Главная // Актуальные документы // РуководствоСПРАВКА
Источник публикации
М.: Стройиздат, 1979
Примечание к документу
Название документа
"Руководство по проектированию железобетонных пространственных конструкций покрытий и перекрытий"
"Руководство по проектированию железобетонных пространственных конструкций покрытий и перекрытий"
ПО ПРОЕКТИРОВАНИЮ ЖЕЛЕЗОБЕТОННЫХ ПРОСТРАНСТВЕННЫХ
КОНСТРУКЦИЙ ПОКРЫТИЙ И ПЕРЕКРЫТИЙ
Рекомендовано к изданию секцией конструкций научно-технического совета НИИЖБ.
Руководство содержит основные положения по проектированию тонкостенных пространственных монолитных, сборно-монолитных и сборных конструкций из обычного, легкого, ячеистого бетона и предварительно-напряженного железобетона. Приведены рекомендации по конструированию и расчету железобетонных тонкостенных цилиндрических и пологих оболочек, оболочек вращения, а также сводов, шатров, ступенчато-вспарушенных плит, призматических складок и оболочек висячего типа. Даны примеры расчета.
Руководство предназначено для инженерно-технических работников проектных и научно-исследовательских организаций.
Из года в год в строительстве возрастает роль железобетонных тонкостенных пространственных конструкций - сводов, куполов, складок, оболочек.
Фундаментальный вклад в дело создания и совершенствования таких конструкций внесли работы многих отечественных и зарубежных ученых (В.З. Власова, А.А. Гвоздева, А.Л. Гольденвейзера, Ф. Дишингера, Ф. Канделла, О.Д. Ониашвили, П.Л. Пастернака, Ю.Н. Работнова, А.Р. Ржаницына, Э. Тороха, О. Финстервальдера, Б. Эллерса, Н. Эскияна и др.).
Интенсивного развития железобетонные тонкостенные пространственные конструкции достигли в послевоенный период. В начале пятидесятых годов нашли применение монолитные длинные цилиндрические оболочки, а в конце пятидесятых годов началось широкое возведение сборных сводов, длинных и коротких цилиндрических оболочек и оболочек положительной гауссовой кривизны для покрытий с прямоугольной и квадратной сетками колонн, а также получили распространение тонкостенные железобетонные элементы для массового гражданского и промышленного строительства в виде шатровых и вспарушенных панелей перекрытий, панелей-оболочек и панелей-складок покрытий и др.
Строительство зданий и сооружений развивается столь быстрыми темпами, что возникла необходимость выпуска новых нормативных документов по проектированию железобетонных несущих конструкций, отвечающих требованиям современного уровня промышленного, гражданского и сельскохозяйственного строительства.
Настоящее Руководство разработано НИИЖБ Госстроя СССР при участии ряда научно-исследовательских организаций и отдельных специалистов на основе последних экспериментальных исследований железобетонных тонкостенных пространственных конструкций, опыта их проектирования и применения с использованием материалов "Инструкции по проектированию железобетонных тонкостенных пространственных покрытий и перекрытий" (М., Госстройиздат, 1961).
Отдельные разделы и подразделы настоящего Руководства составили:
разделы 1,
3 - д-р техн. наук проф. Г.К. Хайдуков (НИИЖБ);
При составлении рекомендаций по сопряжению и монтажным усилиям оболочек были использованы материалы кандидатов техн. наук Э.З. Жуковского и В.Ф. Шабля, а по стыкам складок материалы канд. техн. наук Е.К. Качановского и инж. К.А. Олешкевича (НИИЖБ);
раздел 2 - канд. техн. наук А.И. Рабинович (ЦНИИСК);
раздел 4 - Рекомендации по расчету и конструированию длинных цилиндрических оболочек и складок - д-р техн. наук проф. Ю.В. Чиненков (НИИЖБ).
Рекомендации по расчету и конструированию коротких призматических складок - кандидаты техн. наук Е.И. Стаковиченко, А.Д. Либерман, Ю.А. Катруца (НИИСК).
При составлении рекомендаций по монолитным коротким оболочкам были использованы материалы д-ра техн. наук проф. И.Е. Милейковского, инж. Л.Н. Бабакова и канд. техн. наук М.С. Боришанского;
раздел 5 - д-р техн. наук Я.Ф. Хлебной (ЦНИИСК), канд. техн. наук К.П. Пятикрестовский (ЦНИИСК); подраздел "Расчет несущей способности куполов-оболочек по методу предельного равновесия" - канд. техн. наук Н.В. Ахвледиани при участии кандидатов техн. наук М.Л. Сехниашвили и М.А. Даниелашвили (ИСМиС);
раздел 6 - канд. техн. наук В.В. Шугаев (НИИЖБ);
рекомендации по расчету и конструированию оболочек с контурными элементами в виде бруса, опертого на колонны, оболочек с переломами поверхности из цилиндрических панелей в стадии упругой работы с проверкой прочности панелей у контура, а также ребристых оболочек на сосредоточенные нагрузки без учета изменения формы поверхности - д-р техн. наук проф. Ю.В. Чиненков (НИИЖБ), канд. техн. наук Т.А. Кузьмич (НИИЖБ). В разделе использованы материалы кандидатов техн. наук Т.Ч. Байниетова (Казпромстройниипроект), Л.А. Коробова, М.Б. Краковского, А.М. Людковского (НИИЖБ) и А.М. Дубинского (НИИСК), а также результаты проектных работ инженеров В.Я. Павилайнена, К.Н. Раша, А.В. Шапиро (ПИ-1) и кандидатов техн. наук М.Г. Костюковского, Р.И. Рабиновича (ЦНИИПромзданий);
раздел 7 - кандидаты техн. наук М.Б. Краковский (НИИЖБ), А.М. Дубинский, Г.В. Шарапов (НИИСК);
раздел 8 - "Общие положения", а также рекомендации по расчету и конструированию оболочек с радиальной и перекрестной системами вант, - кандидаты техн. наук И.Г. Людковский и М.А. Иванов (НИИЖБ); рекомендации по расчету и конструированию оболочек с полигональной системой вант - д-р. техн. наук Р.Н. Мацелинский (НИИЖБ);
раздел 9 - д-р техн. наук Р.Н. Мацелинский (НИИЖБ);
раздел 10 - кандидаты техн. наук А.А. Цейтлин и В.Н. Колчунов (НИИСК);
разделы 11,
12 - д-р техн. наук проф. Г.К. Хайдуков (НИИЖБ) с использованием материалов: по сборным вспарушенным конструкциям - инж. Э.А. Магерамова (АзНИИСС им. С.А. Дадашева), по выбору очертаний вспарушенных панелей - канд. техн. наук Б.Н. Бастатского (ГрузНИИЭГС);
| канд. техн. наук М.Б. Краковский (НИИЖБ). Пример расчета выполнен совместно с инж. Э.А. Щербенко (НИИСК); |
| кандидаты техн. наук А.С. Городецкий и В.С. Здоренко (НИИАСС Госстроя УССР); |
| д-р техн. наук проф. И.Е. Милейковский (ЦНИИСК); |
| д-р техн. наук Р.И. Мацелинский (НИИЖБ); |
| д-р техн. наук проф. Г.К. Хайдуков и канд. техн. наук М.Б. Краковский (НИИЖБ). Рекомендации по выбору материалов для изготовления моделей составлены совместно с канд. техн. наук А.А. Дыховичным, Г.В. Шараповым, Ф.В. Ярмульником (НИИСК); |
| д-р техн. наук проф. А.А. Гвоздев при участии канд. техн. наук В.В. Шугаева; |
| кандидаты техн. наук М.Г. Костюковский, Р.И. Рабинович (ЦНИИПромзданий) и Л.С. Спаннут (НИИЖБ); |
| пример 1 - канд. техн. наук М.А. Даниелашвили (ИСМиС), примеры 2, 3 - д-р техн. наук Р.И. Мацелинский (НИИЖБ), пример 4 - кандидаты техн. наук А.А. Цейтлин, В.Н. Колчунов (НИИСК). |
При составлении Руководства были использованы материалы проектных институтов ПИ-1, Ленпромстройпроекта, Казахского ПромстройНИИпроекта, Киевского Промстройпроекта Госстроя СССР, ЛенЗНИИЭПа, ТбилЗНИИЭПа, КиевЗНИИЭПа Госгражданстроя, Мосгипротранса МПС СССР, МНИИТЭП Мосгорисполкома и др.
Работа осуществлялась под руководством д-ра техн. наук проф. Г.К. Хайдукова. Обобщение материалов и подготовка текста выполнены д-ром техн. наук, проф. Г.К. Хайдуковым и канд. техн. наук М.Б. Краковским (НИИЖБ) при участии д-ра техн. наук Р.Н. Мацелинского и кандидатов техн. наук В.В. Шугаева (НИИЖБ) и В.Г. Корнилова (Госгражданстрой).
Рукопись Руководства рецензировалась комиссией в составе: докторов техн. наук проф. А.А. Гвоздева (председатель), проф. В.И. Байкова, проф. В.С. Бартенева; кандидатов техн. наук О.А. Курбатова, Л.И. Неймарка, инженеров А.П. Морозова, А.В. Шапиро.
Замечания и предложения просьба направлять по адресу: 109389, Москва, 2-я Институтская ул., д. 6.
Дирекция НИИЖБ
1.1. Настоящее Руководство распространяется на проектирование железобетонных оболочек, складок и других тонкостенных пространственных конструкций покрытий и перекрытий зданий и сооружений промышленного, гражданского и сельскохозяйственного строительства.
1.2. Расчет по предельным состояниям и конструирование элементов пространственных конструкций осуществляется в соответствии с главой
СНиП II-21-75 "Бетонные и железобетонные конструкции" и с учетом рекомендаций настоящего Руководства. Если элементы пространственных конструкций подвергаются воздействию агрессивной среды, то должны соблюдаться требования
СНиП II-28-73 "Защита строительных конструкций от коррозии".
При проектировании пространственных конструкций в особых условиях (в районах с расчетной сейсмичностью 7 баллов и более, в районах Крайнего Севера, на просадочных грунтах и подрабатываемых территориях) надлежит учитывать специальные рекомендации.
1.3. Настоящее Руководство не распространяется на проектирование армоцементных, стержневых пространственных конструкций и объемных блоков жилых зданий.
1.4. Железобетонные тонкостенные пространственные конструкции покрытий и перекрытий различаются
(рис. 1.1):
по очертанию срединной <1> поверхности [14] [17]
--------------------------------
<1> Под срединной поверхностью здесь и далее понимается геометрическое место точек в плите оболочки или складки, равноудаленных от ее нижней и верхней поверхностей. Тонкостенные конструкции покрытий и перекрытий, имеющих плиту поля постоянной толщины, допускается различать по очертанию ее верхней поверхности.
Рис. 1.1. Схемы тонкостенных пространственных конструкций
покрытий и перекрытий (см. стр. 9 - 11)
а - призматические складки; б - оболочки нулевой гауссовой
кривизны; в - оболочки положительной гауссовой кривизны;
г - то же, отрицательной; д - оболочки с вертикальной осью
вращения; е - оболочки с горизонтальной осью вращения;
ж - многогранники; з - то же, шатрового типа; и - составные
оболочки; к - то же, из гиперболических треугольных сводов;
л - панели-оболочки; КЖС размером на пролет покрытия
и вспарушенные оболочки размером на ячейку здания;
м - неразрезные оболочки; 1 - балочная складка с треугольным
поперечным сечением; 2 - то же, с трапециевидным; 3 - то же,
со сводчатым (призматические выпуклые складки);
4 - свод-оболочка; 5 - длинные цилиндрические оболочки;
6 - то же, короткие; 7 - коническая оболочка; 8 - купол;
9 - тороидальная оболочка; 10 - бочарные своды;
11 - гиперболические оболочки; 12 - покрытие с треугольным
планом из оболочек положительной и отрицательной гауссовой
кривизны; 13 - то же, с полигональным планом; 14 - покрытие
из составных гипаров; 15 - многоволновые оболочки;
16 - многопролетные оболочки
а) складки с различной формой поперечного сечения, в том числе призматические выпуклые, а также складчатые своды;
б) оболочки и своды нулевой гауссовой кривизны - цилиндрические и конические оболочки и цилиндрические своды;
в) оболочки и волнистые своды положительной гауссовой кривизны - сферические оболочки и купола, очерченные по поверхностям вращения с вертикальной осью, тороидальные оболочки вращения с горизонтальной осью, бочарные своды и оболочки, очерченные по поверхности переноса в виде эллиптического параболоида, круговой поверхности, а также по выпуклой поверхности на плоском контуре;
г) оболочки и волнистые своды отрицательной гауссовой кривизны - оболочки, очерченные по линейчатым поверхностям гиперболического параболоида (гипары) и по поверхностям вращения с горизонтальной или вертикальной осью;
д) оболочки разнозначной гауссовой кривизны - тороидальные оболочки, поверхности которых имеют на некоторых участках положительную, а на других - отрицательную кривизну, коноиды (поверхность которых имеет в большей части нулевую гауссову кривизну) и параболические оболочки на плоском контуре (в основном, положительной кривизны), угловые участки которых имеют отрицательную гауссовую кривизну и др.;
е) многогранники, в том числе вписанные в поверхности оболочек, предусмотренные
подпунктами "б",
"в",
"г",
"д", а также шатровые складки;
ж) составные оболочки, имеющие сложную поверхность, образуемые из оболочек, предусмотренных
подпунктами "б",
"в",
"г",
"д",
"е", в том числе из цилиндрических и гиперболических;
з) вспарушенные плиты, в том числе ступенчато-вспарушенные и шатровые панели;
по форме перекрываемой площади (при опирании
на стены, фундаменты или отдельные опоры)
и конструктивным особенностям
б) на овальном (эллиптическом) плане;
в) на квадратном плане;
г) на прямоугольном плане;
д) на треугольном плане;
е) на полигональном плане;
ж) кольцевые тороидальные и составные оболочки;
з) неразрезные многоволновые оболочки, многогранники и складки;
и) неразрезные многопролетные оболочки, многогранники и складки;
к) висячие оболочки;
н) консольные оболочки, складки и многогранники;
по способу изготовления и возведения
а) монолитные;
б) сборно-монолитные (когда сборные элементы служат несущей опалубкой или, например, бортовые элементы сборные, а плита-оболочка - монолитная);
в) сборные из плоских, цилиндрических и других элементов;
г) панели-оболочки и панели-складки, изготовляемые и монтируемые в готовом виде (как правило, не требующие расчетного замоноличивания швов между ними) и имеющие размеры, соответствующие пролету между опорами и габаритам, установленным для данных условий изготовления, перевозки и монтажа;
по материалам, из которых возводятся:
а) железобетонные (в том числе с применением легких и других бетонов);
б) комбинированные, состоящие из железобетонной плиты и металлических диафрагм или бортовых элементов;
в) комплексные, состоящие из железобетонной пространственной конструкции и эффективных теплоизоляционных, гидроизоляционных и других материалов.
1.5. Выбор типа и очертания поверхности пространственных конструкций покрытий или перекрытий зданий и сооружений рекомендуется производить на основе технико-экономических обоснований (см.
прил. 7 настоящего Руководства) с учетом архитектурно-технологических и производственных требований [
1,
6,
15,
16,
18].
В необходимых случаях покрытия и перекрытия с применением тонкостенных пространственных конструкций должны удовлетворять акустическим и светотехническим требованиям, условиям отопления и вентиляции, а также допускать возможность подвески кранового оборудования, технологических коммуникаций, потолка или площадок и т.п.
1.6. Элементы сборных и сборно-монолитных пространственных конструкций рекомендуется проектировать с учетом условий механизации их изготовления на заводах или полигонах, а железобетонные монолитные пространственные конструкции - с учетом механизированного выполнения опалубочных, арматурных и бетонных работ.
1.7. Сборные и сборно-монолитные пространственные конструкции рекомендуется проектировать с учетом эффективных способов их изготовления и монтажа - из унифицированных плоских, цилиндрических или иных, как правило, ребристых панелей, монтируемых с применением укрупнительной сборки или из крупноразмерных элементов, изготовленных вблизи места возведения конструкции [
3,
6].
Размеры укрупненных тонкостенных элементов покрытий и перекрытий: длина более 24 м, ширина (высота) более 3,2 м, а также вес более 15 т (учитывая условия перевозки, изготовления и монтажа) - должны быть специально обоснованы.
1.8. Панели-оболочки и панели-складки проектируют с учетом особенностей их транспортирования и хранения в штабелях.
1.9. Железобетонные покрытия пространственного типа проектируют с учетом комплекса требований к ограждениям по гидро- и теплоизоляции, водоотводу, устройству различных проходок через покрытие, фонарных и других проемов и отверстий.
Панели сборных пространственных конструкций рекомендуется проектировать так, чтобы завод или полигон изготовлял их по возможности повышенной готовности - утепленными, с гидроизоляцией и т.п.
ОСНОВНЫЕ ТРЕБОВАНИЯ К КОНСТРУИРОВАНИЮ
1.10. Монолитные пространственные конструкции проектируют, как правило, с гладкой плитой, толщина которой должна удовлетворять требованиям
п. 5.3 главы СНиП II-21-75.
| | ИС МЕГАНОРМ: примечание. Текст дан в соответствии с официальным текстом документа. | |
С целью повышения жесткости поля оболочки или складки допускается предусматривать ребра, как правило, прямоугольного сечения. Шаг ребер определяют исходя из расчета поля оболочки или плиты складки на прочность, устойчивость или локальную несущую способность (см. раздел и
прил. 6 настоящего Руководства). С целью уменьшения изгибающих моментов в плите оболочки и упрощения опалубки рекомендуется ось симметрии сечения ребер совмещать с направлением нормали к поверхности (а для ребер, располагаемых в местах перелома складчатой поверхности, - с направлением биссектрисы угла сопряжения граней) и располагать ребра с выпуклой стороны оболочки. Ширину ребра следует принимать, как правило, не меньше высоты его сечения.
1.11. Монолитные тонкостенные конструкции покрытий можно проектировать для любых очертаний поверхности и форм плана, предусмотренных
п. 1.4 настоящего Руководства. С целью сокращения трудоемкости и стоимости опалубки рекомендуется применять тонкостенные конструкции, удобные для использования многократно оборачиваемой (подвижной и переносной) опалубки:
а) с линейчатыми поверхностями (цилиндрические, гиперболические оболочки, коноиды, призматические складки);
б) с поверхностями переноса положительной гауссовой кривизны (параболические и круговые оболочки).
Стрелу подъема монолитных оболочек обычно принимают от 1/10 до 1/5 пролета. Угол наклона касательной к поверхности монолитных покрытий с горизонтом для их бетонирования на односторонней опалубке, как правило, должен быть не более 35°.
1.12. В качестве бортовых элементов оболочек, складок, многогранников рекомендуется предусматривать балки, рамы или арки, как правило, прямоугольного или квадратного сечения, высоту которого принимают не менее 1/80 пролета.
1.13. Переход от плиты к бортовым элементам (а также к ребрам) должен быть плавным в виде вута шириной до

. Если устройство вута недостаточно для восприятия краевых изгибающих моментов, следует предусматривать соответствующие утолщения плиты на величину от

до

. В необходимых случаях, согласно требованиям расчета, плита может иметь плавное утолщение от центра к бортовым элементам.
1.14. Армирование монолитных пространственных конструкций рекомендуется проектировать с использованием готовых сварных сеток и каркасов.
Изгибаемые плиты должны иметь у растянутой грани не менее одной арматурной сетки. Сжатые плиты, толщина которых назначается из условия местной несущей способности или устойчивости, и растянутые плиты рекомендуется армировать по расчету двумя сетками, располагаемыми симметрично относительно срединной поверхности с минимально допустимой величиной защитного слоя.
Если в плите конструкции арматура по расчету не требуется, то рекомендуется предусматривать конструктивное армирование согласно требованиям
п. 5.16 главы СНиП II-21-75, но не менее одной сетки, из стержней диаметром 3 - 4 мм, с шагом не более

или 200 мм, располагаемой у нижней грани сечения.
1.15. Для восприятия основных растягивающих усилий в контурных элементах, диафрагмах и затяжках большепролетных покрытий рекомендуется предусматривать предварительно-напрягаемые элементы с анкерными муфтами. Предварительно-напрягаемую арматуру рекомендуется располагать в каналах или пазах с последующим замоноличиванием.
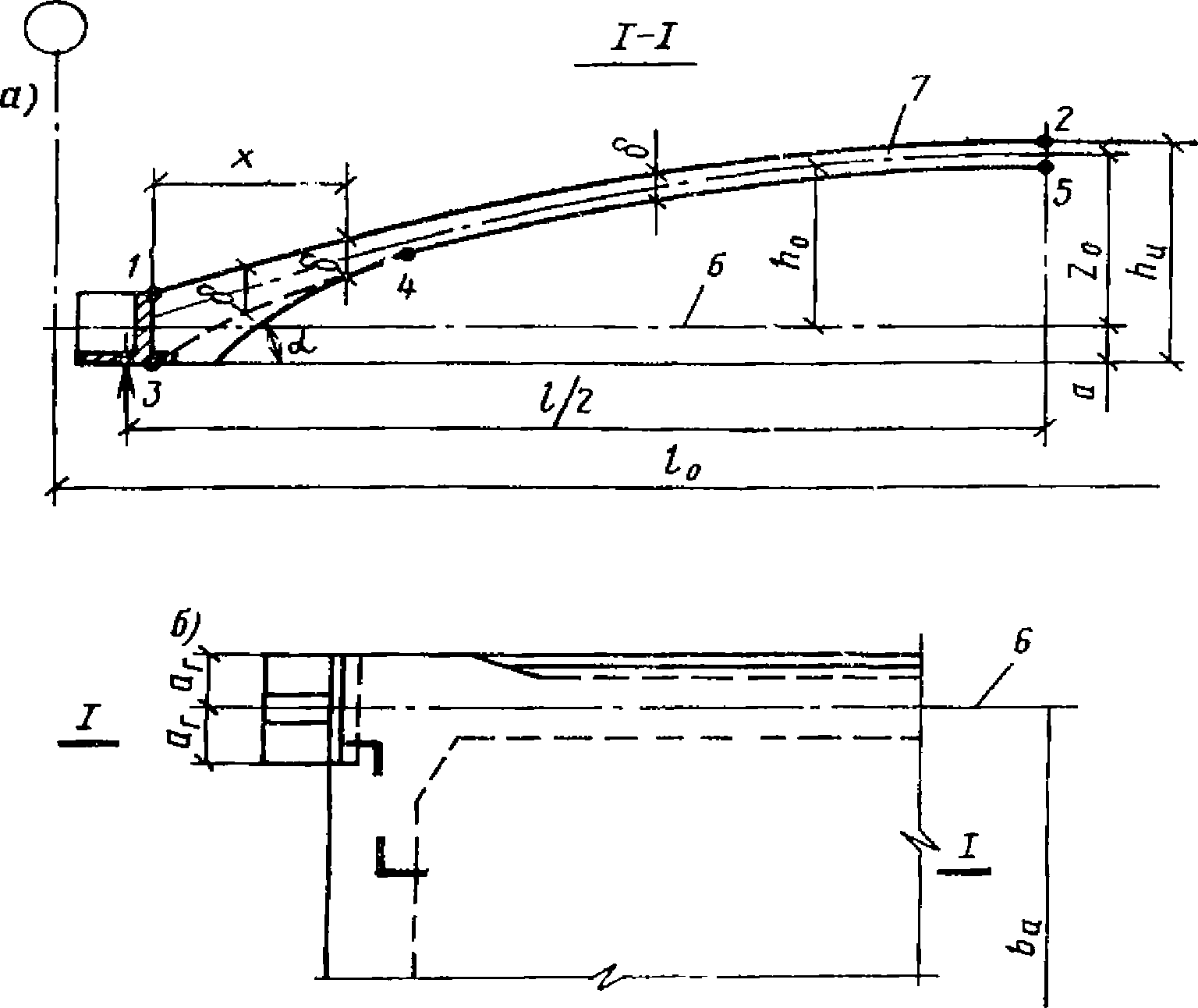
Положение арматурных канатов и пучков по возможности должно совпадать с направлением растягивающих усилий (см.
рис. 1.2) или их компонентов (см.
рис. 1.2,
е). В бортовых элементах балочных оболочек и складок до 80% основной растянутой арматуры допускается концентрировать у растянутой грани. В остальных случаях растянутую арматуру в тонкостенных элементах пространственных конструкций рекомендуется располагать, по возможности, равномерно вдоль растянутой зоны сечения оболочки, складки или многогранника.
Рис. 1.2. Схемы расположения напрягаемой арматуры
а - в куполе; б - в шатровой складке; в - в пологой оболочке
положительной гауссовой кривизны, опертой по контуру;
г - то же, с фермами-диафрагмами, опертыми в углах оболочки;
д - в цилиндрической оболочке; е - по направлениям
компонентов главных усилий; ж - в шедовой однопролетной
оболочке; з - в шедовой неразрезной оболочке перекрестными
пучками; и - в зонтичной оболочке, образованной из четырех
гиперболических параболоидов
1.16. Канаты и пучки для предварительно-напряженного армирования монолитных пространственных конструкций рекомендуется применять из высокопрочной проволоки, защищенной от коррозии до замоноличивания оцинковкой или другим способом, допускаемым главой
СНиП II-28-73.
Сборно-монолитные конструкции
1.17. Сборно-монолитные конструкции покрытий и перекрытий можно проектировать с применением в качестве несущей опалубки (рис. 1.3) железобетонных или армоцементных тонкостенных элементов, обеспечивающих создание готовой поверхности потолка, удовлетворяющей архитектурно-конструктивным требованиям. При проектировании армоцементных элементов несущей опалубки следует соблюдать требования "Инструкции по проектированию армоцементных конструкций" (СН 366-77). М., Стройиздат, 1977.
Рис. 1.3. Сборно-монолитные оболочки с использованием
несущей железобетонной или армоцементной опалубки
а - тонкостенный коробчатый железобетонный или армоцементный
элемент; б - деталь поперечного сечения конструкции;
1 - монолитный бетон; 2 - выпуски арматуры
Несущую опалубку пространственных конструкций рассчитывают на усилия от веса уложенного монолитного бетона и монтажных нагрузок с учетом ее последующей работы в качестве элемента составного сечения на эксплуатационные нагрузки. Поверхность несущей опалубки, соприкасающаяся с монолитным бетоном, и выпуски арматуры должны обеспечивать совместную работу опалубки и монолитного бетона.
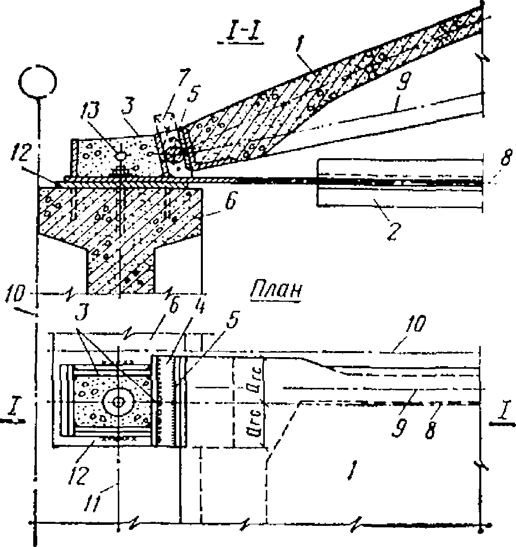
1.18. При проектировании сборно-монолитных конструкций с целью упрощения лесов и подмостей рекомендуется предусматривать сборные диафрагмы, бортовые элементы или ребра в соответствии с принятым проектом организации работ. Схема сборно-монолитной оболочки покрытия промышленного здания приведена на рис. 1.4. Сборные диафрагмы и бортовые элементы могут быть железобетонными, металлическими и бетонными с несущей арматурой.
Рис. 1.4. Схема сборно-монолитной оболочки покрытия
1 - монолитная плита-оболочка; 2 - металлическая
или сборная железобетонная ферма-диафрагма
Для обеспечения передачи контактных усилий между монолитным бетоном и сборными элементами в зонах омоноличивания этих элементов рекомендуется предусматривать шпонки, упоры, выпуски арматуры, закладные детали (см.
пп. 1.30 -
1.33 настоящего Руководства).
1.19. Для облегчения веса сборных элементов, работающих на существенные монтажные усилия, при проектировании рекомендуется учитывать применение на время монтажа временных затяжек, опор и других подкрепляющих устройств. Выбор бетона и арматуры при этом рекомендуется производить с учетом условий их изготовления, предусмотренных проектом производства работ.
1.20. Размеры поперечного сечения сборно-монолитных пространственных конструкций (плиты, ребер, бортовых элементов и диафрагм) рекомендуется принимать согласно расчету на усилия, действующие в стадии эксплуатации.
При конструировании монолитных частей сборно-монолитных конструкций необходимо учитывать рекомендации
пп. 1.10 -
1.16 настоящего Руководства.
1.21. Сборные пространственные конструкции рекомендуется проектировать из тонкостенных панельных, блочных (арочных) и других сборных элементов, которые после установки на место соединяются омоноличиванием и образуют своды, оболочки, складки и другие конструкции покрытий и перекрытий. Стыки сборных пространственных конструкций должны быть рассчитаны и законструированы так, чтобы они могли надежно передавать от одного элемента к другому усилия, возникающие в соединении при монтаже (в том числе в стыках укрупненных элементов и при навесной сборке без лесов) и в процессе эксплуатации.
Элементы сборных конструкций должны удовлетворять требованиям расчета и быть целесообразными по форме и размерам с точки зрения технологии их изготовления, перевозки и монтажа, в том числе монтажа блоками с применением укрупнительной сборки монтажных элементов на строительной площадке. Сборные конструкции для массового строительства проектируются из унифицированных элементов, изготовление и перевозка которых могут быть организованы в массовом порядке.
Допускается применять крупноразмерные элементы, изготовляемые на строительной площадке, в большепролетных и других уникальных конструкциях, а также во всех случаях, когда это технико-экономически целесообразно.
При проектировании сборных пространственных конструкций и их элементов отклонения от их номинальных размеров следует назначать согласно требованиям ГОСТ 13015-75.
1.22. Очертание срединной поверхности сборных оболочек покрытий выбирается с учетом удобства расчленения конструкции покрытия или перекрытия на минимальное количество типов панелей и других элементов при максимальной их повторяемости. Например, для оболочек положительной гауссовой кривизны могут применяться поверхности вращения (сферическая, тора) или круговая поверхность переноса.
В качестве сборных элементов пространственных конструкций покрытий и перекрытий рекомендуется предусматривать:
а) панели плоские или цилиндрические, в том числе комплексные, повышенной готовности;
б) диафрагмы и бортовые элементы в виде балок, арок, безраскосных и раскосных ферм, балок-стенок.
Балки и арки могут иметь прямоугольное, тавровое, двутавровое, пустотелое и другое поперечное сечение. Растянутые и изгибаемые диафрагмы и бортовые элементы, а также панели длиной 12 м и более целесообразно проектировать с предварительно-напряженной арматурой, а в случае необходимости на период монтажа - с временными подкреплениями (см. также
п. 1.19 настоящего Руководства).
При конструировании сборных пространственных покрытий и перекрытий допускается и другое членение при соответствующем технико-экономическом обосновании, например на панели, включающие части бортовых элементов или диафрагм [
3,
6,
15].
Примеры членения основных сборных покрытий и перекрытий приведены на
рис. 1.5.
Рис. 1.5. Примеры членения сборных пространственных покрытий
и перекрытий
а - длинная цилиндрическая оболочка из панелей размером
3 x 6 м, бортовых элементов и диафрагм, монтируемая
из укрупненных элементов; б - то же, короткая из плоских
панелей размером 3 x 12 м и диафрагм; в - оболочка вращения
из трапециевидных криволинейных или плоских панелей;
г - шатровые складки из трапециевидных и прямоугольных
панелей; д - оболочки двоякой кривизны из панелей размером
3 x 6 м, монтируемые из укрупненных элементов размером
3 x 18 м; е - волнистый свод из плоских панелей;
ж - шатровая висячая оболочка (со средней опорой)
из трапециевидных панелей и сжатого пояса; з - составная
оболочка из четырех гиперболических параболоидов, собранных
из неплоских панелей размером 2,25 x 9 м; и - стрельчатый
свод-оболочка из гиперболических панелей с торцевой
стенкой-диафрагмой; к - складчатое покрытие
1 - панель; 2 - бортовой элемент; 3 - ферма-диафрагма
1.23. Поперечные сечения сборных элементов, как правило, должны иметь размеры, не менее:
по толщине плиты

- 30 мм;
по высоте сечения основных ребер панелей h - 1/20 их длины;
по ширине сечения ребер панелей b - 40 мм.
Бортовые балочные элементы следует конструировать, по возможности, аналогичными типовым железобетонным балкам покрытий и перекрытий, а бортовые растянутые элементы оболочек положительной гауссовой кривизны - с предварительно-напряженной арматурой. Для бортовых элементов небольших пролетов допускается обычное или несущее армирование.
1.24. В местах действия краевых моментов и максимальных главных растягивающих напряжений плиту допускается утолщать, в том числе с помощью слоя монолитного бетона, укладываемого по сборным плитам. При этом должны быть предусмотрены необходимое дополнительное армирование монолитного слоя (например, в углах оболочек положительной гауссовой кривизны) и конструктивные и технологические мероприятия для надежного сцепления монолитного слоя со сборными панелями. Толщина плиты сборных элементов может быть переменной плавно изменяющейся между ребрами или ступенчатой, постоянной в пределах пролета.
1.25. Основная арматура сборных пространственных конструкций предусматривается в плите и ребрах панелей, бортовых балках, диафрагмах и других элементах покрытия или перекрытия. В случае когда арматуры, установленной в сборных элементах, недостаточно сборные пространственные конструкции могут иметь дополнительное армирование в виде предварительно-напряженных поясов и отдельных элементов или стержней, укладываемых в процессе возведения конструкции. Предварительное напряжение такой арматуры осуществляется натяжением на бетон и последующим обетонированием. В стыках между панелями и другими элементами (например, для обеспечения неразрезности в местах сопряжения соседних оболочек) также допускается укладывать стержни или сетки дополнительного армирования.
1.26. Сборные конструкции в виде панелей-оболочек, панелей-складок (размером, равным пролету между опорами покрытий или перекрытий зданий) проектируют исходя из условия, что они изготовляются, перевозятся и монтируются как готовые пространственные конструкции.
Соединения элементов при укрупнительной сборке должны быть достаточно простыми для выполнения, как правило, без замоноличивания.
1.27. В комбинированных пространственных конструкциях покрытий плита оболочки или складки может выполняться из железобетона, а бортовые элементы, устройства для подвесных кранов и др. - из стальных ферм, балок и т.п. При проектировании таких конструкций рекомендуется предусматривать совместную работу железобетонных и металлических элементов покрытия или перекрытия.
Стыки сборных конструкций
1.28. Стыки конструкций должны быть надежны и просты при сборке и замоноличивании
[6]. Следует различать расчетные, проектируемые для восприятия расчетных усилий, и конструктивные стыки (например, замоноличенный стык между соседними панелями-оболочками КЖС). К конструктивным стыкам требование расчета по прочности не предъявляется.
1.29. Расчет стыков по прочности рекомендуется производить в зависимости от вида передаваемых через них усилий. Расчетные стыки оболочек, складок и многогранников, как правило, конструируются со шпонками с целью передачи касательных, а также сжимающих или растягивающих усилий. В сжатых стыках допускается учитывать сопротивление трению при действии минимальной величины сжимающего усилия
[21] или напряжение сцепления бетона замоноличивания с бетоном сборных элементов величиной

. Схемы стыков приведены на
рис. 1.6.
Рис. 1.6. Схема стыков сборных конструкций
а - сжатый стык панелей со сварными накладками; б - то же,
с перепуском арматуры; в - то же, с отгибами при наличии
сдвигающих усилий; г - растянутый стык; д - то же,
при наличии сдвигающих усилий; е - стык со сварной накладкой
и шпонками, работающий на сдвиг; ж - то же, испытывающий
сжатие с изгибом; з - стык панелей висячей оболочки
на ванте; и - стык панелей и диафрагмы смежных оболочек
и схема шпонки стыка;
1 - панель; 2 - закладная деталь; 3 - соединительная
накладка; 4 - бетон замоноличивания; 5 - продольная арматура
стыка; 6 - ванта; 7 - диафрагма с выпусками арматуры;
8 - сварной шов; 9 - шпонки
1.30. В стыках железобетонных элементов со стальными диафрагмами и бортовыми элементами вместо шпонок в металлической конструкции предусматривают жесткие упоры и отрезки стержней (рис. 1.7, см. стр. 24).
Рис. 1.7. Схема стыков соединения железобетонных
и металлических элементов
1 - стальной упор; 2 - шпонки; 3 - бетон замоноличивания
1.31. Соединение арматуры в стыках рекомендуется осуществлять сваркой стержней с закладными деталями или между собой, а также с перепуском концов стержней и сеток согласно требованиям
п. 5 главы СНиП II-21-75.
С целью уменьшения зоны перепуска арматуры допускается стыкование с помощью перепуска петель диаметром (или размером стороны) не менее 10
d с заделкой в шов каждой петли на длину не менее 15
d. Внутри петель по их периметру должны быть заложены продольные по стыку стержни (
рис. 1.6,
г,
д)
. Петли могут быть расположены в вертикальной или горизонтальной плоскости. Закладные детали должны располагаться в пределах ребер сборных элементов с последующим обетонированием.
Расчетные стыки на период монтажа допускается проектировать без замоноличивания, предусматривая передачу возникающих в них усилий через соединительные металлические детали (
рис. 1.6,
ж)
.
Металлические детали стыков должны быть защищены от коррозии согласно требованиям главы
СНиП II-28-73.
1.32. Размер ширины стыков следует назначать с учетом положительных и отрицательных допусков для размеров собираемых элементов, но не менее 40 мм и, как правило, не более 150 мм (см.
п. 1.21 настоящего Руководства).
Передача монтажных сжимающих усилий в стыках допускается через металлические закладные детали без применения замоноличивания. При этом прочность бетона сборных элементов в стыке должна быть проверена на местное сжатие.
Ширина раскрытия трещин на уровне арматуры должна быть не более допустимой по
п. 1.17 главы СНиП II-21-75 (при применении оцинкованной арматуры ширина раскрытия трещин не должна быть более 0,5 мм).
1.33. С целью сокращения размеров и количества закладных деталей и стержней, проектируемых в стыке, а также упрощения работ по стыкованию арматуры, допускается основную арматуру в элементах и в стыках покрытий сосредоточивать на отдельных небольших участках в зоне ребер, пересекаемых стыком (но не реже чем через 3 м), а при отсутствии ребер - на участках протяженностью 5 - 10 толщин плиты при расстоянии между участками 10 - 20 толщин плиты.
1.34. В стыках элементов, работающих на растяжение или изгиб, все растягивающие усилия должны быть восприняты надежно заанкеренной арматурой (как правило, являющейся продолжением основной арматуры ребер стыкуемых элементов).
В стыках, воспринимающих касательные усилия сдвига с помощью шпонок, размеры выступов и углублений, образуемых в бетоне сборных элементов и в бетоне замоноличивания, должны удовлетворять расчету
[21] шпонок на смятие
Sсм и срез
Sср по формулам:

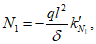
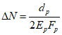
(1.1)

(1.2)
здесь Rпр, Rр - наименьшие расчетные пределы прочности бетона сборных элементов или замоноличивания соответственно при осевом сжатии и растяжении бетонных конструкций.
Если через стык передаются местные сдвигающие усилия, то количество шпонок nш учитывают только в зоне действия этих усилий, при этом две крайних шпонки не учитываются.
Гибкие выпуски арматуры и соединения закладных деталей, расположенные перпендикулярно к оси стыка, как правило, не учитываются в расчете на усилия сдвига. Их устанавливают для восприятия возможных растягивающих усилий, перпендикулярных оси шва, и по конструктивным соображениям. Если такое армирование может полностью воспринять данные растягивающие усилия, то в
формуле (1.2) вместо 2
Rр допускается принимать 3
Rр.
1.35. В тонкостенных пространственных конструкциях допускается проектировать отверстия и проемы различной формы в пределах расстояния между диафрагмами или ребрами жесткости, а также большей величины, но с проверкой расчетом. Световые проемы могут устраиваться также с применением равнопрочных стекложелезобетонных включений, перепада поверхностей покрытия или раздвижки оболочек, складок или сводов.
При больших размерах проемов в плите рекомендуется устраивать распорки и раскосы, которые вместе с окаймляющими ребрами образуют раму или ферму, способную воспринять нормальные или касательные усилия, или только нормальные усилия.
1.36. Отверстия в плите оболочек и складок с размером сторон (или диаметром) не более

допускается устраивать без специального утолщения края плиты, но с установкой конструктивной арматуры, окаймляющей отверстие, диаметром не менее 8 мм при

.
Отверстия рекомендуется проектировать круглыми, овальными или многоугольными с округлением углов радиусом

(рис. 1.8).
Рис. 1.8. Окаймляющее армирование отверстий
1 - арматура; 2 - стык арматуры с перепуском на 30d
или стык равнопрочный сварной
1.37. В зоне отверстий размером более

плиты полок и стенок на краю должны иметь утолщение и армирование, принимаемое по расчету. Утолщение должно иметь высоту

, ширину

и площадь бетона и арматуры не менее, чем площадь бетона и арматуры в поперечном сечении вырезанной части плиты. Отверстия, устраиваемые в растянутых полках или стенках, должны иметь в ребрах количество арматуры, достаточное для восприятия усилия, приходящегося на вырезанную часть полки или стенки.
1.38. Если расстояние от проема до бортового элемента оболочки более 1,5
c (
c - шаг распорок или раскосов), усилия от распорок или раскосов, передаваемые на плиту оболочки (или многогранника), допускается учитывать по принципу краевого эффекта, как сосредоточенных усилий, действующих на полуплоскость.
1.39. В пространственных покрытиях и перекрытиях расстояние между температурно-усадочными швами должно устанавливаться с учетом
п. 1.23 главы СНиП II-21-75 и следующих конструктивных рекомендаций:
а) в многопролетных покрытиях швы следует устраивать между парными бортовыми элементами
(рис. 1.9);
б) в складчатых и волнистых сводчатых покрытиях деформационные швы, с целью повышения их водонепроницаемости, рекомендуется проектировать на гребне у складки или волны свода;
в) температурно-усадочные деформации пространственных конструкций должны обеспечиваться за счет применения гибких или качающихся колонн, а также катучих, скользящих или упруго-деформируемых (полимерных прокладок) опорных устройств. При больших (100 м и более) пролетах, как правило, применяют свободно податливые опоры при условии неподвижного закрепления покрытия не менее чем в двух точках по сторонам контура или в углах;
г) деформационные швы покрытия должны совпадать со швами, перерезающими стены, если специально не предусмотрены мероприятия для независимого деформирования стен и покрытия.
Рис. 1.9. Пример решения температурного шва
а - в направлении l2; б - в направлении l1;
1 - бортовая балка; 2 - ферма-диафрагма; 3 - оболочка;
4 - колонна; 5 - шов
1.40. Покрытия с круглыми или полигональным планом (оболочки вращения, складчатые купола и т.п.) диаметром более 40 м, в которых не могут быть предусмотрены деформационные швы, должны опираться по контуру на гибкие колонны или подвижные опоры в радиальном направлении, допускающие температурные и усадочные деформации.
1.41. В распорных покрытиях пролетом более 40 м, опирающихся жестко или шарнирно непосредственно на фундаменты, температурно-усадочные деформации рекомендуется учитывать как при расчете, так и при конструировании.
ОСНОВНЫЕ ТРЕБОВАНИЯ К РАСЧЕТУ
1.42. Расчет железобетонных пространственных тонкостенных конструкций производят согласно
п. 1.11 главы СНиП II-21-75 для двух предельных состояний:
а) по несущей способности или по прочности и устойчивости (общей и локальной);
б) по эксплуатационной пригодности, имея в виду предельные перемещения, преждевременное или чрезмерное раскрытие трещин, нежелательные местные повреждения, колебания и т.п.
Следует различать два вида расчетов пространственных конструкций:
а) предварительные, упрощенные - для обоснований технических решений и вариантов конструкции;
б) рабочие - для обоснования рабочих чертежей пространственных конструкций.
1.43. Усилия, а в случае необходимости и деформации в пространственных конструкциях определяют в зависимости от особенностей конструкции согласно
п. 1.16 главы СНиП II-21-75, принимая во внимание следующие методы расчета и экспериментальных исследований:
а) расчет методами теории упругости [
2,
4,
6,
8]: главным образом, техническую теорию оболочек и практические методы расчета тонких оболочек и складок, учитывающие неразрезность конструкции
[11], податливость опор и диафрагм
[9], наличие ребер, отверстий и проемов, а также неравномерные и динамические нагрузки и т.п.;
б) расчет методом упруго-пластической теории [
16,
17], используя прикладную теорию деформаций железобетона путем учета практических гипотез и упрощений упруго-пластического расчета, вытекающих из особенностей работы железобетона с трещинами
[5],
[19];
в) расчет методами предельного равновесия [
13,
20], главным образом, для решения задач несущей способности или проверки назначенных сечений бетона и арматуры в предварительных и рабочих расчетах, с учетом теории железобетона и жестко-пластической теории (теории пластических шарниров и линий излома), методов математического программирования, ЭВМ, расчет по деформированной схеме, а также моделирование и натурные испытания конструкций до разрушения, позволяющие получать схемы излома и формы разрушения;
г) экспериментальное исследование напряженно-деформированного состояния натурных образцов панелей-оболочек и панелей-складок массового применения на все виды и величины нагрузок
[12], с тем чтобы использовать экспериментально обоснованные и наиболее экономичные расчеты формулы для проверки всех требуемых предельных состояний;
д) для отдельных сложных пространственных конструкций, для которых нет достаточно достоверных расчетов, обязательное испытание моделей при проектировании (см.
прил. 5 настоящего Руководства).
Статический и динамический расчет пространственных конструкций рекомендуется начинать с определения их несущей способности или площади сечения бетона плиты и основной растянутой арматуры в бортовых элементах, диафрагмах согласно рекомендациям настоящего Руководства по выполнению предварительных расчетов.
1.44. Выбор метода рабочего расчета, алгоритмов и программ при расчете на ЭВМ для анализа той или иной пространственной конструкции должен производиться согласно рекомендациям настоящего Руководства для данного типа конструкций. Расчеты на ЭВМ тонкостенных пространственных конструкций рекомендуется реализовать на расчетных центрах следующих исследовательских, учебных и проектных организаций: ЦНИИПИАСа (Москва), НИИАСа (Киев), ПИ-1 (Ленинград), Ленпромстройпроекта, ЦНИИСКа им. В.А. Кучеренко (Москва), ЦНИИПСКа (Москва, Киев), ХИСИ (Харьков), Таджикского ПТИ (Душанбе), Краснодарского ПТИ, Эстонского ПТИ (Таллин), Вильнюсского ИСИ, ЛИСИ (Ленинград), МИСИ (Москва), ГрузНИИЭГСа (Тбилиси), МНИИТЭПа (Мосгорисполкома).
1.45. При составлении расчетной схемы покрытия или перекрытия рекомендуется использовать срединную поверхность гладкой плиты, подкрепленной плиты оболочки, многогранника или складки. Для покрытий, которые по условиям возведения образуются как многогранники, вписанные в поверхность оболочки, с достаточно большим количеством граней n, где на участке между диафрагмами n > 7 или f >= h (f - стрела подъема дуги над хордой, лежащей в плоскости грани многогранника, а h - толщина поперечного сечения многогранника с учетом подкрепляющих ребер), допускается за расчетную поверхность принимать гладкую срединную поверхность оболочки. При этом дополнительные моменты и нормальные силы, возникающие в местах переломов действительной поверхности, допускается определять приближенно.
Для пространственных конструкций, имеющих коробчатое поперечное сечение поля, при шаге ребер

и толщине поперечного сечения
h <
f, а для оболочек, кроме того, при

(где
R - радиус главной кривизны срединной поверхности), а также для складчатых и волнистых сводов и сетчатых (без плиты) оболочек и многогранников, за срединную поверхность допускается принимать поверхность, в которой лежат центры тяжести поперечных сечений конструкций.
В этом случае при расчете ребристых оболочек, многогранников и тонких оболочек допускается вводить в расчет усредненную приведенную толщину оболочки

и усредненную приведенную жесткость

(где
Fб.п и
Iб.п - соответственно площадь и момент инерции приведенного двутаврового сечения с шириной полки, равной
c). В других случаях учет подкрепляющих ребер следует производить по методикам, разработанным для различных конкретных конструкций.
Расчетный пролет оболочек, многогранников и складок определяется как расстояние между осями опор покрытий и перекрытий. Расчетный размер сторон оболочек, многогранников и складок в плане определяется как расстояние между осями соответствующих бортовых элементов или диафрагм. При этом, если для расчета система делится на поле оболочки и краевые элементы, в расчете следует учитывать эксцентриситет примыкания поля оболочки к диафрагме или бортовым элементам.
При определении усилий в железобетонных пространственных конструкциях в упругой стадии площадь и момент инерции допускается принимать как для бетонного или, если

(

- количество арматуры в % площади бетонного сечения) как для приведенного к нему сечения. При расчете с учетом неупругих деформаций и трещин, а также по методу предельного равновесия следует учитывать действительные характеристики железобетонных сечений для рассматриваемой стадии их работы.
1.46. Расчет пространственных конструкций покрытий и перекрытий по предельным состояниям согласно требованиям
п. 1.12 главы СНиП II-21-75 производится, как правило, для всех воздействий на конструкцию или ее элементы в процессе изготовления, транспортирования, возведения и эксплуатации, причем расчетные схемы и нагрузки должны отвечать принятым конструктивным решениям и воздействиям для каждой стадии. Необходимо также учитывать следующие рекомендации:
монолитные конструкции, в том числе с предварительно-напряженным армированием, должны быть рассчитаны по прочности и трещиностойкости при раскружаливании;
| | ИС МЕГАНОРМ: примечание. В официальном тексте документа, видимо, допущена опечатка: имеется в виду СНиП II-21-75, а не СНиП II-2-75. | |
элементы сборно-монолитных конструкций согласно
п. 1.15 главы СНиП II-2-75 должны быть рассчитаны по прочности и трещиностойкости на действие собственного веса и веса бетона замоноличивания и монтажных нагрузок;
сборно-монолитную конструкцию в целом после достижения бетоном замоноличивания проектной прочности рассчитывают как монолитную с включением в работу сборных элементов, если для этого предусмотрены соответствующие конструктивные и технологические мероприятия;
элементы сборных конструкций, в том числе укрупненных, при монтаже (до замоноличивания), должны быть проверены по прочности и трещиностойкости на усилия от действия собственного веса, монтажных нагрузок и реактивных усилий от временных опор, затяжек и других приспособлений;
сборные конструкции после достижения бетоном замоноличивания стыков проектной прочности и после раскружаливания рассчитывают по прочности, жесткости, трещиностойкости на действие собственного веса, монтажных нагрузок и предварительного напряжения арматуры с учетом изменения на данной стадии напряженно-деформированного состояния конструкции от удаления всех или части временных связей;
| | ИС МЕГАНОРМ: примечание. В официальном тексте документа, видимо, допущена опечатка: пункт [24] в Списке литературы к разделу 1 отсутствует. | |
удаление временных опор, затяжек, подкреплений и т.п. допускается учитывать путем статического расчета готовой на данной стадии конструкции или монтажного элемента (т.е. для расчетной схемы конструкции соответственно данной стадии ее выполнения в отношении устройства стыков, граничных условий, удаления части или всех временных связей) на кратковременное действие сосредоточенных сил, равных по величине и обратных по направлению фактическим усилиям, имеющим место в удаляемых связях. Найденные таким образом внутренние усилия и деформации в конструкциях суммируются с усилиями и деформациями, полученными в тех же сечениях из расчета для предыдущей стадии работы конструкции [24];
расчет по раскрытию трещин и деформациям панелей-оболочек и панелей-складок допускается не производить, если на основании проверки или практики их применения установлено, что величина раскрытия в них трещин не превышает предельно допустимых величин и жесткость конструкции в стадии эксплуатации достаточна. При этом следует учитывать, что раскрытие трещин в монтажных элементах сборных конструкций может быть кратковременным и в дальнейшем уменьшаться в обжатых частях конструкции (см.
пп. 1.17,
4.19,
4.21 и
4.26 главы СНиП II-21-75).
1.47. Расчет несущей способности (первая группа предельных состояний) монолитных, сборно-монолитных и сборных пространственных конструкций по методу предельного равновесия допускается производить (учитывая перераспределение усилий в предельном состоянии конструкции) без учета монтажных и других усилий, возникающих в них до замоноличивания, в процессе изготовления и раскружаливания. При этом в случае необходимости учитывают деформированную схему конструкции, в том числе от перемещений, накопленных в процессе изготовления и возведения конструкции.
1.48. Расчет по предельным состояниям оболочек и складок (или их частей, рассматриваемых как тонкостенные элементы с недеформируемым сечением) должен производиться согласно требованиям главы
СНиП II-21-75 и рекомендациям соответствующих руководств по проектированию обычных
[21] и предварительно-напряженных
[22] железобетонных конструкций.
Участки плиты, оболочек и складок, где главные растягивающие напряжения

должны быть заармированы, исходя из условия полного восприятия арматурой растягивающих усилий. Допускать

не рекомендуется и в соответствующих участках конструкции размеры по толщине следует увеличивать.
1.49. Диафрагмы и бортовые элементы оболочек, складок, многогранников и сводов-оболочек работают в основном на касательные усилия и, как правило, вводятся в расчет из условия их совместной работы с полем конструкции с учетом их действительных жесткостей и схемы нагружения.
1.50. Отверстия в плитах оболочек, имеющие

размеры, чем расстояния между ребрами сборных элементов, а для гладких оболочек размером более

