Главная // Актуальные документы // Ведомость (форма)СПРАВКА
Источник публикации
М.: ФГБУ "РСТ", 2021
Примечание к документу
Документ
введен в действие с 01.01.2022.
Название документа
"ГОСТ 34747-2021. Межгосударственный стандарт. Техника сельскохозяйственная. Машины для подготовки семян. Методы испытаний"
(введен в действие Приказом Росстандарта от 31.08.2021 N 863-ст)
"ГОСТ 34747-2021. Межгосударственный стандарт. Техника сельскохозяйственная. Машины для подготовки семян. Методы испытаний"
(введен в действие Приказом Росстандарта от 31.08.2021 N 863-ст)
по техническому регулированию
и метрологии
от 31 августа 2021 г. N 863-ст
МЕЖГОСУДАРСТВЕННЫЙ СТАНДАРТ
ТЕХНИКА СЕЛЬСКОХОЗЯЙСТВЕННАЯ
МАШИНЫ ДЛЯ ПОДГОТОВКИ СЕМЯН
МЕТОДЫ ИСПЫТАНИЙ
Agricultural machinery. Seed preparation
machines. Test methods
ГОСТ 34747-2021
Дата введения
1 января 2022 года
Цели, основные принципы и общие правила проведения работ по межгосударственной стандартизации установлены
ГОСТ 1.0 "Межгосударственная система стандартизации. Основные положения" и
ГОСТ 1.2 "Межгосударственная система стандартизации. Стандарты межгосударственные, правила и рекомендации по межгосударственной стандартизации. Правила разработки, принятия, обновления и отмены"
1 РАЗРАБОТАН Новокубанским филиалом Федерального государственного бюджетного научного учреждения "Российский научно-исследовательский институт информации и технико-экономических исследований по инженерно-техническому обеспечению агропромышленного комплекса" (КубНИИТиМ)
2 ВНЕСЕН Федеральным агентством по техническому регулированию и метрологии
3 ПРИНЯТ Межгосударственным советом по стандартизации, метрологии и сертификации (протокол от 14 июля 2021 г. N 59)
За принятие проголосовали:
Краткое наименование страны по МК (ИСО 3166) 004-97 | Код страны по МК (ИСО 3166) 004-97 | Сокращенное наименование национального органа по стандартизации |
Армения | AM | ЗАО "Национальный орган по стандартизации и метрологии" Республики Армения |
Беларусь | BY | Госстандарт Республики Беларусь |
Казахстан | KZ | Госстандарт Республики Казахстан |
Киргизия | KG | Кыргызстандарт |
Россия | RU | Росстандарт |
Узбекистан | UZ | Узстандарт |
4
Приказом Федерального агентства по техническому регулированию и метрологии от 31 августа 2021 г. N 863-ст межгосударственный стандарт ГОСТ 34747-2021 введен в действие в качестве национального стандарта Российской Федерации с 1 января 2022 г.
5 ВВЕДЕН ВПЕРВЫЕ
Информация о введении в действие (прекращении действия) настоящего стандарта и изменений к нему на территории указанных выше государств публикуется в указателях национальных стандартов, издаваемых в этих государствах, а также в сети Интернет на сайтах соответствующих национальных органов по стандартизации.
В случае пересмотра, изменения или отмены настоящего стандарта соответствующая информация будет опубликована на официальном интернет-сайте Межгосударственного совета по стандартизации, метрологии и сертификации в каталоге "Межгосударственные стандарты"
Настоящий стандарт распространяется на комплекты оборудования, линии и машины для калибрования, шлифования, сегментирования, дражирования, протравливания, протравливания с инкрустацией, термического и электрофизического обеззараживания семенного материала (далее - машины) и устанавливает методы их испытаний.
В настоящем стандарте использованы нормативные ссылки на следующие межгосударственные стандарты:
ГОСТ 2.601 Единая система конструкторской документации. Эксплуатационные документы <*>
--------------------------------
ГОСТ 12.1.003 Система стандартов безопасности труда. Шум. Общие требования безопасности
ГОСТ 12.1.004 Система стандартов безопасности труда. Пожарная безопасность. Общие требования
ГОСТ 12.1.005 Система стандартов безопасности труда. Общие санитарно-гигиенические требования к воздуху рабочей зоны
ГОСТ 12.1.012 Система стандартов безопасности труда. Вибрационная безопасность. Общие требования
ГОСТ 12.2.002 Система стандартов безопасности труда. Техника сельскохозяйственная. Методы оценки безопасности
ГОСТ 12.2.003 Система стандартов безопасности труда. Оборудование производственное. Общие требования безопасности
ГОСТ 12.2.007.0 Система стандартов безопасности труда. Изделия электротехнические. Общие требования безопасности
ГОСТ 12.2.062 Система стандартов безопасности труда. Оборудование производственное. Ограждения защитные
ГОСТ 12.4.026 Система стандартов безопасности труда. Цвета сигнальные, знаки безопасности и разметка сигнальная. Назначение и правила применения. Общие технические требования и характеристики. Методы испытаний
ГОСТ 15.001 Система разработки и постановки продукции на производство. Продукция производственно-технического назначения <**>
--------------------------------
<**> В Российской Федерации действует
ГОСТ Р 15.301-2016 "Система разработки и постановки продукции на производство. Продукция производственно-технического назначения. Порядок разработки и постановки продукции на производство".
ГОСТ 27.002 Надежность в технике. Термины и определения
ГОСТ 33 Нефть и нефтепродукты. Прозрачные и непрозрачные жидкости. Определение кинематической и динамической вязкости
ГОСТ OIML R 76-1 Государственная система обеспечения единства измерений. Весы неавтоматического действия. Часть 1. Метрологические и технические требования. Испытания
ГОСТ 427 Линейки измерительные металлические. Технические условия
ГОСТ ISO 520 Зерновые и бобовые. Определение массы 1000 зерен
ГОСТ ISO 4254-1 Машины сельскохозяйственные. Требования безопасности. Часть 1. Общие требования <*>
--------------------------------
<*> В Российской Федерации действует
ГОСТ Р ИСО 4254-1-2011 "Машины сельскохозяйственные. Требования безопасности. Часть 1. Общие требования".
ГОСТ 5378 Угломеры с нониусом. Технические условия
ГОСТ 6651 Государственная система обеспечения единства измерений. Термопреобразователи сопротивления из платины, меди и никеля. Общие технические требования и методы испытаний
ГОСТ 10028 Вискозиметры капиллярные стеклянные. Технические условия
ГОСТ 10842 (ИСО 520-77) Зерно зерновых и бобовых культур и семена масличных культур. Метод определения массы 1000 зерен или 1000 семян
ГОСТ 12036 Семена сельскохозяйственных культур. Правила приемки и методы отбора проб
ГОСТ 12037 Семена сельскохозяйственных культур. Методы определения чистоты и отхода семян
ГОСТ 12038 Семена сельскохозяйственных культур. Методы определения всхожести
ГОСТ 12041 Семена сельскохозяйственных культур. Метод определения влажности
ГОСТ 12042 Семена сельскохозяйственных культур. Методы определения массы 1000 семян
ГОСТ 16504 Система государственных испытаний продукции. Испытания и контроль качества продукции. Основные термины и определения
ГОСТ 18481 Ареометры и цилиндры стеклянные. Общие технические условия
ГОСТ 20081 Семеноводческий процесс сельскохозяйственных культур. Основные понятия. Термины и определения
ГОСТ 20290 Семена сельскохозяйственных культур. Определение посевных качеств семян. Термины и определения
ГОСТ 20915 Испытания сельскохозяйственной техники. Методы определения условий испытаний
ГОСТ 21196 Влагомеры нейтронные. Общие технические требования
ГОСТ 21623 Система технического обслуживания и ремонта техники. Показатели для оценки ремонтопригодности. Термины и определения
ГОСТ 21786 Система "человек-машина". Сигнализаторы звуковые неречевых сообщений. Общие эргономические требования
ГОСТ 21820.0 Хлопок-сырец семенной и семена хлопчатника. Методы отбора проб
ГОСТ 21820.1 Семена хлопчатника. Метод определения всхожести
ГОСТ 21820.2 Семена хлопчатника. Метод определения влажности
ГОСТ 21820.3 Семена хлопчатника. Методы определения засоренности, механической поврежденности, остаточной волокнистости, остаточной опушенности и горелости
ГОСТ 22617.0 Семена сахарной свеклы. Правила приемки и методы отбора проб
ГОСТ 22617.1 Семена сахарной свеклы. Методы определения чистоты, отхода семян, выравненности по размерам, односемянности
ГОСТ 22617.2 Семена сахарной свеклы. Методы определения всхожести, одноростковости и доброкачественности
ГОСТ 22617.3 Семена сахарной свеклы. Метод определения влажности
ГОСТ 22617.4 Семена свеклы. Методы определения массы 1000 семян и массы одной посевной единицы
ГОСТ 23932 Посуда и оборудование лабораторные стеклянные. Общие технические условия
ГОСТ 24055 Техника сельскохозяйственная. Методы эксплуатационно-технологической оценки
ГОСТ 25866 Эксплуатация техники. Термины и определения
ГОСТ 26025 Машины и тракторы сельскохозяйственные и лесные. Методы измерения конструктивных параметров
ГОСТ 26026 Машины и тракторы сельскохозяйственные и лесные. Методы оценки приспособленности к техническому обслуживанию
ГОСТ 26336 Тракторы, машины для сельского и лесного хозяйства, самоходные механизмы для газонов и садов. Условные обозначения (символы) элементов систем управления, обслуживания и отображения информации <*>
--------------------------------
<*> В Российской Федерации действует ГОСТ 26336-84 (ИСО 3767-1-82, ИСО 3767-2-82, ИСО 3767-3-88) "Тракторы и сельскохозяйственные машины, механизированное газонное и садовое оборудование. Система символов для обозначения органов управления и средств отображения информации. Символы".
ГОСТ 27388 Эксплуатационные документы сельскохозяйственной техники
ГОСТ 28305 Машины и тракторы сельскохозяйственные и лесные. Правила приемки на испытания
ГОСТ 28498 Термометры жидкостные стеклянные. Общие технические требования. Методы испытаний
ГОСТ 30025 Семена эфиромасличных культур. Метод определения чистоты и отхода семян
ГОСТ 30556 Семена эфиромасличных культур. Методы определения всхожести
ГОСТ 33738 Машины сельскохозяйственные и лесохозяйственные с электроприводом. Общие требования безопасности
ГОСТ 34393 Техника сельскохозяйственная. Методы экономической оценки
Примечание - При пользовании настоящим стандартом целесообразно проверить действие ссылочных стандартов на официальном интернет-сайте Межгосударственного совета по стандартизации, метрологии и сертификации (www.easc.by) или по указателям национальных стандартов, издаваемым в государствах, указанных в
предисловии, или на официальных сайтах соответствующих национальных органов по стандартизации. Если на документ дана недатированная ссылка, то следует использовать документ, действующий на текущий момент, с учетом всех внесенных в него изменений. Если заменен ссылочный документ, на который дана датированная ссылка, то следует использовать указанную версию этого документа. Если после принятия настоящего стандарта в ссылочный документ, на который дана датированная ссылка, внесено изменение, затрагивающее положение, на которое дана ссылка, то это положение применяется без учета данного изменения. Если ссылочный документ отменен без замены, то положение, в котором дана ссылка на него, применяется в части, не затрагивающей эту ссылку.
3.1 сегментирование семян: Механическое расчленение многоростковых семян на сегменты, содержащие весь комплекс органов (оболочку, ядро, зародыш).
3.2 шлифование семян: Процесс поверхностной обработки оболочки семян с целью придания им точных размеров, правильной геометрической формы и однородности.
3.3 электрофизическое обеззараживание посевного (посадочного) материала: Полное или частичное освобождение посевного (посадочного) материала от патогенных микроорганизмов методом электрической обработки.
3.4
чистота семян: Содержание семян основной культуры в исследуемом образце. |
3.5
энергия прорастания семян: Способность семян быстро и дружно прорастать. |
3.6
всхожесть семян: Способность семян образовывать нормально развитые проростки. |
3.7
влажность семян: Содержание гигроскопической воды в семенах. |
3.8 выравненность фракций: Однородность материала по массе и размерам в пределах определенной фракции, выраженная в процентах.
3.9 дражировочная масса: Вязкая питательная масса, состоящая из клеящего вещества питательных элементов микро- и макроудобрений, стимуляторов роста, и предназначенная для обволакивания семян.
3.10 угол естественного откоса семян: Угол откоса, образованный свободно насыпанными семенами с горизонтальной поверхностью.
4.1 Цели, задачи и виды испытаний - по
ГОСТ 15.001, а также по стандартам, действующим в государствах - участниках Соглашения, принявших настоящий стандарт.
4.2 Порядок представления машин на испытания, оформление результатов приемки - в соответствии с ГОСТ 28305, а также в соответствии со стандартами, действующими в государствах - участниках Соглашения, принявших настоящий стандарт.
Эксплуатационные документы, представляемые с машиной, должны соответствовать ГОСТ 27388,
ГОСТ 2.601 и содержать рекомендации по оптимальной настройке и регулировке машины.
4.3 При приемке машины на испытания проводят предварительную оценку безопасности конструкции и делают заключение о возможности допуска к проведению испытаний.
При всех видах испытаний должен быть составлен и утвержден акт предварительной оценки безопасности конструкции и дано заключение о возможности допуска машины к испытаниям.
4.4 Машину представляют на испытания не позднее, чем за 15 дней до наступления агротехнического срока.
Типовая программа испытаний машин включает виды оценок в соответствии с
таблицей 1.
Таблица 1
Виды оценок при испытании машин для подготовки семян
Вид оценки | Вид испытаний |
Приемочные | | | |
1 Технических параметров (техническая экспертиза) | + | + | + | + |
2 Агротехническая | + | - | + | - |
3 Оценка электропривода | + | + | + | + |
4 Безопасности и эргономичности конструкции | + | + | + | + |
5 Эксплуатационно-технологическая | + | + | + | + |
6 Надежности | + | + | + | + |
7 Экономическая | + | - | + | - |
<*> Проводят в соответствии с 4.5. <**> Проводят в соответствии с 4.6. Примечание - Знак "+" означает, что оценка проводится, знак "-" - не проводится. |
4.5 При квалификационных и периодических испытаниях оценку безопасности и эргономичности конструкции (на соответствие
разделу 9) проводят в случае отсутствия сертификата соответствия, выданного аккредитованным органом по сертификации.
4.6 Типовые испытания машин проводят по специальной программе, разработанной заказчиком, включающей виды оценок, на которые повлияли изменения конструкции изделия.
4.7 Приемочные испытания машин проводят в сравнении с аналогом для региона испытаний в идентичных условиях при условии его наличия по месту проведения испытаний. В случае отсутствия аналога приемочные испытания проводят в сравнении с требованиями и показателями, приведенными в техническом задании (далее - ТЗ).
4.8 Применяемые средства измерений должны быть поверены и калиброваны до начала испытаний в соответствии с правилами, действующими в государствах - участниках Соглашения, принявших настоящий стандарт.
4.9 Нестандартные и единичные средства измерений, испытательное оборудование подлежат аттестации, проводимой в установленном порядке.
5 Подготовка к испытаниям
5.1 Перед началом испытаний на основании типовой программы составляют рабочую программу-методику испытаний, в которой указывают с учетом требований заказчика и особенностей конкретного образца перечень видов оценок и определяемых показателей по каждому виду оценки, режимы, условия, место испытаний, наименования средств измерений и оборудования, применяемых при испытании.
5.2 При подготовке машины к испытаниям необходимо соблюдать следующие требования:
- машина должна соответствовать требованиям безопасности;
- до начала испытаний машина должна быть обкатана и отрегулирована в соответствии с руководством по эксплуатации;
- техническое состояние машины должно соответствовать требованиям ТЗ, технических условий (далее - ТУ) и руководства по эксплуатации.
5.3 Параметры, характеризующие условия работы машины при испытаниях, должны находиться в пределах, соответствующих ТЗ (ТУ) на испытуемую машину.
5.4 Перед проведением испытаний проводят обучение или инструктаж персонала по вопросам устройства и безопасной эксплуатации машины.
6 Методы оценки технических параметров
6.1 Оценку технических параметров машин проводят по стандартам, действующим в государствах - участниках Соглашения, принявших настоящий стандарт.
6.2 Определение габаритных размеров и массы проводят по ГОСТ 26025.
6.3 Перечень технических параметров, характеризующих конструкцию машины, приведен в
форме А.1.
7 Методы агротехнической оценки
7.1 Номенклатура определяемых показателей
Номенклатура показателей условий испытаний и качества выполнения технологического процесса, определяемых при агротехнической и эксплуатационно-технологической оценках машин для подготовки семян, приведена в
формах А.2 -
А.15.
7.2 Требования к условиям испытаний
7.2.1 Определение агротехнических показателей машин для подготовки семян проводят в агротехнические сроки на материале, соответствующем ТЗ (ТУ) на испытуемую машину. При отсутствии в зоне требуемого фона испытания проводят в реально сложившихся условиях по согласованию с заказчиком.
7.2.2 Испытания машин проводят на культурах, для которых они предназначены (для универсальных - не менее чем на двух культурах).
7.2.3 Посевной материал, предназначенный для обработки, должен соответствовать требованиям стандартов на посевные качества семян.
7.2.4 Препараты для обработки посевного материала должны поставляться с паспортом качества и в целых упаковках.
7.2.5 Фракционный состав компонентов дражировочной массы должен соответствовать ТЗ (ТУ). При несоответствии фракций необходимо проводить просеивание компонентов через набор решет размером в соответствии с фракционным составом по ТЗ (ТУ).
7.2.6 При испытании линий показатели качества посевного материала предыдущей машины являются показателями качества исходного материала последующей машины.
7.3 Определение показателей условий испытаний
7.3.1 Для определения характеристики посевного материала, перед началом испытаний, из общей массы семенного материала отбирают среднюю пробу: для семян - по
ГОСТ 12037,
ГОСТ 12036, для семян сахарной свеклы - по ГОСТ 22617.0, для семян хлопчатника - по ГОСТ 21820.0.
7.3.2 Наименование культуры, сорта, протравителя семян определяют по паспортным данным.
7.3.3 Влажность семян сахарной свеклы определяют по ГОСТ 22617.3, семян хлопчатника - по ГОСТ 21820.2, семян других культур - по
ГОСТ 12041.
7.3.4 Чистоту и дробление (повреждение) семян, количество семян сорных растений (при дражировании) определяют по
ГОСТ 12037, ГОСТ 22617.1, ГОСТ 21820.3 и
ГОСТ 30025.
7.3.6 Всхожесть и энергию прорастания семян сахарной свеклы определяют по ГОСТ 22617.2, хлопчатника - по ГОСТ 21820.1, эфиромасличных культур - по
ГОСТ 30556, семян других культур -
ГОСТ 12038.
7.3.7 Ростковость определяют по ГОСТ 22617.2 для односемянных и сегментированных семян сахарной свеклы. Результаты записывают в
форму Б.1 и вычисляют количественную долю семян с одним, двумя и т.д. проростками с округлением до целого числа.
7.3.8 Фракцию семян, выравненность фракции (сахарной свеклы) определяют по ГОСТ 22617.1, по другим культурам отбирают среднюю пробу по
ГОСТ 12036, из средней пробы выделяют три навески массой не менее 500 г каждая и просеивают на решетах с размером отверстий в зависимости от размера фракции. При просеивании вручную решето с навеской зерна помещают на стол с ровной гладкой поверхностью или стеклом и проводят просеивание без встряхивания круговыми движениями для зернобобовых культур, кукурузы и гречихи и продольно-возвратными движениями по направлению длины продольных отверстий для остальных культур.
Размах колебаний решет около 10 см. Продолжительность просеивания для бобовых культур - 1 мин, для остальных культур - 3 мин при 110 - 120 движениях в минуту.
Просеивание механизированным способом проводят в соответствии с прилагаемым руководством к лабораторному рассеву.
После просеивания определяют массу семян, оставшихся на решете, с погрешностью +/- 0,02 г.
Методика определения степени забиваемости решет приведена в приложении В. Результаты записывают в
форму Б.2.
В результате обработки данных вычисляют массовую долю соответствующей фракции от общей массы навески. Выравненность фракции вычисляют как среднеарифметическое результатов анализа трех навесок. Вычисление проводят с округлением до целого числа.
7.3.9 Число драже без семян в каждой пробе определяют одновременно со всхожестью
7.3.6 и ростковостью семян
7.3.7. Результаты записывают в
форму Б.1 и вычисляют количественную долю драже без семян с округлением до целого числа.
7.3.10 Для определения угла естественного откоса семян из исходного материала отбирают три пробы массой не менее 1 кг каждая. Семена просыпают через воронку, закрепленную на штативе на высоте 0,5 м от поверхности. Полученный угол естественного откоса измеряют угломером с погрешностью +/- 1°. Результаты записывают в
форму Б.3 и вычисляют среднеарифметическое значение с округлением до целого числа.
7.3.11 Содержание компонентов дражировочной массы, пленкообразующего вещества и рабочей жидкости, наименование протравителя семян, содержание действующего вещества определяют по паспортным данным соответствующего препарата.
7.3.12 Для расчета динамической вязкости жидкости определяют плотность и кинематическую вязкость. Плотность рабочей жидкости определяют весовым методом при рабочей температуре в трехкратной повторности. Для этого в пикнометр вместимостью 100 см
3 наливают рабочую жидкость и определяют массу с погрешностью +/- 0,1 г. Результаты записывают в
форму Б.4.
Плотность рабочей жидкости

