Главная // Актуальные документы // Ведомость (форма)СПРАВКА
Источник публикации
М.: Стандартинформ, 2020
Примечание к документу
Текст данного документа приведен с учетом
поправки, опубликованной в "ИУС", N 1, 2021.
Документ
введен в действие с 15.03.2021.
Название документа
"ГОСТ 34629-2019. Межгосударственный стандарт. Техника сельскохозяйственная. Жатки валковые. Методы испытаний"
(введен в действие Приказом Росстандарта от 11.08.2020 N 477-ст)
"ГОСТ 34629-2019. Межгосударственный стандарт. Техника сельскохозяйственная. Жатки валковые. Методы испытаний"
(введен в действие Приказом Росстандарта от 11.08.2020 N 477-ст)
по техническому регулированию
и метрологии
от 11 августа 2020 г. N 477-ст
МЕЖГОСУДАРСТВЕННЫЙ СТАНДАРТ
ТЕХНИКА СЕЛЬСКОХОЗЯЙСТВЕННАЯ
ЖАТКИ ВАЛКОВЫЕ
МЕТОДЫ ИСПЫТАНИЙ
Agricultural machinery. Roll harvesters.
Test methods
ГОСТ 34629-2019
Дата введения
15 марта 2021 года
Цели, основные принципы и общие правила проведения работ по межгосударственной стандартизации установлены
ГОСТ 1.0 "Межгосударственная система стандартизации. Основные положения" и
ГОСТ 1.2 "Межгосударственная система стандартизации. Стандарты межгосударственные, правила и рекомендации по межгосударственной стандартизации. Правила разработки, принятия, обновления и отмены"
1 РАЗРАБОТАН Новокубанским филиалом Федерального государственного бюджетного научного учреждения "Российский научно-исследовательский институт информации и технико-экономических исследований по инженерно-техническому обеспечению агропромышленного комплекса" (КубНИИТиМ)
2 ВНЕСЕН Федеральным агентством по техническому регулированию и метрологии
3 ПРИНЯТ Межгосударственным советом по стандартизации, метрологии и сертификации (протокол от 20 декабря 2019 г. N 125-П)
За принятие проголосовали:
Краткое наименование страны по МК (ИСО 3166) 004-97 | Код страны по МК (ИСО 3166) 004-97 | Сокращенное наименование национального органа по стандартизации |
Армения | AM | ЗАО "Национальный орган по стандартизации и метрологии" Республики Армения |
Беларусь | BY | Госстандарт Республики Беларусь |
Киргизия | KG | Кыргызстандарт |
Россия | RU | Росстандарт |
Таджикистан | TJ | Таджикстандарт |
Узбекистан | UZ | Узстандарт |
4
Приказом Федерального агентства по техническому регулированию и метрологии от 11 августа 2020 г. N 477-ст межгосударственный стандарт ГОСТ 34629-2019 введен в действие в качестве национального стандарта Российской Федерации с 15 марта 2021 г.
5 ВВЕДЕН ВПЕРВЫЕ
Информация о введении в действие (прекращении действия) настоящего стандарта и изменений к нему на территории указанных выше государств публикуется в указателях национальных стандартов, издаваемых в этих государствах, а также в сети Интернет на сайтах соответствующих национальных органов по стандартизации.
В случае пересмотра, изменения или отмены настоящего стандарта соответствующая информация будет опубликована на официальном интернет-сайте Межгосударственного совета по стандартизации, метрологии и сертификации в каталоге "Межгосударственные стандарты"
Настоящий стандарт распространяется на прицепные, навесные и самоходные валковые жатки, предназначенные для уборки зерновых колосовых культур, зернобобовых и риса раздельным комбайнированием (далее - жатки) и устанавливает методы их испытаний.
В настоящем стандарте использованы нормативные ссылки на следующие межгосударственные стандарты:
ГОСТ 12.1.003 Система стандартов безопасности труда. Шум. Общие требования безопасности
ГОСТ 12.1.004 Система стандартов безопасности труда. Пожарная безопасность. Общие требования
ГОСТ 12.1.012 Система стандартов безопасности труда. Вибрационная безопасность. Общие требования
ГОСТ 12.2.002 Система стандартов безопасности труда. Техника сельскохозяйственная. Методы оценки безопасности
ГОСТ 12.2.019 Система стандартов безопасности труда. Тракторы и машины самоходные сельскохозяйственные. Общие требования безопасности
ГОСТ 12.2.111 <*> Система стандартов безопасности труда. Машины сельскохозяйственные навесные и прицепные. Общие требования безопасности
--------------------------------
ГОСТ 12.2.120 Система стандартов безопасности труда. Кабины и рабочие места операторов тракторов и самоходных сельскохозяйственных машин. Общие требования безопасности
ГОСТ 12.4.026 Система стандартов безопасности труда. Цвета сигнальные, знаки безопасности и разметка сигнальная. Назначение и правила применения. Общие технические требования и характеристики. Методы испытаний
ГОСТ 17.2.2.05 <**> Охрана природы. Атмосфера. Нормы и методы определения выбросов вредных веществ с отработавшими газами дизелей, тракторов и самоходных сельскохозяйственных машин
--------------------------------
<**> В Российской Федерации действует
ГОСТ Р 41.96-2011 (Правила ЕЭК ООН N 96) "Единообразные предписания, касающиеся двигателей с воспламенением от сжатия, предназначенных для установки на сельскохозяйственных и лесных тракторах и внедорожной технике, в отношении выброса вредных веществ этими двигателями".
ГОСТ 27.002 Надежность в технике. Термины и определения
ГОСТ 7502 Рулетки измерительные металлические. Технические условия
ГОСТ 13837 Динамометры общего назначения. Технические условия
ГОСТ 16504 Система государственных испытаний продукции. Испытания и контроль качества продукции. Основные термины и определения
ГОСТ 20915 Испытания сельскохозяйственной техники. Методы определения условий испытаний
ГОСТ 21623 Система технического обслуживания и ремонта техники. Показатели для оценки ремонтопригодности. Термины и определения
ГОСТ 23932 Посуда и оборудование лабораторные стеклянные. Общие технические условия
ГОСТ 24055 Техника сельскохозяйственная. Методы эксплуатационно-технологической оценки
ГОСТ 25866 Эксплуатация техники. Термины и определения
ГОСТ 26025 Машины и тракторы сельскохозяйственные и лесные. Методы измерения конструктивных параметров
ГОСТ 26026 Машины и тракторы сельскохозяйственные и лесные. Методы оценки приспособленности к техническому обслуживанию
ГОСТ 26336 (ИСО 3767-1-82, ИСО 3767-2-82, ИСО 3767-3-88) Тракторы и сельскохозяйственные машины, механизированное газонное и садовое оборудование. Система символов для обозначения органов управления и средств отображения информации. Символы
ГОСТ 27388 Эксплуатационные документы сельскохозяйственной техники
ГОСТ 28305 Машины и тракторы сельскохозяйственные и лесные. Правила приемки на испытания
ГОСТ 31193 (ЕН 1032:2003) Вибрация. Определение параметров вибрационной характеристики самоходных машин. Общие требования
ГОСТ 32431 (ISO 16154:2005) Машины для сельского и лесного хозяйства. Монтаж устройств освещения и световой сигнализации для проезда по дорогам общего пользования
ГОСТ OIML R 76-1 Государственная система обеспечения единства измерений. Весы неавтоматического действия. Часть 1. Метрологические и технические требования. Испытания
ГОСТ ISO 520 Зерновые и бобовые. Определение массы 1000 зерен
ГОСТ ISO 4254-1 <*> Машины сельскохозяйственные. Требования безопасности. Часть 1. Общие требования
--------------------------------
