Главная // Актуальные документы // ГОСТ Р (Государственный стандарт)СПРАВКА
Источник публикации
М.: Стандартинформ, 2019
Примечание к документу
Документ
введен в действие с 01.08.2020.
Название документа
"ГОСТ Р 58622-2019. Национальный стандарт Российской Федерации. Магистральный трубопроводный транспорт нефти и нефтепродуктов. Методика оценки прочности, устойчивости и долговечности резервуара вертикального стального"
(утв. и введен в действие Приказом Росстандарта от 01.11.2019 N 1081-ст)
"ГОСТ Р 58622-2019. Национальный стандарт Российской Федерации. Магистральный трубопроводный транспорт нефти и нефтепродуктов. Методика оценки прочности, устойчивости и долговечности резервуара вертикального стального"
(утв. и введен в действие Приказом Росстандарта от 01.11.2019 N 1081-ст)
Утвержден и введен в действие
агентства по техническому
регулированию и метрологии
от 1 ноября 2019 г. N 1081-ст
НАЦИОНАЛЬНЫЙ СТАНДАРТ РОССИЙСКОЙ ФЕДЕРАЦИИ
МАГИСТРАЛЬНЫЙ ТРУБОПРОВОДНЫЙ
ТРАНСПОРТ НЕФТИ И НЕФТЕПРОДУКТОВ
МЕТОДИКА ОЦЕНКИ ПРОЧНОСТИ, УСТОЙЧИВОСТИ
И ДОЛГОВЕЧНОСТИ РЕЗЕРВУАРА ВЕРТИКАЛЬНОГО СТАЛЬНОГО
Trunk pipeline transport of oil and oil products.
Methods of assessing the strength, stability
and durability of vertical steel tank
ГОСТ Р 58622-2019
Дата введения
1 августа 2020 года
1 РАЗРАБОТАН Обществом с ограниченной ответственностью "Научно-исследовательский институт трубопроводного транспорта" (ООО "НИИ Транснефть")
2 ВНЕСЕН Подкомитетом ПК 7 "Магистральный трубопроводный транспорт нефти и нефтепродуктов" Технического комитета по стандартизации ТК 023 "Нефтяная и газовая промышленность"
3 УТВЕРЖДЕН И ВВЕДЕН В ДЕЙСТВИЕ
Приказом Федерального агентства по техническому регулированию и метрологии от 1 ноября 2019 г. N 1081-ст
4 ВВЕДЕН ВПЕРВЫЕ
Правила применения настоящего стандарта установлены в статье 26 Федерального закона от 29 июня 2015 г. N 162-ФЗ "О стандартизации в Российской Федерации". Информация об изменениях к настоящему стандарту публикуется в ежегодном (по состоянию на 1 января текущего года) информационном указателе "Национальные стандарты", а официальный текст изменений и поправок - в ежемесячном информационном указателе "Национальные стандарты". В случае пересмотра (замены) или отмены настоящего стандарта соответствующее уведомление будет опубликовано в ближайшем выпуске ежемесячного информационного указателя "Национальные стандарты". Соответствующая информация, уведомление и тексты размещаются также в информационной системе общего пользования - на официальном сайте Федерального агентства по техническому регулированию и метрологии в сети Интернет (www.gost.ru)
1.1 Настоящий стандарт устанавливает приемы и способы оценки прочности, устойчивости и долговечности вертикальных стальных цилиндрических резервуаров для нефти и нефтепродуктов по результатам технического диагностирования на объектах магистрального трубопровода для транспортировки нефти и нефтепродуктов.
1.2 Настоящий стандарт распространяется на резервуары для нефти и нефтепродуктов номинальным объемом от 100 до 50000 м3 как без теплоизоляционной конструкции, так и с теплоизоляционной конструкцией, следующих типов:
- резервуар вертикальный стальной цилиндрический со стационарной крышей без понтона (РВС);
- резервуар вертикальный стальной цилиндрический со стационарной крышей и понтоном (РВСП);
- резервуар вертикальный стальной цилиндрический с купольной стационарной крышей и понтоном из алюминиевых сплавов (РВСПА);
- резервуар вертикальный стальной цилиндрический с плавающей крышей (РВСПК), эксплуатируемые в условиях сейсмической нагрузки до 9 баллов включительно по шкале MSK-64 (см.
[1]).
1.3 Настоящий стандарт не распространяется:
- на резервуары с рабочим избыточным давлением более 2,00 кПа;
- резервуары с рабочим разрежением в газовом пространстве более 0,25 кПа;
- изотермические резервуары.
1.4 Допускается применять настоящий стандарт для резервуаров, предназначенных для хранения нефтесодержащих стоков и воды.
В настоящем стандарте использованы нормативные ссылки на следующие документы:
ГОСТ 25.101 Расчеты и испытания на прочность. Методы схематизации случайных процессов нагружения элементов машин и конструкций и статистического представления результатов
ГОСТ 535 Прокат сортовой и фасонный из стали углеродистой обыкновенного качества. Общие технические условия
ГОСТ 1050 Металлопродукция из нелегированных конструкционных качественных и специальных сталей. Общие технические условия
ГОСТ 2601 Сварка металлов. Термины и определения основных понятий
ГОСТ 6713 Прокат низколегированный конструкционный для мостостроения. Технические условия.
ГОСТ 8731 Трубы стальные бесшовные горячедеформированные. Технические требования
ГОСТ 9454 Металлы. Метод испытания на ударный изгиб при пониженных, комнатной и повышенных температурах
ГОСТ 19281 Прокат из стали повышенной прочности. Общие технические условия
ГОСТ 27772 Прокат для строительных стальных конструкций. Общие технические условия
ГОСТ 31385-2016 Резервуары вертикальные цилиндрические стальные для нефти и нефтепродуктов. Общие технические условия
ГОСТ 34233.1 Сосуды и аппараты. Нормы и методы расчета на прочность. Общие требования
ГОСТ 34233.6 Сосуды и аппараты. Нормы и методы расчета на прочность. Расчет на прочность при малоцикловых нагрузках
ГОСТ 34233.11 Сосуды и аппараты. Нормы и методы расчета на прочность. Метод расчета на прочность обечаек и днищ с учетом смещения кромок сварных соединений, угловатости и некруглости обечаек
СП 14.13330 "СНиП II-7-81 Строительство в сейсмических районах"
СП 22.13330 "СНиП 2.02.01-83* Основания зданий и сооружений"
СП 25.13330 "СНиП 2.02.04-88 Основания и фундаменты на вечномерзлых грунтах"
СП 43.13330 "СНиП 2.09.03-85 Сооружения промышленных предприятий"
СП 52-101 Бетонные и железобетонные конструкции без предварительного напряжения арматуры
СП 63.13330 "СНиП 52-01-2003 Бетонные и железобетонные конструкции. Основные положения"
Примечание - При пользовании настоящим стандартом целесообразно проверить действие ссылочных стандартов в информационной системе общего пользования - на официальном сайте Федерального агентства по техническому регулированию и метрологии в сети Интернет или по ежегодному информационному указателю "Национальные стандарты", который опубликован по состоянию на 1 января текущего года, и по выпускам ежемесячного информационного указателя "Национальные стандарты" за текущий год. Если заменен ссылочный стандарт, на который дана недатированная ссылка, то рекомендуется использовать действующую версию этого стандарта с учетом всех внесенных в данную версию изменений. Если заменен ссылочный стандарт, на который дана датированная ссылка, то рекомендуется использовать версию этого стандарта с указанным выше годом утверждения (принятия). Если после утверждения настоящего стандарта в ссылочный стандарт, на который дана датированная ссылка, внесено изменение, затрагивающее положение, на которое дана ссылка, то это положение рекомендуется применять без учета данного изменения. Если ссылочный стандарт отменен без замены, то положение, в котором дана ссылка на него, рекомендуется применять в части, не затрагивающей эту ссылку.
В настоящем стандарте применены термины по
ГОСТ 2601,
ГОСТ 31385, а также следующие термины с соответствующими определениями:
3.1 вмятина днища: Местное отклонение поверхности днища от геометрической формы, заданной проектной документацией, вершина которой располагается ниже поверхности основного металла днища.
3.2 вмятина стенки: Локальная деформация стенки, вершина которой направлена к центру резервуара.
3.3 выпучина днища: Местное отклонение поверхности днища от геометрической формы, заданной проектной документацией, вершина которой располагается выше поверхности основного металла днища.
3.4 выпучина стенки: Локальная деформация стенки, вершина которой направлена от центра резервуара.
3.5 вырыв: Механическое локальное повреждение поверхности металла с уменьшением толщины стенки, вызванное удалением временного технологического крепления путем отрыва или иным механическим воздействием.
3.6 глубина дефекта: Наибольший размер дефекта в направлении нормали к поверхности элемента конструкции резервуара.
3.7 глубина залегания подповерхностного дефекта: Минимальное расстояние от ближайшей внешней или внутренней поверхности элемента конструкции резервуара до края дефекта.
3.8 граничные условия: Совокупность статических силовых факторов и ограничений на перемещения на границе конечноэлементной модели или ее составляющих.
3.9 действительная толщина стенки: Средняя величина из всех значений толщины на листе, полученных в результате проведения ультразвуковой толщинометрии стенки резервуара.
3.10 дефект (резервуара): Каждое отдельное несоответствие конструкции резервуара, требованиям нормативных и/или технических документов.
Примечание - К конструкциям резервуара относят: сварные соединения, металлопроката, фундамента резервуара, наружное и внутреннее антикоррозионные покрытия, теплоизоляционную конструкцию резервуара, электрохимическую защиту, молниезащиту и заземление, элементов конструкций вне резервуара.
3.11 дефект геометрии днища (резервуара): Отклонение поверхности днища или окрайки от горизонтальной плоскости, установленное по результатам геодезических измерений, не являющееся локальной деформацией.
3.12
долговечность: Свойство объекта, заключающееся в его способности выполнять требуемые функции в заданных режимах и условиях использования, технического обслуживания и ремонта до достижения предельного состояния. |
3.13 кольцевые напряжения: Напряжения, действующие в кольцевом направлении стенки резервуара.
3.14 кольцо жесткости: Локальный укрепляющий элемент, установленный по окружности конструкции стенки резервуара при монтаже или ремонте, обеспечивающий повышение устойчивости или принимающий на себя локальные нагрузки.
Примечание - Различают кольца жесткости: ветровое, опорное, промежуточное.
3.15 локальная деформация: Местное отклонение поверхности конструкции от геометрической формы, заданной проектной документацией, являющее собой вмятину, выпучину, хлопун или угловатость.
3.16 метод конечных элементов: Численный метод решения систем дифференциальных уравнений с частными производными, а также интегральных уравнений, возникающих при решении задач механики деформируемого твердого тела, теплообмена, гидродинамики и электродинамики.
3.17 несплошность плоскостного типа: Дефект сварного соединения, выявленный при проведении ультразвукового контроля.
3.18 отклонение образующей стенки от вертикали: Отклонение радиальной проекции от вертикали стенки резервуара, проходящей через метку уторного шва.
3.19 оценка технического состояния: Комплекс мероприятий, включающий техническое диагностирование и определение срока безопасной эксплуатации элементов резервуара с дефектами и резервуара в целом.
3.20 полное техническое диагностирование резервуара: Техническое диагностирование резервуара с наружной и внутренней стороны, требующее вывода резервуара из эксплуатации, его опорожнения, зачистки и дегазации.
3.21 потеря металла: Локальное уменьшение толщины металла элемента конструкции, вызванное коррозией, механическим повреждением.
3.22 (приведенная годовая) цикличность нагружения резервуара: Количество операций заполнения-опорожнения резервуара продуктом в течение года, эквивалентное фактическому нерегулярному годовому заполнению-опорожнению по данным диспетчерского учета, приведенное к полному циклу.
Примечания
1 Цикличность нагружения резервуара определяют с использованием метода "дождя" по ГОСТ 25.101 и правила линейного суммирования повреждений.
2 Под полным циклом понимается колебание от нулевого до максимального и снова до нулевого значения уровня налива продукта в резервуаре.
3.23 продольные напряжения: Напряжения, действующие в направлении образующей стенки резервуара, оси балки.
3.24 прочность: Способность конструкции сопротивляться разрушению при воздействии нагрузок.
Примечание - Прочность характеризуется значениями нагрузок, приводящих к разрушению при заданной схеме нагружения.
3.25 расслоение: Внутреннее нарушение сплошности металла листовой конструкции в продольном и поперечном направлении, разделяющее металл на слои.
3.26 расслоение с выходом на поверхность: Расслоение, выходящее на внутреннюю или наружную поверхность стенки элемента конструкции.
3.27 ребро жесткости стенки: Локальный укрепляющий элемент, установленный вдоль вертикальных или горизонтальных сварных соединений конструкции стенки резервуара при монтаже или ремонте, обеспечивающий повышение устойчивости и сопротивление локальным или осевым нагрузкам.
3.28
резервуар (для нефти/нефтепродуктов): Сооружение, предназначенное для приема, накопления и сдачи нефти/нефтепродуктов. Примечание - Резервуары в ряде случаев можно использовать для измерения объема и/или хранения нефти/нефтепродуктов. |
3.29 риска: Механическое повреждение поверхности металла с уменьшением толщины стенки в виде узкого вытянутого углубления, образованное перемещавшимся по поверхности твердым телом.
3.30 смещение свариваемых кромок: Несовпадение уровней расположения внутренних и наружных поверхностей свариваемых, сваренных деталей в стыковых сварных соединениях.
3.31 срединные напряжения: Максимальные напряжения в конструкции резервуара, действующие в кольцевом направлении в срединной плоскости с учетом дефектов геометрии конструкции.
3.32 срок безопасной эксплуатации резервуара: Срок эксплуатации резервуара на допустимых параметрах, установленных по результатам технического диагностирования.
Примечание - Срок безопасной эксплуатации резервуара измеряют в годах.
3.33 стрела прогиба: Максимальное смещение поверхности конструкции от геометрической формы, заданной проектной документацией, под действием внешних сил.
3.34 угловатость сварного шва: Отклонение формы стенки от цилиндрической, вызванное сварочными напряжениями в сварном соединении.
3.35 поверхностные напряжения: Максимальные напряжения, действующие в кольцевом направлении на поверхности конструкции резервуара с учетом дефектов геометрии конструкции.
3.36 хлопун: Местное отклонение поверхности стенки или днища от проектной геометрической формы, теряющее устойчивость под действием внешних или внутренних нагрузок.
3.37 частичное техническое диагностирование резервуара: Техническое диагностирование резервуара, выполняющееся с наружной стороны без выведения его из эксплуатации, кроме резервуаров с несъемной теплоизоляционной системой.
В настоящем стандарте применены следующие сокращения:
ВИК - визуально-измерительный контроль;
КР - капитальный ремонт;
КЭ - конечный элемент;
МКЭ - метод конечных элементов;
НДС - напряженно-деформированное состояние;
ОТС - оценка технического состояния;
ПРП - приемо-раздаточный патрубок;
РВС - резервуар вертикальный стальной цилиндрический со стационарной крышей без понтона;
РВСП - резервуар вертикальный стальной цилиндрический со стационарной крышей и понтоном;
РВСПА - резервуар вертикальный стальной цилиндрический с купольной стационарной крышей и понтоном из алюминиевых сплавов;
РВСПК - резервуар вертикальный стальной цилиндрический с плавающей крышей;
СДКУ - система диспетчерского контроля и управления;
СКНР - система компенсации нагрузок от приемо-раздаточного патрубка на стенку резервуара;
ТЗ - техническое задание;
УЗК - ультразвуковой контроль;
УЗТ - ультразвуковая толщинометрия.
5.1 Состав работ по расчету срока и определению условий безопасной эксплуатации резервуаров по результатам технического диагностирования
5.1.1 Оценку прочности, устойчивости и долговечности резервуаров проводят в целях обеспечения надежности, механической (конструкционной) безопасности и долговечности металлических конструкций.
5.1.2 Расчет прочности и устойчивости стенки резервуара без учета наличия геометрических отклонений и дефектов основного металла и сварных швов выполняют в соответствии с
разделом 6.
5.1.3 Для оценки прочности, устойчивости и долговечности резервуаров по результатам технического диагностирования выполняют расчет НДС:
- стенки резервуара с учетом ее фактической геометрической формы;
- стенки резервуара при наличии на стенке локальных деформаций (вмятин, выпучин, угловатостей), с учетом проектных <1> ребер и колец жесткости, опорных колец и непроектных усиливающих элементов;
--------------------------------
<1> Здесь и далее под "проектными элементами" понимают элементы, предусмотренные в проектной документации. Если элемент не предусмотрен в проектной документации, то для него используют понятие "непроектный элемент".
- стенки и ПРП при действии нагрузок от трубопровода;
- стационарной стальной крыши и опорного кольца с учетом неравномерной снеговой нагрузки, и нагрузки от собственного веса по
СП 20.13330,
СП 43.13330;
- плавающей крыши, с учетом неравномерной снеговой нагрузки, включая расчет на плавучесть по
СП 20.13330;
- днища резервуара при наличии на днище дефектов в виде локальных деформаций.
5.1.4 Формирование модели резервуара с учетом фактической геометрической формы стенки резервуара и расчет НДС стенки резервуара с учетом ее фактической геометрической формы, стационарной стальной крыши и опорного кольца, плавающей крыши проводят в соответствии с
разделом 7.
Расчет НДС выполняют для следующих условий эксплуатации:
- уровень налива - верхний аварийный, указанный в проектной документации на резервуар;
- рабочее избыточное давление и вакуум в газовой полости резервуара - максимально допустимые, указанные в проектной документации на резервуар.
5.1.5 Расчет НДС стенки резервуара при наличии на стенке локальных деформаций (вмятин, выпучин, угловатостей), проектных ребер и колец жесткости, опорных колец и непроектных усиливающих элементов проводят в соответствии с
разделом 10 с учетом:
- отклонений образующих стенки от вертикали;
- локальных деформаций стенки (вмятины и выпучины);
- дефектов "угловатость сварного шва" на стенке;
- фактической толщины конструкций резервуара;
- снегового и ветрового района расположения резервуара;
- массы опорного и ветровых колец, крыши, оборудования и площадок обслуживания на крыше;
- фактической геометрии и толщины окрайки, поясов стенки, крыши, установленных элементов жесткости, подкладных пластин;
- типов, параметров и расположения сварных соединений стенки;
- марки стали окрайки, поясов стенки, крыши, установленных элементов жесткости, подкладных пластин;
- места расположения локальных деформаций, элементов жесткости и подкладных пластин на стенке резервуара;
- уровня налива продукта при эксплуатации и воды при гидроиспытании;
- плотности продукта.
5.1.6 Расчет НДС, срока и условий безопасной эксплуатации резервуара при воздействии на стенку нагрузок от ПРП и трубопроводной обвязки выполняют в соответствии с
разделом 11 с учетом:
- снегового и ветрового района расположения резервуара;
- массы опорного и ветровых колец, крыши, оборудования и площадок обслуживания на крыше;
- фактической геометрии и толщины стенки, окрайки днища, ПРП, усиливающей накладки и трубопроводной обвязки по результатам технического диагностирования, а также в соответствии с проектной документацией и по предыдущим результатам технического диагностирования;
- типов, параметров и расположения сварных соединений стенки;
- марки стали поясов стенки, окрайки днища, ПРП, усиливающей накладки и трубопроводной обвязки;
- нагрузок и воздействий системы компенсации нагрузок на ПРП (при наличии);
- схемы размещения трубопроводной обвязки;
- уровня налива продукта при эксплуатации и воды при гидроиспытании;
- плотности продукта;
- максимального перепада и минимальной температуры в разное время года.
5.1.7 Расчет НДС участка днища резервуара выполняют в соответствии с
разделом 9 с учетом:
- фактической геометрии и толщины центральной части днища, окрайки и поясов стенки;
- типов, параметров и расположения сварных соединений днища;
- марки стали центральной части днища, окрайки и поясов стенки;
- места расположения локальных деформаций на днище;
- уровня налива продукта при эксплуатации и воды при гидроиспытании;
- плотности продукта.
5.1.8 Определение срока и условий безопасной эксплуатации основного металла и сварных соединений конструкций резервуара с дефектами выполняют в соответствии с
разделом 8 с учетом:
- дефектов металла и сварных соединений, обнаруженных при техническом диагностировании;
- напряжений в конструкциях (элементах) резервуара в соответствии с расчетами, выполненными в соответствии с
разделами 7,
9 -
11;
- скорости коррозии металла конструкций резервуара;
- условий эксплуатации резервуара, включая уровень налива, цикличность нагружения, снеговую нагрузку согласно
СП 20.13330.
5.1.9 При определении срока и условий безопасной эксплуатации резервуара выполняют расчеты на прочность и долговечность элементов конструкций резервуара со следующими типами дефектов:
а) дефекты конструктивных элементов резервуара;
б) дефекты основного металла конструкций резервуара;
в) дефекты сварных соединений:
1) смещение свариваемых кромок;
2) несплошность плоскостного типа, непровар, несплавление, подрез;
3) несплошность объемного типа: пора, включение, свищ, кратер (усадочная раковина);
4) механическое повреждение типа "риска", "задир", "вырыв".
5.1.10 Расчет НДС, прочности и устойчивости стенки резервуара проводят с учетом:
- снегового и ветрового района расположения резервуара;
- массы опорного (ветрового) кольца, крыши, оборудования и площадок обслуживания на крыше;
- фактической геометрии и толщины стенки, крыши, установленных элементов жесткости (ребер и колец жесткости), подкладных пластин;
- типов, параметров и расположения сварных соединений стенки;
- марки стали поясов стенки, крыши, установленных элементов жесткости, подкладных пластин;
- места расположения локальных деформаций, элементов жесткости и подкладных пластин на стенке резервуара;
- уровня налива продукта при эксплуатации и воды при гидроиспытании;
- плотности продукта;
- максимального перепада и минимальной температуры в разное время года;
- нагрузок от сейсмического воздействия, определенных в
6.3.5.
5.1.11 Для определения срока и условий безопасной эксплуатации элементов и конструкций резервуара с дефектами выполняют перечень расчетов. Перечень расчетов, выполняемых для определения срока и условий безопасной эксплуатации, а также критерии необходимости их выполнения приведены в таблице 1.
Таблица 1
Перечень расчетов, выполняемых для определения
срока и условий безопасной эксплуатации,
и критерии необходимости их выполнения
Наименование расчета | Критерий необходимости выполнения расчета | Методика |
Расчет прочности стенки резервуара | Выполняют по результатам каждого технического диагностирования | |
Расчет усиливающих устойчивость стенки резервуара с учетом колец жесткости, центральной опорной стойки и понтона | Выполняют по результатам каждого технического диагностирования | |
Расчет прочности и устойчивости центральной опорной стойки | Выполняют по результатам полного технического диагностирования при наличии центральной опорной стойки | |
Расчет условий безопасной эксплуатации резервуара с учетом фактической геометрической формы стенки резервуара | Обнаружены предельные дефекты, а именно отклонения от установленных значений в проектной документации: - отклонения образующих стенки от вертикали; - отклонение абсолютных осадок и разностей относительных отметок окрайки (наружного контура днища) | |
Расчет прочности и устойчивости стационарной стальной крыши и опорного кольца с учетом неравномерной снеговой нагрузки и нагрузки от собственного веса крыши | Обнаружена коррозионная потеря металла несущих конструкций крыши и опорного кольца глубиной более 20% от толщины, указанной в проектной документации | |
Расчет плавающей крыши резервуара на плавучесть и прочность с учетом неравномерной снеговой нагрузки и коррозионных повреждений | Обнаружено превышение значений снеговой нагрузки, указанных в проектной документации. Обнаружена коррозионная потеря металла конструкций плавающей крыши глубиной более 20% от толщины, указанной в проектной документации | |
Расчет срока и условий безопасной эксплуатации основного металла и сварных соединений конструкций резервуара с дефектами | Обнаружены предельные дефекты металла и сварных швов стенки, крыши, днища, понтона | |
Расчет срока и условий безопасной эксплуатации резервуара при наличии на стенке локальных деформаций (вмятин, выпучин, угловатостей), с учетом проектных ребер и колец жесткости, опорных колец и непроектных усиливающих элементов | Выполняют по результатам технического диагностирования при обнаружении предельные локальных деформаций стенки (вмятин, выпучин, угловатостей), при наличии проектных ребер, в т.ч. вертикальных, колец жесткости, опорных колец и непроектных усиливающих элементов | |
Расчет срока и условий безопасной эксплуатации резервуара при воздействии на стенку нагрузок от ПРП при наличии/отсутствии СКНР и трубопроводной обвязки | Обнаружены предельные дефекты геометрии ПРП или стенки в области ПРП | |
5.1.12 Для расчета срока и определения условий безопасной эксплуатации элементов и конструкций стенки резервуара с дефектами и резервуара в целом по результатам частичного технического диагностирования выполняют расчеты согласно
разделам 6 -
8,
10.
По результатам расчета определяют условия эксплуатации резервуара с дефектами до полного технического диагностирования.
5.2 Расчет срока и определение условий эксплуатации конструкций резервуара с дефектами по результатам технического диагностирования
5.2.1 Все обнаруженные при техническом диагностировании дефекты классифицируют по степени опасности с разделением на три группы:
- группа 1 - дефекты, при наличии которых эксплуатация не допускается (предельные дефекты);
- группа 2 - дефекты, при наличии которых для каждого из них выполняется расчет срока безопасной эксплуатации элемента конструкции резервуара с этим дефектом;
- группа 3 - дефекты, подлежащие ремонту, для которых срок безопасной эксплуатации элемента не рассчитывается и не устанавливается.
5.2.2 По результатам частичного технического диагностирования всем дефектам (кроме дефектов стенки и дефектов, при наличии которых эксплуатация резервуара не допускается) присваивается группа 3.
5.2.3 Дефекты типа трещины, отпотины, сквозные отверстия в окрайке, центральной части днища, стенке, при наличии которых эксплуатация резервуара не допускается, относят к группе 1 (предельные дефекты).
5.2.4 Срок безопасной эксплуатации элемента конструкции резервуара с дефектами группы 1 составляет - 0 лет. Срок безопасной эксплуатации конструкции резервуара с таким дефектом устанавливается равным 0 лет.
5.2.5 Для каждого дефекта группы 2 выполняют расчет срока безопасной эксплуатации элемента конструкции резервуара с таким дефектом. Расчет выполняют по методикам в соответствии с
разделами 6 -
11. Если расчетный срок безопасной эксплуатации элемента конструкции резервуара с дефектом превышает 20 лет, то срок безопасной эксплуатации с данным дефектом устанавливается равным 20 годам.
5.2.6 Расчет срока безопасной эксплуатации элемента конструкции резервуара с дефектами выполняют для следующих условий эксплуатации:
- уровень налива - верхний аварийный, указанный в проектной документации на резервуар;
- снеговая нагрузка - соответствующая снеговому району по
СП 20.13330;
- ветровая нагрузка - соответствующая ветровому району по
СП 20.13330;
- вакуумметрическое и рабочее избыточное давление в газовой полости резервуара - максимально допустимые согласно проектной документации на резервуар.
5.2.7 Срок безопасной эксплуатации конструкции резервуара с дефектами определяют равным минимальному из сроков эксплуатации ее элементов. При расчете срок эксплуатации конструкции резервуара с дефектами округляют до целого количества лет.
5.2.8 Срок безопасной эксплуатации резервуара в целом T, в годах:
а) при наличии дефектов группы 1 эксплуатация не допускается - срок безопасной эксплуатации резервуара устанавливают равным 0 лет;
б) при отсутствии дефектов группы 1 срок эксплуатации T, в годах, определяют равным минимальному из сроков безопасной эксплуатации конструкций резервуара с дефектами группы 2.
5.2.9 По результатам расчетов по данным полного технического диагностирования дефекты групп 1 и 2, расположенные на настиле и несущих конструкциях стационарной крыши, верхнем настиле (деке) плавающей крыши, кровле (настиле) понтона, затворе, относят к дефектам группы 3, если выполняются следующие условия:
- на днище и стенке резервуара отсутствуют дефекты группы 1;
- сроки безопасной эксплуатации конструкций резервуара равны или превышают срок следующего очередного полного технического диагностирования.
5.2.10 При ОТС срок безопасной эксплуатации поясов 1 - 3 стенки, днища, плавающей крыши (понтона) резервуара с дефектами типа "потеря металла", имеющими глубину 50% и более от проектной толщины металла, составляет 0 лет (группа 1) (кроме дефектов, удовлетворяющих условиям по
5.2.9).
5.2.11 При ОТС дефекты коррозионного происхождения на стенке, на окрайке и центральной части днища резервуара относят к дефектам группы 2.
5.2.12 Срок безопасной эксплуатации стенки резервуара по результатам частичного технического диагностирования или контроля технического состояния с дефектами типа "потеря металла", "коррозионная потеря металла", имеющими глубину 70% и более от фактической (действительной) толщины металла, составляет 0 лет.
5.2.13 Условия безопасной эксплуатации резервуара определяют следующим образом:
а) при наличии дефектов группы 1 для выполнения остальных расчетов принимают условия эксплуатации по
5.2.6;
б) при отсутствии дефектов группы 1 и наличии дефектов со сроками безопасной эксплуатации для условий по
5.2.6, менее срока проведения очередного полного технического диагностирования допускается рассчитывать условия нагружения (максимальный уровень налива, снеговая нагрузка, давление (вакуум) в газовом пространстве резервуара), при которых возможна безопасная эксплуатация резервуара без устранения дефектов на срок до очередного полного технического диагностирования.
6 Методика расчета прочности и устойчивости стенки резервуара
6.1.1 Для выполнения расчета необходимы следующие данные:
а) данные паспорта резервуара:
1) тип резервуара;
2) место расположение резервуара;
3) данные о металле: марка и толщина металла, из которого изготовлена стенка, центральная опорная стойка (при наличии);
4) проектный уровень налива продукта в резервуаре;
5) плотность продукта;
6) нормативное значение ветрового давления (определяют в соответствии с
СП 20.13330), нормативная снеговая нагрузка на поверхности земли, на НПС в зависимости от снегового района;
7) вес покрытия резервуара;
8) вес стационарного оборудования на резервуаре;
9) веса теплоизоляции на покрытии;
10) наличие понтона;
б) данные технического диагностирования:
1) наличие, количество, расположение и сечения колец жесткости;
2) наличие, высота и сечение центральной опорной стойки;
3) результаты толщинометрии стенки.
6.1.2 Для резервуаров, спроектированных в соответствии с требованиями
СП 20.13330, коэффициент, учитывающий снос снега с крыши под действием ветра
ce <1>:
--------------------------------
<1>
ce для резервуаров, спроектированных и установленных до введения в действие
СП 20.13330.2016, вместо коэффициента
ce учитывают коэффициент надежности по нагрузке:
- 0,7 для купольных (сферических) крыш;
- 1,0 для плоских и конических крыш.
а) при диаметре резервуара D до 60 м - принимается равным 0,85;
б) при диаметре резервуара D свыше 60 м - определяют по формуле
ce = 0,85 + 0,00375·(D - 60). (1)
6.1.3 Коэффициенты сочетаний для длительных

