | 126,05 | 2,497 |
7 | 101,17 | 126,30 | 2,497 |
8 | 101,22 | 126,22 | 2,494 |
9 | 100,99 | 125,91 | 2,494 |
10 | 101,29 | 126,24 | 2,493 |
11 | 100,78 | 126,07 | 2,502 |
12 | 100,65 | 125,65 | 2,497 |
13 | 101,01 | 126,17 | 2,498 |
14 | 100,89 | 126,05 | 2,499 |
15 | 101,66 | 126,52 | 2,489 |
16 | 100,98 | 126,11 | 2,498 |
Отклонение | 0,0703 | 0,0840 | 0,000013 |
Sr | 0,27 | 0,29 | 0,004 |
r | 0,75 | 0,82 | 0,010 |
Обобщенные данные для стандартного отклонения повторяемости приведены в
таблице 49.
Наименование показателя | (D/H)I | (D/H)II | R |
Стандартное отклонение повторяемости Sr | 0,26 | 0,30 | 0,005 |
Предел повторяемости | 0,72 | 0,84 | 0,015 |
5.1.15.11 Оценка воспроизводимости по результатам теста на компетентность
С декабря 1994 г. на регулярной основе проводят международные тесты на компетентность по ряду изотопных параметров в вине и других пищевых матрицах. Данные тесты на компетентность обеспечивают возможность для участвующих лабораторий для оценки характеристик и качества своих анализов. Статистическая обработка результатов, полученных на большом количестве образцов на протяжении длительного периода времени, позволяет получить данные о вариабельности значений измерений в условиях воспроизводимости. Это также дает возможность качественно оценить уровень отклонений и предел воспроизводимости метода. Суммированные результаты 40 тестов на компетентность, проведенных лабораториями в период с 1994 по 2010 гг. на разных типах вина (красное, белое, розовое, сухое, сладкое и игристое), представлены в
таблице 50.
Таблица 50
Тест FIT на компетентность лабораторий (суммированные
статистические значения, полученные для образцов вина)
Образец | Год | Номер теста | (D/H)I | (D/H)II |
N | Среднее значение | SR | N | Среднее значение | SR |
Красное вино | 1994 | R1 | 10 | 102,50 | 0,362 | 10 | 130,72 | 0,33 |
Розовое вино | 1995 | R1 | 10 | 102,27 | 0,333 | 10 | 128,61 | 0,35 |
Красное вино | 1995 | R2 | 11 | 101,45 | 0,389 | 11 | 127,00 | 0,55 |
Красное вино | 1996 | R1 | 11 | 101,57 | 0,289 | 11 | 132,23 | 0,34 |
Розовое вино | 1996 | R2 | 12 | 102,81 | 0,322 | 12 | 128,20 | 0,60 |
Белое вино | 1996 | R3 | 15 | 103,42 | 0,362 | 15 | 127,97 | 0,51 |
Красное вино | 1996 | R4 | 15 | 102,02 | 0,377 | 13 | 131,28 | 0,30 |
Розовое вино | 1997 | R1 | 16 | 103,36 | 0,247 | 16 | 126,33 | 0,44 |
Белое вино | 1997 | R2 | 16 | 103,42 | 0,444 | 15 | 127,96 | 0,53 |
Сладкое белое вино | 1997 | R2 | 14 | 99,16 | 0,419 | 15 | 130,02 | 0,88 |
Вино | 1997 | R3 | 13 | 101,87 | 0,258 | 15 | 132,03 | 0,61 |
Сладкое вино | 1997 | R3 | 12 | 102,66 | 0,214 | 12 | 128,48 | 0,48 |
Розовое вино | 1997 | R4 | 16 | 102,29 | 0,324 | 16 | 129,29 | 0,63 |
Сладкое вино | 1997 | R4 | 15 | 102,04 | 0,269 | 13 | 131,27 | 0,30 |
Белое вино | 1998 | R1 | 16 | 105,15 | 0,302 | 16 | 127,59 | 0,59 |
Сладкое вино | 1998 | R3 | 16 | 102,17 | 0,326 | 16 | 129,60 | 0,56 |
Красное вино | 1998 | R4 | 17 | 102,44 | 0,306 | 17 | 131,60 | 0,47 |
Белое вино | 1999 | R1 | 14 | 102,93 | 0,404 | 13 | 129,64 | 0,46 |
Сладкое вино | 2000 | R2 | 15 | 103,19 | 0,315 | 14 | 129,43 | 0,60 |
Вино | 2001 | R1 | 12 | 105,28 | 0,264 | 16 | 131,32 | 0,68 |
Сладкое вино | 2001 | R2 | 14 | 101,96 | 0,249 | 15 | 128,99 | 1,05 |
Вино | 2002 | R1 | 17 | 101,01 | 0,365 | 16 | 129,02 | 0,74 |
Вино | 2002 | R2 | 17 | 101,30 | 0,531 | 17 | 129,28 | 0,93 |
Вино | 2003 | R1 | 18 | 100,08 | 0,335 | 18 | 128,98 | 0,77 |
Сладкое вино | 2003 | R2 | 17 | 100,51 | 0,399 | 18 | 128,31 | 0,80 |
Вино | 2004 | R1 | 18 | 102,88 | 0,485 | 19 | 128,06 | 0,81 |
Сладкое вино | 2004 | R3 | 16 | 101,47 | 0,423 | 16 | 130,10 | 0,71 |
Вино | 2005 | R1 | 19 | 101,33 | 0,447 | 19 | 129,88 | 0,76 |
Сладкое вино | 2005 | R2 | 15 | 102,53 | 0,395 | 15 | 131,36 | 0,38 |
Сухое вино | 2006 | R1 | 18 | 101,55 | 0,348 | 18 | 131,30 | 0,51 |
Сладкое вино | 2006 | R2 | 18 | 100,31 | 0,299 | 18 | 127,79 | 0,55 |
Вино | 2007 | R1 | 18 | 103,36 | 0,403 | 18 | 130,90 | 0,90 |
Сладкое вино | 2007 | R2 | 19 | 102,78 | 0,437 | 19 | 130,72 | 0,55 |
Вино | 2008 | R1 | 24 | 103,20 | 0,261 | 23 | 131,29 | 0,59 |
Сладкое вино | 2008 | R2 | 20 | 101,79 | 0,265 | 19 | 129,73 | 0,34 |
Сухое вино | 2009 | R1 | 24 | 102,96 | 0,280 | 23 | 130,25 | 0,49 |
Сладкое вино | 2009 | R2 | 21 | 101,31 | 0,310 | 21 | 127,07 | 0,50 |
Сухое вино | 2010 | R1 | 21 | 101,80 | 0,350 | 20 | 129,65 | 0,40 |
Игристое вино | 2010 | R1 | 11 | 101,51 | 0,310 | 11 | 129,09 | 0,68 |
Сухое вино | 2010 | R2 | 20 | 104,05 | 0,290 | 19 | 133,31 | 0,58 |
Для показателей (D/H)I и (D/H)II обобщенные значения стандартного отклонения воспроизводимости SR вычисляют по формуле

, (19)
где Ni и SR, i - количество значений и стандартное отклонение воспроизводимости i-го теста;
K - количество тестов.
С учетом определения, данного для показателя внутримолекулярного отношения R, применяя правила для широты распространения стандартной ошибки и исходя из условия о некорректируемых значениях показателей (D/H)I и (D/H)II (составляющие ковариантности равны нулю), можно оценить стандартное отклонение воспроизводимости для этого параметра.
Наименование показателя | (D/H)I | (D/H)II | R |
Стандартное отклонение воспроизводимости SR | 0,35 | 0,62 | 0,006 |
Предел воспроизводимости R | 0,99 | 1,75 | 0,01 |
5.1.16 Метод определения распределения изотопа водорода - дейтерия в этаноле спиртных напитков виноградного происхождения с помощью ядерного магнитного резонанса
5.1.16.1 Сокращения
Изотопы водорода (например, дейтерий) в углеводах (сахарах) и воде, содержащихся в виноградном сусле, перераспределяются после брожения в молекулах I, II, III и IV этанола и воды вина:
CH2DCH2OH | CH3CHDOH | CH3CH2OD | HOD |
I | II | III | IV |
Добавление экзогенного сахара (например, шаптализация) до брожения сусла окажет влияние на распределение дейтерия. Как следует из характеристик натуральных вин из одного и того же региона, обогащение экзогенным сахаром приводит к возникновению следующих изменений в количественных значениях изотопных показателей, приведенных в
таблице 52.
