Главная // Актуальные документы // Ведомость (форма)СПРАВКА
Источник публикации
М.: Стандартинформ, 2020
Примечание к документу
Текст данного документа приведен с учетом
поправки, опубликованной в "ИУС", N 1, 2021;
поправки, введенной в действие с 12.10.2021, опубликованной в "ИУС", N 3, 2022.
Документ
введен в действие с 15.03.2021.
Название документа
"ГОСТ 34630-2019. Межгосударственный стандарт. Техника сельскохозяйственная. Машины для защиты растений. Опрыскиватели. Методы испытаний"
(введен в действие Приказом Росстандарта от 11.08.2020 N 478-ст)
"ГОСТ 34630-2019. Межгосударственный стандарт. Техника сельскохозяйственная. Машины для защиты растений. Опрыскиватели. Методы испытаний"
(введен в действие Приказом Росстандарта от 11.08.2020 N 478-ст)
по техническому регулированию
и метрологии
от 11 августа 2020 г. N 478-ст
МЕЖГОСУДАРСТВЕННЫЙ СТАНДАРТ
ТЕХНИКА СЕЛЬСКОХОЗЯЙСТВЕННАЯ
МАШИНЫ ДЛЯ ЗАЩИТЫ РАСТЕНИЙ. ОПРЫСКИВАТЕЛИ
МЕТОДЫ ИСПЫТАНИЙ
Agricultural machinery. Machinery for crop
protection. Spraying equipment. Test methods
ГОСТ 34630-2019
Дата введения
15 марта 2021 года
Цели, основные принципы и общие правила проведения работ по межгосударственной стандартизации установлены
ГОСТ 1.0 "Межгосударственная система стандартизации. Основные положения" и
ГОСТ 1.2 "Межгосударственная система стандартизации. Стандарты межгосударственные, правила и рекомендации по межгосударственной стандартизации. Правила разработки, принятия, обновления и отмены"
1 ПОДГОТОВЛЕН Новокубанским филиалом Федерального государственного бюджетного научного учреждения "Российский научно-исследовательский институт информации и технико-экономических исследований по инженерно-техническому обеспечению агропромышленного комплекса" (КубНИИТиМ)
2 ВНЕСЕН Федеральным агентством по техническому регулированию и метрологии
3 ПРИНЯТ Межгосударственным советом по стандартизации, метрологии и сертификации (протокол от 20 декабря 2019 г. N 125-П)
За принятие проголосовали:
Краткое наименование страны по МК (ИСО 3166) 004-97 | Код страны по МК (ИСО 3166) 004-97 | Сокращенное наименование национального органа по стандартизации |
Армения | AM | ЗАО "Национальный орган по стандартизации и метрологии" Республики Армения |
Беларусь | BY | Госстандарт Республики Беларусь |
Казахстан | KZ | Госстандарт Республики Казахстан |
Киргизия | KG | Кыргызстандарт |
Россия | RU | Росстандарт |
Таджикистан | TJ | Таджикстандарт |
Узбекистан | UZ | Узстандарт |
4
Приказом Федерального агентства по техническому регулированию и метрологии от 11 августа 2020 г. N 478-ст межгосударственный стандарт ГОСТ 34630-2019 введен в действие в качестве национального стандарта Российской Федерации с 15 марта 2021 г.
5 Настоящий стандарт подготовлен на основе применения ГОСТ Р 53053-2008 <1>
--------------------------------
<1>
Приказом Федерального агентства по техническому регулированию и метрологии от 11 августа 2020 г. N 478-ст ГОСТ Р 53053-2008 отменен с 15 марта 2021 г.
6 ВВЕДЕН ВПЕРВЫЕ
Информация о введении в действие (прекращении действия) настоящего стандарта и изменений к нему на территории указанных выше государств публикуется в указателях национальных стандартов, издаваемых в этих государствах, а также в сети Интернет на сайтах соответствующих национальных органов по стандартизации.
В случае пересмотра, изменения или отмены настоящего стандарта соответствующая информация будет опубликована на официальном интернет-сайте Межгосударственного совета по стандартизации, метрологии и сертификации в каталоге "Межгосударственные стандарты"
Настоящий стандарт распространяется на опрыскиватели: прицепные, навесные, самоходные, переносные (ранцевые), предназначенные для защиты сельскохозяйственных культур в растениеводстве, садоводстве, виноградарстве от вредителей и болезней путем обработки их химическими препаратами и их смесями с минеральными удобрениями (далее - опрыскиватели).
Стандарт устанавливает методы испытаний вышеперечисленных типов опрыскивателей.
В настоящем стандарте использованы нормативные ссылки на следующие межгосударственные стандарты:
ГОСТ 12.1.003 Система стандартов безопасности труда. Шум. Общие требования безопасности
ГОСТ 12.1.004 Система стандартов безопасности труда. Пожарная безопасность. Общие требования
ГОСТ 12.1.012 Система стандартов безопасности труда. Вибрационная безопасность. Общие требования
ГОСТ 12.2.002 Система стандартов безопасности труда. Техника сельскохозяйственная. Методы оценки безопасности
ГОСТ 12.2.019 Система стандартов безопасности труда. Тракторы и машины самоходные сельскохозяйственные. Общие требования безопасности
ГОСТ 12.2.062 Система стандартов безопасности труда. Оборудование производственное. Ограждения защитные
ГОСТ 12.2.111 <1> Система стандартов безопасности труда. Машины сельскохозяйственные навесные и прицепные. Общие требования безопасности
--------------------------------
ГОСТ 12.2.120 Система стандартов безопасности труда. Кабины и рабочие места операторов тракторов и самоходных сельскохозяйственных машин. Общие требования безопасности
ГОСТ 12.3.041 Система стандартов безопасности труда. Применение пестицидов для защиты растений. Требования безопасности
ГОСТ 12.4.026 Система стандартов безопасности труда. Цвета сигнальные, знаки безопасности и разметка сигнальная. Назначение и правила применения. Общие технические требования и характеристики. Методы испытаний
ГОСТ 17.2.2.05 <2> Охрана природы. Атмосфера. Нормы и методы определения выбросов вредных веществ с отработавшими газами дизелей, тракторов и самоходных сельскохозяйственных машин
--------------------------------
<2> В Российской Федерации действует
ГОСТ Р 41.96-2011 (Правила ЕЭК ООН N 96) "Единообразные предписания, касающиеся двигателей с воспламенением от сжатия, предназначенных для установки на сельскохозяйственных и лесных тракторах и внедорожной технике, в отношении выброса вредных веществ этими двигателями".
ГОСТ 27.002 Надежность в технике. Термины и определения
ГОСТ 112 Термометры метеорологические стеклянные. Технические условия
ГОСТ 166 (ИСО 3599-76) Штангенциркули. Технические условия
ГОСТ 427 Линейки измерительные металлические. Технические условия
ГОСТ 6376 Анемометры ручные со счетным механизмом. Технические условия
ГОСТ 7502 Рулетки измерительные металлические. Технические условия
ГОСТ 13758 (ИСО 500-79) Валы карданные сельскохозяйственных машин. Технические условия
ГОСТ 16504 Система государственных испытаний продукции. Испытания и контроль качества продукции. Основные термины и определения
ГОСТ 19856 Пестициды. Общие наименования
ГОСТ 20915 Испытания сельскохозяйственной техники. Методы определения условий испытаний
ГОСТ 21623 Система технического обслуживания и ремонта техники. Показатели для оценки ремонтопригодности. Термины и определения
ГОСТ 24055 Техника сельскохозяйственная. Методы эксплуатационно-технологической оценки
ГОСТ 25336 Посуда и оборудование лабораторные стеклянные. Типы, основные параметры и размеры
ГОСТ 25866 Эксплуатация техники. Термины и определения
ГОСТ 26025 Машины и тракторы сельскохозяйственные и лесные. Методы измерения конструктивных параметров
ГОСТ 26026 Машины и тракторы сельскохозяйственные и лесные. Методы оценки приспособленности к техническому обслуживанию
ГОСТ 26336 (ИСО 3767-1-82, ИСО 3767-2-82, ИСО 3767-3-88) Тракторы и сельскохозяйственные машины, механизированное газонное и садовое оборудование. Система символов для обозначения органов управления и средств отображения информации. Символы
| | ИС МЕГАНОРМ: примечание. ГОСТ 26953-86 утратил силу на территории Российской Федерации с 01.08.2020 в связи с введением в действие ГОСТ Р 58656-2019 (Приказ Росстандарта от 30.10.2019 N 1129-ст). | |
ГОСТ 26953 Техника сельскохозяйственная мобильная. Методы определения воздействия движителей на почву
ГОСТ 27388 Эксплуатационные документы сельскохозяйственной техники
ГОСТ 28305 Машины и тракторы сельскохозяйственные и лесные. Правила приемки на испытания
ГОСТ 31192.1 (ИСО 5349-1:2001) Вибрация. Измерение локальной вибрации и оценка ее воздействия на человека. Часть 1. Общие требования
ГОСТ 31193 (ЕН 1032:2003) Вибрация. Определение параметров вибрационной характеристики самоходных машин. Общие требования
ГОСТ 31319 (ЕН 14253:2003) Вибрация. Измерение общей вибрации и оценка ее воздействия на человека. Требования к проведению измерений на рабочих местах
ГОСТ 32431 (ISO 16154:2005) Машины для сельского и лесного хозяйства. Монтаж устройств освещения и световой сигнализации для проезда по дорогам общего пользования
ГОСТ OIML R 76-1 Государственная система обеспечения единства измерений. Весы неавтоматического действия. Часть 1. Метрологические и технические требования. Испытания
ГОСТ ISO 4254-1 <1> Машины сельскохозяйственные. Требования безопасности. Часть 1. Общие требования
--------------------------------
ГОСТ ИСО 5682-1 Оборудование для защиты растений. Оборудование распылительное. Часть 1. Методы испытаний распылительных насадок
ГОСТ ИСО 5682-2 Оборудование для защиты растений. Оборудование распылительное. Часть 2. Методы испытаний гидравлических распылителей
Примечание - При пользовании настоящим стандартом целесообразно проверить действие ссылочных стандартов и классификаторов на официальном интернет-сайте Межгосударственного совета по стандартизации, метрологии и сертификации (www.easc.by) или по указателям национальных стандартов, издаваемым в государствах, указанных в
предисловии, или на официальных сайтах соответствующих национальных органов по стандартизации. Если на документ дана недатированная ссылка, то следует использовать документ, действующий на текущий момент, с учетом всех внесенных в него изменений. Если заменен ссылочный документ, на который дана датированная ссылка, то следует использовать указанную версию этого документа. Если после принятия настоящего стандарта в ссылочный документ, на который дана датированная ссылка, внесено изменение, затрагивающее положение, на которое дана ссылка, то это положение применяется без учета данного изменения. Если ссылочный документ отменен без замены, то положение, в котором дана ссылка на него, применяется в части, не затрагивающей эту ссылку.
3.1 заданная концентрация рабочей жидкости: Концентрация, принятая и установленная для проведения испытаний в соответствии с Государственным каталогом пестицидов, разрешенных к применению.
3.2 препарат: Продукт, готовый для приготовления рабочей жидкости, состоящий из пестицида или его действующего начала и вспомогательных ингредиентов, способствующих улучшению качества рабочей жидкости.
3.3 густота покрытия каплями, шт./см2: Число капель, осевших на единице обработанной поверхности.
3.4 границы класса: Значения, определяющие верхнюю и нижнюю границы класса.
3.5 среднее значение класса: Среднеарифметическое значение верхней и нижней границ класса.
4.1 Цели, задачи и виды испытаний - по
ГОСТ 16504, а также по стандартам, действующим в государствах - участниках Соглашения, принявших настоящий стандарт.
4.2 Порядок представления опрыскивателей на испытания, оформление результатов приемки - в соответствии с ГОСТ 28305, а также в соответствии со стандартами, действующими в государствах - участниках Соглашения, принявших настоящий стандарт.
Эксплуатационные документы, представляемые с опрыскивателем, должны соответствовать ГОСТ 27388 и содержать рекомендации по оптимальной настройке и регулировке его на различных видах агрофона.
4.3 Опрыскиватель представляют на испытания не позднее чем за 15 дней до наступления агротехнических сроков выполнения работ.
Типовая программа испытаний включает виды оценок в соответствии с
таблицей 1.
Вид оценки | Вид испытаний |
Приемочные | | | |
1 Технических параметров (техническая экспертиза) | + | + | + | + |
2 Агротехническая | + | - | + | - |
3 Энергетическая | + | + | + | - |
4 Безопасности и эргономичности конструкции | + | + | + | + |
5 Эксплуатационно-технологическая | + | + | + | + |
6 Надежность | + | + | + | + |
7 Экономическая | + | - | + | - |
<*> Проводят в соответствии с 4.4. <**> Проводят в соответствии с 4.5. Примечание - Знак "+" означает, что оценку проводят, знак "-" - не проводят. |
4.4 При квалификационных и периодических испытаниях оценку безопасности и эргономичности конструкции (на соответствие
разделу 9) допускается не проводить в случае наличия сертификата соответствия, выданного аккредитованным органом по сертификации.
4.5 При проведении типовых испытаний опрыскивателей включают виды оценок, на изменение значения показателей которых повлияли изменения конструкции опрыскивателей.
4.6 Приемочные испытания опрыскивателей проводят в сравнении с аналогом для региона испытаний в идентичных условиях при обработке растений.
4.7 Применяемые средства измерений должны быть поверены или прокалиброваны до начала испытаний в соответствии с действующими в государствах - участниках Соглашения, принявших настоящий стандарт, правилами.
4.8 Нестандартные и единичные средства измерений, испытательное оборудование подлежат аттестации, проводимой в установленном порядке.
5 Подготовка к испытаниям
5.1 Перед началом испытаний на основании типовой программы испытаний составляют рабочую программу-методику испытаний, в которой указывают с учетом особенностей конкретного образца место и условия испытаний, режимы, перечень определяемых показателей по каждому виду оценки и методы их определения, наименования средств измерений и оборудования, применяемых при испытании, с указанием их погрешности.
5.2 При подготовке опрыскивателя к испытаниям необходимо:
- проверить показатели безопасности и составить акт предварительной оценки безопасности (акт должен быть составлен и утвержден при всех видах испытаний) и выдать заключение о возможности допуска к проведению испытаний;
- провести обкатку и регулировку в соответствии с руководством по эксплуатации.
5.3 Параметры, характеризующие условия работы опрыскивателя при испытаниях, должны находиться в пределах, соответствующих техническому заданию (далее - ТЗ), техническим условиям (далее - ТУ) на испытуемый опрыскиватель.
5.4 Перед проведением испытаний проводят обучение или инструктаж персонала по вопросам устройства и безопасной эксплуатации опрыскивателя.
6 Методы оценки технических параметров
6.1 Оценку технических параметров проводят по стандартам, действующим в государствах - участниках Соглашения, принявших настоящий стандарт.
6.2 Определение габаритных размеров, массы, ширины захвата и минимальных радиусов поворота - по ГОСТ 26025.
| | ИС МЕГАНОРМ: примечание. ГОСТ 26953-86 утратил силу на территории Российской Федерации с 01.08.2020 в связи с введением в действие ГОСТ Р 58656-2019 (Приказ Росстандарта от 30.10.2019 N 1129-ст). | |
6.3 Методы определения воздействия движителей на почву определяют по ГОСТ 26953.
6.4 Перечень технических параметров, характеризующих конструкцию опрыскивателя, приведен в
форме А.1 (приложение А).
7 Методы агротехнической оценки
7.1 Номенклатура определяемых показателей
Номенклатура показателей условий испытаний и качества выполнения технологического процесса, определяемых при агротехнической и эксплуатационно-технологической оценках опрыскивателей, приведена в
формах А.2 -
А.8 (приложение А).
7.2 Общие требования к проведению агротехнической оценки опрыскивателя
7.2.1 Агротехническую оценку опрыскивателей проводят при лабораторных и лабораторно-полевых испытаниях.
7.2.2 Определение показателей при лабораторных испытаниях проводят на чистой воде или воде, подкрепленной инертным красителем, а при лабораторно-полевых испытаниях проводят не менее чем на двух основных видах химикатов, для внесения которых предназначен опрыскиватель на оптимальной рабочей скорости.
7.3 Лабораторные испытания
Лабораторные испытания включают в себя определение условий испытаний, показателей, характеризующих работу распыливающих устройств, насоса, заправочного устройства.
7.3.1 Заданную норму расхода рабочей жидкости указывают, исходя из технологических карт по применению конкретных пестицидов при возделывании конкретных сельскохозяйственных культур.
7.3.2 Температуру жидкости измеряют термометром непосредственно перед проведением испытаний (опытов). Измерения проводят с погрешностью +/- 0,5 °C.
7.3.3 Показатели условий при лабораторных испытаниях записывают в
форму А.2 (приложение А).
7.3.5 Фактический расход жидкости через распыливающие устройства у опрыскивателей с вентиляторными, гидравлическими и вращающимися распылителями определяют на режимах, указанных в ТЗ (для опытных машин) и ТУ (для серийных машин).
7.3.5.1 Жидкость, вытекающую из одиночных наконечников распылителей, собирают в течение 1 - 2 мин в сосуды (емкости) и измеряют ее объем (дм3) с погрешностью не более 1% в трехкратной повторности.
При невозможности измерить объем жидкости, вытекающей из распылителей, расход определяют как средний за время опорожнения емкости в соответствии с техническим описанием или при частичном опорожнении емкости методом долива до начального уровня измеренного объема жидкости. Результаты по фактическому расходу жидкости записывают в
форму Б.1 (приложение Б) и вычисляют среднеарифметическое значение с округлением до первого десятичного знака.
7.3.5.2 Расход жидкости через наконечники ранцевых пневматических опрыскивателей определяют при изменении давления от 5 до 0,2 МПа (до полного выброса жидкости).
7.3.5.3 Расход жидкости через распылители брандспойта и других ранцевых опрыскивателей определяют при числе качаний в минуту рычага привода насоса, рекомендованном руководством по эксплуатации. Результаты записывают в
форму Б.1 (приложение Б).
7.3.5.4 Фактический расход жидкости у штанговых опрыскивателей определяют на режимах, рекомендуемых ТЗ (ТУ), но не менее чем на трех режимах по давлению, соответствующих основным видам работ.
Жидкость, вытекающую из каждого распылителя в течение 1 - 2 мин, собирают в сосуды и измеряют ее объем мерной емкостью с погрешностью не более 1% в трехкратной повторности. Результаты записывают в
форму Б.2 (приложение Б) и вычисляют среднеарифметическое значение с округлением до первого десятичного знака.
7.3.5.5 Средний минутный расход жидкости одним распылителем по ширине захвата машины

