Главная // Актуальные документы // ГОСТ (Государственный стандарт)СПРАВКА
Источник публикации
М.: Стандартинформ, 2018
Примечание к документу
Текст данного документа приведен с учетом
поправки, опубликованной в "ИУС", N 9, 2023.
Документ включен в
Перечень международных и региональных (межгосударственных) стандартов, а в случае их отсутствия - национальных (государственных) стандартов, в результате применения которых на добровольной основе обеспечивается соблюдение требований технического
регламента Таможенного союза "О безопасности машин и оборудования" (ТР ТС 010/2011) (
Решение Коллегии Евразийской экономической комиссии от 09.03.2021 N 28).
Документ
введен в действие с 01.08.2018.
Название документа
"ГОСТ 34233.11-2017. Межгосударственный стандарт. Сосуды и аппараты. Нормы и методы расчета на прочность. Метод расчета на прочность обечаек и днищ с учетом смещения кромок сварных соединений, угловатости и некруглости обечаек"
(введен в действие Приказом Росстандарта от 14.12.2017 N 1999-ст)
"ГОСТ 34233.11-2017. Межгосударственный стандарт. Сосуды и аппараты. Нормы и методы расчета на прочность. Метод расчета на прочность обечаек и днищ с учетом смещения кромок сварных соединений, угловатости и некруглости обечаек"
(введен в действие Приказом Росстандарта от 14.12.2017 N 1999-ст)
по техническому регулированию
и метрологии
от 14 декабря 2017 г. N 1999-ст
МЕЖГОСУДАРСТВЕННЫЙ СТАНДАРТ
СОСУДЫ И АППАРАТЫ
НОРМЫ И МЕТОДЫ РАСЧЕТА НА ПРОЧНОСТЬ
МЕТОД РАСЧЕТА НА ПРОЧНОСТЬ ОБЕЧАЕК И ДНИЩ С УЧЕТОМ СМЕЩЕНИЯ
КРОМОК СВАРНЫХ СОЕДИНЕНИЙ, УГЛОВАТОСТИ И НЕКРУГЛОСТИ ОБЕЧАЕК
Vessels and apparatus. Norms and methods of strength
calculation. Method of strength calculation of shells
and bottoms according to weld misalignment, angular
misalignment and shell nonroundness
(ISO 16528-1:2007, NEQ)
(ISO 16528-2:2007, NEQ)
ГОСТ 34233.11-2017
Дата введения
1 августа 2018 года
Цели, основные принципы и основной порядок проведения работ по межгосударственной стандартизации установлены в
ГОСТ 1.0-2015 "Межгосударственная система стандартизации. Основные положения" и
ГОСТ 1.2-2015 "Межгосударственная система стандартизации. Стандарты межгосударственные, правила и рекомендации по межгосударственной стандартизации. Правила разработки, принятия, обновления и отмены"
| | ИС МЕГАНОРМ: примечание. Абзац дан в соответствии с официальным текстом документа. | |
1 РАЗРАБОТАН Межгосударственным техническим комитетом по стандартизации МТК 523 "Техника и технологии добычи и переработки нефти и газа"; Закрытым акционерным обществом "ПЕТРОХИМ ИНЖИНИРИНГ" (ЗАО "ПХИ"); Закрытым акционерным обществом "ПЕТРОХИМ ИНЖИНИРИНГ" (ЗАО "ПХИ"); Акционерным обществом "Всероссийский научно-исследовательский и проектно-конструкторский институт нефтяного машиностроения" (АО "ВНИИНЕФТЕМАШ"); Обществом с ограниченной ответственностью "Научно-техническое предприятие ЦЕНТРХИММАШ" (ООО "НТП ЦЕНТРХИММАШ"); Акционерным обществом "Научно-исследовательский и конструкторский институт химического машиностроения" (АО "НИИХИММАШ")
2 ВНЕСЕН Федеральным агентством по техническому регулированию и метрологии
3 ПРИНЯТ Межгосударственным советом по стандартизации, метрологии и сертификации (протокол от 30 ноября 2017 г. N 52)
За принятие проголосовали:
Краткое наименование страны по МК (ИСО 3166) 004-97 | Код страны по МК (ИСО 3166) 004-97 | Сокращенное наименование национального органа по стандартизации |
Азербайджан | AZ | Азстандарт |
Армения | AM | Минэкономики Республики Армения |
Беларусь | BY | Госстандарт Республики Беларусь |
Казахстан | KZ | Госстандарт Республики Казахстан |
Киргизия | KG | Кыргызстандарт |
Россия | RU | Росстандарт |
Узбекистан | UZ | Узстандарт |
Украина | UA | Минэкономразвития Украины |
4
Приказом Федерального агентства по техническому регулированию и метрологии от 14 декабря 2017 г. N 1999-ст межгосударственный стандарт ГОСТ 34233.11-2017 введен в действие в качестве национального стандарта Российской Федерации с 1 августа 2018 г.
5 В настоящем стандарте учтены основные нормативные положения следующих международных стандартов:
- ISO 16528-1:2007 "Котлы и сосуды, работающие под давлением. Часть 1. Требования к рабочим характеристикам" ("Boilers and pressure vessels - Part 1: Performance requirements", NEQ);
- ISO 16528-2:2007 "Котлы и сосуды, работающие под давлением. Часть 2. Процедуры выполнения требований ISO 16528-1" ("Boilers and pressure vessels - Part 2: Procedures for fulfilling the requirements of ISO 16528-1", NEQ)