Примечание - При пользовании настоящим стандартом целесообразно проверить действие ссылочных стандартов и классификаторов на официальном интернет-сайте Межгосударственного совета по стандартизации, метрологии и сертификации (www.easc.by) или по указателям национальных стандартов, издаваемым в государствах, указанных в
предисловии, или на официальных сайтах соответствующих национальных органов по стандартизации. Если на документ дана недатированная ссылка, то следует использовать документ, действующий на текущий момент, с учетом всех внесенных в него изменений. Если заменен ссылочный документ, на который дана датированная ссылка, то следует использовать указанную версию этого документа. Если после принятия настоящего стандарта в ссылочный документ, на который дана датированная ссылка, внесено изменение, затрагивающее положение, на которое дана ссылка, то это положение применяется без учета данного изменения. Если ссылочный документ отменен без замены, то положение, в котором дана ссылка на него, применяется в части, не затрагивающей эту ссылку.
3.1 валок: Скошенная и сформированная определенным образом масса убираемой культуры.
3.2 высота среза: Расстояние от поверхности почвы до линии среза растения в естественном состоянии.
3.3 ширина валка: Расстояние между крайними точками основной массы срезанных растений, уложенных в валок.
3.4 прокос: Полоса (участок или площадка), частично выкошенная жаткой за один или несколько проходов.
4.1 Цели, задачи и виды испытаний - по
ГОСТ 16504, а также по стандартам, действующим в государствах - участниках Соглашения.
4.2 Порядок представления жаток на испытания, оформление результатов приемки - в соответствии с ГОСТ 28305, а также в соответствии со стандартами, действующими в государствах - участниках Соглашения.
Эксплуатационные документы, представляемые с жаткой, должны соответствовать ГОСТ 27388 и содержать рекомендации по оптимальной настройке и регулировке жатки на различных видах агрофона.
4.3 При приемке жаток на испытания проводят предварительную оценку безопасности конструкции.
При всех видах испытаний должен быть составлен и утвержден акт предварительной оценки безопасности конструкции и дано заключение о возможности допуска жатки к испытаниям.
4.4 Жатку представляют на испытания не позднее, чем за 15 дней до наступления агротехнического срока.
Типовая программа испытаний жаток включает виды оценок в соответствии с
таблицей 1.
Вид оценки | Вид испытаний |
Приемочные | | | |
1 Технических параметров (техническая экспертиза) | + | + | + | + |
2 Агротехническая | + | - | + | - |
3 Энергетическая | + | - | + | - |
4 Безопасность и эргономичность конструкции | + | + | + | + |
5 Эксплуатационно-технологическая | + | + | + | + |
6 Надежность | + | + | + | + |
7 Экономическая | + | - | + | - |
<*> Проводят в соответствии с 4.4. <**> Проводят в соответствии с 4.5. Примечание - Знак "+" означает, что оценку проводят, знак "-" - не проводят. |
4.5 При квалификационных и периодических испытаниях оценку безопасности и эргономичности конструкции (на соответствие
разделу 9) допускается не проводить в случае наличия сертификата соответствия, выданного аккредитованным органом по сертификации.
4.6 При проведении типовых испытаний жаток включают виды оценок, на изменение значения показателей которых повлияли изменения конструкции изделия.
4.7 Приемочные испытания жаток проводят в сравнении с аналогом или при его отсутствии - с традиционной для региона испытаний жаток в идентичных условиях уборки зерновых культур.
4.8 Применяемые средства измерений должны быть поверены до начала испытаний в соответствии с действующими в государствах - участниках Соглашения правилами.
4.9 Нестандартные и единичные средства измерений, испытательное оборудование подлежат аттестации, проводимой в установленном порядке.
5 Подготовка к испытаниям
5.1 Перед началом испытаний на основании типовой программы составляют рабочую программу-методику испытаний, в которой указывают с учетом требований заказчика и особенностей конкретного образца перечень видов оценок и определяемых показателей по каждому виду оценки, режимы, условия, место испытаний, наименования средств измерений и оборудования, применяемых при испытании с указанием их погрешности (неопределенности).
5.2 При подготовке жатки к испытаниям необходимо соблюдать следующие требования:
- жатка должна отвечать требованиям безопасности;
- до начала испытаний жатка должна быть отрегулирована в соответствии с руководством по эксплуатации;
- техническое состояние жатки должно отвечать требованиям технического задания (далее - ТЗ), технических условий (далее - ТУ) и руководства по эксплуатации.
5.3 Параметры, характеризующие условия работы жатки при испытаниях, должны находиться в пределах, соответствующих ТЗ (ТУ) на испытуемую жатку.
5.4 Перед проведением испытаний проводят обучение или инструктаж персонала по вопросам устройства и безопасной эксплуатации жатки.
6 Методы оценки технических параметров
6.1 Оценку технических параметров жаток проводят по стандартам, действующим в государствах - участниках Соглашения.
6.2 Определение габаритных размеров, массы, ширины захвата и минимальных радиусов поворота проводят по ГОСТ 26025.
6.3 Перечень технических параметров, характеризующих конструкцию жатки, приведен в
форме А.1 (приложение А).
7 Методы агротехнической оценки
7.1 Номенклатура определяемых показателей
Номенклатура показателей условий испытаний и качества выполнения технологического процесса, определяемых при агротехнической и эксплуатационно-технологической оценках жаток, приведена в
формах А.2,
А.3 (приложение А).
7.2 Требования к условиям испытаний
7.2.1 Характеристика убираемой культуры должна содержать показатели, соответствующие ТЗ (ТУ) на разработку (изготовление) жатки для данной зоны.
7.2.2 Характеристика поля (рельеф, уклон поля, влажность, твердость почвы и др.) должна соответствовать требованиям ТЗ (ТУ).
7.3 Определение показателей условий испытаний
7.3.1 Показатели условий испытаний определяют на поле, отведенном для проведения испытаний с учетом проведения эксплуатационно-технологической оценки.
7.3.2 Тип почвы, рельеф, уклон поля, засоренность почвы камнями, влажность и твердость почвы определяют по
ГОСТ 20915.
7.3.3 Определение характеристики культуры
7.3.3.1 Культуру, сорт записывают по данным хозяйства.
7.3.3.2 Для определения высоты растений, потерь зерна от самоосыпания (естественных потерь зерна), полеглости растений (стеблестоя), отношения массы зерна к массе соломы на поле вдоль всего прокоса с помощью рамки размером 50x50 см для перекрестного или безрядкового (разбросного) способа посева и методом выделения участка ряда (рядов) площадью 0,25 м2 с соответствующей расчетной длиной для рядового способа посева, отступив на 100 см в нескошенный хлебостой, выделяют 10 площадок (по пять площадок на каждой стороне прокоса). Прокос должен находиться не ближе 50 м от лесополосы.
7.3.3.3 Высоту растения измеряют от поверхности почвы до его верхней части в естественном и выпрямленном состояниях на каждой площадке у 20 растений, выбранных случайно. Погрешность измерения - +/- 1 см. Результаты измерений записывают в
форму Б.1 (приложение Б) и вычисляют среднеарифметическое значение с округлением до целого числа.
7.3.3.4 Полеглость растений (стеблестоя) П, %, вычисляют по формуле