, дм
3/мин, вычисляют по формуле

(1)
где qi - расход жидкости i-м распылителем, дм3/мин;
n - число распылителей, шт.
Стандартное отклонение расхода жидкости между отдельными распылителями

, дм
3/мин, вычисляют по формуле
(2)
Неравномерность расхода жидкости между отдельными распылителями по ширине захвата выражают коэффициентом вариации

, %, и вычисляют по формуле

. (3)
Результаты записывают в
форму А.3 (приложение А).
7.3.6 Фактическую подачу жидкости насосом опрыскивателя определяют в трехкратной повторности при оптимальной частоте вращения приводного вала и четырех - пяти значениях давления в нагнетательной магистрали от нулевого до максимального рабочего давления. Для этого к нагнетательному патрубку насоса подсоединяют рукав высокого давления с манометром и краном. Жидкость, вытекающую из нагнетательных трубопроводов и редукционного устройства, собирают в емкость, вместимость которой предварительно измеряют. Время опыта измеряют секундомером с погрешностью +/- 1 с. Результаты записывают в
форму Б.3 (приложение Б).
7.3.7 Фактическую подачу жидкости заправочным устройством определяют при рабочем режиме и высоте всасывания, предусмотренной конструкцией. При этом определяют время, необходимое для заполнения емкости опрыскивателя, вместимость которой предварительно измеряют. Следует учитывать, что высота всасывания при заправке эжекционными и вакуумными устройствами равна расстоянию по вертикали от уровня жидкости до средней линии заправочного рукава (патрубка) эжектора, высота всасывания насоса равна расстоянию по вертикали от уровня жидкости в приемнике до всасывающих клапанов насоса или средней линии всасывающего патрубка. Результаты записывают в
форму Б.3 (приложение Б).
7.3.8 Результаты измерения и вычислений при лабораторных испытаниях записывают в
форму А.3 (приложение А).
7.3.9 Особенности методики лабораторных испытаний ультрамалообъемных (УМО) опрыскивателей приведены в
приложении В.
7.4 Лабораторно-полевые испытания
При лабораторно-полевых испытаниях определяют условия испытаний, режимы работы, показатели качества выполнения технологического процесса и биологической эффективности химической обработки.
7.4.1 Определение условий при лабораторно-полевых испытаниях
7.4.1.1 Тип насаждения (для сада, виноградника), год посева (посадки), сорт, схему посева (посадки) определяют на основании агротехнических данных хозяйства, где проводят испытания опрыскивателя.
7.4.1.2 Фазу развития растения выбирают в зависимости от цели испытаний и исходных требований по применению конкретных пестицидов.
7.4.1.3 Высоту растений, диаметр кроны измеряют у 10 растений, равномерно расположенных по диагонали участка. Высоту растения определяют измерением расстояния от поверхности почвы до верхней части растения в естественном состоянии, диаметр кроны - в местах наибольшей раскидистости. Погрешность измерений - +/- 1 см. Результаты измерений записывают в
форму Б.4 (приложение Б) и вычисляют среднеарифметическое значение с округлением до целого числа.
7.4.1.4 Расстояние между растениями в ряду измеряют рулеткой с погрешностью +/- 1 см. Число измерений не менее 10. Результаты записывают в
форму Б.4 (приложение Б) и вычисляют среднеарифметическое значение с округлением до целого числа.
7.4.1.5 Ширину междурядья определяют измерением расстояния между центрами растений двух смежных рядов. Измерения проводят в трех междурядьях не менее чем в 10 точках с погрешностью +/- 1 см. Результаты записывают в
форму Б.4 (приложение Б) и вычисляют среднеарифметическое значение с округлением до целого числа.
7.4.1.6 Число целых растений (кустов) определяют на четырех учетных площадках длинной 5 - 10 м (в зависимости от культуры), шириной, равной ширине захвата машины. Для загущенных посевов длина учетной площадки - 2,5 м.
Выделенные учетные площадки фиксируют колышками, которые сохраняют до конца проведения опытов.
До прохода опрыскивателя в пределах каждой площадки подсчитывают число целых растений (кустов). Результаты записывают в
форму Б.5 (приложение Б) и вычисляют среднеарифметическое значение с округлением до первого десятичного знака.
7.4.1.7 Засоренность участка сорняками при испытании машин для внесения гербицидов определяют по
ГОСТ 20915.
7.4.1.8 Число вредных организмов до химической обработки растений определяют на учетных площадках в соответствии
7.4.1.6. Результаты записывают в
форму Б.5 (приложение Б) и вычисляют среднеарифметическое значение с округлением до первого десятичного знака.
7.4.1.9 Рельеф, уклон и микрорельеф поля, влажность и твердость почвы, температуру, относительную влажность воздуха, скорость ветра, направление ветра по отношению к движению машины определяют по
ГОСТ 20915. Результаты измерений записывают в
форму А.2 (приложение А).
7.4.1.10 Вид и наименование пестицида определяют согласно паспортным данным и ГОСТ 19856.
7.4.1.11 Заданную концентрацию рабочей жидкости пестицида принимают в соответствии с агротехническими требованиями по применению конкретных пестицидов в регионе.
7.4.1.12 Заданную норму расхода рабочей жидкости определяют по
7.3.1.
7.4.1.13 Температуру рабочей жидкости при лабораторно-полевых испытаниях определяют по
7.3.2.
7.4.1.14 Результаты обработки данных по показателям условий испытаний записывают в
форму А.2 (приложение А).
7.4.2 Выбор режима работы
7.4.2.1 Рабочее давление в нагнетательной системе определяют по показанию приборов, установленных на испытуемом опрыскивателе в соответствии с руководством по эксплуатации.
7.4.2.2 Оптимальную рабочую скорость выбирают, исходя из состояния агрофона, фазы развития растения и обеспечения показателей качества выполнения технологического процесса, указанных в ТЗ (ТУ).
Рабочую скорость движения определяют на учетном проходе длиной не менее 50 м в трехкратной повторности.
Продолжительность опыта измеряют секундомером с погрешностью +/- 1 с, длину учетного прохода измеряют рулеткой с погрешностью +/- 1 см.
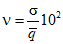
Рабочую скорость движения опрыскивателя