, должны учитываться в расчете конструкции.
1.51. При расчете пространственных конструкций по трещиностойкости и деформациям усилия от предварительного напряжения арматуры допускается определять как усилия от соответствующих внешних сил, приложенных в местах анкеровки арматуры, а при расчете криволинейных стержней - с учетом касательных сил трения по длине арматуры и нормальных сил, действующих по направлению радиуса кривизны.
1.52. При расчете пространственных покрытий пролетом более 100 м или с поверхностью сложного очертания, не предусмотренной главой
СНиП II-6-74 "Нагрузки и воздействия", нагрузки от действия снега и ветра допускается определять по экспериментальным данным.
1.53. Значительные сосредоточенные нагрузки, как правило, должны прикладываться к ребрам жесткости, диафрагмам, бортовым балкам оболочек и складок. С целью повышения экономической эффективности допускается при соответствующих конструктивных мероприятиях учитывать в расчете совместную работу пространственной конструкции и устройства для подвески грузов (например, крановых балок и т.п.).
1.54. В необходимых случаях рекомендуется производить проверку местной устойчивости или прочности тонкостенных элементов пространственных конструкций. Проверку устойчивости допускается производить методами упругого или упруго-пластического расчета потери устойчивости с учетом особенностей работы железобетона
[19]. Проверку местной прочности поля оболочки положительной гауссовой кривизны рекомендуется производить методом предельного равновесия по несущей способности с местным изменением формы поля конструкции согласно указаниям
раздела 6 настоящего Руководства. При этом следует также учитывать несовершенство формы поверхности тонкостенных пространственных конструкций.
Приближенную оценку критической нагрузки тонкостенных пространственных конструкций при потере устойчивости рекомендуется производить согласно
прил. 6 настоящего Руководства.
1.55. При выборе расчетной схемы сборно-монолитных пространственных конструкций рекомендуется учитывать деформативные свойства стыков и особенности передачи усилий через них. При передаче усилий через закладные детали и приваренные к ним стержни или пластины следует учитывать неупругую податливость таких соединений величиной от 0,5 до 1 мм на каждое такое соединение.
При передаче сжимающих усилий через стыки, замоноличенные мелкозернистым бетоном, допускается учитывать пониженный модуль упругости мелкозернистого бетона посредством введения в расчет пониженной местной или усредненной жесткости и с учетом отношения ширины стыков к расстоянию между ними.
1.56. Прогибы элементов в железобетонных пространственных конструкциях не должны превышать величин, указанных в
п. 1.21 главы СНиП II-21-75. При этом рекомендуется, чтобы прогиб покрытий в виде оболочек двоякой кривизны и многогранников пролетом 18 - 60 м не превышал 1/400 пролета, а пролетом более 60 м - 1/500 пролета.
ОСОБЕННОСТИ ПРИМЕНЕНИЯ МАТЕРИАЛОВ И ИЗДЕЛИЙ
1.57. Для железобетонных тонкостенных пространственных конструкций рекомендуется применять бетоны и арматуру, предусмотренные главой
СНиП II-21-75, с учетом рекомендаций настоящего Руководства, в том числе мелкозернистые.
1.58. Для несущих тонкостенных пространственных конструкций рекомендуется применять тяжелые бетоны проектной марки не ниже М 200 или легкие бетоны проектной марки не ниже М 150.
Легкие бетоны проектных марок по прочности М 50 - М 100, а также ячеистые бетоны проектных марок по прочности М 50 и выше допускается применять в совмещенных пространственных конструкциях покрытий
[23].
Поризованные и крупнопористые бетоны в несущих железобетонных пространственных конструкциях допускается использовать при специальном технико-экономическом обосновании.
1.59. Для пространственных конструкций покрытий, эксплуатируемых без наружной гидроизоляции или самостоятельного покрытия на относе рекомендуется применять тяжелые бетоны марки по водонепроницаемости не ниже B 8. Трещины в бетоне таких конструкций не допускаются.
1.60. Проектная марка тяжелого мелкозернистого бетона, применяемого для заделки расчетных стыков, должна быть не ниже проектной марки по прочности на сжатие стыкуемых элементов.
Проектная марка тяжелого бетона или бетона на пористых заполнителях, а также цементно-песчаного раствора для замоноличивания конструктивных стыков должна быть не ниже марки М 100.
1.61. Расчетные сопротивления и другие характеристики бетона и арматуры следует принимать по главе
СНиП II-21-75, а для мелкозернистого бетона с учетом рекомендаций, приведенных в
[10].
1.62. В качестве предварительно-напряженной арматуры растянутых бортовых элементов большепролетных пространственных конструкций рекомендуется предусматривать канаты или пучки с разрывным усилием не менее 100 т/с из оцинкованной проволоки.
1.63. Для комплексных элементов железобетонных пространственных конструкций покрытий рекомендуется применять эффективные теплоизоляционные, гидроизоляционные, звукоизоляционные и другие материалы, предусмотренные действующими ГОСТами.
1.
Большепролетные оболочки. Международный конгресс ИАСС в Ленинграде, М., Стройиздат, 1969, т. 1, 2.
2.
Власов В.З. Избранные труды. М., Наука, 1962, т. 1, 1963, т. 2, 1964, т. 3.
3.
Гребенник Р.А. Возведение пространственных конструкций покрытий в промышленном строительстве. М., Стройиздат, 1970.
4.
Железобетонные конструкции: Специальный курс/Под ред. В.Н. Байкова, М., Стройиздат, 1974.
5.
Карпенко Н.И. Теория деформированного железобетона с трещинами. М., Стройиздат, 1976.
6.
Липницкий М.Е., Горенштейн Б.В., Виноградов Г.Г. Железобетонные пространственные конструкции покрытий зданий. М.-Л., Стройиздат, 1965.
7. Международная конференция ИАСС. Доклады, М., Стройиздат, 1977.
8.
Милейковский И.Е., Купар А.К. Гипары. М., Стройиздат, 1977.
9.
НИИЖБ. Тонкостенные железобетонные пространственные конструкции/Под ред. Хайдукова Г.К., М., Стройиздат, 1970.
10.
НИИЖБ. Рекомендации по проектированию бетонных и железобетонных конструкций из мелкозернистого бетона. БСТ 1977, N 10.
11.
Практические методы расчета оболочек и складок покрытий./Под ред. И.Е. Милейковского. М., Стройиздат, 1970.
12.
Пространственные конструкции зданий и сооружений, М., Стройиздат, 1972, вып. 1, 1977, вып. 3.
13.
Пространственные конструкции зданий и сооружений. М., Стройиздат, 1975, вып. 2.
14.
Рюле Г. Пространственные покрытия. М., Стройиздат, 1973.
15.
Сборные тонкостенные пространственные и большепролетные конструкции/Под ред. Сахновского К.В. Л., Стройиздат, 1969.
16.
Справочник проектировщика промышленных, жилых и общественных зданий и сооружений. Расчетно-теоретический/Под ред. Уманского А.А. Стройиздат, 1973, т. 2.
17.
Филин Л.П. Элементы теории оболочек. Л., Стройиздат, 1975.
18.
Хайдуков Г.К., Глуховской К.А., Михайлов В.А., Морозов А.П. Пути развития железобетонных и армоцементных конструкций. - Бетон и железобетон, 1973, N 7.
19.
Хайдуков Г.К. Исследование работы железобетонных оболочек за пределами упругости. - В кн.: Теория пластин и оболочек. Л., Судостроение, 1975.
20.
ЦНИИСК. Нелинейные задачи расчета оболочек покрытий. М., Стройиздат, 1976.
21.
ЦНИИПромзданий. Руководство по проектированию железобетонных конструкций/ЦНИИПромзданий, НИИЖБ. М., Стройиздат, 1977.
22.
ЦНИИПромзданий.
Руководство по проектированию предварительно напряженных конструкций/ЦНИИПромзданий, НИИЖБ. М., Стройиздат, 1977.
23.
Чиненков Ю.В., Жив А.С. Сборные цилиндрические оболочки с применением легкого и ячеистого бетона. М., Госстройиздат, 1963.
2.1. Сводчатые покрытия проектируются, как правило, из сборных железобетонных элементов для прямоугольных (в плане) однопролетных или многопролетных зданий. По продольным краям (вдоль образующей) своды могут опираться на колонны, стены или непосредственно на фундаменты.
Распор сводов воспринимается затяжками (рис. 2.1) из стали или железобетона, поперечными стенами, рамами, контрфорсами или фундаментами
(рис. 2.2). При проектировании сводов следует учитывать податливость элементов или конструкций, воспринимающих распор. Уменьшение податливости поперечных стен, контрфорсов и фундаментов может быть обеспечено установкой затяжек, расположенных ниже уровня пола.
Рис. 2.1. Своды с затяжками
Рис. 2.2. Своды без затяжек
2.2. Очертание свода рекомендуется принимать по дуге окружности, параболе, цепной линии или другим, близким к ним кривым. Своды призматического (полигонального) очертания состоят из прямолинейных участков, вписанных в дугу окружности, параболу и т.п.
Очертание сводов, секции которых состоят из трех и большего количества элементов, с целью сокращения числа типоразмеров элементов рекомендуется принимать по дуге окружности.
2.3. Стрелу подъема сводов (в ключе) в зависимости от назначения и размеров перекрываемого помещения, способов восприятия распора, архитектурных требований и других условий рекомендуется принимать в пределах от 1/2 до 1/10 величины перекрываемого пролета.
2.4. По форме поперечного сечения (вдоль образующей) сводчатые покрытия делятся на цилиндрические (с прямолинейной образующей верхней поверхности), складчатые и волнистые. Придание поперечному сечению сводов складчатого (треугольного, трапециевидного) или волнистого очертания (рис. 2.3) повышает несущую способность сводчатых покрытий и позволяет перекрывать пролеты до 100 ми более.
Рис. 2.3. Поперечные сечения сводчатых покрытий
а - цилиндрические своды; б - складчатые своды
(типы 1 и 2); в - волнистые своды (типы 1, 2, 3)
По условиям изготовления элементов сборных сводчатых покрытий, удобству укладки утеплителя и устройства кровли цилиндрические и складчатые своды предпочтительнее волнистых.
Сборные элементы сводчатых покрытий рекомендуется изготовлять с пароизоляционным слоем, утеплителем и слоем кровельного ковра.
2.5. Деформативность складчатых и волнистых сводов в продольном направлении позволяет проектировать их без температурно-усадочных швов. При этом продольный каркас здания, служащий опорой для сводов, должен быть рассчитан на температурные воздействия. В случае необходимости устройства в каркасе деформационных швов в сводах между складками или волнами также должны устраиваться швы, перекрываемые компенсаторами.
Складки или волны сводов, примыкающие к деформационным швам, должны конструироваться с затяжками-распорками, диафрагмами и т.п., исключающими возможность деформации контура их поперечного сечения.
2.6. В сводчатых покрытиях могут быть предусмотрены проемы для зенитных светоаэрационных фонарей, вытяжных шахт и т.п. с учетом рекомендаций
пп. 1.35 -
1.38 и
1.50 настоящего Руководства. Допускается подвешивать к сводам кран-балки или другое грузоподъемное оборудование, а также трубопроводы, площадки и т.п. При этом сосредоточенные нагрузки рекомендуется прикладывать в местах расположения подкрепляющих ребер и переломов поверхности свода.
2.7. Своды рекомендуется проектировать из тяжелого или легкого бетона. Проектные марки бетонов назначаются по расчету с учетом рекомендаций
пп. 1.57 -
1.59,
1.61 настоящего Руководства. Швы между сборными элементами сводчатых покрытий проектируются с замоноличиванием мелкозернистым бетоном марки М 200.
2.8. Монолитные своды проектируются преимущественно цилиндрическими, очертание которых, по возможности, приближается к кривой давления от постоянной нагрузки. В сводах пролетом более 12 м следует предусматривать подкрепляющие ребра, расположенные в направлении перекрываемого сводом пролета. При проектировании монолитных сводов следует учитывать рекомендации
пп. 1.10 -
1.16 настоящего Руководства.
Конструирование сборных сводов
Конструирование цилиндрических и призматических
(полигональных) сводов
2.9. Сборные цилиндрические своды проектируют из цилиндрических ребристых, а полигональные - из плоских ребристых плит
[9].
Разновидностью цилиндрических сводов являются трехшарнирные сегментные своды, собираемые из панелей-оболочек КЖС и проектируемые согласно рекомендациям, приведенным в
разделе 9 настоящего Руководства.
При членении цилиндрических сводов по поперечному сечению на два элемента их рекомендуется проектировать трехшарнирными. При большем количестве сборных элементов своды, как правило, проектируются двухшарнирными.
2.10. Полигональные своды рекомендуется проектировать из ребристых плит, изготовляемых в формах для типовых плит с размерами сторон 1,5 x 6 м или 3 x 6 м (рис. 2.4, а, б). Ребра плит по краям каждой монтажной секции должны обеспечивать прочность и жесткость свода.
Рис. 2.4. Полигональные своды из ребристых плит
а - секция шириной 6 м; б - то же, шириной 1,5 - 3 м;
в - опорный узел; 1 - рядовые панели; 2 - опорные панели;
3, 4 - предварительно-напряженные железобетонные
или стальные затяжки; 5 - подвески; 6 - накладки;
7 - отверстие для затяжки
В полигональных сводах к стержням рабочей арматуры ребер в углах панелей следует приваривать закладные детали, которые в пределах каждой секции должны соединяться между собой накладками, обеспечивающими непрерывность армирования ребер в пределах всего перекрываемого пролета.
Торцы плит, примыкающих к опорам, должны быть запроектированы с учетом устройства отверстий для пропуска затяжек и образования плоскостей для опирания сводов на опорные конструкции (
рис. 2.4,
в)
.
Цилиндрические и полигональные своды рекомендуется проектировать с учетом возможности их монтажа укрупненными элементами, длина которых равна величине перекрываемого пролета.
Конструирование складчатых сводов
Своды с треугольным поперечным сечением складок
2.11. Складчатые своды с треугольным очертанием сечения (
рис. 2.3,
б, тип 1) рекомендуется применять для пролетов до 60 м и более [
4 -
6].
2.12. Своды рекомендуется проектировать из трапециевидных железобетонных ребристых панелей с плоской верхней поверхностью (рис. 2.5).
Рис. 2.5. Конструкция складчатого свода
а - общий вид; б - рядовая панель; в - опорная панель;
г - панель с проемом для зенитного фонаря; д - усиленный
участок рядовой панели; 1 - рядовые панели; 2 - опорные
панели; 3 - опорные фермы; 4 - затяжки; 5 - закладные
швеллеры, усиленные пластиной; 6 - закладные уголки;
7 - закладные пластинки; 8 - отверстия для строповки панелей
и установки бандажей; 9 - плиты продольного карниза;
10 - то же, торцевого
Ширину
b примыкающих друг к другу тонкостенных складчатых арок (складок), образующих свод, принимают, как правило, равной 12 м в соответствии с шагом несущих колонн. При шаге несущих колонн 6 м, а также в складских зданиях с опорами, расположенными в уровне земли, в которых своды воспринимают давление сыпучих материалов, ширину складок допускается принимать равной 6 м
[4]. В общественных зданиях ширину складок допускается принимать равной 3 м, если это необходимо по архитектурным соображениям.
Высоту поперечного сечения складок h следует принимать от 1/4 до 1/10 их ширины. При увеличении высоты поперечного сечения складок возрастает несущая способность сводов и обеспечивается возможность перекрытия ими больших пролетов.
2.13. Панели для складчатых сводов
(рис. 2.5) рекомендуется проектировать с учетом изготовления их в стальных формах по обычной поточно-агрегатной технологии или на прокатных станах. Толщина панелей, изготовляемых в формах, принимается равной 160 мм, шаг поперечных ребер - 600 мм. При изготовлении на прокатных станах толщина панелей 120 мм и шаг ребер 300 мм определяются профилем формующей ленты. Ребра панелей армируются сварными арматурными каркасами, рабочую арматуру которых рекомендуется принимать из стали класса А-III. Полка толщиной 30 мм армируется сварной сеткой из обыкновенной арматурной проволоки класса В-I, диаметром 3 - 4 мм, с размером ячейки 200 x 200 мм. В прокатных панелях при толщине полки 20 мм следует армировать только ребра. Толщину панелей и их полок рекомендуется принимать одинаковыми независимо от пролета сводов и стрелы их подъема в ключе. Длина панелей принимается в зависимости от высоты поперечного сечения складки (см.
п. 2.12). Ширина панелей принимается, как правило, не более 3000 мм, а для прокатных панелей, транспортируемых в положении "на ребро", - 3200 мм.
При конструировании панели с проемом для зенитного фонаря края проема усиливают ребрами, расположенными в направлении действия основных усилий в складках сводов. Опорные панели вследствие концентрации усилий в местах расположения затяжек или других элементов, воспринимающих распор сводов, проектируют сплошными.
При опирании сводов по всей площади поперечного сечения складки, например на ленточные фундаменты, согласно
п. 2.15, опорные панели также могут быть ребристыми, если они не воспринимают дополнительных нагрузок от сыпучих материалов в складских зданиях.
В сводах значительных пролетов для распределения на большую площадь усилий, возникающих в местах закрепления затяжек, может возникнуть необходимость усиления сплошными участками ребристых панелей (см.
рис. 2.5), примыкающих к опорным панелям свода. Необходимость такого усиления устанавливается расчетом (см.
п. 2.42). Все панели складчатого свода, за исключением опорных, рекомендуется принимать с одинаковыми опалубочными размерами.
2.14. При опирании сводов на колонны в качестве бортовых элементов рекомендуется применять треугольные фермы (
рис. 2.6,
а) с железобетонным верхним и стальным нижним поясом из прокатных профилей или из железобетона с предварительно-напряженной арматурой.
Рис. 2.6. Конструкция опор складчатого свода,
распор которого воспринимается затяжками
а - опорная ферма; б - примыкание к ферме опорных панелей
и плит продольного карниза; в - опирание ферм на колонну;
г - затяжка свода; д - подвеска затяжки;
1 - консоль для опирания торцевого карниза у ферм,
установленных в крайних пролетах; 2 - швеллеры;
3 - пластина; 4 - закладные пластины; 5 - отверстия
для затяжек; 6 - накладка; 7 - подвеска; 8 - опорная панель;
9 - плита продольного карниза; 10 - закладные уголки;
11 - анкер; 12 - фиксатор (стержень, l = 80 - 100 мм);
13 - труба; 14 - анкерные болты; 15 - стыковые накладки;
16 - шайба; 17 - гайка и контргайка; 18 - уголок
Боковые грани верхнего пояса опорных ферм должны иметь наклонные плоскости, к которым примыкают опорные панели складок свода (
рис. 2.6,
б). На верхние пояса опорных ферм рекомендуется опирать плиты продольного карниза, заанкеренные в опорных панелях покрытия.
В фермах, устанавливаемых в крайних пролетах, примыкающих к торцам здания, нижние пояса могут быть удлинены для опирания плит торцевого карниза (
рис. 2.6,
а).
2.15. В сводах, опираемых на колонны или продольные стены, распор каждой складки шириной 12 м рекомендуется воспринимать четырьмя затяжками из круглой стали классов С46/33, С52/40 или арматурной стали классов А-II, А-III. Применение сталей классов С38/23 и А-I с низким расчетным сопротивлением допускается только при соответствующем технико-экономическом обосновании. Затяжки располагают попарно в двух уровнях на расстоянии 6 м друг от друга и пропускают сквозь отверстия в коньковых и опорных узлах ферм (
рис. 2.6,
а). Концы затяжек закрепляют с наружной стороны ферм шайбами, гайками и контргайками (
рис. 2.6,
г). При пролетах сводов 24 м и более затяжки должны поддерживаться не менее чем двумя подвесками, закрепленными в швах между панелями свода (
рис. 2.6,
д).
При расположении опор свода в уровне земли бортовыми элементами могут служить ленточные фундаменты (сборные или монолитные) с верхней наклонной гранью, перпендикулярной оси свода в опорном сечении
[4].
В сводах, опирающихся непосредственно на фундаменты, допускается устройство проемов для ворот в пределах ширины одной складки свода. При этом для восприятия усилий, возникающих в ослабленных проемами складках, должны быть предусмотрены контрфорсы, перемычки или другие элементы, окаймляющие проем.
2.16. Стыки между элементами складчатого свода рекомендуется проектировать с применением монтажных вставок в виде коротких стержней из круглой стали, привариваемых при монтаже к закладным уголкам и пластинам, расположенным вдоль продольных краев панелей (
рис. 2.5 и
2.7). Монтажные вставки фиксируют ширину швов между панелями, что обеспечивает необходимую точность монтажа.
Рис. 2.7. Узлы между панелями складчатого свода
а - маркировочная схема; б - конструкция узлов;
П-1 - рядовые панели; П-2; П-2А - опорные панели;
К-1, К-1А - плиты продольного карниза; К-2; К-3; К-4 - плиты
торцевого карниза; 1 - закладные уголки; 2 - фиксаторы
(стержни диаметром 20 мм, l = 80 мм); 3 - пластина,

;
4 - соединительные стержни;
5 - закладные
пластины; 6 - мелкозернистый бетон; 7 - воронки водостоков
Ширина швов, расположенных вдоль длинных сторон панелей (поперек складок), и соответственно диаметр фиксаторов принимаются равными 20 мм. Ширину швов между фермами и опорными панелями, а также диаметр фиксаторов увеличивают на 20 - 30 мм, что облегчает центрирование панелей по отношению к фермам и затяжкам (
рис. 2.6,
б).
2.17. При проектировании складчатых сводов следует учитывать, что монтаж их выполняется, как правило, из укрупненных блоков, состоящих из двух или четырех панелей, в зависимости от грузоподъемности монтажных кранов. Укрупненные блоки собираются на кондукторе из панелей, соединяемых на гребне складок накладками из листовой стали (
рис. 2.7 и 2.8) [
5,
6].
Рис. 2.8. Монтажный блок из двух панелей
а - с временными затяжками; б - со съемными бандажами;
1 - накладка; 2 - фиксаторы; 3 - монтажные затяжки;
4 - стяжная муфта; 5 - петлевой стык затяжки; 6 - болт
с петлей; 7 - швеллеры; 8 - петля; 9 - болт;
10 - уголок, приваренный к затяжке
Прочность и жесткость блоков, состоящих из двух панелей, при пролетах сводов, не превышающих 30 м, на период монтажа обеспечивается временными затяжками (
рис. 2.8,
а) или съемными бандажами из прокатных профилей (
рис. 2.8,
б). При пролетах сводов более 30 м, а также для блоков, состоящих из четырех панелей, применяются только бандажи.
Конструкцию свода и укрупненных монтажных блоков рекомендуется проектировать с учетом сборки складок с помощью инвентарного передвижного кондуктора (рис. 2.9). Распалубка складок может производиться после достижения бетоном швов кубиковой прочности 2 кг/см2.
Рис. 2.9. Схема инвентарного передвижного кондуктора
для монтажа свода
1 - укрупненные монтажные блоки; 2 - откидная рамка
для пропуска затяжек свода; 3 - ось; 4 - съемные штыри;
5 - затяжка свода; 6 - направление передвижки подмостей
2.18. В крайних складках сводов, примыкающих к торцам перекрываемых зданий, в плоскости швов между панелями через каждые две панели, но не более чем через 7 м, следует устанавливать жесткие затяжки-распорки из двух уголков, предельная гибкость которых должна быть не более 200. Конструкция примыкания складок к торцевым стенам не должна препятствовать их вертикальным перемещениям.
2.19. В многопролетных сводах рекомендуется применять опорные фермы, воспринимающие опорные реакции сводов двух смежных пролетов. Верхние пояса ферм, к которым примыкают опорные панели сводов, имеют наклонные плоскости с обеих сторон. Затяжки в опорных фермах смежных пролетов рекомендуется закреплять в соответствии с рис. 2.10.
Рис. 2.10. Закрепление затяжек смежных пролетов
в опорных фермах
1 - опорные панели; 2 - муфта; 3 - труба или полый цилиндр;
4 - стержень с резьбой на двух концах
2.20. В сводах пролетом не более 24 м, при ширине складок 6 м толщина ребристых плит может приниматься равной 90 мм.
При ширине складок 6 м и высоте их поперечного сечения не более 1 м в качестве бортовых элементов складок могут применяться установленные на колоннах двускатные тавровые балки пролетом 6 м. В этом случае складки проектируются с двумя затяжками, расположенными в одном уровне в четвертях пролета балок.
2.21. Подвески, воспринимающие усилия от грузоподъемного оборудования (кран-балок, тельферов, транспортерных галерей и т.п.), рекомендуется крепить к накладкам из листовой стали, соединяющим панели на гребнях складок (см.
рис. 2.7,
б, узел
1).
Принятая схема подвески путей для грузоподъемного оборудования при ширине складок 12 м (рис. 2.11) позволяет уменьшить пролет путей до 6 м.
Рис. 2.11. Схема подвески путей для кран-балок
1 - пути для кран-балок; 2 - кран-балка; 3 - стойка фермы
жесткости из уголков; 4 - раскосы из тяжей; 5 - распорки
из уголков; 6 - подвески из уголков; 7 - колонны
2.22. Для сравнительных технико-экономических расчетов приведенную толщину бетона в складчатых сводах со складкой шириной 12 м (включая опорные фермы) допускается принимать при пролетах до 30 м - 7,6 см; до 60 м - 8 см.
Расход стали в сводах с затяжками в зависимости от ее класса составляет соответственно 15 - 17 и 20 - 23 кг/м
2 (см.
п. 2.15).
Своды с трапециевидным поперечным сечением складок
2.23. Своды с трапециевидным очертанием поперечного сечения складок (
рис. 2.3,
б, тип
2 и
рис. 2.12) рекомендуется применять для перекрытия пролетов до 36 м. Ширину складок
b, исходя из условия транспортирования элементов, рекомендуется принимать не более 3 м, высоту поперечного сечения
h - от 1/4 до 1/6
b и ширину горизонтальных полок
b1 - от 1/8 до 1/10
b в зависимости от величины перекрываемого пролета. Длину прямолинейных элементов сводов рекомендуется принимать в пределах от 2 до 6 м [
2,
7].
Рис. 2.12. Трапециевидное поперечное сечение элемента свода
2.24. Толщину горизонтальных полок по верхнему и нижнему краям поперечного сечения элементов сводов, в которых устанавливается рабочая (или конструктивная) арматура, рекомендуется принимать не менее 60 мм, а боковых наклонных граней, армируемых сетками из обыкновенной арматурной проволоки, - не менее 30 мм.
2.25. Соединение трапециевидных элементов складок рекомендуется выполнять с помощью сварки закладных деталей на торцевых частях элементов и последующего замоноличивания швов мелкозернистым бетоном. Для стыкования продольной арматуры, расположенной в полках складок, предусматриваются закладные пластины, приваренные к концам арматурных стержней.
2.26. Сводчатые покрытия пролетом до 24 м с трапециевидным поперечным сечением складок рекомендуется проектировать с учетом монтажа складок укрупненными блоками длиной, равной величине перекрываемого пролета.
Конструирование волнистых сводов
2.27. Волнистые своды состоят из элементов, поперечное сечение которых имеет вид, представленный на
рис. 2.3,
в, тип
1. Ширину волн свода типа
1 можно принимать до 12 м. Волнистые своды собирают из ребристых панелей двоякой кривизны и бортовых элементов. При пролетах сводов типа
1 более 60 м затяжки рекомендуется проектировать железобетонными, предварительно-напряженными с арматурой из высокопрочных сталей
[12].
2.28. Волнистые своды (
рис. 2.3,
в, тип
2) выполняют из тонкостенных криволинейных в продольном направлении элементов с волной шириной до 3 м.
Для перекрытия пролетов до 24 м в тех случаях, когда это целесообразно по условиям изготовления и транспортирования элементов, каждую волну свода можно монтировать из двух криволинейных элементов, стыкуемых в ключе свода (рис. 2.13). При этом стык между элементами может быть шарнирным или жестким. Очертание сводов, волны которых состоят из двух элементов, рекомендуется принимать по кривой давления от постоянной нагрузки.
Рис. 2.13. Свод, монтируемый из двух криволинейных
элементов
2.29. Элементы волнистых сводов двоякой кривизны (
рис. 2.3,
в, тип
3) шириной до 3 м криволинейные в продольном направлении изготовляют на формовочных машинах. По поперечным краям элементы имеют ребра, повышающие жесткость их в поперечном направлении (рис. 2.14). Элементы сводов соединяются сваркой закладных деталей с последующим замоноличиванием стыков [
8,
11].
Рис. 2.14. Поперечное сечение волнистого свода
двоякой кривизны (тип 3)
2.30. Жесткость элементов сводов трапециевидного и волнистого поперечных сечений в период их транспортирования и монтажа до соединения со смежными складками и волнами рекомендуется обеспечивать установкой временных распорок, диафрагм и т.п.
2.31. Своды рекомендуется рассчитывать как двухшарнирные или трехшарнирные тонкостенные арки (при наличии шарнирного стыка в ключе свода). Рассчитывается одна секция цилиндрического свода, складка или волна складчатого либо волнистого свода. При этом сечение складок или волн принимается недеформируемым. Работа сводов в поперечном направлении учитывается согласно рекомендациям
п. 2.44 настоящего Руководства.
Своды по предельным состояниям рассчитываются согласно требованиям главы
СНиП II-21-75 и с учетом рекомендаций
пп. 1.42 -
1.56 настоящего Руководства. При расчете сводов величины нагрузок и воздействий принимают согласно главе
СНиП II-6-74. В однопролетных и многопролетных зданиях снеговую нагрузку распределяют равномерно на половине пролета свода. При расчете элементов, воспринимающих опорные реакции сводов (затяжки, опорные фермы, контрфорсы и т.п.), снеговую нагрузку принимают равномерно распределенной по всему пролету свода.
Сосредоточенные нагрузки от подвесного грузоподъемного или другого оборудования, а также полосовые нагрузки рекомендуется полностью учитывать при расчете тех складок или волн свода, к которым они непосредственно приложены, без учета их взаимодействия со смежными складками или волнами.
2.32. При расчете сводов постоянного сечения со стрелой подъема
f >
l/8 следует учитывать нагрузку
gx (дополнительную нагрузку, вызываемую уклоном покрытия в сечениях, отстоящих на расстоянии
x от опоры), которая увеличивается в направлении от ключа к пятам
(рис. 2.15) по кривой, определяемой формулой:

(2.1)
где g - постоянная нагрузка в ключе свода;

- угол наклона касательной к оси свода в рассматриваемом сечении.
Рис. 2.15. Расчетная схема свода
При очертании оси сводов по дуге окружности (рис. 2.15)
Rо,

,

,
y определяются по формулам:

(2.2)

(2.3)

(2.4)

(2.5)
При расчете складчатых сводов с треугольным очертанием поперечного сечения, распор которых воспринимается затяжками, расположенными в двух уровнях (
рис. 2.5 и
2.6), следует принимать, что усилия между затяжками распределяются равномерно, при этом равнодействующая усилий в затяжках расположена в середине расстояния между ними по высоте.
2.33. Формулы для определения опорных реакций в двухшарнирной арке при равномерно распределенной, увеличивающейся к пятам
(п. 2.32) и односторонней нагрузках, с учетом влияния смещения опор и упругого обжатия арки на величину распора приведены в табл. 2.1.
Схема нагрузки | Вертикальные реакции | Распор |
| VA = VB0,5gl | |
| VA = VB = m1g1l | H = m2g1lk |
| VA = 0,375pl; VB = 0,125pl | |
Коэффициенты m1 и m2 принимают по табл. 2.2.
Таблица 2.2
f/l | m1 | m2 | f/l | m1 | m2 |
1/2 | 0,061 | 0,007 | 1/5 | 0,142 | 0,093 |
1/3 | 0,099 | 0,031 | 1/6 | 0,15 | 0,116 |
1/4 | 0,127 | 0,061 | 1/7 | 0,155 | 0,15 |
Нагрузку
g1 в опорном сечении определяют по
формуле (2.1), принимая угол

в этом сечении равным углу наклона элементов свода, примыкающих к опорам.
Коэффициент k, учитывающий влияние смещения пят вследствие упругого удлинения затяжек и обжатия сводов на величину распора, определяют по формуле:

(2.6)
где I и F - момент инерции и площадь поперечного сечения складки или волны свода;
Fз и Eз - площадь поперечного сечения и модуль упругости стальных затяжек в пределах одной складки или волны свода.
Для железобетонных затяжек при нагрузках, действующих после их замоноличивания, в случае необходимости должна учитываться работа бетона с трещинами.
n - коэффициент, принимаемый в зависимости от подъема свода по табл. 2.3;
f/l | | Коэффициент n | f/l | Длина оси S | Коэффициент n |
1/2 | 1,57l | - | 1/6 | 1,07l | 0,881 |
1/3 | 1,28l | 0,696 | 1/7 | 1,05l | 0,911 |
1/4 | 1,16l | 0,785 | 1/8 | 1,04l | 0,931 |
1/5 | 1,1l | 0,843 | 1/9 | 1,03l | 0,942 |
| | | 1/10 | 1,02l | 0,952 |
--------------------------------
<*> Свод очерчен по дуге окружности.
E' - модуль упругости бетона с учетом ползучести, а также податливости швов между панелями или элементами свода, определяемый по формуле:

(2.7)
где Eб - начальный модуль упругости бетона;
lп - ширина панели или длина элемента свода в направлении перекрываемого пролета;
hп - толщина приведенного сечения панели
(п. 2.36) или элемента свода;
hш - высота замоноличенного шва.
При восприятии распора сводов контрфорсами, фундаментами, поперечными стенами или другими конструкциями коэффициент k определяется по формуле:

(2.8)
где

- горизонтальное смещение пяты свода при распоре сводов
H = 1 кгс.
При расчете на температурные воздействия распор сводов H определяется по формуле:

(2.9)
где

- коэффициент линейного расширения бетона;

и

- соответственно повышение температуры свода и затяжки.
При определении распора от собственного веса панелей или элементов сборных сводчатых покрытий принимают
k = 1
. Для сводов со стрелой подъема

коэффициент
k при всех нагрузках допускается не учитывать.
При нагрузках, не приведенных в
табл. 2.1, вертикальные реакции и распор рекомендуется определять согласно справочнику
[10].
2.34. Изгибающие моменты M и нормальные силы N в поперечных сечениях складок или волн сводов определяют по формулам:

(2.11)
где Mо и Qо - изгибающий момент и поперечная сила в соответствующем сечении однопролетной балки пролетом l;
H - распор складки или волны свода;
y - ордината оси свода в рассматриваемом сечении.
При определении изгибающих моментов
Mо и поперечных сил
Qо в однопролетной балке от нагрузки, увеличивающейся к пятам
(п. 2.32), горизонтальную проекцию кривой, определяемой
формулой (2.1), допускается делить на 1,0 равных участков, при этом кривая заменяется ломаной линией, состоящей на каждом участке из прямолинейных отрезков.
2.35. Прочность сводов при внецентренном сжатии проверяют в сечениях, расположенных в четвертях пролета, где при односторонней снеговой нагрузке возникают максимальные положительный и отрицательный изгибающие моменты. Проверка прочности сечений сводов производится согласно главе
СНиП II-21-75 при усилиях, определяемых по
формулам (2.10) и
(2.11).
При наличии сосредоточенных нагрузок проверяют прочность сечений с наибольшими изгибающими моментами.
2.36. При расчете складки свода (
рис. 2.3,
б, тип
1) принимается ее приведенное поперечное сечение (рис. 2.16), эквивалентное по площади и моменту инерции фактическому. Толщина приведенного сечения панелей свода в их средней части определяется путем деления площади поперечного сечения, расположенной между осями смежных поперечных ребер, на расстояние между ребрами в осях.
Рис. 2.16. Приведенное поперечное сечение складки свода
а - сечение панели свода; б - приведенное сечение панели;
в - приведенное сечение складки свода
Приведенное поперечное сечение складки свода образуется путем суммирования толщины двух панелей по горизонтальному сечению.
2.37. Высоту поперечного сечения складок свода
h (
рис. 2.3,
б, тип
1) определяют с учетом рекомендаций
п. 2.12 из условия, чтобы величина эксцентриситета приложения нормальной силы относительно центра тяжести сечения, определенная с учетом прогибов (см. главу СНиП II-21-75,
пп. 3.2 -
3.6), не превышала 0,7
y, где
y - расстояние от центра тяжести сечения до его края в сторону эксцентриситета. При соблюдении этого условия расчет сечений производят как для внецентренно сжатых бетонных элементов без учета сопротивления растянутой зоны. При этом в растянутой зоне сечения, согласно главе
СНиП II-21-75, должна быть установлена конструктивная арматура. С учетом знакопеременных изгибающих моментов эта арматура устанавливается в панелях у верхнего и нижнего краев поперечного сечения складки. В случае если при соблюдении условия

прочность складки окажется недостаточной, рекомендуется увеличить высоту ее поперечного сечения. Если необходимая высота поперечного сечения складки превышает пределы, указанные в
п. 2.12, то она принимается равной
1/
4 ее ширины. По краям поперечного сечения складки в панелях устанавливается рабочая арматура и сечение складки рассчитывается как железобетонное. Рабочая арматура в панелях устанавливается также в тех случаях, когда высота сечения складок ограничена архитектурными требованиями.
2.38. При расчете складчатых и полигональных сводов (
рис. 2.3,
б и
рис. 2.4) следует учитывать дополнительный положительный изгибающий момент
M1, возникающий вследствие прямолинейности участков складки или элементов полигональных сводов, и определяемый по формуле:
M1 = Ne1. (2.12)
Величину эксцентриситета
e1 (рис. 2.17) определяют по формуле:

(2.13)
где Rо - радиус оси свода;

- центральный угол, ограничивающий края прямолинейного элемента складки.
Рис. 2.17. Эксцентриситет приложения нормальной силы
на прямолинейных участках складки
2.39. Расчетная длина свода lо в направлении перекрываемого пролета принимается равной:
для двухшарнирных сводов

" трехшарнирных "

где S - длина оси свода, определяемая по
табл. 2.3.
2.40. Ребристые панели складчатого свода
(рис. 2.5) рассчитывают на изгиб от местной постоянной и снеговой нагрузок по короткому пролету, принимая, что опоры панелей являются шарнирными и находятся в местах стыков между ними, по линиям переломов очертания складок. При этом расчете определяют сечение арматуры в поперечных ребрах панелей. Усилия в арматуре поперечных ребер уменьшаются вследствие наклонного положения панелей. Сечение арматуры в продольных ребрах рекомендуется определять из условия прочности панелей при транспортировании и монтаже. При проектировании панелей отверстия и петли для их строповки
(рис. 2.5) рекомендуется располагать таким образом, чтобы по концам панелей образовывались консоли, уменьшающие моменты в средней части пролета.
Сплошные опорные панели
(рис. 2.5) рассчитывают на изгиб в своей плоскости как балки-стенки на двух опорах от равномерно распределенных по сечению складки нормальных сжимающих сил. При этом принимают, что опорами панелей являются затяжки сводчатого покрытия
(рис. 2.18). Величину растягивающего усилия в рабочей арматуре
Nа, устанавливаемой у примыкающего к фермам продольного края панелей, допускается определять по формуле:
Nа = 0,2ql, (2.14)
где ql - нормальное усилие, воспринимаемое опорной панелью между затяжками.
Рис. 2.18. Расчетная схема опорной панели
Сечение арматуры в каркасах опорных панелей и расстояние между каркасами в обоих направлениях рекомендуется определять по расчету на поперечную силу и на раскрытие трещин.
2.41. Опорные фермы
(рис. 2.6) следует рассчитывать на нагрузку от вертикальной опорной реакции складки свода. Принимается, что половина этой реакции приложена в виде сосредоточенной силы в коньковом узле фермы, в котором закреплена верхняя пара затяжек, а остальная часть опорной реакции передается непосредственно на колонны, над которыми установлены нижние затяжки. При расчете верхнего пояса фермы учитывают также распределенную нагрузку от его собственного веса и от опирающихся на него опорных панелей и плит продольного карниза.
Опорную ферму рассчитывают как раму с затяжкой с учетом жесткости конькового узла.
2.42. Следует проверить прочность бетона при местном сжатии, согласно главе
СНиП II-21-75, под шайбами затяжек и в расположенных над затяжками местах примыкания опорных панелей к фермам, а также в панелях, примыкающих к опорным, в зонах, расположенных у гребней складок. Распределение давления от затяжек в пределах опорных панелей принимается под углом 30°.
2.43. В складчатых сводах со складками шириной 6 м, панели, имеющие примерно одинаковые размеры по длине и ширине, рассчитываются на местную нагрузку с учетом опирания по контуру.
В складах для сыпучих материалов при действии нагрузки с внутренней стороны панели рассчитываются как плиты, опертые в углах.
2.44. Жесткость поперечных сечений крайних складок или волн сводов, примыкающих к торцевым стенам и деформационным швам, должна обеспечиваться затяжками-распорками (см.
п. 2.18), диафрагмами, ребрами или другими конструктивными мероприятиями.
2.45. Расчетные усилия в элементах сводов на нагрузки и воздействия в период изготовления, перевозки и монтажа определяются с учетом рекомендаций
п. 1.46 настоящего Руководства.
1. Лукач А.И., Гринберг А.А., Накаряков Е.Г. Покрытие производственных зданий полигональными сводами из плит ПКЖ. - Промышленное строительство, 1973, N 2.
2.
Миронков Б.А. Тонкостенные сводчатые конструкции покрытий, Л., Госстройиздат, 1963.
3. НИИЖБ. Руководство по расчету и конструированию железобетонных ферм покрытий. М., Стройиздат, 1971.
4.
Рабинович А.И. Сборные волнистые своды из плоских плит в сельскохозяйственном строительстве. - Бетон и железобетон, 1965, N 10.
5.
Рабинович А.И. Сборный складчатый свод из плоских плит. - Бетон и железобетон, 1970, N 7.
6.
Рабинович А.И. Сборный складчатый свод пролетом 54 м из плоских панелей. - Бетон и железобетон, 1975, N 12.
7.
Рабинович А.И. Сборные волнистые своды. Научные сообщения/ЦНИИСК. М., Госстройиздат, 1962, вып. 18.
8.
РСН 11-59. Временные указания по проектированию и возведению сборных железобетонных сводов двойной кривизны/Госстрой УССР. Киев, 1960.
9.
Рюле Г. Пространственные покрытия (конструкции и методы возведения). М., Стройиздат, 1973.
10.
Справочник проектировщика промышленных, жилых и общественных зданий и сооружений. Расчетно-теоретический/Под ред. Уманского А.А. М., Стройиздат, 1972, т. 1.
11.
Цейтлин А.А. Сборные железобетонные пространственные покрытия. Киев, Стройиздат УССР, 1964.
12.
Шапиро А.В. Сборно-монолитные большепролетные бочарные своды - В кн.: Железобетонные конструкции промышленных зданий/ЦНИИПромзданий, под ред. Костюковского М.Г. М., Стройиздат, 1970, вып. 2.
3. ТРЕУГОЛЬНЫЕ И ТРАПЕЦИЕВИДНЫЕ СКЛАДКИ
3.1. Складчатые железобетонные пространственные конструкции состоят из плоских элементов - граней, соединенных между собой под углом так, что в месте их сопряжения образуется прямолинейное ребро, через которое от одной грани к другой могут передаваться только касательные усилия, а в необходимых случаях также нормальные усилия и изгибающие моменты.
В стыке граней рекомендуется предусматривать утолщения (вуты), что позволяет улучшить работу сопряжений граней на изгиб, упростить устройства опалубки и улучшить размещение арматуры. Для повышения жесткости граней из их плоскости предусматриваются подкрепляющие ребра. Для улучшения пространственной работы призматических складок и обеспечения неизменяемости формы их поперечного сечения в опорных, а иногда и в промежуточных сечениях, устраиваются диафрагмы жесткости.
3.2. Конструктивные схемы треугольных и трапециевидных складок и некоторых складчатых систем из них для покрытий и перекрытий
[7] приведены на
рис. 3.1.
Рис. 3.1. Схемы призматических складок и складчатых систем
а - треугольные складки, образуемые из плоских элементов
(плит); б - то же, из Г-образных элементов;
в - трапециевидные складки, образуемые из Z-образных
элементов; г - устройство световых проемов в треугольных
и трапециевидных складках; д - треугольные складки
переменного сечения на полигональном плане;
е - призматические трапециевидные складки в консольном
подвесном покрытии; ж - балочная складка с линейчатыми
гранями, очерченными по поверхности
гиперболического параболоида
Трапециевидные складки имеют (
рис. 3.1,
б,
в) горизонтальные полки, усиливающие наиболее сжатую и растянутую зону сечения. С целью устройства плоской верхней поверхности покрытия по складкам могут укладываться плиты, образуя складки замкнутого сечения. В складчатых покрытиях можно устраивать в наклонно или горизонтально расположенных гранях световые проемы (
рис. 3.1,
г).
Складчатые конструкции на замкнутом полигональном контуре образуют складчатый распорный купол (
рис. 3.1,
д)
. Такие конструкции рассчитываются и конструируются с учетом рекомендаций
раздела 5 настоящего Руководства.
С применением призматических складчатых элементов могут проектироваться консольно-вантовые покрытия (
рис. 3.1,
е). В этом случае складки рассчитываются и конструируются с учетом сил, возникающих в месте крепления вант.
К треугольным складчатым конструкциям могут быть отнесены системы с переменным углом наклона граней. В этом случае грани имеют очертание весьма пологой линейчатой поверхности второго порядка, например гиперболического параболоида или коноида (
рис. 3.1,
ж)
. Растянутый пояс таких складок обычно предусматривается предварительно-напряженным.
3.3. Складчатые конструкции могут изготовляться сборными, сборно-монолитными и из монолитного бетона с обычной и предварительно-напряженной основной растянутой арматурой, располагаемой в ребрах и поясах. Толщину стенок складок, конструкцию ребер и диафрагм рекомендуется принимать в соответствии с основными требованиями по конструированию
раздела 1 настоящего Руководства.
Сборные призматические складки проектируются в зависимости от условий их изготовления и монтажа из плоских, Г или Z-образных элементов, а также элементов треугольного и трапециевидного сечений длиной 2 - 6 м, в зависимости от вида и размеров поперечного сечения складчатого покрытия или целыми панельными складками, длина которых равна длине перекрываемого пролета.
Стыки между гранями складок должны проектироваться согласно рекомендациям
п. 1.28 -
1.34 настоящего Руководства.
3.4. Призматические складки треугольного и трапециевидного сечения рекомендуется применять для покрытий однопролетных зданий с пролетами длиной не более 30 м. Грани складок при этом располагаются по направлению пролета и образуют лотки для отвода атмосферной влаги.
Балочные складки шириной менее 3 м рекомендуется опирать на подстропильные балки, фермы и тому подобные элементы или стены, а складки шириной 3 м и более можно опирать непосредственно на колонны.
3.5. Основную растянутую арматуру балочных складок рекомендуется проектировать прямолинейной предварительно-напряженной из высокопрочных арматурных стержней классов А-IV, А-V или арматурных канатов (допускается применять стержни диаметром 20 мм и более из стали класса А-IIIв). При этом диаметр стержней и канатов, располагаемых в утолщенных частях складок и в гранях, выбирается, по возможности, наибольший с учетом требований
п. 5.5 главы СНиП II-21-75.
В случае необходимости расположения предварительно-напряженной арматуры на отдельных участках нижней или верхней зон складок (например, в консольно-балочных складках,
рис. 3.2) рекомендуется проектировать прямолинейную арматуру только на тех участках, где она требуется по расчету. На других участках складки, монтажные стержни или канаты располагаются без сцепления и могут быть удалены после отпуска их натяжения и освобождения складки от формы. Для этого в соответствующем месте обрыва арматуры предусматривают выемки в стенке складки, через которые стержни или канаты могут быть обрезаны или осуществлен разъем соединительных муфт между основной арматурой и монтажным удлинителем
[4]. Размеры выемки принимаются: по направлению, перпендикулярному оси арматуры,

; по направлению, параллельному оси арматуры, -
b <= 44 мм и глубине

. При достаточной толщине стенки (при

, где
d - диаметр стержня или каната) допускается предварительно-напряженная арматура с отгибами нижней зоны складки в верхнюю.

