Скачать ГОСТ 1628-2019 Прутки бронзовые. Технические условия

Дата актуализации: 01.01.2021

ГОСТ 1628-2019

Прутки бронзовые. Технические условия

Обозначение: ГОСТ 1628-2019
Обозначение англ: GOST 1628-2019
Статус:взамен
Название рус.:Прутки бронзовые. Технические условия
Название англ.:Bronze rods. Specifications
Дата добавления в базу:01.02.2020
Дата актуализации:01.01.2021
Дата введения:01.12.2019
Область применения:Стандарт распространяется на тянутые прутки круглого, квадратного и шестигранного сечений и на прутки прессованные и горячекатаные круглого сечения из безоловянных бронз, применяемые в различных отраслях промышленности. Стандарт устанавливает сортамент, технические требования, правила приемки, методы контроля и испытаний, правила маркировки, упаковки, транспортирования и хранения прутков.
Оглавление:1 Область применения
2 Нормативные ссылки
3 Термины и определения
4 Сортамент
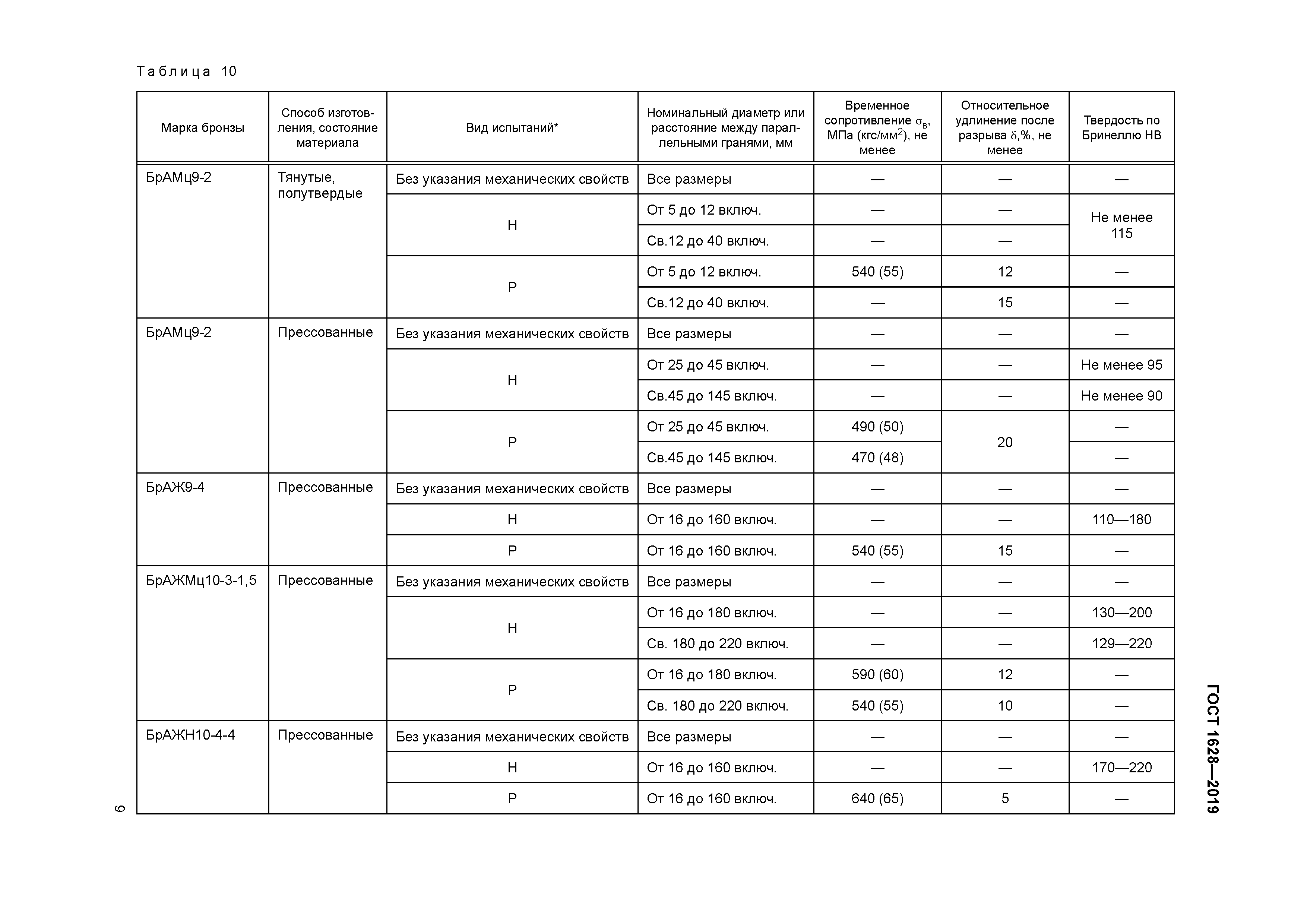
5 Технические требования
6 Правила приемки
7 Методы контроля и испытаний
8 Маркировка, упаковка, транспортирование и хранение
Приложение А (рекомендуемое) Теоретическая масса прутков
Приложение Б (справочное) Твердость по Бринеллю прутков из сплава марки БрКМц3-1
Приложение В (справочное) Удельное электрическое сопротивление прутков
Разработан: АО Институт Цветметобработка
Утверждён:29.03.2019 Межгосударственный Совет по стандартизации, метрологии и сертификации (Inter-Governmental Council on Standardization, Metrology, and Certification 117-П)
29.08.2019 Федеральное агентство по техническому регулированию и метрологии (554-ст)
Издан: Стандартинформ (2019 г. )
Заменяет собой:
Нормативные ссылки:
ГОСТ 1628-2019ГОСТ 1628-2019ГОСТ 1628-2019ГОСТ 1628-2019ГОСТ 1628-2019ГОСТ 1628-2019ГОСТ 1628-2019ГОСТ 1628-2019ГОСТ 1628-2019ГОСТ 1628-2019ГОСТ 1628-2019ГОСТ 1628-2019ГОСТ 1628-2019ГОСТ 1628-2019ГОСТ 1628-2019ГОСТ 1628-2019ГОСТ 1628-2019ГОСТ 1628-2019ГОСТ 1628-2019ГОСТ 1628-2019ГОСТ 1628-2019ГОСТ 1628-2019ГОСТ 1628-2019