Показатель | (D/H)I | (D/H)II | (D/H)Q/W | R |
Натуральное вино | | | | |
Вино, с добавленным: свекловичным сахаром | | | | |
тростниковым сахаром | | | | |
кукурузным сахаром | | | | |
(D/H)I - отношение изотопов водорода, ассоциированное с молекулой I. (D/H)II - отношение изотопов водорода, ассоциированное с молекулой II.  - отношение изотопов водорода в воде вина (или в сброженных продуктах переработки винограда), R = 2(D/H) II/(D/H) I, показатель R характеризует относительное распределение дейтерия в молекулах I и II, значение R получают прямым измерением интенсивности сигналов h (высота пиков) и равен соответственно R = 3 hII/ hI. |
Показатель (D/H)I в основном характеризует ботанический вид растений, которые синтезируют сахар, и в меньшей степени - географическое происхождение (место сбора урожая) и тип воды, использованной в ходе фотосинтеза. Показатель (D/H)II характеризует климатические условия произрастания винограда (тип атмосферных осадков и погоду) и в меньшей степени содержание сахаров в исходном сусле. Показатель (D/H)Q/W характеризует климатические условия места производства и содержание сахара в исходном сусле. Вместе с тем, данный показатель больше не рассматривается, т.к. он не характеризует свойства воды, входящей в состав спиртных напитков.
5.1.16.2 Сущность метода
Значения показателей R, (D/H)I и (D/H)II, приведенных выше, измеряют методом спектроскопии ЯМР ядер дейтерия в этаноле, выделенном из спиртного напитка. Результаты исследования указанных показателей могут быть дополнены масс-спектрометрическим измерением отношения изотопов углерода 13C/12C в этаноле.
5.1.16.3 Подготовка проб к анализу
Примечание - Для выделения этанола из спиртного напитка может быть использован любой метод, если он обеспечивает выход этанола от 98,0% до 98,5% с долей от 92% мас. до 93% мас. (95% об.).
а) Выделение этанола
1) Аппаратура и реактивы:
- дистилляционная система для выделения этанола (см.
рисунок 16), состоящая из электрического нагревателя с регулятором напряжения, круглодонной колбы вместимостью 1 дм
3 со шлифовым соединением, дистилляционной колонны Кадио с вращающейся тефлоновой лентой, из конических колб вместимостью 125 см
3 со шлифовым соединением, емкостей вместимостью 125 и 60 см
3 с пластиковыми пробками;
1 - мотор; 2 - герметичное соединение; 3 - термометр;
4 - колонна; 5 - пробка; 6 - атмосфера; 7 - зонд; 8 - колба
Рисунок 16 - Дистилляционная система для выделения этанола
- реактивы для определения содержания воды в дистилляте по методу Карла Фишера.
Выделение этанола
В круглодонную колбу вносят от 50 до 300 см
3 спиртного напитка (объем зависит от доли этанола в спиртном напитке). Дистилляционная система должна быть настроена на постоянное отношение отбора флегмы 0,9. Для сбора дистиллята к дистилляционной системе присоединяют предварительно калиброванную коническую колбу вместимостью 125 см
3. Собирают примерно от 40 до 60 см
3 кипящей жидкой фракции в температурном интервале от 78,0 °C до 78,2 °C. Если температура превышает 78,5 °C, сбор дистиллята прерывают на 5 мин. После охлаждения до температуры 78 °C сбор дистиллята возобновляют до повышения температуры 78,5 °C. Эту операцию повторяют до момента сохранения температуры на постоянном уровне, после прекращения сбора дистиллята и операций в закрытой системе. Полная длительность дистилляции составляет примерно 5 ч. Данная процедура позволяет получить от 98% до 98,5% этанола от общего содержания спирта, доля которого в дистилляте составит в этом случае от 92% мас. до 93% мас. (95% об.), которая соответствует условиям ЯМР-измерения, описанным в
5.1.16.4. Собранный этанол взвешивают.
Определение крепости дистиллята
Содержание воды в дистилляте (

, г) может быть исследовано методом Карла Фишера, используя для этого 0,5 см
3 пробы с точно установленной массой

, г.
б) Подготовка пробы спирта для ЯМР-измерения
1) Реактивы
В исследовании используют N,N-тетраметилмочевину (TMU) с установленным изотопным составом водорода D/H.
2) Процедура
Подготовка ЯМР-ампулы диаметром 15 мм:
- в предварительно взвешенный флакон вносят 7 см
3 дистиллята по
5.1.16.3а)2);
- флакон с дистиллятом взвешивают с точностью 0,1 мг (mA);
- отбирают 3 см3 стандартного образца TMU и взвешивают его с точностью 0,1 мг (mST).
Для ампулы диаметром 10 мм будут достаточными 3,2 см3 дистиллята и 1,3 см3 стандартного образца TMU.
В зависимости от типа ЯМР-спектрометра и используемой ампулы в пробу вносят достаточное количество гексафторбензола в качестве вещества стабилизатора частоты магнитного поля:
Спектрометр | Датчик 10 мм | Датчик 15 мм |
7,05Т | 150 мм3 гексафторбензола | 200 мм3 гексафторбензола |
9,4Т | 35 мм3 гексафторбензола | 50 мм3 гексафторбензола |
5.1.16.4 Регистрация
2H-ЯМР-спектров этанола. Определение изотопных параметров
В исследовании используют ЯМР-спектрометр, который оснащен специальным "дейтерным" датчиком, настроенным на характерную частоту vo канала Bo (например, для Bo = 7,05Т, vo = 46,05 МГц, для Bo = 9,4Т, vo = 61,4 МГц), а также обладает каналом развязки от протонов (B2) и каналом стабилизации частоты магнитного поля на частоте фтора.
Дополнительно ЯМР-спектрометр может быть оснащен автоматической системой смены проб и программным обеспечением для оценки спектров и обработки результатов измерений. Настройка и характеристики ЯМР-спектрометра могут быть проверены путем использования сертифицированного стандартного образца - запаянной стеклянной ампулы [см.
5.1.15.5б)1)].
Однородность магнитного поля B
o в пробе обеспечивается посредством т.н. шиммирования, которое усиливает
19F-ЯМР-стабилизирующий сигнал, наблюдаемый по гексафторбензолу. Современные ЯМР-спектрометры реализуют эту процедуру в автоматическом режиме, что обеспечивает начальную настройку, близкую к оптимальной однородности магнитного поля для заданных проб. Эффективность этой процедуры может быть проверена через разрешающую способность, измеренную в спектре, полученном без экспоненциального увеличения (например,
LB = 0, см.
рисунок 18) и выраженном как ширина пиков на полувысоте сигналов метильной, метиленовой групп этанола и метильной группы TMU, которая должна быть частотой менее 0,5 Гц в наиболее благоприятных условиях. Чувствительность, измеренная с экспоненциальным фактором
LB = 2 (см.
рисунок 17), должна быть более или равна 150 для сигнала метильной группы этанола, который имеет чистоту в 95% об. (93,5% мас.). В данных условиях доверительный интервал для измерения высоты пика, учитывающий 97,5%-ную вероятность (односторонний тест) при 10 повторностях регистрации спектра, составит 0,35%.

Рисунок 17 -
2H-ЯМР-спектр этанола, выделенного
из вина, с внутренним стандартным образцом
(TMU: N,N-тетраметилмочевина)
Рисунок 18 -
2H-ЯМР-Спектр этанола, зарегистрированный
но без применения экспоненциального увеличения (LB = 0)
ЯМР-спектрометр может быть оснащен автоматической системой смены проб, программным обеспечением и датчиками на 15 или 10 мм в зависимости от технических характеристик оборудования.