, км/ч, вычисляют по формуле

, (4)
где nп - число повторностей, шт.;
Li - длина пути, пройденного опрыскивателем за i-ю повторность опыта (длина учетного прохода) м;
ti - продолжительность i-й повторности опыта, с.
Вычисления проводят с округлением до первого десятичного знака.
Результаты измерений записывают в журнал испытаний.
7.4.2.3 Предварительный расход рабочей жидкости Q, дм3/га, вычисляют по формуле

, (5)
где B - ширина захвата опрыскивателя, м.
Значение

определяют при лабораторных испытаниях по
7.3.5.5.
7.4.2.4 Заданная норма расхода рабочей жидкости Qн, дм3/га, должна быть приведена в ТЗ (ТУ) и руководстве по эксплуатации.
Отклонение предварительного расхода рабочей жидкости от заданной нормы не должно превышать +/- 5%.
7.4.2.5 Норму расхода рабочей жидкости для опрыскивателей, работающих с брандспойтами, Qб, дм3/га, вычисляют по формуле

, (6)
где kн - коэффициент, равный 0,5 - 0,7.
Примечание - Необходимость введения kн в расчет объясняется тем, что при опрыскивании деревьев работают попеременно то длинной сосредоточенной струей, то короткой с большим углом распыления, в результате чего норма расхода постоянно изменяется.
При ленточном опрыскивании пропашных культур норму расхода жидкости Qл, дм3/мин, вычисляют по формуле

, (7)
где bл - ширина ленты, см;
bм - ширина междурядья, см.
7.4.3 Определение расхода рабочей жидкости
7.4.3.1 Фактический расход рабочей жидкости определяют при пробном опрыскивании путем выработки полного или частичного объема жидкости в емкости опрыскивателя. По объему вылитой жидкости и обработанной площади определяют фактический расход рабочей жидкости на гектар и при необходимости корректируют режим работы.
Фактический расход рабочей жидкости Qф, дм3/га, вычисляют по формуле

, (8)
где V1 - полный объем рабочей жидкости в емкости опрыскивателя, дм3;
V2 - объем рабочей жидкости, вылитой при обработке, дм3;
Bпл - ширина обработанной площади, м;
L' - длина обработанной площади, м.
Окончательно установленные регулировки записывают в журнал испытаний.
7.4.3.2 Отклонение фактического расхода рабочей жидкости от предварительного

, %, вычисляют по формуле

. (9)
7.4.3.3 Рабочую ширину захвата опрыскивателя Bр, м, вычисляют по формуле

, (10)
где

- общая рабочая ширина захвата за
nр рабочих проходов опрыскивателя, м;
nр - число рабочих проходов опрыскивателя.
Вычисления проводят с округлением до первого десятичного знака. Общую рабочую ширину захвата измеряют рулеткой с погрешностью +/- 1 см. Число проходов для опрыскивателей шириной захвата до 24 м должно быть не менее 10, для опрыскивателей шириной захвата свыше 24 м - не менее трех. Результаты записывают в
форму Б.6 (приложение Б).
7.4.4 Определение концентрации рабочей жидкости
7.4.4.1 Фактическую концентрацию приготовленных жидкостей в емкости опрыскивателя проверяют на суспензиях смачивающихся порошков и эмульсиях пестицидов с соблюдением всех требований безопасности при проведении испытаний и применении пестицидов по
ГОСТ 12.3.041.
Допускается проведение опытов на порошках-наполнителях (например, мелкодисперсный мел) и эмульсиях-заменителях.
7.4.4.2 Исходную концентрацию рабочей жидкости, подаваемой в испытуемый опрыскиватель перемешивающим устройством, проверяют на наименее стойкой из применяемых в зоне рабочей жидкости на двух значениях норм вылива (минимальной и максимальной).
Для определения исходной концентрации рабочей жидкости отбирают 10 проб в трехкратной повторности. Пробы отбирают непосредственно в колбы вместимостью от 0,25 до 0,50 дм3, предварительно пронумерованные и взвешенные с погрешностью +/- 0,05 г.
7.4.4.3 Фактическую концентрацию рабочей жидкости в емкости опрыскивателя определяют при работе в условиях нормальной эксплуатации или проведением дополнительных испытаний на оптимальной норме ее расхода.
Для отбора проб жидкости в местах подхода магистрали к рабочим органам устанавливают специальное приспособление. При проведении опыта допускается не подавать жидкость к рабочему органу, а выливать ее струей через дросселирующее устройство. При этом давление в магистрали и время опорожнения емкости должны соответствовать выбранному режиму работы.
7.4.4.4 При работе со штанговыми опрыскивателями пробы отбирают из двух крайних и одного среднего наконечника на каждой отдельной секции коллектора штанги. Перед проведением опыта определяют время опорожнения емкости и интервал отбора проб. После проведения подготовительных работ проводят опыт.
Вначале определяют концентрацию исходной жидкости в заправочном устройстве. Для этого в течение времени заправки опрыскивателя через равные промежутки времени отбирают от пяти до 10 проб (в зависимости от вместимости опрыскивателя и времени заправки) в трехкратной повторности. Пробы отбирают непосредственно в колбы. При малой продолжительности заправки пробы отбирают непрерывно.
Во время работы опрыскивателя отбирают от пяти до 10 проб рабочей жидкости в трехкратной повторности. Первый отбор проб проводят в начале работы опрыскивателя без включения подачи рабочей жидкости. Второй - после вылива из емкости примерно половины объема рабочей жидкости. Третий раз - в конце вылива рабочей жидкости.
Отобранные пробы направляют в химическую лабораторию для определения концентрации рабочей жидкости.
7.4.4.5 Анализ проб проводят в зависимости от применяемых рабочих жидкостей в соответствии с методами, изложенными в
приложении Г.
7.4.4.6 Результаты анализа проб исходной и фактической концентраций рабочих жидкостей (выливаемых из опрыскивателя) записывают в
форму Б.7 (приложение Б).
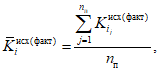
7.4.4.7 Вычисление неравномерности исходной и фактической концентраций рабочих жидкостей проводят в следующей последовательности:
а) среднеарифметическое значение исходной (фактической) концентрации рабочей жидкости
i-й пробы

, %, вычисляют по формуле

(11)
где

- исходная (фактическая) концентрация рабочей жидкости
i-й пробы в
j-й повторности, %;
б) среднеарифметическое значение исходной (фактической) концентрации рабочей жидкости за опыт

, %, вычисляют по формуле

(12)
где nпр - число проб, шт;
в) стандартное отклонение исходной (фактической) концентрации рабочей жидкости

, %, вычисляют по формуле

(13)
г) неравномерность (коэффициент вариации) исходной (фактической) концентрации рабочей жидкости

, %, вычисляют по формуле

. (14)
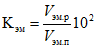
7.4.4.8 Степень поддержания значения исходной концентрации рабочей жидкости перемешивающим устройством опрыскивателя

вычисляют по формуле

, (15)
где

- неравномерность исходной концентрации рабочей жидкости, подаваемой в емкость опрыскивателя, %;

- неравномерность фактической концентрации рабочей жидкости, поступающей из емкости опрыскивателя на растение, %.
Результаты качества работы перемешивающего устройства опрыскивателя записывают в
форму А.4 (приложение А).
7.4.5 Определение густоты покрытия и дисперсность распыла рабочей жидкости
7.4.5.1 Густоту покрытия и дисперсность распыла рабочей жидкости опрыскивателями определяют при приемочных испытаниях на режимах в соответствии с ТЗ.
В качестве рабочей жидкости используют 1 - 2%-ный водный раствор красителя черного. Допускается применение 1 - 2%-ного раствора нигрозина или другого интенсивного водорастворимого красителя.
7.4.5.2 Густоту покрытия и дисперсность распыла определяют на карточках из мелованной бумаги, обработанных 3 - 5%-ным раствором парафина в толуоле (ортоксилоле) для уменьшения растекания улавливаемых капель. При обработке каждую карточку погружают в раствор, вынимают из него и помещают в сушилку.
7.4.5.3 Перед проведением опыта в зависимости от сельскохозяйственной культуры учетные карточки размещают по следующей схеме:
- на высокорослых плодовых культурах в трех ярусах по высоте дерева (верхнем, среднем, нижнем), в трех зонах по глубине (наружной, средней, внутренней) для нижнего и среднего ярусов, а в верхнем ярусе - в двух зонах (наружной и внутренней). В каждой зоне яруса размещают по четыре карточки во взаимно перпендикулярных плоскостях по схеме в соответствии с
рисунком 1. Размещение зон: внутренняя - на 0,5 м от ствола, средняя - делит пополам расстояние между наружной и внутренней зонами. Всего развешивают 32 карточки размерами 50 x 70 мм;
1 - 32 - места размещения карточек
Рисунок 1 - Схема размещения карточек на высокорослых
плодовых деревьях
- на кустах виноградников и деревьях пальметтного сада развешивают 14 карточек размерами 50 x 70 мм каждая по схеме в соответствии с
рисунком 2;
1 - 14 - места размещения карточек
Рисунок 2 - Схема размещения карточек
на винограднике, деревьях пальметтного сада
- куст овощных культур и хлопчатника делят на три яруса, в каждом ярусе размещают по три карточки размерами 35 x 200 мм по схеме в соответствии с
рисунком 3 под углом 120°. Анализируют верхнюю и нижнюю стороны карточек.
1 - 9 - места размещения карточек
Рисунок 3 - Схема размещения карточек на кустах овощных
культур и хлопчатнике
Способ крепления карточек к черенку листа показан на
рисунке 4.
Рисунок 4 - Способ крепления карточки к черенку листа
При работе штангового опрыскивателя число учетных карточек по ширине захвата определяют, исходя из их расстановки с шагом не более 0,2 м. Карточки раскладывают длинной стороной по ходу движения опрыскивателя. Опыт проводят в трехкратной повторности.
Для опрыскивателей, работающих методом бокового дутья (нанесением по ветру), карточки раскладывают на расстояние, превышающее ширину захвата на 25 м. Расстановку карточек проводят равномерно с интервалом не более 2 м, не менее 50 шт. на расчетной ширине захвата.
При внесении гербицидов ленточным способом определяют неравномерность распределения жидкости по ширине полосы и по ходу движения опрыскивателя. По ширине полосы (от 25 до 30 см) раскладывают карточки (6 шт.) длинной стороной по ходу движения опрыскивателя. Расстояние между рядами карточек по ходу опрыскивателя - от 30 до 40 м. Число рядов - не менее 10.
7.4.5.4 Испытуемый опрыскиватель проходит по участку и проводит обработку насаждений с карточками. После подсыхания карточки собирают, аккуратно укладывают и отправляют в лабораторию для анализа.
7.4.5.5 Для оценки густоты покрытия обработанной поверхности карточки (отдельно по верху и низу листа) распределяют на пять групп:
II - с густотой, менее допустимой по ТЗ;
III - с густотой, допустимой по ТЗ;
IV - с густотой, более допустимой по ТЗ;
Разбивку карточек на
группы I,
II,
III проводят по результатам их микроскопирования.
Карточки
групп IV и
V не анализируют под микроскопом.
Карточки
группы IV отбирают визуально, сравнивая с заранее подобранным эталоном с максимальной густотой покрытия, допустимой ТЗ.
К
группе V относят залитые карточки (с крупными расплывшимися каплями).
Густоту покрытия каплями определяют подсчетом капель на каждой карточке посредством микроскопирования или сканирования карточек с последующей обработкой результатов по специальной программе для ПЭВМ.
При микроскопировании каждой карточки должно быть просмотрено не менее пяти полос длиной 20 мм. Просматриваемые полосы следует располагать на различных участках карточки.
При сканировании обрабатывают все карточки по всей их площади. При подсчете капель учитывают просмотренную площадь.
Густоту покрытия карточки каплями Гп, шт./см2, по каждой карточке вычисляют по формуле