, (1)
где

- средняя высота растений в выпрямленном состоянии, см;

- средняя высота растений в естественном состоянии, см.
Вычисления проводят с округлением до целого числа.
7.3.3.5 Потери зерна от самоосыпания (естественные потери) определяют по ГОСТ 28301-2015
(подпункт 7.3.3.3).
7.3.3.6 Отношение массы зерна к массе соломы над фактической высотой среза определяют по ГОСТ 28301-2015
(подпункт 7.3.3.8).
7.3.3.7 Засоренность культуры сорняками над фактической высотой среза определяют по ГОСТ 28301-2015 (
подпункты 7.3.3.6,
7.3.3.7).
7.3.3.10 Предварительную (биологическую) урожайность зерна Упред, т/га, на отведенном для испытаний поле вычисляют по массе зерна, выделенного из снопа, по формуле

, (2)
где q3 - масса зерна, выделенного из снопа, г;
S - площадь рамки для определения характеристики снопа, м2.
7.3.4 Показатели условий испытаний после обработки записывают в
форму А.2 (приложение А).
7.4 Определение показателей качества выполнения технологического процесса
7.4.1 Показатели качества выполнения технологического процесса валковой жаткой определяют на двух скоростях движения на максимальной скорости, не превышающей требования ТЗ (ТУ) и на скорости, обеспечивающей получение заданной в ТЗ (ТУ) производительности при допустимых показателях качества выполнения технологического процесса.
7.4.2 Для проведения испытаний жатки подбирают участок, размеры которого могут обеспечить возможность проведения их на всех запланированных режимах работы.
Для каждого режима участок должен иметь длину, на которой машина набирает заданную скорость движения, входит в заданный технологический режим работы.
До начала испытаний жатка должна быть отрегулирована в соответствии с
5.2.
При подготовке к испытаниям на выбранном участке поля делают прокос. По обеим сторонам прокоса испытуемой валковой жаткой делают пробный проход на скоростях движения, соответствующих требованиям
7.4.1.
При технологическом процессе работы жатки на каждой стороне прокоса (ход прямо и ход обратно) делают учетные проходы согласно схемам
рисунков 1,
2,
3. На каждом режиме показатели качества выполнения технологического процесса жатки определяют по двум ее проходам агрегата (ход прямо и ход обратно). На каждом учетном проходе отмечают вешками одну учетную делянку длиной не менее 100 м, которую жатка должна проходить без остановки. При проведении испытаний измеряют время прохождения валковой жаткой учетной делянки. Погрешность измерения времени +/- 1 с, пути - не более 1,0%. Результаты измерений записывают в журнал испытаний.
Размеры в метрах
Bм - ширина межвалкового пространства; Bв - ширина валка;
Bж - ширина захвата жатки; 1 - рамка для определения
потерь зерна
Рисунок 1 - Схема проходов и наложения рамок
при испытании валковой жатки, формирующей одинарный валок
Размеры в метрах
Рисунок 2 - Схема проходов и наложения рамок при испытании
валковой жатки, формирующей один валок с двух проходов
Размеры в метрах
Рисунок 3 - Схема проходов и наложения рамок при испытании
валковой жатки, формирующей два валка за один проход
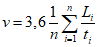
Скорость движения v, км/ч, вычисляют по формуле