и кратковременных нагрузок

, где
j - степень влияния нагрузки (1 - основная степень влияния, 2 и 3 - остальные степени влияния по убыванию), приведены в таблице 2 согласно
СП 20.13330.
Таблица 2
Коэффициенты сочетаний
для длительных и кратковременных нагрузок
Коэффициенты сочетаний для длительных нагрузок | Коэффициенты сочетаний для кратковременных нагрузок |
| | | | | |
1 | 2 | 3 | 4 | 5 | 6 |
1,00 | 0,95 | 0,95 | 1,00 | 0,90 | 0,70 |
6.1.4 Значения рабочего избыточного давления Pu приведены в таблице 3.
Таблица 3
Значения рабочего избыточного давления
Pu
Тип резервуара | Рабочее избыточное давление, кПа, не более |
РВС | 2,0 |
| 0,0 |
РВСПК | 0,0 |
<*> Для резервуаров РВСП, оборудуемых системой газового пожаротушения, принимают значение рабочего избыточного давления как для РВС. |
6.1.5 Коэффициент условий работы

приведен в таблице 4 в соответствии с
СП 16.13330.
Таблица 4
Коэффициент условий работы

Элемент конструкции резервуара | Значение коэффициента условий работы  |
Стенка резервуара при расчете на прочность | Пояс 1 | В условиях эксплуатации | 0,7 |
В режиме гидравлических испытаний | 0,9 |
Все пояса, кроме пояса 1 | В условиях эксплуатации | 0,8 |
В режиме гидравлических испытаний | 0,9 |
Центральная опорная стойка | 1,0 |
6.1.6 Коэффициент надежности по материалу

приведен в таблице 5 в соответствии
СП 16.13330.
Таблица 5
Коэффициент надежности по материалу