, (16)
где N - общее число учтенных капель, шт.;
S - просмотренная площадь, см2.
Результаты микроскопирования записывают в
форму Б.11 (приложение Б).
По результатам распределения карточек по группам в соответствии с густотой покрытия вычисляют количественную долю каждой группы от общего числа карточек для зон, ярусов, дерева в целом (для садов) и по ширине захвата для полевых культур. Результаты записывают в
формы А.5 -
А.7 (приложение А) соответственно.
7.4.5.6 Дисперсность (крупность) осевших капель на карточках определяют только на режимах, рекомендуемых ТЗ.
Обработку карточек для определения дисперсности проводят методом микроскопирования или сканированием и последующей обработкой на ПЭВМ по специальной программе.
При микроскопировании карточки всех повторностей, снятые с деревьев, кустов или растений, визуально (с помощью эталонов) распределяют по верху и низу листа на три группы капель:
- условно мелкие - до 150 мкм;
- средние - от 150 до 300 мкм;
- крупные - свыше 300 мкм.
По результатам распределения карточек по группам капель вычисляют количественную долю каждой группы от общего числа карточек. Результаты записывают в
форму А.8 (приложение А).
Из каждой группы крупности капель микроскопированию и последующей обработке подвергают по две характерные карточки с определением значения медианно-массового диаметра капель в каждой группе.
Результаты микроскопирования и обработки записывают в
формы Б.12,
Б.13 (приложение Б).
Пример обработки результатов микроскопирования приведен в
приложении Д.
При сканировании обрабатывают все карточки. При обработке данных сканирования капли по диаметру распределяют на три группы аналогично делению карточек при микроскопировании и вычисляют количественную долю каждой группы.
По результатам обработки данных, микроскопирования и сканирования вычисляют средневзвешенное значение медианно-массового диаметра осевших капель, которое сопоставляют с требованиями ТЗ.
По средневзвешенному значению медианно-массового диаметра капель опрыскиватель относят к определенной группе по дисперсности распыла в соответствии с
ГОСТ 21507.
7.4.6 Механические повреждения растений (кустов) определяют после прохода опрыскивателя путем их осмотра на учетных площадках в соответствии с
7.4.1.6.
Виды повреждений определяют в соответствии с ТЗ (ТУ) на испытуемый опрыскиватель.
К поврежденным относят растения (кусты):
- со сломанными стеблями;
- с оборванными листьями (пять и более листьев), черешками, листовой пластинкой;
- частично или полностью примятые;
- и др. в соответствии с ТЗ (ТУ).
Результаты записывают в
форму Б.14 (приложение Б) и вычисляют количественную долю поврежденных растений с округлением до первого десятичного знака.
7.4.7 Биологическую эффективность химической обработки характеризуют суммарным действием пестицида и качеством опрыскивания на объект обработки. Биологическую эффективность определяют по количественной доле погибших вредных организмов. Подсчет числа вредных организмов после химической обработки проводят на четырех учетных площадках в соответствии
7.4.1.8. Результаты записывают в
форму Б.14 (приложение Б) и вычисляют среднеарифметическое значение с округлением до первого десятичного знака.
Биологическую эффективность химической обработки

