Скачать Книга 17: Материалы и изделия огнеупорные. Федеральные сметные цены на материалы изделия, конструкции и оборудование, применяемые в строительстве. Федеральный сборник сметных цен на материалы, изделия и конструкции, применяемые в строительстве

Дата актуализации: 01.01.2021

Книга 17: Материалы и изделия огнеупорные. Федеральные сметные цены на материалы изделия, конструкции и оборудование, применяемые в строительстве. Федеральный сборник сметных цен на материалы, изделия и конструкции, применяемые в строительстве

Статус:действует
Название рус.:Книга 17: Материалы и изделия огнеупорные. Федеральные сметные цены на материалы изделия, конструкции и оборудование, применяемые в строительстве. Федеральный сборник сметных цен на материалы, изделия и конструкции, применяемые в строительстве
Дата добавления в базу:05.05.2017
Дата актуализации:01.01.2021
Дата введения:28.04.2017
Область применения:Государственные сметные нормативы "Федеральные сметные цены на материалы, изделия, конструкции и оборудование, применяемые в строительстве" предназначены для определения сметной стоимости строительства, реконструкции и капитального ремонта объектов капитального строительства.
Оглавление:Часть 17.1: Изделия огнеупорные безобжиговые и прочие огнеупорные изделия
   Раздел 17.1.01: Изделия огнеупорные безобжиговые
   Раздел 17.1.02: Изделия огнеупорные прочие