Условия контроля свойств проката | Значение коэффициента надежности по материалу,  |
Для проката при наличии сертификата на прокат или для проката по ГОСТ 27772 (кроме сталей С590 и С590К) и другим нормативным документам, использующим процедуру контроля свойств проката по ГОСТ 27772, ГОСТ 1050 | 1,025 |
Для остального проката и труб, соответствующих требованиям СП 16.13330 | 1,050 |
| 1,100 |
6.1.7 Коэффициент надежности по назначению

приведен в таблице 6 в соответствии ГОСТ 31385-2016
(5.4.4).
Таблица 6
Коэффициент надежности по назначению

Класс резервуара по ГОСТ 31385-2016 (5.4.4) | Уровень ответственности | Значение  при плотности продукта  |
Менее или равно 1,05 т/м3 | Более 1,05 т/м3 |
КС-3а | Повышенный | 1,20 | 1,25 |
КС-3б | Повышенный | 1,10 | 1,20 |
КС-2а | Нормальный | 1,05 | 1,10 |
КС-2б | Нормальный | 1,00 | 1,05 |
6.1.8 Значения вакуумметрического давления
pv приведены в таблице 7.
Таблица 7
Значения вакуумметрического давления
pv
Тип резервуара | Вакуумметрическое давление, кПа |
РВС | 0,25 |
| 0 |
РВСПК | 0 |
<*> Для резервуаров РВСП, оборудуемых системой газового пожаротушения, принимают значения вакуумметрического давления как для РВС. |
6.1.9 Коэффициент
k, учитывающий изменение ветрового давления по высоте стенки, приведен в таблице 8 в соответствии СП 20.13330.2016
(таблица 11.2).
Таблица 8
Коэффициент, учитывающий изменение
ветрового давления по высоте стенки
Высота стенки ZB, м | |
A | B | C |
<= 5 | 0,75 | 0,50 | 0,40 |
10 | 1,00 | 0,65 | 0,40 |
20 | 1,25 | 0,85 | 0,55 |
Примечание - Промежуточные значения определяют интерполяцией. |
6.1.10 Аэродинамический коэффициент внешнего давления ветра ca приведен в таблице 9.
Таблица 9
Аэродинамический коэффициент внешнего давления ветра
| 0,2 | 0,4 | 0,6 | 0,8 | 1,0 | 1,2 | 1,4 | 1,6 | 1,8 | 2,0 | 2,2 | 2,4 | 2,6 | 2,8 | 3,0 |
ca | 0,52 | 0,64 | 0,73 | 0,77 | 0,80 | 0,83 | 0,85 | 0,86 | 0,88 | 0,90 | 0,92 | 0,94 | 0,96 | 0,97 | 0,98 |
<1> Hs - высота стенки резервуара. |
Примечание - Промежуточные значения определяют интерполяцией. |
6.2 Расчет прочности стенки резервуара
6.2.1 По результатам технического диагностирования резервуара расчетную фактическую толщину каждого пояса определяют как среднее из значений толщин листов пояса, которое определяют как среднее из значений результатов измерений толщины листа.
6.2.2 Срединное кольцевое напряжение

, Па, в каждом поясе определяют согласно
ГОСТ 31385 по формуле

, (2)
где Hн - проектный уровень налива продукта в резервуаре, м;

- расчетная плотность продукта, кг/м
3;
z - высота середины пояса, м;
r - радиус резервуара, м;

- расчетная фактическая толщина пояса, м.
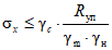
6.2.3 Критерием оценки прочности является выполнение условия

, (3)
где Rуп - предел текучести стали, Па.
6.2.4 Если срединное кольцевое напряжение не превышает допустимое значение, то эксплуатация резервуара по результатам расчета на прочность допускается при проектном уровне налива.
6.2.5 Если срединное кольцевое напряжение в поясе превышает допустимое значение, то для продолжения эксплуатации резервуара требуется снижение уровня налива до значений, при которых срединное кольцевое напряжения не превышает допустимое.
6.3 Расчет устойчивости стенки с учетом колец жесткости, центральной опорной стойки и понтона
6.3.1 По результатам технического диагностирования резервуара вычисляют расчетную фактическую толщину каждого пояса для проведения расчета устойчивости.
Расчетную фактическую толщину каждого пояса определяют, как среднее из значений толщин листов пояса, которое определяют, как среднее из значений результатов измерений толщины листа.
Если одно из измеренных значений толщин листа на втором поясе и выше меньше максимального из измеренных значений толщины листа на 20% и более, оно не используется при расчете среднего значения толщины листа.
Для каждого пояса стенки определяют срединное продольное напряжение

и срединное кольцевое напряжение

.
6.3.2 Срединное продольное напряжение

, Па, в
i-м поясе стенки вычисляют:
а) для резервуаров со стационарной крышей (в том числе с понтоном и центральной опорной стойкой) по формуле

, (4)
где Gм - вес металлоконструкций, Н, выше расчетной точки;
G0 - вес стационарного оборудования, Н, выше расчетной точки;
Gt - вес теплоизоляции, Н, выше расчетной точки;
r - радиус резервуара, м;

- расчетная фактическая толщина пояса, м.
Для резервуаров с центральной опорной стойкой вес крыши резервуара, вес стационарного оборудования на крыше, вес теплоизоляции на крыше, нагрузка на крышу резервуара от вакуумметрического давления pv и нормативную снеговую нагрузку на горизонтальную проекцию крыши резервуара ps принимают равными 2/3 от их полного значения;
б) для резервуаров с плавающей крышей по формуле

. (5)
6.3.3 Срединное кольцевое напряжение

, Па, в
i-м поясе стенки вычисляют:
а) для резервуаров со стационарной крышей и понтоном по формуле

, (6)
где pv - расчетное значение ветрового давления, Па;
б) для резервуаров с плавающей крышей по формуле

. (7)
6.3.4 Расчетное значение ветрового давления pw, Па, определяют по формуле
pw = pwm + pwp, (8)
где pwm - нормативное значение средней составляющей ветровой нагрузки, Па;
pwp - нормативное значение пульсационной составляющей ветровой нагрузки, Па.
6.3.5 Нормативное значение средней составляющей ветровой нагрузки
pwm, Па, определяют в соответствии с СП 20.13330.2016
(11.1.3) по формуле
pwm = p0·k·ca, (9)
где
ca - аэродинамический коэффициент внешнего давления ветра для резервуара, определяемый по
таблице 9;
p0 - нормативное значение ветрового давления, Па, определяемое в соответствии с СП 20.13330.2016
(11.1.4).
6.3.6 Нормативное значение пульсационной составляющей ветровой нагрузки
pwp, Па, определяют в соответствии с СП 20.13330.2016
(11.1.8) по формуле

, (10)
где

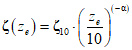
- коэффициент пульсации давления ветра для эквивалентной высоты
ze;
vk - коэффициент пространственной корреляции пульсаций давления ветра согласно СП 20.13330.2016
(таблица 11.6).
6.3.7 Коэффициент пульсации давления ветра

для эквивалентной высоты
ze определяют по СП 20.13330.2016
[формула (11.6)]

, (11)
где

и

- безразмерные параметры, принимаемые по СП 20.13330.2016
(таблица 11.3) для различных типов местности.
6.3.8 Для обеспечения необходимой устойчивости стенки резервуара для каждого пояса должно выполняться условие

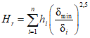
, (12)
где

- продольное критическое напряжение, Па;

- кольцевое критическое напряжение, Па,
которые рассчитывают по формулам:

, (13)
где E - модуль упругости, Па;

. (14)
Коэффициент Ci, определяют по формулам:

(15)
Редуцированную высоту Hr, м определяют суммированием с низа первого пояса вверх по формуле

, (16)
где hi - высота i-го пояса, м;

- толщина самого тонкого пояса стенки, м.
При наличии кольца жесткости в пределах i-го пояса в качестве hi принимают расстояние от нижней кромки этого пояса до кольца жесткости.
В резервуарах с плавающей крышей для верхнего пояса в качестве hi принимают расстояние от нижней кромки пояса до ветрового кольца.
При наличии колец жесткости значения

и
Hr определяют для каждого участка стенки между кольцами жесткости.
6.3.9 При выполнении
условия (12) эксплуатация резервуара по результатам расчета на устойчивость допускается при проектном уровне налива без снижения снеговой нагрузки и вакуума.
6.3.10 При невыполнении
условия (12) для продолжения эксплуатации резервуара требуется снижение снеговой нагрузки и вакуума до значений, при которых оно будет выполняться. При невозможности обеспечить устойчивость снижением нагрузок резервуар выводится в ремонт.
6.3.11 Сейсмостойкость корпуса резервуара определяют для особого сочетания нагрузок по
СП 14.13330, включающих в себя сейсмические нагрузки, вес хранимого продукта, вес конструкций и теплоизоляции, избыточное давление, вес снегового покрова.
К сейсмическим нагрузкам относятся: - повышенное давление в продукте от низкочастотных гравитационных волн на свободной поверхности, возникающих при горизонтальном сейсмическом воздействии; - высокочастотное динамическое воздействие, обусловленное совместным колебанием массы продукта и круговой цилиндрической оболочки; - инерционные нагрузки от элементов конструкции резервуара, участвующих в общих динамических процессах корпуса и продукта; - гидродинамические нагрузки на стенку, обусловленные вертикальными колебаниями грунта. Расчет на сейсмостойкость резервуара, приведенный в [2], должен обеспечивать: - прочность стенки по кольцевым напряжениям на уровне нижней кромки каждого пояса; - устойчивость 1-го пояса стенки с учетом дополнительного сжатия в меридиональном направлении от сейсмического опрокидывающего момента; - устойчивость корпуса резервуара от опрокидывания; - условия, при которых гравитационная волна на свободной поверхности не достигает конструкций стационарной крыши и не приводит к потере работоспособности понтона или плавающей крыши. Сейсмический опрокидывающий момент определяют как сумму моментов от всех сил, способствующих опрокидыванию резервуара. Проверку на опрокидывание проводят относительно нижней точки стенки, расположенной на оси горизонтальной составляющей сейсмического воздействия. |
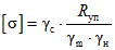
6.4 Расчет прочности и устойчивости центральной опорной стойки
6.4.1 При наличии на резервуаре центральной опорной стойки для нее выполняют расчеты на прочность и устойчивость.
6.4.2 Расчет на прочность центральной опорной стойки выполняют по формуле

, (17)
где NV - суммарная вертикальная нагрузка на центральную опорную стойку, Н;
An - площадь сечения стойки нетто, ослабленной отверстиями и коррозией, м2;
Ry - расчетное сопротивление стали, принимаемое по
СП 16.13330, Па;

- коэффициент условий работы, принимаемый по
таблице 4.
Площадь сечения стойки нетто An определяют по формуле

, (18)
где dc - диаметр центральной опорной стойки, м;

- действительная толщина стенки центральной опорной стойки, м;
Aотв - суммарная площадь отверстий центральной опорной стойки, м2.
Суммарную вертикальную нагрузку NV, Н, на центральную опорную стойку определяют по формуле

(19)
где

- вес металлоконструкций крыши согласно ТЗ на ОТС, Н;
G0 - вес стационарного оборудования согласно ТЗ на ОТС, Н;
Gt - вес теплоизоляции согласно ТЗ на ОТС, Н;
ce - коэффициент, учитывающий снос снега с крыши под действием ветра, принимаемый согласно
6.1.2;
ps - нормативная снеговая нагрузка на поверхности земли согласно ТЗ на ОТС, Па;
pv - значение вакууметрического давления, принимаемое согласно
6.1.8, Па;
r - радиус резервуара, м.
6.4.3 Расчет устойчивости центральной опорной стойки проводят по формуле

, (20)
где

- коэффициент продольного изгиба, принимаемый в соответствии с СП 16.13330.2017
(7.1.3), в зависимости от гибкости центральной опорной стойки

.
Гибкость центральной опорной стойки

определяют по формуле

, (21)
где lef - расчетная условная длина центральной опорной стойки, м;
ri - радиус инерции сечения центральной опорной стойки, м.
Расчетную условную длину центральной опорной стойки lef, м, определяют по формуле

, (22)
где

- коэффициент для определения расчетной длины стоек постоянного сечения, принимаемый равным 0,7, в соответствии с СП 16.13330.2017 (см.
таблицу 30);
l - длина центральной опорной стойки, м.
6.4.4 При выполнении
условий (17),
(20) допускается эксплуатация центральной опорной стойки без снижения снеговой нагрузки и вакуумметрического давления.
6.4.5 При невыполнении
условий (17),
(20) для продолжения эксплуатации резервуара требуется снижение снеговой нагрузки и вакуумметрического давления до значений, при которых указанные условия будут выполняться. При невозможности обеспечить устойчивость снижением нагрузок резервуар выводится в ремонт.
6.5 Расчет срока эксплуатации
6.5.1 Срок безопасной эксплуатации пояса стенки резервуара определяют по результатам расчета на долговечность по критерию прочности и устойчивости.
6.5.2 Срок безопасной эксплуатации пояса стенки

, год, определяют согласно
[3] по формуле

, (23)
где

- допускаемая толщина пояса, мм;
Vi,ут.корр - скорость коррозионного равномерного утонения пояса стенки резервуара, определяемая по формуле

, (24)
где

- проектная толщина пояса, мм;

- расчетная фактическая толщина пояса, мм;
Ti.раб - срок между вводом в эксплуатацию пояса (после строительства, ремонта) и техническим диагностированием, год.
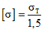
6.5.3 Допускаемая толщина пояса

определяется как максимальное значение по критериям прочности и устойчивости.
Допускаемую толщину пояса

, мм, по критерию прочности определяют по формуле

, (25)
где

- допускаемое напряжение, Па, определяемое по формуле

, (26)
где

- коэффициент условий работы, принимаемый по
6.1.5;
Rуп - предел текучести стали, принимаемый в соответствии с национальными стандартами Российской Федерации, межгосударственными стандартами, международными стандартами и/или техническими условиями;

- коэффициент надежности по материалу, принимаемый по
6.1.6;

- коэффициент надежности по назначению, принимаемый по
6.1.7.
Допускаемую толщину пояса

, мм, по критерию устойчивости определяют согласно
разделу 7, при условии

. (27)
6.5.4 Срок безопасной эксплуатации стенки резервуара принимают равным минимальному из сроков безопасной эксплуатации поясов.
7 Методика расчета напряженно-деформированного состояния конструкций резервуара методом конечных элементов
7.1.1 Для выполнения расчета необходимы следующие данные:
а) данные паспорта резервуара:
1) тип резервуара;
2) место расположение резервуара;
3) проектный уровень налива продукта в резервуаре;
4) плотность продукта;
5) нормативная снеговая нагрузка на поверхности земли в зависимости от снегового района согласно СП 20.13330.2016
(таблица 10.1);
6) вес покрытия резервуара;
7) вес стационарного оборудования на резервуаре;
8) веса теплоизоляции на покрытии;
б) данные технического диагностирования:
1) наличие, количество, расположение и сечения колец жесткости и ребер жесткости (при наличии);
2) наличие и размеры центральной опорной стойки;
3) результаты толщинометрии конструкций резервуара;
4) данные о металле конструкций резервуара: марка и проектная толщина металла, из которого изготовлена стенка, опорное и ветровые кольца, ребра (кольца) жесткости (при наличии), крыша (несущие конструкции и настил), плавающая крыша, центральная опорная стойка (при наличии);
5) результаты нивелирования внешней части листов окрайки днища резервуара;
6) результаты геодезических измерений и ВИК: размеры и расположение локальных деформаций стенки (вмятин, выпучин, угловатости) по горизонтали и вертикали, глубина вмятин и выпучин, стрела прогиба угловатости сварных швов на каждом поясе; глубины вмятин и выпучин должны быть измерены с шагом 20 см;
7) комплект чертежей марки КМ металлоконструкций резервуара.
7.1.2 Для создания модели материала необходимо задать модуль упругости
E, коэффициент Пуассона
v и плотность стали

