Скачать ГОСТ Р ИСО/ТС 10303-439-2016 Системы автоматизации производства и их интеграция. Представление данных об изделии и обмен этими данными. Часть 439. Прикладной модуль. Поддержка жизненного цикла изделий по прикладному протоколу ПП239Дата актуализации: 01.01.2021
|
| Обозначение: | ГОСТ Р ИСО/ТС 10303-439-2016 |
| Обозначение англ: | GOST R ISO/TS 10303-439-2016 |
| Статус: | взамен |
| Название рус.: | Системы автоматизации производства и их интеграция. Представление данных об изделии и обмен этими данными. Часть 439. Прикладной модуль. Поддержка жизненного цикла изделий по прикладному протоколу ПП239 |
| Название англ.: | Industrial automation systems and integration. Product data representation and exchange. Part 439. Application module. AP239 product life cycle support |
| Дата добавления в базу: | 05.05.2017 |
| Дата актуализации: | 01.01.2021 |
| Дата введения: | 01.01.2018 |
| Область применения: | Стандарт определяет прикладной модуль «Поддержка жизненного цикла изделий по прикладному протоколу ПП239». |
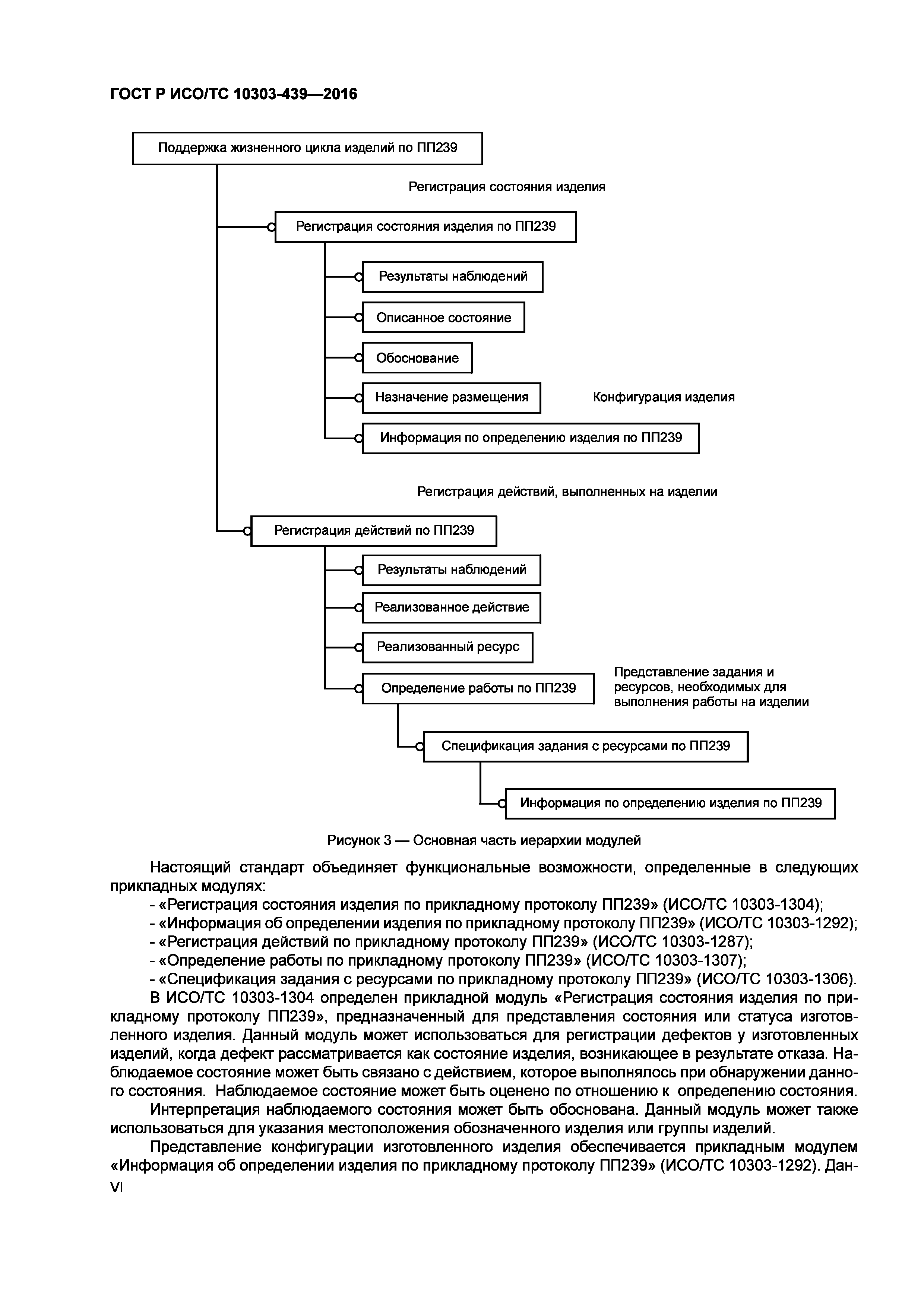
| Оглавление: | 1 Область действия 2 Нормативные ссылки 3 Термины, определения и сокращения 3.1 Термины и определения 3.2 Сокращения 4 Информационные требования 4.1 Необходимые ПЭМ прикладных модулей 4.2 Определение константы ПЭМ 4.3 Определение типов данных ПЭМ 4.4 Ограничение, накладываемое на отношения подтип-супертип в схеме ПЭМ 5 Интерпретированная модель модуля 5.1 Спецификация отображения 5.2 Сокращенный листинг ИММ на языке EXPRESS Приложение А (обязательное) Сокращенные наименования объектов ИММ Приложение В (обязательное) Регистрация информационных объектов Приложение С (справочное) EXPRESS-G диаграмма ПЭМ Приложение D (справочное) EXPRESS-G диаграммы ИММ Приложение Е (справочное) Машинно-интерпретируемые листинги Приложение F (справочное) История изменений Приложение ДА (справочное) Сведения о соответствии ссылочных международных стандартов национальным стандартам Библиография |
| Разработан: | ФБУ Консультационно-внедренческая фирма в области международной стандартизации и сертификации - Фирма ИНТЕРСТАНДАРТ |
| Утверждён: | 30.11.2016 Федеральное агентство по техническому регулированию и метрологии (1887-ст) |
| Издан: | Стандартинформ (2017 г. ) |
| Список изменений: |
|
| Заменяет собой: | |
| Нормативные ссылки: |
|







































































































































Текстовое изменение Поправка от 15.06.2017