Скачать ГОСТ 4442-2014 Ленты и полосы из свинцовой латуни. Технические условия

Дата актуализации: 01.01.2021

ГОСТ 4442-2014

Ленты и полосы из свинцовой латуни. Технические условия

Обозначение: ГОСТ 4442-2014
Обозначение англ: GOST 4442-2014
Статус:взамен
Название рус.:Ленты и полосы из свинцовой латуни. Технические условия
Название англ.:Bands and strips of lead brass. Specifications
Дата добавления в базу:21.05.2015
Дата актуализации:01.01.2021
Дата введения:01.09.2015
Область применения:Стандарт распространяется на холоднокатаные ленты и полосы из свинцовой латуни, предназначенные для прецизионного приборостроения.
Оглавление:1 Область применения
2 Нормативные ссылки
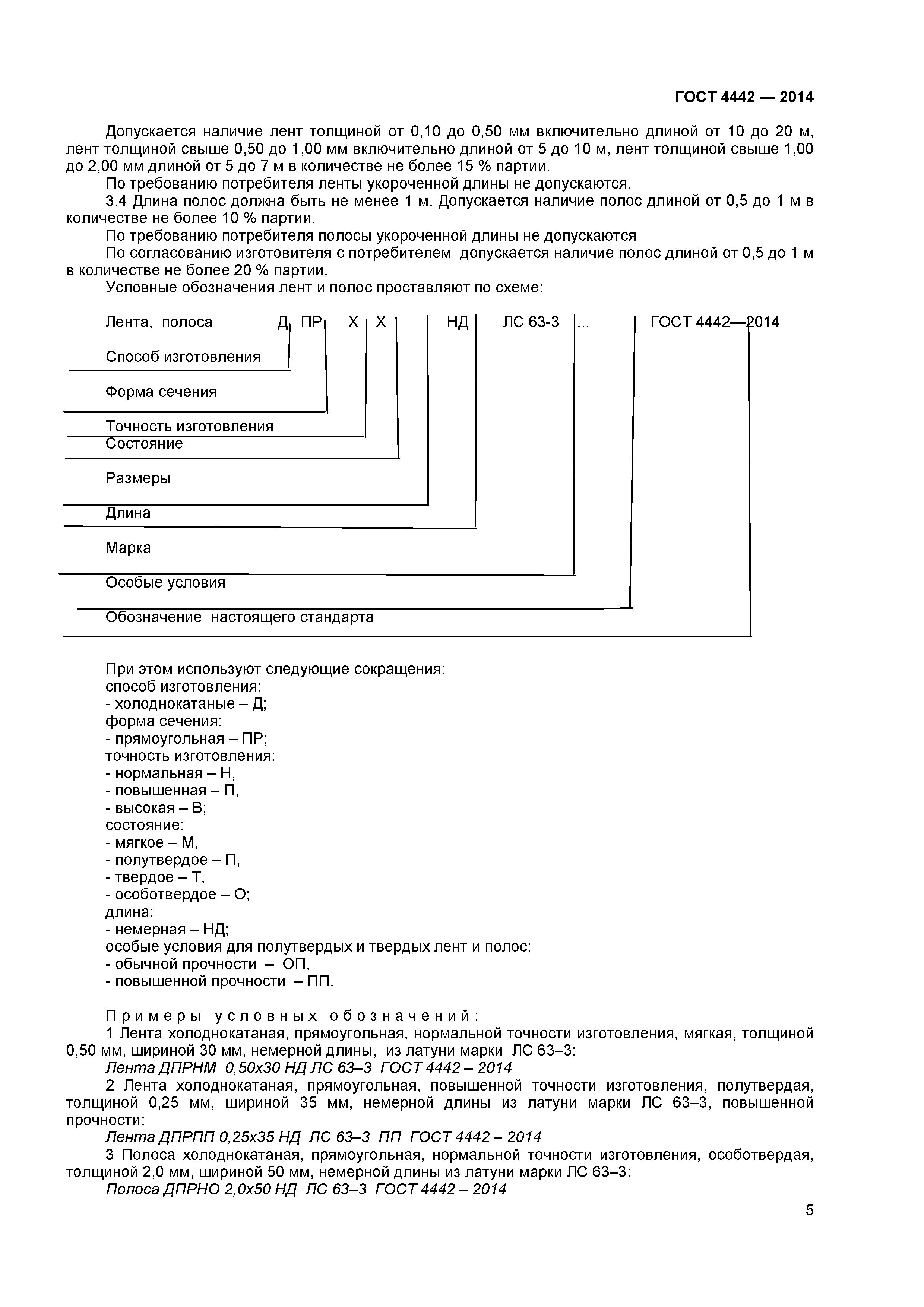
3 Сортамент
4 Технические требования
5 Правила приемки
6 Методы контроля и испытаний
7 Маркировка, упаковка, транспортирование и хранение
Разработан: ТК 106 Цветметпрокат
ОАО Институт Цветметобработка
Утверждён:14.12.2014 Межгосударственный Совет по стандартизации, метрологии и сертификации (Inter-Governmental Council on Standardization, Metrology, and Certification 72-П)
26.11.2014 Федеральное агентство по техническому регулированию и метрологии (1824-ст)
Издан: Стандартинформ (2015 г. )
Заменяет собой:
Нормативные ссылки:
ГОСТ 4442-2014ГОСТ 4442-2014ГОСТ 4442-2014ГОСТ 4442-2014ГОСТ 4442-2014ГОСТ 4442-2014ГОСТ 4442-2014ГОСТ 4442-2014ГОСТ 4442-2014ГОСТ 4442-2014ГОСТ 4442-2014ГОСТ 4442-2014