б) Настройка и контроль оборудования
1) Настройка
Осуществляют обычную настройку в части гомогенности и чувствительности измерений в соответствии с требованиями изготовителя оборудования.
2) Подтверждение настройки
| | ИС МЕГАНОРМ: примечание. В официальном тексте документа, видимо, допущена опечатка: имеется в виду п. 5.1.16.5б), а не 5.1.16.5в). | |
Для проверки настройки используют стандартные образцы - водно-спиртовые растворы, обозначенные как "C" (этанол из сахарного тростника или кукурузы), "V" (винный спирт) и "B" (спирт из сахарной свеклы). В соответствии с процедурой, описанной в
5.1.16.4в), проводят исследование изотопного состава указанных спиртов, обозначая результаты исследования как "C
mes", "V
mes" и "B
mes" [см.
5.1.16.5в)]. Результаты исследования сравнивают с паспортными значениями данных стандартных образцов, обозначая их как "C
st", "B
st" и "V
st" [см.
5.1.16.5в)]. Типичные значения для стандартного отклонения повторяемости результатов серии измерений из 10 повторностей составляют 0,01 ppm для показателя
R, 0,3 ppm для показателей (D/H)
I и (D/H)
II.
Средние значения, полученные для разных изотопных показателей [R, (D/H)I и (D/H)II)], должны коррелировать с соответствующим стандартным отклонением для каждого показателя трех стандартных образцов. В противном случае проверку настроек оборудования повторяют.
в) Условия для измерения ЯМР-спектров
Вносят пробу этанола, подготовленную согласно
5.1.16.3б), в ампулу вместимостью 10 или 15 мм и вводят ее в датчик.
Предлагаемые условия для измерения ЯМР-спектров:
- устанавливают постоянную температуру датчика (например, 302 К);
- время измерения составляет как минимум 6,8 с для спектральной широты 1200 Гц (память 16 К), например: примерно 20 ppm при частоте 61,4 МГц или 27 ppm при частоте 46,1 МГц;
- импульс 90°;
- корректируют время измерения, которое должно быть одного порядка со временем пребывания;
- параболическое детектирование. Значение офсет 01 фиксируют между сигналами гидроксильной (OD) и метиленовой (CHD) групп для этанола и между сигналами воды (HOD) и стандартного образца TMU;
- определяют значение офсет 02 развязки из протонного спектра, измеренного путем разъединения катушки (датчика) на одной и той же пробирке. Благополучная развязка достигается, если значение 02 локализовано в центре частотного интервала, существующего между метильной CH3- и метиленовой CH2-группами. Для обеспечения гомогенной развязки необходимо использовать широкополосный режим.
Для каждого спектра проводят ряд измерений для аккумулирования (
NS) сигнала, достаточного для получения отношения "сигнал/шум", характеризуемого как чувствительность в
5.1.16.4а), и повторяют этот набор аккумулирующих измерений (
NE = 10 раз). Значения
NS-сигналов зависят от типа спектрометра и используемого датчика. Примеры для возможного выбора приведены ниже:
Спектрометр | Датчик 10 мм | Датчик 15 мм |
7,05Т | NS = 304 | NS = 200 |
9,4Т | NS = 200 | NS = 128 |
5.1.16.5 Расчет и выражение результатов
Использование в расчете высоты пиков вместо площади пиков, что является менее точным, предполагает, что ширина пика на половине его высоты является идентичным значением и, если применимо, разумной аппроксимацией (см.
рисунок 17).
б) Для каждого изотопного показателя вычисляют среднее значение и доверительный интервал для всего количества повторных регистраций спектра для заданной пробы. В исследовании может быть использовано соответствующее программное обеспечение, которое позволяет проводить расчет результатов в оперативном режиме.
Примечание - Если после настройки спектрометра после измерения будет наблюдаться систематическая разница между средними значениями, полученными для характерных изотопов в стандартных образцах этанола [см.
5.1.16.4б)2)], и значениями, указанными Бюро стандартных образцов Европейского союза (г. Брюссель) или другим авторизованным ведомством в паспорте стандартного образца и лежащими в пределах стандартного отклонения, для вычисления действительного значения
X пробы может быть применена нижеследующая процедура. Интерполяцию осуществляют на основе значений для стандартного образца, соответствующего пробе
X.
Принимая, что

, ppm, является измеренным значением, а

, ppm - корректированным значением, получают

, (20)
где

.
Пример
Стандартные образцы этанола приобретены у Бюро стандартных образцов Европейского союза (г. Брюссель) или другого авторизованного ведомства:
Измеренные значения для стандартных образцов составили:
Значение, подлежащее корректировке:
Расчет:
.
5.1.17 Метод прямого определения содержания нестабильного изотопа углерода 14C в этаноле с помощью жидкого сцинтилляционного детектора LSC
5.1.17.1 Поскольку спирт может использоваться при изготовлении ряда алкогольных напитков, настоящий метод применяют для идентификации его природы - растительного или неорганического происхождения. Определение содержания нестабильного изотопа углерода 14C (14C) в этаноле может быть использовано для того, чтобы отличать спирт, полученный из природных ископаемых (т.е. синтетический спирт), и спирт, полученный из растительного сырья (т.е. спирт, полученный путем брожения растительных углеводов).
5.1.17.2 Под содержанием 14C в этаноле следует понимать содержание 14C, определенное с помощью данного метода. Естественное содержание 14C в атмосфере (эталонное значение), который ассимилируется живыми растениями, не является постоянной величиной. Соответственно, эталонное значение определяют на основе этанола, взятого каждый раз из сырья, выращенного в самый последний вегетационный период <1>.
--------------------------------
<1> Это ежегодное эталонное значение определяют каждый год на основе межлабораторных испытаний, организованных Общественным бюро стандартов и Центром совместных исследований (г. Испра, Италия).
5.1.17.3 Сущность метода
Содержание 14C определяют непосредственно путем прямого жидкостного сцинтилляционного детектирования в образцах, содержащих спирт с массовой долей этанола не менее 85%.
5.1.17.4 Реактивы
Следует использовать реактивы аналитической чистоты.
а) Используемая вода должна быть дистиллированной или, по меньшей мере, эквивалентной чистоты. Предпочтительно применять воду, прошедшую микрофильтрацию и имеющую сопротивление 18,2 МОм.
б) Толуольный сцинтиллятор
Растворяют 5 г 2,5-дифенилоксазола (ППО) и 0,5 г п-п-бис [4-метил-5-фенил оксазол (2)] бензола (диметил-РОРОР) в 1 дм3 чистого толуола. Коммерчески доступные, готовые к применению толуольные сцинтилляторы данного состава также могут быть использованы.
в) Стандартный образец 14C
Используют 14C н-гексадекан с активностью около 1·106 распадов в минуту/г углерода (dpm/gC), что составляет приблизительно 1,67·106 сБк/г углерода (cBq/gC), и с гарантированной точностью установленной активности +/- 2% отн.
г) Этанол, не содержащий 14C, - синтетический спирт, изготовленный из сырья минерального происхождения с массовой долей этанола не менее 85% (используют для определения нулевого эффекта).
д) Эталонный раствор спирта, приготовленный брожением углеводов растительного сырья (виноградного происхождения) самого последнего урожая, с массовой долей этанола не менее 85%.
5.1.17.5 Аппаратура
В исследовании используют обычное оборудование общелабораторного назначения, а также:
- многоканальный жидкостный сцинтилляционный спектрометр с компьютером и автоматической внешней калибровкой и индикацией состояния внешнего стандартного канала (обычная конструкция - трехметровые каналы и два внешних стандартных канала);
- соответствующие спектрометру низкокалиевые счетные пробирки с темными крышками с полиэтиленовой вставкой;
- стеклянные объемные пипетки вместимостью 10 см3;
- автоматический дозатор вместимостью 10 см3;
- круглодонную колбу вместимостью 250 см3;
- лабораторную установку <2> для перегонки спирта с обогреваемой рубашкой;
--------------------------------
<2> Например, типа "Мико". Данная информация приведена для удобства пользователей настоящего стандарта и не исключает возможности использования другого оборудования с аналогичными характеристиками.