--------------------------------
| | ИС МЕГАНОРМ: примечание. В официальном тексте документа, видимо, допущена опечатка: стандарт имеет номер ГОСТ Р 52857.11-2007, а не ГОСТ Р 52857.11-2017. | |
<*>
Приказом Федерального агентства по техническому регулированию и метрологии от 14 декабря 2017 г. N 1999-ст
ГОСТ Р 52857.11-2017 отменен с 1 августа 2018 г.
7 ВВЕДЕН ВПЕРВЫЕ
Информация об изменениях к настоящему стандарту публикуется в ежегодном информационном указателе "Национальные стандарты", а текст изменений и поправок - в ежемесячном информационном указателе "Национальные стандарты". В случае пересмотра (замены) или отмены настоящего стандарта соответствующее уведомление будет опубликовано в ежемесячном информационном указателе "Национальные стандарты". Соответствующая информация, уведомление и тексты размещаются также в информационной системе общего пользования - на официальном сайте Федерального агентства по техническому регулированию и метрологии в сети Интернет (www.gost.ru)
Настоящий стандарт устанавливает нормы и методы расчета на прочность обечаек, выпуклых днищ и крышек сосудов и аппаратов, работающих в условиях статических и малоцикловых нагрузок под внутренним или наружным давлением, с учетом отклонений (смещения кромок сварных соединений, угловатости, общей и локальной некруглостей) от требований нормативной документации (технических условий <*> или технических требований на изготовление сосудов и аппаратов), предъявляемых геометрической форме конструктивных элементов и их соединений (далее - несоответствия).
--------------------------------
<*> Действуют только в Российской Федерации.
Настоящий стандарт предназначен для определения возможности дальнейшей эксплуатации сосудов и аппаратов при выявлении указанных несоответствий при выполнении технического диагностирования, экспертизы промышленной безопасности.
В настоящем стандарте использованы нормативные ссылки на следующие стандарты:
ГОСТ 34233.1-2017 Сосуды и аппараты. Нормы и методы расчета на прочность. Общие требования
ГОСТ 34233.2-2017 Сосуды и аппараты. Нормы и методы расчета на прочность. Расчет цилиндрических и конических обечаек, выпуклых и плоских днищ и крышек
ГОСТ 34233.6-2017 Сосуды и аппараты. Нормы и методы расчета на прочность. Расчет на прочность при малоцикловых нагрузках
ГОСТ 34347-2017 Сосуды и аппараты стальные сварные. Общие технические условия
Примечание - При пользовании настоящим стандартом целесообразно проверить действие ссылочных стандартов в информационной системе общего пользования - на официальном сайте Федерального агентства по техническому регулированию и метрологии в сети Интернет или по ежегодному информационному указателю "Национальные стандарты", который опубликован по состоянию на 1 января текущего года, и по выпускам ежемесячного информационного указателя "Национальные стандарты" за текущий год. Если ссылочный стандарт заменен (изменен), то при пользовании настоящим стандартом следует руководствоваться заменяющим (измененным) стандартом. Если ссылочный стандарт отменен без замены, то положение, в котором дана ссылка на него, применяется в части, не затрагивающей эту ссылку.
В настоящем стандарте применены следующие обозначения:
a - параметр, характеризующий некруглость, %;
B - параметр для случая локальной некруглости;
c - сумма прибавок к расчетной толщине стенки обечайки, мм;
D - внутренний диаметр идеальной обечайки, мм;
Dк - расчетный диаметр гладкой конической обечайки, мм;
Dрк - внутренний диаметр конической обечайки в месте расположения кольцевого сварного шва со смещением, мм;
Dрп - наибольший внутренний диаметр в месте смещения кромок продольного сварного шва, мм;
Dmax - наибольший наружный диаметр обечайки, мм;
Dmin - наименьший наружный диаметр обечайки, мм;
E - модуль продольной упругости при расчетной температуре, МПа;
f - геометрический параметр обечайки;
K1, K2, Ky - безразмерные коэффициенты;
Kэ - эффективный коэффициент концентрации напряжений для сварных швов;
l - расчетная длина гладкой обечайки, мм (см);
m - параметр для случая локальной некруглости;
[N] - допускаемое число циклов нагружения;
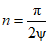
n - параметр зоны некруглости;
ny - коэффициент запаса устойчивости;
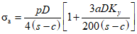
p - расчетное внутреннее избыточное или наружное давление, МПа;
[p] - допускаемое внутреннее избыточное или наружное давление, МПа;