, г/см
3, вычисляют по формуле

, (1)
где mобщ - масса пикнометра с рабочей жидкостью, г;
mп - масса пикнометра, г;
Vп - объем рабочей жидкости (вместимость пикнометра), см3.
Плотность жидкости может быть определена экспресс-методом с помощью ареометра (денсиметра), для чего в цилиндр с отобранной жидкостью погружают ареометр (денсиметр) и проводят отсчет показаний плотности по верхнему мениску жидкости.
Температуру рабочей жидкости измеряют термометром с погрешностью +/- 0,1 °C.
Результаты записывают в
форму Б.4 и вычисляют среднеарифметическое значение с округлением до первого десятичного знака. Плотность рабочей жидкости определяют при той же температуре, при которой определяется вязкость.
Кинематическую вязкость рабочей жидкости

, мм
2/с, определяют по
ГОСТ 33 при рабочей температуре и вычисляют по формуле

, (2)
где c - постоянная вискозиметра, мм2/с2;

- среднеарифметическое значение времени истечения рабочей жидкости в вискозиметре, с.
Затем в соответствии с
ГОСТ 33 вычисляют динамическую вязкость

, МПа·с, по формуле

. (3)
Результаты записывают в
форму Б.5 и вычисляют среднеарифметическое значение с округлением до первого десятичного знака.
7.3.13 Температуру атмосферного воздуха и относительную влажность измеряют в день испытаний в начале, середине и в конце рабочего дня по
ГОСТ 20915.
Результаты записывают в
форму Б.6 и вычисляют среднеарифметическое значение с округлением до целого числа.
7.3.14 Показатели условий проведения испытаний после соответствующей обработки записывают в
формы А.2 -
А.8.
7.4 Определение показателей качества выполнения технологического процесса
7.4.1 Определение режимов работы
7.4.1.1 До определения показателей качества выполнения технологического процесса машина должна быть обкатана и отрегулирована согласно руководству по эксплуатации и проработать в условиях эксплуатации не менее двух смен (8 - 10 ч) с целью притирки рабочих органов и надежности соединений.
Не допускается проводить регулировку машины во время определения показателей качества выполнения технологического процесса.
7.4.1.2 С целью определения режима работы машины проводят регулировочные опыты. Машину регулируют согласно руководству по эксплуатации и включают в работу при производительности, близкой к номинальной.
7.4.1.3 Соответствие регулировок заданному режиму проверяют отбором не менее трех регулировочных проб.
По массе проб семян проверяют настройку машины на заданную подачу семян определением массы семян за единицу времени, измерением расхода рабочей жидкости (компонентов дражировочной массы) и проверяют регулировку дозирующего устройства.
Фактическая подача семян и расход жидкости (компонентов) не должны отклоняться от заданной на величину, более допустимой в ТЗ (ТУ).
7.4.1.4 Оценку качества выполнения технологического процесса проводят на двух подачах:
- номинальной, указанной в ТЗ (ТУ);
- максимальной, при которой выполняется технологический процесс (на 20% - 30% выше номинальной).
7.4.1.5 Подачу посевного материала определяют при установившемся режиме работы машины. Во время опыта по сигналу отбирают пробы непосредственно при поступлении обрабатываемого материала на рабочие органы (решета, диски, шнеки и т.д.).
Повторность отбора проб за опыт десятикратная (через равные промежутки времени). Продолжительность повторности опыта для машины с производительностью до 10 т/ч - 1 мин, более 10 т/ч - 0,5 мин. Подачу определяют по массе выходов посевных фракций и отходов за опыт.
Пробу взвешивают с погрешностью +/- 1%, продолжительность отбора проб измеряют секундомером с погрешностью +/- 1 с.
Результаты записывают в
форму Б.7 и обрабатывают статистическим методом с округлением результатов до первого десятичного знака.
Подачу посевного материала W, кг/с, вычисляют по формуле

(4)
где Mi - масса семян посевной i-й фракции за опыт, кг;
Mотх - масса отходов за опыт, кг;
t - продолжительность повторности опыта, с;
n - число фракций.
Неравномерность подачи посевного материала характеризуют коэффициентом вариации и определяют в том случае, если конструкция машины имеет самостоятельное независимое устройство, позволяющее регулировать эту подачу.
7.4.1.6 Подачу компонентов дражировочной массы, пленкообразующего вещества, рабочей жидкости, порошковидного протравителя семян определяют по массе препарата компонентов, поступающих в камеру протравливания (дражирования, инкрустации) в единицу времени. Для определения подачи в течение опорожнения емкости отбирают не менее 10 проб через равные промежутки времени. Продолжительность отбора пробы - не менее 30 с. Пробы взвешивают с погрешностью +/- 1 г. Результаты записывают в
форму Б.8 и обрабатывают статистическим методом с округлением результатов до целого числа.
По результатам статистической обработки определяют подачу и неравномерность подачи, которую характеризует коэффициент вариации.
7.4.1.7 Расхождения между повторностями и измерениями по всем показателям качества выполнения технологического процесса не должны превышать 5%, а по химанализам - 1%. Если эта величина превышает допустимое значение, то количество их увеличивают до получения требуемого значения.
7.4.2 Определение показателей качества выполнения технологического процесса машинами для калибрования посевного материала
7.4.2.1 Для определения качества обработанного материала и потерь полноценных семян в отходы на каждом режиме отбирают не менее трех средних проб. Масса средней пробы семян должна быть не менее 1200 г, отходов - не менее 2 кг.
Для получения средних проб в течение повторности опыта через равные промежутки времени трижды отбирают пробы в одни и те же емкости. Отбор проб проводят по сигналу одновременно со всех выходов. Средние пробы с этикетками по
форме Б.9 отправляют на анализ.
7.4.2.2 Выход фракции посевного материала

, %, вычисляют по данным
7.4.1.5 и
формы Б.7 с округлением до первого десятичного знака по формуле

(5)
7.4.2.3 Выравненность фракций семян определяют согласно
7.3.8.
7.4.2.4 Дробление (повреждение) семян определяют согласно
7.3.4. Из выделенных навесок по выходам определяют массу семян, в том числе дробленых (поврежденных). Результаты записывают в
форму Б.10.
Дробление (повреждение) семян машиной Д, %, вычисляют с округлением до первого десятичного знака по формуле

, (6)
где hi - масса дробленых семян в навеске i-й фракции или отходов, г;
Дисх - содержание дробленых семян в исходном материале, %.
7.4.2.5 Всхожесть, энергию прорастания, массу 1000 семян определяют согласно
7.3.5 и
7.3.6 по каждой фракции семян.
7.4.2.6 Потери полноценных семян в отходы П
с, %, вычисляют с округлением до первого десятичного знака по формуле

, (7)
где P1, ..., Pi, Pотх - выход фракций и отходов, %;
h1, ..., hi, hотх - массовая доля содержания полноценных семян в выходах фракций и в отходах, %.
7.4.2.7 Показатели качества выполнения технологического процесса после соответствующей обработки записывают в
форму А.9.
7.4.3 Определение показателей качества выполнения технологического процесса машинами для шлифования семян
7.4.3.1 Отбор средних проб, выход посевных фракций, выравненность фракций, дробление семян определяют согласно
7.4.2.1 -
7.4.2.4.
7.4.3.2 Всхожесть, энергию прорастания, массу 1000 семян определяют согласно
7.3.5 и
7.3.6.
7.4.3.3 Потери полноценных семян в отходах определяют согласно
7.4.2.6.
7.4.3.4 Качество шлифования семян Cш, %, вычисляют по формуле

, (8)
где A2 - масса 1000 шлифованных семян, г;
A1 - масса 1000 семян исходного материала, г.
Вычисления проводят до второго десятичного знака с последующим округлением до первого десятичного знака.
7.4.3.5 Угол естественного откоса шлифованных семян определяют согласно
7.3.10.
7.4.3.6 Показатели качества выполнения технологического процесса после соответствующей обработки записывают в
форму А.10.
7.4.4 Определение показателей качества выполнения технологического процесса машинами для сегментирования семян
7.4.4.1 Для определения качества семян в процессе работы машины должны быть отобраны пробы по выходам согласно
7.4.2.1.
7.4.4.2 Выход посевной фракции и выравненность фракции сегментированных семян сахарной свеклы определяют согласно
7.4.2.2 и
7.3.8.
7.4.4.3 Массу 1000 семян, всхожесть, энергию прорастания, ростковость определяют в соответствии с
7.3.5,
7.3.6 и
7.3.7.
7.4.4.4 Потери полноценных семян в отходы определяют согласно
7.4.2.6.
7.4.4.5 Угол естественного откоса сегментированных семян определяют согласно
7.3.10.
7.4.4.6 Показатели качества выполнения технологического процесса после соответствующей обработки записывают в
форму А.11.
7.4.5 Определение показателей качества выполнения технологического процесса машинами для дражирования семян
7.4.5.1 Посевные качества дражированных семян определяют на выходе готовых посевных фракций.
При испытании параллельных линий допускается определять качество семян по одной линии.
7.4.5.2 Всхожесть дражированных семян, энергию прорастания определяют по ГОСТ 22617.2 и
ГОСТ 12038. Массу 1000 семян - по
ГОСТ 12042.
7.4.5.3 Дробление (повреждение) семян определяют согласно
7.4.2.4. Показатель определяют до сушки и после сушки семян.
7.4.5.4 Влажность дражированных семян определяют по ГОСТ 22617.3 и
ГОСТ 12041 до и после сушки.
7.4.5.5 Количественную долю драже без семян, с одним, двумя и более семенами определяют одновременно с ростковостью и всхожестью согласно
7.3.9.
7.4.5.6 Выход посевных фракций определяют согласно
7.4.2.2 по массе семян, учтенных за повторность опыта с каждого выхода согласно
7.4.1.5.
7.4.5.7 Выравненность посевных фракций определяют согласно
7.3.8.
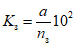
7.4.5.8 Коэффициент соотношения в драже семян и дражировочной массы Kд вычисляют по формуле

, (9)
где Aд - масса 1000 семян после дражирования, г;
A - масса 1000 семян исходного материала (до дражирования), г.
7.4.5.9 Для определения прочности драже на раздавливание и угла естественного откоса дражированных семян пробы отбирают после сушки семян. Для определения прочности драже на раздавливание из дражированных семян отбирают среднюю пробу массой не менее 500 г. Из средней пробы отсчитывают 100 дражированных семян (без выбора), создают нагрузку на каждое семя до начала раскалывания драже.
По показаниям прибора устанавливают пределы статической нагрузки на раздавливание драже. Результаты записывают в
форму Б.11 и вычисляют среднеарифметическое значение с округлением до целого числа.
Угол естественного откоса дражированных семян определяют в соответствии с
7.3.10.
7.4.5.10 Повреждение драже определяют при испытании линий до протравливания дражированных семян. Из проб, отобранных для определения прочности драже на раздавливание, согласно
7.4.5.9 выделяют целые драже и поврежденные. Результаты записывают в
форму Б.12 и вычисляют массовую долю поврежденных драже до первого десятичного знака.
7.4.5.11 Температуру агента сушки и отклонение температуры агента сушки от ее средней величины определяют следующим образом.
В период опыта температуру агента сушки измеряют через каждые 5 - 10 мин (но не менее шести замеров), используя термометры, термопреобразователи сопротивления, которые пропускают через резиновую или корковую пробку, чтобы удержать их от выпадения. При высокой температуре агента сушки применяют асбестовую прокладку. При установке ртутных термометров необходимо соблюдать следующие условия: термометры должны располагаться вертикально (по шкале) - допускается отклонение от вертикали на (20 - 30)°, а ртутный шарик должен находиться в точке среднеарифметического значения температурного поля потока, температуру которого измеряют. Место установки термометра должно быть удобным для наблюдения - глаз наблюдателя при снятии показаний должен находиться на уровне мениска ртутного столбика.
Цена деления термометра со шкалой до 300 °C не должна превышать 2 °C, а со шкалой выше 300 °C - не более 5 °C. При диаметре трубопровода свыше 300 мм температуру измеряют в двух взаимно перпендикулярных плоскостях (не менее трех измерений), затем определяют среднеарифметическое значение.
При наличии разветвляющихся воздуховодов температуру измеряют в каждой ветви; за режимную температуру принимают среднеарифметическое из полученных данных за опыт. При отсутствии трубопровода температуру агента сушки измеряют в месте, предусмотренном руководством по эксплуатации. Результаты измерений записывают в
форму Б.13 и вычисляют среднеарифметическое значение и предельное отклонение от среднего.
7.4.5.12 Стабильность поддержания заданного режима характеризуют предельными отклонениями температуры агента сушки от ее среднеарифметического значения.
7.4.5.13 При испытании линий для дражирования семян с протравливанием дополнительно определяют показатели качества выполнения технологического процесса машин для протравливания семян. Методика определения показателей изложена в
7.4.6.
7.4.5.14 Показатели качества выполнения технологического процесса после соответствующей обработки записывают в
форму А.12.
7.4.6 Определение показателей качества выполнения технологического процесса машинами для протравливания семян
7.4.6.1 Перед определением показателей качества проверяют концентрацию приготовленной рабочей жидкости. Для препаратов, содержащих в качестве действующего вещества тетраметилтиурамдисульфид (далее - ТМТД) концентрацию определяют по нижеприведенной методике.
Пробы рабочей жидкости отбирают при интенсивном перемешивании послойно в пяти точках по высоте емкости. Средние пробы объемом 500 см3 отбирают при помощи стеклянной пипетки на 1000 см3 или стеклянной трубки с резиновой грушей. Пробы отбирают в трехкратной повторности.
Для определения концентрации рабочей жидкости ТМТД в коническую колбу вместимостью 250 см
3 помещают 100 см
3 рабочей суспензии ТМТД и при интенсивном перемешивании отбирают пипеткой 0,2 - 1,0 см
3 ее (объем варьируют в зависимости от концентрации жидкости) и переносят в другую коническую колбу или стакан и разбавляют до 100 см
3 ацетоном. В пробирки (каждый анализ проводят в трех повторностях) наливают 4,5 см
3 ацетона и 0,5 см
3 полученного раствора, добавляют 0,9 см
3 реактива на ТМТД и через каждые 10 - 15 мин измеряют оптическую плотность полученных окрашенных растворов на фотоэлектроколориметре при