- микрошприц вместимостью 50 мм3;
- пикнометры вместимостью 25 и 50 см3;
- стеклянную воронку для пикнометра;
- термостат, обеспечивающий поддержание постоянной температуры с точностью +/- 0,01 °C;
- таблицы для определения содержания спирта в водно-спиртовых растворах в соответствии с международными стандартами.
5.1.17.6 Проведение исследования
а) Настройка многоканального жидкостного сцинтилляционного спектрометра
Прибор следует настроить в соответствии с инструкциями производителя. Условия измерения являются оптимальными, когда значение E2/B (показатель качества измерения) является максимальным (E - эффективность, B - фон). При настройке оптимизируют только два измерительных канала. Третий канал оставляют полностью открытым для целей контроля.
б) Отбор счетных пробирок
Счетные пробирки в количестве, превышающем требуемое в дальнейшем число пробирок, заполняют синтетическим этанолом в объеме 10 см3, свободным от 14C, и толуольным сцинтиллятором (10 см3). Для каждой пробирки проводят измерения в течение не менее 100 мин. Счетные пробирки, фон которых выходит за границы +/- 1% отн. от среднего значения, в исследовании не учитывают. Для отбора могут быть использованы только новые счетные пробирки из той же партии.
в) Определение отношения "внешний стандарт/канал (ESCR)"
При настройке канала, предусмотренного в
5.1.17.6а), одновременно с проведением расчета коэффициента эффективности с использованием соответствующей компьютерной программы также определяют отношение внешнего стандартного канала (CEGN). При этом применяют внешний стандарт - цезий-137, который уже встроен в прибор его производителем.
Исследуют образцы с содержанием этанола с массовой долей этанола не менее 85% и без примесей, которые поглощаются при длине волны менее 450 нм. Низкое остаточное содержание сложных эфиров и альдегидов не оказывает разрушающего действия. При перегонке после того, как первые несколько миллилитров дистиллята отброшены, пробу перегоняют непосредственно в пикнометр. Содержание спирта в дистилляте определяют пикнометрическим методом. Значения, которые используют в исследовании, вычисляют исходя из официальных таблиц для расчета содержания спирта в водно-спиртовых растворах.
5.1.17.7 Измерение проб с использованием внешнего стандарта
а) Пробы с низкой поглощающей способностью, как описано в
5.1.17.6г), со значением ESCR, равным приблизительно 1,8, могут быть исследованы через измерение отношения "внешний стандарт/канал", которое обеспечивает измерение коэффициента эффективности.
Используя пипетку, в счетную пробирку, отобранную по фоновому сигналу, вносят 10 см
3 пробы, подготовленной в соответствии с
5.1.17.6г), и затем каждый раз добавляют 10 см
3 толуольного сцинтиллятора с помощью автоматического дозатора.
Пробы гомогенизируют в калибровочной бутылке вращением, следя за тем, чтобы жидкость не смачивала полиэтиленовую вставку в завинчивающейся крышке. Аналогичным образом подготавливают счетную пробирку, содержащую синтетический этанол без
14C, для измерения фонового сигнала. Для проверки соответствующего ежегодного значения
14C готовят дубликат этанола, полученного из углеводов растительного сырья последнего урожая, добавляя в счетную пробирку внутренний стандарт в соответствии с
5.1.17.8.
Контрольные и фоновые пробы помещают в начале серии измерений, которая должна содержать не более 10 образцов для анализа. Общее время измерения на пробу составляет не менее 2·100 мин. При этом каждую индивидуальную пробу измеряют на отдельном этапе длительностью 100 мин, чтобы обнаружить приборный дрейф сигнала или другой дефект измерения (один цикл соответствует интервалу измерения 100 мин на образец).
Фоновые и контрольные пробы готовят каждые 4 нед. Этот метод требует мало времени и материалов и применяется в лабораториях, обрабатывающих большое количество образцов. Для образцов с низкой абсорбцией (значения отношения "внешний стандарт/канал" составляет примерно 1,8) изменение данной величины незначительно влияет на эффективность. Если это изменение не превышает +/- 5% отн., расчет можно выполнить с той же эффективностью. Для образцов с более высокой абсорбцией, таких как денатурированные спирты, эффективность может быть установлена с помощью графика коррекции экстинкции. Если соответствующая компьютерная программа недоступна, необходимо использовать внутренний стандарт, что дает однозначный результат.
5.1.17.8 Измерение проб с использованием внутреннего стандарта гексадекана
14C
а) Проведение измерения
Контрольные и фоновые пробы (этанол из растительного сырья и синтетический этанол) и исследуемый материал измеряют в двух параллельных определениях. Одну пробу готовят в пробирке, не прошедшей процедуру отбора, в которую в качестве внутреннего стандарта добавляют точно дозированное количество (30 мм
3) гексадекана
14C [добавленная активность примерно 26 269 распадов в минуту на грамм углерода (dpm/gC), приблизительно 43 782 сБк/г углерода <1> (cBq/gC)]. Время приготовления и измерения для других проб соответствует условиям
5.1.17.7б). При этом время измерения для проб с внутренним стандартом можно сократить до 5 мин, предварительно установив 105 импульсов. Одно параллельное определение каждого из фоновых и контрольных проб используют для каждой серии измерений. Эти пробирки помещают в начале серии измерений.
--------------------------------
<1> сБк/г углерода - сантибеккерель на 1 г углерода (1 сБк = 10-2 Бк).
б) Использование внутреннего стандарта и пробирок
Для того чтобы предотвратить загрязнение при измерении с внутренним стандартом, все операции с ним и его хранение следует проводить вдали от того места, где готовят и измеряют исследуемые пробы. После измерения счетные пробирки, проверенные на фон, могут быть повторно использованы. Винтовые крышки и счетные пробирки, содержащие внутренний стандарт, утилизируют.
5.1.17.9 Выражение результатов
а) Единицей активности распада радиоактивного вещества является беккерель (Бк/Bq): 1 Бк равен одному акту радиоактивного распада за 1 с. Показатель удельной радиоактивности выражают в виде беккерелей относительно 1 г углерода - Бк/гС/(Bq/gC). Для выражения результатов в более практичной форме используют единицу измерения сантибеккерель сБк/гС (cBq/gC). Используемые в литературе описания и формулы, основанные на dpm (количество распадов в минуту), могут быть применены и в настоящее время. Для пересчета значений в единицы cBq значение, выраженное в dpm, умножают на фактор 100/60.
б) Выражение результатов с помощью внешнего стандарта:
(cpmpr - cpmNg)·1,918·100 сБк/гС = V·F·Z·60.
в) Выражение результатов с помощью внутреннего стандарта:
(cpmpr - cpmNg)·dpmis·1,918·100 сБк/гС = (cpmis - cpmpr)·V·F·60.
г) Применяемые сокращения:
- cpmpr - средняя скорость счета за все время измерения;
- cpmNg - средняя частота импульса, рассчитанная аналогичным образом;
- cpmis - скорость счета проб с внутренним стандартом;
- dpmIs - количество добавленного внутреннего стандарта (dpm калибровочной радиоактивности);
- V - объем использованных проб, см3;
- F - содержание в граммах чистого этанола на кубический сантиметр, соответствующее его концентрации;
- Z - эффективность, соответствующая значению ESCR;
- 1,918 - количество граммов этанола, содержащее 1 г углерода.
5.1.17.10 Характеристики повторяемости метода
а) Повторяемость (r):
r = 0,632 сБк/гС; Sr = +/- 0,223 сБк/гС.
б) Воспроизводимость (R):
R = 0,821 сБк/гС; SR = +/- 0,290 сБк/гС.
5.2 Интерпретация результатов
5.2.1 Требования к эксперту
Работу по идентификации компонентного состава винодельческой продукции проводит эксперт - сотрудник лица, осуществляющего идентификацию (см.
3.11). К обязанностям эксперта относятся:
- отбор (прием) образцов продукции (см.
5.1.1);
- экспертиза документов, прилагаемых к продукции (см.
5.1.2);
- при необходимости выбор и взаимодействие со сторонней(ими) лабораторией(ями) для полной или частичной реализации программы идентификации;
- проведение инструментальных исследований с применением методов, приведенных в
5.1.4 -
5.1.17;
- интерпретация результатов инструментальных исследований (см.