Часть 17.2: Кирпичи, блоки, плиты и прочие керамические изделия из кремнеземистой каменной муки или диатомитовых земель
   Раздел 17.2.01: Блоки из кремнеземистой каменной муки или диатомитовых земель
   Раздел 17.2.02: Изделия из кремнеземистой каменной муки или диатомитовых земель
Часть 17.3: Кирпичи, блоки, плиты и прочие изделия огнеупорные, кроме изделий из кремнеземистой каменной муки или диатомитовых земель
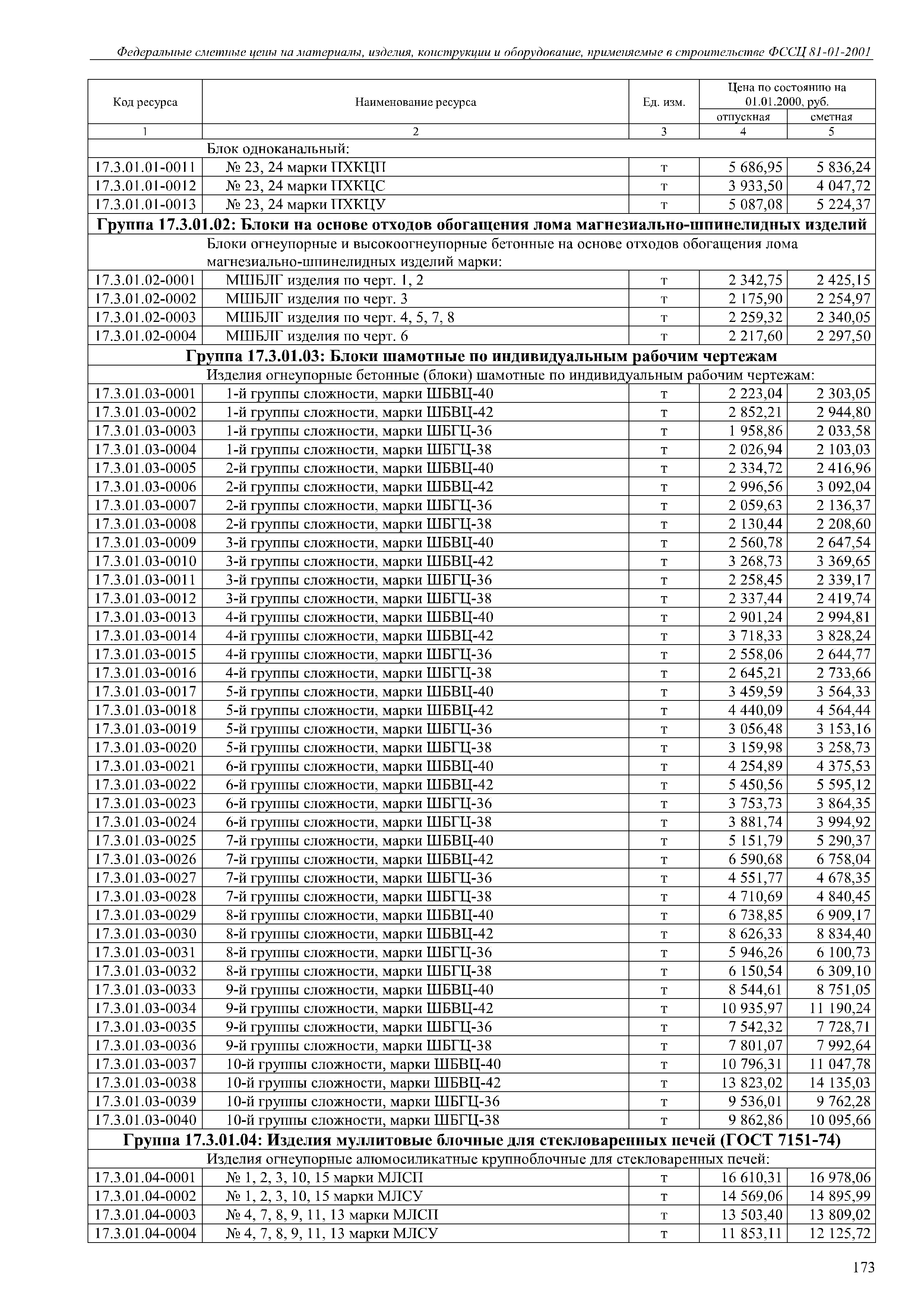