Рис. 3.2. Пример армирования консольно-балочной складки
покрытия прямолинейной предварительно-напряженной арматурой
с обрывом канатов в соответствии с эпюрой моментов
а - армирование складки;
б - деталь выемки для перерезания канатов электродом
3.6. Грани балочных складок армируются одинарными сварными сетками, расположенными в срединной плоскости граней, если они не подвержены изгибу и возможной потере устойчивости, или двойными, располагаемыми в соответствии с эпюрой поперечных изгибающих моментов.
В зонах заанкеривания предварительно-напряженной арматуры около торцов складок рекомендуется предусматривать поперечную арматуру, предотвращающую расслаивание полок или стенок (рис. 3.3).
Рис. 3.3. Деталь армирования полки и стенки в торцевой зоне
самозаанкерования предварительно-напряженной арматуры
1 - предварительно-напряженная арматура; 2 - поперечные
стержни; 3 - верхние стержни и их заделка; 4 - сетка
3.7. Жесткие узлы сопряжения граней сборных и монолитных складок рекомендуется конструировать как входящие углы железобетонных конструкций с применением пересекающихся стержней или сеток
[2] (рис. 3.4) для того, чтобы растянутые стержни имели требуемую длину заделки согласно
пп. 5.14,
5.15 главы СНиП II-21-75.
Рис. 3.4. Армирование пересекающимися стержнями
жесткого сопряжения граней треугольной складки
а - отдельными стержнями; б - сварными сетками;
в - положение сеток при сварке; 1 - верхние стержни;
2 - то же, нижние; 3 - армирование в вутах; 4 - поперечные
стержни пересекающихся сеток; 5 - то же, продольные;
6 - места точечной сварки
3.8. С целью упрощения конструкции форм и процесса бетонирования элементов сборных складчатых покрытий изготовление складок может предусматриваться на плоских шарнирных поддонах с последующим изгибанием. В этом случае паз с пересекающей его неразрезной арматурой оставляют незабетонированным (рис. 3.5). После погиба граней до заданного угла наклона может быть произведена сварка арматуры и установка дополнительных стержней и сеток, а затем замоноличивание узла бетоном марки не ниже проектной марки бетона граней. Предварительно-напряженная арматура может натягиваться на упоры или на бетон и располагаться в бетоне замоноличивания.
Рис. 3.5. Армирование узла складок, изготовляемых погибом
до его замоноличивания
1 - бетон замоноличивания; 2 - отгибаемые и свариваемые
выпуски; 3 - предварительно-напряженная арматура,
натягиваемая на упоры формы; 4 - дополнительные сетки
3.9. Сборные балочные складки трапециевидной или треугольной формы сечения рекомендуется проектировать из отдельных по длине элементов, соединяемых на месте строительства.
Стыки таких элементов следует предусматривать в менее напряженных участках складки, в плоскостях, перпендикулярных продольной оси складки. Минимальная ширина замоноличенного шва принимается с учетом диаметра стыкуемых стержней и конструкции их соединения, но не более 250 мм.
Стыки сборных складок с ненапряженной арматурой, расположенные в зонах действия изгибающих моментов, проектируются с применением сварки выпусков арматуры и последующего замоноличивания шва.
Стыки складок с предварительно-напряженной арматурой допускается проектировать шириной не менее 40 мм и не более шага поперечной арматуры в стенках складки без выпусков ненапряженной арматуры. При этом продольная предварительно-напряженная арматура складки с натяжением на бетон располагается в пазах или каналах с последующим их замоноличиванием или инъецированием.
3.10. Стыки в складках трапециевидного сечения, собираемых из предварительно-напряженных элементов
(рис. 3.6), рекомендуется проектировать приторцованными (допускаемые отклонения зазора касания от проектного не более

) с промазкой стыкуемых поверхностей эпоксидным клеем с мелким наполнителем и последующим обжатием с помощью предварительно-напряженных арматурных вставок, размещаемых в растянутой зоне складки
[3]. Вставки следует принимать из стержневой горячекатаной стали класса А-IV, А-V с механическим или электротермическим натяжением, выполняемым согласно требованиям главы
СНиП II-21-75.
Рис. 3.6. Конструкция предварительно-напряженного стыка
элементов балочных складок
1 - линия стыка; 2 - предварительно-напряженная арматура
элемента; 3 - предварительно-напряженные вставки;
4 - анкерные колодки
3.11. Формы поперечного сечения призматических складок треугольного и трапециевидного сечения выбираются исходя из условий производства работ, требований архитектурной выразительности, а также с учетом следующих особенностей:
трапециевидные складки с горизонтально направленными полками в сжатой зоне меньше склонны к потере устойчивости наклонных стенок и имеют существенно больший момент инерции, чем треугольные той же высоты
[6];
трапециевидные складки с полками в растянутой зоне удобнее для их опирания и требуют меньше поперечной арматуры на монтажные усилия. Недостатком сборных складок трапециевидного сечения с полками в растянутой зоне является необходимость замоноличивания стыка между складками по низу лотка, отводящего с покрытия воду;
замоноличенный стык треугольных складок рекомендуется делать только по верхней кромке;
преимуществом треугольных многоволновых складок является распределение местных полосовых и сосредоточенных нагрузок на большее число стенок (до 6), чем при их трапециевидном сечении (до 4);
наклон и ширина полок должны выбираться методами оптимального проектирования согласно рекомендациям
прил. 1 настоящего Руководства. Оптимальные сечения (отличающиеся наибольшей жесткостью для заданной площади сечения) при равномерном загружении по площади покрытия или от действия собственного веса складки.
При совместном действии полезной равномерно распределенной нагрузки и собственного веса оптимальное поперечное сечение должно иметь форму, занимающую промежуточное положение между очертаниями
1 и
2 на рис. 3.7
[6].
Рис. 3.7. Оптимальные соотношения размеров сечений складок
по жесткости
а - треугольные сечения; б - трапециевидные сечения;
1 - для нагрузки, постоянной интенсивности по ширине
складки; 2 - для нагрузки от веса складки
3.12. При расчете призматических складок треугольного и трапециевидного сечения следует различать два случая статической работы конструкции:
а) когда поперечное сечение складки после приложения нагрузки (в том числе и от действия собственного веса) или температурных и других воздействий не испытывает кручения (и, следовательно, не имеется депланации поперечного сечения) или поперечных симметричных или асимметричных деформаций (

,
рис. 3.1).
В этом случае в средних волнах многоволновой складки или отдельной складки, имеющей подкрепляющие ребра и диафрагмы, дополнительных касательных и нормальных усилий в поперечных сечениях не возникает. Тонкостенный элемент такой складчатой конструкции может быть рассчитан и законструирован по схеме простой балки в предположении линейного распределения продольных деформаций по высоте сечения. Стенки и полки, непосредственно нагруженные поперечной нагрузкой, рассчитываются и конструируются с учетом их изгиба. Стыки соседних граней между собой и соединения граней с диафрагмами проектируются так, чтобы обеспечить конструктивно их совместную работу;
б) когда складчатую конструкцию, нагруженную полосовой или сосредоточенной нагрузкой, либо (в зоне опирания крайних складок на торцевую стену) работающую как тонкостенная пространственная складчатая система, поперечные сечения которой изменяют свою форму, рекомендуется рассчитывать по технической теории ортотропных оболочек и призматических складок
[5] (см.
прил. 3) или методом конечных элементов (см.
прил. 2 настоящего Руководства). Поперечное армирование граней и стыков между ними в этом случае определяют из расчета складок как пространственной системы.
3.13. Для предварительного расчета призматических складок (соответствующих
случаю "б"), а также для подбора продольной арматуры и вычисления прогибов балочных складок
(случай "а") допускается приводить сечения складок к тавровому или двутавровому сечению
(рис. 3.8) с последующим расчетом их по предельным состояниям согласно главе
СНиП II-21-75.
Рис. 3.8. Схемы поперечных сечений складок
и их приведение для расчета
а - к прямоугольным сечениям; б - к тавровым сечениям;
в - к двутавровым сечениям
Приведенную толщину бетона стенки
b для схем, указанных на
рис. 3.1, следует рассчитывать по формуле:

(3.1)

(3.2)
где

- толщина бортовых элементов;

- угол наклона боковых граней.
При расчете прочности складки на поперечную силу по наклонному сечению следует учитывать фактическую толщину наклонных стенок с поправкой на угол наклона.
3.14. Для определения поперечных изгибающих моментов в гранях складок, рассматриваемых как балки с недеформируемым поперечным сечением, а также для предварительных расчетов складок в других случаях, допускается рассчитывать их как для полосы неразрезной плиты на шарнирных опорах. За опоры в данном случае принимаются места сопряжения граней, а за пролет плиты - ширина граней. Число пролетов принимается не менее двух и не более пяти. Соответственно конструктивному решению крайняя опора плиты рассматривается как шарнирно-, упруго- или жесткозащемленная.
При этом нормальные усилия для расчета сечений граней допускается определять без учета неразрезности плиты как статически определимые величины.
3.15. Расчет складок открытого профиля рекомендуется производить, как правило, с учетом моментов, вызывающих поперечный изгиб граней. Соответственно армирование плит и подкрепляющих ребер граней, а также их сопряжений рекомендуется проектировать с учетом возможных изгибающих моментов.
Предварительный расчет поперечных моментов в отдельных складках трапециевидного и прямоугольного сечения допускается производить как для консольных плит с защемлением по вертикальной плоскости симметрии.
3.16. Расчет предварительно-напряженных стыков складчатых
[8] элементов, выполняемых с применением вставок из стержневой арматуры
(рис. 3.6), производится по прочности и раскрытию трещин по третьей категории требований к трещиностойкости согласно главе
СНиП II-21-75 и следующих рекомендаций:
а) сечение стержней-вставок Fа.в определяют как для железобетонного изгибаемого сечения. Если все стержни и канаты расположены в полке, то сечение стержней-вставок допускается определять по формуле:

(3.3)
где Fа.в - расчетное сопротивление стали стержней вставок;
m - коэффициент условия работы, учитывающий возможные эксцентриситеты и ослабления в зоне анкеровки стыковых стержней, принимаемый равным 1,2;
M - изгибающий момент в сечении стыка;
z0 - плечо внутренней пары;
n - количество стержней;
б) сечение стальных анкерных упоров на вставках и колодок рекомендуется определять:
из условия смятия по контактным поверхностям согласно главе СНиП II-В.3-72 по формуле:
2Nк <= 2n1·RFсм.у, (3.4)
где Nк - усилие в канате;
n1 - коэффициент условия работы, равный 0,8;
R - расчетное сопротивление смятию стального упора;
Fсм.у - площадь сечения соответственно анкерной колодки и упора;
из условия сжатия бетона под анкерами - согласно главе
СНиП II-21-75 по формуле:
2Nк <= 1,5RпрFсм, (3.5)
где Fсм - площадь сечения анкерной колодки.
Кроме того, расчетное усилие
N в предварительно-напряженных канатах и стержнях-вставках в растянутой зоне
(рис. 3.6) должно удовлетворять условию:

(3.6)
где Fб - сечение бетона, в котором расположены анкерные колодки;

- приведенная призменная прочность бетона с учетом влияния косвенного армирования согласно
п. 3.22 главы СНиП II-21-75;
Fа, Rа - соответственно площадь сечения и расчетное сопротивление продольной арматуры в зоне анкеровки канатов и стержней-вставок.
1. Абдель-Хафез А.М., Хайдуков Г.К., Качановский Е.К. Исследование прочности по наклонным сечениям тонкостенных железобетонных складчатых конструкций армированных сетками. - Реферативный сб./ЦИНИС Госстроя СССР, 1970, вып. 6. (Межотраслевые вопросы строительства. Отечественный опыт.
4.
Качановский Е.К. Складчатое покрытие вокзала. - Бетон и железобетон, 1973. 7.
5.
Кузьмин Н.А., Лукин П.А., Милейковский И.Е. Расчет конструкций из тонкостенных стержней и оболочек. М., Госстройиздат, 1960.
6.
Ржаницын А.Р. Пологие оболочки и волнистые настилы. - Научное сообщение/ЦНИИСК АСиА СССР, 1960, вып. 14.
7.
Рюле Г. Пространственные покрытия. М., Стройиздат, 1973.
8.
Хайдуков Г.К., Олешкевич К.А., Качановский Е.К. Преднапряженный стык сборных складок. - Транспортное строительство, 1974, 7.
4. ЦИЛИНДРИЧЕСКИЕ ОБОЛОЧКИ И ПРИЗМАТИЧЕСКИЕ СКЛАДКИ
4.1. Цилиндрическими оболочками
(рис. 4.1) называются тонкостенные покрытия, состоящие из следующих основных элементов:
тонкой плиты, очерченной по цилиндрической поверхности (собственно оболочки);
бортовых элементов, окаймляющих оболочку вдоль крайних образующих;
поперечных диафрагм по криволинейным краям, опирающихся на колонны или стены.
Рис. 4.1. Цилиндрические оболочки
1 - оболочка; 2 - диафрагма; 3 - бортовой элемент
Если тонкая плита очерчена по призматической поверхности, вписанной в цилиндрическую, покрытие называется складчатым (рис. 4.2). Оболочки и складки могут быть гладкими и ребристыми.
4.2. Расстояние между осями опорных диафрагм l1 называется пролетом оболочки (складки). Расстояние между бортовыми элементами l2 называется длиной волны. Высота оболочки (складки), включая бортовые элементы, обозначается через h. Стрела подъема оболочки (складки) без бортовых элементов обозначается через f. Направление по образующей вдоль пролета l1 называется продольным, а по направляющей вдоль пролета l2 - поперечным. Оболочки (складки) могут быть однопролетными, многопролетными и консольными.
Многоволновые оболочки (складки) монолитно связаны между собой и имеют общие бортовые элементы (
рис. 4.2, 4.3). При этом различают крайние и промежуточные бортовые элементы.
Рис. 4.3. Схема оболочки и диафрагмы с разными пролетами
Расстояние
L между осями колонн, поддерживающих диафрагму, в общем случае может не совпадать с длиной волны оболочки (складки)
(рис. 4.3).
4.3. Цилиндрические оболочки и призматические складки в зависимости от отношения пролета к длине волны условно подразделяются на длинные - при l1/l2 >= 1 и короткие - при l1/l2 < 1.
При определении усилий и расчете оболочек и складок по предельным состояниям следует учитывать рекомендации
раздела 4 и
пп. 1.42 -
1.56 настоящего Руководства.
КОНСТРУИРОВАНИЕ ДЛИННЫХ ЦИЛИНДРИЧЕСКИХ ОБОЛОЧЕК
И ПРИЗМАТИЧЕСКИХ СКЛАДОК
Выбор схемы и очертаний элементов оболочек
4.4. Высоту оболочки h, включая сечение бортовой балки, рекомендуется назначать равной (1/10 - 1/15)l1, а стрелу подъема f, равной (1/6 - 1/8)l2.
Продольные края оболочки в пролете могут оставаться свободными или опираться на колонны или стены.
Поперечное сечение оболочек может быть очерчено по дуге круга, эллипса или по другой кривой. Рекомендуется принимать круговое очертание как наиболее простое в производстве работ.
Схемы сечений оболочек и складок приведены на
рис. 4.1 -
4.3.
4.5. Сборные и сборно-монолитные цилиндрические оболочки обычно выполняют ребристыми. Монолитные оболочки предпочтительно делать гладкими, так как устройство ребер усложняет производство работ. Ребристые монолитные оболочки (рис. 4.4) рекомендуется применять лишь в тех случаях, когда вследствие наличия сосредоточенных нагрузок, особенностей очертания оболочки, условий ее опирания, больших пролетов или других причин поперечные изгибающие моменты настолько велики, что требуют для гладкой оболочки слишком большой толщины и устройства очень массивных бортовых элементов. Ребра в монолитной оболочке могут потребоваться также для обеспечения ее устойчивости.
Рис. 4.4. Ребристая оболочка
4.6. Бортовые элементы, в которых размещается основная растянутая арматура, существенно снижают величину напряжений растяжения, уменьшают вертикальные и горизонтальные перемещения краев оболочки. Выбор типа бортовых элементов зависит в основном от условий опирания краев оболочки. Бортовые элементы для оболочек со свободно висящими краями рекомендуется принимать в виде балок, расположенных ниже края оболочки
(рис. 4.5). Для сборных конструкций балки в целях снижения их веса могут быть двутаврового сечения.
Рис. 4.5. Бортовые элементы
При необходимости бортовые элементы могут располагаться выше края оболочки. Они выполняются прямоугольного сечения (возможно с приливами) или L-образного сечения (рис. 4.5). Если края оболочки (складки) подперты, то бортовой элемент целесообразно проектировать в виде горизонтальной плиты.
Размеры сечений бортовых элементов определяются расчетными и конструктивными соображениями. Примерные размеры сечений этих элементов в долях от полной высоты сечения оболочки приведены на
рис. 4.5. Примерную высоту сечения бортовых элементов в долях пролета
l1 рекомендуется принимать равной
1/
20 -
1/
30.
Промежуточные бортовые элементы, соединяющие отдельные волны многоволновых оболочек, проектируются обычно аналогично крайним бортовым элементам по одному из типов, изображенных на
рис. 4.5.
4.7. Средние и торцевые диафрагмы устраиваются обычно в виде арок с затяжкой (рис. 4.6). Это решение наиболее экономично по расходу материалов.
Рис. 4.6. Диафрагмы цилиндрических оболочек
При небольшом пролете волны оболочки и небольшой стреле подъема диафрагмы могут проектироваться в виде балок переменной высоты. Для облегчения диафрагмы и пропуска коммуникаций в стенке балок устраиваются отверстия.
Возможны и другие, реже используемые диафрагмы в виде криволинейного бруса при опирании на стену; в виде рам с криволинейным ригелем, если распор воспринимается каркасом пристроек; в виде ферм при значительных пролетах волны оболочки и т.д.
Диафрагмы обычно проектируются вертикальными, однако, при необходимости, они могут быть наклонными и криволинейными.
4.8. Фонарные проемы и другие отверстия рекомендуется располагать в верхней части оболочки в продольном направлении. Размер отверстий в поперечном направлении рекомендуется назначать не более (1/4 - 1/3)l2, в продольном направлении размеры отверстий не ограничиваются. Отверстия в оболочках окаймляются рамками и усиливаются через 2 - 3 м распорками (рис. 4.7).
Рис. 4.7. Схема оболочки с фонарным проемом
Выбор схемы и очертаний элементов призматических складок
4.9. Поперечное сечение монолитных складчатых покрытий проектируется по одному из типов, показанных на
рис. 4.2. Ширину граней монолитной складки рекомендуется принимать не более 3 - 3,5 м, исходя из условия, чтобы толщина плиты получалась не более 10 см. Для сборных складок ширину граней складки рекомендуется принимать из условия транспортабельности панелей с учетом
пп. 1.6,
1.7 настоящего Руководства. Ширина верхней грани в складках назначается равной (0,25 - 0,4)
l2. Целесообразно, чтобы все грани были одинаковыми по ширине.
При указанной предельной ширине граней складки длина волны монолитной складки может достигать не более 10 - 12 м. Сборные складки рекомендуется делать ребристыми. При величине
l2 > 10 - 12 м рекомендуется применять оболочки или складки с количеством граней большим, чем указано на
рис. 4.2, или в крайнем случае усиливать грани складки поперечными ребрами. Высоту складок
h без предварительного напряжения рекомендуется назначать не менее
1/
10 l1. Бортовые элементы в складках проектируются такими же, как и в оболочках (см.
рис. 4.5).
4.10. Диафрагмы устраиваются аналогично диафрагмам оболочек по одному из типов, указанных на
рис. 4.6. Торцевые диафрагмы проектируются вертикальными или наклонными. Фонари для освещения помещения лучше устраивать в верхней горизонтальной грани.
Предварительное определение сечений элементов
оболочек и складок
4.11. Для расчета оболочек и складок необходимо предварительно задаться размерами сечений их элементов с учетом рекомендаций
раздела 1 и п. 4.11 настоящего Руководства. Для монолитных оболочек и складок толщина плиты может назначаться равной (
1/
200 -
1/
300)
l2, но не менее 5 см. Толщина плит сборных и сборно-монолитных оболочек и складок принимается не менее 3 см.
Во избежание местной потери устойчивости оболочки между поперечными ребрами расстояние между ними не рекомендуется назначать большим, чем

, где
r - радиус кривизны оболочки.
При наличии больших скалывающих напряжений на опорах рекомендуется, не утолщая всей оболочки или складки, делать местные утолщения у опор, которые при определении усилий не учитываются.
Размеры сечений бортовых элементов оболочек и складок назначаются в соответствии с рекомендациями
п. 4.6 или на основе спроектированных ранее близких по очертанию и размерам конструкций, а также исходя из их приближенного расчета как обычной железобетонной или предварительно-напряженной свободно висячей балки.
Некоторые особенности конструирования
4.12. Продольную рабочую арматуру рекомендуется располагать в основном в нижней части бортовых элементов. При этом обеспечивается для заданного сечения оболочки или складки наибольшее значение плеча внутренней пары сил
z. Часть арматуры располагается по высоте сечения бортовых элементов или в их верхней зоне. При бортовых элементах, располагаемых выше края оболочки
(рис. 4.5), часть арматуры может размещаться в плите оболочки или складки. Кроме основной арматуры в бортовых элементах устанавливается поперечная и монтажная арматура.
4.13. По длине пролета как в однопролетных, так и в многопролетных оболочках не менее 30% сечения растянутой арматуры доводится до опор. Сечение арматуры по длине пролета целесообразно уменьшать не обрывом стержней, а приваркой стержней меньшего диаметра к стержням большего диаметра. Места уменьшения сечения арматуры назначаются в соответствии с эпюрой изменения напряжений вдоль пролета, при этом стержни большего диаметра должны быть заведены на длину не менее 20d за сечение, где теоретически возможно уменьшение диаметра.
4.14. В неразрезных многопролетных оболочках и складках кроме основной растянутой арматуры в пролете ставится арматура в верхней части оболочки или складки для восприятия растягивающих напряжений над опорами (диафрагмами). По поперечному сечению оболочки или складки необходимую растянутую арматуру над опорами рекомендуется располагать в средней половине растянутой части дуги.
Не менее 50% растянутой арматуры над опорой должно быть продлено на длину 1,2bо в каждую сторону от диафрагмы, а оставшаяся часть арматуры - не менее чем на 0,6bо (bо - расстояние от опоры до сечения с нулевыми моментами).
4.15. Продольная арматура в сжатой зоне оболочки или складки, а также на участках, где главные растягивающие напряжения меньше Rр, устанавливается конструктивно через 15 - 25 см, площадью не менее 0,2% сечения бетона. Вместе с поперечной арматурой, рассчитываемой на восприятие поперечных изгибающих моментов, она образует сетку.
Сечение арматуры, необходимое для работы на поперечные моменты, определяется как для плит. По длине волны арматура сетки, воспринимающая поперечные моменты, устанавливается соответственно эпюре моментов - ближе к растянутой зоне. В местах примыкания плиты к бортовым элементам (а также к диафрагмам) устанавливаются двойные сетки из арматуры диаметром 5 - 8 мм и шагом не более 20 см.
В ребристых оболочках поперечные моменты воспринимаются основной арматурой ребер. Ребра армируют обычно двойной арматурой, связанной поперечными стержнями. При этом плита армируется конструктивно одиночной сеткой.
4.16. На участках, где

, сечение арматуры определяется исходя из растягивающих напряжений, действующих под углом 45° к образующей. Величина этих напряжений определяется по формуле:

(4.1)
где

и

- соответственно нормальные и сдвигающие напряжения, действующие в рассматриваемой точке.
Сечение арматуры на единицу длины должно удовлетворять условию

(4.2)
где fп, fx, fо - соответственно сечения продольной, поперечной и косой арматуры плиты;
Rа.о - расчетное сопротивление косой арматуры плиты.
Вводимые в расчет сечения продольной и поперечной арматуры не должны различаться более чем на 20%.
4.17. В тех местах, где имеющаяся сетка из поперечных и продольных стержней недостаточна для восприятия главных растягивающих усилий, ставится дополнительная косая арматура под углом 45° к образующей или же сетка усиливается дополнительными стержнями
(рис. 4.8). Установка косых стержней более эффективна как с точки зрения расхода арматуры (продольная и поперечная арматура используется с коэффициентом 0,5), так и сопротивления раскрытию трещин.
Рис. 4.8. Армирование цилиндрических оболочек
1 - стержни диаметром 6 - 12 мм, расположенные под углом 45°
на расстоянии 10 - 25 см друг от друга; 2 - продольная
арматура диаметром 5 - 10 мм, расположенная на расстоянии
15 - 20 см; 3 - основная растянутая арматура
Косая и поперечная арматуры, воспринимающие главные растягивающие усилия, заделываются в бортовой элемент. Выше нейтральной оси дополнительная косая и поперечная арматуры продлеваются не менее чем на 20 диаметров за сечение, где главные растягивающие напряжения могут быть восприняты основной сеткой.
4.18. В целях экономии арматуры, а также повышения трещиностойкости и жесткости конструкции, арматуру бортовых элементов оболочек (складок) и арматуру затяжек диафрагм целесообразно выполнять предварительно-напряженной.
Примеры решения сборных конструкций и стыков их элементов
4.19. В последние годы разработано несколько типов сборных предварительно-напряженных оболочек и складок покрытий для шага колонн 12 м и пролетов 18 и 24 м. Эти конструкции прошли экспериментальную проверку и применены на строительстве ряда объектов [
1,
3,
7,
9,
11,
22,
24,
35].
Конструкции различаются по способу членения на сборные элементы
(рис. 4.9). Оболочки собираются либо из бортовых балок длиной на пролет, криволинейных ребристых панелей длиной на пролет волны и затяжек диафрагм, либо из криволинейных ребристых панелей с примыкающими к ним частями бортовых балок длиной на половину пролета волны и затяжек диафрагм; складки - из бортовых балок длиной на пролет, арок-диафрагм длиной на пролет волны и плоских ребристых или безреберных плит. Верхним поясом диафрагм в оболочках служит усиленное ребро крайних панелей. Панели приняты размерами 3 x 6 и 3 x 12 м.
Рис. 4.9. Схемы членения сборных длинных цилиндрических
оболочек и складок
а - из бортовых балок, криволинейных ребристых панелей
и затяжек диафрагм; б - из криволинейных ребристых панелей
с бортовым элементом и затяжек диафрагм; в - из бортовых
балок, арок-диафрагм и плоских ребристых или гладких плит
4.20. Каждый тип конструкции имеет свои преимущества и недостатки, связанные с изготовлением, транспортированием, монтажом и особенностями конструирования.
Для изготовления криволинейных элементов оболочек требуются достаточно сложные и металлоемкие формы, а также бетоноукладчики, приспособленные для уплотнения бетона на криволинейных поверхностях. При замене криволинейной поверхности складчатой элементы плиты могут изготовляться, храниться и транспортироваться так же, как обычные плоские конструкции.
Предварительное напряжение бортовых балок и затяжек диафрагм при выполнении их отдельно от оболочки или складки (
рис. 4.9,
а,
в) осуществляется заранее на заводе, а при членении по схеме
рис. 4.9,
б - на месте строительства и является недостатком последнего решения.
В целях экономии материалов и для организации водостока бортовые балки в решениях
рис. 4.9,
а,
в могут выполняться переменной высоты с некоторым увеличением подъема конструкции в средней части пролета.
4.21. Оболочки при членении по схеме
рис. 4.9,
б собираются на лесах, которые размещаются под бортовыми элементами. Перед установкой на леса сборные элементы объединяют попарно в направлении волны оболочки, сваривая закладные детали криволинейных ребер и устанавливая временные затяжки между бортовыми элементами. Укрупненные блоки работают на монтаже как двухшарнирные арки.
При членении по схемам
рис. 4.9,
а,
в монтаж конструкций более прост, поскольку бортовые балки устанавливаются на колонны и используются для опирания сборных элементов собственно оболочки или складки. Для уменьшения монтажных усилий под бортовые балки в пролете предусматривают промежуточные опоры в виде стоек. Средние плиты складок при монтаже можно опирать на инвентарные подмости, а крайние - одной стороной на подмости, а другой - на бортовые балки и арки-диафрагмы.
4.22. Элементы конструкций при членении по схемам
рис. 4.9,
а,
в могут проектироваться из разных материалов: бортовые балки и арки-диафрагмы, воспринимающие значительные усилия на монтаже и в законченном сооружении, - из бетонов высоких марок с использованием предварительного напряжения; элементы собственно оболочки и складки - из бетонов обычных марок с армированием ненапряженной арматурой. Этим достигается более полное использование материалов в конструкции. Элементы оболочек и складок могут изготовляться из легких или ячеистых бетонов и выполнять при этом кроме несущих и ограждающих функций функцию теплоизоляции.
4.23. По расходу материалов конструкции при членении по схемам
рис. 4.9,
а,
в менее экономичны, чем при членении по схеме
рис. 4.9,
б, что связано с условиями работы сборных элементов на монтаже и наличием стыков элементов собственно оболочки или складки с контурными элементами. Здесь также больше объем бетона замоноличивания, укладываемого на строительстве.
4.24. Конструкция стыка между элементами в сборных оболочках и складках выбирается согласно рекомендациям
пп. 1.28 -
1.34 настоящего Руководства в зависимости от характера и величины передающихся через стык усилий.
В средней части оболочек и складок в нормальных сечениях действуют сжимающие и небольшие сдвигающие усилия. Стыки здесь решаются путем замоноличивания швов бетоном. В элементах со стороны стыков устраиваются углубления, чтобы бетон замоноличивания образовал шпонки, препятствующие их взаимному смещению. Для обеспечения надежного заполнения швов бетон замоноличивания рекомендуется укладывать с вибрированием. Ширину швов в местах расположения углублений в целях размещения глубинного вибратора принимают равной 7 см, при этом при ширине стыка между элементами 3 см, остальные 4 см обеспечиваются за счет углублений в ребрах (
рис. 4.10,
а).
Рис. 4.10. Стыки элементов сборных длинных цилиндрических
оболочек и складок
а - в местах передачи сжимающих и небольших сдвигающих
усилий; б - бортовых балок с напрягаемой арматурой,
размещаемой в каналах; в - арматуры поперечных ребер
в оболочке; г - ребристых плит с бортовыми балками
в отдельно стоящей складке между ребрами и в местах ребер;
д - панелей с промежуточными бортовыми балками
в многоволновых оболочках; е - панелей в угловых зонах
(со сваркой выпусков и со сварными каркасами,
устанавливаемыми в углублениях сверху)
4.25. В нормальных сечениях бортовых элементов действуют значительные растягивающие усилия. При устройстве стыков в этих сечениях (
рис. 4.9,
б) их целесообразно осуществлять предварительно-напряженными, используя напрягаемую арматуру в качестве расчетного армирования (
рис. 4.10,
б). Арматура размещается в специально оставленных в элементах каналах и закрепляется по торцам оболочки. При натяжении арматуры обжимаются как сами элементы, так и стыки между ними. Для обеспечения совместной работы предварительно-напряженной арматуры с бетоном каналы заполняются цементным тестом.
4.26. В продольных сечениях оболочек и складок кроме сдвигающих и незначительных нормальных сил действуют изгибающие моменты и сопутствующие им перерезывающие силы. При устройстве здесь стыков помимо заполнения бетоном шва между элементами должна обеспечиваться передача растягивающих усилий стыкованием арматуры ребер соединяемых элементов. При большой ширине шва арматура может соединяться сваркой выпусков, при малой - наиболее целесообразно соединение с помощью накладок через закладные детали сборных элементов. Сечение накладок и длина сварных швов определяются по величине растягивающего усилия в арматуре. Поскольку закладные детали располагаются в пределах защитного слоя, то во избежание отделения их от бетона и откалывания защитного слоя рекомендуется хорошо заанкерить и в зоне стыка установить усиленную поперечную арматуру (
рис. 10,
в).
4.27. В местах соединения собственно оболочки или складки с бортовыми балками и диафрагмами действуют значительные сдвигающие силы и изгибающие моменты (в отдельно стоящих конструкциях величина последних незначительна). В сборных элементах со стороны стыка устраиваются специальные углубления и выпуски арматуры с тем, чтобы после замоноличивания образовывались пересеченные арматурой шпонки, препятствующие их смещению (
рис. 4.10,
г,
д)
.
4.28. Арматуру смежных элементов необходимо соединять также в стыках, расположенных в угловых зонах оболочек и складок, где действуют значительные по величине главные растягивающие усилия. Арматуру можно соединять сваркой выпусков или накладками через закладные детали, а также через сварные каркасы, устанавливаемые в заранее предусмотренные углубления - в элементах (
рис. 4.10,
е).
В оболочках типа, приведенного на
рис. 4.9,
б, стыки между панелями обжимаются при натяжении арматуры бортовых балок, поэтому здесь арматура смежных элементов может не стыковаться. В складке, показанной на
рис. 4.9,
в, стыки элементов располагаются в зоне действия небольших главных растягивающих усилий, поэтому здесь стыкуется лишь арматура ребер панелей. В рассматриваемых случаях арматура плиты, рассчитанная на восприятие главных растягивающих усилий, должна надежно заанкериваться в контурных ребрах панелей (например, приваркой по концам поперечных стержней).
РАСЧЕТ ДЛИННЫХ ЦИЛИНДРИЧЕСКИХ ОБОЛОЧЕК
И ПРИЗМАТИЧЕСКИХ СКЛАДОК
4.29. В общем случае определение усилий в длинных цилиндрических оболочках и складках рекомендуется производить с учетом деформации поперечного контура [
4 -
6,
12,
15,
16,
19,
20,
25,
27]. Метод, приведенный в работах [
5,
6,
19], изложен в
прил. 3 настоящего Руководства. Допускается также использование упрощенных методов и таблиц, приведенных в работах [
2,
8,
10,
26].
Для расчета используется полумоментная теория. При этом изгибающие моменты M1, действующие на площадках поперечного сечения оболочки, соответствующие им поперечные силы Q1, а также крутящие моменты Mкр и Mкр1 принимаются вследствие незначительной величины равными нулю (рис. 4.11). Силы N, действующие нормально к площадкам продольного сечения, а также возникающие на тех же площадках поперечные силы Q учитываются в расчете, но не оказывают непосредственного влияния на подбор сечений. Размеры сечений определяются в первую очередь величинами нормальных усилий N, действующих на площадках поперечного сечения, скалывающими усилиями S и изгибающими моментами M, возникающими на площадках продольного сечения оболочки или складки.
Рис. 4.11. Усилия, действующие в длинных цилиндрических
оболочках и складках
а - полная схема усилий; б - усилия, учитываемые при расчете
4.30. В ряде частных случаев (например, в конструкциях, опертых по углам, при действии равномерно распределенной нагрузки и большой величине отношения l1/l2, при большой жесткости поперечных ребер и др.) взаимное влияние поперечных изгибающих моментов и продольных нормальных усилий отсутствует или настолько незначительно, что для упрощения расчета им можно пренебречь и рассчитывать оболочки и складки как балки корытообразного сечения. В каждом отдельном случае применение упрощенных методов расчета должно быть мотивированным.
4.31. В многоволновых покрытиях при конструкциях, опертых по углам, крайние полуволны можно приближенно рассчитывать как полуволны одноволновой оболочки или складки, имеющей симметричное сечение (рис. 4.12). Средние волны многоволновых оболочек и складок можно приближенно рассчитывать как оболочки (складки), у которых продольные края закреплены от смещений в горизонтальной плоскости и поворота в плоскости поперечного сечения.
Рис. 4.12. К приближенному расчету многоволновых
оболочек и складок
а - схема нагрузки и расчетная схема крайней волны;
б - расчетная схема средней волны
4.32. Длинные цилиндрические оболочки и складки по прочности, жесткости и трещиностойкости рекомендуется рассчитывать с учетом образования трещин в бортовых элементах и плите и трещин вдоль образующих в плите (или трещин в поперечных ребрах, которые в сборных конструкциях могут образовываться уже на стадии монтажа конструкции). Эти рекомендации базируются на результатах экспериментальных исследований натурных объектов и моделей [
22,
28,
31 -
35] и предложениях об учете трещин [
21,
29]. Косые трещины в углах (рис. 4.13) практически не влияют на распределение усилий при эксплуатационных нагрузках в средних, расчетных сечениях оболочки (складки) и при расчете не учитываются. Расчет по образованию трещин в нормальных сечениях и вдоль образующих рекомендуется производить с учетом пластических деформаций в растянутой зоне бетона.
Рис. 4.13. Схема трещин в длинной цилиндрической оболочке
Для расчета длинных цилиндрических оболочек и складок по образованию и раскрытию трещин, жесткости и прочности используется тот же метод расчета с учетом деформаций поперечного контура, что и для упругой системы [
5,
6]. При этом с появлением трещин в нормальных сечениях меняются лишь коэффициенты 1-го квадранта, а с появлением трещин в плите вдоль образующих или в поперечных ребрах - коэффициенты 4-го квадранта. Значения этих коэффициентов приведены в
пп. 4.40,
4.41.
4.33. В работе нормальных сечений оболочки или складки с ненапрягаемой арматурой, законструированных согласно рекомендациям настоящего раздела, с увеличением нагрузки от нуля до предельных значений можно различить следующие четыре стадии
(рис. 4.14):
стадия I имеет место при малых нагрузках, когда напряжения в растянутой части сечения меньше прочности бетона на растяжение Rр. Оболочка в указанной стадии рассчитывается как обычная упругая система с учетом того, что арматура увеличивает жесткость бортовых элементов, для этого рекомендуется вводить в расчет приведенные сечения;
стадия Iа наступает при достижении предельных значений напряжений и удлинений бетона растянутой зоны. В бетоне образуются трещины, и в местах трещин бетон выключается из работы. В этой стадии работы определяются усилия, которые соответствуют появлению трещин в растянутой зоне сечения;
стадия II (основная рабочая стадия) наступает после появления трещин. В этой стадии определяется раскрытие трещин в растянутой зоне и проверяется жесткость конструкции;
стадия IIа наступает, когда напряжения в арматуре бортовых элементов достигают предела текучести. Данная стадия работы сечения используется при оценке предельного состояния конструкции по прочности. При проектировании конструкции напряжения в арматуре бортовых элементов в этой стадии принимаются равными Rа.
Рис. 4.14. Стадии напряженного состояния поперечных сечений
оболочки (складки)
4.34. В продольных сечениях оболочки или складки действуют изгибающие моменты и небольшие по величине нормальные силы. Снижение жесткости продольных сечений незначительно влияет на прогибы и несущую способность оболочки (складки). Поэтому для упрощения расчета рекомендуется после появления трещин рассматривать продольные сечения как изгибаемые, определяя жесткость, раскрытие трещин и прочность по формулам главы
СНиП II-21-75.
При достижении предельных моментов в продольных сечениях в оболочке или складке образуются пластические шарниры, величина момента в которых с ростом нагрузки остается постоянной. Образование трех продольных пластических шарниров приводит к значительному увеличению деформаций и раскрытию трещин. Поэтому эта стадия используется при оценке предельного состояния конструкции по прочности, когда причиной разрушения является недостаточная прочность плиты.
4.35. Статический расчет конструкции после выбора ее геометрических размеров производят следующим образом:
определяют продольную арматуру бортовых элементов в соответствии с рекомендациями
п. 4.36;
рассчитывают конструкцию в упругой стадии с учетом арматуры бортовых элементов в соответствии с
прил. 3 настоящего Руководства;
по полученным из расчета моментам с учетом рекомендаций
п. 4.37 подбирают поперечную арматуру плиты;
на основе расчета на предыдущем этапе находят положение равнодействующей усилий в сжатой зоне сечения, расстояния от нее до центра тяжести растянутого бетона
zб и арматуры
zа и величину момента внешних сил
Mт, соответствующего появлению трещин (
пп. 4.38 и
4.39);
рассчитывают конструкцию с учетом трещин в соответствии с
прил. 3 и рекомендациями
пп. 4.40 -
4.46.
Из расчета находят эпюру продольных усилий в поперечном сечении конструкции, а по ней - равнодействующую усилий в сжатой зоне, величину плеча внутренней пары сил z и момент внутренних сил Mуп;
рассчитывают конструкцию с учетом трещин в соответствии с
прил. 3 и рекомендациями
пп. 4.40 -
4.44. По полученным расчетным данным и формулам
прил. 3 находят перемещения конструкции, а по
формуле (4.13) определяют раскрытие трещин в бортовых элементах;
в соответствии с указаниями
пп. 4.47 -
4.48 производят расчет угловых зон и диафрагм оболочек (складок).
Предварительный расчет арматуры
4.36. Площадь основной продольной растянутой арматуры
Fa, устанавливаемая в бортовых элементах, может быть определена по формуле:

(4.3)
где M - изгибающий момент от внешних нагрузок в расчетном поперечном сечении оболочки или складки;
hо - рабочая высота сечения оболочки или складки, равная полной высоте за вычетом расстояния от нижней грани бортового элемента до равнодействующей усилий в растянутой арматуре.
4.37. Поперечную арматуру плиты и арматуру поперечных ребер на участках, примыкающих к бортовым элементам, определяют согласно
разделу 3 главы СНиП II-21-75 по усилиям из расчета оболочек и складок как упругих систем. В средней части сечения значения полученных из такого расчета отрицательных моментов увеличиваются на 25 - 30%.
Расчет появления трещин (стадия Iа)
4.38. При определении момента появления трещин
Mт в поперечных сечениях эпюра напряжений в сжатой зоне сечения находится из расчета упругой системы с учетом арматуры бортовых элементов. В растянутой зоне криволинейную эпюру следует заменить прямоугольной по всей высоте
(рис. 4.15), что, как известно, мало влияет на величину момента. При этом напряжения в растянутой арматуре бортовых элементов, соответствующие предельным удлинениям бетона, составляют около 300 кг/см
2. В поперечных сечениях для арматуры без предварительного напряжения момент внешних сил
Mт, соответствующий появлению трещин, определяется по формуле:
Mт =
Fб·
Rр II·
zб + 300
Fаzа, (4.4)
где Fб - площадь сечения растянутого бетона, полученная из расчета упругой системы;
Fа - площадь сечения растянутой арматуры;
zб и zа - расстояние от равнодействующей усилий в сжатой зоне соответственно до центра тяжести растянутого бетона и арматуры.
Рис. 4.15. Схемы распределения усилий при расчете
оболочки (складки) по поперечным сечениям
а - на появление трещин; б - на прочность
4.39. В предварительно-напряженных конструкциях нагрузка при появлении трещин зависит от усилий, вызванных предварительным напряжением арматуры.

в этом случае может быть найден на формуле:

(4.5)
где Mоб - момент внешних сил, при котором напряжения растяжения на нижней грани бортовых элементов равны напряжениям сжатия, вызванным предварительным напряжением арматуры после проявления всех потерь.
Расчет жесткости конструкций и раскрытия трещин (стадия II)
4.40. В соответствии с рекомендованным в
прил. 3 методом расчета цилиндрическая оболочка заменяется вписанной складкой. В
табл. 4.1 записана система восьмичленных алгебраических уравнений для отдельно стоящей оболочки, замененной в соответствии с рекомендациями
прил. 3 симметричной девятигранной складкой
(рис. 4.16). Она состоит из четырех квадрантов, где 1-й квадрант учитывает жесткость нормальных сечений, 4-й - углы поворота граней заменяющей складки, 2-й и 3-й - взаимное влияние продольных и поперечных деформаций основной системы.
Номер ребра | Искомые  и  | Свободные члены (слева) |
| | | | | | | |
0 | | | 0 | 0 | 0 | b02 | 0 | 0 | R0m |
1 | | | | 0 | 0 | b12 | b13 | 0 | R1m |
2 | 0 | | | | 0 | b22 | b23 | b24 | R2m |
3 | 0 | 0 | | | | b32 | b33 | b34 | R3m |
4 | 0 | 0 | 0 | | | b42 | b43 | b44 | R4m |
2 | a20 | a21 | a22 | a23 | a24 | | | 0 | 0 |
3 | 0 | a31 | a32 | a33 | a34 | | | | 0 |
4 | 0 | 0 | a42 | a43 | a44 | 0 | | | 0 |
Рис. 4.16. Расчетная схема оболочки при замене
девятигранной складкой
Появление поперечных трещин в бортовых элементах и оболочке изменяет в основной системе жесткость нормальных сечений граней заменяющей складки, учитываемую при расчете коэффициентами 1-го квадранта:

(4.6)
где
Fk и

- соответственно площадь сечения грани и продольного ребра (стрингера).
Если расчет показывает, что трещина пересекает грань полностью (т.е. вся грань находится в растянутой зоне), то соответствующее значение
Fk принимается равным нулю; если частично - оставшаяся часть бетона распределяется в виде сосредоточенных площадей

и

по ребрам
k-1 и
k по правилу рычага (обратно пропорционально расстоянию от центра тяжести оставшейся части бетона до этих ребер). Арматура, расположенная в пределах грани
k, также распределяется в виде сосредоточенных площадей

и

по ребрам
k-1 и
k по правилу рычага. При этом, учитывая различные модули упругости арматуры
Eа и бетона
Eб, площадь арматуры умножают на величину

.
Если трещина проходит в пределах первой грани, то по сравнению с расчетом упругой системы в данном случае изменяются четыре первых коэффициента, если в пределах двух граней - восемь. Например, при трещинах, пересекающих бортовые элементы по всей высоте, значения коэффициентов могут быть найдены по формулам:

(4.7)
где

- коэффициент, учитывающий работу растянутого бетона между трещинами;
Fа и

- здесь соответственно площади сечения нижней и верхней арматуры бортового элемента;
a и a1 - расстояние от центра тяжести арматуры Fа и Fа1 до ребер 0 и 1 (рис. 4.17);
d1 - высота бортового элемента.
Рис. 4.17. Армирование бортового элемента
Коэффициент

определяют по формулам:
для ненапряженных конструкций

(4.8)
для предварительно-напряженных конструкций

(4.9)
где
M и
Mт - изгибающий момент (определяемый как для балок) соответственно при рассматриваемой нагрузке и при появлении трещин [см.
формулу (4.4)] в нормальных сечениях;
s - коэффициент, учитывающий влияние длительности действия нагрузки и принимаемый:
при кратковременном действии нагрузки для стержней периодического
профиля s = 1,1; для гладких стержней - s = 1;
при длительном действии нагрузки s = 0,8 независимо от профиля
арматурных стержней.
Пластические деформации сжатого бетона при расчете в стадии II можно не учитывать.
4.41. С появлением продольных трещин или трещин в поперечных ребрах жесткость оболочки (складки) уменьшается, что влияет в основной системе на углы поворота граней заменяющей складки, учитываемые коэффициентами 4-го квадранта:

(4.10)
где dk - ширина граней заменяющей складки;
Ik - погонный момент инерции продольного сечения грани.
На участках с трещинами Ik может быть найден из выражения:

(4.11)
в соответствии с рекомендациями
раздела 4 главы СНиП II-21-75.
Величину жесткости сечения
B с трещинами в середине пролета конструкции допускается определять и в соответствии с рекомендациями, приведенными в работе
[21].
При трещинах, образующихся на части ширины граней заменяющей складки, углы их поворота по ребрам основной системы рекомендуется определять как для балок переменной жесткости. Например, при трещинах в 5-й грани (в шелыге), полагая снижение жесткости сечений вне зоны с трещинами на участке длиной, равной половине толщины оболочки

, имеем:

(4.12)
где lт - длина участка с трещинами;
I5, I5т - погонный момент инерции продольного сечения 5-й грани соответственно до появления трещин и на участках с трещинами.
Остальные коэффициенты 4-го квадранта останутся такими же, как и при оболочке без трещин. При трещинах во второй и третьей гранях изменяются коэффициенты

,

,

.
4.42. При достижении в каком-либо продольном сечении оболочки момента, соответствующего предельному (для этого сечения), образуется пластический шарнир. С ростом нагрузки момент в сечении сохраняет постоянную величину, равную предельному моменту

. Для примера в табл. 4.2 в матричной форме записана система уравнений для расчета оболочки при наличии пластического шарнира в шелыге.
Номер ребра | Искомые  и  | Свободные члены (слева) |
| | | | | | |
0 | | | 0 | 0 | 0 | b02 | 0 | R0m |
1 | | | | 0 | 0 | b12 | b13 | R1m |
2 | 0 | | | | 0 | b22 | b23 | |
3 | 0 | 0 | | | | b32 | b33 | |
4 | 0 | 0 | 0 | | | b42 | b43 | |
2 | a20 | a21 | a22 | a23 | a24 | | | 0 |
3 | 0 | a31 | a32 | a33 | a34 | | | |
С помощью коэффициентов 4-го квадранта в расчете могут быть учтены стыки вдоль образующих в сборных оболочках и складках, а также монтажные трещины в ребрах сборных панелей.
4.43. Распределение усилий в поперечных сечениях оболочки при заданной величине коэффициента

, учитывающего работу бетона на растяжение на участке между трещинами, можно найти последовательными приближениями, рассматривая различное развитие трещин в нормальных сечениях: при выключении из работы бетона нейтральная ось сначала поднимается, затем опускается. Следовательно, трещины могут развиваться лишь до определенной высоты.
За первое приближение рекомендуется принимать результаты расчета конструкции как упругой системы, полагая, что трещины после появления развиваются до нейтральной оси. Во втором приближении используются результаты расчета первого приближения и т.д. Практически нет необходимости точно определять положение нейтральной оси, так как части сечения, примыкающие к ней, не оказывают существенного влияния на распределение усилий и плечо внутренней пары. Анализ показывает, что если в упругой стадии работы конструкции нейтральная ось расположена в пределах бортовых элементов, то расчеты в стадии II можно проводить, полагая наличие трещин лишь в бортовых элементах.
4.44. Ширина раскрытия трещин
aт при эксплуатационных нагрузках определяется по формуле:

(4.13)
lт - расстояние между трещинами, рассчитываемое как для изгибаемых элементов;

- напряжение в арматуре, на уровне которой определяется раскрытие трещин.
Проверка основной растянутой арматуры бортовых элементов
и поперечной арматуры (расчет по прочности, стадия IIа)
4.45. В поперечном сечении оболочки или складки момент внутренних сил
Mуп определяется как произведение усилий в основной растянутой арматуре бортовых элементов, соответствующих достижению ею расчетных сопротивлений, на расстояние до равнодействующей усилий в сжатой зоне сечения (
рис. 4.15,
б) по формуле:
В первом приближении
Mуп может определяться с учетом трещин только в поперечных сечениях оболочки при

[индекс "б" относится к бортовому элементу, см.
формулу (4.7)].
Если при этом в продольных сечениях оболочки или складки изгибающие моменты
M больше моментов появления трещин
Mт, но меньше предельных

, то производится перерасчет при сниженной жесткости продольных сечений, принимая

(индекс "об" относится к продольным сечениям оболочки или складки). Принятые значения

используются при определении жесткости
B в
формуле (4.11).
Если поперечные моменты
M оказываются больше предельных

и в плите образуются пластические шарниры, то для расчета используется система уравнений, аналогичная приведенной в
табл. 4.2 (см.
п. 4.42 настоящего Руководства).
Если же в плите образуется три продольных пластических шарнира при нагрузках, меньше расчетных, то поперечная арматура должна быть усилена.
Результаты расчета используются для определения положения равнодействующей усилий в сжатой зоне сечения, величины
z и по
формуле (4.14) момента внутренних сил
Mуп.
4.46. Если момент внутренних сил
Mуп более чем на 5% отличается от момента внешних сил
M, возникающего от расчетных нагрузок, то количество основной растянутой арматуры должно быть скорректировано и произведен перерасчет.
Количество поперечной арматуры, принятой по результатам предварительного расчета, корректируется с учетом расчетных усилий при наличии трещин в поперечных и продольных сечениях оболочки.
4.47. Усилия в угловых зонах оболочек и складок рассчитываются как для упругих систем.
Во избежание хрупкого разрушения оболочек и складок в углах от скалывания величина скалывающих напряжений не должна превышать 2,5Rр. На участках, где напряжения скалывания больше указанной величины, необходимо осуществлять местное утолщение плиты. При этом производить перерасчет конструкции не требуется.
4.48. Диафрагмы рассчитываются как плоские стержневые или балочные конструкции. Нагрузкой на них является собственный вес и опорное давление, передаваемое в виде сдвигающих сил
S (рис. 4.18). Эти силы являются касательными к срединной поверхности оболочки или складки, обратными по направлению и равными по величине сдвигающим усилиям в оболочке на контуре.
Рис. 4.18. Схема передачи усилий с оболочки на диафрагму
Величина сдвигающих сил определяется из расчета оболочек и складок как упругих систем.
При расчете диафрагм следует учитывать эксцентричное приложение сдвигающих сил по отношению к оси элементов конструкции.
КОНСТРУИРОВАНИЕ КОРОТКИХ МОНОЛИТНЫХ ОБОЛОЧЕК
4.49. Размеры сечений элементов монолитных оболочек рекомендуется назначать с учетом указаний
пп. 1.10 -
1.16 настоящего Руководства. При длине оболочки
l1 от 8 до 12 м и стреле подъема не менее
1/
8 l2 (
l2 <= 30 м) толщина плиты при нагрузке от собственного веса, снега и утеплителя может быть принята согласно табл. 4.3.
Таблица 4.3
Марка бетона | Толщина плиты оболочки, см, при пролете l1, м |
6 | 12 |
М 200 | 5 | 8 - 9 |
М 300 - М 400 | 5 | 7 - 8 |
В тех случаях, когда расчет оболочки произведен согласно рекомендациям
п. 4.53 настоящего Руководства, плита армируется конструктивно прямоугольной сеткой из стержней диаметром 4 - 6 мм и шагом 10 - 16 см.
4.50. В многопролетных монолитных оболочках для восприятия действующих усилий толщину плиты над опорами допускается увеличивать. Для обеспечения заделки плиты и восприятия возможных растягивающих напряжений над диафрагмами и у примыкания к бортовым элементам устанавливается верхняя арматура, продолжающаяся в обе стороны от диафрагмы на расстояние 0,1l1, а от бортового элемента - на расстояние 1,25 - 1,5 м.
Высота бортовых элементов без предварительного напряжения принимается не менее 1/15 l1, а ширина - от 1/5 до 1/2 высоты. При этих размерах горизонтальная жесткость бортового элемента оказывается достаточной.
В пролете большая часть арматуры бортовых элементов устанавливается внизу, а на опорах (над диафрагмами) арматура того же сечения устанавливается вверху бортового элемента.
4.51. В монолитных оболочках с фонарными проемами для обеспечения прочности следует выполнить ряд дополнительных условий:
высота подфонарных балок должна быть не менее 1/12 l1;
толщина плиты должна быть несколько увеличена по отношению к толщине сплошной оболочки;
подъем плиты каждой боковой части не должен быть менее 1/20 ее пролета (наклонной хорды);
длина дуг ее боковых частей должна быть не менее l2/3 и l1.
РАСЧЕТ КОРОТКИХ МОНОЛИТНЫХ ОБОЛОЧЕК
4.52. Короткие оболочки с пролетом
l1 <= 12 м при соотношении
l1/
l2 < 0,5 могут конструироваться по результатам упрощенного расчета (см.
п. 4.53 настоящего Руководства).
Однако в ряде случаев короткие оболочки, например, при значительных пролетах
l2, малой толщине, тяжелых или сосредоточенных нагрузках, а также при

, требуется рассчитывать более точно по работе
[19].
4.53. При приближенном расчете оболочек на равномерно распределенную нагрузку усилия в плите оболочки не определяются. Сечение и армирование плиты назначаются конструктивно (см.
п. 4.49 настоящего Руководства).
Для наиболее часто применяемых коротких оболочек (с пролетами
l1 <= 12 м;
l2 <= 30 м) плечо внутренней пары продольных усилий
(рис. 4.19) составляет

(
f +
d1). Поэтому растягивающее усилие
Nб в одном бортовом элементе отдельно стоящей оболочки допускается определять по формуле

(4.15)
где d1 - высота бортового элемента;
q - приведенная расчетная нагрузка на 1 м2 горизонтальной проекции с учетом веса бортовых элементов.
Рис. 4.19. К расчету бортового элемента
короткой цилиндрической оболочки
В средних пролетах короткой многопролетной монолитной одноволновой оболочки растягивающее усилие Nб в пролете бортового элемента уменьшается вдвое.
В многоволновых оболочках величина усилия в бортовом элементе должна быть увеличена пропорционально увеличению нагрузки, приходящейся на этот элемент от обеих примыкающих к нему волн.
4.54. Нормальное усилие N по сечению оболочки в середине пролета l2 допускается определять по безмоментной теории. Полученную таким образом величину продольной силы можно использовать при расчете промежуточных диафрагм. Крайние диафрагмы или диафрагмы отдельно стоящей оболочки рассчитываются на воздействие половины этого усилия.
4.55. При расчете диафрагм их сечение принимается тавровым
(рис. 4.20). В многопролетных оболочках ширину полки принимают равной расстоянию между диафрагмами
l1. При этом оболочки параллельно диафрагмам как бы рассекаются посредине пролетов сечениями (
рис. 4.20,
а). В многоволновой несущей конструкции диафрагма с прилегающими к ней частями смежных оболочек делится на не связанные между собой отдельные волны. Если диафрагмы арочные, то в расчетной схеме разрезаются их затяжки, после чего остаются отдельные пролеты балочных диафрагм, связанные с прилегающими к ним частями оболочек
(рис. 4.20). Усилия в сечениях такой конструкции определяются как в балке с прямолинейной или криволинейной осью.
Рис. 4.20. К расчету диафрагмы короткой оболочки
а - арочной; б - балочной
Для расчета собственно диафрагм надо определить усилие, приходящееся на оболочку, при этом изгибающими моментами и поперечными силами в сечении оболочки можно пренебречь.
Полное нормальное сжимающее усилие

в сечениях оболочки рассчитывают:
для крайней диафрагмы, когда примыкает лишь один полупролет оболочки, по формуле

(4.16)
для средней диафрагмы, когда примыкают два полупролета оболочки, по формуле

(4.17)
где R - радиус кривизны оболочки в середине пролета l2;
x - горизонтальное расстояние продольного сечения оболочки от одной из опор
(рис. 4.20).
Усилия в диафрагмах определяются по формулам:
в арочных диафрагмах

(4.18)
в балочных диафрагмах

(4.19)
где

,

,
- соответственно изгибающий момент, поперечная и продольная силы по оси диафрагмы, определяемые от полной вертикальной нагрузки (

вводится в эти формулы со знаком плюс);
ex - расстояние от оси диафрагмы до срединной поверхности оболочки, измеряемое вдоль сечения
(рис. 4.20). Если оболочка расположена выше оси диафрагмы, величина
ex считается положительной, ниже - отрицательной;

- угол между нормалью к поперечному сечению диафрагмы и касательной к срединной поверхности оболочки в этом сечении (
рис. 4.20,
б).
После того как определены усилия в безраспорных диафрагмах, учет неразрезности, влияния затяжек арочных диафрагм или других факторов производится обычными методами, применяемыми для расчета статически неопределимых плоских систем. Усилиями, приложенными к диафрагмам (опорными моментами, усилиями от затяжки), оболочка нагружена сравнительно слабо, поэтому при определении перемещений и усилий в диафрагмах, вызываемых лишними неизвестными, участием оболочки можно пренебречь. Расчет ведется на восприятие этих усилий сечениями только самих диафрагм; части оболочек, примыкающие к диафрагмам, не учитываются.
4.56. Диафрагмы коротких оболочек с фонарными проемами рассчитываются на вертикальную нагрузку по всей оболочке. При расчете боковых частей пролета разгружающим влиянием продольных сил оболочки

пренебрегают.
Усилие
Nб, передаваемое на арматуру бортового элемента такой оболочки, определяют, как и в оболочках без фонарей, лишь заменяя
l2 на