.
7.1.3 Модель материала принимается упругой.
7.1.4 Снижение механических характеристик стали ниже требований нормативных и технических документов должно быть учтено в расчетах прочности и устойчивости конструкций резервуара при задании модели материала путем соответствующего уменьшения расчетных характеристик металла.
7.2 Расчеты конструкций резервуара
7.2.1 Общие положения
7.2.1.1 Расчет конструкций резервуара с дефектами геометрии заключается в определении НДС конструкций и сравнении рассчитанных значений с допускаемыми. НДС определяют с учетом фактически измеренного при техническом диагностировании геометрического положения стенки резервуара, крыши резервуара (стационарной, плавающей).
7.2.1.2 Для определения НДС конструкции резервуара используют статический прочностной анализ.
7.2.1.3 Расчет НДС конструкции резервуара осуществляют с использованием компьютерного моделирования методом КЭ.
7.2.2 Последовательность проведения расчета
7.2.2.1 Расчеты НДС конструкций резервуара проводят в следующей последовательности:
а) создание математической модели конструкции:
1) построение геометрической модели конструкций резервуара;
2) задание типа КЭ;
3) создание модели материала;
4) построение КЭ модели;
5) задание нагрузок и граничных условий на конструкции резервуара;
б) выполнение расчета по сформированной модели с заданными граничными условиями;
в) оценка точности результатов расчета, в случае необходимости, уточнить модель и провести расчет для достижения требуемой точности;
г) определение работоспособности рассчитываемой конструкции;
д) предоставление данных для выполнения расчета срока и условий безопасной эксплуатации основного металла и сварных соединений конструкций резервуара с дефектами.
7.2.2.2 Особенности построения математических моделей и численного решения системы уравнений, описывающих математическую модель конструкции, определяются применяемым программным комплексом.
7.2.3 Создание математической модели стенки резервуара с дефектами геометрии
7.2.3.1 Модель стенки резервуара содержит КЭ стенки с дефектами геометрии и КЭ опорного кольца, присоединенные к верхнему поясу стенки резервуара.
В модели учитывают:
- толщины поясов стенки и ремонтных вставок;
- отклонения образующих стенки от вертикали;
- момент инерции опорного кольца.
Расчетную фактическую толщину каждого пояса

определяют, как среднее из значений результатов измерений толщины листа.
Отклонения образующих стенки от вертикали строят по результатам геодезических измерений, выполненных при минимальном уровне налива согласно технологической карте.
7.2.3.2 При расчете модели стенки резервуара должны быть учтены следующие нагрузки:
- нагрузки от веса конструкций (сила тяжести);
- ограничения на степени свобод (граничные условия);
- нагрузка, распределенная по линии (вес крыши и снега);
- нагрузка от избыточного давления;
- гидростатическое давление.
Нагрузки и граничные условия модели стенки резервуара приведены в таблице 10.
Таблица 10
Нагрузки и граничные условия модели стенки резервуара
Наименование конструкции | Нагрузка/граничное условие | Порядок приложения | Обозначение формулы, таблицы |
Стенка | Жесткое закрепление по уторному узлу | Граничные условия задают на узлы нижней кромки первого пояса стенки. Запрещаются перемещения по всем направлениям | - |
Гидростатическое давление | Нагрузку прикладывают на все элементы, соответствующие уровню налива | |
Избыточное давление | Нагрузку прикладывают на все элементы стенки | |
Опорное кольцо | Распределенная нагрузка от веса крыши и равномерно распределенного снега | Нагрузку задают на поверхность балочного элемента | |
Гидростатическое давление FГ, Па, рассчитывают по формуле

, (28)
где

- расчетная плотность продукта, кг/м
3;
Hн - проектный уровень налива продукта в резервуаре, м;
x - вертикальная координата расчетной точки, м.
Нагрузку на стенку Nст, Н, от веса крыши и равномерно распределенного снега:
а) для резервуаров со стационарной крышей определяют по формуле

. (29)
При наличии центральной опорной стойки нагрузка на стенку Nст, Н, должна быть уменьшена на 1/3;
б) для резервуаров с плавающей крышей определяют по формуле

. (30)
7.2.4 Создание математической модели плавающей крыши резервуара
7.2.4.1 Модель плавающей крыши состоит из коробов и настила, соединенных друг с другом.
В модели учитывают:
- среднюю толщину коробов и настила;
- геометрические размеры крыши, соответствующие проектной документации.
Построение геометрической модели плавающей крыши выполняют с учетом циклической симметрии на основе чертежей марки КМ металлоконструкций плавающей крыши резервуара, представленных в комплекте исходных данных.
Элементы крыши, контактирующие с продуктом, должны опираться на упругое основание. Упругое основание моделирует воздействие продукта на днище крыши (Архимедову силу), поэтому коэффициент жесткости основания kо, Па/м, должен быть численно равен удельному весу продукта

. (31)
7.2.4.2 К модели плавающей крыши прикладывают следующие нагрузки и ставят граничные условия:
- нагрузки от веса конструкций (сила тяжести);
- ограничения на степени свобод (закрепление модели);
- давление гидростатическое;
- давление от снеговой нагрузки.
Нагрузки и граничные условия модели плавающей крыши, приведены в таблице 11.
Таблица 11
Нагрузки и граничные условия модели плавающей крыши
Наименование конструкции | Нагрузка/граничное условие | Порядок приложения | Обозначение формулы |
Короба верхней части | Распределенная нагрузка от веса снегового покрова | Нагрузка задается, как давление, прикладываемое на выбранную поверхность | |
Короба нижней части | Нагрузка от давления жидкости | Определяется для расчетной плотности продукта  , равной 700 кг/м 3 | - |
Настил верхней деки | Распределенная нагрузка от веса снегового покрова | Нагрузка задается, как давление, прикладываемое на выбранную поверхность | |
Настил нижней деки | Упругое основание | Определяется для расчетной плотности продукта  , равной 700 кг/м 3 | - |
7.2.4.3 Распределение неравномерной снеговой нагрузки по поверхности плавающей крыши psr, МПа, рассчитывают по формуле

, (32)
где ps - расчетная снеговая нагрузка на поверхности земли, определяемая в соответствии с действующими нормативными документами, МПа;

- безразмерный коэффициент, принимаемый, в зависимости от положения расчетной точки на крыше в соответствии с
СП 20.13330.
7.2.5 Создание математической модели стационарной крыши резервуара и опорного кольца
7.2.5.1 Модель стационарной стальной крыши и опорного кольца включает опорное кольцо, центральное кольцо и присоединенные к ним радиальные и кольцевые балки, настил, а также два верхних пояса стенки резервуара.
В модели учитывают:
- средние толщины опорного кольца, центрального кольца и присоединенных к ним радиальных и кольцевых балок, двух верхних поясов стенки резервуара;
- геометрические размеры крыши - согласно проектной документации.
Построение геометрической модели стационарной стальной крыши и опорного кольца производится с учетом циклической симметрии на основе чертежей марки КМ металлоконструкций стационарной крыши и опорного кольца резервуара, представленных в комплекте исходных данных. Дефекты геометрии стенки и настила не учитывают.
7.2.5.2 К модели стационарной крыши прикладывают следующие нагрузки и ставят граничные условия:
- нагрузки от веса конструкций (сила тяжести);
- ограничения на степени свобод (закрепление модели);
- давление от снеговой нагрузки.
Нагрузки и граничные условия модели стационарной крыши приведены в таблице 12.
Таблица 12
Нагрузки и граничные условия модели стационарной крыши
Наименование конструкции | Нагрузка/граничные условия | Порядок приложения |
Стенка | Жесткое закрепление по нижней кромке стенки | Граничные условия ставят к узлам нижней кромки стенки. Запрещаются перемещения по всем направлениям |
Настил | Давление от действия снега | Нагрузку задают по нормали к проекции крыши на поверхность земли |
Опорное кольцо | Нагрузки отсутствуют |
Балки крыши | Нагрузки отсутствуют |
Центральное кольцо | Нагрузки отсутствуют |
Схемы распределения снеговых нагрузок и коэффициенты

принимают по СП 20.13330.2016 (приложение Б,
Б.11 и
Б.12).
7.2.6 Численное решение системы уравнений, описывающих модель конструкции
Численное решение системы уравнений, описывающих КЭ модель, выполняют в порядке, определенном для применяемого программного комплекса.
В результате численного решения системы уравнений в каждом узле модели определяют:
-

- поверхностные (фибровые) напряжения (для стенки) в конструкциях, Па;
-

- срединные (мембранные) напряжения (для стенки) в конструкциях, Па;
-

- эквивалентные напряжения по Мизесу, Па;
- перемещения узлов КЭ модели, м;
-

- продольные напряжения (для балки стационарной крыши), Па.
7.2.7 Критерии оценки работоспособности конструкций резервуара
7.2.7.1 Напряжения в конструкции резервуара определяют при геометрически нелинейном (учет больших перемещений) упругом расчете.
7.2.7.2 Условия статической прочности проверяют в соответствии с
ГОСТ 34233.11
7.2.7.3 Допускаемое напряжение

, Па, для элементов оболочки резервуара принимают равным

, (33)
где

- расчетный предел текучести, Па.
Работоспособность конструкций резервуара по результатам геометрически нелинейного упругого расчета НДС определяют по критериям, приведенным в таблице 13.
Таблица 13
Критерии работоспособности конструкций резервуара
при геометрически нелинейном упругом расчете НДС
Конструкция | Элемент модели | Критерий работоспособности |
1 Стенка резервуара | Листы стенки | 1.1 Срединные (мембранные) напряжения должны удовлетворять условию 1.2 Отсутствие локальной потери устойчивости ("прохлопывания") вмятины, определяемой по стремлению к горизонтали касательной к графику радиального перемещения в области вмятины - уровень налива продукта или по невозможности достижения равновесного решения при малом приращении нагрузки (т.е. решение перестает сходиться) при реализации численного решения МКЭ |
Опорное кольцо. Ребра жесткости. ПРП, в т.ч.: стенка, воротник, патрубок | Поверхностные (фибровые) напряжения, максимальные эквивалентные поверхностные и срединные (мембранные) напряжения должны удовлетворять условиям:  ;  ; |
2 Плавающая крыша | Короба | |
Деки |
3 Стационарная крыша | Опорное кольцо | |
Центральное кольцо |
Балки | Срединные напряжения в продольном направлении превышают предел текучести стали с учетом коэффициентов запаса  , коэффициент условий работы  определяют в соответствии с СП 16.13330, коэффициенты надежности по назначению и по материалу  ,  принимают в соответствии с ГОСТ 31385 |
Если напряжения в конструкции не превышают допустимые значения, то эксплуатация резервуара по результатам расчета на прочность допускается при проектном уровне налива.
Если напряжения в конструкции превышают допустимые значения, то для продолжения эксплуатации резервуара требуется снижение уровня налива до значений, при которых напряжения не превышают допустимых значений, или вывод резервуара в ремонт.
Если не выполнены критерии, приведенные в
таблице 13, определяют нагрузку на конструкции, при которой допускается эксплуатация резервуара.
8 Методика определения срока и условий безопасной эксплуатации основного металла и сварных соединений конструкций резервуара с дефектами
8.1.1 Механические характеристики металла и сварных швов приведены в
приложении А.
8.1.2 Данные на резервуар:
- диаметр резервуара;
- толщина стенки резервуара;
- проектный уровень налива;
- цикличность нагружения.
8.1.3 Скорость роста коррозионного дефекта конструкции
Vкорр, мм/год, резервуара определяют по формуле

, (34)
где

- проектная толщина конструкции, мм;

- минимальная толщина конструкции, определенная при последнем техническом диагностировании, мм;
Tраб - срок между вводом в эксплуатацию конструкции (после строительства, ремонта) и техническим диагностированием, год;
H0 - глубина дефекта, определенная при последнем техническом диагностировании мм;
H1 - глубина дефекта, определенная при предыдущем техническом диагностировании мм;

- период времени между последним и предыдущим техническими диагностированиями, год.
При отсутствии данных предыдущего технического диагностирования скорость роста коррозионного дефекта Vкорр, мм/год, определяют по формуле

. (35)
Если скорость, рассчитанная по
формуле (34) или
(35), более 0,35 мм/год, то скорость роста коррозионного дефекта конструкции
Vкорр принимают равной 0,35 мм/год.
8.1.4 Скорость коррозионного равномерного уточнения конструкции резервуара Vут.корр, мм/год, определяют по формуле

. (36)
Если скорость, рассчитанная по
формуле (36) меньше 0,05 мм/год, то скорость коррозионного равномерного утонения конструкции
Vут.корр принимают равной 0,05 мм/год.
8.1.5 Параметры дефектов металла и сварных соединений, выявленных при техническом диагностировании, в том числе:
- длина дефекта L, мм;
- ширина дефекта W, мм;
- глубина дефекта H, мм;
- глубина залегания подповерхностного дефекта h, мм.
Для дефектов, обнаруженных по результатам ВИК, определяют длину, глубину и ширину дефекта.
Для дефектов, обнаруженных по результатам УЗК, определяют условные длину, глубину дефекта и глубину залегания подповерхностного дефекта, ширину принимают равной нулю.
Для дефектов, обнаруженных по результатам радиационного контроля, определяют длину, глубину и ширину дефекта.
При отсутствии данных об ориентации дефекта принимают, что дефект расположен так, чтобы его наибольший габаритный размер был перпендикулярен направлению действия максимальных растягивающих напряжений.
Дефекты, у которых не определены длина или глубина, не подлежат расчету.
8.1.6 Напряжения в металлических конструкциях резервуара в зоне расположения дефектов рассчитывают согласно
разделам 6 и
7.
8.2 Порядок выполнения расчета
8.2.1 Определение срока и условий безопасной эксплуатации основного металла и сварных соединений конструкций резервуара с дефектами выполняют в порядке, приведенном в таблице 14.
Таблица 14
Порядок определения срока и условий безопасной
эксплуатации основного металла и сварных
соединений конструкций резервуара с дефектами
Наименование конструкции/элемента | Тип дефекта (наименование дефекта) | Последовательность определения срока и условий безопасной эксплуатации |
1 Днище |
Лист днища, окрайка, сварные соединения, заплата, накладка, зумпф | Потеря металла, кроме коррозионной. Расслоение | Срок эксплуатации определяют по формуле  . Ограничения на условия эксплуатации не накладывают |
Переходная зона центральной части днища к окрайке со смещением свариваемых кромок | Расчет на прочность и долговечность - по 8.3 |
Смещение свариваемых кромок в центральной части днища | Расчет на прочность и долговечность - по 8.3 |
Коррозионная потеря металла | Срок эксплуатации определяют по формуле  . Ограничения на условия эксплуатации не накладывают |
2 Стенка |
Пояс и сварные соединения пояса стенки, люк, патрубок | Коррозионная потеря металла | Расчет на прочность и долговечность - по 8.3 |
Расслоение | Расчет на прочность и долговечность - по 8.3 |
Несплошность плоскостного типа | Расчет на прочность и долговечность - по 8.4 |
Смещение свариваемых кромок | Расчет на прочность и долговечность - по 8.3. Расчет на долговечность по критерию малоцикловой усталости - по разделу 9. Срок безопасной эксплуатации определяется как минимальный из рассчитанных по 8.3 и 8.5 |
Несплошность объемного типа | Расчет на прочность и долговечность - по 8.3 |
Пояс и сварные соединения пояса стенки, люк, патрубок | Механическое повреждение | Расчет на прочность и долговечность - по 8.3 |
Потеря металла | Расчет на прочность и долговечность - по 8.3 |
Дефект геометрии (угловатость сварного шва, вмятина, выпучина) | Срок эксплуатации определяется суммой срока Ti.мал, определенного расчетом на долговечность по критерию малоцикловой усталости по 8.5, и срока Ti.неспл, определенного как минимальный из расчетов на долговечность по 8.4 для несплошности плоскостного типа длиной, равной длине дефекта, и глубиной, равной Hповр (см. приложение А), несплошности плоскостного типа шириной, равной ширине дефекта, и глубиной, равной Hповр. Если Ti.мал, меньше срока последнего технического диагностирования, срок эксплуатации определяют сроком Ti.неспл. |
Дефект геометрии (ненормативные отклонения образующих стенки от вертикали) | Срок эксплуатации определяется суммой срока Ti.мал, определенного расчетом на долговечность по критерию малоцикловой усталости по 8.5, и срока Ti.неспл, определенного расчетом на долговечность по 8.4 для несплошности плоскостного типа длиной, равной длине дефекта, и глубиной, равной Hповр (см. приложение А). Если Ti.мал, меньше срока последнего технического диагностирования, срок эксплуатации определяется сроком Ti.неспл. |
| Дефект геометрии (ненормативные отклонения от горизонтальной плоскости ПРП) | Расчет на долговечность по критерию малоцикловой усталости по подразделу 8.5 |
3 Стальная крыша |
Несущая конструкция кровли, опорное кольцо, настил, усиливающий лист, сварные швы настила и усиливающего листа, люк, патрубок | Потеря металла, кроме коррозионной, расслоение, смещение свариваемых кромок | Срок эксплуатации определяют по формуле  . Ограничения на условия эксплуатации не накладывают |
Коррозионная потеря металла | Срок эксплуатации определяют по формуле  . Ограничения на условия эксплуатации не накладывают |
4 Понтон, плавающая крыша |
Короб, центральная часть (мембрана), боковая стенка, водоспуск, направляющие понтона/плавающей крыши | Потеря металла, кроме коррозионных, расслоение, смещение свариваемых кромок | Срок эксплуатации определяется по формуле  . Ограничения на условия эксплуатации не накладывают |
Коррозионная потеря металла | Срок эксплуатации определяется по формуле  . Ограничения на условия эксплуатации не накладывают |
5 Конструкции вне резервуара и трубопроводы |
Технологические трубопроводы, трубопроводы систем пожаротушения, системы размыва донных отложений, СКНР, системы охлаждения, системы аварийного сброса, линии сброса ударной волны | Потеря металла, механическое повреждение, расслоение, несплошность объемного типа, несплошность плоскостного типа | Срок эксплуатации определяется по формуле Ограничения на условия эксплуатации не накладывают |
Надземная часть трубопроводов производственно-дождевой канализации, кольцевой лоток для сбора осадков, трубопроводы орошения и газоуравнительной системы | Коррозионная потеря металла | Срок эксплуатации определяется по формуле  . Ограничения на условия эксплуатации не накладывают |
Примечание - Все номинальные напряжения в зоне дефекта определяют только из геометрически нелинейного упругого расчета. |
8.3 Расчет на прочность и долговечность конструкций резервуара с дефектами
8.3.1 Условием обеспечения прочности конструкции резервуара с дефектом является выполнение двух неравенств:
- предельная прочность