, (3)
где n - число учетных делянок, шт.;
Li - длина i-й учетной делянки, м;
ti - время прохождения i-й учетной делянки, с.
После проведения испытаний на каждой учетной делянке валки подбирают, обмолачивают и взвешивают бункерное зерно с погрешностью не более 1,0%. При выгрузке бункерного зерна отбирают средний образец массой 2 - 2,5 кг для анализа. Отбор и анализ образца зерна проводят по ГОСТ 28301-2015 (
пункты 7.4.14,
7.4.21).
Допускается при испытаниях валковой жатки урожайность зерна определять по результатам обмолота снопов по
формуле (2).
7.4.3 Для определения ширины захвата жатки в пределах учетной делянки на расстоянии 1 м от нескошенного стеблестоя ставят 10 колышков с интервалом от 5 до 10 м. После прохода жатки измеряют рулеткой расстояние от каждого колышка до нескошенного стеблестоя. Результаты записывают в
форму Б.2 (приложение Б). Ширину захвата вычисляют по разнице измерений до и после прохода комбайна. Среднеарифметическое значение ширины захвата вычисляют с округлением до первого десятичного знака. Допускается проводить определение ширины захвата жатки с помощью маркера, установленного на жатку.
7.4.4 Для определения высоты среза напротив каждого колышка по ширине захвата жатки делают не менее 10 измерений высоты среза для зерновых или длины стерни для бобовых культур. Для определения высоты среза линейкой измеряют расстояние от поверхности почвы до линии среза растений в естественном состоянии, длины стерни - в выпрямленном состоянии. Измерения проводят с погрешностью +/- 1 см. Результаты измерений записывают в
форму Б.3 (приложение Б) и вычисляют среднеарифметическое значение высоты среза или длину стерни, стандартное отклонение, коэффициент вариации. Вычисления проводят с округлением до целого числа.
7.4.5 Высоту, толщину и ширину валка, просвет между почвой и валком, расстояние между валками, массу одного погонного метра валка определяют по ГОСТ 28301-2015 (
подпункты 7.3.3.12 -
7.3.3.15).
7.4.6 Распределение зерна по ширине валка определяют на двух случайно взятых валках, расположенных не ближе 50 м от края поля. В трех местах каждого валка, с интервалом по длине не более 10 м, вырезают участок валка длиной 0,5 м. Каждый участок валка разрезают на три равные части по ширине. Содержимое каждой части обмолачивают и определяют массу зерна с каждой части с погрешностью +/- 50 г.
Результаты взвешивания зерна записывают в
форму Б.4 (приложение Б) в порядке расположения частей в валке (слева, посередине, справа).
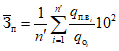
Распределение зерна по ширине валка соответственно слева

, %; посередине

, %; справа

, %, вычисляют по формулам:

; (4)

; (5)

, (6)
где Mсл, Mср, Mспр - масса зерна с соответствующей части валка (слева, посередине, справа), кг.
7.4.7 Засоренность валка почвой определяют на одном случайно выбранном валке в пяти местах, расположенных через 10 м по длине валка. В каждом месте валка вырезают участок валка длиной 1 м. Всю растительную массу вместе с почвой (при ее наличии на валке и в валке), а также комья почвы, находящиеся под валком и рядом с валком не далее 15 см, собирают на брезент и взвешивают с погрешностью +/- 50 г. Затем растительную массу с брезента убирают так, чтобы почва осталась на брезенте. Почву взвешивают с погрешностью +/- 50 г. Результаты записывают в
форму Б.5 (приложение Б) и вычисляют среднеарифметическое значение с округлением до первого десятичного знака.
Засоренность валка почвой

, %, вычисляют по формуле

, (7)
где n' - число участков валка, шт.;

- масса почвы с
i-го участка валка кг;

- общая масса (растительная масса вместе с почвой)
i-го участка валка, кг.
7.4.8 Потери зерна за жаткой определяют перед подбором валков. Для определения потерь зерна на учетных делянках накладывают рамки из шпагата, закрепляемые по углам металлическими штырями. Рамки накладывают в соответствии со схемами
рисунков 1,
2,
3. Число рамок на каждом режиме должно быть не менее шести (три по ходу агрегата, три обратно).
7.4.8.1 Для определения потерь зерна в колосьях (метелках, бобах) рамки накладывают в межвалковом пространстве. Длина рамки - 2 м (для зернобобовых 3 м), ширина равна расстоянию между внутренними краями соседних валков. В пределах рамки собирают отдельно в лабораторные мешочки несрезанные, срезанные колосья (метелки, бобы), снабженные этикетками по
форме Б.6 (приложение Б). После обмолота колосьев (метелок, бобов) зерно очищают и взвешивают с погрешностью +/- 0,1 г.
7.4.8.2 Для определения потерь свободным зерном в межвалковом пространстве в пределах каждой рамки, выделенной для учета потерь зерна в колосьях (метелках, бобах) накладывают рамку длиной 0,15 м, шириной, равной расстоянию между внутренними краями соседних валков.
Для определения потерь свободным зерном под валком в местах наложения рамки в межвалковом пространстве отрезок валка осторожно приподнимают и убирают, а на его место накладывают рамку длиной 0,15 м, шириной, равной ширине валка.
В пределах рамки зерно собирают и взвешивают с погрешностью +/- 0,1 г. Результаты записывают в этикетку по
форме Б.6 и в
форму Б.7 (приложение Б). При обработке данных потери зерна свободным зерном под валком пересчитывают на ширину, с которой сформирован валок.
7.4.8.3 Для определения потерь зерна в несрезанных колосьях под валком, в местах наложения рамок в межвалковом пространстве, осторожно убирают отрезок валка длиной 2 м (для зернобобовых 3 м). На это место накладывают рамку размером, равным отрезку валка.
В пределах рамки срезают несрезанные колосья (метелки, бобы), помещают их в лабораторный мешочек, снабжают этикеткой по
форме Б.6 (приложение Б). Колосья (метелки, бобы) обмолачивают. Зерно, выделенное из колосьев (метелок, бобов), взвешивают с погрешностью +/- 0,1 г. Результаты записывают в этикетку по
форме Б.6 и в
форму Б.7 (приложение Б). При обработке данных потери зерна в несрезанных колосьях под валком пересчитывают на ширину, с которой сформирован валок.
7.4.8.4 При испытании жаток, формирующих два валка за один проход, рамки для учета потерь зерна в колосьях накладывают в межвалковом пространстве. Потери зерна с первого и второго межвалковых пространств каждого прохода агрегата учитывают вместе.
7.4.8.5 Фактическая урожайность зерна УЗ, т/га, при испытании жатки вычисляют по формуле