   Раздел 17.3.01: Блоки огнеупорные, кроме изделий из кремнеземистой каменной муки или диатомитовых земель
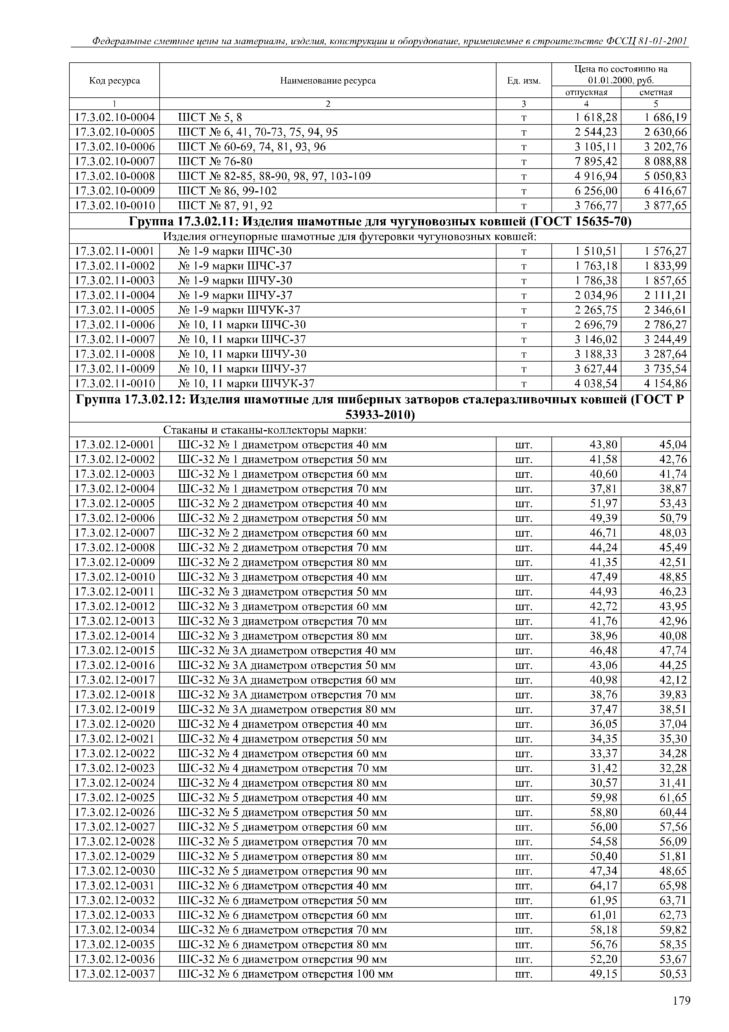
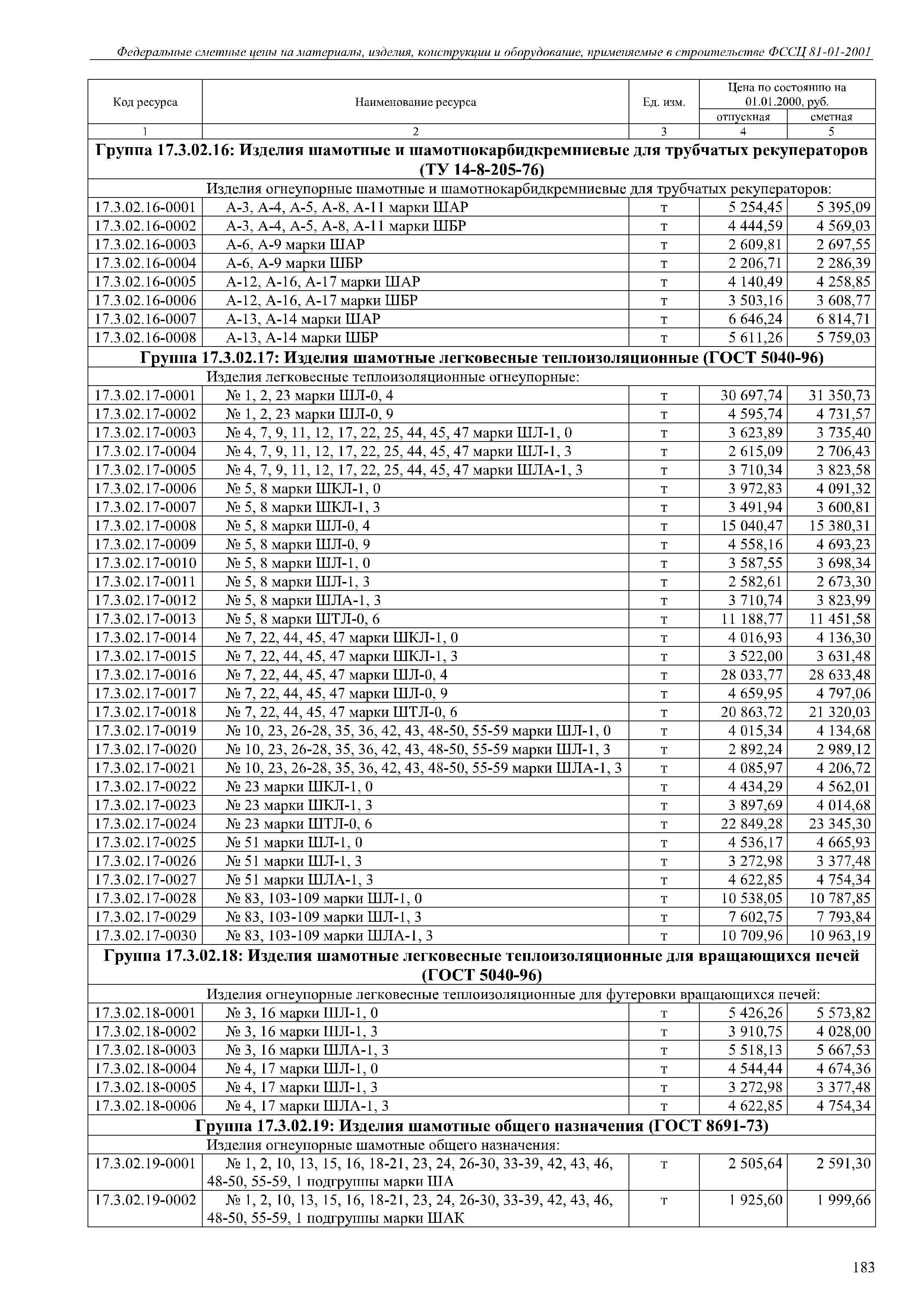
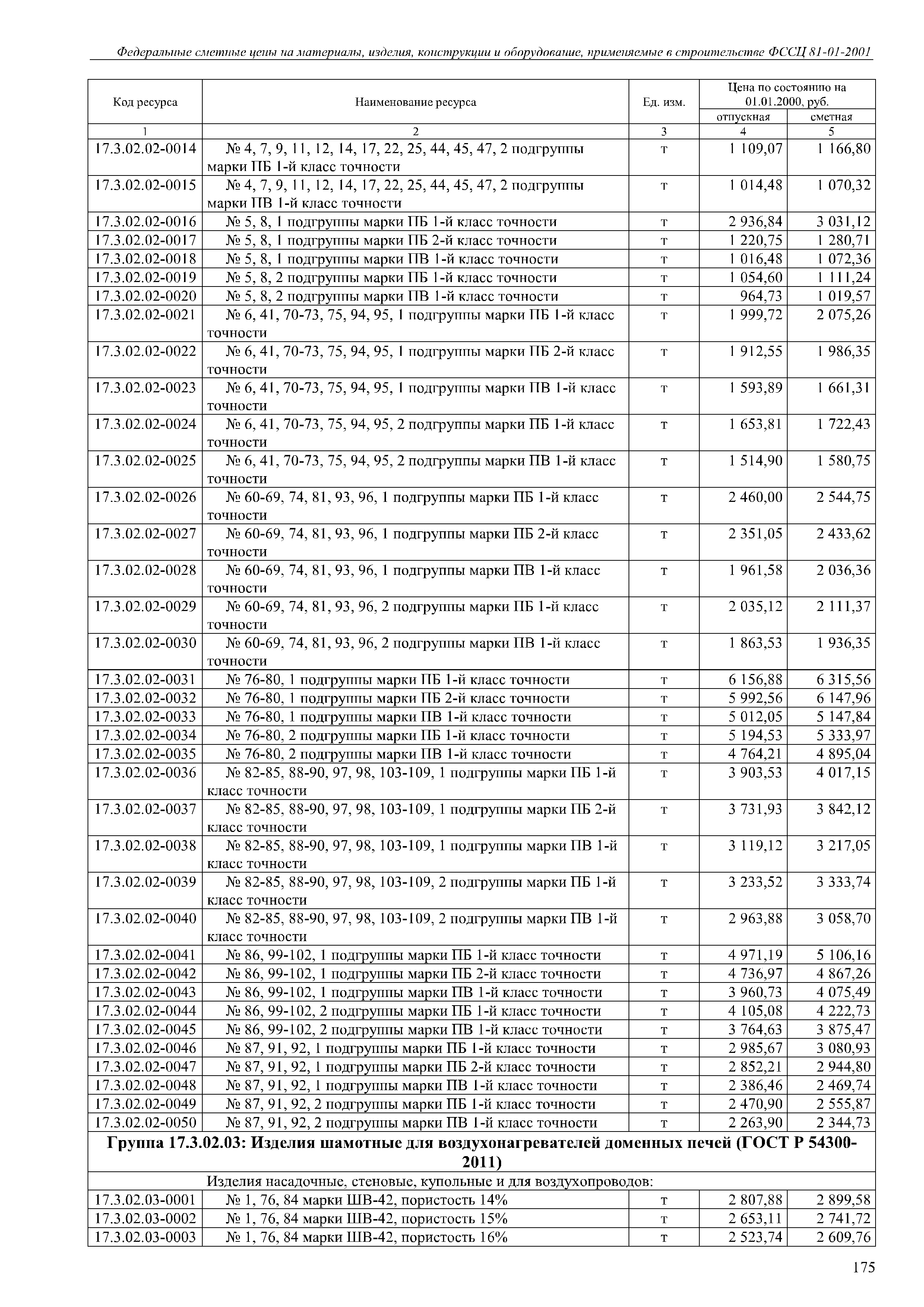
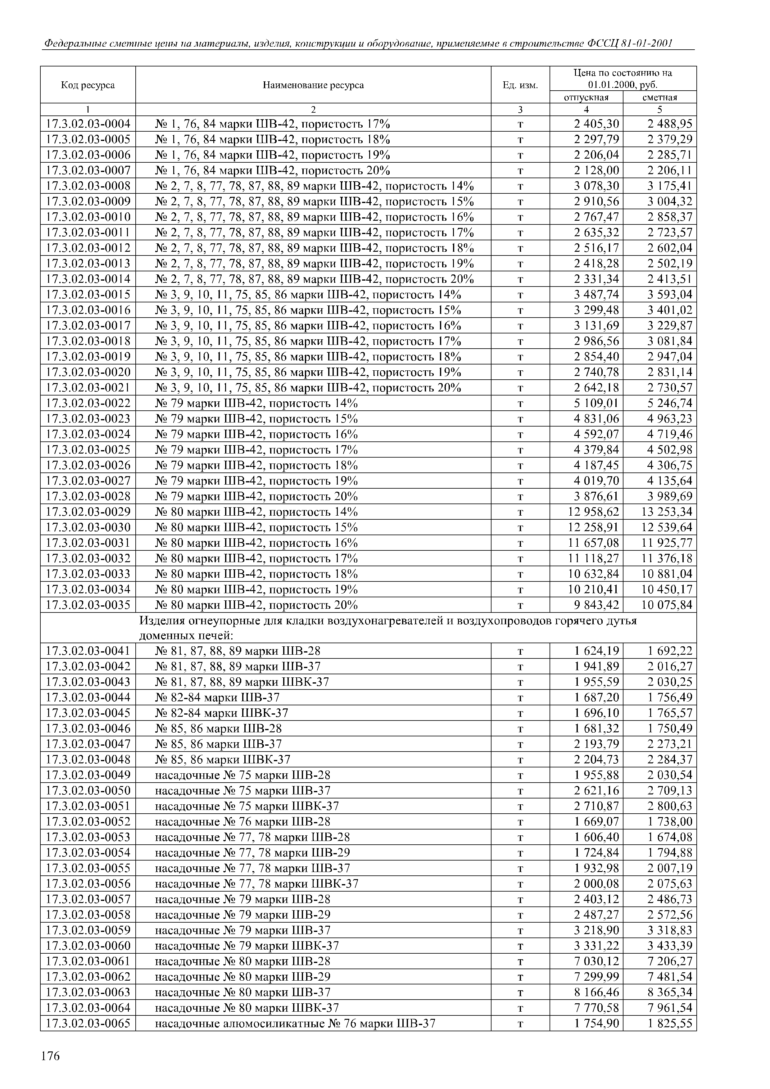
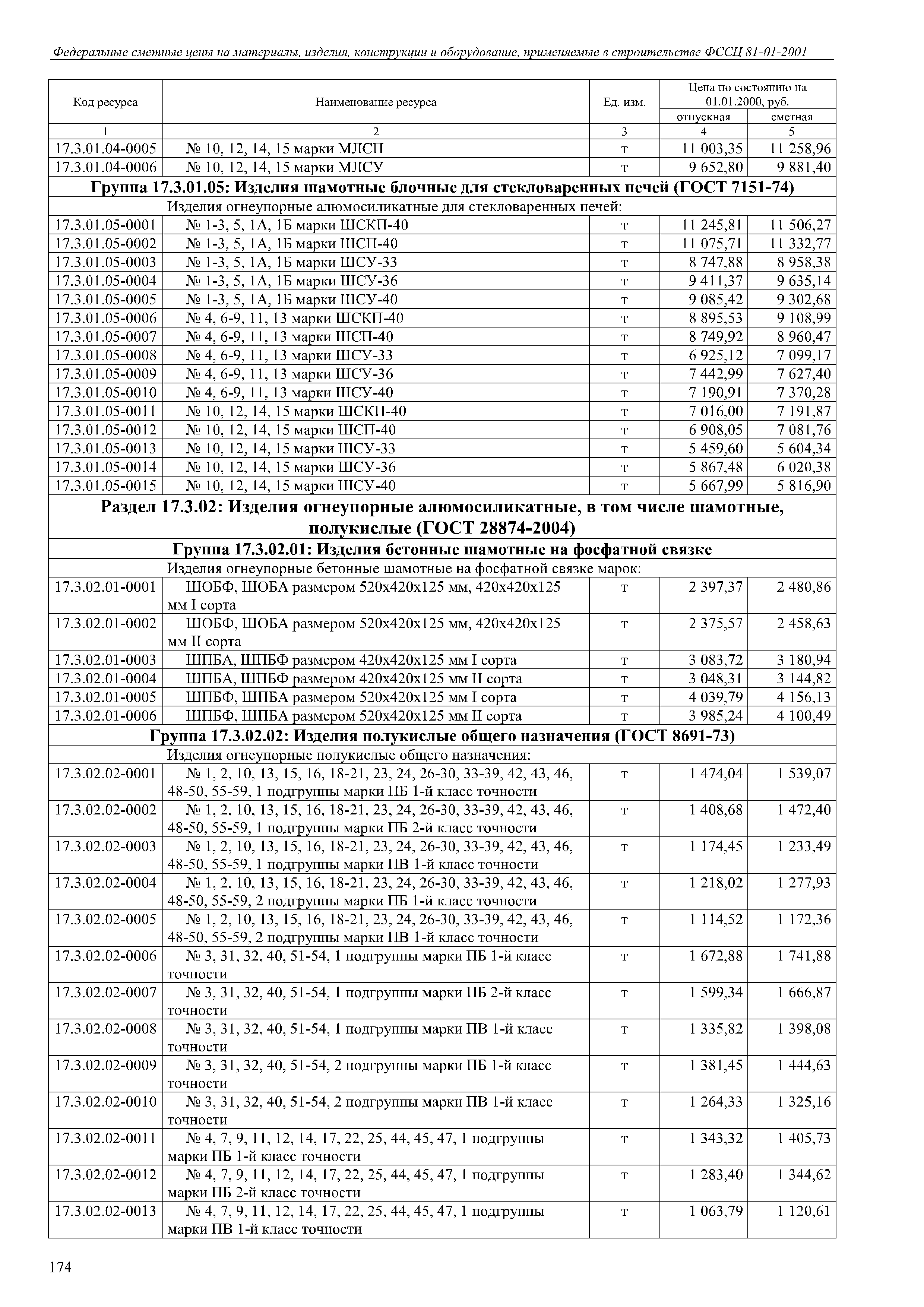
   Раздел 17.3.02: Изделия огнеупорные алюмосиликатные, в том числе шамотные, полукислые
   Раздел 17.3.03: Изделия огнеупорные карбидокремниевые, включая электронагреватели карбидокремниевые