, определяемая по формуле

; (37)
- предельная пластичность

, определяемая по формуле

, (38)
где

- интенсивность деформаций;

- угол подобия девиатора деформаций;

,

,

,

- коэффициенты, являющиеся механическими характеристиками металла, значения которых приведены в
приложении А.
8.3.2 Значения параметров

(интенсивность деформаций),

(объемная деформация),

(максимальная деформация),

(угол подобия девиатора деформаций), определяют по компонентам местных и локальных деформаций, определенных по
методике определения напряжений и деформаций в зоне дефекта в соответствии с приложением Б.
8.3.3 Параметры

,

,

,

местных деформаций рассчитывают по формулам:

(39)
где

- кольцевые деформации в ослабленном дефектом сечении;

- продольные деформации в ослабленном дефектом сечении;

- радиальные деформации в ослабленном дефектом сечении.
8.3.4 Параметры

,

,

локальных деформаций рассчитывают по формулам:

(40)
где

,

,

- локальные деформации в системе координат с началом в вершине трещины (см.
приложение Б).
8.3.5 Максимальная деформация

является максимальным значением из корней уравнения

(41)
8.3.6 Расчет на прочность заключается в определении минимального напряжения

, при котором для местных или локальных деформаций любое из
условий (37),
(38) становится равенством. Предельное напряжение

, МПа, определяют по формуле

, (42)
где
kпр - коэффициент запаса прочности. Значение
kпр для разных поясов резервуара приведено в
приложении А.
8.3.7 Расчет на долговечность проводят с учетом увеличения глубины дефекта в зависимости от времени.
8.3.8 Долговечность при наличии коррозионного дефекта потери металла определяют увеличением его глубины с постоянной скоростью
Vкорр, рассчитываемой в соответствии с
8.1.3.
Долговечность по стадии роста усталостной трещины определяют увеличением ее глубины со скоростью
Vуст, равной

, мм за цикл, где

- предельное приращение глубины дефекта за

циклов нагружения,
8.3.9 Скорость роста усталостной трещины
Vуст, равной

, мм за цикл, при циклическом нагружении определяют из условия предельной поврежденности металла у вершины дефекта по формулам:

, (43)
где

- коэффициент, определяемый из условия

(44)
где V0 - скорость роста усталостной трещины при разрушающей нагрузке, мм за цикл;
N0 - половина цикла нагружения;

,

,

,

- коэффициенты, которые являются механическими характеристиками металла и их значения принимают по
приложению А;

,

- параметры, значения которых рассчитывают для пульсирующего нагружения по компонентам локальных деформаций.
8.3.10 Расчет предельного приращения глубины дефекта

, мм, при котором достигается срок безопасной эксплуатации при уровне налива при эксплуатации
Hэкс, мм, выполняют исходя из условия

, (45)
где

- минимальное разрушающее напряжение, Па;

- номинальное напряжение, Па,
но не более чем

(для дефектов смещение свариваемых кромок на днище - не более чем

).
8.3.11 Срок безопасной эксплуатации T, год, при наличии коррозионного дефекта потери металла определяют по формуле

. (46)
8.3.12 Для определения срока безопасной эксплуатации при наличии усталостной трещины блочное нагружение, определенное по
12.3, с учетом высоты положения дефекта приводят к эквивалентному регулярному циклу с размахом напряжений от нуля - при уровне налива от высоты положения дефекта
Hдеф и ниже, до максимальных - при проектном уровне налива
Hн.
8.3.13 Количество эквивалентных циклов нагружения за последний год Nгод.1 определяют по формуле

, (47)
где Nj - число циклов в j-ом блоке нагружения;
M - количество блоков нагружения;

- рост усталостной трещины в глубину, соответствующий
j-му блоку нагружения, мм.
8.3.14 Расчетное число эквивалентных циклов нагружения Ne, при котором достигается срок безопасной эксплуатации при уровне налива Hэкс, определяют по формуле

(48)
Для коррозионного дефекта скорость

постоянна и определяется по
8.1.3.
Для трещины и расслоения скорость

определяется по
8.3.9.
8.3.15 Срок безопасной эксплуатации элемента конструкции Ti, год, при наличии трещины или расслоения определяют по формуле

. (49)
8.4 Расчет на прочность и долговечность для несплошностей плоскостного типа
8.4.1 При проведении расчетов на прочность и долговечность элементов конструкции резервуара с несплошностями плоскостного типа (несплошность, непровар, несплавление, подрез) используется расчетная схема поверхностной полуэллиптической трещины.
8.4.2 Расчет на прочность заключается в проверке выполнения условия

, (50)
где KI - наибольшее расчетное значение коэффициента интенсивности напряжений на фронте трещины, МПа·м1/2;
KIC - критическое значение коэффициента интенсивности напряжений, МПа·м1/2;

- интенсивность местных напряжений в стенке, МПа.

- минимальный предел прочности материала, МПа.
8.4.3 Критическое значение коэффициента интенсивности напряжений KIC, МПа·м1/2, определяют по формуле

, (51)
где
KCV - ударная вязкость по
ГОСТ 9454, Дж/см
2.
8.4.4 Коэффициент интенсивности напряжений на фронте трещины
KI, МПа·м
1/2, определяют по формуле

, (52)
где H - глубина расчетной трещины, м;
a - полудлина расчетной трещины, мм;

- номинальное напряжение, перпендикулярное плоскости трещины в точке, в которой расположен дефект, при заданном уровне налива
Hэкс, МПа;

- полный эллиптический интеграл второго рода, вычисляемый по формуле

; (53)
Fтр - поправочная функция размеров для полуэллиптической трещины, которая определяется по формуле

, (54)
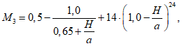
где M1, M2, M3 - аппроксимирующие функции, которые при H менее a рассчитывают по формулам:

, (55)

(56)

(57)
где

- толщина стенки, мм.
Для определения

задают напряжения в зоне дефекта

, перпендикулярные плоскости трещины и определенные из геометрически нелинейного упругого расчета для фактической геометрии и размеров резервуара при проектном уровне налива на основании расчета НДС конструкций в соответствии с
разделом 7. Для поверхностного дефекта в качестве

используют максимальное из значений поверхностных (на поверхности расположения дефекта) и мембранных напряжений в зоне дефекта, для внутристенного дефекта - максимальное из значений мембранных напряжений в зоне дефекта. Номинальное напряжение

, МПа, определяют по формуле

. (58)
8.4.5 Интенсивность местных напряжений в нетто-сечении стенки

определяют из выражения

, (59)
где

- коэффициент увеличения напряжений в нетто-сечении стенки вблизи полуэллиптической трещины.
Для продольной полуэллиптической трещины

определяют по формуле

, (60)
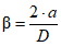
где Aтр - площадь эквивалентной трещины в плоскости осевого сечения стенки, мм2, определяемая по формуле

; (61)
fsh - коэффициент, учитывающий размеры эквивалентной трещины, определяемый по формуле

(62)
Для поперечной полуэллиптической трещины

определяют по формуле

, (63)
где параметры

,

,

рассчитывают по следующим формулам:

; (64)

(65)

. (66)
8.4.6 Долговечность для поверхностной полуэллиптической трещины определяют стадией ее усталостного роста со скоростью dH/dN, мм за цикл, рассчитываемой по формуле

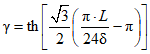
, (67)
где
C и
n - параметры циклической трещиностойкости. В соответствии с
[4] для ферритных и аустенитных сталей в воздушной и прочих неагрессивных эксплуатационных средах при температурах до 100 °C
n принимается равным 3, а
C принимается равным

;
KImax - коэффициент интенсивности напряжений при максимальном нагружении в цикле, МПа·м1/2;
R - коэффициент асимметрии цикла (отношение минимальной к максимальной нагрузке в цикле).
8.4.7 Расчет предельного приращения глубины трещины

, при котором достигается срок безопасной эксплуатации, выполняется при достижении в
условии (50) равенства единице при глубине трещины, равной

. При этом

должна быть не более чем

.
8.4.8 Для определения срока безопасной эксплуатации блочное нагружение, определенное по
12.3 с учетом высоты положения дефекта, приводится к эквивалентному регулярному циклу с размахом напряжений от нуля - при уровне налива от высоты положения дефекта
Hдеф и ниже, до максимальных - при проектном уровне налива
Hн. Количество эквивалентных циклов нагружения за последний год
Nгод.2 определяют по формуле

, (68)
где Rj - коэффициент асимметрии j-го блока нагружения.
Расчетное число эквивалентных циклов нагружения N, при котором достигается срок безопасной эксплуатации при заданном уровне налива Hэкс, определяют по формуле

, (69)
где
KI - наибольшее расчетное значение коэффициента интенсивности напряжений на фронте трещины, определяемое по
8.4.4.
Срок безопасной эксплуатации элемента конструкции с дефектом Ti, год, для несплошности плоскостного типа определяют по формуле

. (70)
8.5 Расчет на долговечность по критерию малоцикловой усталости
8.5.1 Расчеты на долговечность элементов конструкции резервуара по критерию малоцикловой усталости выполняют в соответствии с
ГОСТ 34233.6.
8.5.2 Для определения номинальных напряжений используют напряжения в зоне дефекта, определенные из геометрически нелинейного упругого расчета для фактической геометрии и размеров резервуара при проектном уровне налива на основании расчета НДС конструкций в соответствии с
разделом 7. В качестве номинальных напряжений

и

, МПа, используют значения поверхностных напряжений в точке на поверхности, в которой максимальным является значение интенсивности напряжений

, МПа, определяемой по формуле

, (71)
где

и

- соответственно осевое и кольцевое поверхностные напряжения в точке в зоне дефекта, МПа.
8.5.3 Рассчитывается амплитуда напряжений в дефекте

, МПа, при проектном уровне налива по формуле

, (72)
где

- эффективный коэффициент концентрации напряжений в сварных швах, рассчитываемый по формуле

, (73)
где

- коэффициент типа сварного соединения, значение которого приведено в
таблице 15;

- коэффициент качества поверхности сварного шва (для шлифованных поверхностей сварных швов и бесшовных обечаек

равен 1,0; для необработанных поверхностей сварных швов

равен 1,1);

- коэффициент прочности сварных швов, значение которого приведено в
таблице 16.
Таблица 15
Значения коэффициента типа сварного соединения
Тип сварного шва | |
Бесшовная обечайка | 1,0 |
Стыковые сварные швы с полным проваром и плавным переходом | 1,0 |
Тавровые сварные швы с полным проваром и плавным переходом | 1,0 |
Стыковые и тавровые сварные швы с полным проваром без плавного перехода | 1,2 |
Стыковой сварной шов с усилением | 1,2 |
Уторный шов с конструктивным зазором | 1,5 |
Таблица 16
Значения коэффициента прочности сварных швов
Тип сварного шва и способ сварки | |
Контроль 100% | Контроль менее 100% |
Стыковой или тавровый с двусторонним сплошным проваром, выполняемый автоматической и полуавтоматической сваркой | 1,0 | 0,9 |
Стыковой с подваркой корня шва или тавровый с двусторонним сплошным проваром, выполняемый | 1,0 | 0,9 |
Стыковой, доступный сварке только с одной стороны и имеющий в процессе сварки металлическую подкладку со стороны корня шва, прилегающую по всей длине шва к основному металлу | 0,9 | 0,8 |
В тавр, с конструктивным зазором свариваемых деталей | 0,8 | 0,65 |
Стыковой, выполняемый автоматической и полуавтоматической сваркой с одной стороны с флюсовой или керамической подкладкой | 0,9 | 0,8 |
Стыковой, выполняемый вручную с одной стороны | 0,9 | 0,65 |
8.5.4 Для каждого дефекта резервуара на основе блочного нагружения определяют эквивалентный по повреждаемости регулярный цикл нагружения с амплитудой напряжений от нуля при уровне налива от
Hдеф и ниже, до максимальной

- при проектном уровне налива
Hн.
8.5.5 Правила определения амплитуды напряжений

в
j-ом блоке нагружения в зависимости от высоты положения дефекта приведены в таблице 17.
Таблица 17
Правила определения амплитуды напряжений в блоке нагружения
Высота положения дефекта Hдеф | Амплитуда напряжений в j-ом блоке нагружения  |
 и  | |
 и  | |
 и  | |
Примечание - В таблице применены следующие обозначения: - Hmax,j - максимальный уровень налива в j-ом блоке нагружения; - Hmin,j - минимальный уровень налива в j-ом блоке нагружения. |
8.5.6 Число циклов регулярного нагружения Nэкв,j, эквивалентное j-му блоку нагружения, определяют по формуле

, (74)
где Nj - число циклов в j-ом блоке нагружения;
B - характеристика материала (для углеродистых и низколегированных сталей
B равна

), МПа;

- коэффициент запаса прочности по напряжениям (для стальных резервуаров

равен 2,0).
8.5.7 Количество эквивалентных циклов нагружения за последний год Nгод.3 определяют по формуле

, (75)
где M - количество блоков нагружения.
8.5.8 Расчетное число эквивалентных циклов нагружения Nп при проектном уровне налива Hн, м, представляющих малоцикловый ресурс, определяют по формуле

, (76)
где nN - коэффициент запаса прочности по числу циклов (для стальных резервуаров nN равен 10);
A - характеристика материала (для низколегированных и легированных сталей A равна 0,45·105), МПа;
Ct - поправочный коэффициент, учитывающий максимальную температуру эксплуатации t, и определяемый по формуле

. (77)
8.5.9 Расчетное число эквивалентных циклов нагружения Nэкс при заданном уровне налива Hэкс, представляющих малоцикловый ресурс, определяют по формуле

, (78)
где

- амплитуда напряжений в дефекте при заданном уровне налива
Hэкс, м, определяемая по формуле

. (79)
8.5.10 Срок безопасной эксплуатации элемента конструкции резервуара Ti по критерию малоцикловой усталости при проектном уровне налива Hн определяют по формуле

, (80)
где Ti,раб - срок между вводом в эксплуатацию данной конструкции (после строительства, ремонта) и техническим диагностированием.
Срок безопасной эксплуатации элемента конструкции резервуара Ti по критерию малоцикловой усталости при заданном уровне налива Hэкс определяют по формуле