, %, вычисляют по формуле

, (17)
где Ад - число вредных организмов до проведения химической обработки, шт.;
Бп - число вредных организмов после проведения химической обработки, шт.
7.4.8 Показатели качества выполнения технологического процесса при лабораторно-полевых испытаниях опрыскивателя записывают в
формы А.3 -
А.8 (приложение А).
7.5 Средства измерений и оборудование, применяемые при определении показателей агротехнической оценки
Перечень средств измерений и оборудования, применяемых при определении показателей агротехнической оценки, приведен в приложении Е.
8 Методы энергетической оценки
8.1 Энергетическую оценку опрыскивателей проводят в соответствии со стандартами, действующими в государствах - участниках Соглашения, принявших настоящий стандарт.
8.2 Энергетическую оценку проводят одновременно с определением агротехнических показателей на фонах, указанных в
разделе 7.
8.3 Результаты энергетической оценки записывают в
форму А.9 (приложение А).
9 Методы оценки безопасности и эргономичности конструкции
Оценку безопасности и эргономичности конструкции опрыскивателя проводят по методам, изложенным в
ГОСТ 12.2.002 на соответствие требованиям ТЗ (ТУ) с определением показателей, приведенных в
форме А.10 (приложение А).
Результаты записывают в протокол по
форме А.11 (приложение А).
10 Методы оценки надежности
10.1 Оценку надежности опрыскивателей проводят по стандартам, действующим в государствах - участниках Соглашения, принявших настоящий стандарт, с определением показателей, приведенных в
форме А.12 (приложение А).
10.2 Опрыскиватели испытывают на видах работ в соответствии с
ГОСТ 24055.
10.3 Оценку надежности опрыскивателей осуществляют по результатам испытаний в условиях нормальной эксплуатации по
ГОСТ 25866.
10.4 Допускается оценка надежности серийно выпускаемых опрыскивателей по результатам наблюдений или разовых обследований в условиях реальной эксплуатации.
10.5 Для сокращения сроков испытаний допускается проводить ускоренные испытания на надежность при режимах, воспроизводящих эксплуатационные нагрузки.
Ускоренные испытания проводят на естественных полигонах или на специальных испытательных стендах с обеспечением привода рабочих органов и воспроизведения эксплуатационных нагрузок в рабочих органах и деталях несущей системы.
Если ускоренные испытания проводят по специальной методике, то ее излагают в протоколе или приложении к нему.
10.6 Наработку опрыскивателей измеряют в часах основного времени работы, а также в гектарах обработанной площади. Для учета наработки в часах основного времени работы проводят сплошной хронометраж.
Для опрыскивателей продолжительностью использования более одного месяца в году допускается определять время основной работы расчетом по наработке в физических единицах за весь период испытаний и производительности по результатам эксплуатационно-технологической оценки.
10.7 В течение всего периода испытаний ведут учет выявленных отказов и повреждений.
10.8 Определение затрат времени и труда на выявление и устранение отказов осуществляют пооперационным хронометражем. Погрешность измерения продолжительности операции - +/- 5 с.
10.8.1 Классификация элементов времени занятости каждого исполнителя при ремонте опрыскивателей - по
ГОСТ 21623.
10.8.2 Трудоемкость выполнения отдельных ремонтных операций определяют суммированием времени, затраченного на выполнение технологической операции каждым исполнителем.
10.9 Затраты времени и труда на выявление и устранение отказов в течение всего периода испытаний суммируют и учитывают при расчете показателей надежности.
10.10 Техническое состояние опрыскивателей, замененных (восстановленных), отказавших деталей и узлов оценивают при проведении заключительной технической экспертизы.
10.11 Информацию по операциям технического обслуживания собирают и обрабатывают по ГОСТ 26026.
10.12 Показатели надежности определяют по наработке, измеряемой часами основной работы, и оценивают сопоставлением фактических показателей надежности с нормативными значениями или с показателями сравниваемого опрыскивателя. Отклонение наработок сравниваемых опрыскивателей не должно быть более 20%.
10.13 Показатели надежности записывают в
форму А.12 (приложение А).
10.14 Значение показателей надежности определяют при достижении сезонной (заданной) наработки.
11 Методы эксплуатационно-технологической оценки
11.1 Эксплуатационно-технологическую оценку опрыскивателей проводят в соответствии с
ГОСТ 24055.
Во время испытаний контролируют соблюдение выбранного режима работы и качество выполнения технологического процесса.
Показатели условий испытаний и качества выполнения технологического процесса определяют по методам, изложенным в
разделе 7.
11.2 Сбор информации для эксплуатационно-технологической оценки проводят во время контрольных смен.
Сбор информации о нарушениях технологического процесса и технических отказах проводят в течение всего периода наблюдений.
11.3 Результаты эксплуатационно-технологической оценки записывают в
форму А.13 (приложение А).
12 Методы экономической оценки
Экономическую оценку опрыскивателя и оформление результатов проводят по стандартам, действующим в государствах - участниках Соглашения, принявших настоящий стандарт.
13 Обработка и анализ результатов испытаний
13.1 Обработку результатов испытаний опрыскивателя проводят по программе, разработанной для данного типа опрыскивателя.
13.2 Результаты испытаний оформляют в соответствии с
формами А.1 -
А.13 (приложение А).
13.3 Полученные результаты используют для анализа соответствия результатов испытаний опрыскивателя требованиям ТЗ (ТУ), а также для сопоставления их с показателями сравниваемого опрыскивателя.
13.4 На основании анализа полученных значений показателей делают выводы о качестве работы испытуемого опрыскивателя при выполнении заданного технологического процесса.
13.5 Общие выводы по результатам испытаний опрыскивателя делают на основании анализа показателей по всем видам оценок.
(рекомендуемое)
ОФОРМЛЕНИЕ РЕЗУЛЬТАТОВ ИСПЫТАНИЙ
Форма А.1 - Техническая характеристика опрыскивателя
Наименование показателя | Значение показателя |
Тип Агрегатируется (марка трактора) Привод Рабочая ширина захвата, на культурах, м Число рядов, обрабатываемых опрыскивателем, шт. Основная ширина междурядий, на которые рассчитан опрыскиватель, см Потребляемая мощность, кВт Рабочая скорость на обработке культур, км/ч Транспортная скорость, км/ч Производительность за час основного времени, га Количество обслуживающего персонала, чел.: - на агрегате - на приготовлении, подвозе препаратов - на других сопряженных операциях Габариты, мм: - опрыскивателя в рабочем положении: длина ширина высота - агрегата в рабочем положении: длина ширина высота Дорожный просвет, мм Общая масса опрыскивателя (с комплектом рабочих органов), кг в том числе: - масса отдельных комплектов рабочих органов, кг: 1) 2) | |
Распределение массы по опорам с заправленной емкостью, кг: ________________________ ________________________ Угол поперечной статической устойчивости опрыскивателя, ...° Радиус поворота агрегата, м: - по крайней наружной точке - по следу наружного колеса Необходимая ширина поворотной полосы, м Ширина колеи ходовых колес, м Пределы регулирования минутных расходов жидкости, дм3/мин Пределы норм расхода жидкости, дм3/га Число точек смазки всего, шт.: в том числе: - ежесменных - периодических - сезонных Трудоемкость ежесменного технического обслуживания, чел.-ч Число передач, шт.: - шарнирных (карданных) - цепных - ременных - редукторов Трудоемкость составления агрегата: - число рабочих, чел. - время, ч Коэффициент нагруженности шин Рабочее давление в гидросистеме, МПа Давление воздуха в шинах, МПа Максимальное давление движителей на почву, кПа, не более (для самоходных опрыскивателей): | |
а) в весенний период при влажности почвы в слое 0 - 30 см: св. 0,9 НВ св. 0,7 НВ до 0,9 НВ св. 0,6 НВ до 0,7 НВ св. 0,5 НВ до 0,6 НВ 0,5 НВ и менее б) в летне-осенний период при влажности почвы в слое 0 - 30 см: св. 0,9 НВ св. 0,7 НВ до 0,9 НВ св. 0,6 НВ до 0,7 НВ св. 0,5 НВ до 0,6 НВ 0,5 НВ и менее Другие показатели по отдельным узлам и рабочим органам ______________________________ ______________________________ ______________________________ | |
Форма А.2 - Показатели условий испытаний опрыскивателей при агротехнической и эксплуатационно-технологической оценках
Наименование показателя | Оценка |
агротехническая | эксплуатационно-технологическая |
лабораторные испытания | лабораторно-полевые испытания |
Дата | + | + | + |
Место испытаний | + | + | + |
Марка машины | + | + | + |
Характеристика культуры | | | |
Тип насаждения (сад, виноградник, сельскохозяйственная культура) | - | + | + |
Сорт | - | + | + |
Год посева (посадки) | - | + | + |
Схема посева (посадки) | - | + | + |
Фаза развития растения | - | + | + |
Высота растения, см | - | + | - |
Диаметр кроны, см | - | + | - |
Расстояние между растениями в ряду, см | - | + | - |
Ширина междурядья, см | - | + | + |
Число целых растений (кустов), шт. | - | + | - |
Засоренность участка сорняками, шт./м2 (при внесении гербицидов) | - | + | + |
Число вредных организмов, шт. | - | + | - |
Характеристика участка | | | |
Рельеф | - | + | + |
Уклон поля, ...° | - | + | + |
Микрорельеф | - | + | - |
Влажность почвы в слое от 0 до 10 см, % | - | + | - |
Твердость почвы в слое от 0 до 10 см, МПа | - | + | - |
Температура воздуха, °C: | | | |
- на высоте 0,5 м | - | + | - |
- на высоте 2,0 м | - | + | - |
Относительная влажность воздуха на высоте 2,0 м, % | - | + | - |
Скорость ветра, м/с: | | | |
- на высоте 0,5 м | - | + | - |
- на высоте 2,0 м | - | + | - |
Направление ветра по отношению к движению машины, ...° | - | + | - |
Вид и наименование пестицида | - | + | + |
Заданная концентрация рабочей жидкости, % | - | + | - |
Заданная норма расхода рабочей жидкости, дм3/га | + | + | + |
Температура рабочей жидкости, °C | + | + | + |
Примечание - Знак "+" означает, что показатель определяют, знак "-" - не определяют. |
Форма А.3 - Показатели качества выполнения технологического процесса при лабораторных испытаниях опрыскивателя
Наименование показателя | Значение показателя |
Угол распыления, ...° Фактический расход жидкости через распыливающие устройства, дм3/мин Неравномерность расхода жидкости между отдельными распылителями по ширине захвата машины, % Фактическая подача жидкости насосом, дм3/мин: - при давлении от 0 до n, МПа - при рабочем давлении, МПа Фактическая подача жидкости заправочным устройством, дм3/мин | |
Форма А.4 - Показатели качества выполнения технологического процесса перемешивающим устройством опрыскивателя при лабораторно-полевых испытаниях
Наименование показателя | Значение показателя |
Рабочая жидкость Пестицид (препарат) Исходная концентрация рабочей жидкости, подаваемой в емкость опрыскивателя, % Неравномерность исходной концентрации рабочей жидкости, подаваемой в емкость опрыскивателя, % Фактическая концентрация рабочей жидкости, поступающей из емкости опрыскивателя на растения, % Неравномерность фактической концентрации рабочей жидкости, поступающей из емкости опрыскивателя на растения, % Степень поддержания значения исходной концентрации рабочей жидкости перемешивающим устройством опрыскивателя | |
Форма А.5 - Характеристика густоты покрытия листовой поверхности по зонам и ярусам при лабораторно-полевых испытаниях опрыскивателя на обработке сада
Марка опрыскивателя _______ Диаметр отверстия распылителей, мм __________
Культура, сорт _____________ Скорость движения, км/ч _____________________
Рабочее давление, МПа _____ Частота вращения вентилятора, с-1 ____________
Расход жидкости, дм3/га ________________________________________________
Наименование показателя | Ярус | Среднеарифметическое значение по дереву |
нижний | средний | верхний |
Зона |
наружная | средняя | внутренняя | наружная | средняя | внутренняя | наружная | внутренняя |
Лист | Лист | Лист | Лист | Лист | Лист | Лист | Лист | Лист |
верх | низ | верх | низ | верх | низ | верх | низ | верх | низ | верх | низ | верх | низ | верх | низ | верх | низ |
1-й ряд | |
Количественная доля обработанной листовой поверхности, % с густотой покрытия, шт./см2: - необработанные - менее допустимой по ТЗ - допустимой по ТЗ - более допустимой по ТЗ - залитые | | | | | | | | | | | | | | | | | | |
2-й ряд | |
и т.д. |
Форма А.6 - Характеристика густоты покрытия листовой поверхности по зонам и ярусам при лабораторно-полевых испытаниях опрыскивателя на обработке пальметтного сада и виноградника
Марка опрыскивателя _______ Диаметр отверстия распылителей, мм __________
Культура, сорт _____________ Рабочая скорость, км/ч ______________________
Рабочее давление, МПа _____ Частота вращения вентилятора, с-1 ____________
Расход жидкости, дм3/га _______________________________________________
Наименование показателя | Ярус | Среднеарифметическое значение по дереву (кусту) |
нижний | средний | верхний | верхушка |
Зона |
наружная | внутренняя | наружная | внутренняя | наружная | внутренняя | наружная |
Лист | Лист | Лист | Лист | Лист | Лист | Лист | Лист |
верх | низ | верх | низ | верх | низ | верх | низ | верх | низ | верх | низ | верх | низ | верх | низ |
1-й ряд | |
Количественная доля обработанной листовой поверхности, % с густотой покрытия, шт./см2: - необработанные - менее допустимой по ТЗ - допустимой по ТЗ - более допустимой по ТЗ - залитые | | | | | | | | | | | | | | | | |
2-й ряд | |
и т.д. |
Форма А.7 - Режимы и показатели качества выполнения технологического процесса опрыскивателя при обработке полевых культур
Наименование показателя | Значение показателя |
Вид оценки |
агротехническая | эксплуатационно-технологическая |
Режим работы | | |
Рабочее давление, МПа | + | - |
Рабочая скорость, км/ч | + | + |
Заданный расход (норма) рабочей жидкости, дм3/га | + | + |
Показатели качества выполнения технологического процесса | | |
Фактический расход рабочей жидкости, дм3/га | + | + |
Отклонение фактического расхода рабочей жидкости от предварительного, % | + | - |
Рабочая ширина захвата, м | + | + |
Количественная доля обработанной листовой поверхности по рабочей ширине захвата, %, | | |
с густотой покрытия каплями: | | |
- необработанные | + | - |
- менее допустимой по ТЗ, шт./см2 | + | - |
- допустимой по ТЗ, шт./см2 | + | - |
- более допустимой по ТЗ, шт./см2 | + | - |
- залитые | + | - |
Медианно-массовый диаметр капель, мкм: | | |
- крупных | + | - |
- средних | + | - |
- мелких | + | - |
Механические повреждения растений, %: | | |
- всего | + | - |
- в том числе по видам повреждений в соответствии с ТЗ (ТУ) | + | - |
Биологическая эффективность химической обработки, % | + | - |
Примечание - Знак "+" означает, что показатель определяют, знак "-" - не определяют. |
Форма А.8 - Режимы и показатели качества выполнения технологического процесса опрыскивателя на обработке сада
Наименование показателя | Значение показателя |
Вид оценки |
агротехническая | эксплуатационно-технологическая |
Режим работы | | |
Рабочее давление, МПа | + | - |
Рабочая скорость, км/ч | + | + |
Заданный расход рабочей жидкости, дм3/га | + | + |
Показатели качества выполнения технологического процесса | | |
Фактический расход рабочей жидкости, дм3/га | + | + |
Отклонение фактического расхода рабочей жидкости от предварительного, % | + | - |
Рабочая ширина захвата, м: | | |
- рядов | + | + |
- полурядов | + | + |
Медианно-массовый диаметр капель, мкм: | | |
- 1-й ряд: | | |
крупных | + | - |
средних | + | - |
мелких | + | - |
- 2-й ряд: | | |
и т.д. | | |
Количественная доля листовой поверхности, обработанной со следующей дисперсностью капель, %: | | |
- 1-й ряд: | | |
крупных | + | - |
средних | + | - |
мелких | + | - |
- 2-й ряд: | | |
и т.д. | | |
Средневзвешенный по опыту медианно-массовый диаметр капель, мкм | + | - |
Механические повреждения растений, %: | | |
- всего | + | - |
- в том числе по видам повреждений в соответствии с ТЗ (ТУ) | + | - |
Биологическая эффективность химической обработки, % | + | - |
Примечание - Знак "+" означает, что показатель определяют, знак "-" - не определяют. |
Форма А.9 - Энергетические показатели
Наименование показателя | Значение показателя |
Дата проведения испытаний | |
Режим работы | |
Скорость движения, км/ч Рабочая ширина захвата, м Производительность, га/ч Фактический расход (норма) рабочей жидкости, дм3/га | |
Энергетические показатели | |
Мощность, потребляемая опрыскивателем, кВт Удельный расход топлива, кг/га Удельные энергозатраты за час основного времени на физическую единицу наработки, МДж/га | |
Форма А.10 - Номенклатура показателей безопасности и эргономичности конструкции машины
Наименование показателя | Значение показателя |
Требования к средствам доступа на рабочее место [ ГОСТ 12.2.120, ГОСТ ISO 4254-1, ТЗ (ТУ)] Требования к системе символов для обозначения органов управления и средств отображения информации [ГОСТ 26336, ТЗ (ТУ)] Требования к системе блокировки и предупредительной сигнализации [ ГОСТ 12.2.019, ГОСТ ISO 4254-1, ТЗ (ТУ)] Требования к исключению возможности самопроизвольного включения (выключения) рабочих органов [ ГОСТ 12.2.019, ТЗ (ТУ)] Требования к обзорности зон наблюдения [ ГОСТ 12.2.019, ГОСТ ISO 4254-1, ТЗ (ТУ)] | |
Рабочее пространство для оператора [ТЗ (ТУ)] Параметры микроклимата на рабочем месте оператора [ ГОСТ 12.2.120, ТЗ (ТУ)] Концентрация пыли в зоне дыхания оператора [ ГОСТ 12.2.120, ТЗ (ТУ)] Концентрация оксида углерода в зоне дыхания оператора [ ГОСТ 17.2.2.05, ТЗ (ТУ)] Удобство и безопасность обслуживания [ ГОСТ 12.2.019, ГОСТ ISO 4254-1, ТЗ (ТУ)] Требования к емкостям опрыскивателя, распыливающим устройствам, устройствам подачи химических препаратов к рабочим органам опрыскивателя [ ГОСТ 12.2.111, ТЗ (ТУ)] Требования к безопасности ранцевых опрыскивателей [ТЗ (ТУ)] | |
Форма А.11 - Показатели безопасности и эргономичности конструкции опрыскивателя (для протокола)
Наименование показателя, требования | Значение показателя | Заключение о соответствии |
по стандарту | по результатам испытаний |
| | | |
Форма А.12 - Показатели надежности
Наименование показателя | Значение показателя |
Общая наработка, ч, га Общее число отказов, шт., в том числе по группам сложности: - I группы - II группы - III группы Наработка на отказ, ч, га, в том числе по группам сложности: - I группы - II группы - III группы Среднее время восстановления, ч/отказ Время проведения ежесменного технического обслуживания, ч Трудоемкость ежесменного технического обслуживания, чел.-ч Удельная суммарная трудоемкость технических обслуживаний, чел.-ч/ч, чел.-ч/га Удельная суммарная оперативная трудоемкость технических обслуживаний, чел.-ч/ч, чел.-ч/га Удельная суммарная трудоемкость текущих ремонтов, чел.-ч/ч, чел.-ч/га Удельная суммарная оперативная трудоемкость текущих ремонтов, чел.-ч/ч, чел.-ч/га Коэффициент готовности: - с учетом организационного времени - по оперативному времени Коэффициент технического использования Перечень отказов и повреждений (помещают в приложении к протоколу) | |