, по формуле

(4.20)
где b - ширина фонаря.
Если ширина остающихся боковых частей оболочки менее 1/3 l2 или менее l1, их следует заменить другой конструкцией или рассчитывать как длинные оболочки с учетом деформаций контура.
КОНСТРУИРОВАНИЕ КОРОТКИХ ПРИЗМАТИЧЕСКИХ СКЛАДОК
4.57. Короткие призматические складки состоят из плоских ребристых плит, бортовых элементов и диафрагм (рис. 4.21, а, б).
Рис. 4.21. Короткая призматическая складка
а - конструкция складчатого покрытия; б - складка
с бортовыми элементами; в - то же, без бортовых элементов;
1 - диафрагма; 2 - ребристая плита; 3 - бортовой элемент;
4 - стальной фонарь; 5 - подвеска; 6 - продольное ребро
плиты, выполняющее функции бортового элемента; 7 - крайние
грани складки
Складки допускается проектировать без бортовых элементов. В этом случае функции бортовых элементов выполняют продольные ребра плит, устанавливаемые вдоль краев покрытия (
рис. 4.21,
в).
Складки могут быть одно- и многоволновыми в поперечном направлении, разрезными и неразрезными - в продольном. Короткие призматические складки рекомендуется выполнять сборно-монолитными. Сборные элементы складки свариваются между собой на монтаже, а швы между ними замоноличиваются. Плиты к диафрагмам следует приваривать на всех четырех опорах по доступному контуру.
Совместную работу элементов складок рекомендуется обеспечивать:
для неразрезных складок - устройством бетонных шипов на верхнем поясе диафрагм, пазов на наружных гранях продольных и торцевых ребер плит и бортовых элементов, установкой арматурных каркасов в швах замоноличивания;
для разрезных складок - устройством пазов на наружных гранях.
4.58. Призматические складки рекомендуется применять в покрытиях одноэтажных производственных зданий массового строительства пролетами 18 - 36 м с фонарями и без фонарей, с мостовыми кранами грузоподъемностью до 50 тс.
К элементам складки допускается подвеска двух- или трехопорных кран-балок грузоподъемностью от 1 до 5 тс или подвесного тельфера грузоподъемностью до 5 тс.
4.59. Для образования призматической поверхности складки рекомендуется использовать плоские плиты размером 3 x 6 или 3 x 12 м.
Очертание верхнего пояса диафрагм должно соответствовать поверхности складки. В неразрезных складках после замоноличивания образуется комплексное сечение верхнего пояса, что позволяет облегчить диафрагму (рис. 4.22).
Рис. 4.22. Узел сопряжения плит с диафрагмой
при комплексном сечении верхнего пояса
1 - бетонные шипы на верхнем поясе диафрагмы; 2 - стержень,
армирующий комплексное сечение; 3 - пазы на торцевых ребрах
плит; 4 - каркас в продольном шве между плитами
над диафрагмами; 5 - пазы на продольных ребрах плит;
6 - продольные ребра плит; 7 - верхний пояс диафрагмы;
8 - торцевые ребра плит
Допускается использование типовых ферм, очертание которых не соответствует поверхности складки. В этом случае комплексное сечение не образуется, а ребра плит складки опираются на бетонные столбики, устраиваемые в узлах ферм.
4.60. Сборные железобетонные элементы складчатых покрытий рекомендуется проектировать из тяжелого (марок М 200 - М 400) или легкого (марок М 200 - М 300) конструктивного бетона.
Диафрагмы рекомендуется предусматривать из тяжелого бетона (марок М 400 - М 600 и выше).
4.61. В качестве предварительно-напряженной арматуры продольных ребер плит, бортовых элементов и нижних поясов ферм-диафрагм рекомендуется применять стержни из стали классов А-IIIв, А-IV, Ат-IV, Ат-V и арматурные канаты класса К-7. Полку плит толщиной 3 см рекомендуется армировать сварными сетками из арматуры класса В-1. Ненапрягаемую арматуру ребер плит, элементов диафрагм, а также швов замоноличивания рекомендуется выполнять в виде сварных каркасов из стали А-III.
4.62. В неразрезных складках шов для замоноличивания над диафрагмой образуется в результате соответствующего размещения торцевых ребер плит покрытия.
Ширину швов между плитами рекомендуется назначать не менее: для продольных швов 50 мм; для поперечных швов над диафрагмами - 200 мм.
Замоноличивание швов рекомендуется бетоном, марка которого не менее марки М 200, а в зимнее время - марки М 300.
Конструирование элементов складки
4.63. Плиты складок рекомендуется проектировать с номинальными размерами 3 x 6 и 3 x 12 м. Продольные ребра рекомендуется выполнять предварительно-напряженными; поперечные и торцевые - ненапряженными (рис. 4.23).
Рис. 4.23. Плиты и бортовые элементы
1 - поперечное ребро; 2 - то же, торцевое; 3 - то же,
продольное; 4 - полка плиты; 5 - арматурная сетка полки;
6 - пазы на продольных ребрах плиты и бортового элемента;
7 - крайний бортовой элемент
Высоту продольных ребер рекомендуется принимать в пределах (1/30 - 1/35)l1.
Шаг поперечных ребер рекомендуется принимать равным 1 - 2 м. Высоту поперечных ребер рекомендуется назначать в пределах
1/
15 -
1/
20 расчетного пролета, равного расстоянию между внутренними гранями продольных ребер. На наружных гранях продольных ребер предусматриваются пазы, обеспечивающие восприятие сдвигающих усилий между плитами. Пазы располагаются на длине (
1/
3 -
1/
4)
l1 (рис. 4.23).
При комплексном сечении верхнего пояса диафрагм пазы рекомендуется устраивать также на торцевых ребрах. В этом случае торцевые ребра устраиваются увеличенной высоты, что позволяет не ставить опалубку при замоноличивании
(рис. 4.22).
4.64. Размеры бортовых элементов, как и плит, определяются расчетными и конструктивными соображениями. Как правило, бортовые элементы проектируются лоткового сечения с торцевыми ребрами и без промежуточных ребер
(рис. 4.23).
Бортовые элементы рекомендуется принимать двух типоразмеров: крайние, устанавливаемые вдоль краев оболочек, и средние, устанавливаемые по всем промежуточным рядам колонн многоволновых складок и соединяющие между собой отдельные волны.
4.65. Диафрагмы складчатых покрытий рекомендуется проектировать в виде ферм сегментного очертания, безраскосных ферм, а также арок с железобетонной или стальной затяжкой.
Особенностью конструктивного решения ферм-диафрагм неразрезных складчатых покрытий является наличие бетонных шипов на верхнем поясе, обеспечивающих совместную работу диафрагмы с плитами и бетоном замоноличивания.
Диафрагмы разрезных складчатых покрытий проектируются без шипов по верхнему поясу. В этом случае совместность работы складки с диафрагмой достигается за счет сварных соединений плит и ферм, рассчитываемых на восприятие сдвигающих усилий.
Диафрагмы пролетом 18 - 24 м проектируются, как правило, цельными.
Для пролетов 30 - 36 м рекомендуется устройство составных сталежелезобетонных диафрагм, монтируемых из отдельных блоков с помощью переставных подмостей. Блоки стыкуются сваркой закладных деталей, а затяжка выполняется из прокатного металла.
При стальной затяжке рекомендуется устраивать строительный выгиб узлов нижнего пояса, равный (1/200 - 1/250)l2.
Конструирование узлов складчатых покрытий
4.66. Характерные узлы рекомендуется конструировать, как показано на рис. 4.24. Крепление подвесного кранового оборудования рекомендуется осуществлять к диафрагмам, как в типовых конструкциях. В складчатых покрытиях допускается устройство аэрационных, светоаэрационных и зенитных фонарей с шириной проема, равной (1/2 - 1/3)l2. Опирание рам фонарей предусматривается на верхний пояс диафрагм.
Рис. 4.24. Узлы складчатого покрытия
а - сопряжение диафрагмы с бортовым элементом и плитой
неразрезного складчатого покрытия; б - то же, с плитой
разрезного складчатого покрытия; в - крепление плиты
к фонарной панели; 1 - диафрагма; 2 - плита складки;
3 - бортовой элемент; 4 - арматурный каркас в шве
замоноличивания; 5 - стальной упор; 6 - фонарная панель;
7 - соединительная планка-подвеска
Проемы для продольных или поперечных зенитных фонарей рекомендуется устраивать при помощи плит-рамок или плит с отверстиями.
Продольные ребра плит, примыкающие к фонарному проему, рекомендуется крепить посредине пролета к стальной фонарной панели (
рис. 4.24,
в). Фонарная панель при этом должна быть рассчитана на дополнительную нагрузку от покрытия.
Складчатое очертание покрытия по фонарю рекомендуется осуществлять путем изменения геометрии типового фонаря.
В разрезных складчатых покрытиях сдвигающие усилия рекомендуется воспринимать стальными упорами, приваренными к закладным деталям опорных узлов диафрагм (
рис. 4.24,
б); в зданиях с фонарями упоры допускается приваривать также к узлам опирания крайних фонарных рам.
РАСЧЕТ КОРОТКИХ ПРИЗМАТИЧЕСКИХ СКЛАДОК
4.67. Расчет складчатых покрытий производится в соответствии с двумя этапами работы конструкции - до и после замоноличивания швов между сборными элементами покрытия.
До замоноличивания швов сборные элементы складок рассчитываются как разрезные конструкции на воздействие нагрузок, возникающих в стадиях изготовления, транспортирования и возведения.
После замоноличивания швов (в стадии эксплуатации) складка рассчитывается на воздействие постоянных и временных нагрузок как пространственная конструкция по схемам разрушения, охватывающим одну или две крайние грани складки. Средняя часть складки, расположенная между четырьмя крайними гранями (по две с каждой стороны), находится в благоприятных контурных условиях и работает как жесткий диск, продольные ребра которого рассчитываются на нагрузки, возникающие в стадиях изготовления, транспортирования и возведения, и не рассчитываются на нагрузки в стадии эксплуатации. В эксплуатационной стадии складка рассчитывается на "местное" разрушение полки, поперечных ребер, а также продольных ребер плит, не закрепленных швами замоноличивания от кручения.
4.68. Первый этап расчета выполняется с целью подбора арматуры сборных элементов складчатого покрытия, требуемой для работы в стадиях изготовления, транспортирования и возведения. Назначение геометрических размеров поперечных сечений сборных элементов производится на основании запроектированных ранее близких по очертанию складчатых покрытий и корректируется в дальнейшем расчетом в стадии эксплуатации.
При изготовлении сборные элементы складок рассчитываются на воздействие усилий предварительного напряжения, вводимое в расчет как внешняя внецентренно приложенная нагрузка.
При подъеме, транспортировании и монтаже сборные элементы складок рассчитываются как разрезные конструкции на воздействие собственного веса с учетом коэффициента динамичности: 1,8 - при транспортировании; 1,5 - при подъеме и монтаже (при учете коэффициента динамичности коэффициент перегрузки к собственному весу не вводится).
В стадии возведения сборные элементы складок рассчитываются как разрезные конструкции на воздействие собственного веса и снеговой нагрузки, учитываемой в соответствии с главой
СНиП II-6-74.
В стадиях изготовления, транспортирования и возведения производится подбор предварительно-напряженной арматуры бортового элемента и плиты, а также обычной арматуры - верхнего стержня каркаса продольных ребер; кроме того, проверяется прочность концевых участков ребер при отпуске напряжения и трещиностойкость.
При проектировании верхнего пояса ферм-диафрагм в неразрезных покрытиях
(рис. 4.22) арматура пояса подбирается по усилиям в стадии возведения.
При расчете сборных элементов в стадии возведения принимается коэффициент перехода от веса снегового покрова земли к снеговой нагрузке на покрытие
c = 1, предельный прогиб при этом не должен превышать величин, указанных в главе
СНиП II-21-75.
4.69. Второй этап расчета коротких ребристых призматических складок покрытий основан на экспериментальных исследованиях, результаты которых приведены в работах [
13,
14,
17,
18], и производится по прочности, жесткости и ширине раскрытия трещин.
Расчет прочности складок покрытий производится кинематическим способом теории предельного равновесия по схемам разрушения, приведенным на
рис. 4.25 и
4.26. В результате расчетов определяют внутренние усилия; подбор сечений арматуры проводят согласно главе
СНиП II-21-75.
Рис. 4.25. Схемы разрушения полки и поперечных ребер плит
от изгиба и продольных ребер от кручения
а, б, в - схемы разрушения для всех плит; г, д - то же,
для крайних плит; 1 - 5 - звенья в схемах разрушения
Рис. 4.26. Схемы разрушения складчатого покрытия
а - схемы разрушения первой грани складки и бортового
элемента; б - диаграмма скоростей виртуальных перемещений;
в - схема разрушений двух граней складки с изломом бортового
элемента; г - то же, без излома бортового элемента;
д - поперечное сечение складки у края; 1 - 4 - звенья
в схемах разрушения; 5 - первые грани складки; 6 - первая
и вторая крайние грани складки; 7 - средняя часть складки
Жесткость и ширину раскрытия трещин в полке плиты определяют согласно "
Руководству по расчету статически неопределимых железобетонных конструкций" (НИИЖБ, М., 1975), а в поперечных ребрах - согласно главе
СНиП II-21-75. Жесткость продольных ребер плит складчатого покрытия обеспечивается при условии
h/l1 >= 1/33,
где h - высота ребра;
l1 - длина пролета.
В этом случае ширина раскрытия трещин при третьей категории требований к трещиностойкости в условиях неагрессивной среды оказывается меньше допустимой.
Расчет прочности призматических складок покрытий следует вести в следующей последовательности: сначала по местным схемам разрушения рассчитываются полка, поперечные и продольные ребра плит (от кручения), затем - складки покрытия и диафрагмы.
Расчет полки и поперечных ребер плиты
4.70. По схемам разрушения, приведенным на
рис. 4.25,
а,
б,
в, рассчитываются полка и поперечные ребра всех плит покрытия; по схеме разрушения, приведенной на
рис. 4.25,
г, - крайние плиты складок.
Изгибающие моменты в полке на единицу длины линии излома и в поперечных ребрах определяются по "конвертным" схемам разрушения в зависимости от значения параметра:

(4.21)
При

разрушение полки происходит по схеме, приведенной на
рис. 4.25,
а, изгибающие моменты определяются по формулам:

(4.22)

(4.23)

(4.24)

(4.25)
При

разрушение полки происходит по схеме, приведенной на
рис. 4.25,
б. В этом случае принимается
k1 = 1/
k и изгибающие моменты определяются по формулам:

(4.26)

(4.27)

(4.28)

(4.29)

- коэффициент, учитывающий влияние распора, определяемый согласно
п. 2.7 "Руководства по расчету статически неопределимых железобетонных конструкций";
q - равномерно распределенная нагрузка на единицу площади полки с учетом ее веса;

- отношение сторон полки;
Ma, Mb - изгибающие моменты на единицу длины линии излома, действующие в сечениях полки соответственно в поперечном и продольном направлениях;
qр - нагрузка на единицу длины поперечного ребра, расположенная на ребре и рассчитываемая с учетом его веса;
Mр - изгибающий момент, приходящийся на сечение поперечного ребра без полок (
рис. 4.25, сечение
I-I);
Rа, Rар - расчетные сопротивления на растяжение арматуры соответственно полки и поперечных ребер;
hп, h0 - соответственно толщина полки и рабочая высота ребра.
4.71. Плита, армированная по схеме разрушения, приведенной на
рис. 4.25,
а и
б, рассчитывается также по другой возможной "конвертной" схеме разрушения полки и поперечных ребер (
рис. 4.25,
в).
Изгибающий момент M24, действующий на все поперечные ребра плиты в пролете, определяют по формуле
M24 =
qb2(3
c - 2
a1)/24 -
M02, (4.30)
где q - нагрузка на единицу площади полки с учетом веса поперечных ребер;
b - расстояние в свету между продольными ребрами;
a1 - расстояние в свету между торцевым и поперечным ребрами (
рис. 4.25,
в,
г);
M02 - изгибающий момент, воспринимаемый всеми поперечными ребрами плиты в местах их примыкания к продольным, рассчитывается исходя из установленной в полке арматуры, подобранной по схемам разрушения, приведенным на
рис. 4.25,
а,
б,
в или г;
c - расстояние между внутренними гранями торцевых ребер.
Подбор арматуры производят по большей величине изгибающего момента в пролете, приходящегося на одно поперечное ребро и полученного по
формулам (4.24) или
(4.28) и
(4.30).
4.72. Расчет поперечных ребер плиты по поперечной силе производится согласно
разделу 4 главы СНиП II-21-75. Максимальная величина поперечной силы в поперечном ребре определяется в зависимости от схемы разрушения, определившей его продольное армирование. При схеме разрушения, приведенной:
Q = qa(2b - ak)/8 + qрb/2; (4.31)
Q = qb2k1/8 + qрb/2; (4.32)
Q = b(qa + qр)/2. (4.33)
При расчете жесткости и ширины раскрытия трещин принимается:
а) полное защемление полки в поперечных и продольных ребрах и шарнирное опирание поперечных ребер, если расчет ведется по схемам разрушения, приведенным на
рис. 4.25,
а,
б;
б) полное защемление поперечных ребер в продольных при расчете по схеме разрушения, приведенной на
рис. 4.25,
в;
в) защемление с одной стороны поперечного ребра и шарнирное опирание с другой при схеме разрушения, приведенной на
рис. 4.25,
г.
При определении прогибов поперечных ребер следует принимать тавровое сечение ребра (
рис. 4.25, сечение
II-II)
.
Расчет продольных ребер на кручение
4.73. В крайних плитах складчатых покрытий, осуществляемых без бортовых элементов, и в плитах, примыкающих к фонарным проемам, кроме схем разрушения, приведенных на
рис. 4.25,
а,
б,
в, может иметь место также схема разрушения, приведенная на
рис. 4.25,
г. Крутящие моменты
M45, действующие в наклонных сечениях концевых участков продольных ребер под углом 45° к их нижней плоскости (
рис. 4.25, сечение
V-
V), воспринимаются сетками, устанавливаемыми на концевых участках продольных ребер, и определяются по формуле

(4.34)
Во всех случаях изгибающий момент
M45 = 0 из-за того, что угловая арматура не воспринимает усилий растяжения (
рис. 4.25, сечение
V-V).
Если в результате расчетов по
формуле (4.34) M45 <= 0, то концевые участки продольных ребер армировать на кручение не требуется.
4.74. Короткие призматические складки покрытий от действия равномерно распределенной нагрузки рассчитываются по трем схемам разрушения (
рис. 4.26,
а,
в,
г), охватывающих одну или две грани у свободного края.
Изгибающие моменты определяются на основе кинематического способа теории предельного равновесия. Например, для определения изгибающего момента
M13 в продольном ребре разрезной складки линии излома
1-3, пересекающие это ребро (
рис. 4.26,
а), задают единичное возможное перемещение. Работу внешней нагрузки, полученную на перемещениях жестких звеньев схемы излома, приравнивают к работе внутренних сил на линиях излома (пластических шарнирах), соединяющих эти звенья. Если линия излома
1-3 пересекает несколько продольных ребер (
рис. 4.26,
в,
г), то изгибающий момент определяется для всех ребер.
При изломе двух граней складки работа внутренних сил определяется из пространственной схемы перемещений жестких звеньев. В этих случаях кроме перемещений, совершаемых звеньями
1-4 из их плоскости, имеют место перемещения в плоскости одной из граней, излом которой происходит как балки на двух опорах от достижения в наклонных сечениях предельных изгибающих моментов
Mн (
рис. 4.26,
в,
г).
Расчет неразрезных складок
4.75. При расчете неразрезных складок покрытий принимаем, что армирование продольных ребер плит и бортовых элементов подобраны в соответствии с усилиями от нагрузок, действующих до замоноличивания швов между сборными элементами, а армирование полки и поперечных ребер плит - в соответствии с усилиями от нагрузок, действующих после замоноличивания швов. В стадии эксплуатации определению подлежат опорные моменты M01 и M03 на промежуточных диафрагмах (на крайних диафрагмах M01 = 0 и M03 = 0).
В неразрезной складке покрытий бесфонарных зданий опорные арматурные каркасы, устанавливаемые в швы между бортовыми элементами и плитами, а также между плитами первой и второй граней над диафрагмами, являются расчетными. Из конструктивных соображений в остальные швы между плитами над диафрагмами рекомендуется устанавливать каркасы. В покрытиях зданий с фонарями, а также в покрытиях по фонарям все арматурные каркасы являются расчетными.
4.76. При расчете по схеме разрушения, приведенной на
рис. 4.26,
а, определяют:
а) опорные моменты M01, M03 над средними диафрагмами, кроме вторых от края или температурного шва покрытия, воспринимаемые арматурными каркасами, установленными в первых швах замоноличивания между бортовыми элементами и плитами первой грани складки, по формуле
M01 =
M03 =
l(
T -
A)/4 -
M13. (4.35)
Величины, входящие в выражение (4.35), определяют по формулам:
работу внешней нагрузки T

(4.36)
пролетный изгибающий момент M13
M13 = Mр + Mбv1, (4.37)
где Mр - изгибающий момент, воспринимаемый одним продольным ребром плиты;
Mб - то же, воспринимаемый бортовым элементом;
работу A изгибающих моментов M02, M12 и M23
A = (
M02 +
M24)/
b; (4.38)
объем пирамид вертикальных перемещений:
для бортового элемента


(4.39)
для первой грани складки


(4.40)
вертикальное перемещение пролетной линии излома 1-3

(4.41)
поправочный угол


(4.42)
высоту сжатой зоны x1 в поперечном ребре на линии излома 0-2

(4.43)
коэффициент


(4.44)
h, bр - высота и ширина по низу поперечного ребра;
b - расстояние в свету между продольными ребрами плиты;

- угол наклона первой грани складки к горизонту;
bб - суммарная ширина бортового элемента и половины шва замоноличивания;
B - ширина плиты по верху;
r - расстояние от внутренней грани продольного ребра до середины шва замоноличивания;
M02, M24 - изгибающие моменты на всей длине линии излома, воспринимаемые поперечными ребрами на опоре и в пролете;
gб, pб - соответственно постоянная и временная равномерно распределенная нагрузки на единицу длины бортового элемента;

,
p1 - то же, на единицу площади горизонтальной проекции первой грани складки;
Rпр - призменная прочность бетона;
Rа, Fр - расчетное сопротивление при растяжении и площадь рабочей арматуры поперечного ребра.
Опорный момент M03 над диафрагмой, второй от края или температурного шва, определяют по формуле

(4.45)
Неизвестный параметр x - по формуле

(4.46)
4.77. При расчете по схеме разрушения, приведенной на
рис. 4.26,
в, определяют:
а) опорные моменты M01 и M03 над средними диафрагмами, кроме вторых от края или температурного шва покрытия, воспринимаемые арматурными каркасами, установленными в первом и втором швах замоноличивания, по формуле

(4.47)
Величины, входящие в выражение (4.47), определяют по формулам:
пролетный изгибающий момент M13
M13 = 3Mр + Mбv2; (4.48)
работу внешней нагрузки T

(4.49)
объемы пирамид вертикальных перемещений:
для бортового элемента

(4.50)
для первой грани складки

(4.51)
для второй грани складки

(4.52)
вертикальное перемещение v линии излома 1-3

(4.53)
изгибающий момент Mн, воспринимаемый наклонным сечением первой грани складки в ее плоскости:
Mн = Mа + Mв + Mп; (4.54)
изгибающий момент Mа, воспринимаемый продольной арматурой сетки полки плиты в наклонном сечении:
Mа = 0,5qаB(B - xа); (4.55)
изгибающий момент Mв, воспринимаемый поперечной арматурой сетки полки плиты в наклонном сечении:
Mв = 0,5qвcн(cн - uв); (4.56)
изгибающий момент Mп, воспринимаемый верхним стержнем каркаса поперечного ребра плиты в наклонном сечении:
Mп = 0,5qпcн(cн - uп); (4.57)
усилия qа, qв, qп на единицу длины полки
qа = RаFа/uа; qв = RаFв/uв; qп = RаFп/uп; (4.58)
высоту сжатой зоны xа бетона в наклонном сечении
xа = qаB/(2qа + Rпр/hп); (4.59)
длину проекции наклонного сечения cн на направление продольного ребра

(4.60)
но не более l/2;
виртуальное линейное перемещение


(4.61)
p2 - временная равномерно распределенная нагрузка на единицу площади горизонтальной проекции второй грани складки;

- угол наклона второй грани складки к горизонтали;

- поправочный угол, вычисляемый по
формуле (4.42) для второй грани складки;
uа, uв - расстояния соответственно между осями продольных и поперечных стержней сетки полки;
uп - расстояние между осями поперечных ребер;
Fа, Fв, Fп - площади поперечных сечений соответственно продольных и поперечных стержней сетки полки и верхнего стержня каркаса поперечного ребра;
r,
b,
B,
Mр,
Mб - определяют по
п. 4.76;
l - расчетный пролет складки в направлении l1;
б) опорный момент M03 над диафрагмой, второй от края или температурного шва, по формуле

(4.62)
неизвестный параметр x по формуле

(4.63)
4.78. При расчете по схеме разрушения, приведенной на
рис. 4.26,
г, определяют:
а) опорные моменты M01, M03 над средними диафрагмами, кроме вторых от края или температурного шва покрытия, воспринимаемые арматурными каркасами, установленными во вторых швах складки (шов между плитами первой и второй граней), по формуле

(4.64)
где M13 - изгибающий момент, воспринимаемый двумя продольными ребрами плит.
работу внешней нагрузки T

(4.65)
объем пирамид вертикальных перемещений:
для первой грани складки

(4.66)
для второй грани складки - по формуле

(4.67)
вертикальное перемещение v3 линии излома 1-3

(4.68)
угол наклона

, где

- поправочный угол первой грани складки, определяемый по
формуле (4.42);
угол наклона

, где

- поправочный угол второй грани складки, определяемый по
формуле (4.42);
виртуальное линейное перемещение


(4.69)
работу A1 = M04/b;
б) опорный момент M03 над диафрагмой, второй от края или температурного шва, - по формуле

(4.70)
неизвестный параметр - по формуле

(4.71)
Если суммарная величина опорных моментов над диафрагмой, полученная из расчета по схемам разрушения, приведенным на
рис. 4.26,
а,
г, больше изгибающего момента, полученного из расчета по схеме разрушения, приведенной на
рис. 4.26,
в, то подбор сечения рабочих стержней арматурных каркасов, устанавливаемых в швах между бортовым элементом и плитой, а также между плитами первой и второй граней складки над диафрагмами, производится по опорным моментам, полученным по схемам разрушения, приведенным на
рис. 4.26,
а,
г.
Если суммарная величина этих же опорных моментов над диафрагмой меньше изгибающего момента, полученного из расчета по схеме разрушения, приведенной на
рис. 4.26,
в, то этот опорный момент следует распределить между швами таким образом, чтобы на каждый шов приходилась величина момента не меньше, чем вычисленная по схемам разрушения, приведенным на
рис. 4.26,
а,
г.
4.79. При необходимости уменьшить величину опорных изгибающих моментов, особенно над вторыми от края диафрагмами, рекомендуется увеличить армирование полки, т.е. увеличить изгибающий момент Mн.
4.80. Максимальную величину поперечной силы Qб в средних пролетах неразрезных складок, воспринимаемую бортовым элементом, определяют по формуле
Qб = 0,5qбl, (4.72)
а воспринимаемую каждым продольным ребром плиты первой грани складки - по формуле

(4.73)
где q1 - нагрузка на единицу длины продольного ребра плиты с учетом его веса и веса половины шва замоноличивания;
q2 - нагрузка на единицу площади плиты с учетом веса полки и поперечных ребер;
qб - то же, бортового элемента с учетом его веса и веса половины шва замоноличивания.
Поперечную силу
Qр, воспринимаемую каждым продольным ребром плиты второй грани складки, определяют по
формуле (4.73) с заменой

на

.
Максимальную величину поперечной силы Q01 в крайних пролетах неразрезных складок, воспринимаемую бортовым элементом у первой от края диафрагмы, определяют по формуле

(4.74)
а Q03 у второй от края диафрагмы - по формуле

(4.75)
где M03 - изгибающий момент над второй от края диафрагмой, воспринимаемый арматурным каркасом, расположенным в шве замоноличивания между бортовым элементом и плитой первой грани складки.
В каждом продольном ребре плиты первой грани складки максимальную величину поперечной силы определяют по формулам:
у первой диафрагмы от края

(4.76)
у второй диафрагмы от края

(4.77)
где M03 - изгибающий момент над второй от края диафрагмой, воспринимаемый арматурным каркасом, расположенным в шве между бортовым элементом и плитой первой грани складки или между плитами первой и второй граней складки.
Поперечные силы
Q01,
Q03, воспринимаемые каждым продольным ребром плиты второй грани складки, определяют по
формулам (4.76),
(4.77) с заменой

на

.
4.81. При расчете разрезных складок покрытий принимаем, что армирование полки и поперечных ребер плит подобрано в соответствии с эксплуатационными нагрузками, действующими после замоноличивания швов. В складках покрытий без фонарей следует определять изгибающие моменты в пролетах продольных ребер первой и второй граней складки. В остальных гранях складки (в средней части покрытия) армирование продольных ребер плит определяется из расчета по стадиям изготовления, транспортирования и возведения. В покрытиях зданий с фонарями, а также в покрытиях по фонарям следует определить изгибающие моменты в продольных ребрах всех плит.
4.82. При расчете по схеме разрушения, приведенной на
рис. 4.26,
а, изгибающий момент
M13 в крайнем продольном ребре первой грани складки определяют по формуле
Величины, входящие в выражение (4.78), находят по формулам:
работу внешней нагрузки T

(4.79)
объем пирамиды вертикальных перемещений


(4.80)
4.83. При расчете по схеме разрушения, приведенной на
рис. 4.26,
в, изгибающий момент
M13, приходящийся на три продольных ребра двух плит, определяют по формуле

(4.81)
Величины, входящие в выражение (4.81), определяют по формулам:
работу внешней нагрузки T

(4.82)
объем пирамиды вертикальных перемещений


(4.83)
p2,

,
r,
Mн,
v2,

,
cн - определяют по
пп. 4.76,
4.77 настоящего Руководства.
4.84. При расчете по схеме разрушения, приведенной на
рис. 4.26,
г, изгибающий момент
M13, приходящийся на два смежных продольных ребра плит, определяют по формуле

(4.84)
Величины, входящие в выражение (4.84), определяют по формулам:
работу внешней нагрузки T

(4.85)
объем пирамиды вертикальных перемещений


(4.86)
вертикальное перемещение v3 линии излома 1-3

(4.87)
A - определяют по
формуле (4.38) для второй грани складки (в первой грани
A = 0 из-за близкого расположения линий излома
1-4 и
3-4 с линиями излома по наклонным сечениям, в результате чего реализуются только усилия
Mн в наклонных сечениях грани);

,

- углы наклона, определяемые согласно
п. 4.78 настоящего Руководства.
4.85. Максимальную величину поперечной силы в продольных ребрах первой и второй граней разрезных складок определяют по
формуле (4.73), справедливой для средних пролетов.
Расчет на сдвигающие усилия
4.86. Максимальные сдвигающие усилия
S1 и
S2 (
рис. 4.26,
в,
г), действующие справа и слева на диафрагму в плоскости первой грани складки, составляют сдвигающее усилие
S, воспринимаемое бетонными шинами верхнего пояса диафрагм неразрезных складчатых покрытий. В разрезных складчатых покрытиях сдвигающее усилие воспринимается стальными упорами, приваренными к закладным деталям опорных узлов диафрагм, а в покрытиях с фонарями - бетоном замоноличивания в узле опирания плит и стойки рамы фонаря на диафрагму.
Проверку наклонных сечений первой грани складки на действие сдвигающих усилий производят так же, как балок на действие поперечной силы.
Максимальную величину сдвигающего усилия S определяют:
а) передающегося гранью покрытия на диафрагмы разрезных и неразрезных складок (кроме первой и второй от края или температурного шва в неразрезных складках) по формуле

(4.88)
б) передающегося первой гранью покрытия на вторую от края или температурного шва диафрагму в неразрезных складках - по формуле

(4.89)
в) передающегося на первую от края или температурного шва диафрагму:
в неразрезных складках - по формуле

(4.90)
в разрезных складках - по формуле

(4.91)
4.87. Сдвигающие усилия
S1 или
S2 в разрезных складчатых покрытиях передаются на диафрагму в точках приварки продольных ребер плиты. В рассматриваемых покрытиях плиты рекомендуется приваривать с четырех сторон, поэтому на одно продольное ребро приходится 0,5
S1 или 0,5
S2. На эту величину сдвигающей силы следует рассчитывать сварные швы, крепящие все плиты к диафрагмам. У краев покрытия и у температурных швов, где ось первой диафрагмы смещена на 500 мм, сдвигающее усилие
S1 передается на одно продольное ребро. Несущую способность продольного ребра на скалывание следует определять согласно "
Руководству по расчету статически неопределимых железобетонных конструкций" по формуле
P = kRрh0d, (4.92)
где k - коэффициент, принимаемый для тяжелых бетонов равным 1, для бетонов на пористых заполнителях - 0,8;
d - среднее арифметическое между периметрами оснований пирамиды, образующейся при продавливании.
При P < S1 необходимы конструктивные мероприятия в виде устройства связи между плитами первой и второй граней складки по верху торцевых ребер, что позволяет часть S1 передать на плиту второй грани покрытия.
4.88. В стадии эксплуатации на диафрагмы от складки передается нагрузка в виде нормальных и сдвигающих усилий. Допускается вести расчет диафрагм на вертикальные нагрузки, собираемые с грузовых площадей, приходящихся на соответствующие узлы.
Статический расчет диафрагм производится с учетом жесткости узлов как многократно статически неопределимой системы. Допускается вести расчет диафрагм как шарнирно-стержневой системы с учетом изгибающих моментов, возникающих от нарушения центрации узлов.
При проектировании диафрагм рекомендуется пользоваться "Руководством по расчету и конструированию железобетонных ферм покрытий" (Госстрой СССР, М., 1971).
1.
Абовский В.П. Опыт строительства покрытий из цилиндрических и гиперболических оболочек. - В кн.: Большепролетные оболочки. М., Стройиздат, 1969.
2.
Бовин В.А. Пособие по расчету цилиндрических оболочек. Киев, Будiвельник, 1967.
3.
Васильев А.П., Чиненков Ю.В. Пространственные конструкции в СССР. - Бетон и железобетон, 1966, N 8.
4.
Васильков Б.С. Расчет оболочек с несимметричным контуром. М., Госстройиздат, 1962.
5.
Власов В.З. Новый метод расчета тонкостенных призматических складчатых покрытий и оболочек. М., Госстройиздат, 1933.
6.
Власов В.З. Тонкостенные пространственные системы. М., Госстройиздат, 1958.
7.
Глуховской К.А. Технология возведения сборных железобетонных оболочек. Л., Стройиздат, 1974.
8.
Горенштейн Б.В. Формулы и графики для усилий в цилиндрических оболочках и диафрагмах. - Строит. механика и расчет сооружений, 1964, N 1.
9.
Горенштейн Б.В., Чиненков Ю.В., Гутовский Э.В. и др. Из опыта применения сборных предварительно напряженных железобетонных длинных цилиндрических оболочек. - Промышленное строительство, 1963, N 4.
10.
Жемочкина В.Д., Микшис М.М. Таблицы для расчета средней длины цилиндрических круговых и призматических оболочек, опертых по всему контуру. М., Стройиздат, 1967.
11.
Жив А.С. Сборные цилиндрические оболочки из ячеистого бетона. - Бетон и железобетон, 1965, N 3.
12.
Кан С.Н., Каплан Ю.И. Расчет цилиндрических оболочек покрытий зданий. Киев, Вища школа, 1973.
13.
Катруца Ю.А., Стаковиченко Б.И. Натурное испытание фрагмента короткой цилиндрической оболочки складчатого типа. - В кн.: Строительные конструкции, Киев, Будiвельник, 1972, вып. 9.
14.
Краснобаев В.В., Либерман А.Д., Стаковиченко Е.И. Работа ребристой железобетонной складки фонарного покрытия. - Промышленное строительство и инженерные сооружения, 1977, N 1.
15.
Лаул Х.Х. Применение метода Кастильяно-Ритца к расчету длинных цилиндрических оболочек. Труды/Таллинский политехнич. ин-т, сер. А, 1949, N 33.
16.
Лаул Х.Х. Цилиндрические железобетонные оболочки с трещинами в растянутой зоне. Цилиндрические железобетонные оболочки с предварительно напряженной арматурой. Труды/Таллинский политехнич. ин-т, сер. А, 1953, N 45.
17.
Либерман А.Д., Стаковиченко Е.И., Катруца Ю.А. Испытание железобетонных коротких цилиндрических оболочек покрытий промышленных зданий на моделях. Киев, 1968.
18.
Либерман А.Д., Стаковиченко Е.И. Исследование короткой цилиндрической оболочки. - Бетон и железобетон, 1968, N 8.
19.
Милейковский И.Е. Расчет оболочек и складок методом перемещений. М., Госстройиздат, 1960.
20.
Милейковский И.Е. Расчет железобетонных цилиндрических сводов-оболочек. М., Госстройиздат, 1963.
21.
Мурашев В.И., Сигалов Э.Е., Байков В.Н. Железобетонные конструкции. М., Госстройиздат, 1962.
22.
Новиков В.С., Чиненков Ю.В. Анализ работы и схем разрушения сборных предварительно напряженных оболочек. - Строит. механика и расчет сооружений, 1965, N 2.
23. НИИЖБ. Инструкция по проектированию железобетонных тонкостенных пространственных покрытий и перекрытий/НИИЖБ, ЦНИИСК. М., Госстройиздат, 1961.
24.
Павлов А.П., Горенштейн Б.В., Виноградов Г.Г. и др. Опыт применения цилиндрических оболочек. - Бетон и железобетон, 1963, N 11.
25.
Пастернак П.Л., Антонов К.К., Дмитриев С.А. и др. Железобетонные конструкции: Специальный курс. М., Госстройиздат, 1961.
26.
Ржаницын А.Р. Исследования по упрощенным методам расчета (по материалам международного коллоквиума). - Строит. механика и расчет сооружений, 1963, N 3.
27.
Ржаницын А.Р. Расчет цилиндрических сводов-оболочек методом линейного программирования. - Строит. механика и расчет сооружений, 1966, N 4.
28.
Рил А., Беранек В., Боума А. Испытания моделей покрытий оболочек, изготовленных из армированного раствора. - В кн.: 2-й Международный конгресс по тонкостенным оболочкам-покрытиям. М., Госстройиздат, 1960.
29.
СНиП II-21-75. Строительные нормы и правила. Нормы проектирования. Бетонные и железобетонные конструкции. М., Стройиздат, 1976.
30. Стаковиченко Е.И., Янкелевич М.А. Оптимизация армирования ребристых железобетонных плит. - Строит. механика и расчет сооружений, 1974, N 3.
31.
Смирнова Е.М., Чиненков Ю.В. Работа железобетонных многоволновых цилиндрических оболочек покрытий в упругой стадии, после появления трещин и при разрушении. - Бетон и железобетон, 1969, N 11.
32. Тиммуск Я.М., Чиненков Ю.В. Влияние неразрезности и упругой податливости диафрагм на работу ребристых складок. - Строит. механика и расчет сооружений, 1967, N 4.
33. Чиненков Ю.В. Анализ практических методов расчета многоволновых цилиндрических оболочек. - Строит. механика и расчет сооружений, 1970, N 4.
34. Чиненков Ю.В. Расчет железобетонных цилиндрических оболочек по трещиностойкости, жесткости и прочности. - Строит. механика и расчет сооружений, 1969, N 4.
35.
Чиненков Ю.В., Жив А.С. Сборные цилиндрические оболочки с применением легкого и ячеистого бетонов. М., Госстройиздат, 1963.
5.1. Для круглых или полигональных (в плане) покрытий зданий и сооружений (спортивно-зрелищных и выставочных залов, планетариев, производственных помещений, резервуаров и др.) применяются тонкостенные купола.
Элементами куполов служат, как правило, осесимметричная оболочка вращения и растянутое опорное кольцо. При наличии фонарного проема в вершине купола устраивается сжатое фонарное кольцо, а также проемы и отверстия, расположенные на боковых участках купола (в том числе около контура).
Срединную поверхность оболочки рекомендуется принимать в виде поверхности вращения - конуса, сферы, параболоида, эллипсоида и др. (см.
рис. 1.1). Кроме того, оболочка может быть образована волнистыми и складчатыми элементами. В покрытиях находят применение также железобетонные сетчатые и многогранные купола.
5.2. Купола проектируются в виде пологих или подъемистых тонкостенных оболочек. Подъем куполов рекомендуется принимать не менее 1/10 диаметра опорного контура оболочки.
Опорное кольцо может лежать на сплошном основании, образованном стенами, или на отдельных колоннах.
5.3. Купольные покрытия могут проектироваться монолитными, сборно-монолитными или сборными. Монолитные купола рекомендуется предусматривать гладкими, а сборные - из ребристых цилиндрических или плоских панелей.
При проектировании куполов следует учитывать общие рекомендации
раздела 1 настоящего Руководства по конструированию и расчету.
5.4. На стадии предварительного проектирования толщину стенок гладких куполов рекомендуется принимать равной от
1/
800 до
1/
600 радиуса кривизны оболочки в вершине. Высота ребер сборных куполов-оболочек определяется, как правило, условиями изготовления, перевозки и монтажа элементов. Толщина оболочки и размеры сечения ребер должны быть не менее, чем это предусмотрено в
п. 1.23 настоящего Руководства.
5.5. Армирование гладких оболочек при толщине до 70 мм рекомендуется выполнять конструктивно, одиночной сеткой из стержней диаметром 4 - 6 мм, с шагом 150 - 200 мм. При большей толщине рекомендуется устанавливать две сетки.
В зоне примыкания оболочки к кольцу толщину оболочки увеличивают и устанавливают дополнительную сетку со стержнями диаметром 6 - 8 мм меридионального направления (
рис. 5.1,
а,
б). Количество стержней рассчитывается по максимальному меридиональному изгибающему моменту.
Рис. 5.1. Армирование монолитных и сборных железобетонных
куполов и их элементов
а - обычного опорного кольца купола;
б - предварительно-напряженного кольца купола; в - сборного
элемента (плиты); г - продольных ребер плиты; д - узла
сопряжения продольного ребра плиты
с предварительно-напряженным опорным кольцом; е - узла
сопряжения продольного ребра с верхним кольцом;
1 - продольное ребро; 2 - поперечное ребро; 3 - арматурная
сетка плиты; 4 - сварные каркасы поперечных ребер;
5 - сварной каркас продольного ребра; 6 - стальные закладные
детали в продольном ребре; 7 - стальные закладные детали
в элементах кольца; 8 - бетон омоноличивания напрягаемой
арматуры; 9 - предварительно-напряженная арматура кольца;
10 - шов замоноличивания; 11 - верхнее опорное кольцо;
12 - стальные соединительные накладки
В местах действия на купол сосредоточенных нагрузок, а также около отверстий и проемов предусматривается дополнительная конструктивная или расчетная арматура с учетом рекомендаций
п. 1.36 -
1.38 настоящего Руководства.
5.6. Распор купола воспринимается растянутым опорным кольцом, которое рекомендуется выполнять предварительно напряженным. Выбор величины обжатия и конструирование опорного кольца рекомендуется производить так, чтобы обеспечить трещиностойкость кольца или допустимую ширину раскрытия трещин согласно рекомендациям
пп. 1.17,
1.24 -
1.30 главы СНиП II-21-75.
При проектировании следует учитывать способ предварительного напряжения опорного кольца. Например, целесообразно предусматривать механическое натяжение пучков, канатов или стержней (рис. 5.2), располагаемых в прямолинейных или криволинейных пазах кольца и закрепляемых в одном, трех, четырех или шести его выступах в зависимости от диаметра кольца. Для стержневой арматуры может быть предусмотрено натяжение с применением электронагрева. Полигонально-кольцевую арматуру можно также натягивать оттяжкой с помощью радиально установленных домкратов.
Рис. 5.2. Предварительно-напряженное опорное кольцо купола
а - схема армирования; б - деталь анкерного узла;
1 - арматурные пучки или стержни; 2 - выступ; 3 - анкер;
4 - спирали
5.7. Для купольных покрытий диаметром не более 30 м при устройстве на уровне кольца купола горизонтального покрытия или перекрытия, опоясывающего купол по всему периметру, целесообразно передавать распор на это перекрытие. Перекрытие в этом случае проектируется с учетом передающихся на нее распора и изгибающих моментов.
5.8. Сборные купольные покрытия обычно имеют ортогональную сетку меридиональных и кольцевых ребер (рис. 5.3) или ромбическую сетку, если это оправдано архитектурными или технологическими соображениями (см.
рис. 1.3 настоящего Руководства).
Рис. 5.3. Сборный купол из плоских ребристых плит
а - общий вид; б - план; в - трапециевидная плоская плита;
1 - монолитное нижнее опорное кольцо; 2 - монолитное верхнее
опорное кольцо
5.9. Характер армирования ребер приведен на
рис. 5.1,
в. Если распределенная нагрузка является основной, то в средней зоне покрытия изгибающие моменты в ребрах плит, как правило, невелики, поэтому ребра армируются по расчету на монтажные нагрузки. В приконтурной зоне купола арматура ребер проверяется из условия восприятия краевых изгибающих моментов при расчетной нагрузке. Арматура меридиональных ребер заводится в опорное и фонарное кольца либо соединяется с ними закладными деталями (
рис. 5.1,
е).
5.10. Покрытия и перекрытия зданий и сооружений могут проектироваться из сопряженных купольных оболочек или в виде неполного купола. Например, средний фонарный проем купольного покрытия может быть перекрыт светопрозрачным куполом, опирающимся на верхнее бортовое кольцо основного купола. Другим примером сопряжения оболочек может служить пространственная конструкция покрытия [
11,
12] цирка в г. Фрунзе
(рис. 5.4), состоящая из двух складчатых усеченных конусов, сопряженных по большим основаниям кольцом диаметром 72 м. Примером покрытия в виде неполного купола может служить сферическая оболочка диаметром 60 м театра в г. Новосибирске, в результате отсечения части которой был образован сценический проем пролетом 20 м.
Рис. 5.4. Складчатый купол цирка в г. Фрунзе
а - разрез; б - план
5.11. Расчет куполов производится по двум предельным состояниям с учетом рекомендаций
раздела 1 настоящего Руководства. При этом определение усилий в элементах куполов допускается производить методами теории упругости [
7 -
10], изложенными в
пп. 5.12 -
5.21. По найденным усилиям расчет прочности сечений, жесткости и трещиностойкости железобетонных элементов производится согласно требованиям главы
СНиП II-21-75. Для случаев, предусмотренных
пп. 5.22,
5.26 и
5.27, расчет куполов по несущей способности производится методом предельного равновесия.
5.12. При проектировании куполов усилия можно определять по безмоментной теории с наложением усилий краевого эффекта. Безмоментное напряженное состояние упругой оболочки с вертикальной осью вращения может быть обеспечено лишь при следующих условиях:
а) плавных изменениях толщины стенок купола и радиуса кривизны меридиана, а также при нагрузках, действующих на оболочку;
б) свободных радиальных и угловых перемещениях краев оболочки, при этом направление меридиональных усилий должно быть по касательной к меридиану.
В этом случае краевые условия оболочки статически определимы. В противном случае напряженно-деформированное состояние купола должно определяться с учетом действия изгибающих моментов.
5.13. Краевые изгибающие моменты M0 и распор купола H0 вблизи кольца рекомендуется определять методом сил. Система канонических уравнений, выражающих совместность угловых и линейных перемещений купола и опорного кольца по линии их контакта, имеет вид:

(5.1)
где a11 - взаимный угол поворота от действия M0 = 1 в направлении этого момента в сечении вблизи кольца;
a12 - то же, от действия H0 = 1 в направлении момента;
a21 - взаимное перемещение от M0 = 1 в направлении H0;
a12 = a21 в силу взаимности перемещений;
a22 - взаимное перемещение от H0 = 1 в направлении H0;
a10 - взаимный угол поворота в том же сечении, вызванный внешней нагрузкой;
a20 - взаимное перемещение, вызванное внешней нагрузкой. При совпадении перемещения с направлением H оно считается положительным.
Если углы a12 и a10 совпадают по направлению с углом поворота a11, вызванным M0 = 1, то их принимают со знаком "плюс", если не совпадают - со знаком "минус". Такое же правило знаков принимается и для линейных перемещений. Перемещения a11 и a22 всегда положительны.
Формулы для определения этих коэффициентов и искомых усилий приведены в
пп. 5.15 -
5.18.
Определение усилий по безмоментной теории
5.14. При симметричной нагрузке в стенке купола действуют нормальные меридиональные
N1 и кольцевые
N2 усилия
(рис. 5.5). Усилие на единицу длины меридиана
N1 определяют из условия равновесия сегмента, отсеченного от купола конической поверхностью с углом раствора

:

(5.2)
где

- вертикальная равнодействующая внешней нагрузки на часть оболочки выше рассматриваемого сечения.
Рис. 5.5. Оболочка вращения
а - геометрия; б - схема усилий; 1 - ось вращения;
2 - параллель; 3 - меридиан; 4 - краевой параллельный круг
Распор купола H определяют как горизонтальную проекцию N1

(5.3)
где

-
1/
2 центрального угла дуги оболочки в меридиональном направлении.
Растягивающее усилие N0 в кольце определяют по формуле

(5.4)
оно должно быть целиком воспринято кольцевой арматурой.
Кольцевое усилие Nфон в фонарном кольце определяют по формуле

(5.5)
где p - нагрузка на 1 м фонарного кольца.
Индексы "0" и "ф" в
формулах (5.3) -
(5.5) указывают на то, что все переменные величины, входящие в эти формулы, относятся соответственно к широте опорного или фонарного кольца оболочки. Величину кольцевого усилия
N2 определяют по формуле

(5.6)
где z - нормальная к поверхности купола в рассматриваемом сечении составляющая внешней нагрузки на единицу площади поверхности.
Для сферической оболочки при R1 = R2 = R
N1 + N2 = zR; (5.7)

(5.8)
pz - вертикальная составляющая внешней нагрузки.
Для конической оболочки

;

.
В табл. 5.1 приведены формулы для определения усилий N1, N2 и N0 при некоторых видах симметричного загружения в сферических и конических куполах.
Таблица 5.1
Нагрузка q, p, т/м2 | N1 | N2 | N0 | | Примечание |
Замкнутая сферическая оболочка |
От собственного веса оболочки: | | | | | |
при постоянной толщине | | | | | При  N2 = 0 |
при толщине, изменяющейся по закону | | | | | Нагрузка от веса оболочки на единицу площади в пяте q0 в ключе q1 |
Равномерно распределенная на горизонтальной проекции | | | | - | При  N2 = 0 |
Постоянное давление жидкости или газа p | | | | - | Знак (+) относится к внутреннему давлению, знак (-) к наружному |
Незамкнутая сферическая оболочка |
От собственного веса оболочки при ее постоянной толщине | | | | | - |
Равномерно распределенная на горизонтальной проекции | | | | - | - |
Вертикальная pк на малом контуре, т/м | | | | | - |
Коническая оболочка |
От собственного веса оболочки | | | | - | |
Равномерно распределенная q нагрузка на горизонтальной проекции | | | | - | |
Расчет деформаций куполов
при безмоментном напряженном состоянии
5.15. Безмоментное напряженное состояние вызывает изменение радиуса параллелей срединной поверхности без изменения формы окружностей, а также изменение длины меридианов (рис. 5.6 и
5.7).
Рис. 5.6. К определению деформаций в оболочках
от безмоментного напряженного состояния
Рис. 5.7. Расчетная схема узла сопряжения
опорного кольца и оболочки купола
Вследствие изменения длины меридиана (при абсолютно жесткой оболочке в кольцевом направлении) угол поворота

в меридиональной плоскости определяется по формуле

(5.9)
где

- линейная меридиональная деформация отрезка образующей, определяемая по формуле

(5.10)
В предположении абсолютно жесткой оболочки в меридиональном направлении и при деформации ее только в кольцевом направлении угол поворота меридиана

в своей плоскости определяется по формуле

(5.11)
где

- относительное кольцевое удлинение, определяемое по формуле

(5.12)
В
формуле (5.11) знак "-" означает, что направление отсчета угла

противоположно направлению отсчета угла

;

- производная по длине меридиана.
Суммарный угол поворота

находят по формуле

(5.13)

(5.14)
где D - изгибная жесткость меридиональной полосы единичной ширины купола;
A4 - коэффициент, равный

. Для гладких куполов
.
Линейное перемещение

в плоскости, перпендикулярной оси вращения оболочки, определяется по формуле

(5.15)

(5.16)
5.16. Перемещения сферической оболочки a10 и a20 определяют по формулам:
а) при нагрузке от собственного веса

(5.17)

(5.18)
б) при равномерно распределенной нагрузке
p0 на горизонтальную проекцию (по поверхности оболочки распределяется по закону косинуса

)

(5.19)

(5.20)
5.17. Для конической оболочки перемещения a10 и a20 определяют по формулам:
а) для нагрузки q от собственного веса оболочки

(5.21)

(5.22)
б) для равномерно распределенной нагрузки q на горизонтальную проекцию оболочки

(5.23)

(5.24)
Определение краевого эффекта
по приближенной моментной теории
5.18. При воздействии распора
H0 в опорном кольце возникают моменты
H0e (см.
рис. 5.7), которые вызывают поворот кольца на угол

, который определяется по формуле

(5.25)
Рис. 5.8. Перемещения края оболочки,
вызванные радиальным распором H0
Перемещения края оболочки, вызванные радиальным распором H0, приведены на рис. 5.8.
Коэффициенты уравнения метода сил
a11,
a12,
a22, т.е. перемещения краев любых непологих оболочек от неизвестных
M0 и
H0 (рис. 5.9), интенсивность которых равна единице, определяются по следующим формулам, полученным на основе моментной теории:

(5.26)

(5.27)

(5.28)
Рис. 5.9. Момент и распор при взаимодействии оболочки
и опорного кольца купола
а - момент; б - распор
Подставив в
уравнения (5.1) значения величин, вычисленных по
формулам (5.26) -
(5.28), из решения последних находят искомые
M0 и
H0. Моменты

и кольцевое усилие

по длине меридиана оболочки в зависимости от краевых значений моментов
M0 и
H0 определяют по формулам, полученным на основе теории балки на упругом основании:

(5.29)

(5.30)

и

- функции, значения которых приведены в
табл. 5.2;
N2 - кольцевое усилие в безмоментной оболочке;

