Скачать ГОСТ 31366-2008 Прутки латунные для обработки резанием на автоматах. Технические условия

Дата актуализации: 01.01.2021

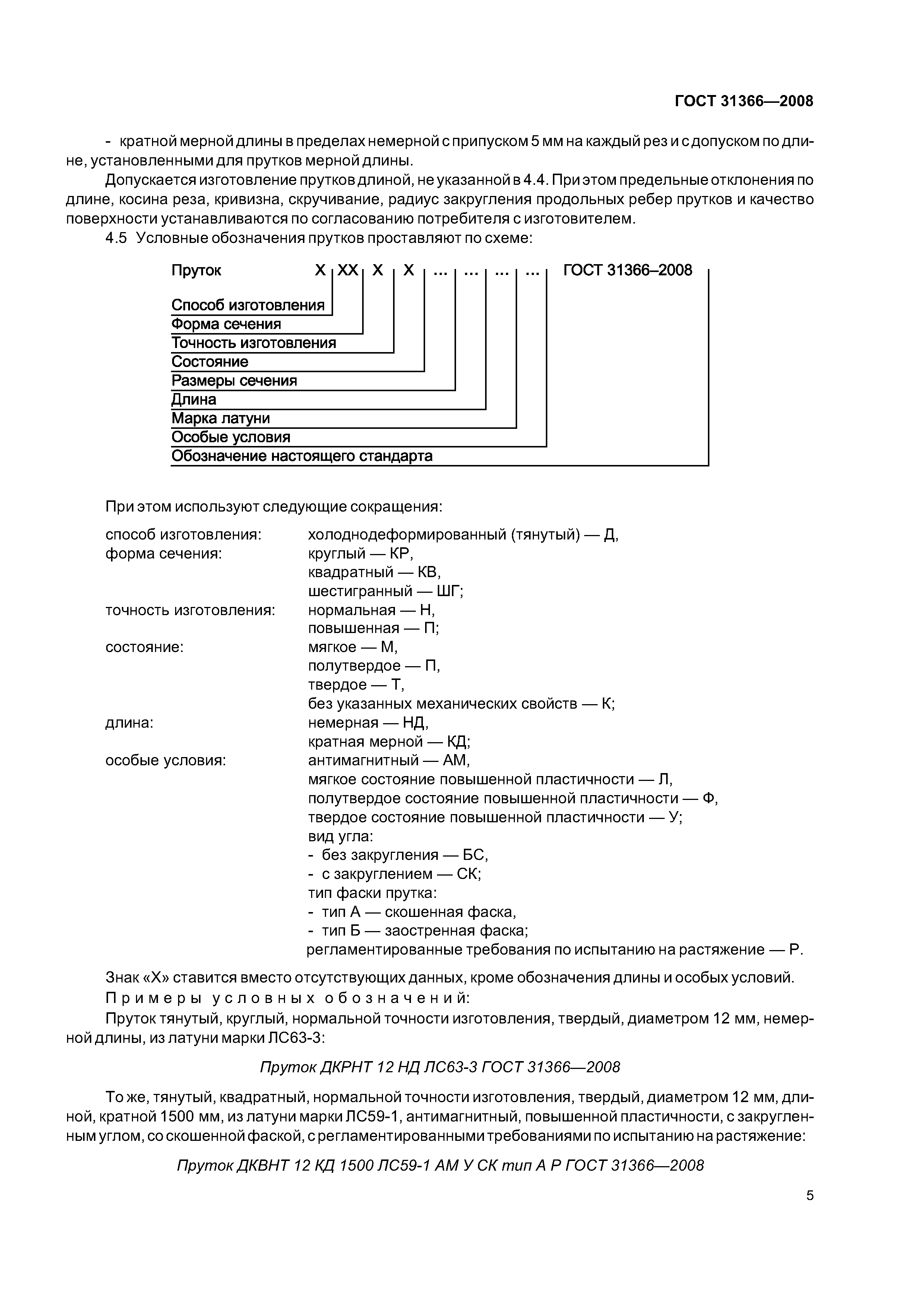
ГОСТ 31366-2008

Прутки латунные для обработки резанием на автоматах. Технические условия

Обозначение: ГОСТ 31366-2008
Обозначение англ: GOST 31366-2008
Статус:введен впервые
Название рус.:Прутки латунные для обработки резанием на автоматах. Технические условия
Название англ.:Brass rods for free machining purposes. Specifications
Дата добавления в базу:01.09.2013
Дата актуализации:01.01.2021
Дата введения:01.01.2010
Область применения:Стандарт распространяется на латунные тянутые прутки круглого, квадратного и шестигранного сечений, поставляемые в прямых отрезках, специально предназначенные для обработки резанием на автоматах. Стандарт устанавливает сортамент, технические требования, правила приемки, методы контроля и испытаний, маркировку, упаковку, транспортирование и хранение прутков.
Оглавление:1 Область применения
2 Нормативные ссылки
3 Термины и определения
4 Сортамент
5 Технические требования
6 Правила приемки
7 Методы контроля и испытаний
8 Маркировка, упаковка, транспортирование и хранение
9 Гарантии изготовителя
Приложение А (справочное) Диаметры. Площадь поперечного сечения и теоретическая масса 1м круглых, квадратных и шестигранных прутков
Приложение Б (справочное) Соответствие обозначений марок латуней по настоящему стандарту и ЕН 12164:1998
Приложение В (рекомендуемое) Метод контроля латунных прутков на наличие остаточных растягивающих напряжений ртутной пробой
Приложение Г (рекомендуемое) Метод контроля латунных прутков на наличие остаточных растягивающих напряжений аммиачным способом
Разработан: ТК 106 Цветметпрокат
ОАО Институт Цветметобработка
Утверждён:06.06.2008 Межгосударственный Совет по стандартизации, метрологии и сертификации (Inter-Governmental Council on Standardization, Metrology, and Certification 33)
11.02.2009 Федеральное агентство по техническому регулированию и метрологии (4-ст)
Издан: Стандартинформ (2009 г. )
Список изменений:
  • № 1 от 01.09.2015 (ИУС 3-2015, Текстовое изменение; Изменены ссылочные НД)
Нормативные ссылки:
ГОСТ 31366-2008ГОСТ 31366-2008ГОСТ 31366-2008ГОСТ 31366-2008ГОСТ 31366-2008ГОСТ 31366-2008ГОСТ 31366-2008ГОСТ 31366-2008ГОСТ 31366-2008ГОСТ 31366-2008ГОСТ 31366-2008ГОСТ 31366-2008ГОСТ 31366-2008ГОСТ 31366-2008ГОСТ 31366-2008ГОСТ 31366-2008ГОСТ 31366-2008ГОСТ 31366-2008ГОСТ 31366-2008ГОСТ 31366-2008ГОСТ 31366-2008ГОСТ 31366-2008ГОСТ 31366-2008ГОСТ 31366-2008

Текстовое изменение № 1 от 01.09.2015

№ 1