5.2.2);
- представление результата идентификации (см.
раздел 6).
Эксперт, проводящий идентификацию, должен обладать теоретическими и практическими знаниями, навыками и опытом, подтверждающими его квалификационную пригодность для проведения комплексного исследования винодельческой продукции и (или) ее компонентов, в том числе:
- высшим профессиональным образованием в области технологий винодельческой продукции и (или) в смежных областях, в том числе технологий алкогольных и безалкогольных напитков, виноградарства, пищевой химии, аналитической и органической химии, биохимии и биофизики растений, экологии;
- опытом работы в сфере аналитической и экспертной оценок качества и безопасности пищевой продукции, в особенности продуктов переработки винограда в течение не менее трех лет;
- опытом эксплуатации инструментальных средств измерений, предусмотренных в
5.1.4 -
5.1.17 для проведения идентификации компонентного состава винодельческой продукции для получения результатов исследований с надлежащей точностью и достоверностью, а также опытом работы со вспомогательным и инфраструктурным оборудованием общелабораторного назначения;
- квалификацией, необходимой для математической обработки результатов исследований с использованием методов оценки точности результатов, а также хемометрических методов обработки больших массивов данных с применением современных компьютерных программных средств;
- научно-технической квалификацией и знаниями, необходимыми для учета при интерпретации результатов идентификации факторов, способных оказывать прямое влияние на состав и характеристики объектов идентификации, в том числе природно-климатические и агротехнические условия в географических регионах выращивания и переработки винограда, особенности технологий его переработки, например: промышленной перегонки коньячных виноматериалов (тип перегонного оборудования), созревания (выдержки) дистиллятов, изготовления коньяков (бренди) и др.;
- знаниями о современном состоянии нормативной правовой базой в области оценки качества и безопасности винодельческой продукции и (или) ее компонентов в Российской Федерации, ЕАЭС (Таможенном союзе), а также о состоянии международной нормативной базы в сфере регулирования производства и торгового обращения продуктов виноделия и сырья для их производства, в том числе профильных стандартов Международной организации по виноградарству и виноделию (OIV), Комиссии Кодекса Алиментариус ООН (Codex Alimentarius Commission of the United Nations), Международной организации по стандартизации (ISO) и Международной ассоциации официального сотрудничества в области аналитики (International Association of Official Analytical Collaboration International, AOAC International).
Для подтверждения соответствия вышеприведенным требованиям эксперт должен не реже одного раза в два года проходить повышение квалификации в организации, осуществляющей научную, образовательную и (или) экспертную деятельность в области исследований, оценки качества и (или) безопасности пищевой продукции, в том числе винодельческой, растительных объектов (сырья) окружающей среды, а также обладающей лицензией на осуществление деятельности в сфере дополнительного образования. Повышение квалификации эксперта должно быть подтверждено документом организации, предоставившей услуги по повышению квалификации. При невыполнении требования о периодическом повышении квалификации эксперт не допускается к проведению идентификации компонентного состава винодельческой продукции.
5.2.2 Критерии интерпретации результатов
Критериями для интерпретации результатов идентификации компонентного состава винодельческой продукции являются количественные и (или) качественные существенные признаки продуктов и их компонентов, эталонных образцов винодельческой продукции и ее компонентов, содержащиеся в настоящем стандарте, в нормативных правовых актах Российской Федерации, национальных, межгосударственных стандартах, характеризующих физико-химические свойства, качество, в том числе подлинность, географическое и ботаническое происхождение продуктов, и используемых в виде дополнений к настоящему стандарту, а также в единой базе данных о компонентном составе винодельческой продукции (см.
6.3).
Критерии для интерпретации, представленные в
таблице 53 в виде общих количественных интервалов изменения соответствующих показателей, исследуемых согласно программе идентификации (см.
5.1.3), сформированы по результатам анализа и обобщения научно-технических данных, опубликованных в общедоступных литературных источниках. Установленные критерии учитывают результаты исследований компонентного состава продуктов, проведенных на протяжении нескольких десятилетий в разных виноградарских и винодельческих регионах мира, а также в Российской Федерации, ЕАЭС и ряде стран СНГ. На основе имеющихся в настоящее время подтвержденных научно-технических данных при определении критериев принимались во внимание влияние факторов природно-климатического (географического), агротехнического и технологического характера на физико-химический состав продукции и свойства ее компонентов, а также сведения о влиянии способов недопустимой модификации состава продуктов на их свойства и свойства компонентов. Установленные критерии подлежат обновлению на регулярной основе по мере получения и обобщения новых научных и экспертных знаний для приведения настоящего стандарта в соответствие с актуальным уровнем научно-технического и регуляторного обеспечения виноградарской и винодельческой отраслей в рамках общей процедуры обновления и изменения международных, региональных, межгосударственных и национальных стандартов, которая определена нормативными правовыми актами Российской Федерации.
Таблица 53
Количественные критерии для интерпретации результатов
инструментального исследования
Вид винодельческой продукции (компонента) | Задача исследования | Показатель исследования | Структурный элемент, N этапа | Количественный критерий | Примечание |
1 Вино, в т.ч. молодое, выдержанное, коллекционное, сортовое, защищенного наименования места происхождения, защищенного географического указания, ароматизированное, игристое (шампанское), игристое жемчужное, газированное, газированное жемчужное, крепленое (ликерное), наливом (виноматериал), ароматизированное. Напитки, в т.ч. винные, виноградные, виноградосодержащие. Коктейли винные | Ботаническое (виноградное) происхождение этанола |  в этаноле,  | | | Общий научно обоснованный интервал изменения количественных значений показателя  в этаноле составляет от  до  . При интерпретации результатов необходимо принимать во внимание природно-климатические и агротехнические условия выращивания винограда, которые оказывают прямое влияние на изотопный состав углерода и водорода в сахарах и, соответственно, в получаемом из них этаноле. Как правило, изотопные показатели будут проявлять более высокие значения в продукции с заявленным происхождением географических регионов с тропическим (субтропическим) климатом при отсутствии орошения или с низким уровнем орошения виноградников, чем продукция из регионов с умеренным климатом со средним или интенсивным орошением виноградников. Определенное влияние на изотопный состав оказывает изменение климата, в частности через повышение среднегодовой температуры. Влияние изменения климата нуждается в дополнительной научной оценке |
(D/H)I, метильная группа молекулы этанола, ppm | | 97,0...106,0 |
(D/H)II, метиленовая группа молекулы этанола, ppm | | 121,0...136,0 |
R [отношение между (D/H)II и (D/H)I] | | 2,28...2,78 |
2 Дистилляты, в т.ч. винные, винные ректификованные, виноградные, для бренди, коньячные, виноградного происхождения, виноградного происхождения ректификованные, винные выдержанные, винные молодые. Бренди, коньяки. Спирты, в т.ч. винные, виноградные. Водка виноградная | Ботаническое (виноградное) происхождение этанола |  в этаноле,  | | | Общий научно обоснованный интервал изменения количественных значений показателя  в этаноле составляет от  до  . При интерпретации результатов необходимо принимать во внимание природно-климатические и агротехнические условия выращивания винограда, которые оказывают прямое влияние на изотопный состав углерода и водорода в сахарах и, соответственно, в получаемом из них этаноле. Как правило, изотопные показатели будут проявлять более высокие значения в продукции с заявленным происхождением географических регионов с тропическим (субтропическим) климатом при отсутствии орошения или с низким уровнем орошения виноградников, чем продукция из регионов с умеренным климатом со средним или интенсивным орошением виноградников. Определенное влияние на изотопный состав оказывает изменение климата, в частности через повышение среднегодовой температуры. Влияние изменения климата нуждается в дополнительной научной оценке. |
(D/H)I, метильная группа молекулы этанола, ppm | | 97,0...106,0 |