,

- соответственно интенсивности момента и кольцевого усилия в произвольной точке купола
.
| | | | | |
0 | 1 | 0 | 1,6 | -0,0059 | 0,2018 |
0,1 | 0,9004 | 0,0903 | 1,7 | -0,0236 | 0,1812 |
0,2 | 0,8024 | 0,1627 | 1,8 | -0,0376 | 0,161 |
0,3 | 0,7078 | 0,2189 | 1,9 | -0,0484 | 0,1415 |
0,4 | 0,6174 | 0,261 | 2 | -0,0564 | 0,1231 |
0,5 | 0,5323 | 0,2908 | 2,1 | -0,0618 | 0,1057 |
0,6 | 0,453 | 0,3099 | 2,2 | -0,0652 | 0,0896 |
0,7 | 0,3798 | 0,3199 | 2,3 | -0,0668 | 0,0748 |
0,8 | 0,313 | 0,3223 | 2,4 | -0,0669 | 0,0613 |
0,9 | 0,2528 | 0,3185 | 2,5 | -0,0658 | 0,0491 |
1 | 0,1988 | 0,3096 | 2,6 | -0,0636 | 0,0383 |
1,1 | 0,151 | 0,267 | 2,7 | -0,0608 | 0,0287 |
1,2 | 0,1092 | 0,2807 | 2,8 | -0,0573 | 0,0204 |
1,3 | 0,0729 | 0,2626 | 2,9 | -0,0535 | 0,0133 |
1,4 | 0,0419 | 0,0243 | 3 | -0,0493 | 0,00703 |
1,5 | 0,0158 | 0,2226 | | | |
Величину

определяют по формуле

(5.31)
Отсчет длины дуги
S или величины

ведется от края, к которому приложены
M0 и
H0.
Расчет сферического купола на несимметричную нагрузку
5.19. При одностороннем загружении купола нагрузкой
q ее распределение по поверхности
z допускается определять по формуле

(5.32)
где q - нагрузка на единицу площади горизонтальной проекции;

-
1/
2 центрального угла в меридиональном направлении;

- центральный угол в кольцевом направлении.
Нормальные усилия N1, N2 определяют по формулам:

(5.33)

(5.34)
Сдвигающие усилия S определяют по формуле

(5.35)
5.20. Изложенные в
пп. 5.11 -
5.19 рекомендации относятся к расчету гладких куполов. Ребристые купола следует рассчитывать методом конечных элементов при помощи ЭВМ, например, по программе, приведенной в
прил. 1 к настоящему Руководству.
5.21. Круглые в плане покрытия, образуемые складчатыми или волнистыми элементами, не имеющими диафрагм, допускается рассчитывать на вертикальные осесимметричные нагрузки, используя схему в виде плоской рамы.
Особенности расчета таких конструкций рассмотрим на примере решения покрытия цирка (см.
рис. 5.4). Покрытие состоит из двух складчатых конусов, верхнего и нижнего сжатых колец, среднего растянутого кольца, стоек, опирающихся на нижнее кольцо и поддерживающих складки верхнего конуса. Расчетная схема этого покрытия на воздействие указанных нагрузок приведена на рис. 5.10. Податливость растянутого кольца учитывается коэффициентом при лишнем неизвестном, заменяющим реакцию отпора кольца (рис. 5.10,
в).
Рис. 5.10. К расчету покрытия цирка (г. Фрунзе)
на воздействие вертикальных осесимметричных нагрузок
а - схема покрытия и нагрузки; б - расчетная схема;
в - основная система
Система канонических уравнений имеет вид

(5.36)
где
n - количество лишних неизвестных (число уравнений), для схемы, приведенной на
рис. 5.10,
в, равное 3;
k - номер неизвестного у растянутого кольца;
cк - коэффициент податливости растянутого кольца, определяемый по формуле
| | ИС МЕГАНОРМ: примечание. Формула дана в соответствии с официальным текстом документа. | |

(5.37)
где E - модуль упругости материала кольца;
Fк - площадь поперечного сечения кольца;
m - количество рам для расчета покрытия на вертикальную нагрузку;
Rк - расчетный радиус кольца.
После решения системы уравнений определяют внутренние усилия и производят подбор сечений всех элементов конструкции.
Расчет несущей способности куполов по методу
предельного равновесия
5.22. Расчет несущей способности железобетонных куполов по методу предельного равновесия при соблюдении общих положений
Руководства по расчету статически неопределимых железобетонных конструкций
[8] рекомендуется производить согласно
пп. 5.24 -
5.27 при условии, что:
а) осесимметричная нагрузка интенсивностью q равномерно распределена по горизонтальной проекции купола;
б) форма купола - сферическая;
в) отношение диаметра контура к стреле подъема не превышает 10;
г) арматура состоит из меридиональных и кольцевых стержней, образующих верхнюю и нижнюю сетки;
д) оболочка вращения опирается по всему периметру (если опорное кольцо опирается в отдельных точках, в нем должна быть уложена дополнительная арматура, необходимая для восприятия вертикальных составляющих усилий на контуре);
е) исчерпание несущей способности купола происходит вследствие текучести арматуры, что обеспечивается при выполнении
условия (5.39).
5.23. Схема разрушения купола принимается в виде системы сквозных меридиональных трещин, начинающихся у растянутого контура и соединенных по концам раскрывающимися вниз кольцевыми пластическими шарнирами
(рис. 5.11). Эта схема, приведенная в работе
[2], является единственно возможной формой обращения купола в пространственный механизм в случае, когда найденные по безмоментной теории усилия нигде кроме наружного контурного кольца не являются растягивающими. При равномерно распределенной по горизонтальной проекции нагрузке они будут иметь место при условии, что поверхность купола коническая, сферическая с центральным углом, не превышающим 90°, либо она образована вращением квадратной или кубической параболы, а также гиперболы и цепной линии. Для сферических куполов в рассматриваемых условиях при

область реализации данной схемы излома может быть принята для значений 2
r0/
f => 3,5 (
r0 - радиус опорного кольца).
Рис. 5.11. К расчету купола по предельному равновесию
а - поперечное сечение; б - схема разрушения
5.24. Для сферических куполов-оболочек при постоянных предельных моменте и усилии в кольцевых стержнях стенки, приходящихся на единицу длины меридиана для значений

и

, интенсивность равномерно распределенной горизонтальной проекции купола нагрузки можно определить из зависимости, приведенной в работе
[2]

(5.38)
где

- безразмерный коэффициент, зависящий от пологости

и отношения

;
m - момент (на единицу длины) предельных усилий в меридиональной арматуре относительно оси
0-0 (рис. 5.12), проходящей через центр тяжести сжатой зоны бетона, определяемый по формуле

(5.39)
здесь Fа.м - площадь сечения меридиональной арматуры нижней сетки на единицу длины кольцевого направления;
h0 - рабочая высота сечения;
x - высота сжатой зоны бетона, определяемая последовательным приближением с соблюдением
условия (5.42).
Рис. 5.12. Схема усилий в куполе в предельном состоянии
Предельное усилие на единицу длины в кольцевых стержнях поля оболочки n определяется по формуле
n = (
Fа.к +
F'а.к)
Rа, (5.40)
здесь Fа.к и F'а.к - площадь сечения кольцевой арматуры соответственно нижней и верхней сеток на единицу длины радиального направления;
k - безразмерный коэффициент, зависящий от пологости 2r0/f.
Предельное усилие в опорном кольце nк определяется по формуле
где Fа0 - площадь сечения кольцевых стержней опорного кольца.
Графики для определения коэффициентов

и
k, приведенные в работе
[4], представлены на рис. 5.13, при этом для значений 3,5 <= 2
r0/
f < 5 необходимо в соответствии с работой
[3] соблюдать условие

.
Рис. 5.13. Графики для определения коэффициентов
, k, 
Формулой (5.38) можно пользоваться и для подбора арматуры опорного кольца, если задана интенсивность нагрузки и назначено армирование стенки купола.
5.25. Во избежание преждевременного разрушения бетона в сжатой зоне кольцевого пластического шарнира до достижения в растянутой арматуре напряжения, равного расчетному сопротивлению Rа, необходимо, чтобы выполнялось условие

(5.42)
где

- относительная высота сжатой зоны бетона;
| | ИС МЕГАНОРМ: примечание. В официальном тексте документа, видимо, допущена опечатка: формула (5.30) в СНиП II-21-75 отсутствует. Возможно, имеется в виду формула (30) СНиП II-21-75. | |

- граничное значение относительной высоты сжатой зоны бетона, определяемое по
формуле (5.30) главы СНиП II-21-75.
Требуемую для определения
x величину нормальной силы
N (рис. 5.12) находят по формуле

(5.43)
где
r - радиус пластического шарнира, определяемый по формуле

;
rс - радиус сферы;

- угол наклона силы
N;

- угол наклона касательной к меридиану на опоре.
| | ИС МЕГАНОРМ: примечание. В официальном тексте документа, видимо, допущена опечатка: пункт [34] в Списке литературы к разделу 5 отсутствует. | |
Графики [34] для определения значений

представлены на
рис. 5.12, при этом для значений

определяют

с учетом отношения
nк/
n.
5.26. Несущую способность куполов с образующей, очерченной по параболе первой, второй и третьей степени, гиперболе и цепной линии, можно рассчитывать по формулам и графикам, приведенным в работе
[3]. При отсутствии в стенках купола кольцевой арматуры, когда вся кольцевая арматура сосредоточена в опорном кольце (например, в случае применения сборных куполов из секториальных панелей), расчет покрытия удобно производить по рекомендациям, приведенным в работе
[7].
5.27. Для оценки несущей способности осесимметричных оболочек вращения, закрепленных по внутреннему и наружному краям, можно пользоваться уравнениями, приведенными в работе
[5], на основе которых составлены алгоритмы и программы
[6].
1. Ахвледиани Н.В. Расчет железобетонных куполов по методу предельного равновесия. - В кн.: Исследования по теории сооружений. М., Госстройиздат, 1961, вып. 10.
2.
Ахвледиани Н.В. К расчету несущей способности сборных железобетонных куполов. Строит. механика и расчет сооружений, 1961, N 5.
3.
Ахвледиани Н.В., Сехниашвили М.Л. К расчету несущей способности пологого сферического железобетонного купола. Труды/ИСМиС АН ГССР, Тбилиси, Мецниереба, 1963, т. 9.
4.
Ахвледиани Н.В., Инцкирвели Д.А. Исследование несущей способности армированных арок и оболочек на основе четырехпараметровой схемы излома с использованием ЭВМ. Сообщения/АН ГССР, 1969, т. 54, N 1.
5.
Ахвледиани Н.В. Предельное равновесие армированных оболочек на жестко-пластическом основании. Доклады/АН ГССР, 1970, т. 193, N 4.
6.
Ахвледиани Н.В., Даниелашвили М.А. Упрощенные формулы и графики для расчета несущей способности железобетонных куполов. - В кн.: Строит. механика пространственных конструкций. Тбилиси, Мецниереба, 1976.
7.
Железобетонные конструкции
: Специальный курс/Под редакцией Байкова В.Н., М., Стройиздат, 1974.
8.
НИИЖБ.
Руководство по расчету статически неопределимых железобетонных конструкций. М., Стройиздат, 1975.
9. Новожилов В.В. Теория тонкостенных оболочек. Л., Судпромиздат, 1951.
10.
Пастернак П.Л., Антонов К.К., Дмитриев С.А. и др. Железобетонные конструкции: Специальный курс. М., Госстройиздат, 1961.
11.
Хайдуков Г.К., Леонтьев Д.И., Пятикрестовский К.П. Проектирование, строительство и исследования сейсмостойкости складчатого пространственного покрытия цирка в г. Фрунзе. - В кн.: Совершенствование методов расчета и конструирования зданий и сооружений, возводимых в сейсмических районах. М., 1976.
12.
Шугаев В.В., Пятикрестовский К.П., Базаров А.А. Исследование складчатого пространственного покрытия на моделях. - В кн.: Пространственные конструкции зданий и сооружений. М., Стройиздат, 1977, вып. 3.
6. ПОЛОГИЕ ОБОЛОЧКИ ПОЛОЖИТЕЛЬНОЙ ГАУССОВОЙ КРИВИЗНЫ
НА ПРЯМОУГОЛЬНОМ ПЛАНЕ
6.1. Пологими считаются оболочки, имеющие небольшой подъем над опорным планом при
f1 <= a/5 и f2 <= b/5,
где 2a и 2b - размеры стороны оболочки в плане;
f1 и f2 - стрелы подъема оболочки на контуре (рис. 6.1).
Рис. 6.1. Схема оболочки положительной гауссовой кривизны
6.2. Тип срединной поверхности характеризует форму оболочки. В качестве срединной рекомендуется принимать поверхность переноса или вращения. Образующими для всех поверхностей в практике проектирования обычно принимаются круговые кривые. Допускается также применение таких поверхностей, как эллиптический параболоид, эллипсоид вращения, тор и др.
Для сборных оболочек тип поверхности определяется схемой разрезки, возможностями унификации и удобством изготовления сборных элементов, а также условиями возведения оболочек.
Для сборных оболочек в качестве срединной рекомендуется принимать часть тороидальной поверхности, имеющей положительную кривизну. Членение оболочек на плиты осуществляется системой радиальных секущих плоскостей, проходящих через ось вращения, и системой вертикальных плоскостей, перпендикулярных этой оси (рис. 6.2). При таком членении полосы между равноотстоящими радиальными секущими плоскостями внутри оболочки являются равновеликими, что позволяет сократить количество типоразмеров сборных плит.
Рис. 6.2. Схема членения исходной поверхности оболочки
на сборные элементы
1 - элемент членения; 2 - вертикальные секущие плоскости;
3 - ось вращения радиальных секущих плоскостей;
4 - радиальные секущие плоскости
6.3. Оболочки по контуру опираются на диафрагмы, которые выполняются в виде арок, ферм или балок, а также криволинейных брусьев, уложенных на стены. Контурные балки рекомендуется применять в отдельно стоящих оболочках при колоннах, часто расположенных по периметру здания, а также устанавливать по наружным рядам колонн многоволновых оболочек, когда не намечается расширения корпуса в соответствующем направлении. В остальных случаях (по средним рядам и деформационным швам) рекомендуется устанавливать фермы или арки. Применение ферм как более жестких в вертикальной плоскости элементов имеет преимущество перед арками, так как обеспечивает более благоприятную в статическом отношении работу оболочек на смежных диафрагмах.
6.4. В зависимости от количества и расположения ячеек здания оболочки могут проектироваться отдельно стоящими (одноволновыми) и многоволновыми в одном и двух направлениях (см.
п. 1.4 настоящего Руководства). Многоволновые оболочки могут проектироваться разрезными и неразрезными. К разрезным многоволновым оболочкам относятся такие, в которых с помощью специальных конструктивных мер обеспечивается возможность горизонтальной податливости контура не только крайних, но и средних волн оболочек (см.
п. 6.19 настоящего Руководства).
В неразрезных оболочках приконтурные зоны соседних конструкций жестко соединяются между собой и с диафрагмами (см.
п. 6.18 настоящего Руководства).
6.5. Сборные многоволновые оболочки рекомендуется, как правило, проектировать разрезными. К разрезным следует относить оболочки, осуществляемые по типу тангенциально-подвижных, расчетная схема которых близка к отдельно стоящим, что является благоприятным в статическом отношении (см.
п. 6.19 настоящего Руководства). Такое сопряжение принято для типовых сборно-монолитных железобетонных оболочек положительной гауссовой кривизны
(рис. 6.3) - см. [
33, глава 2.8].
Рис. 6.3. Сборная оболочка
из цилиндрических ребристых панелей
а - общий вид; б - узлы сопряжения элементов; в - сборная
цилиндрическая панель; г - узел крепления подвески путей
подвесных кранов; 1 - средние плиты; 2 - то же, контурные;
3 - то же, доборные; 4 - контурные фермы; 5 - стальные
упоры; 6 - соединительные накладки
Неразрезные оболочки являются более жесткими, чем другие типы конструктивных решений, но требуют большего расхода стали для обеспечения неразрезности. Их рекомендуется применять при нагрузках на покрытие, превышающих 600 кгс/м2, а также в районах с сейсмичностью 7 баллов и более. Монолитные многоволновые оболочки рекомендуется проектировать неразрезными.
6.6. В оболочках допускается устройство зенитных или светоаэрационных фонарей, располагаемых в средней зоне.
6.7. На оболочки допускается передавать нагрузки от подвесных кранов или тельферов, пути которых крепятся к оболочкам на специальных подвесках.
6.8. Пологие оболочки могут быть гладкими и ребристыми. Толщина и армирование средней зоны гладких оболочек, где действуют только сжимающие усилия, назначаются конструктивно. Принятую толщину оболочки следует проверять расчетом на устойчивость по формулам, приведенным в
прил. 6 настоящего Руководства.
6.9. Минимальный диаметр применяемой арматуры принимается 3 мм. В пределах одного арматурного изделия (сетка, каркас) рекомендуется принимать не более 2 - 3 различных диаметров арматуры.
6.10. В ребристых сборных оболочках толщина поля панелей средней зоны определяется технологическими возможностями производства и проверяется расчетом по формулам
п. 6.57 настоящего Руководства на заданную величину расчетной нагрузки.
6.11. Плиту в приконтурных и угловых зонах оболочки рекомендуется утолщать с целью размещения дополнительной арматуры и восприятия действующих усилий, увеличенных по сравнению с центральной зоной.
Утолщение оболочки вдоль контура целесообразно выполнять на всей ширине действия приконтурных изгибающих моментов, равной

(рис. 6.4), с плавным переходом к постоянной толщине за зоной действия изгибающих моментов.
Рис. 6.4. Зоны напряженного состояния пологих
оболочек при сплошных равномерно распределенных
и обратно симметричных нагрузках
а - зоны напряженного состояния при сплошной равномерно
распределенной нагрузке (квадратной и прямоугольной в плане
оболочек); б - график для определения ширины приопорной
зоны, в пределах которой на нижней грани возникают
растягивающие напряжения; 1 - зона сжимающих напряжений;
2 - зона, в пределах которой на нижней грани возникают
растягивающие напряжения; 3 - кривая при сплошной равномерно
распределенной нагрузке для квадратной в плане оболочки

;
4 - кривая при обратно симметричной нагрузке

;
5 - кривая при сплошной равномерно
распределенной нагрузке для прямоугольной в плане оболочки
Толщина оболочки в угловой зоне выбирается по расчету при соблюдении условия

,

или по конструктивным соображениям с тем, чтобы обеспечить размещение необходимого количества арматуры с учетом двух защитных слоев.
6.12. В приконтурных участках оболочки, в зоне действия изгибающих моментов, укладывается дополнительная арматура. Если эта арматура воспринимает положительные моменты, то она располагается в нижней зоне плиты (рис. 6.5). Основная сетка располагается при этом в верхней зоне и в случае применения неразрезных конструкций проверяется на восприятие отрицательных моментов, возникающих при защемлении плиты на промежуточных диафрагмах. Для восприятия растягивающих усилий, действующих параллельно контуру, у нижней грани оболочки на приопорных участках укладывается расчетная или конструктивная арматура.
Рис. 6.5. Схема армирования пологих оболочек
1 - конструктивная арматура в зоне сжимающих напряжений;
2 - то же, в зоне действия моментов; 3 - рабочая арматура
в зоне действия моментов; 4 - то же, для восприятия главных
растягивающих напряжений в виде косых стержней или сеток;
5 - зона утолщения оболочки; 6 - эпюра главных
растягивающих напряжений
6.13. Для восприятия главных растягивающих напряжений, действующих в угловых зонах, рекомендуется к основной арматуре добавлять косую, перпендикулярную диагонали плана
(рис. 6.5). В оболочках пролетом более 40 м эту арматуру рекомендуется выполнять предварительно-напряженной. Вблизи углов оболочки эту арматуру рекомендуется заменять обычной, так как при коротких стержнях трудно обеспечить и проконтролировать необходимую степень натяжения напрягаемой арматуры.
Арматуру для восприятия главных растягивающих напряжений рекомендуется проектировать двойной. Она может выполняться в виде отдельных стержней или сеток.
6.14. Сборные оболочки имеют конструктивные особенности, которые во многом определяются формой и параметрами элементов, а также способами их соединения (см.
пп. 1.22 -
1.34 настоящего Руководства).
Габариты плит определяются требованиями обеспечения их экономичности по расходу материалов, унификации, технологичности изготовления, выбранного способа монтажа. По форме поверхности плиты могут быть плоскими, цилиндрическими или двойной кривизны. Для оболочек рекомендуется применять цилиндрические плиты, так как плиты двойной кривизны сложны в изготовлении, а плоские требуют повышенного расхода материалов.
При плоских плитах реальная поверхность представляет собой многогранник. Если радиус цилиндрической плиты совпадает с одним из радиусов исходной поверхности, то при использовании цилиндрических плит реальная поверхность получается плавной в одном направлении и граненой - в другом.
В отечественной практике наибольшее применение нашли плоские плиты размером 3 x 3 м (рис. 6.6) и цилиндрические размером 3 x 6 (
рис. 6.3,
в) или 3 x 12 м.
Рис. 6.6. Сборная оболочка из плоских ребристых панелей
1 - сборная плита; 2 - железобетонная ферма-диафрагма
6.15. Плиты рекомендуется проектировать с контурными и промежуточными ребрами. В плитах размером 3 x 6 м рекомендуется принимать одно, а в плитах размером 3 x 12 м - два или три поперечных ребра.
Применяемая система ребер должна обеспечить прочность и жесткость плит в стадии транспортирования и монтажа, прочность и устойчивость оболочки в стадии эксплуатации, возможность устройства проемов для светоаэрационных устройств и подвесок для крановых путей.
Для удобства изготовления рекомендуется, как правило, назначать одинаковую высоту продольных и поперечных ребер. По внешним боковым граням ребер плит предусматриваются пазы для образования шпонок, воспринимающих после замоноличивания швов сдвигающие и перерезывающие усилия. Плиты рекомендуется армировать сварными сетками и каркасами. Арматура полки панелей должна быть надежно заделана приваркой поперечных стержней по контуру в пределах ребер. В местах сопряжения полки с ребром рекомендуется устраивать вуты.
6.16. Толщина оболочки в угловых зонах обычно увеличивается (см.
п. 6.11 настоящего Руководства). Однако для сборных оболочек введение нового типоразмера плит с утолщенной полкой и усиленным армированием часто оказывается экономически нецелесообразным. В этом случае утолщение плиты оболочки рекомендуется выполнять с помощью набетонки монолитного железобетона, укладываемого поверх сборных плит. При этом следует принимать необходимые меры для обеспечения сцепления старого и нового бетона. В пределах набетонки располагается дополнительная косая арматура, устанавливаемая по расчету (см.
пп. 6.36,
6.46). Общая толщина оболочки в угловой зоне и размеры набетонки должны удовлетворять требованиям
п. 6.11 настоящего Руководства.
6.17. Поверхность оболочек, собираемых из цилиндрических панелей, в одном из направлений в местах стыков плит имеет переломы, что приводит к изменению распределения усилий в конструкции по сравнению с гладкими оболочками
[14]. В отдельных случаях у мест переломов появляются усилия растяжения. Тогда ребра панелей в местах стыков рекомендуется соединять сваркой закладных деталей.
Усилия, вызываемые наличием переломов поверхности, зависят от жесткости сечений оболочки, параллельных переломам. С увеличением жесткости этих сечений уменьшаются прогибы оболочки между переломами и влияние переломов. Это еще раз подтверждает целесообразность устройства поперечных ребер панелей, которые обычно располагают с шагом 2 - 3 м.
6.18. В неразрезных оболочках по линии опирания на контурные элементы все сборные плиты привариваются к диафрагмам. Контурные плиты и верхние пояса контурных элементов снабжаются шпонками, выпусками арматуры и закладными деталями для соединения между собой контурных плит. Все пространство до уровня верха плит над контурными элементами по периметру оболочек замоноличивается. Этим обеспечивается передача с оболочки на контурные элементы сдвигающих усилий и поперечных сил и совместные деформации плит и контурных элементов.
6.19. В конструкциях, осуществляемых по типу тангенциально-подвижных, соседние оболочки, опирающиеся на общий контурный элемент, соединяются между собой жестко лишь на части контура в угловых зонах. На остальной части контура соединение остается подвижным. При тангенциально-подвижном опирании торцевые ребра соседних плит над контурными элементами рекомендуется соединять накладками (
рис. 6.3,
б), приваренными к закладным деталям плит. Таким образом, образуется контурный пояс, который воспринимает сдвигающие усилия в оболочке и передает их на упоры контурных элементов.
Для более плавной передачи сдвигающих сил приопорные участки между оболочками над контурными элементами замоноличиваются на всю высоту панелей. На этом участке рекомендуется располагать металлические упоры, приваренные к контурным элементам и воспринимающие сдвигающие усилия (
рис. 6.3,
б).
6.20. Железобетонные контурные фермы могут иметь раскосную и безраскосную решетку. Для пролетов 18 и 24 м контурные элементы принимаются железобетонными, при

пролетах целесообразно применять раскосные стальные фермы. Верхние пояса ферм по всей длине для неразрезных оболочек и в пределах крайней панели в тангенциально-подвижных снабжаются железобетонными и стальными упорами и шпоночными гнездами для восприятия сдвигающих усилий.
Торцы взаимно перпендикулярных контурных ферм следует соединять между собой, в том числе сварными накладками (
рис. 6.3,
б), для восприятия главных растягивающих усилий.
6.21. В оболочках с контурными элементами в виде криволинейного бруса, опертого на колонны, в контурных брусьях наряду с усилиями растяжения действуют изгибающие моменты, по характеру аналогичные изгибающим моментам в многопролетных неразрезных балках, - в средней части пролета между колоннами наиболее растянута нижняя грань бруса, на участках у колонны - верхняя. Арматура по контуру определяется из расчета на внецентренное растяжение и может полностью размещаться в контурных брусьях. Она назначается в соответствии с эпюрой усилий вдоль пролета. При обрыве арматура должна быть заведена за сечение, где по расчету она не требуется, из условия обеспечения ее полного использования в расчетном сечении. Около 30% арматуры должно быть доведено до угловых опор, где арматура смежных контурных брусьев должна взаимно пересекаться. Арматуру контурных брусьев целесообразно выполнять предварительно-напряженной.
6.22. В оболочках со светоаэрационными или зенитными фонарями фонарный проем рекомендуется осуществлять с помощью плит-рамок, представляющих собой систему продольных и поперечных ребер, оставшуюся после удаления полки. При проектировании плит-рамок по контуру ребер за вутом рекомендуется оставить часть утолщенной полки шириной около 10 см и по контуру отверстия уложить дополнительную арматуру. Углы отверстия в полке должны быть закругленными (см.
пп. 1.35 -
1.38 настоящего Руководства).
6.23. Подвески путей подвесных кранов или тельферов (см.
п. 6.6 настоящего Руководства) рекомендуется располагать с шагом 6 м и выполнять жесткими в плоскости, перпендикулярной рельсам. Их рекомендуется крепить к оболочке анкерными болтами, проходящими в специальные отверстия, располагаемые в углах пересечения плит либо в швах между плитами (
рис. 6.3,
г). В зоне расположения подвесок крановых путей швы между плитами рекомендуется замоноличивать на всю высоту
[44]. Расчет оболочек на действие крановых нагрузок рекомендуется выполнять методом предельного равновесия (см.
пп. 6.59 -
6.62 настоящего Руководства).
Расчет отдельно стоящих (одноволновых) оболочек
6.24. В пологой оболочке возникает система усилий
N1,
N2,
S,
Q, а также изгибающих
M1,
M2 и крутящих моментов
M12 (рис. 6.7).
Рис. 6.7. Схема усилий в пологих оболочках
6.25. В зависимости от стадии проектирования, конструктивных особенностей, вида нагрузки и условий опирания по контуру пологие оболочки могут рассчитываться по безмоментной теории с учетом краевого эффекта или более точно по моментной теории [
4,
12,
23]. Безмоментная линейная теория с учетом изгибающих моментов, возникающих в приопорных зонах, может быть использована в предварительных расчетах шарнирно-опертых гладких оболочек с относительно большим подъемом

при равномерно распределенной нагрузке. Допускается считать шарнирным опирание оболочки на стены или на часто расположенные по контуру колонны, а также на достаточно жесткие в своей плоскости и гибкие из плоскости диафрагмы, например в виде железобетонных ферм с предварительно-напряженным нижним поясом.
6.26. При окончательном рабочем проектировании рекомендуется пользоваться методами расчетов с помощью ЭВМ, основанными на моментной теории, позволяющими учесть конструктивные особенности оболочек (наличие ребер, отверстий, переломов поверхности), а также действительную жесткость бортовых диафрагм (см.
п. 6.40 и
прил. 2 настоящего Руководства).
6.27. Уравнения нелинейной моментной теории пологих оболочек [
4,
16] записываются в значительно более сложном виде и, чтобы решить, какие уравнения должны быть положены в основу расчета заданной конкретной оболочки, необходимо рассмотреть вопрос о пределах применимости линейных теорий.
Влияние нелинейности на величину усилий зависит от подъема оболочки: чем меньше подъем, тем это влияние значительнее. Для весьма пологих оболочек

линейная теория может дать погрешность в отношении прогибов. Вопрос о целесообразности расчета по нелинейной теории можно решать следующим образом [
16,
31]: подсчитывается вся нагрузка
q, действующая на рассматриваемую оболочку (вместе с коэффициентами перегрузки), и по формулам линейной теории определяется максимальный прогиб
wл. Это значение прогиба подставляется в формулы нелинейной теории, по которым определяется величина нагрузки
qп, соответствующая прогибу
wл. Если окажется, что
qп существенно меньше
q (например, на 5% и более), то данную оболочку следует рассчитывать по нелинейной теории. Для оболочки, края которой в плане свободно смещаются, либо шарнирно оперты, либо защемлены, нелинейная зависимость между нагрузками
q и прогибом
w в центре опорного плана оболочки выражается формулой:

(6.1)
здесь
где 2
a - ширина опорного плана, см.
п. 6.1 настоящего Руководства;

;

- безразмерные величины;
f0 - начальный подъем оболочки;

,

,

,

- коэффициенты для квадратной в плане оболочки со стороной 2
a для шести случаев граничных условий (табл. 6.1). Штриховка на рисунках таблицы означает, что соответствующий край защемлен относительно углов поворота; отсутствие штриховки - край шарнирно оперт.
Случай граничного условия | | | | |
I | | +8,63 | -19,62 | +9,92 | +22,12 |
II | | +9,9 | -19,05 | +8,15 | +32,51 |
III | | +7,57 | -13,65 | +5,48 | +46,07 |
IV | | +12,45 | -20,18 | +7,27 | +43,59 |
V | | +10,31 | -15,64 | +5,27 | +56,99 |
VI | | +9,24 | -13,1 | +4,13 | +68,89 |
Коэффициенты подсчитаны при

; при других значениях коэффициента Пуассона необходимо величину

умножить на отношение

; значения

,

,

не изменяются. Для оценки влияния геометрической нелинейности на величину нагрузки с помощью
формулы (6.1) и
табл. 6.1 первоначально подсчитывается наибольшее значение всех нагрузок
q*. Далее по формуле

подсчитывается безразмерная величина прогиба

, определяемая линейной теорией. Это значение прогиба подставляется в
формулу (6.1), по которой вычисляют соответствующее значение нагрузки

, и относительная разница между

и
q* подсчитывается по формуле:

(6.2)
| | ИС МЕГАНОРМ: примечание. В официальном тексте документа, видимо, допущена опечатка: пункт [45] в Списке литературы к разделу 6 отсутствует. | |
6.28. Для безмоментной оболочки с шарнирным опиранием по контуру нормальные и сдвигающие силы
N1,
N2 и
S рекомендуется определять по формулам [45,
26]:

(6.3)
Здесь

(6.4)
R1, R2 - главные радиусы кривизны срединной поверхности в вершине оболочки.
6.29. Безмоментная теория не дает возможности определить сдвигающие усилия в угловых зонах оболочки, так как при приближении к углам сдвигающие усилия стремятся к бесконечности. Это указывает на то, что в углу оболочки равновесие может быть обеспечено только с учетом действительно возникающих в оболочке изгибающих моментов и перерезывающих сил. Приближенно при расчете диафрагм величину сдвигающих усилий на приопорных участках (0,04 - 0,05 длины пролета) рекомендуется определять по разности между внешней нагрузкой и вертикальной проекцией сдвигающих сил на остальной части пролета.
6.30. Вблизи контура оболочки возникает искажение безмоментного напряженного состояния, так как здесь действуют краевые изгибающие моменты и поперечные силы. Для приближенных расчетов принимается, что изгибное состояние оболочки имеет характер краевого эффекта и быстро затухает по мере удаления от края оболочки. Зона действия изгибающих моментов распространяется не далее

от края в зависимости от его закрепления, где

. Ширину зоны краевого эффекта, в пределах которой на нижней грани оболочки действуют растягивающие напряжения, можно определять из графиков, приведенных на
рис. 6.4.
В моментной зоне имеют место изгибающие моменты M1 и M2, действующие в двух взаимно перпендикулярных направлениях, и крутящие моменты M12. Их величины могут быть найдены по формулам:

(6.5)
где f1(x) и f1(y) - функции, характеризующие изгибное состояние оболочки на контуре;
Функция f(x) и две ее производные имеют вид:

(6.6)
Меняя индекс x на y и s1 на s2, получим соответствующие выражения для f1(y) и ее производных. Для удобства вычисления оси координат располагаются таким образом, что начало координат совпадает с углом оболочки.
На основе
формул (6.5) могут быть вычислены максимальные изгибающие моменты (
M1)
max и (
M2)
max и крутящие (
M12)
max

(6.7)
Очевидно, что аналогичные значения имеют и M2. Максимальный крутящий момент
(M12)max = qs1s2/4 при x = y = 0. (6.8)
6.31. Усилия и прогибы прямоугольных в плане отдельно стоящих оболочек со сторонами
l1,
l2 при равномерно распределенных нагрузках
q и шарнирном опирании по контуру могут быть определены по формулам
табл. 6.2, приведенным в работе
[4], где они представлены в двойных тригонометрических рядах. Расчет, выполненный по этим формулам, составленным на основе моментной теории оболочек, позволяет получить более достоверные величины усилий в приопорных зонах, так как учитывает дополнительное поле напряжений, вызванное моментным напряженным состоянием. В формулах, приведенных в
табл. 6.2, количество членов ряда должно определяться в каждом случае из условия, чтобы остаточный член ряда был меньше 5% суммы взятых членов ряда.
|
|
|
Q1 = Q10 - Q1k, |
Q2 = Q20 - Q2k, |
w = w0 - wk, |
M1 = M10 - M1k, |
M2 = M20 - M2k, |
|
Принятые обозначения m = 1, 3, 5 ...; n = 1, 3, 5 ... |
6.32. Расчет отдельно стоящих оболочек, квадратных в плане со сторонами
l, рекомендуется выполнять с помощью таблиц, приведенных в работе
[9].
Усилия при равномерно распределенной нагрузке рекомендуется определять по формулам:
а) нормальные силы N в направлении оси x по линии y = 0

(6.9)
где

- коэффициент, принимаемый по табл. 6.3 настоящего Руководства;
Таблица 6.3
x/l | Коэффициенты  для определения нормальных сил N1при значениях  |
4 | 5 | 7 | 9 | 11 | 14 | 18 |
0 | 0 | 0 | 0 | 0 | 0 | 0 | 0 |
0,05 | 0,1865 | 0,114 | 0,0587 | 0,0358 | 0,0238 | 0,0146 | 0,088 |
0,1 | 0,3655 | 0,2245 | 0,1153 | 0,0698 | 0,0468 | 0,0287 | 0,0176 |
0,15 | 0,5321 | 0,327 | 0,1684 | 0,1016 | 0,0685 | 0,0419 | 0,0256 |
0,2 | 0,6811 | 0,4199 | 0,2161 | 0,1308 | 0,0879 | 0,0539 | 0,0327 |
0,3 | 0,9149 | 0,5666 | 0,2921 | 0,1768 | 0,1188 | 0,0733 | 0,0442 |
0,4 | 1,0559 | 0,6563 | 0,3385 | 0,205 | 0,1379 | 0,0848 | 0,0512 |
0,5 | 1,1023 | 0,6864 | 0,354 | 0,2144 | 0,1441 | 0,0884 | 0,0535 |
б) нормальные силы N2 в направлении оси y по линии y = 0

(6.10)
где

- коэффициент, принимаемый по табл. 6.4 настоящего Руководства;
Таблица 6.4
x/l | Коэффициенты  для определения нормальных сил N2при значениях  |
4 | 5 | 7 | 9 | 11 | 14 | 18 |
0 | 0 | 0 | 0 | 0 | 0 | 0 | 0 |
0,02 | 0,3094 | 0,2577 | 0,1905 | 0,1494 | 0,122 | 0,0941 | 0,0698 |
0,05 | 0,7324 | 0,5963 | 0,4177 | 0,3059 | 0,2339 | 0,1618 | 0,1043 |
0,07 | 0,9715 | 0,7733 | 0,5158 | 0,3607 | 0,2608 | 0,168 | 0,1008 |
0,1 | 1,2517 | 0,9587 | 0,5839 | 0,3801 | 0,259 | 0,156 | 0,091 |
0,15 | 1,5174 | 1,0899 | 0,587 | 0,3474 | 0,2258 | 0,1352 | 0,0818 |
0,2 | 1,5819 | 1,0559 | 0,5229 | 0,3032 | 0,1985 | 0,1229 | 0,0743 |
0,3 | 1,4122 | 0,9057 | 0,4164 | 0,2506 | 0,1684 | 0,1039 | 0,0628 |
0,4 | 1,2 | 0,7271 | 0,3695 | 0,2236 | 0,1498 | 0,0924 | 0,0551 |
0,5 | 1,1023 | 0,6864 | 0,354 | 0,2144 | 0,1441 | 0,0884 | 0,0535 |
в) изгибающие моменты M1 в направлении оси x по линии y = 0
M1 = ql2kM, (6.11)
где kM - коэффициент, принимаемый по табл. 6.5 настоящего Руководства;
Таблица 6.5
x/l | Коэффициенты 100kM для определения изгибающих моментов M1 при значениях  |
4 | 5 | 7 | 9 | 11 | 14 | 18 |
0 | 0 | 0 | 0 | 0 | 0 | 0 | 0 |
0,01 | 0,0514 | 0,0402 | 0,0275 | 0,0204 | 0,0159 | 0,0116 | 0,0082 |
0,02 | 0,0936 | 0,0715 | 0,0464 | 0,0326 | 0,0241 | 0,0162 | 0,01 |
0,03 | 0,1276 | 0,0979 | 0,0584 | 0,0388 | 0,0269 | 0,0163 | 0,0088 |
0,04 | 0,1543 | 0,1118 | 0,0646 | 0,0403 | 0,0261 | 0,0141 | 0,0063 |
0,05 | 0,1743 | 0,1225 | 0,0667 | 0,0388 | 0,0232 | 0,0109 | 0,0038 |
0,07 | 0,1978 | 0,1307 | 0,0617 | 0,0305 | 0,015 | 0,0049 | 0,0006 |
0,08 | - | - | - | - | - | 0,0026 | -0,0001 |
0,09 | - | - | - | - | - | 0,001 | -0,0004 |
0,1 | 0,2016 | 0,1196 | 0,0438 | 0,0155 | 0,0047 | 0,0001 | -0,0004 |
0,12 | 0,1902 | 0,1038 | 0,0306 | 0,0076 | 0,0009 | -0,0007 | -0,0003 |
0,15 | 0,1611 | 0,0763 | 0,0146 | 0,0009 | -0,0012 | -0,0006 | 0 |
0,18 | 0,1271 | 0,0466 | 0,0041 | -0,0016 | -0,0008 | 0 | 0 |
0,2 | 0,1028 | 0,0351 | 0,0003 | -0,0009 | -0,0008 | 0 | 0 |
0,25 | 0,052 | 0,009 | -0,0003 | -0,0011 | -0,0001 | 0 | 0 |
0,3 | 0,0163 | 0 | -0,0002 | -0,0001 | 0 | 0 | 0 |
0,35 | -0,0031 | 0 | -0,0002 | 0 | 0 | 0 | 0 |
0,4 | -0,0998 | -0,0001 | 0 | 0 | 0 | 0 | 0 |
0,5 | -0,0178 | -0,0001 | 0 | 0 | 0 | 0 | 0 |
г) сдвигающие усилия S по граням оболочки линии

(6.12)
где ks - коэффициент, принимаемый по табл. 6.6 настоящего Руководства;
Таблица 6.6
x/l | Коэффициенты 100kS для определения сдвигающих усилий S при значениях  |
4 | 5 | 7 | 9 | 11 | 14 | 18 |
0 | 2,7015 | 1,917 | 1,0608 | 0,7112 | 0,5008 | 0,3439 | 0,225 |
0,05 | 2,6043 | 1,8166 | 0,9706 | 0,6272 | 0,4239 | 0,2749 | 0,1671 |
0,1 | 2,3519 | 1,6014 | 0,7859 | 0,4827 | 0,3103 | 0,1927 | 0,1154 |
0,15 | 2,0156 | 1,3295 | 0,6033 | 0,3576 | 0,2334 | 0,1441 | 0,0862 |
0,2 | 1,6509 | 1,0608 | 0,4594 | 0,271 | 0,1843 | 0,1114 | 0,0676 |
0,3 | 0,9843 | 0,6082 | 0,2597 | 0,1574 | 0,1171 | 0,065 | 0,0393 |
0,4 | 0,465 | 0,2732 | 0,1204 | 0,0734 | 0,0588 | 0,0301 | 0,0181 |
0,5 | 0 | 0 | 0 | 0 | 0 | 0 | 0 |
д) главные усилия Nгл, действующие в оболочке в направлении диагонали и нормально к ней:

(6.13)
где kгл - коэффициент, принимаемый по табл. 6.7 (см. стр. 144) настоящего Руководства;
Таблица 6.7
x/l | y/l | Коэффициенты 100kгл для определения главных усилий Nгл при значениях  |
4 | 5 | 7 | 9 | 11 | 14 | 18 |
А. Усилие в направлении диагонали |
0 | 0,5 | 2,7015 | 1,917 | 1,0608 | 0,7112 | 0,5008 | 0,3439 | 0,225 |
0,1 | 0,4 | 2,4215 | 1,7104 | 0,9677 | 0,6069 | 0,4097 | 0,2492 | 0,1471 |
0,2 | 0,3 | 2,0819 | 1,3664 | 0,6799 | 0,3978 | 0,2623 | 0,1618 | 0,0981 |
0,3 | 0,2 | 1,6037 | 0,988 | 0,4799 | 0,2886 | 0,1941 | 0,1197 | 0,0756 |
0,5 | 0 | 1,1023 | 0,6864 | 0,354 | 0,2144 | 0,1441 | 0,0884 | 0,0535 |
Б. Усилие перпендикулярно диагонали |
0 | 0,5 | -2,7015 | -1,917 | -1,0608 | -0,7112 | -0,5008 | -0,3439 | -0,225 |
0,1 | 0,4 | -1,3087 | -0,7643 | -0,3008 | -0,1428 | -0,0873 | -0,0547 | -0,0362 |
0,2 | 0,3 | 0,1373 | 0,1704 | 0,0912 | 0,0424 | 0,0238 | 0,0173 | 0,009 |
0,3 | 0,2 | 0,8172 | 0,4997 | 0,2296 | 0,1374 | 0,0926 | 0,0571 | 0,0314 |
0,5 | 0 | 1,1023 | 0,6864 | 0,354 | 0,2143 | 0,144 | 0,0884 | 0,0534 |
е) поперечные силы Q, действующие по граням оболочки:
где kQ - коэффициент, принимаемый по табл. 6.8 (см. стр. 145) настоящего Руководства.
Таблица 6.8
x/l | Коэффициенты kQ для определения поперечных сил Q при значениях  |
4 | 5 | 7 | 9 | 11 |
0 | 0 | 0 | 0 | 0 | 0 |
0,02 | 0,0328 | 0,0296 | 0,0256 | 0,0224 | 0,0204 |
0,04 | 0,0456 | 0,04 | 0,032 | 0,0268 | 0,0224 |
0,05 | 0,0512 | 0,044 | 0,0344 | 0,028 | 0,0232 |
0,07 | 0,0576 | 0,048 | 0,036 | 0,0284 | 0,0228 |
0,1 | 0,0628 | 0,0504 | 0,036 | 0,0272 | 0,0216 |
0,15 | 0,0636 | 0,0504 | 0,0336 | 0,0252 | 0,0208 |
0,2 | 0,0616 | 0,0484 | 0,032 | 0,0248 | 0,0204 |
0,25 | 0,0596 | 0,0464 | 0,0316 | 0,0248 | 0,0204 |
0,3 | 0,0584 | 0,0448 | 0,032 | 0,0252 | 0,0208 |
0,4 | 0,0564 | 0,0448 | 0,0316 | 0,0248 | 0,0204 |
0,5 | 0,056 | 0,0456 | 0,0316 | 0,0248 | 0,0208 |
6.33. Односторонняя равномерно распределенная нагрузка обычно заменяется комбинированной из симметричной и обратно симметричной нагрузок.
При обратно симметричной нагрузке моменты возникают не только на приопорных участках, но и в средней части оболочки у мест перепада нагрузок. Однако они носят условный характер, так как в действительности резкого перепада нагрузки в средней части оболочки нет. Ширину приопорной зоны, в пределах которой на гранях действуют растягивающие напряжения, рекомендуется определять из графика, приведенного на
рис. 6.4. При обратно симметричной нагрузке нормальные усилия в 4 - 5 раз меньше, чем при сплошной, и сдвигающие усилия возникают не только в углах оболочки, но и на приопорных участках в средней части пролета.
Обычно сечения оболочки рассчитывают на усилия, найденные при сплошной равномерной нагрузке. Если интенсивность односторонней нагрузки более чем на 50% превышает интенсивность сплошной, то принятые сечения оболочки рекомендуется проверить на усилия от моментов и нормальных сил по следующим формулам.
Усилия при обратно симметричной нагрузке с осью, параллельной оси y:
а) нормальные силы N1 в направлении оси x по линии y = 0

(6.15)
где

- коэффициент, принимаемый по табл. 6.9 настоящего Руководства;
Таблица 6.9
x/l | Коэффициенты  для определения нормальных сил N1при значениях  |
4 | 5 | 7 | 9 | 11 | 14 | 18 |
0 | 0 | 0 | 0 | 0 | 0 | 0 | 0 |
0,01 | 0,004 | 0,0022 | 0,0013 | 0,0009 | 0,0004 | 0,0004 | 0 |
0,02 | 0,0075 | 0,0049 | 0,0026 | 0,0013 | 0,0009 | 0,0004 | 0,0004 |
0,025 | 0,0093 | 0,0062 | 0,0031 | 0,0018 | 0,0013 | 0,0009 | 0,0004 |
0,035 | 0,0128 | 0,0084 | 0,0044 | 0,0026 | 0,0018 | 0,0009 | 0,0009 |
0,05 | 0,0186 | 0,0119 | 0,0062 | 0,0035 | 0,0026 | 0,0013 | 0,0009 |
0,07 | 0,0252 | 0,0164 | 0,0084 | 0,0049 | 0,0035 | 0,0022 | 0,0013 |
0,1 | 0,0349 | 0,0225 | 0,0115 | 0,0071 | 0,0049 | 0,0031 | 0,0018 |
0,15 | 0,0482 | 0,0309 | 0,0159 | 0,0097 | 0,0062 | 0,004 | 0,0022 |
0,2 | 0,0566 | 0,0362 | 0,0186 | 0,011 | 0,0075 | 0,0044 | 0,0026 |
0,25 | 0,0597 | 0,038 | 0,0194 | 0,0119 | 0,008 | 0,0049 | 0,0031 |
б) нормальные силы N2 в направлении оси y по линии y = 0

(6.16)
где

- коэффициент, принимаемый по табл. 6.10 настоящего Руководства;
Таблица 6.10
x/l | Коэффициенты  для определения нормальных сил N2при значениях  |
4 | 5 | 7 | 9 | 11 | 14 | 18 |
0 | 0 | 0 | 0 | 0 | 0 | 0 | 0 |
0,01 | 0,0917 | 0,0734 | 0,0522 | 0,0402 | 0,0323 | 0,0247 | 0,0181 |
0,02 | 0,1786 | 0,1414 | 0,0977 | 0,0725 | 0,0557 | 0,0398 | 0,0265 |
0,025 | 0,2188 | 0,1719 | 0,1162 | 0,084 | 0,0627 | 0,0433 | 0,0278 |
0,035 | 0,2926 | 0,225 | 0,145 | 0,0999 | 0,0716 | 0,046 | 0,0278 |
0,05 | 0,3832 | 0,2846 | 0,1688 | 0,1096 | 0,0743 | 0,0447 | 0,026 |
0,07 | 0,4667 | 0,3297 | 0,1803 | 0,1083 | 0,0703 | 0,0442 | 0,0256 |
0,1 | 0,5149 | 0,3474 | 0,1737 | 0,1012 | 0,0667 | 0,0415 | 0,0252 |
0,15 | 0,5282 | 0,339 | 0,1618 | 0,0981 | 0,065 | 0,0402 | 0,0243 |
0,2 | 0,5021 | 0,3116 | 0,1587 | 0,0964 | 0,0641 | 0,0398 | 0,0239 |
0,25 | 0,4888 | 0,3072 | 0,1578 | 0,0959 | 0,0636 | 0,0393 | 0,0239 |
в) изгибающие моменты M1 в направлении оси x по линии y = 0

(6.17)
где

- коэффициент, принимаемый по табл. 6.11 настоящего Руководства;
Таблица 6.11
x/l | Коэффициенты  для определения изгибающих моментов M1при значениях  |
4 | 5 | 7 | 9 | 11 | 14 | 18 |
0 | 0 | 0 | 0 | 0 | 0 | 0 | 0 |
0,005 | 0,0129 | 0,01 | 0,0069 | 0,0051 | 0,004 | 0,03 | 0,002 |
0,01 | 0,0234 | 0,0179 | 0,0116 | 0,0082 | 0,0061 | 0,0041 | 0,0026 |
0,015 | 0,0319 | 0,0245 | 0,0146 | 0,0097 | 0,0068 | 0,0041 | 0,0022 |
0,02 | 0,0385 | 0,028 | 0,0162 | 0,01 | 0,0065 | 0,0036 | 0,0016 |
0,025 | 0,0437 | 0,0306 | 0,0167 | 0,0097 | 0,0058 | 0,0028 | 0,001 |
0,035 | 0,0495 | 0,0327 | 0,0154 | 0,0076 | 0,0038 | 0,0012 | 0,0002 |
0,05 | 0,0503 | 0,0299 | 0,01 | 0,0039 | 0,0012 | 0 | -0,0001 |
0,06 | 0,0479 | 0,026 | 0,0077 | 0,0019 | 0,0002 | -0,0002 | -0,0001 |
0,07 | 0,0429 | 0,0214 | 0,0049 | 0,0006 | -0,0002 | -0,0002 | 0 |
0,09 | 0,0319 | 0,0117 | 0,001 | -0,0004 | -0,0002 | 0 | 0 |
0,1 | 0,0262 | 0,0088 | 0,0001 | -0,0002 | -0,0002 | 0 | 0 |
0,15 | 0,0044 | 0 | 0 | 0 | 0 | 0 | 0 |
0,2 | -0,0017 | 0 | 0 | 0 | 0 | 0 | 0 |
0,25 | -0,0035 | 0 | 0 | 0 | 0 | 0 | 0 |
г) сдвигающие усилия S по граням оболочки

(6.18)
где
- коэффициент, принимаемый по табл. 6.12 настоящего Руководства.
x/l | y/l | Коэффициенты  для определения сдвигающих усилий Sпри значениях  |
4 | 5 | 7 | 9 | 11 | 14 | 18 |
а) По граням y = +/- l/2 |
0 | - | 0,6736 | 0,4778 | 0,2829 | 0,1887 | 0,1357 | 0,0906 | 0,0588 |
0,02 | - | 0,6577 | 0,4623 | 0,2678 | 0,1742 | 0,122 | 0,0777 | 0,0482 |
0,05 | - | 0,5856 | 0,3987 | 0,2135 | 0,13 | 0,0862 | 0,0525 | 0,0314 |
0,1 | - | 0,4111 | 0,2639 | 0,1291 | 0,0765 | 0,0508 | 0,0314 | 0,019 |
0,15 | - | 0,2449 | 0,1512 | 0,0751 | 0,0455 | 0,0305 | 0,019 | 0,0114 |
0,2 | - | 0,1154 | 0,0676 | 0,0354 | 0,0217 | 0,0146 | 0,0088 | 0,0053 |
0,25 | - | 0 | 0 | 0 | 0 | 0 | 0 | 0 |
б) По граням x = 0 и x = 1 |
- | 0,5 | 0,6736 | 0,4778 | 0,2829 | 0,1887 | 0,1357 | 0,0906 | 0,0588 |
- | 0,45 | 0,6184 | 0,3956 | 0,2152 | 0,1313 | 0,0871 | 0,053 | 0,0318 |
- | 0,4 | 0,4318 | 0,2749 | 0,1361 | 0,0809 | 0,0539 | 0,0332 | 0,0203 |
- | 0,3 | 0,2002 | 0,126 | 0,0645 | 0,0389 | 0,0261 | 0,0159 | 0,0097 |
- | 0,2 | 0,0968 | 0,0623 | 0,0318 | 0,019 | 0,0128 | 0,008 | 0,0049 |
- | 0,1 | 0,0402 | 0,0256 | 0,0133 | 0,008 | 0,0053 | 0,0031 | 0,0022 |


6.34. Усилия в оболочках с соотношением сторон в плане 1:2, имеющих одинаковые или близкие по величине радиусы кривизны в направлениях, параллельных обеим сторонам контура, при равномерно распределенной нагрузке рекомендуется определять по формулам и таблицам для расчета квадратных оболочек, нагруженных обратно симметричной нагрузкой (
п. 6.33 настоящего Руководства). При этом обозначения осей и пролетов должны быть приняты в соответствии с рис. 6.8, а величина