. Контролем является раствор тех же компонентов, но без ТМТД.
Количественную оценку проводят по калибровочному графику. Состав растворов для построения калибровочного графика приведен в
таблице Г.1.
Концентрацию рабочей жидкости ТМТД Kр, %, вычисляют по формуле

, (10)
где Cт - объем ТМТД в рабочем растворе, см3;
Aр - общий объем раствора, см3;
Bа - объем аликвоты раствора, взятый для проведения анализа, см3;
Dс - объем аликвоты суспензии, отобранный для разбавления, см3;
1,25 - коэффициент пересчета на препарат (80%-ный);
10 - коэффициент пересчета, %.
При общем объеме раствора, полученного после разбавления суспензии Aр = 100 см3, аликвоте раствора, взятой для проведения анализа Bа = 0,5 см3, формула принимает вид

. (11)
Пример - Объем ТМТД в рабочем растворе, определенное в соответствии с калибровочным графиком Cт = 0,13 см3; объем аликвоты суспензии, взятой для разбавления Dс = 0,25 см3; общий объем ацетонового раствора Aр = 50 см3, объем аликвоты ацетонового раствора, взятый для проведения анализа Bа = 0,5 см3. Концентрация ТМТД в суспензии будет равняться

.
7.4.6.2 Для определения показателей качества отбор проб протравленного посевного материала и рабочей жидкости проводят через равные промежутки времени в десятикратной повторности согласно
7.4.1.5 и
7.4.1.6. Отбор проб для передвижных машин выполняют за время полного опорожнения бака рабочей жидкости.
7.4.6.3 Полноту протравливания семян П
п, %, вычисляют по формуле

, (12)
где mпр - масса протравителя семян (по действующему веществу), фактически нанесенного на семена, кг/т, г/кг, мг/г;
mр - масса протравителя семян (по действующему веществу), содержащаяся в установленной норме его расхода, кг/т, г/кг, мг/г.
Полноту протравливания семян препаратом ТМТД рекомендуется определять по
методике, приведенной в приложении Г.
7.4.6.4 Для определения неравномерности концентрации рабочей жидкости в процессе опорожнения емкости должно быть отобрано не менее 15 равных по объему проб. Пробы выливают в мерные цилиндры, добавляют ацетон и дистиллированную воду согласно
7.4.6.1 и отстаивают не менее 14 ч до полного выпадения осадка. Затем измеряют объем выпавшего осадка в каждом мерном цилиндре. Результаты записывают в
форму Б.14. Одну из взятых проб помещают на водяную баню в вытяжной шкаф и выпаривают до получения сухого остатка. Остаток охлаждают и взвешивают с погрешностью +/- 0,1 мг.
Массу протравителя семян mi, г, в каждой из остальных 14 проб вычисляют по формуле с округлением до первого десятичного знака

, (13)
где

- масса протравителя семян в анализируемой (выпаренной) пробе, г;

- объем осадка анализируемой пробы, см
3;
gi - объем осадка i-й пробы, см3.
Результаты записывают в
форму Б.14 и обрабатывают статистическим методом.
Неравномерность концентрации характеризуют коэффициентом вариации.
7.4.6.5 Для определения неравномерности протравливания семян на препаратах, содержащих ТМТД, пробы отбирают из общей массы семян. Для крупносеменных культур отбирают две пробы не менее чем по 40 семян в каждой, для мелкосеменных культур - не менее 40 групп по пять штук в каждой группе. Полнота протравливания семян должна быть не менее 90%. Из отобранных проб методом случайного отбора выделяют: крупных семян не менее 20 шт. в каждой пробе, мелких семян - не менее четырех групп семян по пять штук в группе. Каждое семя или группу семян взвешивают с погрешностью +/- 1 мг и помещают в пробирки.
Неравномерность протравливания определяют по полноте протравливания одного семени или группы (по пять штук) семян в каждой пробе с учетом их массы.
Примечание - Для калиброванных семян допускается группу семян по пять штук не взвешивать, а определять среднюю массу группы семян, исходя из массы 1000 семян.
Каждое отобранное семя (группу семян) помещают в пробирку, добавляют 1 см
3 воды, встряхивают, добавляют 4 см
3 ацетона и снова встряхивают. Приливают 0,9 см
3 реактива на ТМТД и через 10 - 15 мин измеряют оптическую плотность раствора на фотоэлектроколориметре в кюветах толщиной 1 см при

.
Контрольный раствор получают таким же образом, используя необработанное пестицидом семя. Количество ТМТД (в мг) на одном семени определяют по калибровочному графику, построенному в соответствии с
таблицей Г.1.
В случае получения плотности рабочего раствора, выходящей за шкалу определения, берут в другую пробирку половину экстракта, т.е. 2,5 см3, разбавляют его до отметки 5 см3 чистым ацетоном и добавляют 0,9 см3 реактива на ТМТД. При расчете количества препарата на одном семени результат, полученный в соответствии с калибровочным графиком, необходимо увеличить вдвое. Если же оптическая плотность анализируемого раствора будет низкой, то для анализа берут два семени в одну пробирку, а полученный результат уменьшают в два раза. Неравномерность протравливания отдельных семян (групп семян) в пробе определяют независимо от времени ее отбора и выражают коэффициентом вариации полноты протравливания. Полученные значения сопоставляют с ограничительными показателями, заложенными в нормативной документации.
7.4.6.6 Удерживаемость протравителя на семенах Упр, %, вычисляют по формуле

, (14)
где m2 - масса протравителя семян на семенах после механического воздействия, г/кг, мг/г;
mпр - масса протравителя семян на семенах до механического воздействия, г/кг, мг/г.
Массу протравителя семян на протравленных семенах до и после механического воздействия определяют колориметрическим методом так же, как и при расчете полноты протравливания
(7.4.6.3).
Механическое воздействие на протравленные семена проводят в установке, состоящей из емкости кубической формы со стороной 20 см. Пробу протравленных семян массой 500 г помещают в кубическую емкость и вращают в течение 10 мин с частотой 50 об/мин. После этого пробу семян помещают на сито и обдувают воздухом для удаления оставшихся частиц и взвешивают с погрешностью +/- 0,1 г. Пробы на удерживаемость протравителя семян после механического воздействия отбирают в трехкратной повторности. Результаты записывают в
форму Б.15 и вычисляют среднеарифметическое значение с округлением до первого десятичного знака. При степени удерживаемости более 70% прочность связывания протравителя семян с зерном следует считать удовлетворительной для протравителей и более 90% считать удовлетворительной для протравителей с инкрустацией.
7.4.6.7 Отклонение нормы расхода протравителя семян