Форма А.13 - Показатели условий испытаний и качества выполнения технологического процесса при эксплуатационно-технологической оценке
Наименование показателя | Значение показателя |
Период проведения оценки Место проведения Условия проведения испытаний <*>Состав агрегата Культура Технологическая операция Режим работы: - скорость движения, км/ч - рабочая ширина захвата, м Производительность за 1 ч времени, га/ч: - основного - технологического - сменного Удельный расход топлива за сменное время, кг/га Эксплуатационно-технологические коэффициенты: - рабочих ходов - технологического обслуживания - надежности технологического процесса - использования технологического времени - использования сменного времени Количество обслуживающего персонала, чел. Показатели качества выполнения технологического процесса <**> | |
|
(обязательное)
ФОРМЫ РАБОЧИХ ВЕДОМОСТЕЙ РЕЗУЛЬТАТОВ ИСПЫТАНИЙ
Б.1 Формы рабочих ведомостей результатов испытаний приведены в
формах Б.1 -
Б.14.
Форма Б.1 - Ведомость определения фактического расхода жидкости через наконечники вентиляторных, гидравлических, пневматических и ранцевых опрыскивателей
Марка опрыскивателя _________________________________________________
Место испытаний _____________________________________________________
Дата _______________________________________________________________
Тип наконечника ________________________ Опыт ________________________
Средства измерений __________________________________________________
Давление, МПа | Число наконечников, шт. | Диаметр отверстия распылителя, мм | Продолжительность опыта, мин | Объем жидкости, дм3 | Общий расход жидкости, дм3/мин | Средний расход жидкости через распылитель, дм3/мин |
Повторность | Среднеарифметическое значение |
1 | 2 | 3 |
| | | | | | | | | |
| | | | | | | | | |
| | | | | | | | | |
| | | | | | | | | |
Исполнитель | _____________ должность | _____________ личная подпись | _____________________ инициалы, фамилия |
Форма Б.2 - Ведомость определения фактического расхода жидкости через распылители полевого (штангового) опрыскивателя
Марка опрыскивателя _________________________________________________
Место испытаний _____________________________________________________
Дата _______________________________________________________________
Режим работы _________________________ Опыт _________________________
Средства измерений __________________________________________________
Наименование показателя | Диаметр отверстия распылителя, мм | Давление в сети, МПа | Продолжительность опыта, мин | Объем жидкости, дм3 | Расход жидкости (по распылителям), дм3/мин |
Повторность измерения | Среднеарифметическое значение |
1 | 2 | 3 |
Номер распылителя: 1 2 3 ... n | | | | | | | | |
Сумма | | | | | | | | |
Среднеарифметическое значение | - | - | - | - | - | - | - | |
Стандартное отклонение | | | | | | | | |
Коэффициент вариации, % | | | | | | | | |
Исполнитель | _____________ должность | _____________ личная подпись | _____________________ инициалы, фамилия |
Форма Б.3 - Ведомость учета фактической подачи жидкости насосом (заправочным устройством)
Марка опрыскивателя __________________________________________________
Место испытаний _________________ Наименование пестицида _______________
Дата ________________________________________________________________
Тип насоса ___________________________________________________________
Частота вращения вала насоса, с-1 ________________________________________
Средства измерений ___________________________________________________
Давление, МПа | Время опыта, мин | Постоянный объем вылитой (залитой) жидкости, дм3 | Средняя подача насоса (заправочного устройства), дм3/мин |
Повторность | Среднеарифметическое значение |
1 | 2 | 3 |
| | | | | | |
| | | | | | |
| | | | | | |
Исполнитель | _____________ должность | _____________ личная подпись | _____________________ инициалы, фамилия |
Форма Б.4 - Ведомость определения характеристики культуры
Марка опрыскивателя _________________________________________________
Место испытаний _____________________ Дата ___________________________
Культура, сорт _______________________ Схема посева (посадки) ____________
Средства измерений __________________________________________________
Размеры в сантиметрах
Измерение | Высота растения | Диаметр кроны | Расстояние между растениями в ряду | Ширина междурядья |
1 2 3 ... 10 | | | | |
Сумма | | | | |
Среднеарифметическое значение | | | | |
Исполнитель | _____________ должность | _____________ личная подпись | _____________________ инициалы, фамилия |
Форма Б.5 - Ведомость определения числа целых растений (кустов) и числа вредных организмов
Дата ________________________________________________________________
Марка опрыскивателя _________________________________________________
Место испытаний _____________________________________________________
Средства измерений __________________________________________________
Учетная площадка | Число целых растений (кустов), шт. | Число вредных организмов, шт. |
1 2 3 4 | | |
Сумма | | |
Среднеарифметическое значение | | |
Исполнитель | _____________ должность | _____________ личная подпись | _____________________ инициалы, фамилия |
Форма Б.6 - Ведомость определения рабочей ширины захвата
Дата ________________________________________________________________
Марка опрыскивателя _____________ Рабочая скорость, км/ч ________________
Место испытаний _____________________________________________________
Средства измерений __________________________________________________
Число рабочих проходов опрыскивателя | Общая рабочая ширина захвата, м | Рабочая ширина захвата опрыскивателя, м |
| | |
| | |
Исполнитель | _____________ должность | _____________ личная подпись | _____________________ инициалы, фамилия |
Форма Б.7 - Ведомость определения концентрации рабочей жидкости
Дата ________________________________________________________________
Марка опрыскивателя _________________________________________________
Место испытаний _____________________________________________________
Расход жидкости, дм3/га _______________________________________________
Средства измерений __________________________________________________
Наименование показателя | Концентрация рабочей жидкости, % |
Исходная | Фактическая |
повторность j | Среднеарифметическое значение  | повторность j | Среднеарифметическое значение  |
1 | 2 | 3 | 1 | 2 | 3 |
Номер пробы i: 1 2 3 ... nпр | | | | | | | | |
Среднеарифметическое значение | | | | |
Стандартное отклонение | | | | |
Неравномерность концентрации рабочей жидкости (коэффициент вариации), % | | | | |
Исполнитель | _____________ должность | _____________ личная подпись | _____________________ инициалы, фамилия |
Форма Б.8 - Ведомость группировки карточек по густоте покрытия (для пальметтного сада и виноградника)
Марка опрыскивателя _____________ Рабочая скорость, км/ч _______________
Место испытаний _________________ Дата ______________________________
Культура, сорт ___________________ Вариант опыта ______________________
Расход жидкости, дм3/га _______________________________________________
Повторность _________________________________________________________
Ярусы кроны | Зона кроны | Номер карточки | Число карточек, шт. |
необработанных | с густотой, менее допустимой по ТЗ, шт./см2 | с густотой, допустимой по ТЗ, шт./см2 | с густотой, более допустимой по ТЗ, шт./см2 | залитых |
Лист | Лист | Лист | Лист | Лист |
верх | низ | верх | низ | верх | низ | верх | низ | верх | низ |
Нижний | Наружная | | | | | | | | | | | |
Итого | | | | | | | | | | |
Внутренняя | | | | | | | | | | | |
Итого | | | | | | | | | | |
Средний | Наружная | | | | | | | | | | | |
Итого | | | | | | | | | | |
Внутренняя | | | | | | | | | | | |
Итого | | | | | | | | | | |
Верхний | Наружная | | | | | | | | | | | |
Итого | | | | | | | | | | |
Внутренняя | | | | | | | | | | | |
Итого | | | | | | | | | | |
Верхушка | Наружная | | | | | | | | | | | |
Итого | | | | | | | | | | |
Исполнитель | _____________ должность | _____________ личная подпись | _____________________ инициалы, фамилия |
Форма Б.9 - Ведомость определения карточек по густоте покрытия
Марка опрыскивателя _________________________________________________
Место испытаний ____________________ Дата ____________________________
Культура, сорт ______________________ Рабочая скорость, км/ч _____________
Расход жидкости, дм3/га ______________ Повторность _____________________
Густота покрытия каплями | Число карточек, шт. |
Ярус кроны | Зона кроны | Среднеарифметическое значение по дереву (кусту) |
верхний | средний | нижний | наружная | средняя | внутренняя |
Необработанные: - верх листа - низ листа | | | | | | | |
Менее допустимой по ТЗ, шт./см2: - верх листа - низ листа | | | | | | | |
Допустимая по ТЗ, шт./см2: - верх листа - низ листа | | | | | | | |
Более допустимой по ТЗ, шт./см2: - верх листа - низ листа | | | | | | | |
Залитые: - верх листа - низ листа | | | | | | | |
Сумма | | | | | | | |
Исполнитель | _____________ должность | _____________ личная подпись | _____________________ инициалы, фамилия |
Форма Б.10 - Сводная ведомость распределения карточек по густоте покрытия (средняя по повторностям)
Марка опрыскивателя _________________________________________________
Место испытаний _____________________________________________________
Культура, сорт _________________________ Дата _________________________
Расход жидкости, дм3/га _______________________________________________
Густота покрытия каплями | Ярус кроны | Зона кроны | Среднеарифметическое значение по дереву (кусту), шт. (%) |
верхний, шт. (%) | средний, шт. (%) | нижний, шт. (%) | наружная, шт. (%) | средняя, шт. (%) | внутренняя, шт. (%) |
Необработанные: - верх листа - низ листа | | | | | | | |
Менее допустимой по ТЗ, шт./см2: - верх листа - низ листа | | | | | | | |
Допустимая по ТЗ, шт./см2: - верх листа - низ листа | | | | | | | |
Более допустимой по ТЗ, шт./см2: - верх листа - низ листа | | | | | | | |
Залитые: - верх листа - низ листа | | | | | | | |
Сумма | | | | | | | |
Исполнитель | _____________ должность | _____________ личная подпись | _____________________ инициалы, фамилия |
Форма Б.11 - Ведомость определения густоты покрытия карточек
Марка опрыскивателя _________________________________________________
Место испытаний ________________________ Дата ________________________
Культура, сорт _______________________________________________________
Вариант опыта _______________________________________________________
Повторность _________________________________________________________
Средства измерений __________________________________________________
Номер карточки | Просмотренная площадь, см2 | Общее число учтенных капель, шт. | Густота покрытия каплями, шт./см2 |
1 2 3 ... n | | | |
Исполнитель | _____________ должность | _____________ личная подпись | _____________________ инициалы, фамилия |
Форма Б.12 - Ведомость определения микроскопирования карточек
Марка опрыскивателя _________________________________________________
Место испытаний __________ Культура, сорт __________ Дата ______________
Тип распылителя и диаметр отверстия __________________________________
Расход жидкости, дм3/га ______________________________________________
Давление жидкости, МПа _____________________________________________
Номер карточки _____________________________________________________
Рабочая скорость, км/ч _______________________________________________
Границы класса от kmin до kmax, делений окулярной сетки | Число зафиксированных капель, шт. | Число полос, шт. | Просмотренная площадь, см2 | Густота покрытия каплями j-го класса, шт./см2 |
| | | | |
Исполнитель | _____________ должность | _____________ личная подпись | _____________________ инициалы, фамилия |
Форма Б.13 - Ведомость определения дисперсности распыла жидкости
Дата ____________________________ Марка опрыскивателя ________________
Место испытаний _____________________________________________________
Тип распылителя _____________________________________________________
Режим работы _______________________________________________________
Диаметр отверстия, мм ____________ Вариант опыта ______________________
Номер карточки ______________________________________________________
Границы класса от kmin до kmax, делений окулярной сетки | Среднее значение класса kj, делений окулярной сетки | Средний объем капли каждого j-го класса  , делений окулярной сетки | Густота покрытия каплями j-го класса  , шт./см 2 | Масса жидкости, заключенной в каплях j-го класса  , делений окулярной сетки | Массовая доля веса жидкости j-го класса Pj, % | Накопленное значение массовой доли жидкости  , % | Диаметр капель dmin - dmax, мкм |
| | | | | | | |
Исполнитель | _____________ должность | _____________ личная подпись | _____________________ инициалы, фамилия |
Форма Б.14 - Ведомость определения механических повреждений культурных растений и биологической эффективности химической обработки
Марка опрыскивателя ______________ Рабочая скорость, км/ч ______________
Место испытаний ____________________________________________________
Культура, сорт ______________________________________________________
Вид обработки ____________________ Дата _____________________________
Наименование показателя | Число целых растений до прохода опрыскивателя, шт. (форма Б.5) | Повреждения растений | Число вредных организмов, шт. |
всего | в том числе по видам |
со сломанными стеблями | с оборванными листьями (пять и более листьев), черешками, листовой пластинкой | частично или полностью примятые | другие в соответствии с ТЗ (ТУ) |
шт. | % | шт. | % | шт. | % | шт. | % | шт. | % |
Учетная площадка: 1 2 3 4 | | | | | | | | | | | | |
Сумма | | | | | | | | | | | | |
Среднеарифметическое значение | | | | | | | | | | | | |
Биологическая эффективность химической обработки, % | - | - | - | - | - | - | - | - | - | - | - | |
Исполнитель | _____________ должность | _____________ личная подпись | _____________________ инициалы, фамилия |
(рекомендуемое)
МЕТОДИКА ОПРЕДЕЛЕНИЯ ПОКАЗАТЕЛЕЙ КАЧЕСТВА ВЫПОЛНЕНИЯ
ТЕХНОЛОГИЧЕСКОГО ПРОЦЕССА УЛЬТРАМАЛООБЪЕМНЫМИ
(УМО) ОПРЫСКИВАТЕЛЯМИ
В.1 Общие положения
Показатели условий и качества работы УМО опрыскивателей определяют в соответствии с
разделом 7.
В.2 Лабораторные испытания
В.2.1 Для проведения опытов рекомендуется использовать:
- препарат рицифон - 30% или фозалон - 35%;
- модельные жидкости - имитаторы препаратов:
- модельная жидкость МЖ-Г (на основе глицерина), представляющая собой смесь воды, ацетона и глицерина в равных объемных соотношениях;
- модельная жидкость МЖ-М (на основе мочевины), состоящая из воды (в дм3), ацетона (в дм3) и мочевины (в кг) в соотношении 2:2:1. При этом вначале растворяют мочевину в теплой воде, а затем к этому раствору добавляют ацетон.
Для препаратов УМО опрыскивателей используют флуоресцентные красители:
- для рицифона - 30%-ный уранин (1%-ный раствор красителя в препарате);
- для фозалона - 30%-ный родамин 6Ж (0,5%-ный раствор красителя в препарате);
- для модельных жидкостей - уранин (1%-ный раствор красителя в жидкости).
Примечание - Допускается применять и другие флуоресцентные красители, но перед их применением необходимо проверить их растворимость в препаратах или модельных жидкостях и интенсивность флуоресценции.
В.2.2 Для определения дисперсности осевших капель применяют стандартные предметные стекла с покрытием диметилдихлорсиланом (силиконом). Силиконовое покрытие уменьшает растекание капель и обеспечивает стабильный коэффициент растекания капель.
Подготовка и покрытие стекол состоит в следующем:
- предметные стекла тщательно моют и высушивают. Затем в течение одного часа выдерживают в условиях, близких к 100%-ной относительной влажности (в закрытой камере, где стоит сосуд с водой);
- готовят 5%-ный раствор (по объему) диметилдихлорсилана в одном из инертных органических растворителей (четыреххлористый углерод, бензол, толуол и т.д.). Лучшее качество силиконовой пленки получается при использовании четыреххлористого углерода;
- покрытие стекол проводят методом окунания. Стекло с помощью пинцета опускают в раствор, затем извлекают из него, слегка встряхивают и устанавливают на специальную подставку с прорезями;
- покрытые стекла выдерживают на воздухе в течение двух часов, затем помещают их в термостат на один час при температуре от 190 °C до 250 °C.
Качество полученной силиконовой пленки проверяют следующим образом:
- на стекло наносят каплю воды. При наклоне стекла капля должна скатываться, не оставляя за собой следа;
- при рассмотрении капли на стекле под десятикратной лупой границы капли должны быть ровными.
В.2.3 Густоту покрытия каплями обрабатываемой поверхности определяют на карточках размерами 50 x 70 мм, сделанных из бумаги типа "Filtrak" <1> или хроматографической.
--------------------------------
<1> Данная информация не является рекламой и приведена для удобства пользователей.
В.2.4 Перед проведением опыта учетные карточки размещают согласно схемам по
7.4.5.3 в зависимости от культуры.
Для опрыскивателей, работающих методом бокового дутья (нанесением по ветру), карточки раскладывают на расстояние, превышающее ширину захвата на 25 м.
Расстановку карточек проводят равномерно, с интервалом не более 2 м, не менее 50 шт. на расчетной ширине захвата.
Стекла для определения дисперсности осевших капель размещают:
- на высокорослых плодовых культурах (см.
рисунок 1) на уровне среднего яруса дерева по зонам размещают шесть стекол перпендикулярно к движению машины;
- на кустах виноградника и деревьях пальметтного сада (см.
рисунок 2) подвешивают в каждом учетном ряду на верхней шпалерной проволоке между кустами по одному стеклу;
- на картофеле и хлопчатнике (см.
рисунок 3) 10 стекол устанавливают на деревянных площадках на уровне верхней границы стеблестоя по всей ширине захвата через равные промежутки;
- для полевых вариантов опрыскивателя 10 стекол размещают на дощечках равномерно по всей ширине захвата на свободные от облиственности участки для лучшего оседания капель.
В.2.5 После проведения опытов стекла устанавливают вертикально в специальные ящики с пазами и сразу отправляют в лабораторию для обработки. Карточки укладывают в индивидуальные пакеты.
В.3 Обработка результатов
В.3.1 Для определения среднего значения за опыт медианно-массового диаметра осевших капель микроскопированию или сканированию подвергают все предметные стекла (карточки).
Микроскопирование или сканирование проводят непосредственно после завершения опыта с обязательной фиксацией времени, прошедшего с момента опрыскивания до начала микроскопирования или сканирования (для учета испарения капель при использовании в опытах препаратов для УМО-опрыскивателей).
В.3.2 Микроскопирование или сканирование стекол (карточек), формирование капельной выборки, состоящей из определенного количества измеренных капель, распределенных по классам размеров, и статистическую обработку результатов с расчетом медианно-массового диаметра осевших капель на каждом
i-м стекле (карточке)