. (81)
9 Методика определения срока и условий безопасной эксплуатации резервуара при наличии на днище локальных деформаций
Для выполнения расчета НДС и оценки прочности участка днища и определения срока и условий безопасной эксплуатации резервуара при наличии на днище дефектов в виде локальных деформаций необходимы следующие данные:
а) данные паспорта резервуара:
1) тип резервуара;
2) проектный уровень налива продукта;
б) данные полного технического диагностирования:
1) результаты толщинометрии центральной части днища, окрайки, поясов стенки, кольца жесткости, опорного кольца;
2) данные о металле центральной части днища, окрайки, поясов стенки, кольца жесткости и опорного кольца: марка и проектная толщина стали, из которой сделаны металлоконструкции резервуара;
3) результаты нивелирования центральной части днища и внешней части окрайки;
4) результаты геодезических измерений поясов стенки резервуара;
5) результаты ВИК: размеры и расположение локальных деформаций центральной части днища и окрайки, стрела прогиба вмятин, выпучин, хлопунов и угловатостей, тип, параметры и расположение сварных соединений днища;
6) уровень налива продукта при эксплуатации;
7) уровень налива воды при гидроиспытании;
8) максимальное значение плотности продукта.
9.2 Расчет напряженно-деформированного состояния участка днища резервуара
9.2.1 Критерии необходимости выполнения расчета
9.2.1.1 Расчет НДС участка центральной части днища необходимо проводить при наличии на ней локальных деформаций (вмятин, выпучин, хлопунов), отнесенных к группе 2.
9.2.1.2 Нахлесточные и стыковые сварные соединения центральной части днища и окрайки, попадающие в зону влияния локальной деформации, должны оцениваться по результатам расчета НДС участка днища в соответствии с
разделом 7.
9.2.2 Расчетная схема
9.2.2.1 Расчет НДС участка днища необходимо проводить по следующей расчетной схеме:
а) создание КЭ модели участка днища резервуара, в которую входят:
1) построение геометрической модели участка днища;
2) задание типа КЭ;
3) задание модели материала;
4) построение КЭ сетки;
5) задание нагрузок и граничных условий для модели участка днища;
б) расчет НДС участка днища МКЭ в геометрически нелинейной (учет больших перемещений) упругой постановке на программном комплексе;
в) оценка прочности днища по результатам расчета НДС (см.
9.3);
г) определение срока и условий безопасной эксплуатации резервуара при наличии на днище локальных деформаций (вмятин, выпучин, угловатостей и хлопунов), в т.ч. с выявленными дефектами основного металла и сварных соединений в области локальных деформаций (см.
9.4).
9.2.3 Создание конечноэлементной модели участка днища
9.2.3.1 Построение геометрической модели
Геометрическая модель участка днища состоит из участка центральной части днища и/или окрайки резервуара с локальными деформациями. Модель окрайки с угловатостью радиального сварного шва должна включать участок стенки и центральной части днища резервуара.
В геометрической модели учитывают исходные данные для центральной части днища и окрайки:
- средняя толщина металлоконструкций;
- дефекты геометрии днища;
- локальные деформации днища;
- тип, параметры и расположение сварных соединений.
Геометрическая модель участка центральной части днища, содержащая дефект в виде локальной деформации, должна превосходить линейные размеры локальной деформации на 2 м в каждую сторону.
Если локальная деформация на днище расположена менее чем в 2 м от окрайки или стенки резервуара, модель участка центральной части днища должна дополняться участком окрайки и стенки с геометрическими отклонениями в соответствии с результатами геодезических измерений.
Модель участка окрайки, содержащей дефект в виде угловатости радиального сварного шва, должна дополняться участком центральной части днища и стенки резервуара с геометрическими отклонениями в соответствии с результатами геодезических измерений.
Под поверхностью днища и окрайки должно быть построено основание, воспринимающее нагрузки и деформации участка днища (элементы днища должны опираться на упругое основание с коэффициентом жесткости, соответствующим плотности грунта).
9.2.3.2 Задание типа КЭ
Для создания КЭ модели участка днища используют:
- оболочечные КЭ для днища, окрайки и стенки с толщиной в виде задаваемого параметра;
- оболочечные или объемные элементы для основания.
9.2.3.3 Задание модели материала металлоконструкций
Модель материала металлоконструкций резервуара задается линейно упругой.
Для создания модели материала стали задают следующие параметры:
- модуль упругости E, Па;
- коэффициент Пуассона v;
- предел текучести Rуп, Па;
- плотность стали

, кг/м
3.
9.2.3.4 Задание модели материала основания
Материал основания резервуара описывается упругой моделью Винклера, определяемой выбранным программным комплексом.
Для создания модели материала основания задают коэффициент постели грунта C1.
Параметры материала основания принимают по результатам геологических изысканий, проведенных при предыдущих технических диагностированиях или при строительстве резервуара (если ранее техническое диагностирование не проводились), или в соответствии с
СП 22.13330,
СП 25.13330,
СП 52-101 и
СП 63.13330.
9.2.3.5 Задание нагрузок и граничных условий модели
Для модели участка днища задают следующие нагрузки и граничные условия:
- нагрузка от веса участка днища (сила тяжести);
- нагрузка от избыточного давления;
- нагрузка от гидростатического давления;
- ограничения на степени свобод (закрепление модели);
- симметричные условия (для модели участка днища и окрайки).
Расчетное давление P, Па, являющееся суммой избыточного и гидростатического, задается на все элементы участка днища. Значение расчетного давления P, Па, определяют по формуле

, (82)
где

- расчетная плотность продукта, кг/м
3;
Hн - проектный уровень налива продукта в резервуаре, м;

- коэффициент запаса по избыточному давлению, равный 1,2;
Pu - значение рабочего избыточного давления, определяемое по
таблице 3, Па.
Ограничения на степени свобод задают по нижней части основания - устанавливается запрет на перемещения и повороты по всем координатным осям.
Симметричные условия задают для модели участка днища и окрайки с угловатостью радиального сварного шва в порядке, установленном для применяемого программного комплекса.
9.2.4 Расчет напряженно-деформированного состояния участка днища методом конечных элементов
9.2.4.1 Численное решение системы уравнений, описывающих КЭ модель, должно выполняться при нелинейной геометрической (учет больших перемещений) и линейной физической (модель материала) постановке в порядке, установленном для применяемого программного комплекса.
9.2.4.2 В результате численного решения системы уравнений в каждом узле участка днища определяют:
- поверхностные (фибровые) напряжения в основном металле и сварных соединениях днища

, Па;
- срединные (мембранные) напряжения в основном металле и сварных соединениях днища

, Па;
- эквивалентное поверхностное напряжение по Мизесу

, Па;
- максимальное суммарное перемещение в области локальной деформации

, мм, определяют по формуле

, (83)
где

,

,

- максимальные перемещения в области локальной деформации по основным координатным осям в декартовой системе координат, мм.
9.2.4.3 Для каждой ненормативной локальной деформации днища должна быть проверена локальная потеря устойчивости, определяемая по наличию отклонений от пропорциональной зависимости между прогибом в области локальной деформации и уровнем налива продукта при реализации численного решения МКЭ.
9.3 Оценка прочности днища по результатам расчета напряженно-деформированного состояния
9.3.1 Прочность участка днища определяют по следующим критериям:
а) выполняются следующие условия статической прочности для поверхностных напряжений в продольном и кольцевом направлениях по
ГОСТ 34233.1:

(84)

; (85)
б) локальная потеря устойчивости не должна сопровождаться превышением в зоне действия локальной деформации
условий (84) и
(85).
9.3.2 При снижении механических свойств основного металла или сварных соединений днища ниже требований нормативной и технической документации, проверочный расчет на прочность должен это учитывать путем соответствующего уменьшения расчетных характеристик металла.
9.3.3 Если расчетные напряжения в участке днища не превышают допустимые значения в соответствии с
9.3.1, в т.ч. при выявлении локальной потери устойчивости (отсутствие сходимости при численном решении), эксплуатация резервуара допускается при проектном уровне налива.
9.3.4 Если расчетные напряжения в участке днища превышают допустимые значения в соответствии с
9.3.1, в т.ч. при выявлении локальной потери устойчивости, то для продолжения эксплуатации резервуара требуется снижение уровня налива или вывод резервуара в ремонт:
- при необходимости снижения уровня налива должна быть определена нагрузка, устанавливаемая в
9.2.3.5, при которой расчетные напряжения в участке днища не будут превышать допустимые значения в соответствии с
9.3.1;
- при выводе резервуара в ремонт для обеспечения эксплуатации резервуара при проектном уровне налива участок днища, в котором расчетные напряжения превышают допустимые значения в соответствии с
9.3.1, должен быть заменен.
9.4 Определение срока и условий безопасной эксплуатации резервуара при наличии на днище локальных деформаций, дефектов основного металла и сварных соединений
9.4.1 Для определения срока и условий безопасной эксплуатации резервуара при наличии на днище локальных деформаций должны быть проведены расчеты на малоцикловую усталость днища в зоне дефекта в соответствии с
8.5.
9.4.2 Для выполнения расчета на малоцикловую усталость используют поверхностные напряжения в продольном и кольцевом направлениях в точке в области локальных деформаций, в которой эквивалентное поверхностное напряжение по Мизесу имеет максимальное значение.
9.4.3 При выявлении дефектов основного металла и сварных соединений днища, попадающих в зону влияния локальной деформации, производят расчет срока безопасной эксплуатации днища с данными дефектами в соответствии с
8.5.
9.4.4 В результате расчетов определяют:
- срок безопасной эксплуатации резервуара, при котором выполняются критерии, установленные в
9.3.1;
- условия безопасной эксплуатации резервуара в виде предельно допустимого уровня налива на выбранный срок эксплуатации.
10 Методика определения срока и условий безопасной эксплуатации резервуара при наличии на стенке локальных деформаций, ненормативных отклонений образующих от вертикали, с учетом установленных ребер и колец жесткости, опорных колец и непроектных усиливающих элементов
Для выполнения расчета НДС стенки и определения срока и условий безопасной эксплуатации резервуара при наличии на стенке дефектов в виде локальных деформаций (вмятин, выпучин, угловатостей), ненормативных отклонений образующих от вертикали, а также установленных ребер и колец жесткости, необходимы следующие данные:
а) данные паспорта резервуара:
1) тип резервуара;
2) снеговой и ветровой районы расположения резервуара;
3) масса крыши, оборудования и площадок обслуживания на крыше;
4) геометрия и толщина стенки, ребер и колец жесткости в соответствии с проектной документацией и по результатам последней технической диагностики резервуара;
5) проектный уровень налива продукта;
6) значения максимального перепада и минимальной температуры в разное время года;
б) данные полного технического диагностирования:
1) результаты нивелирования внешней части окрайки и геодезических измерений поясов стенки;
2) результаты ВИК: размеры, расположение, фактическая геометрия и стрела прогиба локальных деформаций на стенке (вмятин, выпучин, угловатостей), размеры, расположение и фактическая геометрия установленных ребер и колец жесткости, в т.ч. опорного (ветрового) кольца, подкладных пластин, тип, параметры и расположение сварных соединений стенки;
3) результаты УЗТ окрайки, поясов стенки, крыши, установленных ребер и колец жесткости, подкладных пластин;
4) данные о металле поясов стенки, крыши, установленных ребер и колец жесткости, подкладных пластин: марка и проектная толщина стали, из которой сделаны металлоконструкции резервуара;
5) уровень налива продукта при эксплуатации;
6) уровень налива воды при гидроиспытании;
7) максимальное значение плотности продукта при эксплуатации.
10.2 Расчет напряженно-деформированного состояния стенки резервуара
10.2.1 Критерии необходимости выполнения расчета НДС стенки
10.2.1.1 Расчет НДС стенки резервуара необходимо выполнять при наличии на ней локальных деформаций (вмятин, выпучин, угловатостей), ненормативных отклонений образующих от вертикали, отнесенных к группе 2.
10.2.1.2 Расчет НДС стенки резервуара необходимо выполнять с учетом наличия на стенке ребер и колец жесткости, в т.ч., не предусмотренных в проектной документации.
10.2.2 Виды выполняемых расчетов НДС стенки
Расчет НДС стенки резервуара при определении прочности и устойчивости выполняют в геометрически нелинейной и физически линейной постановке.
10.2.3 Расчетная схема
Расчет НДС стенки должен проводиться по следующей расчетной схеме:
а) создание КЭ модели стенки (см.
10.2.4), в которую входят:
1) построение геометрической модели стенки;
2) задание типа КЭ;
3) задание модели материала;
4) построение КЭ сетки;
5) задание нагрузок и граничных условий в модели стенки;
б) расчет НДС стенки МКЭ в геометрически нелинейной упругой постановке на программном комплексе (см.
10.2.5);
в) оценка прочности стенки по результатам расчета НДС заполненного продуктом резервуара (см.
10.3.1);
г) оценка устойчивости стенки по результатам расчета НДС опорожненного резервуара (см.
10.3.2);
д) определение срока и условий безопасной эксплуатации резервуара при наличии на стенке локальных деформаций и ненормативных отклонений образующих от вертикали, ребер и колец жесткости, дефектов основного металла и сварных соединений стенки в области локальных деформаций (см.
10.4).
10.2.4 Создание КЭ модели стенки
10.2.4.1 Построение геометрической модели
Геометрическая модель стенки состоит из стенки резервуара с дефектами геометрии, локальными деформациями, установленными ребрами и кольцами жесткости, подкладными пластинами.
В модели учитывают следующие исходные данные:
- действительная толщина стенки;
- дефекты геометрии стенки и окрайки;
- локальные деформации стенки;
- толщина, расположение и фактическая геометрия установленных ребер и колец жесткости, подкладных пластин;
- тип, параметры и расположение сварных соединений стенки.
10.2.4.2 Задание типа конечных элементов
Для создания КЭ модели стенки должны использоваться:
- оболочечные КЭ для стенки, ребер и колец жесткости, подкладных пластин;
- оболочечные или объемные элементы для основания.
10.2.4.3 Задание модели материала металлоконструкций
Модель материала металлоконструкций резервуара задается линейно упругой.
Для создания модели материала стали задают следующие параметры:
- модуль упругости E, Па;
- коэффициент Пуассона

;
- плотность стали

, кг/м
3.
Снижение механических свойств основного металла или сварных соединений стенки ниже требований нормативных и технических документов должно быть учтено при задании модели материала металлоконструкций путем соответствующего уменьшения расчетных характеристик металла.
10.2.4.4 Задание нагрузок и граничных условий модели
Для модели стенки резервуара задают следующие нагрузки и граничные условия:
- нагрузка от веса стенки, установленных ребер и колец жесткости, подкладных пластин;
- нагрузка от веса крыши, оборудования и площадок обслуживания на крыше;
- равномерная снеговая нагрузка;
- ветровая нагрузка;
- нагрузка от вакуумметрического давления;
- нагрузка от избыточного давления;
- нагрузка от гидростатического давления;
- температурные воздействия;
- ограничения на степени свобод (закрепление модели).
Для оценки прочности и устойчивости стенки резервуара с ребрами и кольцами жесткости должно использоваться сочетание нагрузок и граничных условий, приведенных в таблице 18.
Таблица 18
Сочетание нагрузок и граничных условий
Вид нагрузки | Сочетание нагрузок |
Оценка прочности | Оценка устойчивости |
Нагрузка от веса стенки, установленных ребер и колец жесткости, подкладных пластин | + | + |
Нагрузка от веса крыши, оборудования и площадок обслуживания на крыше | + | + |
Равномерная снеговая нагрузка | + | + |
Неравномерная ветровая нагрузка | - | + |
Избыточное давление | + | - |
Вакуумметрическое давление | - | + |
Гидростатическое давление | + | - |
Температурные воздействия | + | + |
Ограничения на степени свободы (закрепление модели) | + | + |
Примечание - Применены следующие обозначения: знак "+" - нагрузка учитывается, знак "-" - нагрузка не учитывается. |
Нагрузка от веса крыши, оборудования и площадок обслуживания на крыше задается силой, равномерно распределенной по верхней части модели стенки резервуара. Значение силы F, Н, определяют по формуле

, (86)
где

- коэффициент надежности по нагрузке для веса металлических конструкций, равный 1,05;
Mкр - масса крыши резервуара, кг;

- коэффициент сочетаний для длительной нагрузки, равный 0,95;
Mоб - масса оборудования и площадок обслуживания на крыше, кг.
Равномерная снеговая нагрузка задается погонной силой на верхнюю часть модели стенки. Значение погонной силы Fсн, Н/м, определяют по формуле

, (87)
где r - радиус резервуара, м;
S - расчетная снеговая нагрузка, определяемая в соответствии с СП 20.13330.2016
(раздел 10), Па.
| | ИС МЕГАНОРМ: примечание. В официальном тексте документа, видимо, допущена опечатка: п. Д.1.12 в Приложении Д СП 20.13330.2016 отсутствует. | |
Ветровая нагрузка задается давлением на модель стенки в соответствии с СП 20.13330.2016 (
раздел 11 и приложение Д,
Д.1.4, Д.1.12).
Расчетное избыточное давление Pu, Па, задается на все КЭ модели стенки. Значение расчетного избыточного давления определяют по формуле