, %, от заданной на поверхности семян вычисляют по формуле

, (15)
где Wр - расчетная подача протравителя семян, кг/с;
Wф - фактическая подача протравителя семян, кг/с.
Вычисления проводят с округлением до первого десятичного знака.
7.4.6.8 Повреждение драже семян после протравливания определяют в соответствии с
7.4.5.10.
7.4.6.9 Влажность семян при протравливании и после сушки определяют по
ГОСТ 12041.
7.4.6.10 Показатели качества выполнения технологического процесса после соответствующей обработки записывают в
форму А.13.
7.4.7 Определение показателей качества выполнения технологического процесса машинами для протравливания с инкрустацией семян
7.4.7.1 Подачу семян, подачу рабочей жидкости, неравномерность подачи рабочей жидкости, продолжительность перемешивания рабочей жидкости определяют согласно
7.4.1.5 и
7.4.1.6.
7.4.7.2 Отбор средних проб выполняют согласно
7.4.2.1, дробление семян -
7.3.4.
7.4.7.3 Концентрацию рабочей жидкости, неравномерность концентрации рабочей жидкости, отклонение концентрации рабочей жидкости от заданной, отклонение нормы расхода протравителя семян от заданной, удерживаемость протравителя семян на поверхности семян, полноту протравливания, неравномерность протравливания и повреждение драже семян определяют в соответствии с
7.4.6.1 -
7.4.6.8. Воду, применяемую для анализов, предварительно нагревают до 60 - 70 °C, измерения проводят термометром.
7.4.7.4 Влажность семян при инкрустации и после сушки определяют согласно
ГОСТ 12041.
7.4.7.5 Показатели качества выполнения технологического процесса после соответствующей обработки записывают в
форму А.13.
7.4.8 Определение показателей качества выполнения технологического процесса машинами для термического и электрофизического обеззараживания семян
7.4.8.1 Температуру воды измеряют через равные промежутки времени в десятикратной повторности опыта с погрешностью +/- 1 °C. Результаты записывают в
форму Б.16 и вычисляют среднеарифметическое значение с округлением до первого десятичного знака. По коэффициенту вариации определяют отклонение температуры воды от заданной.
7.4.8.2 Продолжительность обеззараживания семян измеряют с погрешностью +/- 1 мин. Результаты записывают в
форму Б.16 и вычисляют среднеарифметическое значение с округлением до целого числа.
7.4.8.3 Температуру семян при обеззараживании и при сушке измеряют с погрешностью +/- 1 °C не менее чем в 10 точках обработанной массы семян. Результаты записывают в
форму Б.16 и вычисляют среднеарифметическое значение температур с округлением до первого десятичного знака.
7.4.8.4 Влажность обеззараженных семян при термической обработке определяют до и после высушивания по
ГОСТ 12041, ГОСТ 22617.3, ГОСТ 21820.2. По разности влажности семян до и после термообеззараживания определяют изменение влажности семян.
7.4.8.5 Всхожесть и энергию прорастания семян после обеззараживания определяют по ГОСТ 22617.2,
ГОСТ 12038, ГОСТ 21820.1. При термообеззараживании всхожесть семян определяют после их сушки.
7.4.8.6 Дробление (повреждение) семян в процессе термообеззараживания определяют согласно
7.4.2.4.
7.4.8.7 Высоту слоя семян при их термической обработке (аналогично дражированных семян при сушке) измеряют линейкой с погрешностью +/- 1 см и не менее чем в 10 точках по всей длине обработанной массы семян. Результаты записывают в
форму Б.17 и вычисляют среднеарифметическое значение высоты слоя семян с округлением до первого десятичного знака.
7.4.8.8 Температуру агента сушки и предельное отклонение температуры агента сушки от ее средней величины определяют согласно
7.4.5.11.
7.4.8.9 Показатели качества выполнения технологического процесса после соответствующей обработки записывают в
формы А.14,
А.15.
7.5 Средства измерений и оборудование, применяемые при определении показателей агротехнической оценки
Перечень средств измерений и оборудования, применяемых при определении показателей агротехнической оценки, приведен в приложении Д.
8 Методы оценки электропривода
8.1 Номенклатура определяемых показателей приведена в
форме А.16.
8.2 Оценку электропривода машин, линий проводят в соответствии с национальными стандартами и нормативными документами, действующими в государствах - участниках Соглашения, принявших настоящий стандарт.
8.2.1 При проведении приемочных и типовых испытаний машин, линий оценивают:
- состав и качество изготовления устройств электропривода;
- исполнение устройств электропривода;
- выбор электродвигателей;
- выбор устройств управления и защиты;
- энергетические показатели электропривода машин;
- функционирование устройств автоматического регулирования электропривода.
8.2.2 При проведении квалификационных, периодических испытаний машин, линий оценивают:
- исполнение устройств электропривода;
- качество изготовления устройств электропривода;
- выбор устройств управления и защиты;
- удельные энергозатраты.
8.2.3 Результаты оценки электропривода оформляют в соответствии с
формой А.16.
9 Методы оценки безопасности и эргономичности конструкции
Оценку показателей и требований безопасности и эргономичности конструкции машин для подготовки семян проводят по
ГОСТ 12.2.002 на соответствие требованиям стандартов и ТЗ (ТУ) с определением показателей, приведенных в
форме А.17. Результаты записывают в протокол по
форме А.18.
10 Методы оценки надежности
10.1 Оценку надежности машин проводят по стандартам, действующим в государствах - участниках Соглашения, принявших настоящий стандарт, с определением показателей, приведенных в
форме А.19.
10.2 Машины испытывают на видах работ в соответствии с
ГОСТ 24055.
10.3 На каждом виде работ машину испытывают на режимах, обеспечивающих получение заданной в ТУ производительности при допустимых показателях качества.
10.4 Для сокращения сроков испытаний допускается проводить ускоренные испытания на надежность по действующим нормативным документам при режимах, воспроизводящих эксплуатационные нагрузки.
10.5 Наработка при ускоренных испытаниях не должна превышать 30% от общей заданной наработки.
Наработку машины измеряют часами основного времени. Для учета наработки в часах основного времени необходимо проводить сплошной хронометраж.
Допускается определять наработку в часах основного времени работы расчетом по наработке в физических единицах за весь период испытаний и производительности по результатам эксплуатационно-технологической оценки.
10.6 В течение всего периода испытаний ведут учет отказов и повреждений.
10.7 Определение затрат времени и труда на выявление и устранение отказов осуществляют пооперационным хронометражем с погрешностью измерения +/- 5 с.
10.8 Затраты времени и труда на выявление и устранение отказов в течение всего периода испытаний суммируют и учитывают при расчете показателей надежности.
10.9 Устранение сложных отказов, связанных с разработкой или заменой основных базовых узлов, осуществляют сервисные службы изготовителей. Определение затрат времени и труда по
10.7.
Допускается замену сложных узлов проводить технической службой эксплуатирующих хозяйств с участием или под руководством сервисных служб заводов-изготовителей.
10.10 Техническое состояние машины, замененных (восстановленных) деталей и узлов оценивают при проведении заключительной технической экспертизы.
10.11 Информацию по операциям технического обслуживания собирают и обрабатывают по ГОСТ 26026.
10.12 Показатели надежности определяют по наработке, измеряемой временем основной работы, и оценивают сопоставлением фактических показателей надежности с нормативными значениями или с показателями сравниваемой машины. Отклонение наработок сравниваемых машин не должно быть более 20%.
10.13 Показатели надежности записывают в
форму А.19.
10.14 Значение показателей надежности определяют при достижении сезонной (заданной) наработки или не менее 75% ее выполнения.
11 Методы эксплуатационно-технологической оценки
11.1 Эксплуатационно-технологическую оценку машин проводят в соответствии с
ГОСТ 24055.
Во время испытаний контролируют соблюдение выбранного режима работы и качество выполнения технологического процесса.
Показатели условий испытаний и качества выполнения технологического процесса определяют по методам, изложенным в
разделе 7.
11.2 Сбор информации для эксплуатационно-технологической оценки проводят во время контрольных смен.
Сбор информации о нарушениях технологического процесса и технических отказах проводят в течение всего периода наблюдений.
11.3 Результаты эксплуатационно-технологической оценки записывают в
форму А.20.
12 Методы экономической оценки
Экономическую оценку машин для подготовки семян и оформление результатов проводят по
ГОСТ 34393.
13 Обработка и анализ результатов испытаний
13.1 Обработку результатов испытаний машин для подготовки семян проводят по программе, разработанной для данного типа машин.
13.3 Полученные результаты используют для анализа соответствия результатов испытаний машин для подготовки семян требованиям ТЗ (ТУ), а также сопоставления их с показателями сравниваемых машин.
13.4 На основании анализа полученных значений показателей делают выводы о качестве работы испытуемой машины при выполнении заданного технологического процесса.
13.5 Общие выводы по результатам испытаний (в зависимости от вида испытаний) машины делают на основании анализа показателей при выполнении заданного технологического процесса.
(рекомендуемое)
ОФОРМЛЕНИЕ РЕЗУЛЬТАТОВ ИСПЫТАНИЙ
Форма А.1 - Техническая характеристика машин для подготовки семян
Наименование показателя | Значение показателя |
Марка | |
Тип | |
Привод | |
Потребляемая мощность, кВт | |
Рабочая скорость, км/ч | |
Производительность, т/ч | |
Время обработки, мин | |
Число обслуживающего персонала, чел. | |
Габаритные размеры машины в рабочем положении, мм: | |
- длина | |
- ширина | |
- высота | |
Масса машины, кг | |
Вместимость емкости, л: | |
- приемного бункера | |
- для рабочей жидкости (дозатора порошка) | |
- смесительной камеры | |
| |
Минимальный радиус поворота <*>, м | |
| |
Пределы регулирования рабочих органов: | |
- подача рабочей жидкости, л/мин | |
- подача зерна, т/ч | |
Трудоемкость составления агрегата, чел.-ч | |
Трудоемкость перевода машины из транспортного в рабочее положение, чел.-ч | |
Трудоемкость перевода машины из рабочего в транспортное положение, чел.-ч | |
Насос: | |
- марка | |
- тип | |
Перемешивающее устройство, тип | |
Число передач, шт.: | |
- ременных | |
- цепных | |
- карданных | |
- редукторов | |
Число точек смазки, шт., всего | |
в том числе: | |
- ежесменных | |
- периодических | |
- сезонных | |
Устройство для загрузки семян | |
Устройство для выгрузки обработанных семян | |
Другие показатели по отдельным узлам и рабочим органам | |
_________________________________ _________________________________ _________________________________ | |
<*> Для самоходных машин. |
Форма А.2 - Показатели условий испытаний машин для калибрования семян при агротехнической и эксплуатационно-технологической оценках
Наименование показателя | Значение показателя |
Вид оценки |
Агротехническая | Эксплуатационно-технологическая |
Культура, сорт | + | + |
Влажность семян, % | + | + |
Чистота семян, % | + | - |
Содержание дробленых (поврежденных) семян, % | + | + |
Масса 1000 семян, г | + | - |
Всхожесть семян, % | + | + |
Энергия прорастания семян, % | + | + |
Фракция семян | + | + |
Выравненность фракции, % | + | + |
Примечание - Знак "+" означает, что показатель определяют, знак "-" - не определяют. |
Форма А.3 - Показатели условий испытаний машин для шлифования семян при агротехнической и эксплуатационно-технологической оценках
Наименование показателя | Значение показателя |
Вид оценки |
Агротехническая | Эксплуатационно-технологическая |
Культура, сорт | + | + |
Влажность семян, % | + | + |
Чистота семян, % | + | - |
Содержание дробленых (поврежденных) семян, % | + | + |
Масса 1000 семян, г | + | - |
Всхожесть семян, % | + | + |
Энергия прорастания семян, % | + | + |
Ростковость семян, % | + | + |
Фракция семян | + | + |
Выравненность фракции, % | + | + |
Угол естественного откоса семян, ...° | + | - |
Примечание - Знак "+" означает, что показатель определяют, знак "-" - не определяют. |
Форма А.4 - Показатели условий испытаний машин для сегментирования семян при агротехнической и эксплуатационно-технологической оценках
Наименование показателя | Значение показателя |
Вид оценки |
Агротехническая | Эксплуатационно-технологическая |
Культура, сорт | + | + |
Влажность семян, % | + | + |
Чистота семян, % | + | - |
Содержание дробленых (поврежденных) семян, %, | + | + |
Масса 1000 семян, г | + | - |
Всхожесть семян, % | + | + |
Энергия прорастания семян, % | + | + |
Ростковость семян, % (для односемянных и сегментированных семян свеклы) | + | + |
Фракция семян | + | + |
Выравненность фракции, % | + | + |
Угол естественного откоса семян, ...° | + | - |
Примечание - Знак "+" означает, что показатель определяют, знак "-" - не определяют. |
Форма А.5 - Показатели условий испытаний машин, линий для дражирования семян при агротехнической и эксплуатационно-технологической оценках
Наименование показателя | Значение показателя |
Вид оценки |
Агротехническая | Эксплуатационно-технологическая |
Культура, сорт | + | + |
Влажность семян, % | + | + |
Чистота семян, % | + | - |
Содержание дробленых (поврежденных) семян, % | + | + |
Количество семян сорных растений, шт./кг | + | - |
Масса 1000 семян, г | + | - |
Всхожесть семян, % | + | + |
Энергия прорастания семян, % | + | + |
Фракция семян | + | + |
Выравненность фракции, % | + | + |
Количественная доля драже без семян, % | + | + |
Угол естественного откоса семян, ...° | + | - |
Состав компонентов дражировочной массы, %, кг/т | + | + |
Состав компонентов рабочей жидкости, кг/т | + | + |
Динамическая вязкость рабочей жидкости, МПа·с | + | - |
Температура воздуха, °C | + | - |
Относительная влажность воздуха, % | + | - |
Примечание - Знак "+" означает, что показатель определяют, знак "-" - не определяют. |
Форма А.6 - Показатели условий испытаний машин для протравливания семян при агротехнической и эксплуатационно-технологической оценках
Наименование показателя | Значение показателя |
Вид оценки |
Агротехническая | Эксплуатационно-технологическая |
Культура, сорт | + | + |
Влажность семян, % | + | + |
Чистота семян, % | + | - |
Содержание дробленых (поврежденных) семян, % | + | + |
Масса 1000 семян, г | + | - |
Всхожесть семян, % | + | + |
Энергия прорастания семян, % | + | + |
Наименование протравливателя семян, рабочего раствора | + | + |
Содержание действующего вещества, г/кг или (%) | + | - |
Состав компонентов рабочей жидкости, кг/т ________________________ ________________________ | + | + |
Динамическая вязкость рабочей жидкости, МПа·с | + | - |
Температура воздуха, °C | + | - |
Относительная влажность воздуха, % | + | - |