проводят по методике
приложения Д со следующими изменениями:
- сканированию и последующей обработке подвергают все обработанные карточки;
- микроскопирование проводят при увеличении микроскопа порядка 90 - 100 раз, при этом предварительно определяют цену деления окулярной сетки

микроскопа и ширину просматриваемой полосы в сантиметрах;
- при микроскопировании на стекле интервал класса размеров капель должен быть равен одному делению окулярной сетки;
- коэффициент растекания используемой рабочей жидкости на стекле, покрытом силиконом:
- 1,865 +/- 0,06 - для рицифона;
- 1,90 +/- 0,06 - для фозалона;
- 1,58 - для модельной жидкости МЖ-Г;
- 1,41 - для модельной жидкости МЖ-М.
Фактический диаметр осевших капель по каждой карточке

, мкм, с учетом испарения вычисляют по формуле

,
(В.1)
где

- время, прошедшее с момента опрыскивания до начала микроскопирования, с;
К
и - коэффициент испарения, для рицифона - 30%

, для фозалона - 35%

.
Для модельных жидкостей коэффициент испарения принимают 
.
В.3.3 По известным значениям фактического медианно-массового диаметра капель на каждом стекле (карточке)

определяют среднеарифметическое значение массового диаметра осевших капель по опыту

, мкм, по формуле

(В.2)
где nс - число обработанных стекол, шт.
Полученное значение

сопоставляют с допустимым значением по ТЗ.
В.3.4 Густоту покрытия каплями определяют подсчетом капель на всех карточках при их микроскопировании или сканировании. При микроскопировании просматривают по 10 полос по всей длине карточки. При подсчете капель учитывают общую просмотренную площадь. Степень увеличения микроскопа, цену деления и ширину просмотренной полосы рассчитывают согласно
В.3.2.
Густоту покрытия каплями каждой
i-й карточки

, шт./см
2, вычисляют по формуле

, (В.3)
где Ni - общее число учтенных капель на i-й карточке, шт.;
Si - общая просмотренная площадь на i-й карточке, см2.
Среднее значение густоты покрытия по верху и низу отдельно в каждой зоне усредняют по трем повторностям.
Для многолетних насаждений данные по густоте покрытия листовой поверхности каплями приводят в виде таблиц, с указанием густоты покрытия в каждом ряду обрабатываемых насаждений.
Для полевых культур по полученным данным строят график распределения густоты покрытия по ширине захвата.
Данные по густоте покрытия сопоставляют с требованиями ТЗ.
(рекомендуемое)
ОПРЕДЕЛЕНИЕ КОНЦЕНТРАЦИИ РАБОЧИХ ЖИДКОСТЕЙ В ХИМИЧЕСКОЙ
ЛАБОРАТОРИИ
Г.1 Определение концентрации суспензии
Отобранные пробы рабочей жидкости, поступившие в химическую лабораторию, немедленно взвешивают и результаты записывают в журнал анализов. Колбы с пробами оставляют на 1 - 2 суток для отстаивания суспензии.
При полном выпадении осадка граница в колбе между осадком и водой четко заметна и слой воды становится прозрачным. При наличии в смачивающихся порошках, из которых приготовлена суспензия, большого количества водорастворимых компонентов слой воды может иметь окраску. Затем сифонным методом из колб удаляют воду, оставляя только ее незначительную часть над слоем осадка. Обезвоженные пробы ставят в сушильный шкаф для сушки при температуре не более 110 °C (в зависимости от вида пестицида). Пробы высушивают до постоянной массы и взвешивают с погрешностью +/- 0,05 г.
Концентрацию суспензии каждой пробы Kс, %, вычисляют по формуле

, (Г.1)
где mо - масса колбы с осадком после высушивания, г;
mк - масса колбы, г;
mс - масса колбы с суспензией до отстаивания, г.
Г.2 Определение концентрации эмульсии
Отобранные пробы рабочей жидкости, поступившие в химическую лабораторию, переливают в мерные цилиндры вместимостью от 0,25 до 0,50 дм3, измеряют объем жидкости и оставляют до заметного расслаивания. После расслаивания определяют объем эмульсии над уровнем воды.
Концентрацию эмульсии каждой пробы Kэм, %, вычисляют по формуле