- допускаемое наружное давление из условия устойчивости в пределах упругости для обечайки с отклонениями формы, МПа;
[p]E - допускаемое наружное давление из условия устойчивости в пределах упругости для оболочки круговой формы, МПа;
pТ - предельное давление текучести, МПа;
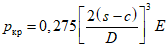
pкр - критическое давление длинной обечайки, МПа;
[
p]
п - допускаемое наружное давление из условия прочности при

, равном 1, МПа;
Rp - радиус кривизны выпуклого днища в зоне вмятины, мм;
Rm/t - минимальное значение временного сопротивления (предела прочности) при расчетной температуре, МПа;
Rp0,2/t - предел текучести материала при расчетной температуре, МПа;
rв - радиус вмятины в плане, мм;
s - исполнительная толщина стенки обечайки, мм;
sк - исполнительная толщина стенки конической обечайки, мм;

- половина угла раствора при вершине конической обечайки, град;

- коэффициент концентрации напряжений;

- значение отклонения от идеальной круговой формы или значение смещения и увода кромок, мм;

- условное значение отклонения для локальной некруглости, мм;

,

,

,

- безразмерные коэффициенты;

- номинальное напряжение, МПа;

- амплитуда напряжений, МПа;

- максимальное напряжение в зоне несоответствий, МПа;

- допускаемая амплитуда напряжений, МПа;

- допускаемое напряжение для материала обечайки при расчетной температуре, МПа;

- коэффициент прочности сварных швов, определяемый по
ГОСТ 34233.1;

- половина центрального угла зоны некруглости, рад.
4.1 Приведенный в настоящем стандарте расчет применим, если предварительно определены в соответствии с
ГОСТ 34233.2 и
ГОСТ 34233.6 толщины стенок элементов и допускаемые давления для элементов сосудов и аппаратов, удовлетворяющих техническим требованиям к качеству изготовления и контроля по
ГОСТ 34347 и другим нормативным документам.
4.2 Расчетные значения допускаемых напряжений и механических характеристик материала принимаются по
ГОСТ 34233.1.
4.3 Формулы применимы для сосудов, изготовленных из материалов, пластичных в условиях эксплуатации.
4.4 Методы расчета не применимы при сочетании отдельных несоответствий в расчетных элементах. В отдельных случаях методы расчета могут быть применены при наличии нескольких несоответствий в расчетном элементе сосуда, если расстояние между ними превышает

.
4.5 Приведенные методы расчета допустимы, если неточности изготовления (за исключением смещения стенок кольцевых сварных швов) находятся от штуцеров, фланцевых соединений, колец жесткости и т.п. на расстоянии не менее