Примечание - Знак "+" означает, что показатель определяют, знак "-" - не определяют. |
Форма А.7 - Показатели условий испытаний машин для протравливания с инкрустацией семян при агротехнической и эксплуатационно-технологической оценках
Наименование показателя | Значение показателя |
Вид оценки |
Агротехническая | Эксплуатационно-технологическая |
Культура, сорт | + | + |
Влажность семян, % | + | + |
Чистота семян, % | + | - |
Содержание дробленых (поврежденных) семян, % | + | + |
Масса 1000 семян, г | + | - |
Всхожесть семян, % | + | + |
Энергия прорастания семян, % | + | + |
Наименование пленкообразующего вещества | + | + |
Содержание действующего вещества, % | + | - |
Состав компонентов рабочей жидкости, кг/т | + | + |
Динамическая вязкость рабочей жидкости, МПа·с | + | - |
Температура воздуха, °C | + | - |
Относительная влажность воздуха, % | + | - |
Примечание - Знак "+" означает, что показатель определяют, знак "-" - не определяют. |
Форма А.8 - Показатели условий испытаний машин для электрофизического и термического обеззараживания семян при агротехнической и эксплуатационно-технологической оценках
Наименование показателя | Значение показателя |
Вид оценки |
Агротехническая | Эксплуатационно-технологическая |
Культура, сорт | + | + |
Влажность семян, % | + | + |
Чистота семян, % | + | - |
Содержание дробленых (поврежденных) семян, % | + | + |
Масса 1000 семян, г | + | - |
Всхожесть семян, % | + | + |
Энергия прорастания семян, % | + | + |
Температура воздуха, °C | + | - |
Относительная влажность воздуха, % | + | - |
Примечание - Знак "+" означает, что показатель определяют, знак "-" - не определяют. |
Форма А.9 - Показатели качества выполнения технологического процесса машинами для калибрования семян при агротехнической и эксплуатационно-технологической оценках
Наименование показателя | Значение показателя |
Вид оценки |
Агротехническая | Эксплуатационно-технологическая |
Дата проведения испытаний | + | + |
Режим работы машины | | |
Подача семян, кг/с | + | + |
Неравномерность подачи семян, % | + | - |
Угол наклона решет, ...° | + | - |
Амплитуда колебаний решет, мм | + | - |
Частота колебаний решет, кол./мин | + | - |
Показатели качества выполнения технологического процесса | | |
Выход фракции семян, %: | | |
в соответствии с ТЗ (ТУ) | + | + |
отходы | + | + |
Выравненность фракции, % | | |
в соответствии с ТЗ (ТУ) | + | + |
Масса 1000 семян по фракциям, г | | |
в соответствии с ТЗ (ТУ) | + | - |
Энергия прорастания семян по фракциям, % | | |
в соответствии с ТЗ (ТУ) | + | - |
Всхожесть семян по фракциям, % | | |
в соответствии с ТЗ | + | - |
Дробление (повреждение) семян, % | + | + |
Потери полноценных семян, % | + | + |
Примечание - Знак "+" означает, что показатель определяют, знак "-" - не определяют. |
Форма А.10 - Показатели качества выполнения технологического процесса машинами для шлифования семян при агротехнической и эксплуатационно-технологической оценках
Наименование показателя | Значение показателя |
Вид оценки |
Агротехническая | Эксплуатационно-технологическая |
Дата проведения испытаний | + | + |
Режим работы машины | | |
Угол наклона рабочих дисков, ° | + | - |
Частота вращения рабочих органов, мин-1 | + | - |
Подача семян, кг/с | + | + |
Неравномерность подачи семян, % | + | - |
Показатели качества выполнения технологического процесса | | |
Выход фракции семян, %: | + | - |
1 |
2 |
отходы |
Выравненность фракции, %: | + | + |
1 |
2 |
Масса 1000 семян по фракциям, г: | + | - |
1 |
2 |
Дробление (повреждение) семян, % | + | + |
Потери полноценных семян, % | + | + |
Угол естественного откоса семян, ...° | + | - |
Качество шлифования семян по фракциям, %: | + | + |
1 |
2 |
Всхожесть семян по фракциям, %: | + | - |
1 |
2 |
Энергия прорастания семян по фракциям, %: | + | - |
1 |
2 |
Примечание - Знак "+" означает, что показатель определяют, знак "-" - не определяют. |
Форма А.11 - Показатели качества выполнения технологического процесса машинами для сегментирования семян при агротехнической и эксплуатационно-технологической оценках
Наименование показателя | Значение показателя |
Вид оценки |
Агротехническая | Эксплуатационно-технологическая |
Дата проведения испытаний | + | + |
Режим работы машины | | |
Подача семян, кг/с | + | + |
Неравномерность подачи семян, % | + | - |
Частота вращения дисков, мин | + | - |
Угол наклона дисков, ...° | + | - |
Показатели качества выполнения технологического процесса | | |
Выход посевной фракции семян, %: | + | - |
1 |
2 |
отходы |
Выравненность фракции, %: | + | + |
1 |
2 |
Масса 1000 семян по фракциям, г | + | - |
Всхожесть семян по фракциям, % | + | - |
Энергия прорастания семян по фракциям, % | + | - |
Ростковость семян по фракциям, % | + | + |
Количественная доля клубочков с содержанием плодов (ростковость), % | + | - |
1 |
2 |
и более |
Потери полноценных семян, % | + | + |
Угол естественного откоса семян, ...° | + | - |
Примечание - Знак "+" означает, что показатель определяют, знак "-" - не определяют. |
Форма А.12 - Показатели качества выполнения технологического процесса машинами для дражирования семян при агротехнической и эксплуатационно-технологической оценках
Наименование показателя | Значение показателя |
Вид оценки |
Агротехническая | Эксплуатационно-технологическая |
Дата проведения испытаний | + | + |
Режим работы машины | | |
Подача семян, кг/с | + | + |
Частота вращения рабочих органов, мин-1 | + | + |
Подача компонентов дражировочной массы, кг/с: | + | + |
а) |
б) |
в) |
Неравномерность подачи компонентов, %: | + | + |
а) |
б) |
в) |
Продолжительность перемешивания дражировочной массы, мин | + | + |
Показатели качества выполнения технологического процесса | | |
Выход фракции семян, %: | + | - |
1 |
2 |
отходы |
Выравненность фракции, %: | + | + |
1 |
2 |
Всхожесть фракций, %: | + | - |
1 |
2 |
Энергия прорастания семян по фракциям, %: | + | - |
1 |
2 |
Масса 1000 семян по фракциям, г: | + | - |
1 |
2 |
Количественная доля драже с содержанием семян, %: | + | - |
1 |
2 и более |
без семян |
Соотношение в драже семян и дражировочной массы, % | + | - |
Прочность драже на раздавливание, кг | + | - |
Угол естественного откоса сухого драже, ...° | + | - |
Подача рабочей жидкости (при приготовлении драже), кг/с | + | - |
Неравномерность подачи рабочей жидкости, % | + | - |
Концентрация рабочей жидкости, г/л | + | - |
Неравномерность концентрации рабочей жидкости, % | + | - |
Полнота протравливания драже, % | + | - |
Отклонение нормы расхода протравливателя семян от заданной, % | + | - |
Удерживаемость протравливателя семян на поверхности драже семян, % | + | - |
Повреждение драже, % | + | + |
Влажность семян, %: | | |
- при дражировании | + | + |
- после сушки | + | + |
Неравномерность влажности семян после сушки, % | + | - |
Температура поступающего агента сушки, °C | + | - |
Отклонение температуры агента сушки от заданной, % | + | - |
Высота слоя дражированных семян при сушке, см | + | + |
Примечание - Знак "+" означает, что показатель определяют, знак "-" - не определяют. |
Форма А.13 - Показатели качества выполнения технологического процесса машинами для протравливания семян и протравливания с инкрустацией семян при агротехнической и эксплуатационно-технологической оценках
Наименование показателя | Значение показателя |
Вид оценки |
Агротехническая | Эксплуатационно-технологическая |
Дата проведения испытаний | + | + |
Режим работы машины | | |
Подача семян, кг/с | + | - |
Неравномерность подачи семян, % | + | - |
Подача рабочей жидкости (порошковидного протравливателя семян, пленкообразующего вещества) кг/с | + | - |
Неравномерность подачи рабочей жидкости (порошковидного протравливателя семян, пленкообразующего вещества), % | + | - |
Частота вращения рабочих органов, мин-1 | + | - |
Продолжительность перемешивания рабочей жидкости, мин | + | - |
Показатели качества выполнения технологического процесса | | |
Концентрация рабочей жидкости, г/дм3 | + | - |
Неравномерность концентрации рабочей жидкости, % | + | - |
Отклонение концентрации рабочей жидкости от заданной, % | + | - |
Отклонение нормы расхода протравливателя семян от заданной на поверхности семян, % | + | - |
Полнота протравливания, % | + | + |
Дробление (повреждение) семян, % | + | + |
| + | + |
Неравномерность протравливания семян, % | + | - |
Влажность семян, %: | | |
- при протравливании (инкрустации) | + | - |
- после сушки | + | - |
Неравномерность влажности семян после сушки, % | + | - |
<*> Кроме протравливания с инкрустацией семян. Примечание - Знак "+" означает, что показатель определяют, знак "-" - не определяют. |
Форма А.14 - Показатели качества выполнения технологического процесса машинами для термического обеззараживания семян при агротехнической и эксплуатационно-технологической оценках
Наименование показателя | Значение показателя |
Вид оценки |
Агротехническая | Эксплуатационно-технологическая |
Дата проведения испытаний | + | + |
Режим работы машины | | |
Подача семян, кг/с | + | - |
Неравномерность подачи семян, % | + | - |
Показатели качества выполнения технологического процесса | | |
Температура воды в термообеззараживателе, °C | + | - |
Продолжительность обеззараживателя семян, мин | + | + |
Температура семян, °C: | | |
- при обеззараживании | + | + |
- при сушке (охлаждении) | + | + |
Влажность семян, %: | | |
- при обеззараживании | + | + |
- после сушки | + | + |
Неравномерность влажности семян после сушки, % | + | - |
Всхожесть семян, % | + | - |
Энергия прорастания семян, % | + | - |
Дробление (повреждение) семян, % | + | + |
Температура поступающего агента сушки, °C | + | - |
Отклонение температуры агента сушки от заданной, % | + | - |
Высота слоя семян, см | + | + |
Примечание - Знак "+" означает, что показатель определяют, знак "-" - не определяют. |
Форма А.15 - Показатели качества выполнения технологического процесса машинами для электрофизического обеззараживания семян при агротехнической и эксплуатационно-технологической оценках
Наименование показателя | Значение показателя |
Вид оценки |
Агротехническая | Эксплуатационно-технологическая |
Дата проведения испытаний | + | + |
Режим работы машины | | |
Подача семян, кг/с | + | - |
Неравномерность подачи семян, % | + | - |
Показатели качества выполнения технологического процесса | | |
Энергия прорастания семян по фракциям, % | + | - |
Продолжительность обеззараживателя, мин | + | + |
Всхожесть семян по фракциям, % | + | - |
Температура семян при обеззараживании, °C | + | + |
Кратность облучения | + | - |
Повреждение семян, % | + | - |
Примечание - Знак "+" означает, что показатель определяют, знак "-" - не определяют. |
Форма А.16 - Показатели оценки электропривода
Наименование показателя | Значение показателя |
Дата проведения испытаний | |
Культура, сорт | |
Производительность за 1 ч основного времени, т | |
Чистота исходного материала, % | |
Количество активной энергии, затраченное на выполнение технологического процесса, кВт·ч | |
Количество реактивной энергии, затраченное на выполнение технологического процесса, кВт·ч | |
Удельный расход электроэнергии (топлива), кВт·ч/т(кг/т) | |
Удельные энергозатраты за 1 ч основного времени на физическую единицу наработки, МДж/т | |
Коэффициент мощности,  | |
Установленная мощность, кВт: в том числе электродвигателей ______________________________________ (наименование механизма, привод и т.д.) ______________________________________ | |
Потребляемая из сети активная мощность, кВт·ч, в том числе электродвигателями: ______________________________________ ______________________________________ | |
Коэффициент загрузки электродвигателя | |
Форма А.17 - Номенклатура показателей безопасности и эргономичности конструкции машин для подготовки семян
Наименование показателя | Значение показателя |
Общие требования безопасности к конструкции узлов и агрегатов, специфические требования к машинам [ ГОСТ 12.2.003, ГОСТ 33738, ТЗ (ТУ)] | |
| |
| |
Параметры рабочих мест, средств доступа к рабочим местам и местам обслуживания [ ГОСТ ISO 4254-1, ГОСТ 33738, ТЗ (ТУ)] | |
Наличие предупреждающих надписей и знаков безопасности [ ГОСТ 12.2.003, ГОСТ ISO 4254-1, ТЗ (ТУ)] | |
Требования к системе символов для обозначения органов управления и средств отображения информации [ ГОСТ 26336, ГОСТ 33738, ТЗ (ТУ)] | |
| |
Требования к системе блокировки и предупредительной сигнализации [ГОСТ ISO 4254-1, ГОСТ 12.2.003, ГОСТ 21786, ТЗ (ТУ)] | |
Требования к обеспечению безопасности операций по очистке [ ГОСТ 12.2.003, ТЗ (ТУ)] | |
Требования к исключению возможности самопроизвольного включения (выключения) рабочих органов [ ГОСТ 33738, ТЗ (ТУ)] | |
| |
| |
| |
Рабочее пространство для оператора [ ГОСТ 33738, ТЗ (ТУ)] | |
| |
Параметры и расположение органов управления [ ГОСТ 33738, ТЗ (ТУ)] | |
Требования к сиденью оператора [ТЗ (ТУ)] | |
Параметры микроклимата на рабочем месте оператора [ ГОСТ 12.2.002, ТЗ (ТУ)] | |
Концентрация пыли в зоне дыхания оператора [ ГОСТ 12.1.005, ТЗ (ТУ)] | |
Концентрация окиси углерода в зоне дыхания оператора [ ГОСТ 12.1.005, ТЗ (ТУ)] | |
| |
Вибрация на рабочем месте оператора и органах управления [ ГОСТ 12.1.012, ТЗ (ТУ)] | |
Удобство и безопасность обслуживания [ГОСТ ISO 4254-1, ГОСТ 12.2.003, ТЗ (ТУ)] | |
Форма А.18 - Показатели безопасности и эргономичности конструкции жатки (для протокола)
Наименование показателя, требования | Значение показателя по | Заключение о соответствии |
стандарту | результатам испытаний |
| | | |
Форма А.19 - Показатели надежности
Наименование показателя | Значение показателя |
Общая наработка, ч | |
Наработка на отказ, ч, | |
в том числе по группам сложности: | |
- I группы | |
- II группы | |
- III группы | |
Общее число отказов, шт., | |
в том числе по группам сложности: | |
- I группы | |
- II группы | |
- III группы | |
Среднее время восстановления, ч/отказ | |
Оперативное время ежесменного технического обслуживания, ч | |
Оперативная трудоемкость ежесменного технического обслуживания, чел.-ч | |
Трудоемкость ежесменного технического обслуживания, чел.-ч | |
Удельная суммарная трудоемкость технических обслуживаний, чел.-ч/ч | |
Удельная суммарная оперативная трудоемкость технических обслуживаний, чел.-ч/ч | |
Удельная суммарная оперативная трудоемкость текущих ремонтов (отыскания и устранения отказов), чел.-ч/ч | |
Удельная суммарная трудоемкость текущих ремонтов (отыскания и устранения отказов), чел.-ч/ч | |
Коэффициент готовности: | |
- с учетом организационного времени | |
- по оперативному времени | |
Коэффициент технического использования | |
Перечень отказов и повреждений (помещают в приложении к протоколу) | |
Форма А.20 - Показатели эксплуатационно-технологической оценки
Наименование показателя | Значение показателя |
Период проведения оценки (дата) | |
Место проведения испытаний | |
Условия проведения оценки <*> | |