   Раздел 17.3.04: Изделия огнеупорные магнезиальные, в том числе периклазовые, хромитовые, шпинельные, магнезиальносиликатные, магнезиальноизвестковые
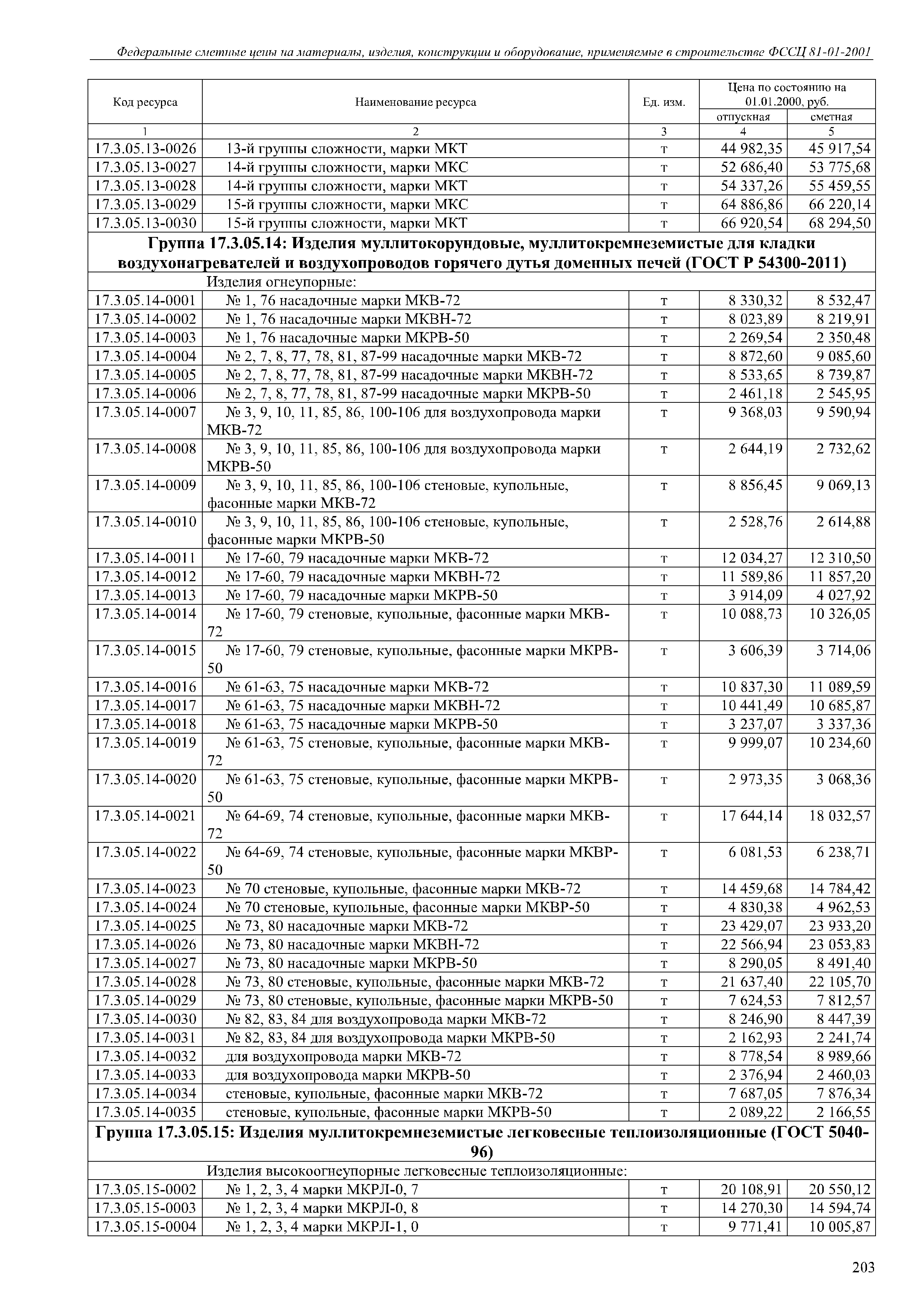
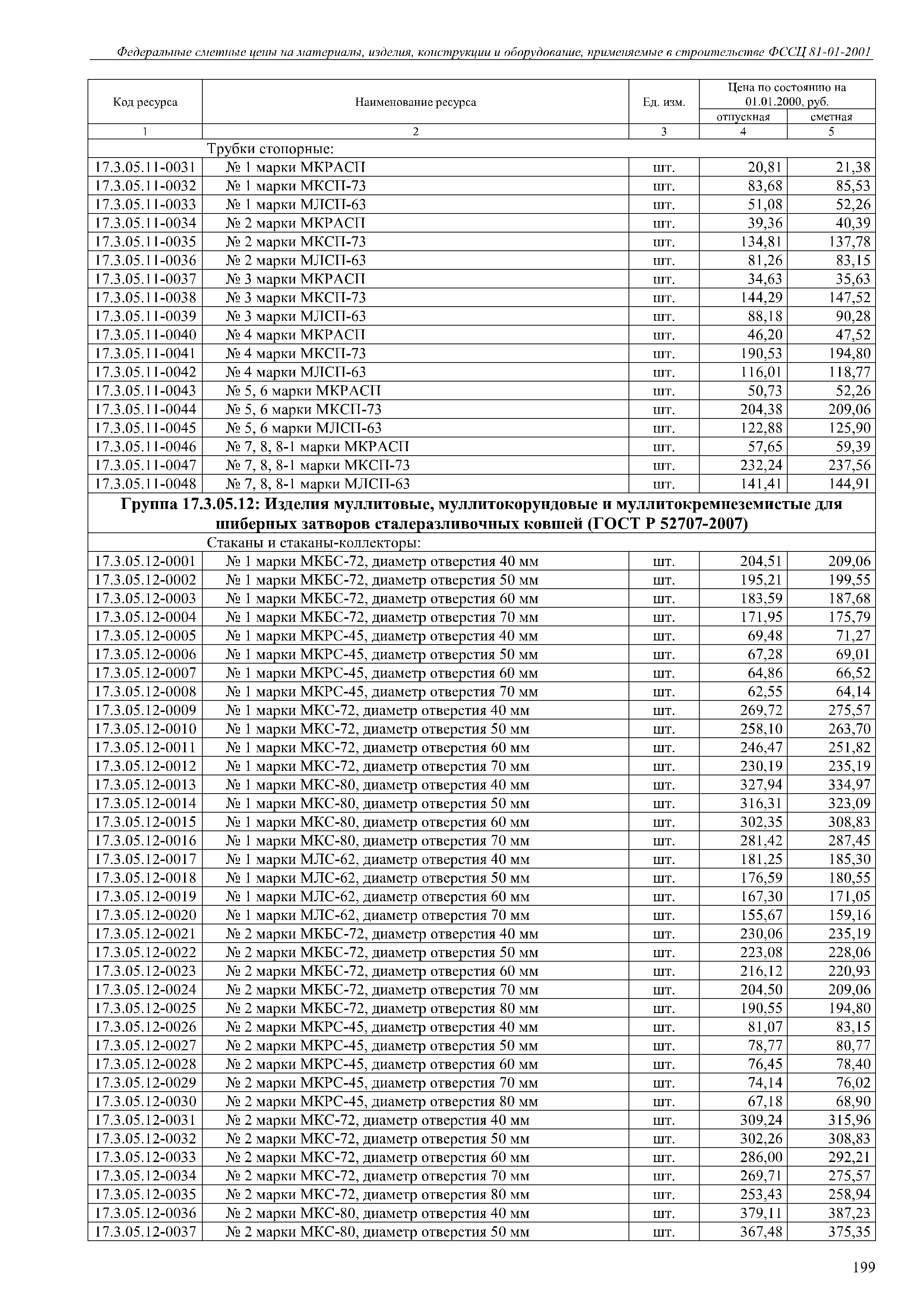
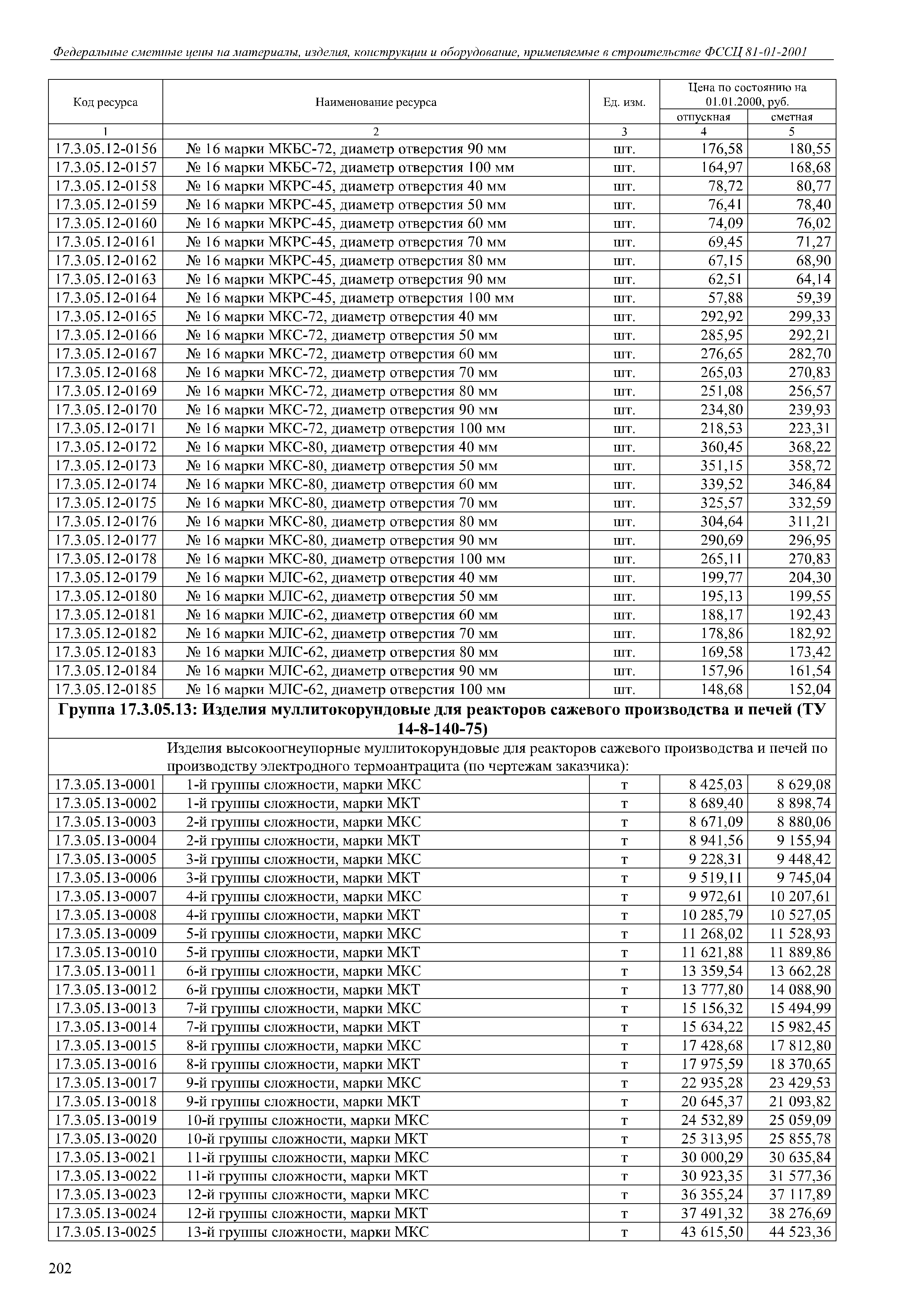
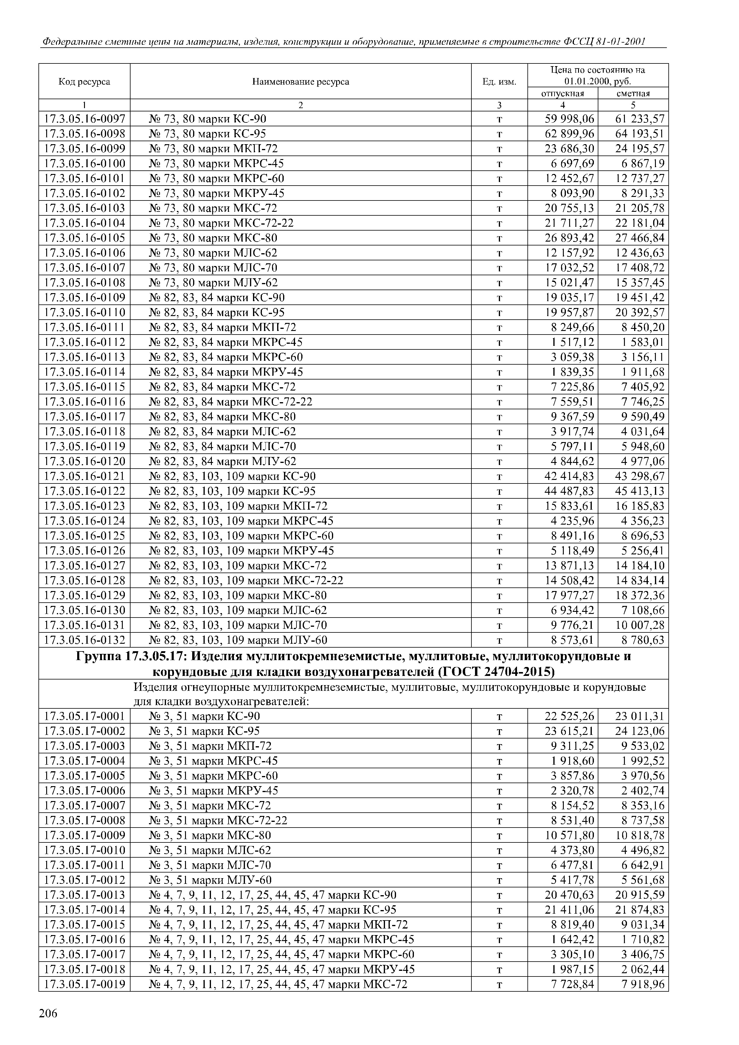
   Раздел 17.3.05: Изделия огнеупорные муллитокремнеземистые, муллитовые, муллитокорундовые и корундовые
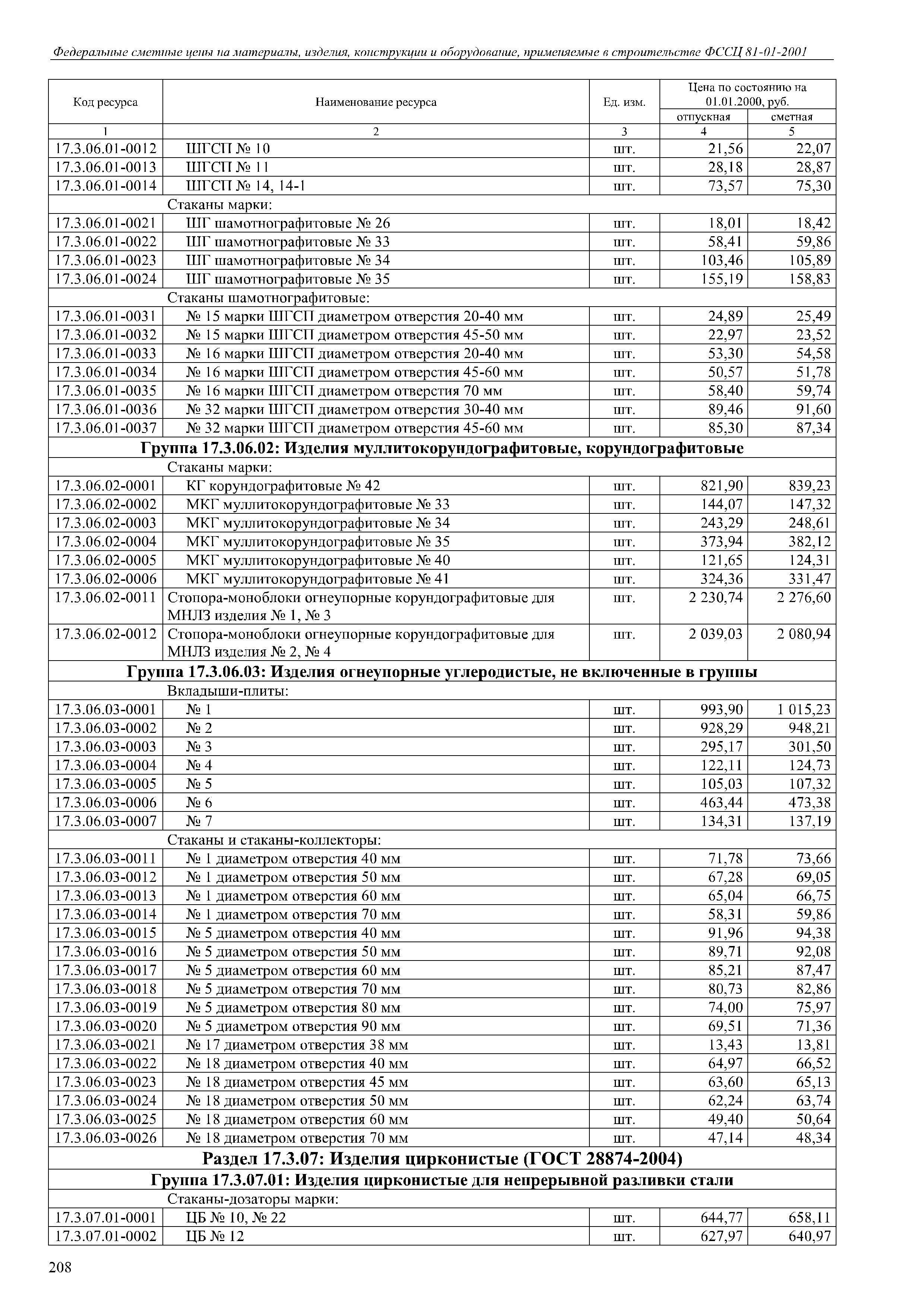