, (88)
где

- коэффициент запаса по избыточному давлению, равный 1,2;
Pu - значение рабочего избыточного давления, определяемое по
таблице 3, Па.
Расчетное вакуумметрическое давление Pв, Па, задается на все КЭ модели стенки. Значение расчетного вакуумметрического давления определяют по формуле

, (89)
где

- коэффициент запаса по вакуумметрическому давлению, равный 1,2;
Pвак - значение нормативного вакуумметрического давления, Па, определяемое по
таблице 7.
Расчетное давление
P, Па, задается на все КЭ модели стенки (окрайки, при построении модели стенки с окрайкой и основанием), соответствующие уровню налива продукта и рассчитывается по
формуле (82).
При задании температурных воздействий на КЭ модели стенки должны учитываться сезонные перепады температур в соответствии с СП 20.13330.2016
(раздел 13) и температура продукта.
Ограничения на степени свобод задают запретом перемещений и поворотов по всем координатным осям по нижней кромке модели стенки.
10.2.5 Расчет НДС стенки МКЭ
10.2.5.1 Численное решение системы уравнений, описывающих КЭ модель, должно выполняться в нелинейной геометрической (модель конструкций) и линейной физической (модель материала) постановке в порядке, установленном для применяемого программного комплекса.
10.2.5.2 В результате численного решения системы уравнений в каждом узле стенки, ПРП и усиливающей накладке определяют:
- поверхностные (фибровые) напряжения (для стенки) в конструкциях

;
- срединные (мембранные) напряжения (для стенки) в конструкциях

;
- эквивалентные поверхностные напряжения по Мизесу

;
- продольные напряжения (для балки)

;
- максимальное суммарное перемещение в области локальной деформации,

, мм, определяют по
формуле (83).
10.3 Оценка прочности и устойчивости стенки по результатам расчета напряженно-деформированного состояния
10.3.1 Оценка прочности стенки резервуара
10.3.1.1 Прочность стенки резервуара определяют по следующим критериям:
а) условия статической прочности листов стенки выполняются, если размеры области, в которой срединные (мембранные) напряжения

более

, не превышают

и расстояние от этой области до соседней области с аналогичным превышением

не менее

, где допускаемое напряжение

, Па, рассчитывают по формуле

, (90)
где

- условный предел текучести, Па;
б) для элементов стенки, кроме листов, выполняются следующие условия статической прочности для поверхностных (фибровых) напряжений

, максимальных эквивалентных напряжений

, срединных (мембранных) напряжений

и продольных напряжений (для балки)

по
ГОСТ 34233.1:

(91)
в) отсутствие локальной потери устойчивости ("прохлопывания") вмятины, определяемой по стремлению к горизонтали касательной к графику прогиб в области вмятины - уровень налива продукта или по невозможности достижения равновесного решения при малом приращении нагрузки (т.е. решение перестает сходиться) при реализации численного решения МКЭ.
10.3.1.2 Если выполняются критерии по
10.3.1.1, то эксплуатация резервуара допускается при проектном уровне налива.
10.3.1.3 Если критерии по
10.3.1.1 не выполняются, то для продолжения эксплуатации резервуара требуется снижение уровня налива, либо вывод резервуара в ремонт.
10.3.1.4 При необходимости снижения уровня налива должна быть определена нагрузка, при которой критерии по
10.3.1.1 будут выполняться.
10.3.1.5 При выводе резервуара в ремонт для обеспечения эксплуатации резервуара при проектном уровне налива участок стенки, ребер или колец жесткости, при котором критерии по
10.3.1.1 не выполняются, должен быть заменен.
10.3.2 Оценка устойчивости стенки резервуара
10.3.2.1 Устойчивость стенки, ребер и колец жесткости при упругой модели материала определяют в результате расчета НДС по следующим критериям:
а) отсутствует потеря устойчивости стенки;
б) эквивалентные серединные напряжения по Мизесу

, Па, в основном металле и сварных соединениях стенки, ребрах и кольцах жесткости не должны превышать предела текучести стали, т.е.:

. (92)
10.3.2.2 Если в результате определения устойчивости выполняются критерии по
10.3.2.1, эксплуатация резервуара допускается без снижения вакуумметрической и снеговой нагрузки.
10.3.2.3 Если в результате определения устойчивости эквивалентные серединные напряжения по Мизесу в поясах стенки, ребрах и кольцах жесткости превышают предел текучести стали или имеет место локальная потеря устойчивости стенки, то для продолжения эксплуатации резервуара необходимо снижение вакуумметрической и/или снеговой нагрузки, либо вывод резервуара в ремонт.
10.4 Определение срока и условий безопасной эксплуатации резервуара при наличии на стенке локальных деформаций и ненормативных отклонений образующих от вертикали, ребер и колец жесткости, дефектов основного металла и сварных соединений
10.4.1 Для определения срока и условий безопасной эксплуатации резервуара в зонах локальных деформаций, ненормативных отклонений образующих от вертикали, ребер и колец жесткости должны быть проведены расчеты на малоцикловую усталость стенки резервуара в соответствии с
разделом 8.
10.4.2 При наличии дефектов основного металла и сварных соединений стенки производят расчет срока безопасной эксплуатации стенки с данными дефектами в соответствии с
подразделом 8.5.
10.4.3 В результате расчетов определяют:
- срок безопасной эксплуатации резервуара, при котором выполняются критерии, установленные в
10.3.1.1;
- условия безопасной эксплуатации резервуара в виде предельно допустимого уровня налива на выбранный срок безопасной эксплуатации.
11 Методика определения срока и условий безопасной эксплуатации резервуара при воздействии нагрузок от приемо-раздаточного патрубка при наличии/отсутствии системы компенсации нагрузок
Для выполнения расчета НДС стенки и определения срока и условий безопасной эксплуатации резервуара при воздействии на стенку нагрузок от ПРП при наличии/отсутствии СКНР и трубопроводной обвязки необходимы следующие данные:
а) данные паспорта резервуара:
1) тип резервуара;
2) снеговой и ветровой районы расположения резервуара;
3) масса опорного (ветрового) кольца, крыши, оборудования и площадок обслуживания на крыше;
4) геометрия и толщина поясов стенки, окрайки, ПРП, усиливающей накладки и трубопроводной обвязки в соответствии с проектной документацией и по результатам последнего технического диагностирования резервуара;
5) проектный уровень налива продукта;
6) значения максимального перепада температур в разное время года;
7) температура продукта;
б) данные полного технического диагностирования:
1) результаты геодезических измерений поясов стенки, нивелирования внешней части окрайки и ПРП;
2) результаты ВИК: размеры, расположение, фактическая геометрия поясов стенки, окрайки, ПРП, усиливающей накладки и трубопроводной обвязки, тип, параметры и расположение сварных соединений стенки;
3) результаты УЗТ поясов стенки, окрайки, ПРП, усиливающей накладки и трубопроводной обвязки;
4) данные о металле поясов стенки, окрайки, ПРП, усиливающей накладки и трубопроводной обвязки: марка стали, из которой сделаны металлоконструкции резервуара;
5) уровень налива продукта при эксплуатации;
6) уровень налива воды при гидроиспытании;
7) максимальное значение плотности продукта при эксплуатации.
11.2 Расчет напряженно-деформированного состояния стенки резервуара
11.2.1 Требования к исходным данным, предоставляемым по результатам технического диагностирования
11.2.1.1 В составе исходных данный должны быть представлены:
- результаты геодезических измерений, ВИК и УЗТ поясов стенки;
- результаты ВИК и УЗТ ПРП, усиливающей накладки и трубопроводной обвязки;
- результаты нивелирования фундаментов СКНР и трубопроводной обвязки.
11.2.1.2 Измерения проводят в установленном порядке.
11.2.1.3 При отсутствии на резервуаре СКНР для выполнения расчета НДС стенки должна быть представлена схема размещения трубопроводной обвязки.
11.2.1.4 Погрешность измерений не должна превышать значений, установленных для измерительного контроля.
11.2.2 Критерии необходимости выполнения расчета
11.2.2.1 Расчет НДС стенки при воздействии нагрузок от ПРП при наличии/отсутствии СКНР и трубопроводной обвязки должен проводиться при:
- выявлении ненормативной осадки фундаментов резервуара, СКНР или трубопроводной обвязки в месте расположения ПРП;
- превышении предельных отклонений ПРП от горизонтальной плоскости;
- выявлении ненормативных локальных деформаций стенки на расстоянии менее 700 мм до усиливающей накладки ПРП.
11.2.2.2 Предельные отклонения ПРП от горизонтальной плоскости:
- для резервуаров объемом до 5000 м3 - 15 мм на базе 250 мм;
- для резервуаров объемом от 5000 до 50000 м3 - 25 мм на базе 350 мм.
11.2.3 Расчетная схема
11.2.3.1 Прочность стенки резервуара при локальных нагрузках на патрубки проверяют при максимальном уровне налива для неблагоприятного сочетания трех сосредоточенных усилий: осевой силы вдоль оси патрубка FR, изгибающих моментов в вертикальной ML и горизонтальной MC плоскостях. Сочетание локальных нагрузок на ПРП резервуара приведено на рисунке 1.
Рисунок 1 - Сочетание локальных нагрузок на ПРП резервуара
11.2.3.2 Расчет НДС стенки резервуара при воздействии на стенку нагрузок от ПРП при наличии (отсутствии) СКНР и трубопроводной обвязки должен проводиться по следующей расчетной схеме:
а) создание КЭ модели стенки с ПРП и трубопроводной обвязкой (при отсутствии СКНР) (см.
11.2.4), в которое входят:
1) построение геометрической модели стенки, ПРП и трубопроводной обвязки (при наличии);
2) задание типа конечных элементов;
3) задание модели материала;
4) построение КЭ сетки;
5) задание граничных условий модели;
б) расчет НДС стенки МКЭ в геометрически нелинейной (учет больших деформаций) постановке на программном комплексе (см.
11.2.5);
в) оценка прочности стенки по результатам расчета НДС (см.
11.3);
г) определение срока и условий безопасной эксплуатации резервуара при воздействии на стенку, в т.ч. с дефектами основного металла и сварных соединений, нагрузок от ПРП при наличии (отсутствии) СКНР и трубопроводной обвязки (см.
11.4).
11.2.4 Создание конечноэлементной модели стенки
11.2.4.1 Построение геометрической модели
Модель состоит из стенки резервуара с окрайкой, основанием, ПРП.
Трубопроводную обвязку достраивают при отсутствии СКНР.
В модели учитывают следующие исходные данные:
- действительная толщина и дефекты геометрии (ненормативные отклонения образующих от вертикали, локальные деформации, просадки фундамента) стенки и окрайки;
- действительная толщина и дефекты геометрии (ненормативные отклонения, локальные деформации, просадки фундаментов) ПРП и трубопроводной обвязки.
11.2.4.2 Задание типа КЭ
Для создания КЭ модели стенки резервуара с окрайкой, основанием, ПРП и трубопроводной обвязкой (при отсутствии СКНР) используют:
- оболочечные КЭ для стенки, окрайки, ПРП и трубопроводной обвязки;
- оболочечные или объемные элементы для основания.
11.2.4.3 Задание модели материала
Модель материала металлоконструкций резервуара принимается линейно упругой.
Для создания модели материала стали задают следующие параметры:
- модуль упругости E, Па;
- коэффициент Пуассона v;
- плотность стали

, кг/м
3;
11.2.4.4 Задание модели материала основания
Материал основания резервуара описывается упругой моделью Винклера, реализованной выбранным программным комплексом.
Для создания модели материала основания задают коэффициент постели грунта C1.
Параметры материала основания принимают по результатам геологических изысканий, проведенных при предыдущих технических диагностированиях или при строительстве резервуара (если ранее техническое диагностирование не проводились), или в соответствии с
СП 22.13330,
СП 25.13330,
СП 52-101 и
СП 63.13330.
11.2.4.5 Задание нагрузок и граничных условий в модели
Для модели стенки резервуара с окрайкой, основанием, ПРП и трубопроводной обвязкой (при отсутствии СКНР) задают следующие граничные условия:
- нагрузка от веса стенки, окрайки, ПРП, накладки и трубопроводной обвязки;
- нагрузка от веса опорного (ветрового) кольца, крыши, оборудования и площадок обслуживания на крыше;
- равномерная снеговая нагрузка;
- нагрузка от избыточного давления;
- нагрузка от гидростатического давления;
- нагрузки и воздействия СКНР на ПРП;
- нагрузки и воздействия на ПРП от просадки фундамента при отсутствии СКНР;
- температурные воздействия;
- ограничения на степени свобод (закрепление модели).
Для расчета прочности стенки резервуара с окрайкой, основанием, ПРП и трубопроводной обвязкой (при отсутствии СКНР) должны использоваться сочетания нагрузок и граничных условий, приведенные в таблице 19.
Таблица 19
Сочетания нагрузок и граничных условий
для расчета прочности стенки резервуара
Вид нагрузки | Сочетание нагрузок при расчете прочности |
СКНР присутствует | СКНР отсутствует |
Нагрузка от веса стенки, окрайки, ПРП, усиливающей накладки и трубопроводной обвязки | + | + |
Нагрузка от веса опорного (ветрового) кольца, крыши, оборудования и площадок обслуживания на крыше | + | + |
Равномерная снеговая нагрузка | + | + |
Избыточное давление | + | + |
Гидростатическое давление | + | + |
Нагрузки и воздействия СКНР на ПРП | + | - |
Нагрузки и воздействия на ПРП от просадки фундамента при отсутствии СКНР | - | + |
Температурные воздействия | - | + |
Ограничения на степени свобод (закрепление модели) | + | + |
Примечание - Применены следующие обозначения: знак "+" - нагрузка учитывается, знак "-" - нагрузка не учитывается. |
Нагрузка от веса стенки, окрайки, ПРП, усиливающей накладки и трубопроводной обвязки задается значением фактической геометрии и толщины металлоконструкций, плотности стали и ускорения свободного падения, равного 9,81 м/с2.
Нагрузка от веса опорного (ветрового) кольца, крыши, оборудования и площадок обслуживания на крыше задается силой, равномерно распределенной по верхней части модели стенки резервуара. Значение силы F, Н, определяют по формуле

, (93)
где

- коэффициент надежности по нагрузке для веса металлических конструкций, равный 1,05;
Mкр - масса крыши резервуара, кг;
Mок - масса опорного (ветрового) кольца, кг;

- коэффициент сочетаний для длительной нагрузки, равный 0,95;
Mоб - масса оборудования и площадок обслуживания на крыше, кг.
Равномерная снеговая нагрузка задается погонной силой на верхнюю часть модели стенки. Значение погонной силы
Fсн, Н/м, определяют по
формуле (87).
Расчетное избыточное давление
Pu, Па, задается на все КЭ модели стенки. Значение расчетного избыточного давления определяют по
формуле (88).
Расчетное давление
P, Па, задается на все КЭ модели стенки, соответствующие уровню налива продукта и рассчитывается по
формуле (82).
Нагрузки и воздействия СКНР на ПРП задают в виде предельных перемещений ПРП по вертикали и горизонтали, измеренных в результате технического диагностирования.
При отсутствии СКНР для определения воздействия трубопроводной обвязки на ПРП применяют вертикальные перемещения основания, соответствующие осадке фундамента резервуара. Горизонтальные перемещения ПРП передаются от трубопроводной обвязки и определяются в результате расчета НДС стенки.
При задании температурных воздействий на КЭ модели стенки учитывают сезонные перепады температур в соответствии с СП 20.13330.2016
(раздел 13) и температуру продукта.
При наличии СКНР ограничения на степени свобод задаются запретом перемещений и поворотов по всем координатным осям нижней части основания.
При отсутствии СКНР ограничения на степени свобод задаются запретом перемещений и поворотов по всем координатным осям нижней части основания кроме вертикальной. Дополнительные ограничения на степени свобод задаются запретом перемещений и поворотов по всем координатным осям по свободной кромке трубопроводной обвязки.
11.2.5 Расчет напряженно-деформированного состояния стенки методом конечных элементов
11.2.5.1 Численное решение системы уравнений, описывающих КЭ модель, должен выполняться в нелинейной геометрической (модель конструкций) и линейной физической (модель материала) постановке в порядке, установленном для применяемого программного комплекса.
11.2.5.2 В результате численного решения системы уравнений в каждом узле стенки, ПРП и усиливающей накладке определяют:
-

- поверхностные напряжения в основном металле и сварных соединениях стенки в продольном направлении, Па;
-

- поверхностные напряжения в основном металле и сварных соединениях стенки в кольцевом направлении, Па;
-