Состав агрегата | |
Технологическая операция | |
| |
- рабочая скорость движения, км/ч | |
- рабочая ширина захвата, м | |
Производительность за 1 ч времени, т: | |
- основного | |
- технологического | |
- сменного | |
Удельный расход электроэнергии за сменное время, кВт·ч/т | |
Эксплуатационно-технологические коэффициенты: | |
- рабочих ходов | |
- технологического обслуживания | |
- надежности технологического процесса | |
- использования технологического времени | |
- использования сменного времени | |
Число обслуживающего персонала, чел. | |
Показатели качества выполнения технологического процесса <***> | |
<**> Согласно требованиям ТЗ (ТУ). |
(обязательное)
ФОРМЫ РАБОЧИХ ВЕДОМОСТЕЙ РЕЗУЛЬТАТОВ ИСПЫТАНИЙ
Форма Б.1 - Ведомость определения ростковости семян сахарной свеклы и количества драже без семян
Марка машины ____________________________ Дата _________________________
Место испытаний ________________________________________________________
Культура, сорт ___________________________________________________________
Вид анализа (исходный или после обработки машиной) ________________________
Средства измерений ______________________________________________________
Повторность | Высеяно | Проросло клубочков, шт. | Всего ростков, шт. | Число драже без семян, шт. |
клубочков всего, шт. | Всего | Из них с числом ростков |
1 | 2 | 3 | 4 | 5 и более |
1 | | | | | | | | | |
2 | | | | | | | | | |
3 | | | | | | | | | |
4 | | | | | | | | | |
Сумма | | | | | | | | | |
Среднеарифметическое значение | | | | | | | | | |
Ростковость, % | | | | | | | | | |
Количественная доля драже без семян, % | | | | | | | | | |
Исполнитель ________________ должность | _________________ личная подпись | __________________ инициалы, фамилия |
Форма Б.2 - Ведомость определения выравненности фракции семян
Марка машины ____________________________ Дата _________________________
Место испытаний ________________________________________________________
Культура, сорт _______________________ Фракция семян ______________________
Средства измерений ______________________________________________________
Фракция (диаметр ячейки решета), мм | Масса семян по фракциям, г | Сумма | Среднеарифметическое значение | Массовая доля, % |
навеска |
1 | 2 | 3 |
I | | | | | | |
II | | | | | | |
... | | | | | | |
n | | | | | | |
Исполнитель ________________ должность | _________________ личная подпись | __________________ инициалы, фамилия |
Форма Б.3 - Ведомость определения угла естественного откоса семян
Марка машины ____________________ Место испытаний ______________________
Культура, сорт ____________________ Наименование материала ________________
Вид анализа (исходный или после обработки семян) ___________________________
Средства измерений ______________________________________________________
Повторность | Угол естественного откоса семян, ...° |
1 | |
2 | |
3 | |
Сумма | |
Среднеарифметическое значение | |
Исполнитель ________________ должность | _________________ личная подпись | __________________ инициалы, фамилия |
Форма Б.4 - Ведомость определения температуры и плотности рабочей жидкости
Марка машины __________________________________________________________
Место испытаний ______________________ Культура, сорт ____________________
Вид анализа (исходный или после обработки семян) __________________________
Наименование материала _________________________________________________
Средства измерений _____________________________________________________
Повторность | Температура рабочей жидкости, °C | Масса пикнометра с рабочей жидкостью, г | Масса пикнометра, г | Масса рабочей жидкости в пикнометре, г | Вместимость пикнометра, см3 | Плотность рабочей жидкости, г/см3 |
1 | | | | | | |
2 | | | | | | |
3 | | | | | | |
Сумма | | | | | | |
Среднеарифметическое значение | | | | | | |
Исполнитель ________________ должность | _________________ личная подпись | __________________ инициалы, фамилия |
Форма Б.5 - Ведомость определения вязкости рабочей жидкости
Марка машины ___________________________________________________________
Место испытаний _____________________ Культура, сорт ______________________
Наименование рабочей жидкости ___________________ Дата ___________________
Средства измерений _______________________________________________________
Повторность | Температура рабочая, °C | Кинематическая вязкость рабочей жидкости, мм2/с | Плотность рабочей жидкости при рабочей температуре, г/см3 | Динамическая вязкость рабочей жидкости, МПа·с |
1 | | | | |
2 | | | | |
3 | | | | |
Сумма | | | | |
Среднеарифметическое значение | | | | |
Исполнитель ________________ должность | _________________ личная подпись | __________________ инициалы, фамилия |
Форма Б.6 - Ведомость определения температуры и относительной влажности воздуха
Марка машины _______________________ Дата _______________________________
Место испытаний _____________________ Культура, сорт ______________________
Средства измерений _______________________________________________________
Время измерения | Температура воздуха, °C | Разность температур, °C | Относительная влажность воздуха, % |
по сухому термометру | по смоченному термометру |
Начало рабочего дня | | | | |
Середина рабочего дня | | | | |
Конец рабочего дня | | | | |
Среднеарифметическое значение | | | | |
Исполнитель ________________ должность | _________________ личная подпись | __________________ инициалы, фамилия |
Форма Б.7 - Ведомость определения подачи посевного материала
Марка машины ___________________________________________________________
Место испытаний ______________________ Культура, сорт _____________________
Опыт ________________________________ Дата ______________________________
Вид работы ______________________________________________________________
Средства измерений ______________________________________________________
Повторность | Масса пробы, кг | Общая масса выходов за опыт, кг | Продолжительность повторности опыта, с | Подача, кг/с |
Выход семян по фракциям | Отходы |
1 | 2 | ... | n |
1 | | | | | | | | |
2 | | | | | | | | |
3 | | | | | | | | |
... | | | | | | | | |
10 | | | | | | | | |
Сумма | | | | | | | | |
Среднеарифметическое значение | | | | | | | | |
Стандартное отклонение, кг/с | | | | | | | | |
Коэффициент вариации, % | | | | | | | | |
Исполнитель ________________ должность | _________________ личная подпись | __________________ инициалы, фамилия |
Форма Б.8 - Ведомость определения неравномерности подачи компонентов дражировочной массы, пленкообразующего вещества рабочей жидкости, порошковидного протравливателя семян
Марка машины ___________________________________________________________
Место испытаний ______________________ Культура, сорт _____________________
Опыт ________________________________ Дата ______________________________
Средства измерений ______________________________________________________
Проба | Масса пробы (объем) г, дм3 | Продолжительность опыта, с | Подача, г/с, дм3/с |
1 | | | |
2 | | | |
3 | | | |
... | | | |
n (10) | | | |
Сумма | | | |
Среднеарифметическое значение | | | |
Стандартное отклонение, г/с, дм3/с | | | |
Коэффициент вариации, % | | | |
Исполнитель ________________ должность | _________________ личная подпись | __________________ инициалы, фамилия |
Марка машины ___________________________________________________________
Место испытаний _____________________ Культура, сорт ______________________
Режим _______________________________ Опыт ______________________________
Масса пробы выхода, кг ________________ Дата _______________________________
Исполнитель ________________ должность | _________________ личная подпись | __________________ инициалы, фамилия |
Форма Б.10 - Ведомость определения дробления (повреждения) семян
Марка машины ___________________________________________________________
Место испытаний _____________________ Культура, сорт ______________________
Режим работы ________________________ Дата _______________________________
Средства измерений _______________________________________________________
Наименование показателя | Навеска |
1 | 2 | Среднеарифметическое значение, г (%) |
г (%) | г (%) |
1 Выход семян | | | |
1 фракция | | | |
- масса навески, г | | | |
- семян, всего | | | |
в том числе дробленых | | | |
2 фракция | | | |
- масса навески, г | | | |
- семян, всего | | | |
в том числе дробленых | | | |
... | | | |
n фракция | | | |
- масса навески, г | | | |
- семян, всего | | | |
в том числе дробленых | | | |
2 Отходы: | | | |
- масса навески, г | | | |
- семян, всего | | | |
в том числе дробленых | | | |
Исполнитель ________________ должность | _________________ личная подпись | __________________ инициалы, фамилия |
Форма Б.11 - Ведомость определения прочности драже на раздавливание
Марка машины ___________________________________________________________
Место испытаний _____________________ Культура, сорт ______________________
Вид анализа __________________________ Дата _______________________________
Средства измерений _______________________________________________________
Измерение | Усилие на раздавливание, кг |
Повторность |
1 | 2 | 3 | 4 | ... | n |
1 | | | | | | |
2 | | | | | | |
3 | | | | | | |
... | | | | | | |
n | | | | | | |
Сумма | | | | | | |
Среднеарифметическое значение | | | | | | |
Пределы статической нагрузки на раздавливание, кг | | | | | | |
Исполнитель ________________ должность | _________________ личная подпись | __________________ инициалы, фамилия |
Форма Б.12 - Ведомость определения повреждения драже
Марка машины ______________________ Место испытаний ____________________
Режим работы _____________ Культура, сорт _____________ Дата ______________
Средства измерений ______________________________________________________
Повторность | Содержание драже в пробе |
из них |
целых | поврежденных |
шт. | г | шт. | г |
1 | | | | |
2 | | | | |
3 | | | | |
Сумма | | | | |
Среднеарифметическое значение | | | | |
Массовая доля поврежденных драже, % | | | | |
Исполнитель ________________ должность | _________________ личная подпись | __________________ инициалы, фамилия |
Форма Б.13 - Ведомость определения температуры агента сушки
Марка машины __________________________________________________________
Место испытаний ________________________________________________________
Культура, сорт ________________ Опыт ________________ Дата ________________
Средства измерений ______________________________________________________
Измерение | Время измерения, ч | Температура поступающего агента сушки, °C |
в точках |
1 | 2 | 3 | Среднеарифметическое значение |
1 | | | | | |
2 | | | | | |
... | | | | | |
6 | | | | | |
Сумма | | | | | |
Среднеарифметическое значение | | | | | |
Предельное отклонение от среднего, °C | | | | | |
Исполнитель ________________ должность | _________________ личная подпись | __________________ инициалы, фамилия |
Форма Б.14 - Ведомость определения неравномерности концентрации рабочей жидкости
Марка машины __________________________________________________________
Место испытаний ________________________________________________________
Культура, сорт ________________ Опыт ________________ Дата ________________
Средства измерений ______________________________________________________
Проба | Объем рабочей жидкости, см3 | Объем осадка, см3 | Масса сухого осадка, г | Концентрация рабочей жидкости, % | Отклонение концентрации рабочей жидкости, % |
1 | | | | | |
2 | | | | | |
3 | | | | | |
... | | | | | |
n (15) | | | | | |
Сумма | | | | | |
Среднеарифметическое значение | | | | | |
Стандартное отклонение, % | | | | | |
Коэффициент вариации, % | | | | | |
Исполнитель ________________ должность | _________________ личная подпись | __________________ инициалы, фамилия |
Форма Б.15 - Ведомость определения удерживаемости протравливателя семян после механического воздействия
Марка машины __________________________________________________________
Место испытаний ________________________________________________________
Культура, сорт ________________ Опыт ________________ Дата ________________
Средства измерений ______________________________________________________
Проба (повторность) | Масса протравителя семян на семенах по действующему веществу, мг/г | Потери протравителя семян, мг/г | Удерживаемость протравителя семян, % |
до механического воздействия | после механического воздействия |
1 | | | | |
2 | | | | |
3 | | | | |
Сумма | | | | |
Среднее арифметическое значение | | | | |
Исполнитель ________________ должность | _________________ личная подпись | __________________ инициалы, фамилия |
Форма Б.16 - Ведомость определения температуры воды, семян и продолжительности обеззараживания
Марка машины __________________________________________________________
Место испытаний ________________________________________________________
Культура, сорт ________________ Опыт ________________ Дата ________________
Средства измерений ______________________________________________________
Измерение | Температура, °C | Продолжительность обеззараживания семян, с |
воды | семян |
1 | | | |
2 | | | |
... | | | |
n (10) | | | |
Сумма | | | |
Среднеарифметическое значение | | | |
Коэффициент вариации, % | | | |
Исполнитель ________________ должность | _________________ личная подпись | __________________ инициалы, фамилия |
Форма Б.17 - Ведомость определения высоты слоя семян
Марка машины __________________________________________________________
Место испытаний ________________________________________________________
Культура, сорт ________________ Опыт ________________ Дата ________________
Средства измерений ______________________________________________________
Измерение | Высота слоя, см |
1 | |
2 | |
3 | |
... | |
n (10) | |
Сумма | |
Среднеарифметическое значение | |
Исполнитель ________________ должность | _________________ личная подпись | __________________ инициалы, фамилия |
(рекомендуемое)
ОПРЕДЕЛЕНИЯ СТЕПЕНИ ЗАБИВАЕМОСТИ РЕШЕТ
Забиваемость отверстий решет определяют после 7 - 8 часов работы на номинальном режиме при калибровании семян тех культур, на которых определены показатели качества выполнения технологического процесса.
После схода семян машину останавливают, вынимают решета и на полотне каждого из них намечают 10 участков с 10 отверстиями в каждом. Участки располагают равномерно в шахматном порядке по всей поверхности решета согласно
рисунку В.1. Проводят подсчет числа заклинившихся семян на всех намеченных участках.
l - длина решета, см; B - ширина решета, см; x - расстояние
между центрами участков по длине, см; y - расстояние
между центрами участков по ширине, см
Рисунок В.1 - Схема расположения участков
при определении забиваемости отверстий решет
Степень забиваемости Kз, %, вычисляют по формуле