   Раздел 17.3.06: Изделия огнеупорные углеродистые, в том числе угольные и графитированные
   Раздел 17.3.07: Изделия цирконистые
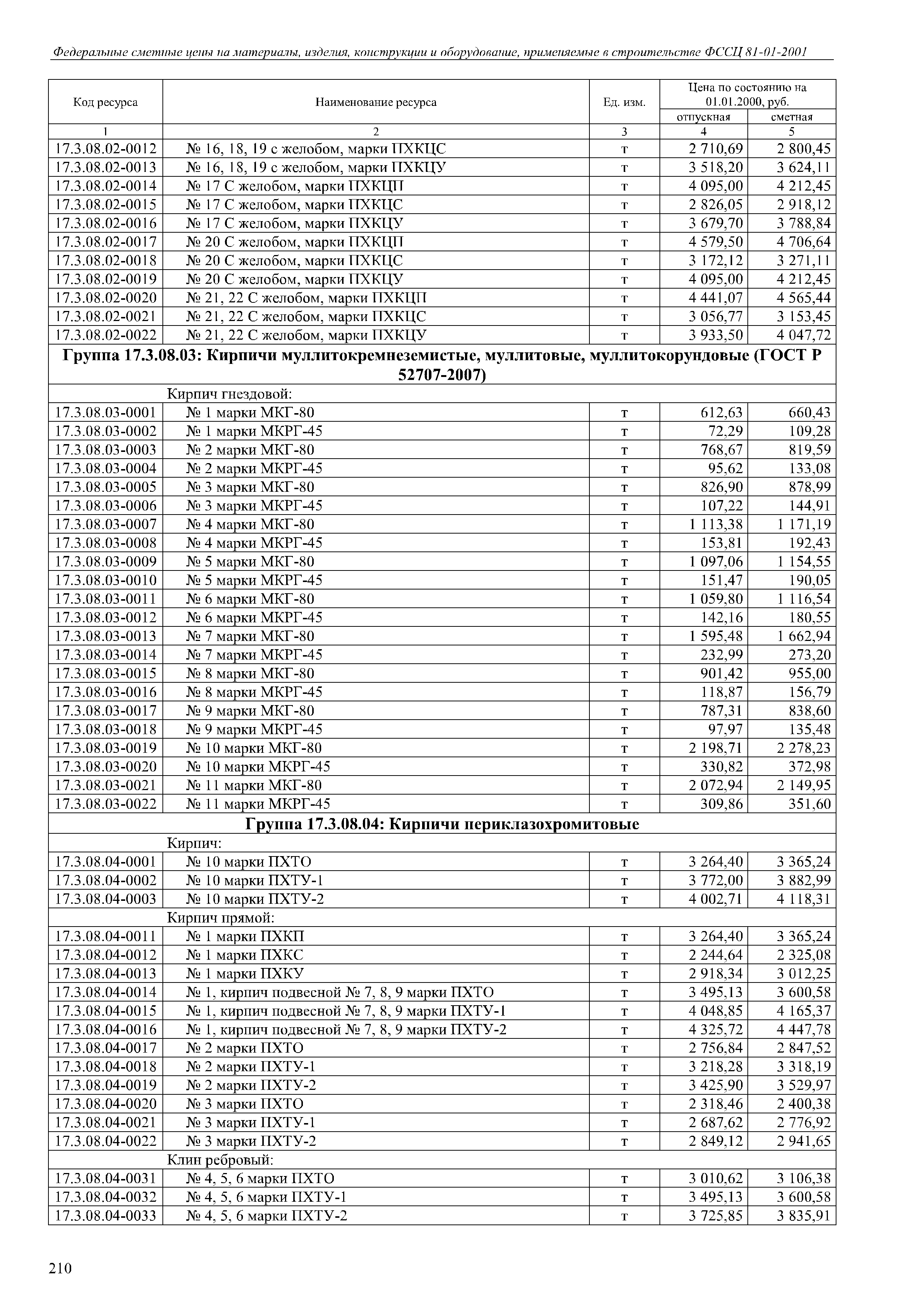
   Раздел 17.3.08: Кирпичи огнеупорные, кроме изделий из кремнеземистой каменной муки или диатомитовых земель
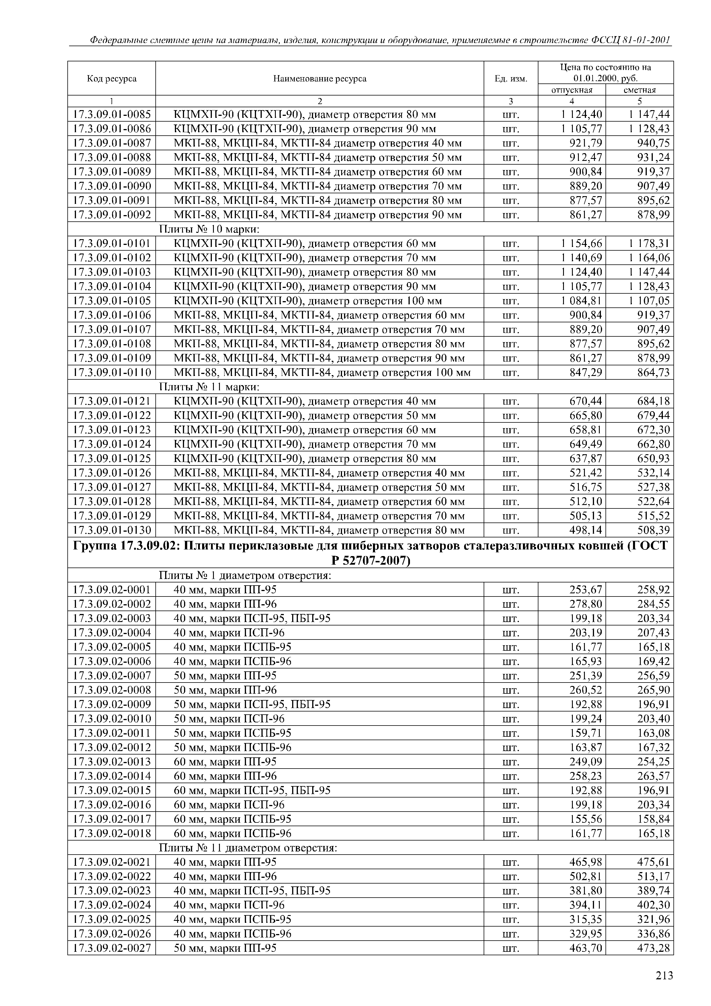
   Раздел 17.3.09: Плиты огнеупорные, кроме изделий из кремнеземистой каменной муки или диатомитовых земель