, (8)
где GЗ - масса бункерного зерна, собранного с учетной делянки, кг;
Зм - содержание основного зерна и зерновой примеси в массе зерна из бункера комбайна, %;
L - длина учетной делянки, м;
Bж - ширина захвата жатки, м;
qн.к.в - потери зерна в несрезанных колосьях (метелках, бобах) в межвалковом пространстве, г;
qс.к.в - потери зерна в срезанных колосьях (метелках, бобах) в межвалковом пространстве, г;
S1 - площадь рамки для учета потерь зерна в срезанных (несрезанных) колосьях (метелках, бобах), в межвалковом пространстве, м2;
qс.з.в - потери свободным зерном в межвалковом пространстве, г;
S2 - площадь рамки для учета потерь свободным зерном в межвалковом пространстве, м2;
q'с.з.в - потери свободным зерном под валком, г;
S3 - площадь рамки для учета потерь свободным зерном под валком, м2.
Массовую долю потерь зерна в несрезанных колосьях (метелках, бобах) в межвалковом пространстве

, %, вычисляют по формуле

. (9)
Массовую долю потерь зерна в срезанных колосьях (метелках, бобах) в межвалковом пространстве

, %, вычисляют по формуле

. (10)
7.4.8.6 Массовую долю потерь свободным зерном в межвалковом пространстве

, %, вычисляют по формуле

, (11)
где qе - естественные потери зерна, г;
S - площадь рамки для учета естественных потерь зерна, м2.
Массовую долю потерь свободным зерном под валком

, %, вычисляют по формуле

. (12)
7.4.8.7 Массовую долю потерь зерна в несрезанных колосьях (метелках, бобах) под валком

, %, вычисляют по формуле

, (13)
где S4 - площадь рамки для учета потерь зерна в несрезанных колосьях (метелках, бобах) под валком, м2.
7.4.8.8 Суммарные потери зерна за валковой жаткой