, (В.1)
где a - среднее число семян в одном отверстии, определяемое делением всех заклинившихся семян на общее число учтенных отверстий (100 шт.), шт.;
nз - среднее число семян, укладывающихся в одном отверстии, определенное по десяти полностью забитым отверстиям, шт.
(обязательное)
ОПРЕДЕЛЕНИЯ ПОЛНОТЫ ПРОТРАВЛИВАНИЯ ПОСЕВНОГО МАТЕРИАЛА
ПРЕПАРАТАМИ, СОДЕРЖАЩИМИ В КАЧЕСТВЕ ДЕЙСТВУЮЩЕГО
ВЕЩЕСТВА ТЕТРАМЕТИЛТИУРАМДИСУЛЬФИД (ТМТД)
Принцип метода определения полноты протравливания основан на превращении ТМТД в медную соль диметилцитиокарбаминовой кислоты и колориметрическом измерении оптической плотности полученного окрашенного раствора.
Г.1 Избираемость метода
Присутствие микроэлементов (медь, бор, цинк, марганец, магний) в концентрациях, применяемых в современных технологиях протравливания, колориметрическому анализу ТМТД не мешает.
Г.2 Подготовка к определению
Приготовление реактива на ТМТД 0,1 г сульфаминовой кислоты, 0,3 г гидрохинона и 0,06 г сернокислой меди растворяют в 100 см3 дистиллированной воды. Хранят в холодильнике не более 20 дней.
Г.3 Приготовление стандартного раствора ТМТД
0,1 г чистого ТМТД (Д.В) растворяют в ацетоне в 100 см
3 мерной колбе; 10 см
3 этого раствора переносят в другую мерную колбу на 100 см
3 и доводят ацетоном до метки. Получают раствор с концентрацией 0,1 мг/см
3. Очистку ТМТД проводят переосаждением этанолом из раствора хлороформа. С этой целью 15 г ТМТД растворяют в 70 см
3 хлороформа и добавляют 150 см
3 этилового спирта. Выпавшие белые кристаллы отфильтровывают и сушат на воздухе при комнатной температуре. Стандартный раствор хранят в холодильнике. Раствор устойчив в течение двух месяцев. Для приготовления шкалы растворов в пробирки наливают от 0,2 до 2,0 см
3 стандартного раствора ТМТД. Состав растворов для построения градуировочной кривой приведен в
таблице Г.1.
Таблица Г.1
Состав растворов для построения градуировочной кривой
Компоненты градуировочных растворов | Номер градуировочных растворов и их объем, см3 |
| 2 | 3 | 4 | 5 | 6 | 7 | 8 | 9 |
Стандартный раствор ТМТД 0,1 мг/см3 | - | 0,2 | 0,5 | 0,7 | 1,0 | 1,2 | 1,5 | 1,7 | 2,0 |
Ацетон | 5,0 | 4,8 | 4,5 | 4,3 | 4,0 | 3,8 | 3,5 | 3,3 | 3,0 |
Реактив на ТМТД | 0,9 | 0,9 | 0,9 | 0,9 | 0,9 | 0,9 | 0,9 | 0,9 | 0,9 |
Содержание ТМТД, мкг | - | 20 | 50 | 70 | 100 | 120 | 150 | 170 | 200 |
|
Фактическая плотность приготовленных растворов измеряется на фотоэлектроколориметре при

