Скачать ГОСТ 16130-72 Проволока и прутки из меди и сплавов на медной основе сварочные. Технические условия

Дата актуализации: 01.01.2021

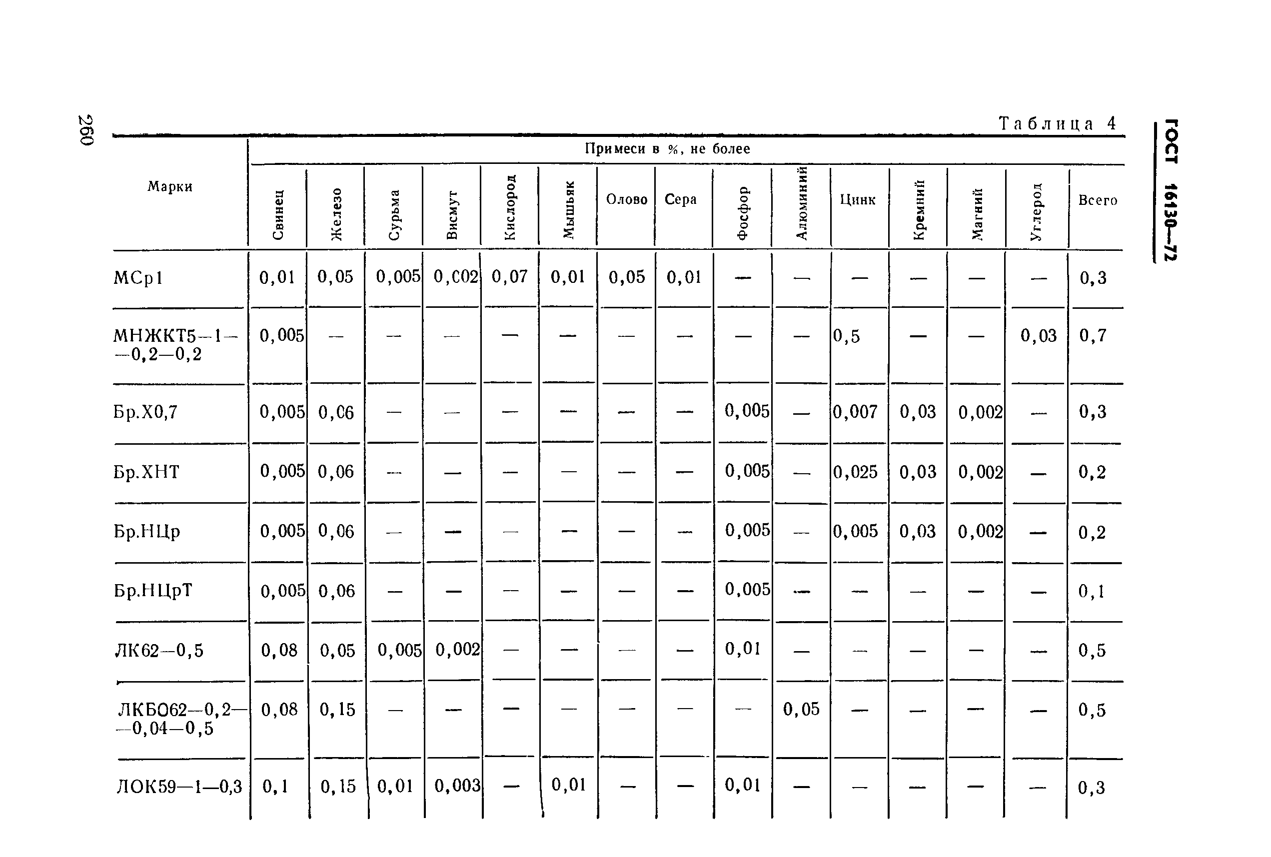
ГОСТ 16130-72

Проволока и прутки из меди и сплавов на медной основе сварочные. Технические условия

Обозначение: ГОСТ 16130-72
Обозначение англ: GOST 16130-72
Статус:заменен
Название рус.:Проволока и прутки из меди и сплавов на медной основе сварочные. Технические условия
Название англ.:Wire and roads for gas welding of copper and brass. Specifications
Дата добавления в базу:01.02.2020
Дата актуализации:01.01.2021
Дата введения:01.01.1973
Дата окончания срока действия:01.01.1986
Область применения:Стандарт распространяется на проволоку и прутки из меди и сплавав на медной основе, применяемые для сварки, наплавки и пайки.
Оглавление:1. Марки и сортамент
2. Технические требования
3. Правила приемки
4. Методы испытаний
5. Маркировка, упаковка, транспортирование и хранение
6. Гарантии изготовителя (Исключен, Изм. № 1)
Приложение (рекомендуемое) Назначение проволоки и прутков
Утверждён:07.01.1972 Государственный комитет стандартов Совета Министров СССР (USSR National Committee on Standards at the Cabinet of Ministers 43)
Издан: Издательство стандартов (1973 г. )
Список изменений:
  • № 1 от 01.02.1983 (ИУС 11-1982, Текстовое изменение; изменено наименование.)
Заменяет собой:
  • ГОСТ 16130-70 «Проволока и прутки для газовой сварки меди и латуни» (Сведения из перечня "Указатель государственных стандартов СССР 1980 г.", Издательство стандартов 1980)
Нормативные ссылки:
ГОСТ 16130-72ГОСТ 16130-72ГОСТ 16130-72ГОСТ 16130-72ГОСТ 16130-72ГОСТ 16130-72ГОСТ 16130-72ГОСТ 16130-72ГОСТ 16130-72ГОСТ 16130-72ГОСТ 16130-72ГОСТ 16130-72ГОСТ 16130-72ГОСТ 16130-72ГОСТ 16130-72ГОСТ 16130-72ГОСТ 16130-72ГОСТ 16130-72ГОСТ 16130-72ГОСТ 16130-72

Текстовое изменение № 1 от 01.02.1983

№ 1№ 1