(D/H)II, метиленовая группа молекулы этанола, ppm | | 121,0...136,0 |
R [отношение между (D/H)II и (D/H)I] | | 2,28...2,78 |
| | | | | Определенное влияние на изотопный состав этанола оказывает тип промышленного оборудования, используемого для дистилляции (перегонки) коньячного виноматериала на дистиллят (этанол), а также длительность и условия выдержки (созревания) дистиллята (этанола). Характер данного влияния нуждается в дополнительной научной оценке |
Содержание нестабильного изотопа углерода 14C в этаноле, cBq/gC | | Не менее 16,0 | Активность изотопа углерода 14C в синтетическом этаноле составляет 0 cBq/gC |
3 Сусло виноградное, в т.ч. виноградное концентрированное, виноградное концентрированное ректификованное. Сок виноградный. Вино, в т.ч. молодое, выдержанное, коллекционное, сортовое, защищенного наименования места происхождения, защищенного географического указания, ароматизированное, игристое (шампанское), игристое жемчужное, газированное, газированное жемчужное, крепленое (ликерное), наливом (виноматериал). Напитки, в т.ч. винные, виноградные, виноградосодержащие. Коктейли винные | Ботаническое (виноградное) происхождение углеводов/сахаров |  в углеводах (сахарах),  | | -29,0...-20,0 | Общий научно обоснованный интервал изменения количественных значений показателя  в этаноле составляет от  до  . При интерпретации результатов необходимо принимать во внимание природно-климатические и агротехнические условия выращивания винограда, которые оказывают прямое влияние на изотопный состав углерода и водорода в сахарах и, соответственно, в получаемом из них этаноле. Как правило, изотопные показатели будут проявлять более высокие значения в продукции с заявленным происхождением географических регионов с тропическим (субтропическим) климатом при отсутствии орошения или с низким уровнем орошения виноградников, чем продукция из регионов с умеренным климатом со средним или интенсивным орошением виноградников. Определенное влияние на изотопный состав оказывает изменение климата, в частности через повышение среднегодовой температуры. Влияние изменения климата нуждается в дополнительной научной оценке. Дополнительно необходимо принимать во внимание, что для одной и той же пробы сброженного сусла, вина, виноматериала значение показателя  для углеводов (сахаров) должно превышать значение показателя  для этанола |
 в этаноле, полученном сбраживанием углеводов (сахаров) сусла или выделенном из продукта,  | | |
(D/H)I, метильная группа молекулы этанола, полученного сбраживанием углеводов (сахаров) сусла или выделенного из продукта, ppm | | 97,0...106,0 |
(D/H)II, метиленовая группа молекулы этанола, полученного сбраживанием углеводов (сахаров) сусла или выделенного из продукта, ppm | | 121,0...136,0 |
R [отношение между (D/H)II и (D/H)I] | | 2,28...2,78 |
4 Сусло виноградное, в т.ч. виноградное концентрированное, виноградное концентрированное ректификованное. Сок виноградный. Вино, в т.ч. молодое, выдержанное, коллекционное, сортовое, защищенного наименования места происхождения, защищенного географического указания, ароматизированное, игристое (шампанское), игристое жемчужное, газированное, газированное жемчужное, крепленое (ликерное), наливом (виноматериал). Напитки, в т.ч. винные, виноградные, виноградосодержащие | Происхождение воды (биологическая/геологическая вода <**>) |  в воде продукта,  | | Не менее -3,50 | Общий научно обоснованный интервал изменения количественных значений показателя  в этаноле составляет от  до  . При интерпретации результатов необходимо принимать во внимание природно-климатические и агротехнические условия выращивания винограда, которые оказывают прямое влияние на изотопный состав углерода и водорода в сахарах и, соответственно, в получаемом из них этаноле. Как правило, изотопные показатели будут проявлять более высокие значения в продукции с заявленным происхождением из географических регионов с тропическим (субтропическим) климатом при отсутствии орошения или с низким уровнем орошения виноградников, чем продукция из регионов с умеренным климатом со средним или интенсивным орошением виноградников. Определенное влияние на изотопный состав оказывает изменение климата, в частности через повышение среднегодовой температуры. Влияние изменения климата нуждается в дополнительной научной оценке. |
 в этаноле,  | | |
(D/H)I, метильная группа молекулы этанола, ppm | | 97,0...106,0 |
(D/H)II, метиленовая группа молекулы этанола, ppm | | 121,0...136,0 |
R [отношение между (D/H)II и (D/H)I] | | 2,28...2,78 |
| | | | | С учетом климатических условий географического региона и сезона выращивания винограда значения показателя  могут составлять не менее -5,56. В качестве количественного критерия подлинности вина (сусла), в т.ч. в части географического происхождения, может быть использована зависимость между величинами  в воде и  [или (D/H) I, (D/H) II] в этаноле исследуемого продукта. Данная зависимость является специфичной для однородных продуктов, происходящих из одного географического региона или из разных регионов со схожими природно-климатическими условиями выращивания винограда |
5 Вино, в т.ч. молодое, выдержанное, коллекционное, сортовое, защищенного наименования места происхождения, защищенного географического указания, ароматизированное, игристое (шампанское), игристое жемчужное, газированное, газированное жемчужное, крепленое (ликерное), наливом (виноматериал), ароматизированное. Напитки, в т.ч. винные, виноградные, виноградосодержащие. Коктейли винные | Ботаническое (виноградное) происхождение продуктов брожения - глицерин, 2,3-бутандиол |  в глицерине/2,3-бутандиоле,  | | Глицерин (2,3-бутандиол) - не менее -32,0 | Значение для показателя  для глицина/2,3-бутандиола коррелирует со значением показателя  для этанола одной и той же пробы. Как правило, значение  для этанола превышает значение  для глицерина/2,3-бутандиола на  |
6 Вино игристое (шампанское), игристое жемчужное, газированное | Происхождение растворенного диоксида углерода (подтверждение вторичного брожения) |  в растворенном диоксиде углерода,  | | Не менее -30,0 | Состав стабильных изотопов углерода 13C/ 12C в растворенном диоксиде углерода CO 2 зависит от ботанического происхождения сахара, использованного для вторичного брожения. Значения показателя  в газообразном диоксиде углерода CO 2, который не является продуктом спиртового брожения, составляют менее  |
7 Дистилляты, в т.ч. винные, винные ректификованные, виноградные, для бренди, коньячные, виноградного происхождения, виноградного происхождения ректификованные, винные выдержанные, винные молодые. Бренди, коньяки. Спирты, в т.ч. винные, виноградные | Подтверждение выдержки (созревания) в контакте с древесиной дуба | Содержание фурфурала, 5-гидроксиметилфурфурала, 5-метилфурфурала, ванилина, сиреневого альдегида, кониферилового альдегида, синапового альдегида, галловой, эллаговой, ванилиновой и сиреневой кислот и скополетина, мг/дм3 | | Фурфурал, 5-метилфурфурал -6...39; 5-гидроксиметилфурфурал -0...28; ванилин -0,2...20,0; сиреневый альдегид -0,4...40,0; конифериловый альдегид -0,1...10,0; синаповый альдегид -0,1...10,0; галловая кислота - не более 50,0; эллаговая кислота -2...104; ванилиновая кислота -0,2...30,0; сиреневая кислота -0,2...30,0; скополетин -0,006...0,31 | Для коньяков и коньячных дистиллятов со сроком выдержки не менее трех лет: - отношение: сиреневый альдегид/ванилин - не менее 1,5; - отношение: сумма "ванилин + сиреневый альдегид"/сумма "синаповый + конифериловый альдегиды" - не менее 1,0; - отношение: сумма "ванилин + сиреневый альдегид"/сумма "ванилиновая + сиреневая кислоты" - не более 3,0 |
8 Дистилляты, в т.ч. винные, винные ректификованные, виноградные, для бренди, коньячные, виноградного происхождения, виноградного происхождения ректификованные, винные выдержанные, винные молодые. Бренди, коньяки. Спирты, в т.ч. винные, виноградные | Выявление присутствия карамельного колера | Визуальное определение | | Появление в растворе коричневой окраски указывает на присутствие карамельного колера | Присутствие карамельного колера увеличивает значение для содержания общих фенольных соединений более установленной максимальной границы. Для выявления добавления карамельного колера может быть использован показатель отношения между содержанием фурфурала и 5-гидроксиметилфурфурала (см. пункт 7). При добавлении колера отношение содержания фурфурола и 5-диоксиметилфурфурола составляет менее 1 |
Содержание фенольных соединений, мг/дм3 | | Общие фенольные соединения (в расчете на галловую кислоту) - не более 50,0 |