в кюветах толщиной 1 см. Колориметрирование растворов может проводиться на фотоэлектроколориметре любого типа. Размер кюветы и светофильтр подбирают в соответствии с руководством по фотоэлектроколориметру. Количественную оценку результатов дают по калибровочному графику, построенному в координатах: оптическая плотность окрашенного раствора и концентрация ТМТД, мг.
Г.4 Определение полноты протравливания семян
Из средней пробы массой 400 г отбирают навеску обработанных семян массой 25 г (в трех повторностях), помещают в коническую колбу вместимостью 250 см
3, добавляют 25 см
3 воды, встряхивают в течение 1 мин. Часть экстракта фильтруют. В пробирки отбирают 0,1 - 0,5 см
3 (в зависимости от полноты протравливания данного образца) отфильтрованного экстракта, добавляют 4,5 - 4,9 см
3 ацетона и 0,9 см
3 реактива, закрывают их пробкой, встряхивают и через 10 - 15 мин измеряют оптическую плотность окрашенного раствора на фотоэлектроколориметре при

в кюветах толщиной 1 см. Контролем является раствор тех же компонентов, но с использованием необработанных протравителем семян.
(рекомендуемое)
ПЕРЕЧЕНЬ СРЕДСТВ ИЗМЕРЕНИЙ И ОБОРУДОВАНИЯ, ПРИМЕНЯЕМЫХ
ПРИ ОПРЕДЕЛЕНИИ ПОКАЗАТЕЛЕЙ АГРОТЕХНИЧЕСКОЙ ОЦЕНКИ
Д.1 Перечень средств измерений и оборудования
Аспирационный психрометр
<*> с погрешностью измерений влажности +/- 2%.
Термометр жидкостный стеклянный с погрешностью измерения +/- 1 °C по
ГОСТ 28498.
Термопреобразователь сопротивления с погрешностью измерений +/- 1 °C по
ГОСТ 6651.
Ареометр с погрешностью измерений +/- 0,1 кг/м
3 по
ГОСТ 18481.
Секундомер
<*> с погрешностью измерений +/- 1 с.
Весы неавтоматического действия высокого класса точности по
ГОСТ OIML R 76-1 с максимальным пределом взвешивания до 2000 г и погрешностью взвешивания не более 0,01 г.
Весы неавтоматического действия среднего класса точности по
ГОСТ OIML R 76-1 с максимальным пределом взвешивания 20 кг и погрешностью взвешивания не более 40 г.
Весы неавтоматического действия среднего класса точности по
ГОСТ OIML R 76-1 с максимальным пределом взвешивания 100 кг и погрешностью взвешивания не более 100 г.
Линейка металлическая длиной 500 мм с погрешностью измерений +/- 0,15 мм по
ГОСТ 427.
Шкаф сушильный
<*> с погрешностью измерения +/- 2 °C
Влагомер с погрешностью измерений не более +/- 2,0% по ГОСТ 21196.
Мельница электрическая
<*>.
--------------------------------
<*> По стандартам или нормативным документам, действующим в государствах - участниках Соглашения, принявших настоящий стандарт.
Угломер с погрешностью измерения +/- 1 по
ГОСТ 5378.
Допускается применение других средств измерений, утвержденных в установленном порядке и внесенных в Государственный реестр средств измерений государства, принявшего стандарт, с метрологическими характеристиками не ниже указанных.
УДК 631.331.92 | |
Ключевые слова: испытания, метод, машины для подготовки семян, опыт, проба, масса, доля, фракция, выход, чистота, материал, состав, вещество |