, как в работе
[9].
Рис. 6.8. К расчету пологих оболочек
с отношением сторон в плане 1:2
а - на сплошную равномерно распределенную нагрузку;
б - на обратно симметричную
Ширину участков, в пределах которых на нижней грани оболочки действуют растягивающие напряжения, вызванные изгибающими моментами, рекомендуется определять по графикам, приведенным на
рис. 6.4.
Усилия по оси симметрии

:
а) нормальная сила
N2 в направлении оси
y по линии

,

(6.19)
где

- коэффициент, принимаемый по табл. 6.13 настоящего Руководства (см. стр. 150).
Таблица 6.13
y/l | Коэффициенты  для определения нормальных сил N2при значениях  |
4 | 5 | 7 | 9 | 11 | 14 | 18 |
0,5 | 0 | 0 | 0 | 0 | 0 | 0 | 0 |
0,49 | 0,0221 | 0,0137 | 0,0071 | 0,0044 | 0,0026 | 0,0018 | 0,0009 |
0,48 | 0,0442 | 0,0274 | 0,0141 | 0,0084 | 0,0058 | 0,0035 | 0,0022 |
0,45 | 0,1087 | 0,0672 | 0,0345 | 0,0208 | 0,0141 | 0,0084 | 0,0053 |
0,43 | 0,1498 | 0,0928 | 0,0477 | 0,0287 | 0,0194 | 0,0119 | 0,0071 |
0,4 | 0,2069 | 0,1282 | 0,0659 | 0,0398 | 0,027 | 0,0164 | 0,0102 |
0,35 | 0,2877 | 0,1794 | 0,0924 | 0,0561 | 0,0376 | 0,023 | 0,0141 |
0,3 | 0,351 | 0,2201 | 0,1132 | 0,0685 | 0,046 | 0,0283 | 0,0172 |
0,2 | 0,4336 | 0,2732 | 0,1406 | 0,0849 | 0,057 | 0,0354 | 0,0212 |
0,1 | 0,4743 | 0,2992 | 0,1538 | 0,0928 | 0,0623 | 0,0384 | 0,0234 |
0 | 0,4888 | 0,3072 | 0,1578 | 0,0959 | 0,0636 | 0,0393 | 0,0239 |
б) изгибающий момент
M2 в направлении оси
y по линии


(6.20)
где

- коэффициент, принимаемый по табл. 6.14 настоящего Руководства.
Таблица 6.14
y/l | Коэффициенты  для определения изгибающих моментов при значениях  |
4 | 5 | 7 | 9 | 11 | 14 | 18 |
0,5 | 0 | 0 | 0 | 0 | 0 | 0 | |
0,49 | 0,0234 | 0,0179 | 0,0116 | 0,0082 | 0,0061 | 0,004 | 0,0025 |
0,48 | 0,0385 | 0,028 | 0,0161 | 0,0101 | 0,0065 | 0,0036 | 0,0016 |
0,47 | 0,047 | 0,0321 | 0,0164 | 0,0088 | 0,0048 | 0,0019 | 0,0005 |
0,46 | 0,0506 | 0,0324 | 0,0141 | 0,0063 | 0,0027 | 0,0006 | 0 |
0,45 | 0,0503 | 0,0299 | 0,0109 | 0,0038 | 0,0012 | 0 | -0,0001 |
0,44 | 0,0474 | 0,0259 | 0,0077 | 0,0019 | 0,0002 | -0,0002 | -0,0001 |
0,43 | 0,0429 | 0,0214 | 0,0049 | 0,0006 | -0,0002 | -0,0002 | 0 |
0,4 | 0,0257 | 0,0087 | 0,0001 | -0,0004 | -0,0001 | 0 | 0 |
0,38 | 0,0153 | 0,0032 | -0,0007 | -0,0003 | 0 | 0 | 0 |
0,35 | 0,0044 | -0,0007 | -0,0006 | 0 | 0 | 0 | 0 |
0,32 | 0,0012 | -0,0014 | 0 | 0 | 0 | 0 | 0 |
0,3 | -0,0026 | -0,0012 | 0 | 0 | 0 | 0 | 0 |
0,25 | -0,0028 | 0 | 0 | 0 | 0 | 0 | 0 |
0,2 | -0,0009 | 0 | 0 | 0 | 0 | 0 | 0 |
0,15 | -0,0009 | 0 | 0 | 0 | 0 | 0 | 0 |
0,10 | -0,0009 | 0 | 0 | 0 | 0 | 0 | 0 |
0,05 | -0,0009 | 0 | 0 | 0 | 0 | 0 | 0 |
0 | -0,0008 | 0 | 0 | 0 | 0 | 0 | 0 |
6.35. Усилия при обратно симметричной нагрузке, расположенной в соответствии с
рис. 6.8, рекомендуется определять по формулам и таблицам для расчета квадратных оболочек, нагруженных симметричной нагрузкой (
п. 6.32 настоящего Руководства). При этом обозначения должны быть приняты в соответствии с
рис. 6.8, а величина

.
6.36. Расчет количества арматуры в угловой зоне оболочки и ее распределение вдоль диагонали рекомендуется производить после построения эпюры главных растягивающих напряжений в диагональном сечении. Затем оболочку рекомендуется разделить на участки, для каждого из которых по эпюре определить суммарное усилие, а по нему необходимое количество арматуры.
Дополнительно строится огибающая эпюра главных растягивающих усилий по грани оболочки при равномерной и односторонней (например, снеговой) нагрузках. Главные растягивающие усилия на грани оболочки направлены под углом 45° к контуру и численно равны сдвигающим усилиям. На эти усилия проверяется количество арматуры у контура. При этом для квадратных в плане оболочек главные усилия, действующие в направлении диагонали и нормально к ней, могут быть найдены по
формуле (6.13), а сдвигающие по граням оболочки - по
формулам (6.12) и
(6.18).
6.37. Нагрузкой на диафрагмы оболочек является опорное давление, передаваемое по граням в виде сдвигающих сил
S, касательных к срединной поверхности оболочки, обратных по направлению и равных по величине сдвигающим усилиям в оболочке, а также поперечные силы. Влияние поперечных сил в оболочках с небольшой стрелой подъема увеличивается. При этом для квадратных в плане оболочек сдвигающие усилия и нормальные силы, действующие по граням, рекомендуется определять по
формулам (6.12) и
(6.14) настоящего Руководства.
При расчете диафрагм, выполняемых в виде ферм, усилия собираются в узлы. При переносе усилий с оси оболочки на ось диафрагмы рекомендуется учитывать возникающие при этом дополнительные моменты.
6.38. Если оболочки опираются на гибкие в своей плоскости диафрагмы (например, арки с затяжками), то величины усилий в приконтурной зоне значительно отличаются от полученных расчетом при жестких диафрагмах, хотя в средней зоне сохраняется безмоментное состояние
[13]. На рис. 6.9 приведены результаты расчета одной и той же конструкции оболочки без учета податливости диафрагм (линия
1) и с учетом действительной жесткости диафрагм в виде арок и ферм (линии
2,
3)
. Из расчета следует, что величина усилий
N1 практически не зависит от жесткости диафрагм.
Рис. 6.9. Графики усилий N1, N2, S и M
в отдельно стоящей оболочке по результатам расчетов
1 - без учета податливости диафрагм; 2 - с учетом
податливости диафрагм в виде арок; 3 - с учетом
податливости диафрагм в виде ферм
При шарнирном опирании на жесткие диафрагмы усилия
N2 на контуре равны нулю. При диафрагмах в виде ферм оболочка в краевой зоне испытывает незначительное растяжение от усилий
N2. При диафрагмах в виде арок, обладающих значительной податливостью, в результате сжимающих напряжений от изгиба контура оболочка в приконтурной зоне оказывается сжатой. В зависимости от жесткости диафрагм меняется и знак моментов в оболочке: при податливых диафрагмах в виде арок растянутой от изгиба оказывается верхняя грань оболочки, при более жестких диафрагмах в виде ферм - нижняя грань. Таким образом, лишь при достаточной жесткости диафрагм (например, в виде железобетонных ферм с предварительно-напряженным нижним поясом) допустимо в первом приближении вести расчет без учета податливости диафрагм. Расчет может производиться по безмоментной теории с учетом краевого эффекта или по моментной теории (см.
пп. 6.28 -
6.35 настоящего Руководства).
6.39. В оболочках с контурными элементами в виде криволинейного бруса, опертого на колонны, распределение усилий в приконтурной зоне отличается от оболочек с контурными элементами других видов (арки, фермы и др.), что должно учитываться при расчете и конструировании
[40]. В частности, растягивающие усилия здесь воспринимаются контурными брусьями и частично оболочкой, главные усилия к углам уменьшаются, в местах примыкания к диафрагмам возникают значительные по величине отрицательные изгибающие моменты.
С достаточной для практики точностью усилия растяжения по контуру и усилия сжатия в средней зоне оболочки могут быть найдены из расчета без учета совместной работы оболочки с контурными элементами.
Усилия в угловых зонах оболочки при таком расчете получаются больше наблюдаемых при испытаниях. Поэтому при подборе арматуры в углах главные растягивающие усилия, найденные расчетом, могут быть уменьшены до 20%.
Нагрузки на колонны, изгибающие моменты в контурных элементах и их прогибы могут быть найдены приближенно из расчета контурных брусьев как неразрезных балок на равномерно распределенную по их длине нагрузку интенсивностью, равной частному от деления общей нагрузки на оболочку на длину контура в осях. Из расчета контурных брусьев как неразрезных балок могут быть найдены усилия в них и от осадки колонн (опор).
При учете совместной работы оболочки с контурными элементами усилия в контурных элементах, используемые при подборе арматуры, следует определять из расчета, не учитывающего их сопротивление кручению.
6.40. При расчетах оболочек с учетом действительных жесткостей бортовых диафрагм (см.
п. 6.26 настоящего Руководства) весьма результативен метод одинарных рядов, позволяющих получить решения, которые удовлетворяют на двух противоположных краях оболочки произвольным граничным условиям сопряжения оболочки с деформируемым контурным элементом.
При этом допускается контурные конструкции приближенно характеризовать приведенными жесткостями элементов типа балки или арки с затяжкой в соответствии с рекомендациями, приведенными в работах [
17,
18], или же непосредственно рассматривать бортовые элементы в виде ферм по формулам и графикам, приведенным в работах [
2,
27].
Из числа практических методов расчета может быть рекомендован метод, предложенный в работе
[2]. В соответствии с этим методом конструкция покрытия рассматривается как тонкостенная ребристая оболочка, совместно работающая с примыкающими элементами (диафрагмами и т.п.). Для раскрытия внешней статической неопределимости по контуру оболочки применяется смешанный метод строительной механики и рассматривается основная система в виде шарнирно-опертой оболочки на балочную диафрагму. Выбор такой основной системы позволяет на всех этапах расчета при интегрировании дифференциальных уравнений наряду с методом одинарных тригонометрических рядов применять метод двойных тригонометрических рядов.
Расчет с учетом действительной жесткости контурных элементов производится суммированием величин усилий и перемещений основного напряженно-деформированного состояния от действия нагрузки на шарнирно-опертую по контуру оболочку и дополнительных усилий и перемещений, вызванных воздействием на основную систему "лишних" неизвестных, учитывающих совместную работу оболочки с примыкающими конструкциями.
Если допустить, что деформации, вызванные на одном краю оболочки, затухают, не дойдя до трех других краев, по каждому краю оболочки следует составить и решить систему из четырех канонических уравнений, связывающих "лишние" неизвестные между собой. В качестве этих неизвестных приняты краевой изгибающий момент, краевое нормальное усилие, продольные и нормальные к поверхности перемещения точек края оболочки. Расчет оболочек с помощью рассматриваемого метода может быть осуществлен вручную, средствами малой механизации или с помощью программы на ЭЦВМ. Такая программа, в частности, разработана в Ленпромстройпроекте.
6.41. Поверхность оболочек, собираемых из цилиндрических панелей, в одном из направлений в местах стыков плит имеет переломы (см.
пп. 6.14 и
6.17 настоящего Руководства). Наличие переломов поверхности приводит к появлению значительных изгибающих моментов по всему полю оболочки и перераспределению нормальных усилий, действующих в направлении переломов
(рис. 6.10). Приближенный расчет, учитывающий влияние переломов поверхности, изложен в работе
[14]. Расчет выполняется в два этапа: сначала находят основные усилия из расчета конструкции как гладкой оболочки, в которую она вписана, затем определяют дополнительные усилия, вызываемые наличием переломов поверхности. Полученные усилия суммируют.
Рис. 6.10. Графики прогибов W и усилий Nx, Ny, Mx
по результатам экспериментальных исследований
моделей оболочек
а - гладких; б - с ребрами и переломами поверхности
При таком подходе нормальные усилия вдоль образующих цилиндрических панелей будут такими же, как и в гладких оболочках, т.е. их определяют на первом этапе расчета. На первом же этапе определяют суммарные в пределах ширины панелей нормальные силы в сечениях по образующим, а также усилия в угловых зонах и на контуре. На втором этапе находятся дополнительные усилия, действующие в направлении переломов, и изгибающие моменты в сечениях, перпендикулярных образующим цилиндрических панелей.
Дополнительные усилия определяют путем раскрытия статической неопределимости в местах переломов поверхности с использованием в расчете полученных на первом этапе усилий. Для приведенного расчета использован метод деформаций. За неизвестные приняты углы поворота

образующих цилиндрических панелей и радиальные перемещения
U по линиям переломов. Для каждого перелома система уравнений для определения искомых величин имеет вид:

(6.21)
где Iпр - приведенный момент инерции 1 м сечения вдоль перелома поверхности;
C11,
C12,
C21,

- кратные реакции от единичных перемещений;
C10, C20 - краевые реакции цилиндрической оболочки от внешней нагрузки;
"л", "п" - индексы, обозначающие коэффициенты, относящиеся к цилиндрической панели слева и справа от линии перелома;

- кратная краевая реакция от единичного радиального перемещения ребра.
Для оболочек с ребрами вдоль образующих цилиндрических панелей в расчет вводится приведенная жесткость на 1 м сечения, параллельного перелому, определяемая с учетом этих ребер.
Система
уравнения (6.21) не учитывает взаимного влияния усилий, возникающих по краям оболочек, и может быть использована для расчета применяемых конструкций из панелей шириной около 3 м при толщине полки 3 - 4 см, высоте ребер до 25 см и их шаге более 3 м.
При рассмотрении сопряжения цилиндрических панелей по оси конструкции определяется лишь радиальное перемещение, так как из условий симметрии задачи угол поворота среднего перелома равен нулю. Радиальное перемещение U определяют по формуле:

(6.22)
Формулы для определения коэффициентов уравнений методом деформаций имеют следующий вид:

(6.23)
где

- угол наклона к горизонтали образующей цилиндрической панели, прилегающей к перелому;
Fр - площадь сечения ребра;
r - радиус кривизны линии перелома поверхности;

- приведенная толщина оболочки с учетом площади сечения ребер вдоль образующих цилиндрических панелей;
R - радиус срединной поверхности цилиндрической оболочки;
S - линейная характеристика жесткости оболочки.

(6.24)
где

,
- усилия из расчета гладкой оболочки;

- угол между осью
x и касательной к эпюре
Ny в точке перелома поверхности;
a10 - EIпр - кратный взаимный угол поворота, вызванный внешней нагрузкой;
a20 - EIпр - кратное взаимное перемещение, вызванное внешней нагрузкой.
Решив для каждого сопряжения цилиндрических поверхностей систему
уравнений (6.21), получим величины углового и радиального перемещений, после чего изгибающий момент
M вдоль перелома и радиальный распор
H определяют по формуле:

(6.25)
Для сопряжения цилиндрических панелей по оси конструкции формула имеет вид:

(6.26)
Нормальное усилие в оболочке Ny вдоль переломов определяют по формуле

(6.27)
Расчет многоволновых оболочек
6.42. Расчет разрезных многоволновых оболочек производится так же, как отдельно стоящих (см.
пп. 6.24 -
6.41 настоящего Руководства).
Несмотря на замоноличивание приопорных участков тангенциально-подвижные оболочки приближенно могут быть рассчитаны как отдельно стоящие оболочки с абсолютно жесткими в вертикальной плоскости диафрагмами. В отличие от разрезных опорный контур тангенциально-подвижной оболочки, состоящий из контурного пояса и контурной фермы, рекомендуется рассчитывать как статически неопределимую систему на краевые сдвигающие и поперечные силы. При этом контурный пояс, образованный торцевыми ребрами плит, рекомендуется рассматривать как шарнирную цепь, воспринимающую краевые усилия от оболочки и передающую вертикальные реакции на верхний пояс фермы, а горизонтальные - на концевые упоры. Ферма-диафрагма при этом воспринимает усилия от двух смежных оболочек.
6.43. Окончательный расчет неразрезных многоволновых оболочек следует производить с учетом податливости контурных диафрагм с помощью ЭВМ методами, характеристика которых приведена в
п. 6.40, в том числе с помощью практического метода расчета оболочек, изложенного в работе
[2], позволяющего учесть податливость всех четырех диафрагм, а также программы "Супер" (см.
прил. 2 настоящего Руководства).
В неразрезных многоволновых оболочках упругая податливость диафрагм оказывает большее влияние, чем в отдельно стоящих
[13]. В отдельно стоящих оболочках она влияет лишь на усилия, действующие в сечениях у диафрагм, в средних оболочках многоволнового покрытия - на усилия по всей конструкции, что должно учитываться при расчете и конструировании. На
рис. 6.11 приведены результаты расчетов средней оболочки многоволнового в одном направлении покрытия с учетом податливости диафрагм. Для оценки жесткости диафрагм оболочка рассчитывалась при диафрагмах в виде ферм, арок и криволинейных ригелей, опирающихся на стены, прогиб которых равен нулю (соответственно линии
1, 2, 3)
. Для сравнения на график, приведенный на
рис. 6.11, нанесены величины усилий (линия
4), полученные из расчета средней волны с жесткими диафрагмами. При абсолютно жестких диафрагмах, прогиб которых равен нулю, усилия
N1 по всему сечению оказываются сжимающими. Следовательно, в многоволновом покрытии с жесткими диафрагмами смежные оболочки должны оказывать друг на друга взаимное давление. Результаты расчета с учетом действительной жесткости диафрагм в виде арок и ферм показывают, что по линии сопряжения оболочек возникают усилия растяжения, причем при более гибких диафрагмах в виде арок действуют

растягивающие напряжения
N1, что следует учитывать при конструировании. При абсолютно жестких диафрагмах усилия
N2 на контуре равны нулю, а по всему сечению являются сжимающими. При учете податливости диафрагм в сечениях оболочек у контура возникают усилия растяжения и существенно увеличиваются величины сдвигающих усилий.

Рис. 6.11. Графики усилий N1, N2, S, M в многоволновых
неразрезных оболочках по результатам расчетов
1 - с учетом податливости диафрагм в виде ферм; 2 - то же,
в виде арок; 3 - то же, в виде криволинейных ригелей;
4 - без учета податливости диафрагм
Расчет несущей способности оболочек
6.44. Метод предельного равновесия рассматривает равновесие конструкции в момент исчерпания несущей способности и перехода в изменяемую систему
[6]. Рекомендуется принимать, что к моменту исчерпания несущей способности железобетонная оболочка расчленяется пластическими шарнирами на несколько жестких дисков
[29]. Вид и характер пластического механизма, конфигурация и относительная величина дисков в схеме излома железобетонных пологих оболочек зависят от вида нагрузки, свойств поверхности и условий закрепления контура и достаточно обстоятельно выявлены экспериментально.
Применительно к задачам о несущей способности железобетонных оболочек хорошо разработан кинематический метод теории предельного равновесия с использованием понятия об обобщенных пластических шарнирах (линиях излома) [
1,
3,
8,
10,
30].
Расчет прочности конструкций (первое предельное состояние) в этом случае рекомендуется производить согласно
п. 1.16 главы СНиП II-21-75 с учетом неупругих деформаций бетона и арматуры и наличия трещин, а также, в случае необходимости, деформированного состояния как отдельных элементов, так и конструкций.
6.45. Экспериментальные исследования позволили выявить, что при действии на оболочку равномерно распределенной нагрузки возможны общая и местная схемы разрушения. Наиболее наглядным примером общего разрушения является образование пятидисковой (шатровой) схемы излома (рис. 6.12). Расчетом по этой схеме рекомендуется проверять количество арматуры, установленной в угловой зоне оболочки (см.
пп. 6.46,
6.47 настоящего Руководства).
Рис. 6.12. Схема разрушения гладкой оболочки при действии
равномерно распределенной нагрузки
а - механизм разрушения; б - схема излома оболочки в плане;
в - эпюры пластических деформаций по линиям излома;
1 - первоначальная форма оболочки; 2 - форма оболочки
в стадии предельного равновесия; 3 - линии излома
(пластические шарниры); 4 - растянутые (разрывные) участки
линий излома; 5 - то же, сжатые
При образовании общей схемы разрушения прогибы оболочки к моменту исчерпания несущей способности малы по сравнению со стрелой подъема оболочки над опорной плоскостью. В этом случае рекомендуется использовать метод предельного равновесия в его классической постановке, когда при составлении уравнений равновесия внешних и внутренних сил пренебрегают изменением геометрии поверхности.
Местное разрушение связано с существенным изменением формы поверхности оболочки в ограниченной области. В ребристых железобетонных оболочках при действии распределенных нагрузок разрушение чаще всего наступает в результате исчерпания несущей способности полки между ребрами, что также относится к местному разрушению, а в случае приложения сосредоточенных нагрузок обычно наблюдается разрушение в виде конуса с вершиной под сосредоточенной силой. Расчет несущей способности оболочек при местном разрушении рекомендуется производить по методу предельного равновесия, при этом целесообразно учитывать изменение формы поверхности оболочки в стадии, близкой к разрушению - см.
пп. 1.43,
1.54 настоящего Руководства, а также работы [
28,
35,
36,
41,
42].
6.46. При выполнении предварительного расчета оболочки на прямоугольном плане со сторонами
2a и 2
b и радиусами кривизны срединной поверхности
Rx и
Ry с шарнирным опиранием по контуру, загруженной равномерно распределенной нагрузкой интенсивностью
q, необходимое количество дополнительной косой арматуры

в угловых зонах рекомендуется определять по формуле:

(6.28)
Здесь qад - усилие, воспринимаемое арматурой сетки плиты на длине 1 м в диагональном сечении;
Rд - приведенный радиус кривизны диагонального сечения, определяемый по формуле:

- угловая координата края оболочки в диагональном сечении, определяемая по формуле:
Fк - площадь сечения контурной арматуры, расположенной в контурных элементах на расстоянии i от плоскости, проходящей через вершины углов срединной поверхности;
Rау, Rак - расчетное сопротивление соответственно косой арматуры в угловой зоне и арматуры контура;

- угол наклона косой арматуры к диагонали плана;
t1 - расстояние от равнодействующей усилий в косой угловой арматуре до плоскости, проходящей через вершины углов срединной поверхности.
Если в
выражении (6.28) 
, то дополнительной косой арматуры в угловой зоне по расчету не требуется.
6.47. Окончательный расчет несущей способности оболочки с шарнирным опиранием по контуру при общем разрушении в результате действия равномерно распределенной нагрузки рекомендуется производить по пятидисковой схеме излома (см.
рис. 6.12) в соответствии с методикой, приведенной в работе
[10].
Приведенные формулы
[10] получены для пологих оболочек, имеющих форму эллиптического параболоида:
Они могут быть также рекомендованы для расчета пологих оболочек, имеющих другую форму поверхности (например, круговую поверхность переноса, внешнюю часть тора), поскольку несущая способность этих оболочек отличается незначительно.
Расчетное значение нагрузки q, отвечающее исчерпанию несущей способности оболочки, рекомендуется определять по формуле

(6.29)
Выражение (6.29) является функцией двух переменных величин

и

, так как остальные пять параметров

,

,

,

,

имеют определенные значения для каждой конкретной оболочки:

(6.30)
f1, f2 - стрелы подъема оболочки на контуре;
Fi, Fу - площадь сечения стержня соответственно арматурной сетки и дополнительной косой (угловой) арматуры;
u,
u1 - расстояния соответственно между стержнями арматурной сетки плиты и между угловыми стержнями дополнительной косой арматуры (общее количество дополнительной косой арматуры в угловых зонах задается на основе расчета по
п. 6.46 настоящего Руководства).
Величины

и

, соответствующие минимуму функции Ф
5, представляют собой параметры схемы излома, так как определяют размеры среднего диска (см.
рис. 6.12).
Минимум функции

рекомендуется определять с помощью ЭВМ методом перебора неизвестных

и

. Зная значение min Ф
5, по
формуле (6.29) находят значение расчетной нагрузки
q.
6.48. При расчете несущей способности прямоугольных в плане ребристых оболочек с шарнирным опиранием по контуру рекомендуется сечение арматуры ребер в поле оболочки распределить равномерно ("размазать") по поверхности, проведенной через центры тяжести арматуры подкрепляющих ребер параллельно срединной поверхности оболочки [
3,
10]. При расчете несущей способности оболочек при общем разрушении в результате действия равномерно распределенной нагрузки рекомендуется, как и в
п. 6.47 настоящего Руководства, рассматривать пятидисковую схему излома (рис. 6.13), определяемую двумя параметрами

и

.
Рис. 6.13. Схема разрушения ребристой оболочки под действием
равномерно распределенной нагрузки
а - схема излома оболочки в плане; б - сечение контурного
и промежуточного ребер
Для ребристой оболочки с одинаковым шагом ребер
lр в обоих направлениях величину расчетной равномерно распределенной нагрузки
q рекомендуется определять по формуле, приведенной в работе
[10]:

(6.31)
Полученное выражение является функцией двух искомых переменных величин

и

и восьми параметров, которые для конкретной оболочки определяют по формуле

(6.32)
Fр - площадь сечения нижней арматуры ребер;
h0 - расстояние от нижней арматуры ребер до срединной поверхности поля оболочки.
Минимум функции

рекомендуется определять на ЭВМ по методу перебора неизвестных

и

. Величины неизвестных рекомендуется искать в интервале

;

. Определив величину

и соответствующие ей значения

и

, определяют величину расчетной нагрузки
q по
формуле (6.31).
6.49. Ребристые оболочки с квадратным планом имеют одинаковые стрелы подъема на контуре

.
В этом случае угловые линии излома проходят вдоль диагоналей плана и схема излома имеет один неизвестный параметр

. При этих условиях
формула (6.31) примет вид:

(6.33)
Минимум функции

находят методом перебора одной неизвестной

в пределах

. Зная величину

, по
формуле (6.33) находят значение расчетной нагрузки
q. Формулой (6.33) рекомендуется пользоваться также при расчете квадратных в плане гладких оболочек, приняв

.
6.50. Одной из возможных схем разрушения железобетонных оболочек при величине параметра кривизны
k* > 60, как это показано в работе
[34], является образование одиночной вмятины, преимущественно в угловой зоне оболочки. Величина параметра кривизны
k* определяется по формуле

(6.34)
Наряду с расчетам по полной схеме должна быть вычислена величина несущей способности оболочки при локальном разрушении.
6.51. Несущая способность пологих железобетонных оболочек, защемленных по контуру, при местном разрушении с образованием отдельной вмятины в результате действия равномерно распределенной нагрузки
(рис. 6.14) может быть найдена по методу предельного равновесия с учетом изменения формы поверхности оболочки в зоне разрушения [
36,
41]. Расчет несущей способности производится для части оболочки во вмятине, представляющей собой как бы отдельную сферическую оболочку, круглую в плане, с упругим защемлением по контуру. Несущую способность оболочки
q при локальном разрушении определяют по формуле

(6.35)
Рис. 6.14. Схема разрушения оболочки с образованием
локальной вмятины
1 - наиболее вероятные места образования вмятин;
2 - кривая прогибов
Здесь
где

- угловая координата вмятины;
R - начальный радиус кривизны срединной поверхности оболочки во вмятине;
h0 - полезная высота сечения оболочки;
n, m - предельные величины соответственно нормального усилия и момента, воспринимаемых в железобетонном сечении кольцевого пластического шарнира;
w - прогиб оболочки к моменту разрушения.
При определении прогиба в центре вмятины рекомендуется учитывать прогиб центральной безмоментной части оболочки за зоной вмятины, укорочение дуги меридионального сечения оболочки во вмятине в результате действия сжимающих усилий и дополнительный прогиб, вызванный поворотом опорного сечения на краю вмятины. В результате деформации поверхности на краю вмятины возникает момент
m. Действительные значения момента и нормальной силы в
формуле (6.35) рекомендуется находить последовательным приближением искомых величин к предельным, лежащим на кривой, изображающей зависимость
m-
n для рассматриваемого внецентренно сжатого сечения на контуре вмятины. Найденные предельные значения нормальной силы и момента в железобетонном сечении кольцевого пластического шарнира, а также соответствующего им прогиба центра вмятины, подставляют в
уравнение (6.35) для нахождения локально-экстремального значения предельной нагрузки для заданного размера вмятины. Для нахождения действительного размера вмятины и соответствующей ему величины разрушающей нагрузки
уравнение (6.35) рекомендуется решать численно с использованием шаговой процедуры по размерам вмятины, в процессе которой определяется минимум предельной нагрузки. При определении действительного размера вмятины и величины разрушающей нагрузки рекомендуется учитывать влияние начального несовершенства поверхности, которое при значительном искажении ее исходной геометрии может привести к существенному снижению несущей способности оболочек.
6.52. Для оболочек с податливыми диафрагмами весьма важно устройство угловых и контурных утолщений поля. Рекомендации по устройству утолщений приведены в
п. 6.11 настоящего Руководства.
При наличии угловых и контурных утолщений вмятина формируется за их границей и оказывается обжатой со всех сторон нормальными силами. Несущая способность оболочек с податливыми диафрагмами при этом увеличивается, приближаясь к защемленным по контуру (см.
п. 6.51 настоящего Руководства). В этом случае существенное влияние на несущую способность оболочки оказывает жесткость верхнего пояса диафрагм на кручение. Для того чтобы кручение верхнего пояса не вызывало значительного снижения несущей способности оболочки, его размеры рекомендуется назначать в соответствии с
табл. 6.15 [37], где приведены значения высоты сечения бортового элемента
H в зависимости от толщины поля плиты

при условии, что его ширина
B =
H. В случае прямоугольного сечения бортового элемента его размеры рекомендуется назначать из условия восприятия той же величины крутящего момента.
Примечание. В
табл. 6.15 
- угловая координата края оболочки в среднем сечении.
В случае выполнения указанных конструктивных требований несущую способность оболочек с податливыми диафрагмами рекомендуется определять по
формуле (6.35). При этом величину прогиба
w в зоне вмятины рекомендуется определять следующим образом:
вычисляют для заданного размера вмятины первоначальную длину дуги меридионального сечения оболочки во вмятине

и длину стягивающей ее хорды

. Учитывают, что под действием сжимающих усилий
n, действующих в области вмятины, дуга меридионального сечения оболочки
s1 сократится до величины
s2:

(6.36)
здесь
где Eд.б - модуль деформаций бетона;
kп - коэффициент, учитывающий увеличение деформаций вследствие кратковременной ползучести бетона. Для тяжелого бетона на крупном заполнителе kп = 0,85;
c - коэффициент, учитывающий увеличение деформаций элемента вследствие длительной ползучести бетона (значения
c в зависимости от характера действующей нагрузки и условий эксплуатации конструкций приведены в
табл. 35 главы СНиП II-21-75).
В
формуле (6.36) коэффициент 0,85 учитывает образование трещин в краевой зоне вмятины, а при определении
Eд.б - коэффициент
3/
4 учитывает влияние возможных несовершенств в толщине поля оболочки, отклонение арматуры в сечении от проектного положения, а также возможную неоднородность бетона.
За счет обжатия оставшейся части оболочки за зоной вмятины край вмятины получит дополнительное перемещение

, величину которого рекомендуется определять по формуле

(6.37)
где

и

- угловые координаты, определяющие соответственно положение края оболочки и границы зоны краевого утолщения поля оболочки. При опирании оболочки на стены или часто расположенные по контуру колонны принимают

.

(6.38)
а стрелу подъема деформированной части оболочки в зоне вмятины приближенно по формуле

(6.39)
Составляющая прогиба w1 = f1 - f2,
где f1 - первоначальная стрела подъема части оболочки во вмятине.
При упругом защемлении на краю вмятины возникает угол поворота

,
где

;
Поворот края вызывает появление на границе вмятины момента

и дополнительного усилия в области вмятины

, где

.
Таким образом, за зоной вмятины нормальное усилие
.
Стрела подъема в центре вмятины изменяется на величину w2, определяемую по формуле

(6.40)
Значения параметров

,

и
i рекомендуется находить по формуле
Полный прогиб оболочки во вмятине w определяют по формуле
w = w1 + w2. (6.42)
Дальнейший расчет рекомендуется производить в соответствии с методикой, изложенной в
п. 6.51 настоящего Руководства, и блок-схемой, приведенной на
рис. 6.15. В первом приближении относительную высоту сжатой зоны рекомендуется принимать равной граничному значению при внецентренном сжатии

и в соответствии с полученным результатом вычислять значение
n на первом шаге. Заданное значение нормальной силы и найденное значение момента в сечении кольцевого пластического шарнира сравнивают с предельным. Если прочность сечения оказывается более высокой и при данном сочетании нормальной силы и момента разрушения произойти не может, нормальная сила получает приращение и расчет повторяется. Расчет рекомендуется выполнять с помощью ЭВМ. Он может быть реализован по программе, разработанной НИИЖБ и составленной на языке "Алгол" применительно к ЭВМ М-220.
Рис. 6.15. Блок-схема решения задач по определению несущей
способности оболочек при локальном разрушении в результате
действия равномерно распределенной нагрузки
6.53. Прямоугольную в плане оболочку с различными радиусами кривизны рекомендуется приближенно рассчитывать по методике, изложенной в
пп. 6.51,
6.52 настоящего Руководства, заменяя ее сферической оболочкой на квадратном плане. При проведении расчета прямоугольную в плане оболочку со сторонами 2
a и 2
b, с радиусами кривизны
Rx и
Ry рекомендуется приводить к квадратной со сторонами 2
aк и радиусом кривизны
R. При этом

(6.43)

(6.44)
где fк - стрела подъема центра приведенной квадратной оболочки;
f = fx + fy, а fx и fy - стрелы подъема исходной оболочки в направлениях x и y.
Зная fк, находят R по формуле

(6.45)
Начальный радиус кривизны Rв в зоне вмятины, отличающийся от R, находят по формуле

(6.46)
где
После приведения прямоугольной оболочки к квадратной расчет ее несущей способности рекомендуется производить по
формуле (6.35).
6.54. При усилении гладкой оболочки системой подкрепляющих ребер ее несущая способность значительно возрастает. Однако при редко поставленных ребрах может наступить разрушение поля оболочки между ребрами до образования вмятины, включающей в себя ребра. В связи с этим ребристые оболочки рекомендуется первоначально рассчитать как конструктивно-ортотропные (приведенные к гладким), а затем отдельно проверить несущую способность поля оболочки между ребрами, которая должна быть не ниже общей несущей способности оболочки.
6.55. При проверке несущей способности поля плит ребристых оболочек основное внимание уделяется расчету плит на воздействие распределенной нагрузки в местах снеговых мешков, так как с целью уменьшения количества типоразмеров сборных плит их толщину, как правило, принимают постоянной. При этом несущую способность поля проверяют при средней интенсивности расчетной распределенной нагрузки для рассматриваемой зоны.
6.56. Несущую способность поля ребристых оболочек, собираемых из цилиндрических панелей, рекомендуется определять в зависимости от места расположения панели в конструкции. В панелях у контура с некоторыми допущениями схема разрушения может быть принята аналогично схеме разрушения в плоских плитах, опертых по контуру
(рис. 6.16) [39]. Однако в отличие от плит часть сечений по линиям излома является криволинейной. Сечение оболочки по каждой линии излома в предельном состоянии целиком находится в состоянии текучести, а зона растяжения отделяется от зоны сжатия нейтральной линией, совпадающей с взаимной осью вращения смежных частей оболочек.
Рис. 6.16. Расчетная схема плиты ребристой цилиндрической
панели сборной оболочки, расположенной в приконтурной зоне
а - схема излома; б - перемещения панели в предельной
стадии; в - сечение по криволинейному контуру панели
В криволинейных сечениях длину x участков сжатия рекомендуется находить из условия равновесия

(6.47)
где fа - площадь арматуры на единицу длины сечения полки;
r - радиус кривизны панели;

- половина центрального угла, рад.
Предельный момент

в криволинейном сечении определяют по формуле

(6.48)
где
Величина предельной нагрузки q на единицу площади проекции полки при принятом армировании определяют по формуле

(6.49)
где

,

,

,
- предельные моменты в сечениях; индексы I, II относятся к опорным сечениям, 1, 2 - к пролетным;
l1, l2 - пролеты полки (расстояние между внутренними гранями ребер).
6.57. Толщина поля и армирование панелей вне приконтурной зоны могут быть уменьшены за счет благоприятного влияния, оказываемого на несущую способность поля оболочки сжимающих усилий, действующих вдоль криволинейной образующей панелей.
Несущую способность поля цилиндрических панелей вне приконтурной зоны рекомендуется определять исходя из схемы разрушения, представленной на
рис. 6.17 для участка поля оболочки в виде прямоугольника размером
l1 x
l2, заключенного между продольными и поперечными ребрами панелей. Размеры сторон зоны разрушения принимаются равными шагу ребер за вычетом их ширины.
В весьма пологой цилиндрической панели нормальные усилия n2, действующие вдоль прямолинейной образующей, начинают резко ухудшать работу поля оболочки после того, как прогиб центра рассматриваемого участка зоны разрушения превысит 0,46f. Этот прогиб численно равен расстоянию от центра срединной поверхности поля оболочки до места приложения равнодействующей нормальных усилий N2 на контуре (рис. 6.17) при треугольной эпюре их распределения с максимумом в угловой зоне.
Рис. 6.17. Расчетная схема плиты ребристой цилиндрической
панели оболочки, расположенной вне приконтурной зоны
а - схема разрушения плиты между ребрами; б - взаимодействие
усилий на контуре зоны разрушения
Несущую способность поля цилиндрической панели q с учетом прогиба к моменту разрушения находят по формуле
q = qN + qM, (6.50)

(6.51)
Здесь
N1 - величина нормальной силы, действующей перпендикулярно стороне
l1 (рис. 6.17), определяемая по формуле

.
При определении
N1 принимается параболическая форма эпюры нормальных усилий
n1 с максимумом в середине стороны
l1 [11]. При вычислении

рекомендуется принимать относительную высоту сжатой зоны

, соответствующую границе между случаями внецентренного сжатия с большими и малыми эксцентриситетами. При армировании приконтурной зоны одной сеткой

(6.52)
где fа - площадь растянутой арматуры, перпендикулярной стороне l1, на единицу длины.
При расчете рекомендуется принимать сетку, расположенную в сечении с одинаковыми защитными слоями продольных и поперечных стержней.
В случае армирования плиты двумя сетками по высоте сечения при вычислении

учитывается только первый член в правой части
формулы (6.52). В
(6.51) f* стрела подъема деформированной поверхности оболочки с учетом смещения точки приложения нормальных усилий в опорном сечении приближенно находится по формуле

(6.53)
При определении
qм по
формуле (6.49) предельные моменты

и

рассчитывают по формуле
где
- значения предельного изгибающего момента на длине 1 м, воспринимаемого железобетонным внецентренно сжатым сечением плиты при высоте сжатой зоны, отвечающей нормальному усилию

:

(6.54)
Количество арматуры
fа, вводимое в расчет при вычислении

и

по
формулам (6.52) и (6.54), должно быть ограничено условием

(6.55)
6.58. В ребристых оболочках сосредоточенные нагрузки от подвесного транспорта, фонарной надстройки, подвесного потолка и т.п. рекомендуется прикладывать в местах пересечения ребер. Разрушение таких оболочек наступает с образованием местной вмятины в виде конуса с вершиной в месте приложения силы с появлением радиального и кольцевого пластических шарниров. Кольцевая трещина, ограничивающая зону разрушения, может иметь круговое или эллиптическое очертание в зависимости от высоты пересекающихся ребер и главных радиусов кривизны поверхности. Пластические шарниры, образующиеся в ребрах под силой и в месте пересечения с кольцевой трещиной, работают на внецентренное сжатие. Однако в шарнире под силой арматура ребер достигает своего расчетного сопротивления, а в кольцевом пластическом шарнире прежде наступает разрушение бетона со стороны наиболее напряженной нижней грани сечения.
Расстояние от места приложения сосредоточенной нагрузки до кольцевых пластических шарниров в ребрах

и

рекомендуется находить по формуле, приведенной в работе
[38]

(6.56)
где R - радиус кривизны оболочки в рассматриваемом направлении;
Iп - погонный момент инерции оболочки с учетом ребер рассматриваемого направления;

- приведенная толщина оболочки с учетом площади ребер, перпендикулярных рассматриваемому направлению.
6.59. Для приближенной оценки несущей способности ребристых оболочек при действии сосредоточенных нагрузок может быть использован метод расчета, изложенный в работе
[38], в котором не учитывается изменение формы поверхности оболочки под нагрузкой.
Величина разрушающей нагрузки в работе
[38] находится кинематическим методом предельного равновесия из условия равенства работы внешних и внутренних сил на перемещениях в рассматриваемой схеме разрушения
(рис. 6.18). Для оболочек с различными радиусами кривизны или с ребрами различного сечения разрушающую нагрузку
Pраз определяют по формуле

(6.57)
где

;

;

- предельные моменты соответственно в ребре в месте кольцевого шарнира; в ребре под силой; момент в радиальном сечении, определяемый как полусумма моментов по сечениям вдоль ребер.
Рис. 6.18. Схема разрушения ребристой оболочки в зоне
приложения сосредоточенной нагрузки
Для общего и наиболее распространенного случая, когда ребра имеют трапециевидное сечение, предельный момент в кольцевых сечениях

определяют по формуле

(6.58)
где bс - ширина нижней грани ребра;
b'р - ширина ребра на уровне верхней арматуры;
h0, a - расстояния соответственно от нижней или верхней грани ребра до центра тяжести верхней арматуры;
Fа - площадь нижней арматуры ребра.
Предельный момент

в ребре под силой определяют по формуле

(6.59)
где
zр - расстояние от центра тяжести нижней арматуры ребра до центра тяжести сжатой зоны в радиальном сечении оболочек (рис. 6.19). В радиальных сечениях сжатая зона обычно находится в пределах защитного слоя бетона, при этом

, где
fа - принимается по
формуле (6.47);
z0 - расстояние от центра тяжести арматуры полки до центра тяжести сжатой зоны в радиальном сечении оболочек.
Рис. 6.19. Схема взаимодействия усилий
в радиальном сечении оболочек
Площадь сжатого бетона Fб в радиальных пластических шарнирах, необходимая для определения zр и z0, определяют из условия равновесия усилий в сжатой и растянутой зонах по формуле
FбRпр = 0,5FаRа + fаRаrк. (6.60)
6.60. Расчет с целью установления более точного значения величины несущей способности оболочки при действии сосредоточенных нагрузок рекомендуется выполнять с учетом изменения формы поверхности оболочки к моменту разрушения [
42,
43].
При определении величины предельной нагрузки
P рассматривается прочность двух взаимно перпендикулярных сечений вдоль ребер в стадии предельного равновесия
(рис. 6.20). Принимается, что ребро, расположенное в направлении оси
y, вместе с примыкающей к нему частью оболочки, воспринимает часть общей нагрузки
Py, а ребро другого направления - часть общей нагрузки
Px. Из рассмотрения условий равенства моментов внешних и внутренних сил относительно оси
x в плоскости сечения оболочки
zox находят
Py по формуле

(6.61)
Рис. 6.20. Схема взаимодействия усилий в зоне приложения
сосредоточенной нагрузки
Ребро другого направления воспринимает часть нагрузки
Px, которую определяют аналогичным способом по
формуле (6.61) с заменой индексов, указывающих направление сил.
Здесь Nx, Ny - предельные нормальные усилия, воспринимаемые сечениями ребер;

,

- угловые координаты кольцевых пластических шарниров в ребрах;
qаy - усилие, воспринимаемое арматурой, расположенной в растянутой зоне поля оболочки на длине 1 м;
Fаy - площадь нижней арматуры ребра в сечении под силой;
zаy - расстояние от арматуры ребра до середины полки плиты;
Mпрy - предельный момент, воспринимаемый ребром в сечении кольцевого пластического шарнира при внецентренном сжатии;
mк - величина изгибающего момента в кольцевом пластическом шарнире плиты на длине 1 м;
lx, ly - параметры, учитывающие форму и размер кольцевого шарнира и определяемые по формуле

(6.62)
a и
b - полуоси эллипса излома
(рис. 6.20). В случае образования кругового излома радиуса
r0 принимаем
lx = ly = r0.
Полную нагрузку P находят по формуле
P = Px + Py. (6.63)
При расчете по
формуле (6.61) с учетом изменения формы поверхности истинную величину предельной нормальной силы находят по методу последовательных приближений. Значения
Nx и
Ny вычисляют одновременно с деформациями системы, для чего последовательно рассматривают условные арки в направлении осей
x и
y со стрелами подъема соответственно
fx и
fy. Принимается, что совместно с ребром работают примыкающие части поля оболочки шириной по 6
hп, где
hп - толщина поля панели. Первоначально рекомендуется построить кривую прочности в координатах
N-M для заданного сечения условной тавровой арки ребра в кольцевом пластическом шарнире при внецентренном сжатии.
В первом приближении рекомендуется назначать величину нормальной силы, отвечающую граничным значениям относительной высоты сжатой зоны

, при котором предельное состояние элемента наступает одновременно с достижением в растянутой арматуре напряжения, равного расчетному сопротивлению. При заданном значении нормальной силы
N рекомендуется найти укорочение дуги условной арки в результате ее обжатия. При напряжениях, превышающих 0,2
Rпр, для определения относительных деформаций бетона

рекомендуется воспользоваться зависимостью, позволяющей построить диаграмму

для сжатого бетона на всем диапазоне нагрузок вплоть до разрушения:

(6.64)
Значения предельных деформаций сжатия

рекомендуется находить по формуле

(6.65)
где K1 - коэффициент, принимаемый равным 0,73 для мелкозернистого бетона с повышенным расходом цемента. Для обычных бетонов с крупным заполнителем K1 = 1.
Исходя из напряженно-деформированного состояния загруженного ребра оболочки в зоне разрушения, условные арки по длине целесообразно разделить на три участка s11, s21, s31 и сокращение длины каждого из них подсчитать с учетом напряженного состояния сечения. Радиус кривизны арки R' (оси центров тяжести сечений) принимается равным R - c', где c' - расстояние от центра тяжести сечения условной арки до середины плиты (для удобства написания индексы x и y, определяющие направление сечений, отбрасываем).
Длина дуги арки

, а стягивающей ее хорды

. Средний участок арки
s11 длиной
s/5 работает в условиях внецентренного сжатия с большими эксцентриситетами. В условиях сжатия находится только полка сечения. Нормальные напряжения

, условно равномерно распределенные по высоте полки на длине участка
s11, рекомендуется приближенно находить по формуле

(6.66)
где Fа, F'а - площадь соответственно растянутой и сжатой арматуры;
F1 - приведенная площадь сечения бетона полки шириной 12hп + b.
Если окажется, что

, принимают

.
Крайние участки арки
s31 общей длиной
s/5 работают в условиях внецентренного сжатия с малыми эксцентриситетами. Нормальные напряжения

по длине
s31 приближенно выражаются формулой

(6.67)
где

- напряжения в арматуре для внецентренно сжатых сечений. Они определяются по главе
СНиП II-21-75 в зависимости от марки бетона, класса арматуры и относительной высоты сжатой зоны;
F3 - приведенная площадь сечения ребра без свесов полок.
Участки арки
s21 суммарной длиной 3
s/5 работают в условиях, близких к сжатию, поэтому

приближенно рассчитывают по формуле

(6.68)
где F2 - приведенная площадь всего сечения условной арки.
В результате сжатия длины участков s11, s21 и s31 сократятся, и их новая длина может быть найдена по формуле

(6.69)
Здесь

(см.
п. 6.36 настоящего Руководства);
c1,
c2 и
c3 - (коэффициенты, вычисляемые по
формуле (6.64) в зависимости от действующего уровня напряжений

,

и

.
Новую длину дуги арки s1 рассчитывают по формуле
s1 = s12 + s22 + s32. (6.70)
При расчете прогиба арки
w1 от обжатия нормальными силами рекомендуется учитывать увеличение расстояния между пятами арки

за счет обжатия бетона за пластическим шарниром в зоне шириной
s/5 по формуле

(6.71)
Новую длину хорды l1 определяют по формуле

(6.72)
Стрелу подъема f1 деформированной оболочки находят приближенно по формуле

(6.73)
тогда прогиб w1 = f - f1 (где f - начальная стрела подъема оболочки в зоне вмятины).
Новое значение угловой координаты края вмятины

и радиуса кривизны деформированной поверхности
R'1 находят по формуле:

(6.74)
В результате прогиба ребра на контуре вмятины возникает угол поворота

и изгибающий момент
M, определяемый по формуле

(6.75)
где

;
I - момент инерции поперечного сечения условной арки;
Полученные значения нормальной силы N и момента M рекомендуется нанести на кривую прочности сечения в координатах N-M. В случае их несовпадения значению N дают приращение и вычисление повторяют. Шаговый метод определения величин N и M рекомендуется реализовать с помощью ЭВМ.
Поворот опорного сечения на угол

вызовет дополнительно приращение прогиба в центре вмятины. При вычислении приращения прогиба
w2 рекомендуется учитывать увеличение стрелы подъема условной арки до
f'1 вследствие смещения точек приложения нормальных сил в опорном сечении и в ключе оси арки. Смещение точки приложения нормальной силы в опорном сечении приведет к сокращению расчетной величины хорды, и ее новую длину
l2 рекомендуется определять по формуле

(6.76)
где e0 = M/N.
Новую стрелу подъема f'1 условной арки находят по формуле

(6.77)
Радиус кривизны R2 новой оси арки, соединяющей точки приложения сил в опорном сечении и в ключе, рекомендуется определять по формуле

(6.78)
а угловую координату

, определяющую положение опоры арки, - по формуле

(6.79)
Дополнительную составляющую прогиба w2 находят по формуле

(6.80)
где

,

.
Суммарный прогиб w деформированной поверхности определяют по формуле
Стрелу подъема f2 деформированной поверхности определяют по формуле
а радиус кривизны R' условной арки - по формуле
R' = l2/8f2. (6.83)
Для определения разрушающей нагрузки с учетом деформированной поверхности в
формулу (6.56) подставляют значения угловой координаты

и радиуса кривизны
R, вычисленные по формуле

(6.84)
с указанием индексов x или y, соответствующих направлению рассматриваемых арок.
Прогиб арки в направлении
y, определенный по
формуле (6.81), обозначим
wy, а в направлении
x -
wx. В общем случае эти прогибы не равны между собой. За прогиб всей системы рекомендуется принимать максимальную величину прогиба. Угловые координаты

и

и радиусы кривизны
Rx и
Ry пересчитывают в соответствии с найденным прогибом всей системы по
формулам (6.82) -
(6.84). Найденные значения радиусов кривизны и угловых координат деформированной поверхности вместе со значениями
Nx,
Ny подставляют в
уравнение (6.61) и по
формуле (6.66) находят несущую способность оболочки с учетом деформирования системы к моменту разрушения. Расчет оболочек по предложенному методу реализуется в соответствии с блок-схемой, приведенной на
рис. 6.21, с помощью разработанной НИИЖБ программы на языке "Алгол" применительно к ЭВМ М-220.
Рис. 6.21. Блок-схема решения задач по определению
несущей способности ребристых оболочек при действии
сосредоточенных нагрузок
6.61. При расчете несущей способности оболочек следует учитывать конструктивные особенности стыков сборных элементов, места приложения нагрузки и способы опирания загруженных плит на контур:
а) если в месте приложения нагрузки арматура смежных ребер в направлениях
x или
y не соединяется, то в
формуле (6.57) 
или

принимают равным нулю. Аналогично для
Px или
Py принимают равным нулю выражение
FаxRаzаx или
FаyRаzаy в
формуле (6.61);
б) если расстояние от места приложения сосредоточенной нагрузки до контурного элемента менее 1,5
rк, то, как правило, надежное защемление ребра на контуре, препятствующее его повороту, не может быть обеспечено. В связи с этим необходимо учитывать возможность образования только трех кольцевых пластических шарниров в ребрах и производить расчет с учетом несущей способности контурного элемента на кручение. Последняя определяется по главе
СНиП II-21-75 для случая расположения сжатой зоны у боковой грани сечения.
При

соответствующий член
формулы (6.57), учитывающий работу ребер, принимается в виде, предложенном в работе
[38]:

(6.85)
Точно так же для определения
Py в
формулу (6.61) вместо
Mпр.у вводят

и множитель 0,5 к
Ny. При тангенциально-подвижном опирании плит (см.
п. 6.19 настоящего Руководства) принимают

. Несущую способность ребра другого направления
Px находят по
формуле (6.61) с заменой индексов, указывающих направления осей;
в) если подвески крановых путей для подвесного транспорта передают одновременно несколько сосредоточенных сил, то для того, чтобы одна из сил не оказывала влияния на другую, т.е. зоны действия нагрузок не пересекались и не соприкасались, подвески должны быть расположены друг от друга на расстоянии более 2
rк. В случае если зоны разрушения при действии двух одинаковых сосредоточенных нагрузок соприкасаются (что наблюдается, например, в типовых конструкциях) или пересекаются, в
формулу (6.61) для определения составляющих нагрузки
Px или
Py (6.61) в первом случае вводят коэффициент 0,75 к значениям
Mпр и
N, а во втором случае - коэффициент 0,5.
6.62. Равномерная нагрузка оказывает незначительное влияние на напряженно-деформированное состояние оболочки в зоне вмятины, возникшее в результате действия сосредоточенной нагрузки. Сосредоточенная нагрузка определяет места концентрации усилий в зонах будущих пластических шарниров и общее разрушение. Хотя сжимающие усилия от равномерной нагрузки, возникающие в поле оболочки, невелики, их необходимо учитывать при составлении уравнений равновесия внутренних сил
[43]. Они могут быть представлены как усилия распора, распределенные вдоль кольцевого шарнира, которые достигают максимального значения вблизи ребер, где жесткость оболочки имеет наибольшее значение.
Часть предельной величины сосредоточенной силы P'y, вызывающей разрушение оболочки при одновременном действии распределенной нагрузки q, находят из равенства моментов внешних и внутренних сил. В окончательном виде формула имеет вид
P'y = Py - Dy. (6.86)