, %, вычисляют по формуле

. (14)
Вычисления проводят с округлением:
- урожайности зерна - до первого десятичного знака;
- потерь зерна - до второго десятичного знака.
7.4.8.9 Показатели качества выполнения технологического процесса валковой жаткой после обработки записывают в
форму А.3 (приложение А).
7.5 Средства измерений и оборудование, применяемые при определении показателей агротехнической оценки
Перечень средств измерений и оборудования, применяемых при определении показателей агротехнической оценки, приведен в приложении В.
8 Методы энергетической оценки
8.1 Энергетическую оценку жаток проводят в соответствии со стандартами и нормативными документами, действующими в государствах - участниках Соглашения.
8.2 Энергетические показатели определяют при установившемся режиме работы жатки одновременно с определением агротехнических показателей при лабораторно-полевых испытаниях на фонах, указанных в
разделе 7.
8.3 Результаты энергетической оценки записывают в
форму А.4 (приложение А).
9 Методы оценки безопасности и эргономичности конструкции
Оценку показателей и требований безопасности и эргономичности конструкции жаток проводят по
ГОСТ 12.2.002 на соответствие требованиям
ГОСТ 12.2.111,
ГОСТ 32431, ТЗ (ТУ) с определением показателей, приведенных в
форме А.5 (приложение А). Результаты записывают в протокол по
форме А.6 (приложение А).
10 Методы оценки надежности
10.1 Оценку надежности жаток проводят по стандартам, действующим в государствах - участниках Соглашения, с определением показателей, приведенных в
форме А.7 (приложение А).
10.2 Жатки испытывают на видах работ в соответствии с
ГОСТ 24055.
10.3 На каждом виде работ жатку испытывают на рабочей скорости, обеспечивающей получение заданной в ТУ производительности при допустимых показателях качества.
10.4 Для сокращения сроков испытаний допускается проводить ускоренные испытания на надежность по действующим нормативным документам при режимах, воспроизводящих эксплуатационные нагрузки.
10.5 Наработка при ускоренных испытаниях не должна превышать 30% общей заданной наработки.
Наработку жатки измеряют часами основного времени, гектарами скошенной площади. Для учета наработки в часах основного времени необходимо проводить сплошной хронометраж.
Допускается определять наработку в часах основного времени работы расчетом по наработке в физических единицах за весь период испытаний и производительности по результатам эксплуатационно-технологической оценки или по наработке в физических единицах ежесменно и производительности, полученной в этих условиях работы.
10.6 В течение всего периода испытаний ведут учет отказов и повреждений.
10.7 Определение затрат времени и труда на выявление и устранение отказов осуществляют пооперационным хронометражем с погрешностью измерения +/- 5 с.
10.8 Затраты времени и труда на выявление и устранение отказов в течение всего периода испытаний суммируют и учитывают при расчете показателей надежности.
10.9 Устранение сложных отказов, связанных с разборкой или заменой основных базовых узлов, осуществляют сервисные службы изготовителей. Определение затрат времени и труда по
10.7.
10.10 Техническое состояние жатки, замененных (восстановленных) деталей и узлов оценивают при проведении заключительной технической экспертизы.
10.11 Информацию по операциям технического обслуживания собирают и обрабатывают по ГОСТ 26026.
10.12 Показатели надежности определяют по наработке, измеряемой временем основной работы, и оценивают сопоставлением фактических показателей надежности с нормативными значениями или с показателями сравниваемой жатки. Отклонение наработок сравниваемых машин не должно быть более 20%.
10.13 Показатели надежности записывают в
форму А.7 (приложение А).
10.14 Значение показателей надежности определяют при достижении сезонной (заданной) наработки.
11 Методы эксплуатационно-технологической оценки
11.1 Эксплуатационно-технологическую оценку жаток проводят в соответствии с
ГОСТ 24055.
Во время испытаний контролируют соблюдение выбранного режима работы и качество выполнения технологического процесса.
Показатели условий испытаний и качества выполнения технологического процесса определяют по методам, изложенным в
разделе 7.
11.2 Сбор информации для эксплуатационно-технологической оценки проводят во время контрольных смен.
Сбор информации о нарушениях технологического процесса и технических отказах проводят в течение всего периода наблюдений.
11.3 Результаты эксплуатационно-технологической оценки записывают в
форму А.8 (приложение А).
12 Методы экономической оценки
Экономическую оценку жаток и оформление результатов проводят по стандартам, действующим в государствах - участниках Соглашения.
13 Обработка и анализ результатов испытаний
13.1 Обработку результатов испытаний проводят по программе, разработанной для данного типа жаток.
13.3 Полученные результаты используют для анализа соответствия результатов испытаний жаток требованиям ТЗ (ТУ), а также сопоставления их с показателями сравниваемой жатки.
13.4 На основании анализа полученных значений показателей делают выводы о качестве работы испытуемой жатки при выполнении заданного технологического процесса.
13.5 Общие выводы по результатам испытаний (в зависимости от вида испытаний) жатки делают на основании анализа показателей по всем видам оценок.
(рекомендуемое)
ОФОРМЛЕНИЕ РЕЗУЛЬТАТОВ ИСПЫТАНИЙ
А.1 Оформление результатов испытаний приведено в
формах А.1 -
А.8.
Форма А.1 - Техническая характеристика жатки
Наименование показателя | Значение показателя |
Тип жатки | |
Агрегатирование | |
Привод жатки | |
Рабочая скорость, км/ч | |
Рабочая ширина захвата, м | |
Производительность, га/ч | |
Количество обслуживающего персонала, чел. | |
Габаритные размеры жатки, мм: | |
в рабочем положении: | |
- длина | |
- ширина | |
- высота | |
в транспортном положении: | |
- длина | |
- ширина | |
- высота | |
Габаритные размеры агрегата (для прицепных и навесных машин), мм: | |
в рабочем положении: | |
- длина | |
- ширина | |
- высота | |
в транспортном положении: | |
- длина | |
- ширина | |
- высота | |
Дорожный просвет, мм | |
Масса жатки, кг | |
Тип режущего аппарата | |
Привод режущего аппарата | |
Ход ножа, мм | |
Тип мотовила | |
Диаметр мотовила, мм | |
Пределы регулирования рабочих органов по высоте среза | |
Трудоемкость составления агрегата, чел.-ч: | |
- для работы | |
- для транспортирования | |
Число передач, шт.: | |
- ременных | |
- цепных | |
- карданных | |
- редукторов | |
Число точек смазки, шт., всего | |
в том числе: | |
- ежесменных | |
- периодических | |
- сезонных | |
Другие показатели по отдельным узлам и рабочим органам | |
_________________________ | |
_________________________ | |
_________________________ | |
Форма А.2 - Показатели условий проведения испытаний жаток при агротехнической и эксплуатационно-технологической оценках
Наименование показателя | Значение показателя |
Вид оценки |
агротехническая | эксплуатационно-технологическая |
Дата проведения испытаний | + | + |
Место испытаний | + | + |
Характеристика убираемой культуры |
Культура, сорт | + | + |
Высота растения, см | + | + |
Полеглость растений, % | + | + |
Потери зерна от самоосыпания (естественные потери), г | + | + |
Отношение массы зерна к массе соломы над фактической высотой среза | + | - |
Засоренность культуры сорняками над фактической высотой среза, % | + | - |
Предварительная (биологическая) урожайность зерна, т/га | + | + |
Масса 1000 зерен, г | + | - |
Влажность, %: | | |
- зерна | + | - |
- соломы | + | - |
Характеристика участка |
Тип почвы | + | + |
Рельеф поля | + | + |
Микрорельеф | + | + |
Уклон поля, ...° | + | + |
Влажность почвы, %, в слоях, см: | | |
от 0 до 10 включ. | + | + |
Твердость почвы, МПа, в слоях, см: | | |
от 0 до 10 включ. | + | + |
Засоренность почвы камнями, шт./м2 | + | - |
Примечание - Знак "+" означает, что показатель определяют, знак "-" - не определяют. |
Форма А.3 - Показатели качества выполнения технологического процесса валковой жаткой при агротехнической и эксплуатационно-технологической оценках
Наименование показателя | Значение показателя |
Вид оценки |
агротехническая | эксплуатационно-технологическая |
Дата проведения испытаний | + | + |
Место испытаний | + | + |
Скорость движения, км/ч | + | + |
Положение вала мотовила относительно режущего аппарата, мм: | | |
- по высоте | + | - |
- по ходу движения | + | - |
Частота вращения вала мотовила, с-1 | + | - |
Ширина захвата жатки, м | + | + |
Высота среза: | + | + |
- установочная, см | + | + |
- фактическая: | | |
среднеарифметическое значение, см | + | + |
стандартное отклонение, см | + | - |
коэффициент вариации, % | + | - |
Суммарные потери зерна за валковой жаткой, всего, % | + | + |
в том числе: | | |
- свободным зерном, всего | + | - |
в том числе: | | |
в межвалковом пространстве | + | - |
под валком | + | - |
- зерном в срезанных колосьях (метелках, бобах) | + | - |
- зерном в несрезанных колосьях (метелках, бобах), всего | + | - |
в том числе: | | |
в межвалковом пространстве | + | - |
под валком | + | - |
Характеристика валка: | | |
- высота, см | + | - |
- толщина, см | + | - |
- ширина, см | + | - |
- просвет между почвой и валком, см | + | - |
- расстояние между валками, см | + | - |
- масса одного погонного метра валка, кг | + | - |
Распределение зерна по ширине валка, %: | | |
- слева | + | - |
- посередине | + | - |
- справа | + | - |
Засоренность валка почвой, % | + | - |
Примечание - Знак "+" означает, что показатель определяют, знак "-" - не определяют. |
Форма А.4 - Энергетические показатели
Наименование показателя | Значение показателя |
Дата проведения испытаний | |
Режим работы | |
Скорость движения, км/ч | |
Ширина захвата, м | |
Производительность, га/ч | |
Энергетические показатели | |
Мощность, потребляемая машиной, кВт | |
Удельные энергозатраты, МДж/га | |
Расход топлива, кг/ч | |
Форма А.5 - Номенклатура показателей безопасности и эргономичности конструкции жаток
Наименование показателя | Значение показателя |
| |
| |
| |
Требования к средствам доступа на рабочее место [ ГОСТ 12.2.120, ГОСТ ISO 4254-1, ТЗ (ТУ)] | |
Наличие предупреждающих надписей и знаков безопасности [ ГОСТ 12.2.019, ГОСТ ISO 4254-1, ТЗ (ТУ)] | |
Требования к системе символов для обозначения органов управления и средств отображения информации [ГОСТ 26336, ТЗ (ТУ)] | |
Требования к наличию и конструкции защитных ограждений [ ГОСТ 12.2.019, ГОСТ ISO 4254-1, ТЗ (ТУ)] | |
Требования к системе блокировки и предупредительной сигнализации [ ГОСТ 12.2.019, ГОСТ ISO 4254-1, ТЗ (ТУ)] | |
Требования к обеспечению безопасности операций по очистке [ ГОСТ 12.2.019, ТЗ (ТУ)] | |
Требования к исключению возможности самопроизвольного включения (выключения) рабочих органов [ ГОСТ 12.2.019, ТЗ (ТУ)] | |
Требования к обзорности зон наблюдения [ ГОСТ 12.2.019, ГОСТ ISO 4254-1, ТЗ (ТУ)] | |
| |
| |
| |
| |
| |
| |
| |
| |
Параметры и расположение органов управления [ ГОСТ 12.2.120, ТЗ (ТУ)] | |
| |
Параметры микроклимата на рабочем месте оператора [ ГОСТ 12.2.120, ТЗ (ТУ)] | |
Концентрация пыли в зоне дыхания оператора [ ГОСТ 12.2.120, ТЗ (ТУ)] | |
Концентрация оксида углерода в зоне дыхания оператора [ ГОСТ 17.2.2.05, ТЗ (ТУ)] | |
| |
| |
| |
Форма А.6 - Показатели безопасности и эргономичности конструкции жатки (для протокола)
Наименование показателя, требование | Значение показателя | Заключение о соответствии |
по стандарту | по результатам испытаний |
| | | |
Форма А.7 - Показатели надежности
Наименование показателя | Значение показателя |
Общая наработка, ч, га | |
Наработка на отказ, ч, га, | |
в том числе по группам сложности: | |
- I группы | |
- II группы | |
- III группы | |
Общее число отказов, шт., | |
в том числе по группам сложности: | |
- I группы | |
- II группы | |
- III группы | |
Среднее время восстановления, ч/отказ | |
Оперативное время ежесменного технического обслуживания, ч | |
Оперативная трудоемкость ежесменного технического обслуживания, чел.-ч | |
Трудоемкость ежесменного технического обслуживания, чел.-ч | |
Удельная суммарная трудоемкость технических обслуживаний, чел.-ч/ч, чел.-ч/га | |
Удельная суммарная оперативная трудоемкость технических обслуживаний, чел.-ч/ч, чел.-ч/га | |
Удельная суммарная оперативная трудоемкость текущих ремонтов (выявления и устранения отказов), чел.-ч/ч, чел.-ч/га | |
Удельная суммарная трудоемкость текущих ремонтов (выявления и устранения отказов), чел.-ч/ч, чел.-ч/га | |
Коэффициент готовности: | |
- с учетом организационного времени | |
- по оперативному времени | |
Коэффициент технического использования | |
Перечень отказов и повреждений (помещают в приложении к протоколу) | |
Форма А.8 - Показатели эксплуатационно-технологической оценки
Наименование показателя | Значение показателя |
Период проведения оценки | |
Место испытаний | |
Условия проведения испытаний <*> | |
Состав агрегата | |
Культура | |
Технологическая операция | |
Режим работы: | |
- рабочая скорость движения, км/ч | |
- рабочая ширина захвата, м | |
Производительность за 1 ч времени, га/ч: | |
- основного | |
- технологического | |
- сменного | |
Удельный расход топлива за сменное время, кг/га | |
Эксплуатационно-технологические коэффициенты: | |
- рабочих ходов | |
- надежности технологического процесса | |
- использования технологического времени | |
- использования сменного времени | |
Количество обслуживающего персонала, чел. | |
Показатели качества выполнения технологического процесса <**> | |
|
(обязательное)
ФОРМЫ РАБОЧИХ ВЕДОМОСТЕЙ РЕЗУЛЬТАТОВ ИСПЫТАНИЙ
Б.1 Формы рабочих ведомостей результатов испытаний приведены в
формах Б.1 -
Б.7.
Форма Б.1 - Ведомость определения высоты растений
Марка жатки _________________________ Дата _________________________ Место испытаний ___________________________________________________ наименование хозяйства, отделение, поле Культура, сорт _____________________________________________________ Средства измерений ________________________________________________ |
Измерение | Высота растения, см |
в естественном состоянии | в выпрямленном состоянии |
Площадка |
1 | 2 | 3 | ... | 10 | 1 | 2 | 3 | ... | 10 |
1 | | | | | | | | | | |