.
4.6 Максимальные расчетные напряжения в местах нарушения правильной формы обечаек и днищ определяются в предположении неограниченной упругости материала согласно ГОСТ 34233.1
(пункт 8.10).
4.7 Допускается проводить оценку напряженно-деформированного состояния и устойчивости сосудов и аппаратов с отклонениями от идеальной формы с помощью специальных исследований, например экспериментальным методом, или численными методами, например конечных элементов.
5 Смещение кромок сварных соединений
Смещения кромок сварных соединений представлены на
рисунках А.1,
А.2 (приложение А).
5.1 Смещение кромок продольного сварного соединения цилиндрической или конической обечайки
5.1.1 Проверка прочности при нагружении внутренним избыточным давлением
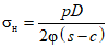
Максимальное расчетное напряжение для цилиндрической обечайки вычисляют по формуле

. (1)
Условие прочности

.
Максимальное расчетное напряжение для конической обечайки вычисляют по формуле

. (2)
Условие прочности

.
5.1.2 Проверка устойчивости при нагружении наружным давлением
Допускаемое наружное давление вычисляют по формуле

(3)
Допускаемое давление из условий устойчивости [
p]
E определяют по
ГОСТ 34233.2.
Допускаемое давление из условий прочности вычисляют по формулам:
- для цилиндрической обечайки

; (4)
- для конической обечайки

(5)
Коэффициент

равняется

(6)
При совместном действии наружного давления, осевой сжимающей силы, изгибающего момента и перерезывающей силы должна быть проведена проверка на устойчивость по ГОСТ 34233.2
(пункт 5.3.7). При этом должно использоваться меньшее из значений допускаемого наружного давления, определенного по
ГОСТ 34233.2 и
формуле (14).
5.2 Смещение кромок кольцевого сварного соединения в цилиндрической или конической обечайке
5.2.1 Проверка прочности при нагружении внутренним избыточным давлением
Максимальное напряжение для цилиндрической обечайки вычисляют по формуле

. (7)
Условие прочности

.
Максимальное напряжение для конической обечайки вычисляют по формуле

. (8)
Условие прочности

.
5.2.2 Проверка устойчивости при нагружении наружным давлением
Проверку устойчивости при нагружении наружным давлением следует выполнять по
ГОСТ 34233.2.
5.3 Оценка малоцикловой прочности
При малоцикловой нагрузке в дополнение к расчету по
пунктам 5.1,
5.2 следует выполнить проверку по
ГОСТ 34233.6. При этом амплитуду напряжений вычисляют по формуле

. (9)
Эффективный коэффициент концентрации
Kэ принимают по
таблице А.1 (приложение А).
Условие прочности при малоцикловом нагружении

.
6 Общая некруглость цилиндрических обечаек (овальность)
Под общей некруглостью (овальностью) понимается общее отклонение от круговой формы по всему периметру поперечного сечения цилиндрической обечайки [см.
рисунок А.3 (приложение А)]. Значение некруглости (овальности) вычисляют по формуле

. (10)
6.1 Проверка прочности при нагружении внутренним избыточным давлением
6.1.1 Определение максимальных напряжений
Максимальное напряжение вычисляют по формуле

. (11)
Предварительно проверяют условие прочности обечайки без учета овальности по
ГОСТ 34233.2. Затем проверяют условие прочности с учетом овальности обечайки по формуле

. (12)
6.1.2 Оценка малоцикловой прочности
При малоцикловой нагрузке в дополнение к расчету по
6.1.1 следует выполнить проверку по
ГОСТ 34233.6.
При этом амплитуду напряжений вычисляют по формуле

. (13)
Условие прочности при циклическом нагружении

.
6.2 Расчет обечаек, нагруженных наружным давлением
6.2.1 Определение допускаемого давления
Допускаемое наружное давление вычисляют по формуле

(14)
Допускаемое давление

из условия устойчивости овальной обечайки в пределах упругости вычисляют по формулам:

(15)

; (16)

(17)
Допускаемое давление [p]п из условия прочности вычисляют по формуле

. (18)
Коэффициент

вычисляют по формулам:

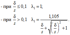
при
a <= 0,5%,

при 0,5% <
a <= 2%. (19)
Коэффициент Ky вычисляют по формулам:

(20)
где

. (21)
При совместном действии наружного давления, осевой сжимающей силы, изгибающего момента и перерезывающей силы должна быть проведена проверка на устойчивость по ГОСТ 34233.2
(пункт 5.3.7). При этом должно использоваться меньшее из значений допускаемого наружного давления, определенного по
ГОСТ 34233.2 и
формуле (14).
6.2.2 Оценка малоцикловой прочности
При малоцикловой нагрузке в дополнение к расчету по
5.1,
5.2 следует выполнить проверку по
ГОСТ 34233.6. Амплитуду напряжений в условиях циклического нагружения наружным давлением вычисляют по формуле

. (22)
Условие прочности при циклической нагрузке

.
7 Локальная некруглость (увод сварных соединений, вмятины)
Под локальной некруглостью [см.
рисунок А.4 (приложение А)] понимается отклонение оболочки от правильной формы, распределенное на часть окружности и обусловленное уводом кромок сварного шва или вмятиной.
7.1 Проверка прочности при нагружении внутренним избыточным давлением
7.1.1 Определение максимальных напряжений
Максимальное напряжение вычисляют по формулам:
- при вытянутой вдоль оси обечайки вмятине или при уводе сварного шва (угловатости)

, (23)
где

- параметр, характеризующий зону отклонения (см.
рисунок А.4);
- при круговой в плане вмятине

. (24)
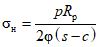
Номинальное напряжение вычисляют по формулам:
- для цилиндрической обечайки

; (25)
- для выпуклого днища

, (26)
где Rp - радиус кривизны выпуклого днища в зоне вмятины.
Коэффициент концентрации вычисляют по формуле

, (27)
где
- для цилиндрической обечайки

,

,

;
- для выпуклого днища

,

,

.
7.1.2 Проверка прочности
Предварительно проверяют условие прочности без учета отклонений от идеальной геометрической формы обечаек по
ГОСТ 34233.2. Затем проверяют условие прочности с учетом местных напряжений по формуле

. (28)
7.2 Расчет обечаек, нагруженных наружным давлением

(29)
Давление [p]п вычисляют по формуле

, (30)
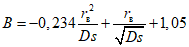
где

вычисляют по формулам:
- при толщине листов s <= 20 мм

(31)
- при толщине листов от 20 до 50 мм

(32)
Если увод кромок (вмятины) направлен наружу, то при вычислении [p]п коэффициент Ky принимают равным единице.
При совместном действии наружного давления, осевой сжимающей силы, изгибающего момента и перерезывающей силы должна быть проведена проверка на устойчивость по ГОСТ 34233.2
(пункт 5.3.7). При этом следует использовать меньшее из значений допускаемого наружного давления, определенного по
ГОСТ 34233.2 и
формуле (14).
7.3 Оценка малоцикловой прочности
При малоцикловой нагрузке в дополнение к расчету по
7.1,
7.2, следует выполнить проверку по
ГОСТ 34233.6. Амплитуду напряжений в условиях малоциклового нагружения вычисляют по формуле

. (33)
Эффективный коэффициент концентрации
Kэ принимают по
таблице А.1 (приложение А).
Условие прочности при циклической нагрузке

.
(справочное)
РИСУНКИ И ТАБЛИЦА, ПОЯСНЯЮЩИЕ ТЕКСТ СТАНДАРТА
Таблица А.1
Эффективный коэффициент концентрации
Kэ
Характеристика сварного шва | Схема сварного шва | Эффективный коэффициент концентрации напряжений |
Углеродистая сталь | Низколегированная и аустенитная сталь |
Стыковой двухсторонний сварной шов с полным проплавлением и плавным переходом | | 1,0 | 1,0 |
Стыковой односторонний сварной шов с подкладным листом по всей длине шва | | 1,2 | 1,4 |
Стыковой односторонний сварной шов с неполным проплавлением | | 1,5 | 1,8 |
Стыковой шов со смещением кромок | | 1,3 | 1,5 |
а - продольный сварной шов
б - кольцевые сварные швы
Рисунок А.1 - Смещение кромок
а - наружный увод кромок
б - внутренний увод кромок
Рисунок А.2 - Увод кромок кольцевого шва
Рисунок А.3 - Общая некруглость
а - вмятина
б - наружный увод кромок
Рисунок А.4 - Локальная некруглость