(6.87)
где i - погонный момент инерции поля оболочки;
Ix, Iy - моменты инерции ребер оболочки с примыкающими частями полки шириной 12hп + bп;

,

- ширина ребер в местах примыкания к плите;
hп - толщина поля оболочки.
Аналогичным способом находят выражение для P'x:
P'x = Px - Dx, (6.88)
где
Dx - определяется по
формуле (6.87) с заменой индексов x на
y и
y на
x. Следует также принять
Полное значение предельной нагрузки равно P' = P'x + P'y.
Как видно из
формулы (6.87), снижение величины сосредоточенной нагрузки зависит от соотношения жесткостей поля оболочки и ребер. При увеличении относительной жесткости поля величина
D =
P -
P' уменьшается. Это дает возможность в процессе проектирования, назначая оптимальные соотношения жесткостей поля и ребер, свести к минимуму нежелательное влияние равномерной нагрузки, если прочность оболочки ограничивается величиной сосредоточенной силы.
1.
Ахвледиани Н.В. О несущей способности пологих оболочек покрытий двоякой кривизны. - В кн.: Исследования по теории сооружений. М., Госстройиздат, 1962, Вып. 11.
2.
Бартенев В.С. Практический способ расчета пологих железобетонных оболочек положительной гауссовой кривизны на прямоугольном плане. - В кн.: Тонкостенные железобетонные пространственные конструкции. М., Стройиздат, 1970.
3.
Варвак М.Ш., Дубинский А.М., Дехтярь А.С. Предельное равновесие пологих оболочек, подкрепленных ребрами. - Прикладная механика, 1966, т. II, вып. 9.
4.
Власов В.З. Общая теория оболочек и ее приложение в технике. М., Гостехиздат, 1949.
5. Гаранин Л.С. Расчет пологих оболочек. М., Стройиздат, 1964.
6.
Гвоздев А.А. Расчет несущей способности конструкций по методу предельного равновесия. М., Госстройиздат, 1948.
7. Гвоздев А.А., Проценко А.М. Перспективы применения теории предельного равновесия в расчетах оболочек. - В кн.: Труды VII Всесоюзной конференции по теории оболочек и пластин. М., Наука, 1970.
8.
Дехтярь А.С., Варвак М.Ш. Несущая способность пологих оболочек с центральным отверстием. Прикладная механика, т. IV, вып. 3, 1968.
9.
Дикович В.В. Пологие прямоугольные в плане оболочки вращения. М. - Л.
, Госстройиздат, 1960.
10.
Дубинский А.М. Расчет несущей способности железобетонных плит и оболочек. Киев, Будiвельник, 1976.
11.
Коробов Л.А. О несущей способности покрытий в виде оболочек положительной кривизны из цилиндрических панелей. - Бетон и железобетон, 1973, N 8.
12.
Колкунов Н.В. Основы расчета упругих оболочек. М., Высшая школа, 1963.
13.
Краковский М.Б., Чиненков Ю.В. О совместной работе оболочек положительной гауссовой кривизны с диафрагмами. - Строит. механика и расчет сооружений, 1968, N 6.
14.
Кузьмич Т.А., Чиненков Ю.В. Об особенности работы оболочек положительной кривизны с переломами поверхности. - Строит. механика и расчет сооружений, 1972, N 6.
15. Липницкий М.Е., Горенштейн Б.В., Виноградов Г.Г. Железобетонные пространственные покрытия зданий. М. - Л., Стройиздат, 1965.
16.
Лукаш П.А. Расчет пологих оболочек и плит с учетом физической и геометрической нелинейности. - В кн.: Расчет конструкций, работающих в упругопластической стадии. М., Госстройиздат, 1961.
17.
Милейковский И.Е. Расчет оболочек и складок методом перемещений. М., Госстройиздат, 1960.
18.
Милейковский И.Е. и др. Практические методы расчета оболочек и складок покрытий. М., Стройиздат, 1970.
19. Милейковский И.Е., Золотов О.Н. К расчету складчатых систем на ЭЦВМ. - В кн.: Строительные конструкции. М., ЦНИИСК, 1970, вып. 6.
20. Мирзабекян Б.Ю., Рейтман М.И. Определение несущей способности оболочек при помощи линейного программирования. - Механика твердого тела, 1968, N 1.
21. Назаров А.А. Основы теории и методы расчета пологих оболочек. М. - Л., Стройиздат, 1966.
22. Никиреев В.М., Шадурский В.Л. Практические методы расчета оболочек. М., Стройиздат, 1966.
23.
Новожилов В.В. Теория тонких оболочек. Л., Судпромгиз, 1962.
24. Овечкин А.М. Расчет осесимметричных железобетонных конструкций. М., Госстройиздат, 1961.
25. Ольшак В., Савчук К. Неупругое поведение оболочек. М., Мир, 1969.
26.
Пастернак П.Л. и др. Железобетонные конструкции: Специальный курс. М., Стройиздат, 1961.
27.
Павилайнен В.Я. Расчет оболочек в многоволновых системах. М. - Л., Стройиздат, 1975.
28.
Проценко А.М. Предельное равновесие пологих оболочек. - В кн.: Труды VII Всесоюзной конференции по теории оболочек и пластин. М., Наука, 1970.
29.
Ржаницын А.Р. Расчет оболочек методом предельного равновесия. - В кн.: Исследования по вопросам теории пластичности и прочности строительных конструкций. М., Стройиздат, 1968.
30.
Ржаницын А.Р. Пологие оболочки и волнистые настилы. М., Госстройиздат, 1960.
31.
Справочник проектировщика, расчетно-теоретический/Под ред. Уманского А.А., М., Стройиздат, 1973, т. II.
32. Справочник по теории упругости/Под ред. Варвака П.М. и Рябова А.Ф. Киев, Будiвельник, 1971.
33.
Справочник проектировщика, типовые железобетонные конструкции зданий и сооружений для промышленного строительства. М., Стройиздат, 1975.
34.
Тимашев С.А. Рекомендации по расчету подкрепленных оболочек положительной кривизны на устойчивость/Уралпромстройпроект. Свердловск. 1974.
35.
Хайдуков Г.К., Исхаков Я.Ш. К расчету пологих железобетонных оболочек положительной гауссовой кривизны по предельному равновесию. - В кн.: Тонкостенные железобетонные пространственные конструкции. М., Стройиздат, 1970.
36.
Хайдуков Г.К., Шугаев В.В. Учет начальной погиби и конечных перемещений при расчете несущей способности пологих железобетонных оболочек методом предельного равновесия. - В кн.: Труды VII Всесоюзной конференции по теории оболочек и пластин. М., Наука, 1970.
37.
Х. Ван Котен, Хаас А.М. Влияние жесткости краев вмятины и ее размеров на критическую нагрузку при расчете оболочек на устойчивость. - В кн.: Большепролетные оболочки. М., Стройиздат, 1969.
38.
Чиненков Ю.В. Проектирование сборных оболочек для зданий с крановыми нагрузками. - Строит. механика и расчет сооружений, 1973, N 4.
39.
Чиненков Ю.В. Расчет полки панелей сборных железобетонных оболочек положительной гауссовой кривизны. В кн.: Строительное проектирование промышленных предприятий. М., Главпромстройпроект, 1968, серия 1, N 4.
40.
Чиненков Ю.В., Байниетов Т.Ч. Исследование оболочек положительной кривизны с диафрагмами в виде опертых на колонны криволинейных брусьев. - Строит. механика и расчет сооружений, 1976, N 2.
41.
Шугаев В.В. Определение несущей способности железобетонных пологих оболочек с учетом больших прогибов. - Строит. механика и расчет сооружений, 1970, N 1.
42.
Шугаев В.В. Учет деформирования поверхности при расчете железобетонных ребристых оболочек на сосредоточенные нагрузки методом предельного равновесия. - В кн.: Пространственные конструкции зданий и сооружений. М., Стройиздат, 1975, вып. 2.
43.
Шугаев В.В., Людковский А.М. Расчет несущей способности ребристых оболочек при комбинированном нагружении. - Бетон и железобетон, 1975, N 4.
44.
Шугаев В.В., Краковский М.Б., Людковский А.М., Шарапов Г.В. Исследование оболочек покрытий зданий со светоаэрационными фонарями и подвесным транспортом. - Строит. механика и расчет сооружений, 1974, N 4.
7. ОБОЛОЧКИ ОТРИЦАТЕЛЬНОЙ ГАУССОВОЙ КРИВИЗНЫ
НА ПРЯМОУГОЛЬНОМ ПЛАНЕ
7.1. Оболочки в форме гиперболического параболоида на квадратном и прямоугольном планах (гипары) применяют для покрытий производственных, общественных и складских зданий. Размеры перекрываемого плана могут изменяться в пределах от 10 до 70 м и более.
7.2. В покрытиях могут быть использованы однолепестковые и многолепестковые гипары (рис. 7.1,
7.2).
Рис. 7.1. Однолепестковые гипары
Рис. 7.2. Четырехлепестковые гипары
(а - е - возможные формы покрытий)
Уравнение срединной поверхности однолепесткового гипара может быть представлено в виде
z = C0xy + C1x + C2y + C3, (7.1)
где C0, ..., C3 - константы, которые находят по известным аппликатам четырех углов оболочки.
Например, для поверхности, приведенной на
рис. 7.1,
б из рассмотрения точки
x =
y = 0 имеем
C3 = 0, а из рассмотрения точки
x =
a;
y = 0 имеем
C1 =
f2/
a. Аналогичным образом получают
C2 =
f1/
b;
C0 = -(
f1/a
b) - (
f2/a
b). Точно так же определяют константы в остальных случаях.
Поверхности, приведенные на
рис. 7.1, можно получить движением прямой (образующей), пересекающей две скрещивающиеся прямые (направляющие). В процессе движения образующая остается параллельной одной из вертикальных координатных плоскостей. Направляющими могут быть выбраны прямые, проходящие по двум любым противоположным сторонам плана. Тогда начальное положение образующей может быть принято проходящим по одной из двух других сторон. В сечении поверхности вертикальными плоскостями, не параллельными координатным, лежат параболы. Параболы одного семейства обращены выпуклостью вниз, параболы другого - выпуклостью вверх.
Покрытие может быть образовано в результате комбинации однолепестковых гипаров. На
рис. 7.2 приведены возможные схемы покрытий, образованные сочленением четырех лепестков.
7.3. Особое внимание при расчете и конструировании оболочек отрицательной гауссовой кривизны рекомендуется уделять несимметричным нагрузкам. Они во многих случаях вызывают большие напряжения и деформации, чем симметричные. Гипары могут воспринимать значительные сосредоточенные нагрузки
[2].
7.4. Гипары могут выполняться сборными и монолитными (см.
п. 1.4 настоящего Руководства). Монолитные оболочки, как правило, конструируются гладкими, без ребер. В сборном варианте разрезка на плиты осуществляется по направлению прямолинейных образующих и направляющих. Плиты по краям окаймляются ребрами. Геометрические размеры и армирование ребер назначают, как правило, в соответствии с требованиями монтажа. Совпадение геометрии двух поверхностей - исходной и получаемой в результате сборки плит - достигается за счет переменной толщины монолитных швов.
Гипары могут изготовляться из тяжелого и легкого бетонов.
7.5. Гипары, как правило, проектируют с контурными элементами, в качестве которых обычно применяют бортовые балки и фермы. Сильно искривленные однолепестковые гипары относительно небольших пролетов (до 30 м) могут не иметь контурных элементов. Оболочки по контуру могут также опираться на ряд стоек. В оболочках, приведенных на
рис. 7.2, по линиям сопряжения отдельных лепестков расположены коньковые балки.
При действии равномерно распределенной нагрузки в зависимости от взаимного расположения оболочек в контурных элементах и коньковых балках возникают сжимающие либо растягивающие усилия
(рис. 7.2). При больших пролетах растянутые контурные элементы и коньковые балки рекомендуется выполнять с предварительным напряжением арматуры.
Собственный вес бортовых элементов, как правило, неблагоприятно сказывается на работе опирающихся по углам гладких гипаров. Поэтому сечения бортовых элементов рекомендуется назначать минимально возможными.
7.6. Во многих случаях гипары являются распорными конструкциями. Возникающий распор рекомендуется воспринимать затяжками. На
рис. 7.2 двойными пунктирными линиями показаны схемы расположения затяжек в различных покрытиях из четырехлепестковых гипаров. В покрытиях, приведенных на
рис. 7.2,
д,
е, затяжки не требуются. В однолепестковых гипарах, опертых на два противоположных угла, затяжку устанавливают между опорами.
7.7. При армировании необходимо учитывать, что под действием равномерной нагрузки гипары растянуты в направлении парабол, обращенных выпуклостью вниз, и сжаты в направлении парабол, обращенных выпуклостью вверх. Армирование гипаров рекомендуется осуществлять, располагая стержни по прямолинейным образующим и направляющим поверхности. Для армирования плит рекомендуется использовать сварные сетки из холоднотянутой проволоки. Нижние углы однолепестковых и многолепестковых гипаров могут быть армированы косыми стержнями, служащими для восприятия главных растягивающих усилий. Стержни имеют криволинейное очертание и располагаются по направлению не проходящей через эти углы диагонали прямоугольного или квадратного плана оболочки.
7.8. В сборных гипарах стыки плит должны обеспечивать восприятие сдвигающих и нормальных усилий. Стыки рекомендуется проектировать с учетом указаний
пп. 1.28 -
1.34 настоящего Руководства.
7.9. Расчет гипаров производят с учетом рекомендаций
пп. 1.42 -
1.56 настоящего Руководства. Усилия и перемещения рекомендуется определять исходя из предположения упругой работы материала по моментной теории с учетом действительных жесткостей контурных элементов и коньковых балок. Расчет может проводиться по программе Красноярского политехнического института, основанной на методе конечных разностей
[1]. Может быть использована также программа "Супер", основанная на методе конечного элемента (см.
прил. 2 настоящего Руководства).
Для предварительных расчетов в упругой стадии можно пользоваться таблицами, приведенными в работе
[3]. С их помощью определяют усилия и прогибы оболочек на квадратном плане, изображенных на
рис. 7.1,
б;
7.2,
а,
б,
в; рассматривается действие равномерно распределенной нагрузки; опирание оболочек по всем четырем сторонам - шарнирное.
7.10. Несущую способность гладких гипаров на квадратном плане при действии равномерно-распределительной нагрузки при их предварительном проектировании можно проверить по теории предельного равновесия согласно
пп. 7.11 -
7.17 настоящего Руководства. Схемы разрушения приведены в работе
[4].
Предельная нагрузка q на оболочку, определяемая по приведенным ниже формулам, включает массу оболочки, контурных ребер и коньковых балок.
Интенсивность предельной полезной нагрузки p определяют по формуле
p = q - g - gэ, (7.2)
где g - равномерно распределенная нагрузка от веса оболочки;
gэ - эквивалентная по работе внутренних сил равномерно распределенная нагрузка от веса контурных ребер. Формулы для ее определения приводятся ниже для каждого рассматриваемого случая.
l - сторона квадратного плана однолепестковой оболочки (по
рис. 7.1,
7.2,
l =
a =
b);
f - стрела подъема оболочки (по
рис. 7.1,
б,
f =
f1 =
f2);
hр,
bр - соответственно высота и ширина контурного ребра (
рис. 7.3,
б);

- нормативное сопротивление бетона осевому сжатию;

,

- предел текучести мягкой стали или условный предел текучести холоднотянутой проволоки соответственно арматуры поля и углов;

- то же, для арматуры ребра;
u x
u - размер ячейки арматурной сетки (
рис. 7.3,
а);
Fi, F1 - площадь сечения арматурного стержня соответственно сетки и угловой арматуры;
u1 - шаг угловой арматуры (
рис. 7.3,
а);
Fр - площадь всей арматуры в ребре;
Fз - площадь сечения затяжки;

- нормативное сопротивление металла затяжки;
hор - расстояние от центра тяжести арматуры ребра до срединной поверхности оболочки (рис. 7.3, б);
d - расстояние от угла оболочки до последнего стержня угловой арматуры (рис. 7.3, а);

- объемный вес бетона ребер.
а - армирование нижнего угла; б - примыкание оболочки
к контурному ребру; в - то же, к коньковому ребру
в четырехлепестковом покрытии с горизонтальными коньками;
1 - арматура ребра; 2 - арматура поля оболочки;
3 - угловая арматура

(7.3)
7.11. При расчете опертых на нижние углы однолепестковых гипаров (
рис. 7.1,
б, углы закреплены от горизонтальных смещений) предельную нагрузку
q на оболочку определяют по формуле

(7.4)
Коэффициент
Ki принимается в зависимости от величины коэффициента

, определяемого по формуле

(7.5)
При

(когда нейтральная ось линии излома не пересекает ребер)
Ki определяют по формуле

(7.6)
при

(когда нейтральная ось проходит в пределах ребер)
Ki определяют по формуле

(7.7)
Здесь
При отсутствии углового армирования принимают

. Для оболочек без контурных ребер значение коэффициента
Ki определяется по
формуле (7.6) при

.
Эквивалентную нагрузку gэ от массы контурных ребер определяют по формуле

(7.8)
Полное закрепление углов от горизонтальных смещений достигается установкой жесткой затяжки или контрфорсов. Жесткость затяжки, при которой углы могут считаться несмещаемыми, рекомендуется определять по
формуле (7.16).
7.12. При расчете опертых на нижние углы однолепестковых гипаров, когда углы не закреплены или частично закреплены от горизонтальных смещений (
рис. 7.1,
б, частичное закрепление углов от горизонтальных смещений достигается с помощью затяжек), предельную нагрузку
q находят по формуле

(7.9)
Для определения коэффициентов
Kj,

необходимо найти величину коэффициента

по формуле

(7.10)
тогда

(7.11)
При

(когда нейтральная ось проходит вне контурных ребер)
Kj определяют по формуле

(7.12)
При

(когда нейтральная ось пересекает ребра) следует предварительно вычислить коэффициент

по формуле

(7.13)
В этом случае Kj находят по формуле

(7.14)
здесь
При расчете оболочки без окаймляющих ребер коэффициент
Kj следует определять по
формуле (7.12) при

, а предельную нагрузку на оболочку без затяжки определяют при

.
Эквивалентную по работе внутренних сил равномерно распределенную нагрузку gэ от веса ребер определяют по формуле

(7.15)
Площадь сечения затяжки Fз, обеспечивающую несмещаемость нижних углов оболочки, находят из условия

(7.16)
где

(7.17)
если

(7.18)
если
При выполнении
условия (7.16) несущую способность оболочки определяют согласно
п. 7.11 настоящего Руководства.
7.13. При расчете однолепестковых гипаров, шарниро-опертых по контуру (
рис. 7.1,
б, установленные связи полностью закрепляют контур от вертикальных перемещений), определяют:
коэффициент Ki - по формуле

(7.19)
где

(7.20)
Параметр

- из уравнения

(7.21)
При определении предельной нагрузки
q на оболочку с затяжкой, соединяющей нижние углы, необходимо сравнить параметр

, вычисленный по
формуле (7.3), с параметром

, определяемым по формуле

(7.22)
где

- определяют из уравнения

(7.23)
При

предельную нагрузку
q на оболочку с затяжной определяют по
формулам (7.4),
(7.19) -
(7.21) с заменой
D и
E на
D' и
E', вычисляемые по формуле

(7.24)
При

сечение затяжки следует назначать по
формуле (7.16), заменив в ней знак неравенства на знак равенства; при этом предельную нагрузку
q на оболочку определяют по
формулам (7.4) -
(7.7).
Расчет оболочек без контурных ребер с затяжкой осуществляется в зависимости от соотношения

и

. Если

, предельную нагрузку
q на оболочку определяют по
формулам (7.4),
(7.19) -
(7.21) при

. Коэффициенты
D и
E в
формуле (7.20) следует заменить на коэффициенты
D' и
E', определяемые по
формуле (7.24). Если

, предельную нагрузку
q на оболочку определяют по
формулам (7.4) -
(7.7) при

; сечение затяжки следует назначить по
формуле (7.16), заменив в ней знак неравенства на знак равенства.

(7.25)
Методы решения уравнений приведены в
п. 7.18 настоящего Руководства.
7.14. При расчете однолепестковых гипаров, свободно опертых по контуру (
рис. 7.1,
б, установленные связи, препятствуя прогибам контура вниз, не препятствуют вертикальным перемещениям вверх) предельную нагрузку
q на оболочку без затяжки определяют по
формуле (7.4);
коэффициент Ki находят из выражения

(7.26)
где

(7.27)
Параметр

определяют из уравнения

(7.28)
При определении предельной нагрузки
q на оболочку с затяжкой, соединяющей нижние углы, необходимо сравнить параметр

, вычисленный по
формуле (7.3), с параметром

, определенным по формуле

(7.29)
Величину параметра

в формуле (7.29) определяют из уравнения

(7.30)
При

предельную нагрузку
q на оболочку с затяжкой находят по
формулам (7.4),
(7.26),
(7.27), где коэффициенты
M и
N заменяют на
M' и
N', определяемые по формуле

(7.31)
При

следует:
сечение затяжки назначать по
формуле (7.16), приняв в ней знак равенства;
Расчет оболочек без контурных ребер с затяжкой производят в зависимости от соотношения

и

. Если

, предельную нагрузку
q определяют по
формулам (7.4),
(7.26) -
(7.28) при

; коэффициенты
M и
N в
формуле (7.27) заменяют на определяемые по
формуле (7.31) коэффициенты
M' и
N'.
Если

, предельную нагрузку
q определяют по
формулам (7.4) -
(7.7) при

; сечение затяжки следует назначать по
формуле (7.16), заменив в ней знак неравенства на знак равенства.
7.15. При расчете четырехлепесткового покрытия с горизонтальными коньками (
рис. 7.2,
а, покрытие опирается на не связанные между собой в углах треугольные фермы или на стены; коньковые балки расположены выше оболочки) предельную нагрузку
q на оболочку определяют по
формуле (7.4). Коэффициент
Ki в
формуле (7.4) находят в зависимости от значения

, определяемого по формуле

(7.32)
При

(когда нейтральная ось линии излома не пересекает коньковой балки)
Ki вычисляют по формуле

(7.33)
где

(7.34)

- коэффициент, определяемый из уравнения

(7.35)
При

(когда нейтральная ось линии излома пересекает коньковую балку)
Ki вычисляют по формуле
Ki = 0,5(C - 1); (7.36)
здесь

(7.37)
b'р - ширина конькового ребра;
h'ор - расстояние от центра тяжести арматуры конькового ребра до его грани (
рис. 7.3,
в).
Эквивалентную по работе внутренних сил равномерно распределенную нагрузку gэ от веса коньковых балок определяют по формуле

(7.38)
7.16. При расчете четырехлепестковых покрытий с наклонными коньками и поднятыми углами (
рис. 7.2,
б, покрытие опирается на четыре нижние угла, закрепленные от горизонтальных смещений) предельную нагрузку
q на оболочку находят по формулам
п. 7.11. Площадь сечения затяжки, обеспечивающую несмещаемость углов, находят по
формуле (7.16).
7.17. При расчете четырехлепесткового покрытия с наклонными коньками и плоским контуром (
рис. 7.2,
в, покрытие опирается на четыре опоры, расположенные в серединах сторон квадратного плана; опоры покрытия закреплены от горизонтальных смещений затяжкой) предельную нагрузку
q на оболочку находят по
формуле (7.4). Площадь сечения затяжки определяют по
формуле (7.16). Коэффициент
Ki в зависимости от значения коэффициента

, вычисляемого по
формуле (7.5), находят:
при

по формуле

(7.39)
при

- по формуле

(7.40)
Эквивалентную по работе внутренних сил равномерно распределенную нагрузку
gэ от массы контурных ребер и коньковых балок определяют по
формуле (7.8).
7.18. Решение
уравнений (7.21),
(7.23),
(7.28),
(7.30),
(7.35) можно проводить методом деления отрезков пополам. Корни уравнений должны удовлетворять
условию (7.25), т.е. в точках 0 и 0,5 левые части указанных уравнений должны иметь разные знаки. В качестве начального приближения принимают середину отрезка [0; 0,5]

или

и вычисляют значение левой части уравнения. В качестве следующего приближения принимают середину того отрезка, на концах которого функция, стоящая в левой части уравнения, имеет разные знаки, и получают либо точку 0,125, либо точку 0,375. Затем вновь вычисляют значение функции в левой части уравнения в полученной точке и т.д. Повторяя этот процесс достаточное число раз, можно вычислить корень уравнения сколь угодно точно.
1.
Абовский Н.П., Самольянов И.И. Расчет пологих оболочек типа гиперболического параболоида методом сеток. - В кн.: Пространственные конструкции в Красноярском крае. Красноярск, 1966, вып. II.
2.
Абрамович К.Г. Исследование работы четырехлепестковых оболочек в форме гиперболического параболоида на сосредоточенные нагрузки. - В кн.: Пространственные конструкции в Красноярском крае. Красноярск, 1968, вып. III.
3.
Красноярский политехнический институт. Пологие оболочки типа гиперболического параболоида (таблицы и примеры расчета). Красноярск, 1968.
4.
ЦНИИСК им. В.А. Кучеренко Госстроя СССР. Рекомендации по методам расчета оболочек складчатого типа. М., 1973.
8.1. Висячей железобетонной оболочкой называется оболочка, в которой роль основной рабочей арматуры выполняют ванты.
8.2. Висячие оболочки применяются в покрытиях зданий промышленного, сельскохозяйственного и культурно-бытового назначения (цехи, склады, навесы, шламбассейны, сгустители, резервуары, помещения для содержания скота, овощехранилища, крытые стадионы, спортзалы, крытые катки и плавательные бассейны, выставочные залы и павильоны, кинотеатры, крытые рынки, и т.п.), в том числе здания и помещения с подвесным транспортом.
8.3. Висячие оболочки могут иметь различные очертания в плане (
рис. 8.1 -
8.5) и могут быть образованы на основе вантовых систем:
б) радиальных (радиальные вантовые сети),
рис. 8.2,
8.3;
в) перекрестных (перекрестные вантовые сети, в том числе ортогональные), расположенных на поверхности положительной или отрицательной гауссовой кривизны; в сетях отрицательной гауссовой кривизны различают несущие (провисающие) и напрягающие (вспарушенные) ванты
(рис. 8.4);
Рис. 8.1. Висячая оболочка с параллельной системой вант
1 - плиты; 2 - опорный контур; 3 - ванты
Рис. 8.2. Висячая оболочка положительной гауссовой кривизны
(вогнутая) с радиальной системой вант
1 - плиты; 2 - опорный контур; 3 - ванты; 4 - центральное
кольцо; 5 - опорное кольцо фонаря
Рис. 8.3. Шатровая висячая оболочка
1 - опорный контур; 2 - растянутое кольцо;
3 - центральная опора; 4 - ванты; 5 - плиты
Рис. 8.4. Висячие оболочки с перекрестной системой вант
Рис. 8.5. Конструктивные схемы полигонально-вантовых систем
1 - опорный контур; 2 - контурные ванты; 3 - угловые ванты
8.4. Стрелу провисания вант при полной расчетной нагрузке рекомендуется назначать в пределах 1/15 - 1/30 их пролета с учетом архитектурных, конструктивных и технико-экономических соображений.
8.5. Висячие оболочки обычно выполняются сборно-монолитными, значительно реже из монолитного бетона, в частности, с использованием метода торкретирования.
8.6. Висячие оболочки, как правило, имеют замкнутый, в основном работающий на сжатие опорный контур, воспринимающий распор вант и передающий только вертикальные нагрузки на поддерживающие конструкции.
8.7. Опорный контур может быть выполнен в виде кольца (круглого, эллиптического или овального) или многоугольника. Его ось может быть очерчена по гладким плоской или пространственной кривым или состоять из нескольких отрезков прямых, плоских и пространственных кривых. Криволинейный опорный контур может быть для упрощения изготовления его элементов заменен вписанным или описанным полигональным.
8.8. На стадии монтажа до замоноличивания швов между плитами, когда конструкция представляет собой вантовую систему, необходимо предусматривать меры для уменьшения величины изгибающих моментов в контуре
[4], стремясь к тому, чтобы он был безмоментным при основном виде монтажной нагрузки и испытывал незначительные изгибающие моменты при остальных комбинациях нагрузок, возможных при монтаже. Для этого ось контура должна иметь очертание, близкое к кривой давления от распора вантовой сети, а последовательность натяжения вант домкратами определяется расчетом
[7].
8.9. Методы расчета, относящиеся к плоскому контуру, можно приближенно распространить на депланированный (неплоский) опорный контур, поскольку он обычно опирается на достаточно часто расположенные опоры или сплошные стены, воспринимающие вертикальные, сжимающие и растягивающие усилия, а сама депланация контура в большинстве случаев относительно невелика, отклонения от плоскости не превышают 1/20 наименьшего размера перекрываемого пролета.
8.10. В оболочках с прямоугольным планом для устранения или уменьшения изгибающих моментов в элементах опорного контура могут быть использованы тросы-подборы (рис. 8.6), передающие усилия от вант в углы контура.
Рис. 8.6. Использование тросов-подборов в висячих оболочках
на прямоугольном плане
а - система параллельных вант; б - ортогональная вантовая
сеть; 1 - тросы-подборы; 2 - сжатые элементы опорного
контура; 3 - ванты
8.11. Покрытия прямоугольного плана могут иметь ортогональную сетку вант и при отсутствии тросов-подборов. Вследствие того что при обычном способе монтажа таких покрытий в опорном контуре возникают большие изгибающие моменты, вызывающие утяжеление контура, при проектировании оболочек монтаж плит рекомендуется предусматривать в следующей последовательности: после устройства опорного контура и монтажа вантовой сети укладываются плиты, смежные с опорным контуром. Плиты соединяются с контуром, с вантами и между собой. Таким образом, на этой стадии монтажа контур и приконтурные ряды плит образуют жесткую замкнутую раму
(рис. 8.7), которая воспринимает изгибающие моменты от последующих нагрузок. При этом удается избежать утяжеления контура, так как изгибающие моменты, возникающие при монтаже, воспринимаются контуром совместно с примыкающим к нему рядом плит. Связь между плитами и контуром осуществляется стальными полосами - жесткими в горизонтальной плоскости и гибкими в вертикальной. Поперечное сечение опорного контура назначается из условия работы его в составе оболочки и на восприятие изгибающих моментов, возникающих при монтаже первого ряда плит. Рама, образованная опорным контуром и приконтурным рядом плит, проверяется на действие изгибающих моментов, возникающих от действия веса остальных плит.

Рис. 8.7. Опорный контур, усиленный приконтурным рядом плит
1 - опорный контур; 2 - плита; 3 - ванты
8.12. Опорный контур висячих оболочек рекомендуется проектировать из сборного или сборно-монолитного железобетона. Допускается применение и монолитного железобетона. Поскольку опорный контур работает в основном на сжатие, следует стремиться к применению бетона высоких марок и его эффективному армированию продольными стержнями класса А-III, сетками и др. Рекомендуется также применение трубобетона.
Для облегчения сборных элементов опорного контура они могут предусматриваться корытообразного сечения. Полость стальных или железобетонных корытообразных элементов заполняется бетоном после монтажа.
8.13. Шаг вант и размеры плит следует назначать, исходя из необходимости снижения веса оболочки, сокращения сроков ее монтажа, с учетом шага контурных опор, членения сборных элементов опорного контура и размещения сосредоточенных нагрузок, которые целесообразно передавать в узлы пересечения вант.
8.14. В оболочках с параллельно расположенными вантами в швах, перпендикулярных вантам, и в оболочках с радиальными вантами в кольцевых швах рекомендуется устанавливать конструктивную арматуру, общая площадь поперечного сечения которой принимается не менее 15% площади поперечного сечения вант. В качестве такой конструктивной арматуры рекомендуется использовать и арматуру, с помощью которой плиты крепятся к вантам.
8.15. При проектировании вант рекомендуется применять
[15]:
стержневую горячекатаную арматурную сталь классов: А-III, А-IV, А-V;
| | ИС МЕГАНОРМ: примечание. Постановлением Госстандарта СССР от 21.11.1991 N 1775 с 1 января 1993 года введен в действие ГОСТ 3241-91. | |
стальные канаты, удовлетворяющие требованиям ГОСТ 3241-66*;
| | ИС МЕГАНОРМ: примечание. Взамен ГОСТ 3062-69 Постановлением Госстандарта СССР от 23.04.1980 N 1833 с 1 января 1982 года введен в действие ГОСТ 3062-80. | |
| | ИС МЕГАНОРМ: примечание. Взамен ГОСТ 3063-66 Постановлением Госстандарта СССР от 23.04.1980 N 1833 с 1 января 1982 года введен в действие ГОСТ 3063-80. | |
| | ИС МЕГАНОРМ: примечание. Взамен ГОСТ 3064-66 Постановлением Госстандарта СССР от 23.04.1980 N 1833 с 1 января 1982 года введен в действие ГОСТ 3064-80. | |
спиральные однопрядные с металлическим сердечником по ГОСТ 3062-69; 3063-66; 3064-66; 3065-66;
| | ИС МЕГАНОРМ: примечание. Взамен ГОСТ 3067-74 Постановлением Госстандарта СССР от 09.09.1988 N 3131 с 1 июля 1990 года введен в действие ГОСТ 3067-88. | |
| | ИС МЕГАНОРМ: примечание. Взамен ГОСТ 3068-74 Постановлением Госстандарта СССР от 09.09.1988 N 3131 с 1 января 1990 года введен в действие ГОСТ 3068-88. | |
| | ИС МЕГАНОРМ: примечание. Взамен ГОСТ 3081-69 Постановлением Госстандарта СССР от 23.04.1980 N 1834 с 1 января 1982 года введен в действие ГОСТ 3081-80. | |
двойной свивки (тросы) по ГОСТ 3066-66; 3067-74; 3068-74; 3081-69; 7669-69*;
| | ИС МЕГАНОРМ: примечание. Взамен ГОСТ 7348-63 Постановлением Госстандарта СССР от 21.01.1981 N 138 с 1 января 1983 года введен в действие ГОСТ 7348-81. | |
| | ИС МЕГАНОРМ: примечание. Взамен ГОСТ 7372-66 Постановлением Госстандарта СССР от 11.06.1979 N 2100 с 1 января 1982 года введен в действие ГОСТ 7372-79. | |
арматурные пучки и пряди из высокопрочной проволоки по ГОСТ 7348-63, 8480-63, 7372-66*.
8.16. При использовании для вант механически упрочненной стержневой стали все сварные соединения необходимо производить до вытяжки стержней.
Длину заготовки вант из стержневой стали, подвергаемой упрочнению вытяжкой с контролем удлинений и напряжений, рекомендуется определять на основании пробных испытаний.
8.17. Стальные канаты и пряди для устранения неупругих деформаций должны быть подвергнуты предварительной вытяжке усилием, равным 65% разрывного, в продолжение не менее 30 мин.
Рекомендуется преимущественно применять оцинкованные канаты с максимальным шагом свивки и линейным касанием проволок.
Применение канатов, пучков и прядей из проволоки диаметром менее 2,5 мм не рекомендуется.
8.18. Расчетные сопротивления стальных канатов принимают равными 60% среднего разрывного напряжения каната, равного его разрывному усилию, деленному на площадь сечения всех проволок в канате.
Расчетные сопротивления и модули упругости стержневой арматурной стали всех классов, высокопрочной арматурной проволоки (ГОСТ 7348-63, ГОСТ 8480-63), семипроволочных прядей принимают по главе
СНиП II-21-75.
Модуль упругости предварительно вытянутых канатов рекомендуется определять по результатам испытаний. Допускается модуль принимать в соответствии с главой СНиП II-В.3-72 "Стальные конструкции".
8.19. В зависимости от очертания опорного контура и принятой системы вант плиты покрытия проектируют прямоугольной, трапециевидной или треугольной формы.
8.20. Ванты должны, как правило, располагаться внутри бетона и иметь защитный слой толщиной не менее 25 мм. Для этого оболочка в большинстве случаев должна быть ребристой. При этом ребра могут входить в состав плит покрытий или конструироваться в виде отдельных элементов, подвешенных к вантам. В этом случае сами плиты целесообразно проектировать гладкими. Как ребристые, так и гладкие плиты рекомендуется предусматривать из легкого бетона с укладкой по ним эффективного утеплителя. Возможно совмещение в легкобетонных плитах несущих и ограждающих (теплоизолирующих) функций.
8.21. В пределах площади плит разрешается предусматривать проемы при условии, что это не отражается на их несущей способности в процессе монтажа. В плитах, примыкающих к контуру, не рекомендуется устраивать большие проемы, способствующие ослаблению сечения плиты более чем на 50%.
8.22. В опорных конструкциях ванты закрепляются при помощи анкерных устройств. По крайней мере на одном из концов ванта должно быть регулируемое анкерное устройство, обеспечивающее возможность регулировки длины вант во время монтажа и предварительного напряжения. Для компенсации потерь усилий натяжения по длине вант, возникающих за счет сил трения в узлах их пересечений, рекомендуется в напрягаемых домкратами конструкциях с ортогональной вантовой сетью предусматривать регулируемые анкерные устройства с обоих концов ванта.
Для вант из стержневой стали рекомендуется применять в качестве регулируемых анкерных устройств хвостовики и втулки с резьбой, соединяемые с вантами сваркой (рис. 8.8). Приваренные к вантам шайбы или коротыши
(рис. 8.9) могут служить нерегулируемыми анкерами. Конструкция анкера не должна снижать несущей способности ванта.
Рис. 8.8. Анкеры вант из стержневой стали, регулируемые
с помощью хвостовиков из стали
а - с расчетным сопротивлением, равным расчетному
сопротивлению материала вант; б - с расчетным
сопротивлением, меньшим расчетного сопротивления материала
вант; 1 - ванта; 2 - хвостовик; 3 - контактная сварка;
4 - то же, дуговая
Рис. 8.9. Нерегулируемые анкеры вант из стержневой стали,
выполняемые с помощью приваренных элементов
а - коротышей; б - шайбы; 1 - ванта; 2 - коротыши;
3 - сварка; 4 - шайба
Для вант из горячекатаных арматурных сталей при соединении стержней и присоединении к ним хвостовиков из равнопрочного металла рекомендуется применять контактную стыковую сварку.
Ванты из стержневой стали с перегибами проектировать не рекомендуется.
Для вант из стальных канатов рекомендуется применять гильзоклиновые анкеры (рис. 8.10) или анкеры, заливаемые сплавами:
цинковым (ЦАМ 9-1,5) по ГОСТ 21437-75 с температурой плавления 450 °C;
свинцовым (свинец 76, сурьма 18, олово 6%) с температурой розлива 250 °C.
Рис. 8.10. Гильзоклиновой анкер для вант
из высокопрочной проволоки и стальных канатов
1 - вант; 2 - гильза; 3 - клин; 4 - опорная гайка
Коэффициенты условий работы вант приведены в табл. 8.1.
Ванты | Коэффициент условий работы |
Из стальных канатов с анкерами в виде втулок, заливаемых свинцовым или цинковым сплавом | 0,9 |
Из стальных канатов диаметром до 40 мм с гильзоклиновыми анкерами | 0,9 |
То же, диаметром 40 - 55 мм | 0,85 |
Из параллельных пучков проволоки | 0,9 |
Из стержней (при анкеровке в соответствии с п. 8.22 настоящего Руководства) | 1 |
8.23. Рекомендуется при проектировании предусматривать монтаж висячих оболочек без лесов и подмостей. Ограждающие элементы в процессе монтажа укладывают на ванты, закрепленные в опорном контуре. Положение вант перед укладкой плит и в процессе монтажа определяет форму оболочки и должно строго соответствовать проектному, что достигается регулированием длины вант
[3].
8.24. Для защиты вант из высокопрочной стали от коррозии рекомендуется использовать предварительное напряжение оболочки
[3].
Необходимая коррозионная стойкость может быть достигнута и без предварительного напряжения бетона: в результате применения для вант стержней арматурной стали класса А-III и ниже или канатов из оцинкованной проволоки как закрытой конструкции, так и спиральных однопрядных. При этом величина раскрытия трещин в оболочке не должна превышать величин, регламентированных главой
СНиП II-21-75.
8.25. Предварительное напряжение висячих оболочек рекомендуется осуществлять домкратами, с помощью пригрузки (временной нагрузкой или вертикальными оттяжками), с помощью укладки в швы между плитами бетона на напрягающем цементе. Величину предварительного напряжения назначают с учетом нормативной временной нагрузки и потерь напряжения.
При использовании напрягающего цемента ширина швов между плитами и их армирование назначают из условия достижения необходимой величины самонапряжения.
При предварительном напряжении с помощью домкратов замоноличивание стыков между плитами предусматривается до натяжения вант, которые располагаются в каналах, заполняемых раствором после окончания натяжения.
При предварительном напряжении с помощью пригрузки, укладываемой на плиты, подвешиваемой к вантам или создаваемой оттяжками, закрепленными в нижележащих конструкциях, стыки между плитами замоноличивают после предварительного натяжения вант; в этом случае обжатие оболочки покрытия осуществляется после снятия пригрузки.
8.26. При проектировании висячих оболочек отрицательной гауссовой кривизны, предварительное напряжение которых осуществляется с помощью пригрузки, вызывающей уменьшение усилий в напрягаемых вантах, рекомендуется принимать во внимание, что работа осуществляется в следующем порядке:
а) укладка и закрепление плит покрытия на смонтированной и выверенной вантовой сети;
б) пригрузка покрытия;
в) замоноличивание швов, располагаемых нормально к несущим вантам, т.е. кольцевых швов в шатровых покрытиях и швов, расположенных вдоль стабилизирующих вант, в седловидных покрытиях;
г) освобождение покрытия от временной нагрузки после набора бетоном в швах необходимой прочности;
д) замоноличивание всех остальных швов, бетон которых не получает предварительного напряжения, однако возможность раскрытия в нем трещин в значительной мере уменьшена общим повышением жесткости оболочки.
8.27. Во всех случаях проектирования висячих оболочек рекомендуется бетон в швы, расположенные между опорным контуром и крайними плитами, укладывать в последнюю очередь с целью уменьшения краевых изгибающих моментов. Для замоноличивания этих швов рекомендуется использовать бетон на расширяющемся или напрягающем цементе.
Конструирование оболочек с радиальной
и перекрестной системами вант
8.28. При выборе системы вант следует иметь в виду, что по расходу арматуры на оболочку в целом, а также по расходу бетона на опорный контур оболочки с радиальной системой вант примерно в полтора раза экономичнее оболочек, имеющих перекрестную систему вант.
8.29. Особый интерес представляют оболочки эллиптического очертания в плане, поскольку и в стадии монтажа, и в стадии эксплуатации величина возникающих в их опорном контуре изгибающих моментов невелика. Для радиальной вантовой системы круговое очертание опорного контура (частный случай эллипса) является оптимальным, поскольку позволяет максимально унифицировать все элементы оболочки и обеспечить безмоментную работу контура практически на любой стадии монтажа. Для этого плиты оболочки необходимо монтировать кольцами, т.е. перед укладкой очередного ряда плит (кольца) все предыдущие должны быть закончены (замкнуты).
8.30. Связь опорного контура с вантами и плитами практически исключает возможность потери им устойчивости, вследствие чего его поперечное сечение можно при необходимости развивать в вертикальном направлении.
8.31. Если оболочка с радиальной системой вант имеет эллиптическое очертание в плане, то следует стремиться к тому, чтобы внутреннее кольцо имело также форму эллипса, подобного наружному.
8.32. Внутреннее кольцо в оболочках с радиальной вантовой сетью работает, главным образом, на растяжение. Оно может быть жестким или относительно гибким, однако это не оказывает влияния на характер распределения усилий в законченной оболочке.
Минимальный периметр внутреннего кольца определяют из условия размещения в нем анкеров вант.
Поперечное сечение кольца рекомендуется развивать в вертикальном направлении, обеспечивая распределение усилий от анкеров вант на всю высоту сечения. Конструкция кольца должна обеспечивать его жесткость в горизонтальной плоскости при монтаже вант и плит.
8.33. Большие сосредоточенные нагрузки на оболочки с радиальной сетью вант рекомендуется предусматривать в области, ограниченной внутренним кольцом.
8.34. Центральную опору шатровых оболочек рекомендуется проектировать из бетонов высоких марок трубобетонной или железобетонной с круглым поперечным сечением и спиральной арматурой. При изготовлении центральной колонны (или опорного контура) из трубобетона целесообразно дополнительное армирование высокопрочной арматурой.
8.35. Опирание центральной колонны шатровой оболочки на фундамент рекомендуется проектировать жестким, что упрощает монтаж покрытия.
8.36. Применение висячих оболочек шатрового типа рекомендуется для строительства на территориях, подверженных влиянию горных выработок. В этом случае масса покрытия целиком передается на центральную опору, покрытие полностью отделяется от стен здания или сооружения, что существенно снижает влияние подработки на конструкцию.
8.37. В производственных зданиях с оболочками шатрового типа могут быть предусмотрены консольные краны, что, как правило, более экономично, чем использование кранов на двух опорах, так как отпадает необходимость в подкрановых балках, колонны, расположенные по периметру, не воспринимают нагрузок от крана, а объем здания рационально используется.
8.38. Закрепление вант в контуре можно проектировать как с упором в опорную плиту на наружной грани контура, так и соединением с выпусками на его внутренней стороне.
Первое решение конструктивно проще и применяется при относительно небольшой ширине сечения опорного контура. Для этого в контурном кольце предусматриваются закладные трубки диаметром, достаточным для пропуска анкерных устройств вант.
Угол наклона трубок к горизонту следует принимать равным наклону касательной к поверхности покрытия у контура при расчетной равномерной нагрузке.
8.39. Закрепление вант в опорном контуре и внутреннем кольце должно проектироваться таким образом, чтобы линия действия усилия в ванте проходила через центр тяжести поперечного сечения (рис. 8.11). В противном случае необходимо учитывать возникающие вследствие отсутствия центрировки крутящие и изгибающие моменты.
Рис. 8.11. Крепление вант к опорному контуру
и центральному кольцу
1 - центральная колонна; 2 - ванта; 3 - верхний пояс
центрального кольца; 4 - нижний пояс центрального кольца;
5 - соединительные упорные планки; 6 - шайба; 7 - гайка;
8 - хвостовик; 9 - опорный контур; 10 - закладная трубка
для пропуска ванты; 11 - закладная деталь, распределяющая
нагрузку от ванты; 12 - патрубок для инъекции раствора
8.40. Опорную плиту под анкер, как правило, проектируют перпендикулярно к оси закладной трубки, иначе под анкер следует устанавливать клиновидные шайбы.
Размеры опорных плит выбираются на основании расчета на местное сжатие. В необходимых случаях местное упрочнение контура под плитой может быть достигнуто с помощью дополнительной арматуры в виде сеток.
С целью защиты вант от коррозии после окончания их регулировки и замоноличивания швов между плитами необходимо предусматривать возможность заполнения полости анкерных закладных трубок цементным раствором через патрубок, выведенный на верхнюю или боковую поверхность контура
(рис. 8.11).
Анкеры вант должны быть обетонированы или надежно защищены от коррозии иным способом.
8.41. Конструкция узлов пересечения вант должна обеспечить совместную работу вант в нормальном, а в необходимых случаях, и в тангенциальном направлениях к поверхности покрытия.
В местах пересечения вант предусматриваются специальные хомуты или штампованные косынки (рис. 8.12), используемые также для опирания плит.
Рис. 8.12. Узлы пересечения вант
а - с применением хомутов; б - то же, штампованных стальных
косынок; 1 - несущая ванта; 2 - напрягающая ванта;
3 - хомут; 4 - косынка
Сборные плиты могут быть подвешены к вантам при помощи выпусков рабочей арматуры, стальных крюков, привариваемых к арматуре плит и изготовленных из арматуры класса А-I, или других специальных деталей. При подвеске в четырех точках каждый крюк рассчитывают на 1/3 нагрузки, приходящейся на плиту (рис. 8.13).
Рис. 8.13. Крепление плит к вантам
1 - железобетонная плита; 2 - ванта; 3 - крюки;
4 - опалубочная доска; 5 - бетон шва
Конструирование оболочек с полигональной системой вант
8.42. Висячие оболочки полигонально-вантового типа
[1] применяются для покрытий с многоугольным планом (см.
рис. 8.5). Их применение наиболее целесообразно в зданиях с квадратным и прямоугольным планами. Несущей основой конструкции служит гибкая полигонально-вантовая сеть с безмоментным в плане опорным контуром, опирающимся на колонны. Возможность применения такой вантовой системы для зданий с произвольным полигональным планом обеспечивается таким расположением несущих вант, при котором все усилия передаются только на углы опорного контура, вызывая в нем напряжения сжатия без изгиба в горизонтальной плоскости [
9,
10].
8.43. Несущая система покрытия (см.
рис. 8.5) состоит из контурных и угловых вант. В горизонтальной проекции контурные ванты расположены параллельно сторонам опорного контура и образуют полигональные гибкие контуры. Угол каждого гибкого контура соединен угловой вантой с соответствующим углом опорного контура. Угловые ванты располагаются по биссектрисам углов опорного контура (при прямоугольном плане - по диагоналям). Помимо основных возможно применение дополнительных угловых вант, проходящих непрерывно от угла к углу сооружения под основными угловыми вантами. Дополнительные угловые ванты рекомендуется применять в тех случаях, когда требуется уменьшить стрелу провеса центра покрытия по отношению к углам сооружения с целью увеличения уклона кровли по направлению к опорному контуру. Контурные и угловые ванты имеют на концах стальные анкерные детали, предназначенные для соединения вант между собой и для их крепления в углах сооружения.
Ванты могут быть одиночными или двойными, состоящими из одного или двух расположенных близко канатов, стальных арматурных стержней или других гибких элементов. Величины стрелок провеса контурных вант целесообразно выбирать таким образом, чтобы уклоны покрытия имели направления к сторонам опорного контура, что обеспечивает наилучшие условия для организации водоотвода с покрытия. При этом величины стрелок провеса контурных вант назначают таким образом, чтобы величины их распоров были одинаковыми. В этом случае форма поверхности покрытия между угловыми вантами близка к цилиндрической, что обеспечивает простейшее решение конструкции оболочки.
8.44. При проектировании вант
(рис. 8.14) рекомендуется учитывать следующее их расположение в вертикальной плоскости:
диагональные - в нижнем ярусе, угловые центрального гибкого контура - во втором ярусе, угловые следующего (от центра) контура - в третьем и т.д. Контурные ванты опираются сверху на систему проходящих ниже угловых вант, которые выполняются двойными, что обеспечивает устойчивость узла. Возможен и обратный порядок расположения угловых вант, при котором узлы сопряжения подвешиваются снизу к проходящей над ними системе угловых вант. Конструкция узлов сопряжения контурных вант с угловыми должна обеспечивать свободу поворота концевых сечений контурных вант в вертикальной плоскости. Узлы могут быть запроектированы с применением болтов, сварки или стальных отливок (на основе принципа работы цилиндрических или листовых шарниров), желательно с устройством для регулировки длины вант.
Рис. 8.14. Расположение угловых вант полигонально-вантовой
системы в вертикальной плоскости
1 - угловые ванты; 2 - узлы сопряжения контурных вант
с угловыми; 3 - диагональные ванты
8.45. В качестве примера на
рис. 8.15 приведена схема несущей системы рассматриваемого висячего покрытия для квадратного здания размером 48 x 48 м в плане. Контурные ванты расположены с шагом 3 м по периметрам квадратов, угловые - по направлениям диагоналей плана. Опорный контур и каркас здания могут быть выполнены из сборного, сборно-монолитного или монолитного железобетона. Опорный контур поддерживается колоннами, расположенными по периметру здания с шагом 6 м. Угловые колонны целесообразно выполнять двойными, что обеспечивает возможность монтажа всей вантовой системы на полу и подъема ее в готовом виде путем перемещения анкерных устройств сети по направляющим элементам угловых колонн. Опорный контур может быть запроектирован не только в виде горизонтального, но и полигонального ригеля, связанного с колоннами
(рис. 8.16) и образующего вместе с ними многопролетную раму, в среднем пролете которой рекомендуется предусматривать вертикальные связи, повышающие горизонтальную устойчивость каркаса здания.

Рис. 8.15. Конструктивная схема полигонально-вантового
висячего покрытия для здания размером 48 x 48 м в плане
а - схема вантовой сети; б - схема железобетонной оболочки
Рис. 8.16. Конструктивные схемы опорного контура
полигонально-вантового покрытия в вертикальной плоскости
а - с горизонтальным контуром; б - с полигональным контуром;
1 - опорный контур; 2 - угловые (двойные) колонны;
3 - промежуточные колонны; 4 - вертикальные связи
Основными элементами висячей оболочки (см.
рис. 8.15) в данном случае служат железобетонные ребристые плиты трех типоразмеров: основной размером 3 x 3 м (или 3 x 6 м) и два доборных, имеющих форму трапеции в плане. Плиты для оболочки целесообразно выполнять из бетона марки не менее М 300 на легких заполнителях. Армирование плит предусматривается без предварительного напряжения. Узел опирания плит на двойные ванты приведен на
рис. 8.17. В швах между плитами устанавливают дополнительную конструктивную, а в продольных швах оболочки - расчетную арматуру. Для обеспечения трещиностойкости оболочки в стадии эксплуатации или для уменьшения ширины раскрытия трещин до замоноличивания швов предусматривается предварительное напряжение вантовой сети при помощи пригрузки или другим способом. Возможно применение оболочек и без предварительного напряжения при надлежащем обосновании расчетом и защите вант от коррозии. Швы между плитами рекомендуется заполнять бетоном той же марки, что и бетон плит. Для обеспечения устойчивости опорного контура оболочек с полигональной системой вант его поперечное сечение должно быть развито в горизонтальной плоскости.