Часть 17.4: Цементы огнеупорные, растворы строительные, бетоны и аналогичные составы, не включенные в другие группировки
   Раздел 17.4.01: Бетоны огнеупорные
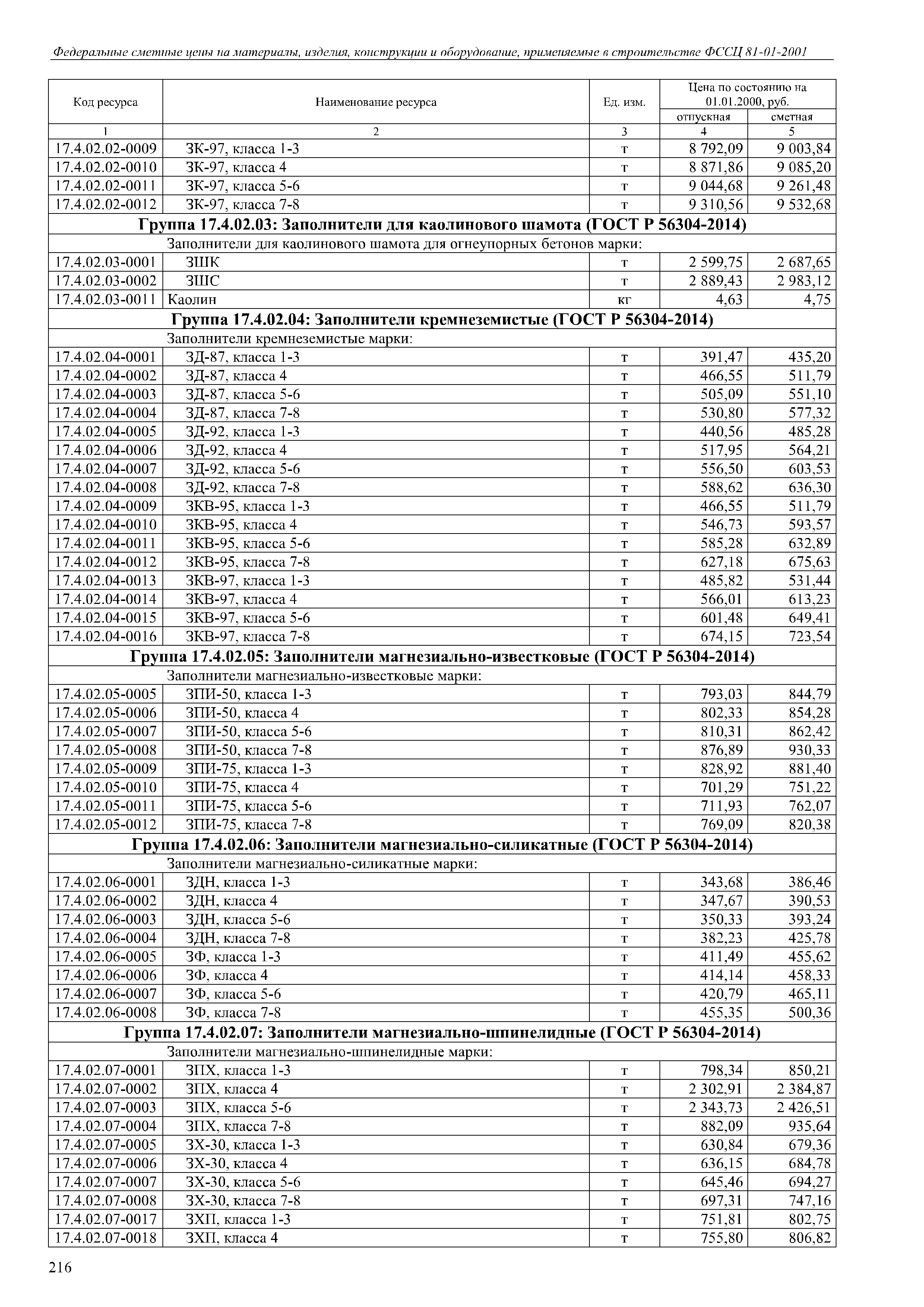
   Раздел 17.4.02: Заполнители огнеупорные
   Раздел 17.4.03: Мертели огнеупорные
   Раздел 17.4.04: Растворы и смеси строительные огнеупорные
   Раздел 17.4.05: Огнеупоры неформованные прочие
Утверждён:30.12.2016 Минстрой России (Russian Federation Minstroy 1039/пр)
Нормативные ссылки: