Скачать ГОСТ Р 54771-2011 Транспорт рудничный электровозный. Электровозы контактные. Общие технические требования и методы испытаний

Дата актуализации: 01.01.2021

ГОСТ Р 54771-2011

Транспорт рудничный электровозный. Электровозы контактные. Общие технические требования и методы испытаний

Обозначение: ГОСТ Р 54771-2011
Обозначение англ: GOST R 54771-2011
Статус:введен впервые
Название рус.:Транспорт рудничный электровозный. Электровозы контактные. Общие технические требования и методы испытаний
Название англ.:Mine electric locomotive transport. Trolley electric locomotives. General technical requirements and test methods
Дата добавления в базу:21.05.2015
Дата актуализации:01.01.2021
Дата введения:01.01.2013
Область применения:Стандарт распространяется на рудничные локомотивы с электрическим приводом с питанием от контактной сети постоянного тока, предназначенные для передвижения поездов по рельсовым путям (железным дорогам) узкой колеи в подземных горных выработках, неопасных по газу и пыли, горнодобывающих предприятий и подземном строительстве в следующих условиях: - атмосфера типа 1 по ГОСТ 15150 при запыленности воздуха не более 200 мг/м куб.; - относительная влажность воздуха 90 % при температуре 27 °С; - температура окружающей среды от +35 до -5 °С; - продольный уклон пути до ± 0,050°; - коэффициент сцепления электровоза с рельсами в угольных шахтах – 0,09 - 0,17, в рудниках - 0,10 - 0,28; - высота подвески контактного привода от 1800 до 2300 мм; - ширина колеи рельсового пути - 600, 750 и 900 мм. Оборудование, изготовленное согласно стандарту, может применяться в других отраслях промышленности, где условия эксплуатации соответствуют ему. Стандарт устанавливает общие технические требования и методы испытаний параметров при проектировании, изготовлении и испытаниях электровозов и их модификаций (контактно-кабельных и контактно-аккумуляторных), а также машин, создаваемых на базе контактных электровозов (кроме рабочего оборудования).
Оглавление:1 Область применения
2 Нормативные ссылки
3 Термины и определения
4 Общие технические требования
   4.1 Основные параметры и размеры
   4.2 Требования к конструкции
   4.3 Требования к надежности
   4.4 Требования к стойкости к внешним воздействиям
   4.5 Требования к эргономике
   4.6 Требования к техническому обслуживанию и ремонту
   4.7 Комплектность
   4.8 Маркировка
   4.9 Упаковка
5 Требования безопасности
6 Транспортирование и хранение
7 Указания по эксплуатации
8 Гарантии изготовителя
9 Методы испытаний
   9.1 Общие требования
   9.2 Основные показатели и методы их контроля
10 Средства измерений и контроля параметров
11 Обработка и оформление результатов испытаний
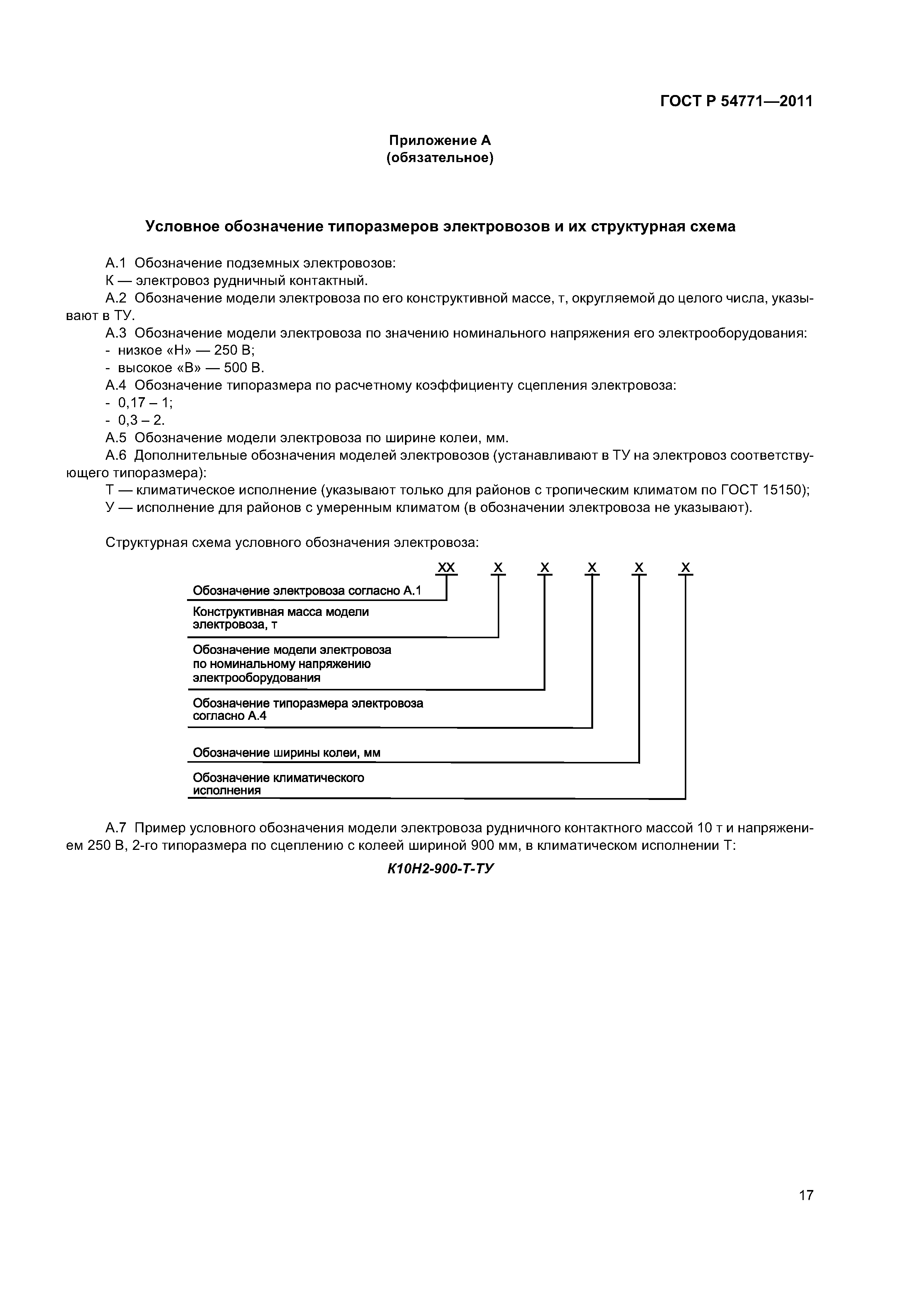
Приложение А (обязательное) Условное обозначение типоразмеров электровозов и их структурная схема
Приложение Б (справочное) Методы испытаний электровозов и их основных сборочных единиц для оценки ресурсов
Приложение В (справочное) Применяемость показателей электровоза в зависимости от вида испытаний
Библиография
Разработан: ФГУП Национальный научный центр горного производства - Институт горного дела им. А.А. Скочинского
Утверждён:13.12.2011 Федеральное агентство по техническому регулированию и метрологии (983-ст)
Издан: Стандартинформ (2014 г. )
Нормативные ссылки:
ГОСТ Р 54771-2011ГОСТ Р 54771-2011ГОСТ Р 54771-2011ГОСТ Р 54771-2011ГОСТ Р 54771-2011ГОСТ Р 54771-2011ГОСТ Р 54771-2011ГОСТ Р 54771-2011ГОСТ Р 54771-2011ГОСТ Р 54771-2011ГОСТ Р 54771-2011ГОСТ Р 54771-2011ГОСТ Р 54771-2011ГОСТ Р 54771-2011ГОСТ Р 54771-2011ГОСТ Р 54771-2011ГОСТ Р 54771-2011ГОСТ Р 54771-2011ГОСТ Р 54771-2011ГОСТ Р 54771-2011ГОСТ Р 54771-2011ГОСТ Р 54771-2011ГОСТ Р 54771-2011ГОСТ Р 54771-2011ГОСТ Р 54771-2011ГОСТ Р 54771-2011