- эквивалентное поверхностное напряжение по Мизесу.
11.3 Оценка прочности стенки по результатам расчета напряженно-деформированного состояния
11.3.1 Проверку прочности проводят в наиболее нагруженных зонах стенки:
- для внутренней и наружной поверхностей в точках стенки, примыкающих к усиливающей накладке патрубка;
- в зоне крепления обечайки патрубка к стенке резервуара.
11.3.2 Прочность стенки и ПРП определяют в результате расчета по следующим критериям:
а) условия статической прочности листов стенки выполняются, если размеры области, в которой срединные (мембранные) напряжения

более

, не превышают

и расстояние от этой области до соседней области с аналогичным превышением

не менее

, где допускаемое напряжение

, Па, рассчитывают по формуле

; (94)
б) для элементов стенки (кроме листов) и ПРП выполняются следующие условия статической прочности для поверхностных (фибровых) напряжений

, максимальных эквивалентных напряжений по Мизесу

, срединных (мембранных) напряжений

и продольных напряжений (для балки)

по
ГОСТ 34233.1:

(95)
11.3.3 При снижении механических свойств основного металла или сварных соединений стенки ниже значений, установленных в нормативных и/или технических документах, проверочный расчет на прочность должен это учитывать путем соответствующего уменьшения расчетных характеристик металла.
11.3.4 Если выполняются критерии по
11.3.2, эксплуатация резервуара допускается при проектном уровне налива, предельных перемещениях ПРП при наличии СКНР и текущих осадках фундамента при отсутствии СКНР.
11.3.5 Если расчетные напряжения в стенке резервуара и ПРП превышают допустимые значения в соответствии с
11.3.2, то для продолжения эксплуатации резервуара требуется снижение уровня налива, либо рассмотрение возможности установки СКНР, либо вывод резервуара в ремонт:
- при необходимости снижения уровня налива должна быть определена нагрузка, устанавливаемая в
11.2.4.5, при которой расчетные напряжения в стенке резервуара и ПРП не будут превышать допустимые значения в соответствии с
11.3.2;
- при отсутствии СКНР с целью определения возможности замены части трубопроводной обвязки СКНР требуется выполнить повторный расчет НДС стенки резервуара с окрайкой, усиливающей накладкой и ПРП с воздействиями на ПРП проектных нагрузок от СКНР;
- при выводе резервуара в ремонт для обеспечения эксплуатации резервуара при проектном уровне налива участок стенки или ПРП, в которых расчетные напряжения превышают допустимые значения в соответствии с
11.3.2, должен быть заменен. Рекомендация по возможности установки СКНР определяют по результатам выполнения
11.3.4.
11.4 Определение срока и условий безопасной эксплуатации резервуара
11.4.1 Для определения срока и условий безопасной эксплуатации резервуара в зонах воздействия на стенку нагрузок от ПРП при наличии/отсутствии СКНР и трубопроводной обвязки по
[5] должны быть проведены расчеты на малоцикловую усталость стенки резервуара в соответствии с
8.5.
11.4.2 Для выполнения расчета на малоцикловую усталость используются поверхностные напряжения в продольном и кольцевом направлениях в зонах воздействия на стенку нагрузок от ПРП в точке, в которой эквивалентное поверхностное напряжение по Мизесу имеет максимальное значение.
11.4.3 При наличии дефектов основного металла и сварных соединений стенки и ПРП производят расчет срока безопасной эксплуатации стенки с данными дефектами в соответствии с
8.5.
11.4.4 В результате расчетов определяют:
- срок безопасной эксплуатации резервуара в зонах воздействия на стенку нагрузок от ПРП по критерию малоцикловой усталости;
- условия безопасной эксплуатации резервуара в виде предельно допустимого уровня налива на выбранный срок безопасной эксплуатации.
12 Определение параметров цикличности и методов схематизации цикличности нагружения
12.1 Эксплуатационные данные по цикличности нагружения резервуара предоставляются в виде тренда уровня налива за последние три года эксплуатации резервуара по данным СДКУ.
Данные с датчиков с интервалом между измерениями в 10 мин представляют в формате .xlsx в виде приложения к исходным данным ТЗ на техническое диагностирование резервуара. Данные представляют в виде таблицы, аналогичной
таблице 20.
При отсутствии системы СДКУ эксплуатационные данные по цикличности нагружения резервуара предоставляют в виде тренда уровня налива за последний год эксплуатации резервуара в электронном виде в формате .xlsx (см. таблицу 20).
Таблица 20
Форма предоставления сведений об уровне налива продукта
Дата и время (ДД.ММ.ГГГГ. чч:мм:сс) | Значение уровня налива, мм |
| |
12.2 Полученные данные должны быть оптимизированы с шагом значений уровня налива до 150 мм.
Должна быть проведена схематизация нерегулярного нагружения по уровню налива к блочному нагружению методом "дождя" по ГОСТ 25.101.
Результаты схематизации представляются в виде таблицы, аналогичной таблице 21.
Таблица 21
Форма предоставления сведений о нагруженности
стенки резервуара в виде блочного нагружения
Обозначение блока | Количество циклов в блоке | Значение максимального уровня налива в блоке, мм | Значение минимального уровня налива в блоке, мм |
| | | |
12.3 Параметры нагруженности стенки РВС (давление, напряжение) считаются пропорциональными уровню налива. Для каждого дефекта резервуара на основе блочного нагружения определяют эквивалентный по повреждаемости регулярный цикл нагружения с учетом высоты положения дефекта на стенке. Схема определения блоков нагружения в зависимости от высоты положения дефекта приведена на рисунке 2.
Рисунок 2 - Схема определения блоков нагружения
в зависимости от высоты положения дефекта
12.4 Правила определения размаха

и коэффициента асимметрии цикла
Rj в блоке нагружения в зависимости от высоты положения дефекта приведены в таблице 22.
Таблица 22
Определение размаха и коэффициента
асимметрии цикла в блоке нагружения
Высота положения дефекта Hдеф | | Rj |
 и  | | |
 и  | | 0 |
 и  | 0 | 1 |
(рекомендуемое)
МЕХАНИЧЕСКИЕ ХАРАКТЕРИСТИКИ МЕТАЛЛА И СВАРНЫХ ШВОВ
Характеристика | Значение |
E, МПа | 2,06·105 |
v | 0,28 |
 , МПа | 80469 |
k, МПа | 156061 |
 , кг/м 3 | 7850 |
Марка стали | ВСт3 | 09Г2С | 16Г2АФ |
 , МПа | 280 | 330 | 440 |
 , МПа | 400 | 500 | 560 |
 , МПа | 242 | 283 | 405 |
| 0,50 | 0,65 | 0,56 |
m | 0,130 | 0,148 | 0,113 |
| -0,5 | -0,5 | -0,5 |
| 0,130 | 0,148 | 0,113 |
| 0,0015 | 0,0022 | 0,0021 |
| 1,279 | 2,107 | 1,566 |
| 0,25 | 0,17 | 0,50 |
nN | 1,9 | 1,9 | 2,0 |
Hповр, мм | 0,25 | 0,17 | 0,50 |
KCV, Дж/см2 | 30 | 35 | 35 |
kпр, первый пояс | 1,98 | 1,98 | 1,98 |
kпр, все пояса, кроме первого | 1,58 | 1,58 | 1,58 |
kV, первый пояс | 3,4 | 3,4 | 3,4 |
kV, все пояса, кроме первого | 2,8 | 2,8 | 2,8 |
Примечание - При снижении механических свойств основного металла ниже требований нормативных и технических документов учитывают в расчетах при задании механических характеристик стали путем соответствующего уменьшения приведенных расчетных характеристик. |
(обязательное)
МЕТОДИКА ОПРЕДЕЛЕНИЯ НАПРЯЖЕНИЙ И ДЕФОРМАЦИЙ В ЗОНЕ ДЕФЕКТА
Б.1 Номинальные напряжения и деформации в зоне расположения дефекта
Б.1.1 Для описания напряженно-деформированного состояния вводится локальная декартовая система координат с началом в вершине трещины. Координатная ось 1 лежит в плоскости трещины и перпендикулярна ее фронту, ось 2 - перпендикулярна плоскости трещины, ось 3 направлена вдоль фронта трещины. Элементарные объемы, локальная система координат, номинальные напряжения (сечение перпендикулярное фронту трещины) приведены на рисунке Б.1.
Рисунок Б.1 - Элементарные объемы, локальная
система координат, номинальные напряжения
(сечение перпендикулярное фронту трещины)
Для определения номинальных напряжений используются напряжения в зоне дефекта, определенные из геометрически нелинейного упругого расчета для фактической геометрии и размеров резервуара при проектном уровне налива на основании расчета НДС конструкций в соответствии с
разделами 6,
7,
10. Выбирается точка на поверхности в зоне дефекта, в которой одно из кольцевых или продольных напряжений имеет максимальное значение. В указанной точке определяют мембранные и изгибные напряжения в кольцевом

,

, и продольном направлениях,

,

Для внутристенного дефекта в качестве номинальных напряжений

и

используют мембранные напряжения в зоне дефекта соответственно

и

.
Для поверхностного дефекта

и

определяют по формулам:

, (Б.1)

, (Б.2)

, (Б.3)

. (Б.4)
Б.1.2 Номинальные напряжения

и

, МПа при проектном уровне налива для расчетов дефекта смещения свариваемых кромок в переходной зоне центральной части днища к окрайке и дефекта смещение свариваемых кромок в центральной части днища рассчитывают по формулам:

, (Б.5)

. (Б.6)
Б.1.3 Номинальные напряжения в зоне расположения дефекта при заданном уровне налива Hэкс рассчитывают по формулам:

, (Б.7)

. (Б.8)
Б.1.4 Интенсивность номинальных напряжений

рассчитывают по формуле

. (Б.9)
Б.1.5 Расчет номинальных упругих деформаций

,

,

в зоне дефекта выполняют по формулам:

(Б.10)
где k - упругий модуль объемного расширения, МПа;

- упругий модуль сдвига, МПа.
| | ИС МЕГАНОРМ: примечание. В официальном тексте документа, видимо, допущена опечатка: имеется в виду приложение А, а не приложение Б. | |
Интенсивность номинальных упругих деформаций

рассчитывают по формуле

. (Б.11)
Б.2 Местные напряжения и деформации в сечении, ослабленном дефектом
Б.2.1 Условно-упругие компоненты напряжений

,

и интенсивность

местных напряжений в ослабленном сечении (нетто-напряжения) рассчитывают по формулам:

(Б.12)
где

,

,

,

- геометрические параметры дефекта и резервуара мм.
Б.2.2 Геометрические параметры дефекта и резервуара

,

,

,

,

, мм, рассчитывают по формулам:

(Б.13)

. (Б.14)
Б.2.3 Упругий

и упруго-пластический

коэффициенты концентрации, характеризующие повышение напряжений в нетто-сечении за счет уменьшения толщины стенки, рассчитывают по формулам:

, (Б.15)

(Б.16)
Б.2.4 Упруго-пластические компоненты местных напряжений

,

рассчитывают по формулам

(Б.17)
где

- тарировочная функция,

- толщина стенки, мм.

. (Б.18)
Б.2.5 Упруго-пластические компоненты местных деформаций

,

,

рассчитывают по формулам:

(Б.19)
где

- Параметр Ламе, рассчитываемый по формулам:

(Б.20)
Б.2.6 Система нелинейных алгебраических уравнений (см.
Б.2.1 -
Б.2.5), решается численными методами с использованием вычислительной техники.
Б.3 Локальные напряжения и деформации у вершины трещины
Б.3.1 Расчеты локальных напряжений и деформаций проводят в локальной декартовой системе координат с началом в вершине трещины. Координатная ось 1 лежит в плоскости трещины и перпендикулярна ее фронту, ось 2 - перпендикулярна плоскости трещины, ось 3 направлена вдоль фронта трещины.
Б.3.2 Должны быть определены компоненты номинальных и местных напряжений в локальной системе координат по формулам:

(Б.21)

(Б.22)
Угол

, при

равном 0° трещина ориентирована в продольном направлении (вдоль вертикальной оси резервуара), при

равном 90° - в кольцевом направлении.
Б.3.3 Значения номинальных напряжений

и

приводят к сечению, ослабленному трещиной, и далее в формулах в качестве номинальных напряжений используют максимальные значения


. (Б.23)
Б.3.4 Условно-упругие компоненты локальных напряжений

, рассчитывают по формулам

(Б.24)

, (Б.25)
то принимается

. (Б.26)
Значение
Y определяют по
[6]:
- для поверхностной трещины по формуле

(Б.27)
- для подповерхностной трещины по формуле

(Б.28)
где Lтр - протяженность трещины, мм, рассчитываемая по формуле

, (Б.29)
где hmin - глубина залегания середины дефекта от поверхности, равная (h + H/2).
Б.3.5 Упругий

и упруго-пластический

коэффициенты концентрации напряжений рассчитывают по формулам:

, (Б.30)

(Б.31)
Б.3.6 Упруго-пластические локальные напряжения

рассчитывают по формулам:

(Б.32)
Б.3.7 Упруго-пластические компоненты локальных деформаций

рассчитывают по формулам:

(Б.33)

(Б.34)
Остальные компоненты упругопластических деформаций равны 0.
Б.3.8 Если для подповерхностной трещины глубиной
Hпп равной
H выполняется условие
hmin менее

, то расчет ведется для поверхностной трещины глубиной
H равной
hmin +
Hпп/2.
Б.4 Локальные напряжения и деформации у вершины расслоения
Б.4.1 Расчеты локальных напряжений и деформаций проводят в локальной декартовой системе координат с началом в вершине расслоения. Координатная ось 1 лежит в плоскости расслоения и перпендикулярна его фронту, ось 2 - перпендикулярна плоскости расслоения, ось 3 направлена вдоль фронта расслоения.
Б.4.2 Должны быть определены компоненты номинальных и местных напряжений в локальной системе координат.

. (Б.35)

(Б.36)
Примыкание расслоения к сварному шву учитывается добавлением в напряжения

, нагружающие расслоение, касательных напряжений

. Касательные напряжения от наличия шва

определяют по формуле

. (Б.37)
Угол

, при

равном 0° расслоение расположено в плоскости листа. Протяженность расслоения
Lр, мм, рассчитывают по формуле

. (Б.38)
Б.4.3 Значения номинальных напряжений

и

приводятся к сечению, ослабленному расслоением

по формуле:

. (Б.39)
Рассчитывается эффективное значение напряжения

по формулам:

, (Б.40)

(Б.41)
при


. (Б.42)
Б.4.4 Условно-упругие компоненты локальных напряжений

, рассчитывают по формуле

(Б.43)

, (Б.44)
то принимается

. (Б.45)
Значение
Y определяют по
[3]:

, (Б.46)
где hmin равен (h + H/2).
Б.4.5 Упругий

и упруго-пластический

коэффициенты концентрации напряжений рассчитывают по формулам:

, (Б.47)

(Б.48)
Б.4.6 Упруго-пластические компоненты локальных напряжений

рассчитывают по формуле:

(Б.49)
Б.4.7 Упруго-пластические компоненты локальных деформаций

рассчитывают по формулам:

(Б.50)

(Б.51)
Остальные компоненты упругопластических деформаций равны 0.
Б.4.8 Если для расслоения, не выходящего на поверхность, глубиной
Hр =
H выполняется условие

, то расчет ведется для расслоения с выходом на поверхность глубиной
H =
hmin +
Hр/2.
| MSK-64 Шкала сейсмической интенсивности MSK-1964 |
| СТО-СА-03-002-2009 | "Правила проектирования, изготовления и монтажа вертикальных цилиндрических стальных резервуаров для нефти и нефтепродуктов" |
| Руководство по безопасности "Рекомендации по техническому диагностированию сварных вертикальных цилиндрических резервуаров для нефти и нефтепродуктов" (утверждено приказом Федеральной службы по экологическому, технологическому и атомному надзору от 31 марта 2016 г. N 136) |
| API 579/ASME FFS-1 | Fitness For Service (Приспособленность к эксплуатации) |
| РБ 03-69-2013 | Руководство по безопасности вертикальных цилиндрических стальных резервуаров для нефти и нефтепродуктов |
| МР 125-02-95 | Правила составления расчетных схем и определение параметров нагруженности элементов конструкций с выявленными дефектами. НПО ЦНИИТМАШ. Москва, 1995 г. |
УДК 622.692.4:006.354 | | |
Ключевые слова: магистральный трубопровод, резервуар вертикальный стальной, устойчивость, долговечность |