Скачать ГОСТ 11383-2016 Трубки медные и латунные тонкостенные. Технические условия

Дата актуализации: 01.01.2021

ГОСТ 11383-2016

Трубки медные и латунные тонкостенные. Технические условия

Обозначение: ГОСТ 11383-2016
Обозначение англ: GOST 11383-2016
Статус:взамен
Название рус.:Трубки медные и латунные тонкостенные. Технические условия
Название англ.:Thin-walled copper and brass tubes. Specifications
Дата добавления в базу:01.02.2017
Дата актуализации:01.01.2021
Дата введения:01.04.2017
Область применения:Стандарт распространяется на круглые холоднодеформированные тянутые тонкостенные трубки из меди и латуни (далее - трубки), применяемые в различных отраслях промышленности. Стандарт устанавливает сортамент, технические требования, правила приемки, методы контроля и испытаний, правила маркировки, упаковки, транспортирования и хранения трубок.
Оглавление:1 Область применения
2 Нормативные ссылки
3 Термины и определения
4 Сортамент
5 Технические требования
6 Правила приемки
7 Методы контроля и испытаний
8 Маркировка, упаковка, транспортирование и хранение
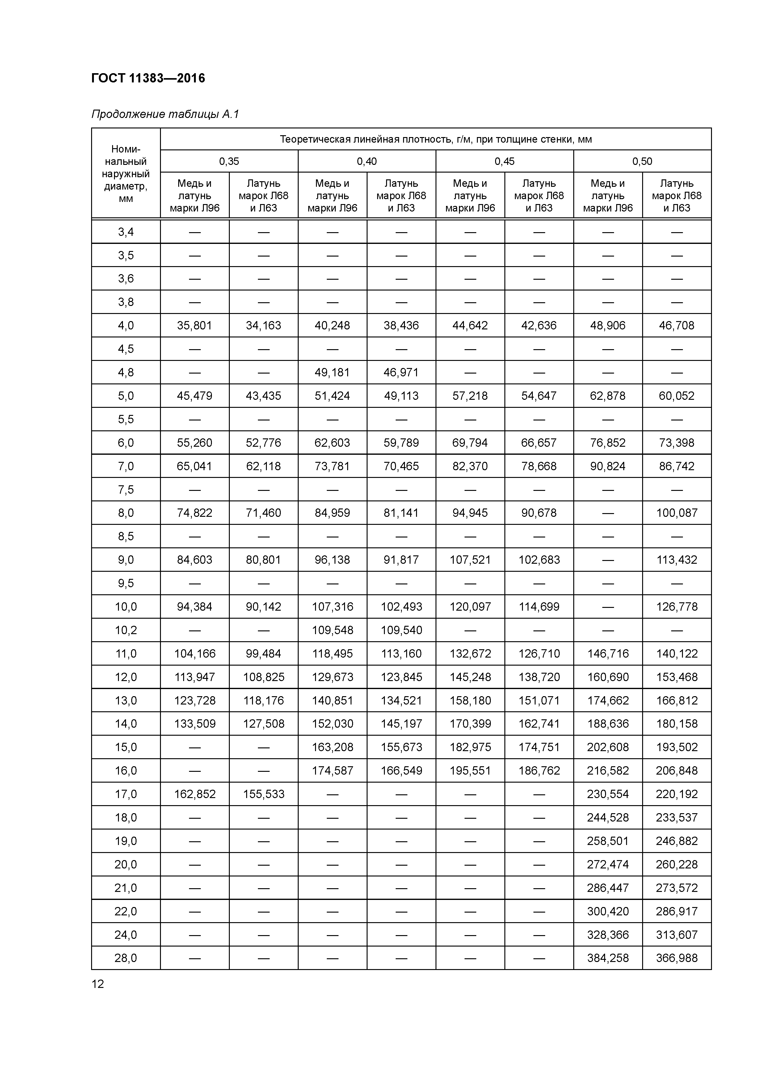
Приложение А (справочное) Теоретическая линейная плотность тонкостенных трубок
Приложение Б (обязательное) Масса 1 м длины трубок, рассчитанная при минимальной и максимальной толщине стенки и минимальном и максимальном наружном диаметре нормальной и повышенной точности изготовления
Разработан: ТК 106 Цветметпрокат
АО Институт Цветметобработка
Утверждён:29.02.2016 Межгосударственный Совет по стандартизации, метрологии и сертификации (Inter-Governmental Council on Standardization, Metrology, and Certification 85-П)
26.07.2016 Федеральное агентство по техническому регулированию и метрологии (881-ст)
Издан: Стандартинформ (2016 г. )
Список изменений:
Заменяет собой:
Нормативные ссылки:
ГОСТ 11383-2016ГОСТ 11383-2016ГОСТ 11383-2016ГОСТ 11383-2016ГОСТ 11383-2016ГОСТ 11383-2016ГОСТ 11383-2016ГОСТ 11383-2016ГОСТ 11383-2016ГОСТ 11383-2016ГОСТ 11383-2016ГОСТ 11383-2016ГОСТ 11383-2016ГОСТ 11383-2016ГОСТ 11383-2016ГОСТ 11383-2016ГОСТ 11383-2016ГОСТ 11383-2016ГОСТ 11383-2016ГОСТ 11383-2016

Текстовое изменение Поправка от 13.03.2020

Поправка