Скачать ГОСТ 494-2014 Трубы латунные. Технические условия

Дата актуализации: 01.01.2021

ГОСТ 494-2014

Трубы латунные. Технические условия

Обозначение: ГОСТ 494-2014
Обозначение англ: GOST 494-2014
Статус:взамен
Название рус.:Трубы латунные. Технические условия
Название англ.:Brass tubes. Specifications
Дата добавления в базу:21.05.2015
Дата актуализации:01.01.2021
Дата введения:01.09.2015
Область применения:Стандарт распространяется на латунные круглые холоднодеформированные и прессованные трубы общего назначения. Стандарт устанавливает сортамент, технические требования, правила приемки, методы контроля и испытаний, упаковку, маркировку, транспортирование и хранение труб.
Оглавление:1 Область применения
2 Нормативные ссылки
3 Термины и определения
4 Сортамент
5 Технические требования
6 Правила приемки
7 Методы контроля и испытаний
8 Упаковка, маркировка, транспортирование и хранение
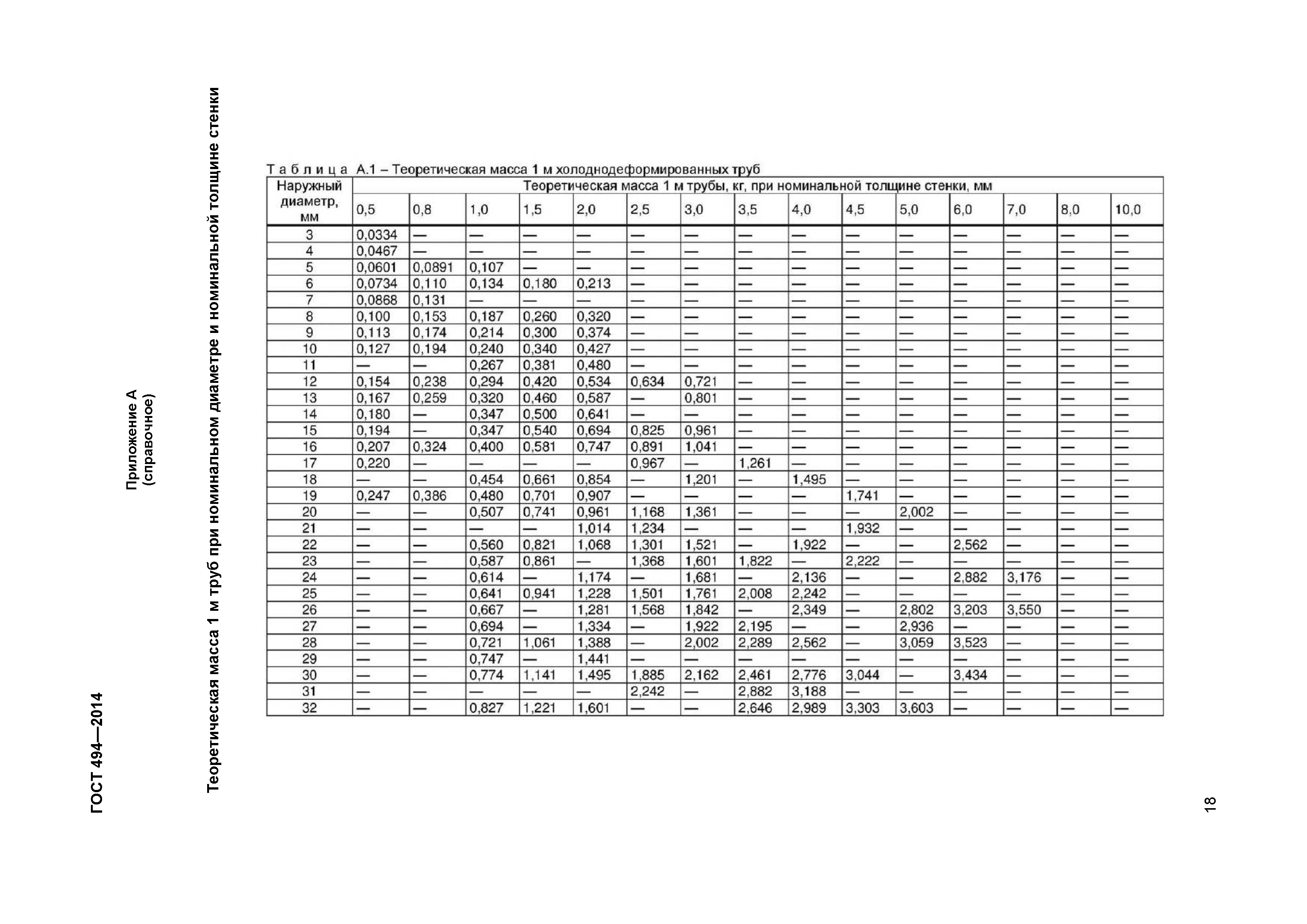
Приложение А (справочное) Теоретическая масса 1 м труб при нормальном диаметре и номинальной толщине стенки
Приложение Б (обязательное) Метод контроля латунных труб на наличие остаточных напряжений с помощью азотнокислой ртути
Приложение В (справочное) Методы ручного ультразвукового контроля окончания пресс-утяжины трубы
Разработан: ТК 106 Цветметпрокат
ОАО Институт Цветметобработка
Утверждён:30.05.2014 Межгосударственный Совет по стандартизации, метрологии и сертификации (Inter-Governmental Council on Standardization, Metrology, and Certification 67-П)
26.11.2014 Федеральное агентство по техническому регулированию и метрологии (1781-ст)
Издан: Стандартинформ (2015 г. )
Заменяет собой:
Нормативные ссылки:
ГОСТ 494-2014ГОСТ 494-2014ГОСТ 494-2014ГОСТ 494-2014ГОСТ 494-2014ГОСТ 494-2014ГОСТ 494-2014ГОСТ 494-2014ГОСТ 494-2014ГОСТ 494-2014ГОСТ 494-2014ГОСТ 494-2014ГОСТ 494-2014ГОСТ 494-2014ГОСТ 494-2014ГОСТ 494-2014ГОСТ 494-2014ГОСТ 494-2014ГОСТ 494-2014ГОСТ 494-2014ГОСТ 494-2014ГОСТ 494-2014ГОСТ 494-2014ГОСТ 494-2014ГОСТ 494-2014ГОСТ 494-2014ГОСТ 494-2014ГОСТ 494-2014ГОСТ 494-2014ГОСТ 494-2014ГОСТ 494-2014ГОСТ 494-2014