, (Г.2)
где Vэм.р - объем эмульсии над уровнем воды после расслаивания, см3;
Vэм.п - первоначальный объем пробы до расслаивания, см3.
Для трудно расслаиваемых эмульсий при определении их концентрации рекомендуется применять пикнометр, денсиметр и др.
(справочное)
ПРИМЕР ОБРАБОТКИ РЕЗУЛЬТАТОВ МИКРОСКОПИРОВАНИЯ КАРТОЧЕК
Д.1 При микроскопировании карточек формируется капельная выборка, состоящая из определенного числа измеренных капель, распределенных по классам размеров в соответствии с
формами Б.12,
Б.13 (приложение Б). Пример заполнения форм приведен в
таблицах Д.1,
Д.2.
Таблица Д.1 - Данные микроскопирования карточек
Дата ______________________ Марка опрыскивателя ____________________
Место испытаний ____________ Тип распылителя и диаметр отверстия _______
Расход жидкости, дм3/га ______ Номер карточки __________________________
Скорость движения, км/ч ______ Рабочее давление, МПа __________________
Границы класса от kmin до kmax, делений окулярной сетки | Число зафиксированных капель, шт. | Число полос, шт. | Просмотренная площадь, см2 | Густота покрытия каплями j-го класса, шт./см2 |
От 1 до 3 включ. | 170 | 2/3 | 0,56 | 303,60 |
Св. 3 до 5 включ. | 134 | 2/3 | 0,56 | 239,60 |
Св. 5 до 7 включ. | 68 | 2/3 | 0,56 | 121,40 |
Св. 7 до 9 включ. | 51 | 1 | 0,84 | 60,71 |
Св. 9 до 11 включ. | 70 | 2 | 1,68 | 41,67 |
Св. 11 до 13 включ. | 70 | 2 | 1,68 | 41,67 |
Св. 13 до 15 включ. | 40 | 2 | 1,68 | 23,81 |
Св. 15 до 17 включ. | 49 | 3 | 2,52 | 19,44 |
Св. 17 до 19 включ. | 39 | 4 | 3,36 | 11,61 |
Св. 19 до 21 включ. | 22 | 4 | 3,36 | 6,55 |
Св. 21 до 23 включ. | 14 | 4 | 3,36 | 4,17 |
Св. 23 до 25 включ. | 27 | 4 + 6 | 8,40 | 3,21 |
Св. 25 до 27 включ. | 18 | 4 + 6 | 8,40 | 2,14 |
Св. 27 до 29 включ. | 14 | 4 + 6 | 8,40 | 1,67 |
Св. 29 до 31 включ. | 10 | 4 + 6 | 8,40 | 1,19 |
Св. 31 до 33 включ. | 14 | 4 + 6 + 10 | 16,80 | 0,83 |
Св. 33 до 35 включ. | 11 | 4 + 6 + 10 | 16,80 | 0,65 |
Св. 35 до 37 включ. | 8 | 4 + 6 + 10 | 16,80 | 0,48 |
Св. 37 до 39 включ. | 5 | 4 + 6 + 10 | 16,80 | 0,30 |
Св. 39 до 41 включ. | 2 | 4 + 6 + 10 | 16,80 | 0,12 |
Св. 41 до 43 включ. | 1 | 4 + 6 + 10 | 16,80 | 0,06 |
Таблица Д.2 - Определение дисперсности распыла жидкости
Дата __________________________ Марка опрыскивателя __________________
Место испытаний _____________________________________________________
Режим работы _______________________________________________________
Тип распылителя ________________ Диаметр отверстия, мм _________________
Вариант опыта __________________ Номер карточки _______________________
Границы класса от kmin до kmax, делений окулярной сетки | Среднее значение класса kj, делений окулярной сетки | Средний объем капли каждого j-го класса  , делений окулярной сетки | Густота покрытия каплями j-го класса  , шт./см 2 | Масса жидкости, заключенной в каплях j-го класса  , делений окулярной сетки | Массовая доля жидкости j-го класса Pj, % | Накопленное значение массовой доли жидкости  , % | Диаметр капель dmin - dmax, мкм |
От 1 до 3 включ. | 2 | 8 | 303,60 | 2429 | 0,32 | 0,32 | 14 - 41 |
Св. 3 до 5 включ. | 4 | 64 | 239,30 | 15315 | 2,03 | 2,35 | 41 - 68 |
Св. 5 до 7 включ. | 6 | 216 | 121,40 | 26222 | 3,48 | 5,83 | 68 - 96 |
Св. 7 до 9 включ. | 8 | 512 | 60,71 | 31083 | 4,13 | 9,96 | 96 - 123 |
Св. 9 до 11 включ. | 10 | 1000 | 41,67 | 41670 | 5,54 | 15,50 | 123 - 150 |
Св. 11 до 13 включ. | 12 | 1728 | 41,67 | 72006 | 9,57 | 25,07 | 150 - 177 |
Св. 13 до 15 включ. | 14 | 2744 | 23,81 | 65335 | 8,68 | 33,75 | 177 - 205 |
Св. 15 до 17 включ. | 16 | 4096 | 19,44 | 79626 | 10,58 | 44,33 | 205 - 232 |
Св. 17 до 19 включ. | 18 | 5832 | 11,61 | 67709 | 8,99 | 53,32 | 232 - 259 |
Св. 19 до 21 включ. | 20 | 8000 | 6,55 | 52400 | 6,96 | 60,28 | 259 - 287 |
Св. 21 до 23 включ. | 22 | 10648 | 4,17 | 44402 | 5,90 | 66,18 | 287 - 314 |
Св. 23 до 25 включ. | 24 | 13824 | 3,21 | 44375 | 5,90 | 72,08 | 314 - 341 |
Св. 25 до 27 включ. | 26 | 17576 | 2,14 | 37613 | 5,00 | 77,08 | 341 - 368 |
Св. 27 до 29 включ. | 28 | 21952 | 1,67 | 36660 | 4,87 | 81,95 | 368 - 396 |
Св. 29 до 31 включ. | 30 | 27000 | 1,19 | 32130 | 4,27 | 86,22 | 396 - 423 |
Св. 31 до 33 включ. | 32 | 32768 | 0,83 | 27197 | 3,61 | 89,83 | 423 - 450 |
Св. 33 до 35 включ. | 34 | 39304 | 0,65 | 25548 | 3,39 | 93,22 | 450 - 478 |
Св. 35 до 37 включ. | 36 | 46656 | 0,48 | 22395 | 2,98 | 96,20 | 478 - 505 |
Св. 37 до 39 включ. | 38 | 54872 | 0,30 | 16462 | 2,19 | 98,39 | 505 - 532 |
Св. 39 до 41 включ. | 40 | 64000 | 0,12 | 7680 | 1,02 | 99,41 | 532 - 559 |
Св. 41 до 43 включ. | 42 | 74088 | 0,06 | 4445 | 0,59 | 100,00 | 559 - 587 |
Сумма | | | | 752702 | | | |
Для упрощения дальнейших расчетов классы размеров капель выражены в числе делений окулярной сетки микроскопа:
- kmin - нижний предел каждого класса размеров капель, выраженный в числе делений окулярной сетки;
- kmax - верхний предел каждого класса размеров капель, выраженный в числе делений окулярной сетки.
Среднее значение класса k1 вычисляют по формуле

. (Д.1)
При микроскопировании карточку устанавливают на стол препаратоводителя и просматривают полосами длиной l = 50 - 60 мм. Ширину полосы определяют числом делений окулярной линейки или сетки в поле зрения микроскопа при выбранном увеличении.
При просмотре фиксируют:
- число капель Nj в каждом классе размеров капель;
- число просмотренных полос для каждого класса размеров капель.
Обязательным является просмотр четырех полос. Если после просмотра четырех полос в классе kj окажется менее 10 капель, то просматривают еще шесть полос, фиксируя только капли класса kj и больше.
После просмотра 10 полос карточки, на которых имеются капли среднего значения класса 30 и более делений окулярной сетки, микроскопируют дальше и фиксируют капли того же класса и ниже. Если на 10 полосах зафиксировано менее 10 капель, дополнительно просматривают еще 10 полос.
На плотно покрытых карточках с границами классов от 15 до 17 делений окулярной сетки просматривают две полосы (не менее 500 капель), причем число капель для этих классов должно быть не менее 20, а для классов с границами от 11 до 13 - свыше 13 до 15 делений окулярной сетки и т.д., минимальное число капель должно быть больше.
Результаты просмотра записывают в
форму Б.12 (приложение Б).
Обработку результатов микроскопирования проводят в следующей последовательности.
Для каждого класса размеров капель вычисляют:
- общую просмотренную площадь Sj, см2, по формуле
Sj = lbпZj, (Д.2)
где l - длина просматриваемой полосы, см;
bп - ширина просматриваемой полосы, см;
Zj - число просмотренных полос для каждого класса размеров капель;
- число капель, приходящееся на 1 см2 просмотренной площади (густоту покрытия).
Густоту покрытия каплями

, шт./см
2, вычисляют по формуле

, (Д.3)
где Nj - число капель, зафиксированное в каждом классе размеров при микроскопировании;
- для каждого класса размеров капель значение

, характеризующее массу жидкости, заключенной в каплях этого класса;
- сумму значений

, т.е. суммы по вертикали;
- массовую долю жидкости Pj, %, содержащуюся в каждом классе, по формуле

(Д.4)
где nкл - число классов;
- накопленные значения массовой доли жидкости

, %, для каждого последующего класса по формуле

. (Д.5)
Проверка
Сумма накопленных значений массовых долей жидкости для всех классов должна составлять 100%.
Результаты записывают в
форму Б.13 (приложение Б).
По данным
формы Б.13 (приложение Б) строят интегральную кривую распределения массовой доли жидкости по классам размеров капель в координатах

(см.
рисунок Д.1).
Рисунок Д.1 - Интегральная кривая распределения
капель по объему
По оси абсцисс откладывают максимальные значения диаметров капель каждого класса в микрометрах. По оси ординат откладывают накопленные значения массовой доли жидкости

, соответствующие каждому классу размеров капель.
По полученным данным строят плавную кривую. Значения диаметров капель dj, мкм, вычисляют по формуле

, (Д.6)
где kj - размер капли, выраженный в числе делений окулярной сетки;

- цена одного деления окулярной сетки, мкм;

- коэффициент растекания (для карточек из мелованной бумаги, покрытых парафином,

);
- медианно-массовый диаметр капель dm определяют по таблице дисперсности распыла, где он соответствует массовой доле жидкости в 50%, или из графика интегрального распределения.
Для этого из точки по оси ординат, соответствующей значению 50%, проводят линию, параллельную оси ординат, до пересечения с осью абсцисс. Точка пересечения с осью абсцисс и определяет значение медианно-массового диаметра капель.
Пример статистической обработки результатов микроскопирования и определения медианно-массового диаметра капель приведен в
таблицах Д.1,
Д.2 и на
рисунке Д.1. Цена деления окулярной сетки 14 мкм при увеличении в 54 раза. Ширина полосы 1,4 мм.
Средневзвешенный медианно-массовый диаметр капель

, мкм, вычисляют по формуле

, (Д.7)
где

,

,

- средние значения (по двум карточкам) медианно-массовых диаметров соответственно крупных, средних и мелких капель, мкм;
вк, вс, вм - процентное содержание карточек соответственно с крупными, средними и мелкими каплями, %.
Критерием способа опрыскивания является средневзвешенный медианно-массовый диаметр капель. По результатам микроскопирования способ опрыскивания относят к крупнокапельному (более 150 мкм), мелкокапельному (свыше 50 до 150 мкм), высокодисперсному (от 25 до 50 мкм) в соответствии с
ГОСТ 21507.
(рекомендуемое)
ПЕРЕЧЕНЬ СРЕДСТВ ИЗМЕРЕНИЙ И ОБОРУДОВАНИЯ, ПРИМЕНЯЕМЫХ
ПРИ ОПРЕДЕЛЕНИИ ПОКАЗАТЕЛЕЙ АГРОТЕХНИЧЕСКОЙ ОЦЕНКИ
Е.1 Перечень средств измерений и оборудования:
- анемометр с погрешностью измерений +/- [0,3
-0,5 v <1>], м/с, по
ГОСТ 6376;
- термометры минимальный и максимальный с погрешностью измерений +/- 0,1 °C по
ГОСТ 112;
- психрометр ручной с погрешностью измерений +/- 2% по
ГОСТ 6376;
- твердомер почвенный с погрешностью измерений +/- 5%;
- шкаф сушильный с погрешностью измерений +/- 2 °C;
- анеморумбометр с погрешностью измерений:
- скорости ветра +/- [0,5+0,4
v <1>], м/с;
- направления ветра +/- 5°;
--------------------------------
<1> Измеряемая скорость воздушного потока.
- весы неавтоматического действия высокого класса точности по
ГОСТ OIML R 76-1 с максимальным пределом взвешивания до 2000 г и погрешностью взвешивания не более 0,01 г;
- весы неавтоматического действия среднего класса точности по
ГОСТ OIML R 76-1 с максимальным пределом взвешивания от 20 до 30 кг и погрешностью взвешивания не более 20 г;
- секундомер с погрешностью измерений +/- 1 с;
- микроскоп биологический с препаратоводителем с погрешностью измерений 0,1 мм;
- рулетка длиной 20 м 3-го класса точности по
ГОСТ 7502 с погрешностью измерений +/- 4,5 мм;
- линейка металлическая длиной 500 мм по
ГОСТ 427 с погрешностью измерений +/- 0,5 мм;
- штангенциркуль с погрешностью измерений +/- 0,1 мм по
ГОСТ 166.
Допускается применение других средств измерений, утвержденных в установленном порядке и внесенных в Государственный реестр средств измерений государства, принявшего стандарт, с метрологическими характеристиками не ниже указанных.
УДК 631.348.45.001.8:006.354 | |
Ключевые слова: опрыскиватели, испытания, виды оценок, номенклатура показателей, методы определения, опыт, методы испытаний, техника сельскохозяйственная, условия испытаний |