2 | | | | | | | | | | |
3 | | | | | | | | | | |
... | | | | | | | | | | |
20 | | | | | | | | | | |
Сумма | | | | | | | | | | |
Среднеарифметическое значение | | | | | | | | | | |
Исполнитель | ______________ должность | _____________ личная подпись | _______________________ инициалы, фамилия |
Форма Б.2 - Ведомость определения ширины захвата жатки
Марка машины _____________________________________________________ __________________________________________________________________ Место испытаний __________________________________________________ наименование хозяйства, отделение, поле Культура, сорт _______________________ Учетная делянка _______________ Дата __________________ Средства измерений _________________________ |
Измерение | Расстояние от колышка до стеблестоя, м | Ширина захвата жатки, м |
до прохода | после прохода |
1 | | | |
2 | | | |
3 | | | |
... | | | |
10 | | | |
Сумма | | | |
Среднеарифметическое значение | | | |
Исполнитель | ______________ должность | _____________ личная подпись | _______________________ инициалы, фамилия |
Форма Б.3 - Ведомость определения высоты среза (длины стерни)
Марка машины _________________ Место испытаний ____________________ наименование хозяйства, отделение, поле Культура, сорт __________________ Учетная делянка ____________________ Дата ___________________________ Средства измерений ________________ |
Измерение | Высота среза (длина стерни), см |
Повторность (колышки) |
1 | 2 | 3 | 4 | 5 | 6 | 7 | 8 | 9 | 10 |
1 | | | | | | | | | | |
2 | | | | | | | | | | |
3 | | | | | | | | | | |
... | | | | | | | | | | |
10 | | | | | | | | | | |
Сумма | | | | | | | | | | |
Среднеарифметическое значение | | | | | | | | | | |
Стандартное отклонение, см | | | | | | | | | | |
Коэффициент вариации, % | | | | | | | | | | |
Исполнитель | ______________ должность | _____________ личная подпись | _______________________ инициалы, фамилия |
Форма Б.4 - Ведомость определения равномерности распределения массы зерна по ширине валка
Марка жатки _________________________________________________________
Место испытаний _____________________________________________________
Культура, сорт _________________________ Дата __________________________
Средства измерений ___________________________________________________
Участок отбора проб | Масса зерна по ширине валка |
Первый валок | Второй валок |
слева, г (%) | посередине, г (%) | справа, г (%) | сумма, г | слева, г (%) | посередине, г (%) | справа, г (%) | сумма, г |
1 | | | | | | | | |
2 | | | | | | | | |
3 | | | | | | | | |
Сумма | | | | | | | | |
Среднеарифметическое значение | | | | | | | | |
Исполнитель | ______________ должность | _____________ личная подпись | _______________________ инициалы, фамилия |
Форма Б.5 - Ведомость определения засоренности валка почвой
Марка жатки _________________________________________________________
Место испытаний _____________________________________________________
Культура, сорт ____________________________ Дата _______________________
Средства измерений ___________________________________________________
Число участков валка | Общая масса валка, кг | Масса почвы с участка валка, кг | Засоренность валка почвой, % |
1 | | | |
2 | | | |
3 | | | |
4 | | | |
5 | | | |
Сумма | | | |
Среднеарифметическое значение | | | |
Исполнитель | ______________ должность | _____________ личная подпись | _______________________ инициалы, фамилия |
Потери зерна
(вид потерь)
Марка жатки _________________________________________________________
Место испытаний _____________________________________________________
Культура, сорт ________________________ Опыт __________________________
Повторность __________________________ Площадь рамки м2 _______________
Масса зерна, кг ________________________ Дата __________________________
Средства измерений ___________________________________________________
Исполнитель | ______________ должность | _____________ личная подпись | _______________________ инициалы, фамилия |
Форма Б.7 - Ведомость исходных данных по качеству работы жатки
Марка жатки ______________ Место испытаний ___________________________
Культура, сорт _____________ Дата ____________ Опыт ____________________
Средства измерений ___________________________________________________
Наименование показателя | Повторность |
1 | 2 | 3 | ... | n |
Длина учетной делянки, м | | | | | |
Время прохождения учетной делянки, с | | | | | |
Ширина захвата валковой жатки, м | | | | | |
Масса зерна в бункере комбайна, кг | | | | | |
Содержание основного зерна и зерновой примеси в бункерном зерне, % | | | | | |
Потери зерна в срезанных колосьях в межвалковом пространстве, г | | | | | |
Потери зерна в несрезанных колосьях в межвалковом пространстве, г | | | | | |
Потери свободным зерном в межвалковом пространстве, г | | | | | |
Потери свободным зерном под валком, г | | | | | |
Потери зерна в несрезанных колосьях под валком, г | | | | | |
Естественные потери зерна, г | | | | | |
Площадь рамки для учета потерь зерна в срезанных и несрезанных колосьях в межвалковом пространстве, м2 | | | | | |
Площадь рамки для учета потерь свободным зерном в межвалковом пространстве, м2 | | | | | |
Площадь рамки для учета потерь свободным зерном под валком, м2 | | | | | |
Площадь рамки для учета потерь зерна в несрезанных колосьях под валком, м2 | | | | | |
Площадь рамки для учета естественных потерь зерна, м2 | | | | | |
Исполнитель | ______________ должность | _____________ личная подпись | _______________________ инициалы, фамилия |
(рекомендуемое)
ПЕРЕЧЕНЬ СРЕДСТВ ИЗМЕРЕНИЙ И ОБОРУДОВАНИЯ, ПРИМЕНЯЕМЫХ
ПРИ ОПРЕДЕЛЕНИИ ПОКАЗАТЕЛЕЙ АГРОТЕХНИЧЕСКОЙ ОЦЕНКИ
В.1 В настоящем приложении приведен следующий перечень средств измерений и оборудования, применяемых при определении показателей агротехнической оценки:
динамометр с диапазоном измерений от 0 до 200 кг и от 0 до 300 кг с погрешностью измерений не более 1,0% по
ГОСТ 13837;
рулетка длиной 10 м 3-го класса точности по
ГОСТ 7502 с погрешностью измерений +/- 2,5 мм;
весы неавтоматического действия высокого класса точности по
ГОСТ OIML R 76-1 с максимальным пределом взвешивания 2000 г и погрешностью взвешивания не более +/- 10 мг;
весы неавтоматического действия среднего класса точности по
ГОСТ OIML R 76-1 с максимальным пределом взвешивания 30 кг и погрешностью взвешивания не более +/- 40 г;
секундомер с погрешностью измерений +/- 1 с;
рамка металлическая размером 50x50 см;
рамка деревянная размером 100x100 см (для зернобобовых культур);
шкаф сушильный с погрешностью измерений +/- 2 °C;
влагомер с погрешностью измерений не более +/- 2,0%.
Допускается применение других средств измерений, утвержденных в установленном порядке и внесенных в Государственный реестр средств измерений государства, принявшего стандарт, с метрологическими характеристиками не ниже указанных.
УДК 631.354.2.02:006.354 | |
Ключевые слова: сельскохозяйственная техника, жатки валковые, методы испытаний, технологический процесс, показатели условий испытаний, показатели качества выполнения технологического процесса |