9 Дистилляты, в т.ч. винные, винные ректификованные, виноградные, для бренди, коньячные, виноградного происхождения, виноградного происхождения ректификованные, винные выдержанные, винные молодые. Бренди, коньяки. Спирты, в т.ч. винные, виноградные | Состав  соединений (общая оценка подлинности и безопасности продукции с высоким содержанием этанола) | Содержание глиоксаля, метилглиоксаля, диацетила и пентан-2,3-диона, мг/дм3 | | Глиоксаль, метилглиоксаль - 0,05 - 4,5; диацетил - 0,05 - 10,0; пентан-2,3-дион - отсутствует (не более 0,05) |  соединения являются маркерами качества дистиллятов и спиртов, а также сырья, в т.ч. виноматериалов, использованного для изготовления коньячной продукции |
<*> Указанный количественный критерий применяют на временной основе в течение пяти лет с даты вступления в силу настоящего стандарта в целях ежегодного мониторинга и накопления данных об изотопном составе углерода в этаноле подлинной винодельческой продукции, производимой из винограда, выращиваемого в Российской Федерации, государствах ЕАЭС, СНГ и дальнего зарубежья, для интерпретации результатов исследования показателя  . При выявлении лицом, осуществляющим идентификацию продукции, отклонения значения показателя  в этаноле исследуемого продукта от указанного в таблице 53 временного количественного критерия и при условии соответствия значения общему критериальному интервалу показателя  в этаноле, установленному в примечании пункта 1 данной таблицы, изготовитель (поставщик, заявитель) проводят дополнительные исследования этанола в соответствующей продукции согласно этапам 1 - 3 программы идентификации, предусмотренным в 5.1.3, в сторонней лаборатории, способной обеспечить выполнение требований разделов 5 и 6. Заключение с результатами идентификации, выполненной в сторонней лаборатории, изготовитель (поставщик, заявитель) продукции направляет лицу, осуществляющему идентификацию продукции, для принятия окончательного решения о соответствии компонентного состава продукта требованиям настоящего стандарта. <**> Под биологической водой понимается внутриклеточная вода растительных объектов, специфичный изотопный состав которой определяет характер процессов метаболизма и водного обмена с окружающей средой, протекающих в растениях. Уникальной особенностью водного обмена, получившей название биологического изотопного эффекта, является обогащение высшими растениями (например, винограда) внутриклеточной воды тяжелым изотопом кислорода 18O в ходе своего биологического развития. Под геологической водой понимается вода природных или искусственно созданных подземных или поверхностных объектов, используемых для промышленных целей в качестве источников питьевой и технологической вод, а также в целях снабжения населения питьевой водой. Специфичный уровень распределения изотопов кислорода в геологической воде определяют физические процессы (термодинамического и/или кинетического характера), протекающие в природных водных объектах, включая атмосферные процессы, связанные с испарением и выпадением водных осадков. Согласно базе данных GNIP/GNIR/WISER МАГАТЭ и результатам отечественных научных исследований средние значения величины  для геологической воды в основных виноградарских регионах Российской Федерации находятся в интервале от  до  . |
5.2.3 Проведение интерпретации результатов
Интерпретацию результатов, полученных на
этапах 2 и
3 инструментальных исследований в соответствии с задачами идентификации компонентного состава, проводят путем сопоставления установленных количественных значений соответствующих показателей с критериями, приведенными в
таблице 52. При сопоставлении количественных значений, выходящих за минимальную или максимальную границу критериального интервала, необходимо учитывать неопределенность соответствующего инструментального метода исследования (см.
5.1.4 -
5.1.17).
Дополнительно при интерпретации результатов принимают во внимание сведения о влиянии на количественные значения критериев идентификации факторов природно-климатического, сортового, агротехнического или технологического характера для отдельных видов винодельческой продукции и (или) ее компонентов. Пояснения о влиянии факторов для ряда компонентов винодельческой продукции приведены в примечаниях
таблицы 53.
Пример общего алгоритма проведения идентификации компонентного состава и экспертной оценки (интерпретации) ее результатов приведен в
приложении Б.
6 Представление результата идентификации
6.1 Результат идентификации
Результатом идентификации является подтверждение или неподтверждение тождественности свойств компонента(ов), которые выявлены в ходе инструментального исследования (см.
5.1) и экспертной оценки (интерпретации) результатов (см.
5.2), с существенными признаками, содержащимися в
таблицах 1 и
52, в нормативных правовых актах Российской Федерации, национальных и межгосударственных стандартах, а также единой базе данных о компонентном составе винодельческой продукции (см.
6.3.2), которые включают описания винодельческой продукции и (или) ее компонентов.
Результат идентификации компонентного состава представляют в форме заключения о соответствии (несоответствии) продукта и (или) его компонента эталонному образцу, компоненту и (или) их описанию. Рекомендуемая
форма заключения приведена в приложении А.
Общий результат идентификации представляется экспертом в формулировке, отражающей отдельные результаты, полученные в ходе инструментального исследования с применением методов, установленных настоящим стандартом (см.
5.1), и экспертной оценки (интерпретации) количественных данных (см.
5.2). Данная формулировка должна иметь однозначное толкование тождественности свойств объекта (компонента) и ее связи с подлинностью и наименованием продукта (компонента), например: "Компонент продукта соответствует (не соответствует) наименованию", "Компонент продукта имеет виноградное (невиноградное) происхождение" и т.п.
Недопустимо применение в заключении формулировок, которые не имеют однозначного толкования, например: "Отдельные показатели компонента соответствуют характеристикам ...", "В составе компонента не обнаружены отклонения от характеристик ..." и т.п.
В качестве дополнения к общему результату идентификации эксперт имеет право привести в заключении аргументированные комментарии. В данных комментариях эксперт, основываясь на научных знаниях о допустимом (неизбежном) воздействии на состав продукта (компонента) факторов природно-климатического, сортового, агротехнического и технологического характера из опубликованных документов, содержащих описание продукта (компонента), а также при наличии - результатов ежегодного мониторинга продукции, может обосновать отдельные исключения (отклонения) от критериев интерпретации результатов инструментального исследования, установленных в
5.2. При этом данные исключения, не позволяя установить прямую тождественность свойств исследованного объекта определенным существенным признакам (критериям интерпретации результатов), установленным в настоящем стандарте, допускают подтверждение заявленного наименования (подлинности) продукта (компонента).
Заключение подписывают руководитель (уполномоченное лицо) и эксперт лица, проводящего идентификацию. Заключение заверяют печатью (при наличии). Заключение передается лицом, осуществляющим идентификацию, ее заявителю. Лицо, осуществляющее идентификацию, по согласованию с заявителем вправе направить копию заключения о результатах идентификации изготовителю и (или) поставщику продукции.
6.3 Регистрация и хранение результатов идентификации для формирования базы данных
6.3.1 Регистрация и хранение результатов идентификации
После завершения идентификации лицо, ее осуществившее, регистрирует результаты путем формирования досье, включающее:
- заключение о результатах идентификации:
- документы, прилагаемые к объекту идентификации (см.
5.1.2.1);
- первичные аналитические данные для каждого объекта идентификации, полученные как в собственной(ых) лаборатории(ях), так и в сторонней(их) лаборатории(ях), принявших участие в реализации программы идентификации;
- дополнительные материалы по усмотрению лица, осуществившего идентификацию.
Хранение сформированного досье осуществляет лицо, проводившее идентификацию, в электронном виде с использованием собственных программно-аппаратных ресурсов в течение пяти лет после даты завершения идентификации.
6.3.2 Единая база данных о компонентном составе винодельческой продукции
Результаты идентификации и другие сведения из сформированного досье о продукции используют для формирования единой базы данных о компонентном составе винодельческой продукции (далее - единая база данных). Основой единой базы данных являются результаты ежегодного мониторинга показателей идентификации по
пунктам 1 -
5,
7, установленных в
таблице 1. Мониторинг проводят в рамках исследования подлинных (эталонных) образцов из географических регионов выращивания винограда и изготовления винодельческой продукции путем применения комплекса методов, установленных в
5.1.4,
5.1.5,
5.1.8,
5.1.10,
5.1.12,
5.1.15 и
5.1.16, и (или) методов, соответствующих условиям применения, установленным в
4.3.
В целях учета при оценке (интерпретации) результатов идентификации согласно требованиям
5.2 при проведении ежегодных исследований для соответствующих образцов регистрируют природно-климатические и агротехнические условия выращивания винограда, характерные для времени года и географического региона мониторинга. Регистрации подлежат также основные данные о технологических особенностях производства винодельческой продукции, в том числе об изготовлении сусла, виноматериала, способе и типе установки для перегонки виноматериалов, выдержке вина или дистиллятов в контакте с древесиной дуба и др.
Единая база данных как элемент ежегодного мониторинга является основой осуществления мероприятий по централизованному и координированному противодействию производству и выпуску в торговое обращение продуктов, несоответствующих действующему законодательству. В рамках мероприятий ежегодного мониторинга компонентного состава винодельческой продукции, изготавливаемой и находящейся в торговом обращении на территории Российской Федерации и ЕАЭС, лицо, осуществившее идентификацию, имеет право направить в течение семи рабочих дней после завершения идентификации полную копию электронного досье в единую базу данных, созданную с использованием телекоммуникационных и программных ресурсов уполномоченным на осуществление данной функции юридическим лицом, зарегистрированным в Российской Федерации в установленном законом порядке <1>. Юридическое лицо, уполномоченное на ведение единой базы данных:
--------------------------------
<1> Направление электронной копии досье о результатах идентификации осуществляется после создания и введения в действие единой базы данных о компонентном составе винодельческой продукции.
- создает, поддерживает и развивает телекоммуникационные и программные ресурсы, на которых размещена и функционирует единая база данных;
- обеспечивает безопасность регистрации и хранения электронных данных;
- осуществляет контроль доступа пользователей;
- обеспечивает информационное, методическое и нормативное взаимодействие участников рынка и заинтересованных лиц по работе с единой базой данных и мероприятиями по мониторингу компонентного состава винодельческой продукции;
- предоставляет объективные сведения о компонентном составе подлинной (эталонной) винодельческой продукции из единой базы данных для разрешения арбитражных споров, а также по запросам участников рынка, уполномоченных органов по контролю (надзору) за производством и торговым обращением винодельческой продукцией;
- поддерживает и координирует обновление настоящего стандарта в соответствии с требованиями национальной системы стандартизации в том числе в рамках гармонизации нормативной базы на международном уровне в рамках сотрудничества с профильными организациями: Международной организацией по виноградарству и виноделию (OIV), Комиссией Кодекса Алиментариуса Всемирной продовольственной организации ООН (FAO/WHO), Международной организацией по стандартизации (ISO) и Международной ассоциацией официального сотрудничества в области аналитики (AOAC International);
- координирует мероприятия по ежегодному мониторингу компонентного состава винодельческой продукции, в том числе сырья для ее производства в разных географических регионах, осуществляемых участниками рынка и другими заинтересованными лицами;
- организует и координирует на регулярной основе научно-исследовательские работы в интересах отрасли в географических регионах производства винограда и винодельческой продукции для получения объективных данных о компонентном составе продуктов, а также данных о природных и техногенных факторах, оказывающих влияние на качество продукции виноградарской и винодельческой отраслей, для устойчивого обновления единой базы данных в целях ее использования при проведении идентификации и обновления настоящего стандарта.
Функционирование единой базы данных и деятельность юридического лица, уполномоченного на ее ведение, регламентируется общими или специально разработанными нормативными правовыми актами Российской Федерации, утвержденными для этой цели в установленном законом порядке.
(рекомендуемое)
Форма заключения для представления результата идентификации
компонентного состава винодельческой продукции
Реквизиты лица, осуществляющего идентификацию компонентного состава
Реквизиты заявителя идентификации компонентного состава (адрес, контактные данные, ФИО, дата)
ЗАКЛЮЧЕНИЕ О РЕЗУЛЬТАТАХ ИДЕНТИФИКАЦИИ КОМПОНЕНТНОГО СОСТАВА
1 Заявленное наименование продукта (компонента):
_____________________________________________________________________
2 Изготовитель (поставщик), адрес, контактные данные, ответственное лицо (ФИО):
_____________________________________________________________________
3 Маркировка на упаковке с продуктом (компонентом):
_____________________________________________________________________
4 Перечень сопроводительных документов:
_____________________________________________________________________
5 Перечень документов, содержащих существенные признаки (характеристики) продукта (компонента), использованные в ходе идентификации:
_____________________________________________________________________
6 Результаты идентификации компонентного состава:
6.1 Результаты инструментальных исследований
Программа идентификации (структурный элемент, N этапа) | Задача исследования | Показатель исследования | Код инструментального метода согласно настоящему стандарту | Результат исследования | Экспертная оценка |
6.2 Дополнительная информация/комментарии (при необходимости):
_____________________________________________________________________
7 Общий результат идентификации - компонент соответствует/не соответствует наименованию. Обоснование общего результата идентификации
_____________________________________________________________________
_____________________________________________________________________
Подписи руководителя (уполномоченного лица) и эксперта:
__________________ (______________)
__________________ (______________)
Дата: "_____" ____________ 20____ г.
Печать лица, осуществляющего идентификацию компонентного состава (при наличии)
(справочное)
ПРИМЕР ОБЩЕГО АЛГОРИТМА (ПРОГРАММЫ ИДЕНТИФИКАЦИИ) ПРОВЕДЕНИЯ
ИДЕНТИФИКАЦИИ КОМПОНЕНТА - ЭТАНОЛА В ПРОДУКТЕ С ЗАЯВЛЕННЫМ
НАИМЕНОВАНИЕМ "ДИСТИЛЛЯТ КОНЬЯЧНЫЙ"
Рисунок Б.1
| | О безопасности алкогольной продукции |
[2] | Федеральный закон от 27 декабря 2019 г. N 468-ФЗ "О виноградарстве и виноделии в Российской Федерации" |
| Федеральный закон от 22 ноября 1995 г. N 171-ФЗ "О государственном регулировании производства и оборота этилового спирта, алкогольной и спиртосодержащей продукции и об ограничении потребления (распития) алкогольной продукции" |
| Федеральный закон от 2 января 2000 г. N 29-ФЗ "О качестве и безопасности пищевых продуктов" |
[5] | Официальный бюллетень Международной межправительственной организации по виноградарству и виноделию (OIV) - "Bulletin de I'O.I.V.  1997, 791 - 792, p. 53 - 65" |
УДК 663.258.8:006.354 | |
Ключевые слова: продукция винодельческая, сусло виноградное, сусло виноградное концентрированное, сусло виноградное концентрированное ректификованное, сок виноградный, вино, вино молодое, вино выдержанное, вино коллекционное, вино сортовое, вино защищенного наименования места происхождения, вино защищенного географического указания, вино ароматизированное, вино игристое (шампанское), вино игристое жемчужное, вино газированное, вино газированное жемчужное, вино крепленое (ликерное), вино наливом (виноматериал), напитки винные, напитки виноградные, напитки виноградосодержащие, коктейли винные, дистилляты винные, дистилляты винные ректификованные, дистилляты виноградные, дистилляты для бренди, дистилляты коньячные, дистилляты виноградного происхождения, дистилляты виноградного происхождения ректификованные, дистилляты винные выдержанные, дистилляты винные молодые, бренди, коньяки, спирты винные, спирты виноградные, водка виноградная, идентификация, выявление фальсификаций, масс-спектрометрия, ядерный магнитный резонанс, высокоэффективная жидкостная хроматография, газовая хроматография, спектрофотометрия, сахар, этанол, глицерин, 2,3-бутандиол, диоксид углерода, биологическая вода, геологическая вода, древесина дуба, карамельный колер, стабильные изотопы, углерод, кислород, водород, дейтерий, дикарбонильные соединения, фенольные соединения, альдегиды, органические кислоты |