Рис. 8.17. Конструктивное решение основных узлов
висячей оболочки полигонально-вантового типа
а - узел опирания железобетонных плит на контурные ванты;
б - поперечное сечение продольного ребра оболочки (балки);
1 - железобетонные ребристые плиты; 2 - контурные ванты;
3 - крюк жесткой конструкции; 4 - отверстие для строповки
плит; 5 - дополнительная арматура в поперечных швах
оболочки; 6 - рабочая арматура продольных ребер (балок)
8.46. Конструкция опорного узла рассматриваемой висячей системы должна обеспечивать возможность монтажа вантовой сети до замоноличивания стыков опорного контура. В углах контура рекомендуется предусматривать зазоры для прохода системы угловых вант, заанкеренных в специальном анкерном устройстве. В зазорах должны быть предусмотрены монтажные стальные распорки, способные воспринимать усилия сжатия в углах опорного контура от собственного веса вантовой сети. После монтажа вантовой сети зазоры в углах опорного контура замоноличиваются бетоном той же марки, что и бетон ригелей опорного контура.
8.47. Расчет железобетонных висячих оболочек производят по предельным состояниям согласно требованиям
раздела 1 главы СНиП II-21-75 с учетом рекомендаций
пп. 1.42 -
1.56 и
раздела 8 настоящего Руководства. При этом усилия в элементах висячего покрытия в монтажной стадии определяют для вантовой сети в соответствии с рекомендациями
пп. 8.48 -
8.68 настоящего Руководства.
Расчет стальных деталей и элементов, входящих в состав висячего покрытия и работающих в процессе монтажа или эксплуатации без учета окружающего бетона, должен производиться согласно требованиям главы СНиП II-В.3-72.
Усилия в вантах рекомендуется определять в соответствии с
прил. 4 настоящего Руководства.
При определении расчетных усилий в опорном контуре и вантах предварительно-напрягаемых конструкций необходимо учитывать усилия, возникающие в процессе монтажа конструкции и зависящие от принятого в проекте способа ее преднапряжения.
Расчет оболочек с радиальной и перекрестной системами вант
8.48. Простейшим видом радиальной сетки, широко используемой при строительстве висячих оболочек положительной гауссовой кривизны (см.
рис. 8.2), является сетка, в которой ванты расположены с одинаковым угловым шагом, а образованная ими под равномерной нагрузкой поверхность имеет в центре горизонтальную касательную плоскость
(рис. 8.18). Единственной формой сжатого безмоментного опорного контура такой равномерно загруженной сети является эллипс, центр которого совпадает с горизонтальной проекцией узла сети (и окружность, т.е. эллипс, эксцентриситет которого равен единице)
[8]. Распор
H (горизонтальная проекция усилия) ванты определяют по формуле

(8.1)
где

- угловой шаг вант, рад;
r - расстояние между проекциями на горизонтальную плоскость узла сети и точки крепления ванты к опорному контуру (радиус-вектор);
f - стрела провисания вант.
Рис. 8.18. Радиальная вантовая сеть
с горизонтальной касательной в узле
1 - опорный контур; 2 - центральное кольцо; 3 - ванты
Длина вант L может быть вычислена по формуле

(8.2)
где

Величину продольной силы N, действующей в любом сечении опорного контура и центрального кольца при отсутствии в них изгибающих моментов, находят из выражения

(8.3)
Максимальное и минимальное значения N равны:

(8.4)
и имеют место соответственно в точках с координатами (x = 0; y = +/- b); (x = +/- a; y = 0).
8.49. В рассматриваемой сети при очертании опорного контура, отличающемся от кругового, усилия в вантах не одинаковы. Для того чтобы радиальная равномерно нагруженная сеть с постоянным угловым шагом вант при равенстве усилий в вантах имела сжатый безмоментный контур, необходимо соблюдение следующих условий:
а) проекция узла сети в плане должна совпадать с одним из фокусов эллипса, который и в этом случае является единственно возможной формой безмоментного контура
(рис. 8.19);
б) угол подхода

вант к узлу в вертикальной плоскости должен изменяться по закону

(8.5)
Распор вант H такой сети определяют по формуле

(8.6)
Рис. 8.19. Радиально-вантовая система с узлом
в фокусе эллипса
8.50. При круговом очертании
[2] опорного контура и расположении узла радиальной сети в центре круга
a =
b =
R,

;
H и
L определяют по
формулам (8.1) и
(8.2) при
r =
R = const,

(8.7)
8.51. Критическую продольную силу Nкр в плоскости кривизны кругового опорного контура рекомендуется определять по формуле

(8.8)
где

(8.9)
A - изгибная жесткость контура.
8.52. Форма висячей шатровой оболочки кругового очертания в плане (см.
рис. 8.3) и величина расчетных усилий в ее элементах при заданной нагрузке определяется следующими геометрическими параметрами:
радиусом контура R;
величиной подъема центрального кольца над уровнем контурного кольца f1;
углом наклона вант у контурного кольца

или у центрального кольца

.
При равномерной нагрузке на покрытие величины

,

и

связаны между собой отношениями

(8.10)

(8.11)
Для обеспечения наружного водоотвода с покрытия должно выполняться условие

(8.12)
а уклон кровли в центре не должен превышать предельно допустимого нормами значения

, т.е.

.
8.53. Проектная геометрия покрытия обеспечивается точным назначением длины вант L, подсчитываемой по формуле

(8.13)
Распор вант H определяют по формуле

(8.14)
Расчетную продольную силу N в контурном и центральном кольцах определяют по формуле

(8.15)
8.54. При выполнении
условия (8.12) вес покрытия передается на центральную опору. Осадка ее основания может оказаться при этом существенно большей, чем осадка опор контура.
Подбор сечений элементов при этом ведется по усилиям, соответствующим очертанию покрытия до проявления осадок. Геометрические параметры начального очертания могут быть найдены по формулам

(8.16)
при условии, что

(8.17)

(8.18)
где Q1 - вес участка опорного контура с длиной, равной шагу вант
e - взаимная осадка центральной и периферийной опор;
8.55. Критическую продольную силу
Nкр в опорном контуре шатровой оболочки в плоскости его кривизны определяют по
формуле (8.8) при

(8.19)
Критическую продольную силу Nкр в контуре из плоскости его кривизны определяют по формуле

(8.20)
где n1 - количество волн при потере устойчивости, зависящее от наличия и количества связей;
B - жесткость кольца на изгиб из плоскости его кривизны;
C - жесткость на кручение;

(8.21)
8.56. При расчете центральной опоры необходимо учитывать случайный эксцентриситет продольного усилия, величина которого принимается равной 0,1 радиуса круглой опоры или 0,1 радиуса вписанной окружности, если поперечное сечение опоры имеет форму многоугольника.
8.57. На очертание безмоментного опорного контура радиальной вантовой сетки и на положение ее центрального узла никаких ограничений не накладывается (ось кольца может состоять из любого числа прямолинейных и криволинейных отрезков, сопряженных между собой плавно или с углом перелома).
Заданной форме контура отвечает определенная система распоров, направленных в заданный полюс, однако заданной системе распоров соответствует целое семейство замкнутых кривых, по которым может быть очерчена ось безмоментного контура.
Для радиальной вантовой сети система погонных распоров
HS, обеспечивающая безмоментность контура плавного очертания, определяется
[8] выражением

(8.22)
где

- угол между проекцией ванты (радиусом-вектором
r - точки) и положительным направлением касательной;
C1 - произвольная постоянная, равная моменту продольной силы в контуре относительно центрального узла сети;

- радиус кривизны кольца.
Соответствующую систему распоров

на единицу угла определяют по формуле

(8.23)
или

(8.24)
где
r' и
r" - первая и вторая производные по

между начальным фиксированным направлением и радиусом-вектором.
Нагружение радиальными силами в соответствии с этими формулами является необходимым и достаточным условием безмоментности контура произвольной формы.
При заданном графически очертании опорного контура в плане или громоздкости его аналитического выражения контур разбивается на отрезки, после чего необходимые для подстановки в формулы значения r' и r" вычисляют разностным методом.
Связь между погонным и угловым распорами определяется выражением

(8.25)
Системы распоров H, обеспечивающие безмоментность участков контура, имеющих очертания:
прямолинейные H = 0;
дуги окружности, центр которой совпадает с полюсом сил

(обратное положение несправедливо). Из того, что на каком-либо участке кольца

не следует, что этот участок обязательно должен быть очерчен по дуге окружности.
Случаю скачкообразного изменения радиуса кривизны в какой-либо точке при сохранении плавности поворота касательной отвечает разрыв функции H.
При переломе оси контура для сохранения его безмоментности в точке перелома необходимо приложить сосредоточенную силу H, определяемую по формуле

(8.26)
где

и

- углы между радиусом-вектором
r и касательными в точке перелома.
В частном случае безмоментного контура полигональной формы на протяжении каждой его стороны нагрузки должны отсутствовать, могут действовать лишь приложенные в вершинах сосредоточенные усилия, определяемые по
формуле (8.26). Следует особо подчеркнуть, что само по себе нагружение многоугольника радиальными силами, приложенными в вершинах, является лишь необходимым, но не достаточным условием его безмоментности; именно соответствие этих сил величинам, определяемым по
формуле (8.26), делает это условие необходимым и достаточным.
Величину продольной силы
N, действующей в любом сечении контура
[8], определяют по формуле

(8.27)
8.58. Висячие оболочки с ортогональной системой вант целесообразно проектировать в виде поверхностей эллиптического параболоида, гиперболического параболоида или параболоида вращения, уравнения которых соответственно имеют вид:

(8.28)

(8.29)

(8.30)
где f - стрела провисания в центре эллиптического параболоида или параболоида вращения;
fx, fy - стрелы провисания вантов, параллельных оси x и y гиперболического параболоида;
x, y, z - декартовы координаты;
a и b - полуоси контурного эллипса;
R - радиус контурной окружности.
Уравнения дают описания поверхности при полном загружении вант.
Погонные распоры Hx, Hy в вантах определяют по формулам:
для эллиптического параболоида

(8.31)

(8.32)
для гиперболического параболоида

(8.33)

(8.34)
для параболоида вращения

(8.35)
где p - дополнительная нагрузка от напрягающих вант на 1 м2.
Распор в вантах определяют как произведение соответствующего погонного распора на расстояние между вантами.
8.59. Если очертание опорного контура ортогональной вантовой сети с одной осью симметрии
(рис. 8.20) может быть представлено
[5] в виде

(8.36)
где l - длина оси контура;
Ck, dk - коэффициенты,
то система погонных распоров Hy, Hx вдоль соответствующих осей, обеспечивающая его безмоментность, определяется выражениями:

(8.37)
Рис. 8.20. Участок опорного контура ортогональной вантовой
сети с одной осью симметрии
Изменяя параметры
n,
Ck и
dk в
формуле (8.36), можно получить серию безмоментных контуров с одной осью симметрии при заданной длине
l.
Продольную силу N в любом сечении контура при этом определяют из выражения

(8.38)
Если очертание опорного контура
[5] ортогональной вантовой сети с двумя осями симметрии может быть представлено в виде

(8.39)
то систему погонных распоров Hy, Hx, вдоль соответствующих осей, обеспечивающую его безмоментность, определяют из выражений

(8.40)
где a1 - 1/2 ширины плана контура;
b1 - 1/2 длины плана контура.
Меняя параметры Cк и n, можно получить серию безмоментных контуров с различными соотношениями размеров a1 и b1. При этом продольную силу N в любом сечении контура определяют из выражения

(8.41)
Частным видом безмоментного опорного контура ортогональной сети с двумя осями симметрии является эллипс второго порядка

(8.42)
Распоры в вантах Hy, Hx, обеспечивающие безмоментность такого контура в каждом семействе вант, постоянны:

(8.43)
причем
8.60. Если очертание опорного контура перекрестной косоугольной вантовой сети
[5] с двумя осями симметрии
(рис. 8.21) можно представить в виде

(8.44)
то система погонных распоров

,

вдоль соответствующих осей косоугольных координат, обеспечивающая безмоментность контура, определяется выражениями:

(8.45)
Рис. 8.21. Участок опорного контура перекрестной
косоугольной вантовой сети с двумя осями симметрии
x1, y1 - косоугольные координаты, связанные с ортогональными координатами x и y отношениями:

(8.46)

- угол между осями
x1 и
x;
При этом продольная сила N в любом сечении контура определяется выражением

(8.47)
Частным видом безмоментного опорного контура косоугольной перекрестной вантовой сети с двумя осями симметрии является эллипс второго порядка.
Если при этом ванты расположены под углом

к продольной оси контура, то погонные распоры в вантах, обеспечивающие безмоментность контура, постоянны в обоих семействах вант
8.61. При расчете отдельных элементов висячих покрытий расчетные характеристики материалов должны умножаться на коэффициенты условий работы, принимаемые по
табл. 8.1.
8.62. При предварительном напряжении висячих железобетонных оболочек методом пригружения или механическим путем потери предварительного напряжения определяются соответственно по графам "на упоры" и "на бетон"
табл. 4 главы СНиП II-21-75.
Расчет оболочек с полигональной системой вант
Расчет полигонально-вантовой сети
8.63. Полигонально-вантовая сеть висячей оболочки должна быть рассчитана по несущей способности на полную расчетную нагрузку от собственного веса покрытия и снега, расположенного на всей его поверхности. Кроме того, должны быть учтены возможные неравномерности снеговых отложений согласно главе
СНиП II-6-74 "Нагрузки и воздействия". Контурные и угловые ванты рассматривают как систему гибких нитей, прикрепленных к узлам общей вантовой сети. В основе расчета лежат условия равновесия узлов системы [
11,
12].
8.64. Расчет конструкции рекомендуется начинать исходя из заданной формы равновесия висячего покрытия при полной равномерно распределенной расчетной нагрузке. Затем последовательно определяют:
расчетные усилия во всех элементах системы и площади их поперечных сечений;
исходную (начальную) геометрию системы;
длины заготовок контурных и угловых вант до приложения нагрузки.
При этом предполагается, что материал вант в рассматриваемом диапазоне нагружения следует закону Гука, а исходная геометрия конструкции соответствует форме равновесия вантовой сети из нерастяжимых нитей, длина которых равна длине заготовки.
Зная исходную геометрию системы, определяют форму ее равновесия и находят перемещения при всех монтажных состояниях нагружения.
8.65. Расчет контурных вант производят следующим образом:
задают величину стрелки провеса f1 первой (от опорного контура) контурной ванты и определяют распор H1 первой контурной ванты по формуле

(8.48)
где qп - равномерно распределенная расчетная нагрузка на 1 м длины горизонтальной проекции ванты;
l1 - величина пролета первой контурной ванты;
задаются условием равенства распоров H всех контурных вант

(8.49)
затем определяют стрелки провеса fi контурных вант по формуле

(8.50)
где
i - номер контурной ванты (от 1 до
k0), считая от контура (см.
рис. 8.15);
k0 - количество контурных вант на каждом участке между угловыми вантами (т.е. количество гибких контуров в системе);
li - величина пролета контурной ванты i.
Расчетное продольное усилие Ti в произвольном сечении контурной ванты i определяют по формуле

(8.51)
где Qi - поперечная сила в однопролетной шарнирно-опертой балке пролетом li при нагрузке qп.
Ординаты линий равновесия yi контурных вант, измеренные от горизонтали, проходящей через центры узлов сопряжения контурных вант с угловыми при расчетной нагрузке, определяют по формуле

(8.52)
где Mi - изгибающий момент в сечении x однопролетной шарнирно-опертой балки пролетом li при нагрузке qп.
Соответствующие значения тангенсов углов наклона контурной ванты i находят по формуле

(8.53)
8.66. Для определения формы равновесия системы угловых вант при расчетной нагрузке:
а) определяют величины сосредоточенных нагрузок, передающихся в узлах сопряжения от примыкающих контурных вант (рис. 8.22); при этом величины горизонтальной и вертикальной составляющих узловой нагрузки определяют отдельно. Горизонтальную составляющую узловой нагрузки Hд для квадратного плана определяют как геометрическую сумму распоров, примыкающих к узлу контурных вант, по формуле
Hд = 1,41H. (8.54)
Рис. 8.22. Расчетная схема системы угловых вант
в полигонально-вантовой системе
Вертикальная составляющая узловой нагрузки Vi равна арифметической сумме вертикальных составляющих опорных реакций двух примыкающих к узлу контурных вант плюс нагрузка от веса узловой конструкции и других элементов покрытия, опирающихся непосредственно на узел;
б) по найденным величинам узловых нагрузок определяют опорные реакции

,

системы угловых вант из выражений

(8.55)

(8.56)
в) находят тангенсы углов наклона системы угловых вант (см.
рис. 8.22) на всех участках между узлами по формулам:

(8.57)
где i - номер узла;
г) зная углы наклона

и величины расстояний между узлами по горизонтали, определяют ординаты линии равновесия системы угловых вант. Полученная ломаная линия соответствует форме равновесия нижней угловой ванты. Все остальные угловые ванты располагаются выше на расстояниях, равных принятому шагу угловых вант по вертикали. Абсолютные отметки узлов сопряжения определяются на основе полученных ординат линии равновесия нижней угловой ванты с учетом шага угловых вант по высоте. При наличии дополнительных угловых вант, проходящих непрерывно по диагоналям плана, в
формулу (8.56) вместо величины
k0 подставляют величину (
k0 +
kд), где
kд - количество дополнительных угловых вант в каждой диагонали.
8.67. Для подбора сечений необходимо определить максимальные продольные усилия в вантах. Для контурных вант их определяют по
формуле (8.51), подставляя вместо
Qi вертикальную составляющую опорной реакции ванты. Усилия в угловых вантах достигают максимального значения на участке
0-1 (см.
рис. 8.22), примыкающем к опорному узлу системы, где продольное усилие
Tд(0-1) в каждой угловой ванте равно:

(8.58)
Сечения контурных и угловых вант подбирают по усилиям, полученным при расчете системы на полную расчетную нагрузку по всей площади покрытия.
8.68. После определения геометрических параметров висячей системы в расчетном предельном состоянии и подбора сечений ее основных элементов определяют длины заготовок вант (т.е. длины вант в исходном ненагруженном состоянии). Длины заготовок контурных вант определяют по формулам
прил. 4 настоящего Руководства. Длины заготовок угловых вант определяют на основе известных усилий и сечений на каждом участке между узлами, пользуясь законом Гука.
Расчет жесткости и трещиностойкости оболочки
8.69. Контроль жесткости и трещиностойкости оболочки осуществляют в соответствии с усилиями, найденными по теории расчета оболочки в упругой стадии на нагрузки, приложенные после замоноличивания оболочки с учетом рекомендаций
пп. 1.46 и 8.69 настоящего Руководства.
Метод расчета оболочки в упругой стадии основан на результатах экспериментальных исследований, из которых установлено, что:
каждый квадрант оболочки (участок между угловыми вантами) можно рассматривать отдельно;
в упругой стадии (при достаточной высоте ребер) оболочка работает линейно;
в поперечном направлении (вдоль контурных вант) оболочка работает в основном на растяжение, а в продольном - на изгиб; деформации сдвига в оболочки практически отсутствуют;
влиянием вертикальных перемещений угловых вант на напряженное состояние оболочки можно пренебречь, поскольку эпюры этих перемещений имеют малую кривизну [
13,
14].
8.70. Предварительным конструктивным критерием допустимости расчета оболочки как линейно деформируемой системы может служить высота ребер, которую рекомендуется назначать не менее 1/250 величины L общего пролета конструкции.
Для решения этого вопроса в общем виде (применительно к покрытию на квадратном плане при опирании оболочки по контуру) рекомендуется приближенный эмпирический критерий, так называемый "критерий жесткости", который позволяет судить о деформативности оболочки при различных размерах ее элементов. Величину этого критерия Kж определяют по формуле

(8.59)
где Iп - приведенный момент инерции поперечного сечения продольного ребра оболочки с учетом полки плит;
nр - количество продольных ребер оболочки в одном направлении;
L - величина общего пролета оболочки (см.
рис. 8.15).
При Kж > 120 кгс геометрическую схему оболочки можно считать недеформируемой. При несоблюдении этого условия высоту ребер плит оболочки рекомендуется увеличить. Критерий Kж действителен, когда величина равномерно распределенной нагрузки от снега не превышает нагрузки от собственного веса покрытия, что соответствует большинству практических случаев.
8.71. При расчете рассматривается предварительно-напряженная оболочка, опертая на систему угловых вант и по контуру. Опоры на контуре принимают подвижными в продольном и поперечном направлениях. Считается, что согласно
формуле (8.59) критерий жесткости удовлетворен. По результатам эксперимента расчетная схема рассматриваемой висячей оболочки представлена в виде перекрестной ванто-балочной системы (рис. 8.23). Учитывая пологость вант, реакции взаимодействия между вантами и балками предполагаются вертикальными, тангенциальные связи исключены. Задача решается методом сил. Основная система приведена на
рис. 8.24, в качестве лишних неизвестных приняты величины распоров контурных вант. Таким образом, задача расчета покрытия пролетом 48 м имеет всего 7 неизвестных.
Рис. 8.23. Расчетная схема оболочки, в виде эквивалентной
ванто-балочной системы
Рис. 8.24. Основная система для расчета оболочки
в упругой стадии
Реакции взаимодействия между вантами и балками определяют по формуле

(8.60)
где Rik - реакция взаимодействия ванты i с балкой k;
Hi - распор ванты i;
b0 - шаг балок (продольных ребер оболочки).
Из
формулы (8.60) следует, что величины реакций взаимодействия вдоль каждой ванты постоянны. Полагая, что
Hi = 1, можно определить узловые нагрузки от единичных неизвестных в основной системе и построить соответствующие эпюры моментов в балках и нормальных сил в вантах. Соответствующие эпюры моментов при
H2 = 1 приведены на рис. 8.25.
Рис. 8.25. Эпюры изгибающих моментов в основной системе
от неизвестного H2 = 1
8.72. Эпюры изгибающих моментов от внешней нагрузки в основной системе имеют вид эпюр моментов в однопролетных балках, опирающихся на контур и угловые ванты.
Система канонических уравнений имеет вид:

(8.61)
Коэффициенты при неизвестных и грузовые члены определяют при помощи интегралов Мора. Интегрирование производят по изгибающим моментам в балках и нормальным силам в вантах. Поскольку система предварительно-напряженная, то здесь в расчет вводится вся приведенная площадь поперечного сечения поперечной полосы оболочки (с шириной, равной шагу вант) с учетом работы самой ванты и бетона оболочки на растяжение. При определении жесткости продольных балок следует учитывать момент инерции приведенного поперечного сечения всей продольной полосы с шириной, равной ширине ребристых плит оболочки. В результате решения системы уравнений определяют величины распоров Hi.
Значения изгибающих моментов Mб в балках для каждого сечения определяют по формуле

(8.62)
где

- изгибающие моменты в балках от распора
Hi = 1;
u - количество вант, пересекающихся с рассматриваемой балкой;
Mр - изгибающий момент в балке от внешней нагрузки.
Реакции взаимодействия балок с вантами определяют по
формуле (8.60), величину перемещений - по правилам строительной механики.
Расчет по деформациям и образованию трещин выполняют с учетом указаний
раздела 4 главы СНиП II-21-75.
Характер эпюр изгибающих моментов в балках (т.е. продольных ребрах оболочки) для рассматриваемого примера приведен на рис. 8.26.
Рис. 8.26. Характер эпюр изгибающих моментов в продольных
ребрах оболочки (по расчету в упругой стадии)
Ширину раскрытия трещин допускается определять по усилиям, найденным согласно рекомендациям
пп. 8.69 -
8.72 настоящего Руководства и указаниям
раздела 4 главы СНиП II-21-75.
Расчет оболочки по несущей способности
8.73. Для определения несущей способности висячей оболочки полигонально-вантового типа применяется метод предельного равновесия в сочетании с общим решением задачи о расчете гибкой упругой нити
[13]. В соответствии с информацией, полученной из экспериментов, практический способ расчета основан на следующих положениях:
каждый квадрант оболочки рассматривается как висячая конструкция с несмещаемыми опорами, расположенными по линиям угловых вант;
в предельном состоянии оболочка разделяется трещинами на продольные полосы, опертые на контурные ванты, и работает как ванто-балочная система;
исчерпание несущей способности оболочки наступает вследствие одновременного появления текучести в контурных вантах и образования пластических шарниров в продольных ребрах (балках);
пластические шарниры в продольных ребрах располагаются на линии пересечения этих ребер с одной из ближайших к опорному контуру вант;
в предельном состоянии участки поверхности оболочки между линией расположения пластических шарниров и опорами остаются по форме близкими к цилиндрическим.
8.74. Состояние, когда в контурных вантах возникают напряжения текучести и образуются пластические шарниры в ребрах, считается предельным. Пример расчетной схемы разрушения оболочки приведен на
рис. 8.27. Здесь предполагается, что пластические шарниры в продольных ребрах возникли на линии пересечения ребер с вантой
2. При расчете рекомендуется также исходить из предположения, что пластические шарниры могут располагаться на линии пересечения с другими вантами (например, с вантой
1 или
3)
. В первую очередь предполагают, что образование пластических шарниров происходит в тех сечениях балок, где по расчету в упругой стадии возникают максимальные изгибающие моменты.
Рис. 8.27. Схема разрушения оболочки
а - расположение пластических шарниров и трещин в плане;
б - расчетная схема продольного ребра N 2 в предельном
состоянии; 1 - 7 - номера ребер; 8 - линия расположения
пластических шарниров в продольных ребрах оболочки;
9 - сквозные трещины в оболочке
8.75. Несущую способность оболочки определяют по несущей способности продольных ребер. Каждое ребро рассматривается как балка на упруго-податливых опорах, роль которых выполняют контурные ванты. Несущая способность каждого ребра зависит от величин реакций взаимодействия с вантами в предельном состоянии, характеристик сечений и положения пластических шарниров.
8.76. Несущую способность оболочки в зависимости от несущей способности каждой балки определяют из уравнения работ всех сил на возможных перемещениях балки согласно схеме излома, приведенной на
рис. 8.27,
б. При этом величина несущей способности оболочки определяется как предельная узловая нагрузка
Pk по формуле
| | ИС МЕГАНОРМ: примечание. Формула дана в соответствии с официальным текстом документа. | |

(8.63)
где i - номер ванты;
k - номер балки;
u - количество вант, пересекающихся с рассматриваемой балкой;
Rik - реакция взаимодействия ванты i с балкой k;
wik - возможное перемещение балки
k в точке пересечения с вантой
i; в пластическом шарнире принимается равным единице, в промежуточных точках - по линейной интерполяции между нулем на опорах балки и единицей в пластическом шарнире (см.
рис. 8.27,
б);
aп,
bп - расстояния от опор балки до пластического шарнира (см.
рис. 8.27,
б);
lk - пролет балки k;
Mпр - предельный изгибающий момент в балке.
Равномерно распределенную предельную нагрузку определяют делением узловой нагрузки Pk на произведение шага балок на шаг вант.
8.77. Реакции взаимодействия Rik в пластическом шарнире и в точках, расположенных правее (ближе к центру покрытия), вычисляют по формуле

(8.64)
Величины, входящие в (8.64), вычисляют по формулам:

(8.65)

(8.66)
где b0 - шаг продольных ребер оболочки (балок);
Fi - площадь поперечного сечения ванты i (без учета сечения растянутого бетона);
Rа.в - расчетное сопротивление материала вант;
li - пролет ванты i;
Eв - модуль упругости материала вант;
fi0 - начальная стрела провеса ванты i.
Реакции взаимодействия Rik для вант, расположенных левее пластического шарнира (между пластическим шарниром и контуром покрытия), вычисляют по формуле

(8.67)
где fi - стрела провеса ванты i в деформированном состоянии, определяемая по формуле

(8.68)
здесь xi - расстояние от контура до ванты i;
win - вертикальное перемещение середины пролета ванты iп, вдоль которой предполагается образование пластических шарниров в балках, определяемое по формуле

(8.69)
| | ИС МЕГАНОРМ: примечание. Текст дан в соответствии с официальным текстом документа. | |
где
Riпk - реакция взаимодействия ванты
iп с балками, определяемая по
формуле (8.64);
liп - пролет ванты iп;
Fiп - площадь поперечного сечения ванты iп;
fiп0 - начальная стрела провеса ванты iп.
Изложенным методом производят расчет для каждого продольного ребра оболочки.
8.78. Расчетные сжимающие усилия в опорном контуре полигонально-вантовой системы определяют путем геометрического разложения опорных усилий угловых вант по направлениям элементов узла сопряжения угловых колонн с опорным контуром с учетом усилий в контуре от температурных и других воздействий. При необходимости рекомендуется производить проверку контура по деформированной схеме с учетом его совместной работы с колоннами.
8.79. Опорный контур полигонально-вантовой системы рассчитывается на внецентренное сжатие согласно главе
СНиП II-21-75. При этом расчетную длину
l0 опорного контура в горизонтальной плоскости рекомендуется принимать равной
1/
4 его периметра (т.е. периметра здания), а в вертикальной плоскости - расстоянию между колоннами. Размеры поперечного сечения элементов опорного контура рекомендуется назначать равными не менее
l0/20.
8.80. Стыки элементов сборно-монолитного контура в углах и других местах должны быть запроектированы на восприятие нормальной силы и возможных изгибающих моментов в горизонтальной и вертикальной плоскостях.
8.81. При проектировании опорного контура полигональным в вертикальной плоскости (по
рис. 8.16,
б) его узлы целесообразно принимать расположенными на квадратной параболе с вершиной в центре пролета
L. Стрелу провеса этой параболы следует назначать таким образом, чтобы в угловых колоннах не возникало растяжения. Колонны, несущие опорный контур, должны исключать возможность его закручивания. Рекомендуется проектировать их двухветвевыми, с общей высотой сечения, равной ширине опорного контура.
2.
Висячие покрытия кругового очертания в плане. М., Госстройиздат, 1962.
3.
Висячие покрытия/НИИЖБ, М., 1971.
4.
Висячие покрытия/ЦИНИС, М., 1973.
5.
Гохбаум Ф.А. Безмоментные опорные контуры вантовых систем покрытий. - В кн.: Висячие покрытия/НИИЖБ, М., Госстройиздат, 1962.
6. Дмитриев Л.Г., Касилов А.В. Вантовые покрытия. Киев, Будiвельник, 1974.
7.
Корнилов В.Г. Программирование оптимальной последовательности преднапряжения вантовых конструкций. М., Стройиздат, 1977.
8.
Кузнецов Э.Н. Радиальные вантовые системы. М., Госстройиздат, 1963.
9.
Мацелинский Р.Н., Катин Н.И., Стульчиков А.Н. Новая система висячих покрытий. - На стройках России, 1968, N 10.
10.
Мацелинский Р.Н., Фельдман Е.Ш. Большепролетное вантовое покрытие для промышленных и общественных зданий с прямоугольным планом. - Промышленное строительство и инженерные сооружения, Киев, 1968, N 6.
11.
Мацелинский Р.Н., Фельдман Е.Ш. Расчет полигонально-вантовой системы покрытия. - В кн.: Строительные конструкции, Киев, Будiвельник, 1971, вып. XV.
12.
Мацелинский Р.Н., Фельдман Е.Ш. Экспериментальные исследования и расчет полигонально-вантовой системы покрытия. - В кн.: Висячие покрытия/НИИЖБ, М., 1971.
13.
Мацелинский Р.Н., Дашков А.Г. Исследование висячей железобетонной оболочки полигонально-вантового типа. - Строит. механика и расчет сооружений, 1974, N 2.
14.
Мацелинский Р.Н., Дашков А.Г. Экспериментальное исследование висячей оболочки на модели. - В кн.: Исследования железобетонных пространственных конструкций на моделях. М., Стройиздат, 1974.
15.
ЦНИИСК.
Рекомендации по проектированию висячих конструкций. М., 1974.
16. Шифрин М.А., Корнилов В.Г., Коднир Ю.Л., Мерзляков Ю.А. Изготовление и монтаж вантового покрытия. - Монтажные и специальные работы в строительстве, 1969, N 9.
9.1. Панели-оболочки КЖС (крупноразмерные, железобетонные, сводчатые) предназначаются для покрытий промышленных, общественных, сельскохозяйственных и других зданий с пролетами 12, 18 и 24 м, а при необходимости и для покрытий зданий других пролетов. Применение панелей КЖС предусматривается в покрытиях однопролетных и многопролетных зданий с фонарями и без фонарей верхнего света, бескрановых, а также оборудованных мостовыми кранами грузоподъемностью до 30 тс или подвесным транспортом, грузоподъемностью до 5 тс [
2,
3,
4,
5].
КОНСТРУИРОВАНИЕ ПАНЕЛЕЙ-ОБОЛОЧЕК КЖС
9.2. Панель-оболочка КЖС
[1] представляет собой короткий цилиндрический пологий предварительно-напряженный свод-оболочку с двумя ребрами-диафрагмами сегментного очертания (рис. 9.1,
9.2), [
6,
7].
Рис. 9.1. Панель-оболочка КЖС
а - план; б - продольный разрез по оси панели;
в - вид на диафрагму
Рис. 9.2. Поперечное сечение панели-оболочки КЖС
1 - вертикальное ребро жесткости; 2 - разбивочная ось
Высоту поперечного сечения панели в середине пролета принимают равной
1/
20 -
1/
15 l0 в зависимости от величины нагрузки и размера пролета. Очертание верхней поверхности оболочки рекомендуется принимать по квадратной параболе. Минимальная толщина оболочки не должна быть менее 30 мм; диафрагмы рекомендуется проектировать облегченной кессонированной конструкции с вертикальными ребрами жесткости и минимальной толщиной стенки, равной 40 мм. Минимальная толщина стенки в первом от опоры кессоне диафрагмы принимается равной 50 мм. Сопряжение оболочки с диафрагмами выполняется с применением пологих вутов (
i = 1:5), как показано на
рис. 9.2.
Номинальные размеры основных панелей в плане рекомендуется принимать равными 3 x 12; 3 x 18 и 3 x 24 м. При изготовлении панелей-оболочек типа КЖС на строительной площадке размеры панелей могут быть больше, например 3 x 30 или 3 x 36 м. При повышенных нагрузках, например, от снеговых отложений в зонах перепадов высот покрытия целесообразно применение доборных панелей шириной 1,5 или 2 м.
9.3. Основную напрягаемую рабочую арматуру панели (рис. 9.3) рекомендуется проектировать из двух предварительно-напряженных элементов, расположенных в нижней утолщенной зоне диафрагм. Эта арматура проектируется из стержневой свариваемой стали и, как правило, выполняется из одного или двух вплотную расположенных стержней в каждом ребре (диафрагме). Возможно также применение для рабочей арматуры панелей КЖС высокопрочной проволоки и стальных канатов.
Рис. 9.3. Армирование панели-оболочки КЖС размером 3 x 18 м
1 - напрягаемая арматура диафрагмы; 2 - анкер;
3 - арматурная сетка оболочки; 4 - поперечная арматура
диафрагмы (на участке T устанавливается только при наличии
подвесного транспорта); 5 - подвеска наружная; 6 - подвеска
внутренняя; 7 - сетка в вуте; 8 - торцевая арматура
(сечение IV'-IV' при наличии подвесных кранов
и для сегментных сводов)
По концам напрягаемых элементов рабочей арматуры предусматриваются прикрепленные к ним стальные анкерные детали (см.
рис. 9.3). Эти детали должны обеспечивать надежное заанкеривание рабочей арматуры в бетоне опорного узла панели, так как эта арматура играет роль затяжек рассматриваемой сводчатой системы.
9.4. Армирование оболочки назначается по расчету и выполняется из сварной арматурной сетки рулонного типа. Площадь сечения арматуры (в % полной площади сечения бетона оболочки), расположенной в средней части пролета между точками
4 -
5 (см.
рис. 9.10), должна быть не менее: поперечной - 0,3; продольной - 0,2.
Диафрагмы, как правило, следует армировать сварными каркасами только в опорных зонах (на участках длиной 0,1l0 или более, в зависимости от расчета), а также стержнями-подвесками, расположенными в вертикальных ребрах диафрагм.
9.5. Панели КЖС рекомендуется проектировать из бетонов марок М300 - М600 в зависимости от размеров пролета и нагрузок. В тех случаях, когда это технически и экономически целесообразно в данном районе строительства, рекомендуется проектировать панели-оболочки КЖС из бетонов тех же марок на пористых заполнителях. Рекомендуется также проектировать комплексные панели-оболочки повышенной заводской готовности с эффективным плитным утеплителем (без стяжки) и кровлей, приклеенными на заводе [
2,
8,
9].
Для пропуска вентиляционных шахт и установки крышных вентиляторов предусматривается изготовление панелей с отверстиями диаметром 400, 700, 1000 и 1450 мм, расположенными по оси панели на различных расстояниях от торца, вокруг которых предусматривается соответствующее усиление оболочки по расчету.
Для устройства светоаэрационных или зенитных фонарей панели следует проектировать с проемами (рис. 9.4) размером, м:
2,5 x 6 - для панелей размером 3 x 18 м;
2,5 x 9 " " " 3 x 24 м.
Рис. 9.4. Панель-оболочка КЖС с проемом
для светоаэрационного или зенитного фонаря
а - план; б - продольный разрез по оси панели
При подходе к фонарному проему в оболочке предусматривают плавное утолщение до 70 - 80 мм; сжатую зону диафрагм в пределах проема рекомендуется соответственно усиливать. В оболочке и в сжатой зоне диафрагм в соответствии с расчетом рекомендуется устанавливать дополнительную арматуру.
КОНСТРУИРОВАНИЕ ПОКРЫТИЙ ИЗ ПАНЕЛЕЙ-ОБОЛОЧЕК КЖС
9.6. Покрытия рассматриваемого типа проектируются из панелей КЖС и поддерживающих продольных конструкций. В простейшем случае панели опираются на продольные несущие стены; такое решение наиболее целесообразно для невысоких зданий сельскохозяйственного строительства, невысоких складских и ряда других зданий.
В промышленном строительстве при шаге колонн 6 м панели опирают на продольные железобетонные балки прямоугольного сечения высотой 500 - 600 мм. При шаге колонн 12 м применяют предварительно-напряженные железобетонные двутавровые балки с сечением высотой 1000 - 1200 мм или фермы раскосно-шпренгельного типа с предварительно-напряженной арматурой (рис. 9.5).
Рис. 9.5. Продольная предварительно-напряженная балка
и ферма для покрытий из панелей-оболочек КЖС
при шаге колонн 12 м
Для совместной работы панелей КЖС с каркасом здания должно быть предусмотрено их крепление сваркой во всех четырех углах панели к продольным несущим конструкциям покрытия. Это крепление рекомендуется осуществлять с применением листовых шарниров, обеспечивающих возможность поворота сечения панели в вертикальной плоскости (рис. 9.6). Листовые шарниры должны быть запроектированы так, чтобы они могли заранее на заводе привариваться к закладным деталям продольных конструкций. Жесткое крепление панелей, создающее их защемление на опорах, не допускается.
Рис. 9.6. Узел опирания панели-оболочки КЖС
на продольную балку
а - разрез; б - план; 1 - панель-оболочка КЖС;
2 - продольная балка крайнего ряда; 3 - напрягаемая арматура
панели; 4 - анкер; 5 - отверстие для строповки; 6 - торцевая
арматура панели; 7 - закладная деталь балки; 8 - листовой
шарнир; 9 - заводская сварка; 10 - монтажная сварка
9.7. При наличии подвесных кранов балки крановых путей проектируют из двутавра N 30М. Балки крановых путей рекомендуется предусматривать неразрезными и подвешивать через каждые 3 м при помощи оцинкованных болтов-подвесок, проходящих в швах между панелями, и анкерных плит, передающих крановые нагрузки непосредственно на сжатую зону диафрагм панелей-оболочек (рис. 9.7). Балки подвесных крановых путей располагают по осям вертикальных ребер диафрагм согласно схемам, приведенным на
рис. 9.15.
Рис. 9.7. Узел крепления балок крановых путей подвесного
транспорта к покрытию из панелей-оболочек КЖС
(в середине пролета)
1 - панель-оболочка КЖС; 2 - балка кранового пути
I30М; 3 - закладная деталь панели; 4 - анкерная коробка
(оцинкованная); 5 - болты-подвески (оцинкованные);
6 - прокладка; 7 - монтажная сварка
9.8. Фонари верхнего света в покрытиях из панелей-оболочек КЖС могут быть запроектированы в виде продольного светоаэрационного фонаря с вертикальным остеклением
(рис. 9.8) или в виде зенитного фонаря из пакетного стекла. В обоих случаях размеры фонарных проемов в оболочках принимают одинаковыми (
рис. 9.4 настоящего Руководства). Каркас светоаэрационного фонаря рекомендуется выполнять из стальных стоек, расположенных с шагом 3 м, развязанных связями в обоих направлениях и приваренных к закладным деталям панелей в углах фонарного проема. Покрытие фонаря может быть запроектировано из элементов в виде панелей-оболочек КЖС, опирающихся на стойки каркаса.
Рис. 9.8. Схема светоаэрационного фонаря
в покрытии из панелей-оболочек КЖС
1 - панель-оболочка КЖС размером 3 x 18 или 3 x 24 м;
2 - панель-оболочка КЖС размером 3 x 6 или 3 x 9 м;
3 - стальные стойки, расположенные с шагом 3 м; 4 - связи
9.9. При конструировании панелей КЖС необходимо учитывать следующие особенности:
конструкции анкерных деталей и сварных стыков напрягаемой арматуры из стержневой стали, упрочненной посредством вытяжки, должны позволять производить ее упрочнение после сварки всех стыков и приварки анкерных деталей;
допускается приварка анкерных деталей после упрочнения при условии повторной вытяжки арматурного элемента на силовой форме (или стенде) полным усилием, заданным для упрочнения.
При проектировании рабочей арматуры из высокопрочной проволоки или стальных канатов конструкции анкеров должны обеспечивать возможность предварительного напряжения при натяжении арматуры с захватом за анкера арматурных элементов. При подъеме строповку панели следует осуществлять только за отверстия в угловых анкерных деталях (см.
рис. 9.3,
9.6).
На всех стадиях производства, складирования, транспортирования и монтажа панель-оболочка должна опираться только на угловые анкерные детали. Транспортирование панелей КЖС предусматривается на транспортных средствах с жесткой (на изгиб и кручение) грузовой платформой, размеры которой должны быть не менее транспортируемых панелей.
Расчет панелей-оболочек КЖС
9.10. Расчет пологой цилиндрической панели-оболочки КЖС производят по методике расчетных предельных состояний с учетом изменений геометрической схемы конструкции в процессе нагружения. Методика расчета основана на следующей статической гипотезе, подтвержденной экспериментом: предполагается, что вдоль пролета панели действуют только продольные силы, а поперек (т.е. вдоль образующей оболочки) - только поперечные силы и изгибающие моменты. Система учитываемых в расчете усилий приведена на рис. 9.9. Таким образом, оболочка рассматривается как цилиндрический свод, работающий совместно с деформирующимися диафрагмами.
Рис. 9.9. Система усилий, учитываемых
в расчете панели-оболочки КЖС
Излагаемый ниже метод расчета разработан для панелей-оболочек КЖС, у которых отношение

, опирающихся на продольные несущие конструкции согласно
п. 9.6 настоящего Руководства.
Расчет панели-оболочки КЖС
по общей несущей способности и устойчивости
9.11. Необходимо, чтобы несущая способность оболочки была достаточной для восприятия усилий сжатия и изгибающих моментов, возникающих при воздействии на систему "свод-диафрагмы" расчетных нагрузок в наименее благоприятных сочетаниях. Тогда общая несущая способность панели-оболочки КЖС может быть выражена величиной предельного изгибающего момента, воспринимаемого системой в целом [
7,
10].
В соответствии с этим необходимые площади сечения
Fа рабочей арматуры диафрагм и толщины оболочки
(рис. 9.10) определяют из условий:

(9.1)

(9.2)

(9.3)
Рис. 9.10. Геометрическая схема панели-оболочки КЖС
а - продольный разрез; б - план опорной части;
1 - 5 - номера характерных точек продольного сечения по оси
панели; 6 - ось напрягаемой арматуры диафрагмы; 7 - ось
оболочки;

- угол наклона нижней поверхности оболочки
у торца панели;

M - изгибающий момент в рассматриваемом сечении панели;
z - расстояние по вертикали от оси оболочки до оси рабочей арматуры диафрагмы;
Rа - расчетное сопротивление рабочей арматуры диафрагм;
bп - ширина панели поверху;
m0 - коэффициент условий работы тонкой оболочки, принимаемый равным для панелей шириной 3 м - 0,75; 2 м - 0,9; 1,5 м - 1;
mб1 - коэффициент условий работы бетона, принимаемый по
табл. 15 главы СНиП II-21-75 "Бетонные и железобетонные конструкции";
x - расстояние от рабочей поверхности анкера рабочей арматуры диафрагмы до рассматриваемого сечения (см.
рис. 9.10);
aг - расстояние по горизонтали от оси рабочей арматуры диафрагмы до продольной грани панели на опоре.
Кроме того, должно быть соблюдено условие

(9.4)
где M0 - расчетный изгибающий момент в середине пролета панели;
z0 - стрела подъема оболочки (т.е. расстояние от оси оболочки до оси рабочей арматуры диафрагмы в середине пролета).
Рекомендуемая геометрическая схема конструкции приведена на
рис. 9.2 и
9.10; верхняя поверхность оболочки между точками N 1 и 2 очерчена по квадратной параболе.
Необходимую толщину оболочки в средней части пролета определяют по
формуле (9.2); толщину оболочки

на участке, примыкающем к опоре, - по
формулам (9.3) и
(9.4).
Формулой (9.3) следует пользоваться также для определения толщины оболочки в зоне, примыкающей к фонарному проему (рис. 9.11). При этом расстояние
x отсчитывают от грани проема, а вместо величины 4
aг в
формулу (9.3) следует подставлять величину, равную 2
bпф.
Рис. 9.11. Примыкание оболочки к фонарному проему
а - продольный разрез; б - план; 1 - оболочка;
2 - диафрагма; 3 - оси напрягаемой арматуры диафрагм;
4 - линии сопряжения вутов с оболочкой
9.12. Помимо расчета по
формуле (9.2), толщину оболочки следует проверить на условные критические напряжения сжатия по формуле

(9.5)
где
lв - расчетный пролет оболочки, равный расстоянию в свету между вутами (см.
рис. 9.2);

- изгибающий момент от расчетных нагрузок в середине пролета панели при коэффициенте перегрузки
nп = 1;
y0 - расстояние от центра тяжести приведенного сечения панели в середине пролета до оси оболочки;
Iп0 - момент инерции приведенного поперечного сечения панели в середине ее пролета.
9.13. Площадь сечения стержней торцевой арматуры при опирании панели на продольные несущие конструкции согласно
п. 9.6 подбирают по большему из усилий
Nт, полученных по формулам:

(9.6)

(9.7)
где g - расчетная нагрузка от веса панели на 1 м2;
l - расчетный пролет панели;
bа - расстояние между осями рабочей арматуры диафрагм;
bп - ширина панели на опоре;
200 - сопротивление отрыву, кгс/м2, при съеме панели с формы.
Для торцевой арматуры рекомендуется применять сталь класса А-III.
Расчет диафрагм на поперечную силу
9.14. Расчет диафрагм панели-оболочки КЖС на поперечную силу производят с учетом разгружающего действия вертикальных составляющих сил сжатия в оболочке. Часть поперечной силы
Qд, воспринимаемую диафрагмами, определяют по формуле

(9.8)
при этом должно быть проверено условие

(9.9)
Q0 - полная величина поперечной силы в рассматриваемом сечении панели;

- угол наклона оси оболочки;

- ширина диафрагмы в самом узком месте рассматриваемого сечения (см.
рис. 9.2);
h0 - рабочая высота сечения.
При соблюдении
условия (9.9) расчетной поперечной арматуры в диафрагмах не требуется: достаточно установить стержни-подвески в вертикальных ребрах жесткости диафрагм (см.
рис. 9.3), располагаемые с шагом 1,5 - 1,6 м. При наличии подвесного транспорта эти подвески делаются двойными
(рис. 9.3). Во всех случаях на участках диафрагм длиной 0,1
l, примыкающих к опорам, а также в местах, где
условие (9.9) не соблюдается, рекомендуется устанавливать поперечную арматуру в соответствии с расчетными и конструктивными требованиями главы
СНиП II-21-75. В диафрагмах панелей, несущих подвесные краны, при расположении крайних балок крановых путей вблизи опор (на расстоянии 1,5 - 1,7 м от оси продольной конструкции) поперечную арматуру рекомендуется устанавливать на участках длиной не менее 3 м, примыкающих к опорам.
9.15. Площадь рабочей поверхности анкера рабочей арматуры каждой диафрагмы рекомендуется проверять исходя из условия

(9.10)
где M1 - изгибающий момент на всю ширину панели в сечении, расположенном на расстоянии 1,5 м от рабочей поверхности анкера;
z1 - расстояние по вертикали от оси рабочей арматуры диафрагмы до оси оболочки в этом же сечении.
При нагрузках от подвесных кранов изгибающий момент M1 и величину z1 рекомендуется вычислять в сечении под грузом, ближайшим к опоре.
Расчет панели-оболочки КЖС по деформациям
9.16. Прогиб

в середине пролета предварительно-напряженной панели-оболочки КЖС при кратковременном действии равномерно распределенной на 1 м длины панели нагрузки
qн рекомендуется определять по формуле

(9.11)
где qн - равномерно распределенная расчетная нагрузка при коэффициентах перегрузки nп = 1;
kп - коэффициент, учитывающий влияние кратковременной ползучести бетона (для тяжелых и легких бетонов на плотном мелком заполнителе kп = 0,85);
Iп0 - момент инерции приведенного поперечного сечения панели КЖС в середине пролета.
Величину прогиба

панели в середине пролета с учетом длительного действия нагрузки и предварительного напряжения определяют по формуле

(9.12)
где qк - кратковременно действующая часть нагрузки;
c - коэффициент, учитывающий влияние длительной ползучести бетона согласно главе
СНиП II-21-75;
qдл - длительно действующая часть нагрузки;
qп - эквивалентная по моменту в середине пролета равномерно распределенная нагрузка от сил предварительного напряжения, определяемая по формуле

(9.13)

- сумма потерь предварительного напряжения рабочей арматуры от быстронатекающей ползучести, усадки и ползучести бетона;

- то же, для напрягаемой арматуры, если бы она имелась на уровне крайнего сжатого волокна бетона;
Eа - модуль упругости рабочей арматуры диафрагм;
h0ц - рабочая высота поперечного сечения панели в середине пролета;
N01 - равнодействующая усилий в напрягаемой арматуре до обжатия бетона, определяемая при коэффициенте точности натяжения mт = 1;
e0н - расстояние от оси напрягаемой арматуры до центра тяжести приведенного сечения панели в середине пролета.
Расчет панели-оболочки КЖС по образованию трещин
9.17. Расчет по образованию трещин в диафрагмах панелей КЖС рекомендуется производить согласно требованиям
раздела 4 главы СНиП II-21-75 с учетом следующих особенностей:
а) во всех случаях при определении потерь предварительного напряжения в арматуре рекомендуется учитывать разгружающее действие веса панели при mт = 1;
б) величину момента сопротивления Wт приведенного сечения панели для растянутой грани с учетом неупругих деформаций бетона допускается определять по формуле
где W0 - момент сопротивления для растянутой грани сечения, определяемый в соответствии с правилами сопротивления упругих материалов по формуле

(9.15)
Расчет поля оболочки на изгиб вдоль образующей
9.18. Короткую цилиндрическую оболочку между диафрагмами в соответствии со схемой усилий, изображенной на
рис. 9.9, рекомендуется рассчитывать на изгиб в направлении ее образующей
[10]. При этом необходимо учитывать изменения геометрической схемы конструкции вследствие роста прогибов, появления и развития трещин в диафрагмах и уменьшения кривизны оболочки в процессе ее нагружения на всех стадиях - от начала нагружения до появления признаков предельного состояния (рис. 9.12).
Рис. 9.12. Зависимость между прогибами
панели-оболочки КЖС и нагрузками
Расчет производят путем определения "изгибающей нагрузки" qи, передающейся на диафрагмы за счет изгиба оболочки и сравнения этой нагрузки с несущей способностью оболочки на изгиб, определяемой методом предельного равновесия. Несущую способность оболочки на изгиб рекомендуется проверять при следующих схемах нагружения:
при нагрузке, равномерно распределенной по всей поверхности оболочки;
при снеговой нагрузке, расположенной на половине пролета с учетом коэффициента снегоотложения
C = 1, на участках нижних покрытий при перепаде высот - с учетом коэффициента
C, определяемого по
табл. 5 главы СНиП II-6-74;
при нагружении диафрагм сосредоточенными нагрузками от симметрично расположенных подвесных кранов;
при нагружении сосредоточенными нагрузками от стоек каркаса фонаря и т.п.
Перечисленные нагрузки следует учитывать в наименее благоприятных сочетаниях. Коэффициенты сочетаний принимают по главе
СНиП II-6-74. Поскольку при расчете оболочки решается нелинейная задача, то не допускается производить расчет на воздействие отдельных видов нагружения с последующим суммированием. В каждом случае необходимо производить расчет на возможные комбинации нагрузок, например: постоянная нагрузка + полный снег; постоянная нагрузка + снег на половине пролета; постоянная нагрузка + снег + подвесные краны; постоянная нагрузка + подвесные краны и т.д. При этом следует иметь в виду следующее: при нагрузке, приложенной к полю оболочки, изгибающая нагрузка положительна (направлена вниз), при нагрузке, приложенной к диафрагмам, - отрицательна (направлена вверх). Снеговая нагрузка, приложенная на одной половине пролета, создает на ней положительную изгибающую нагрузку, на другой - отрицательную. Силы предварительного напряжения рабочей арматуры диафрагм создают положительную изгибающую нагрузку на оболочку.
9.19. При равномерном нагружении
(рис. 9.13) решение нелинейной задачи для определения максимальной величины
qи-max - расчетной изгибающей нагрузки на 1 м
2 - имеет вид

(9.16)
где qм - расчетная равномерно распределенная нагрузка на 1 м2, приложенная непосредственно к оболочке с учетом ее веса (без учета веса диафрагм);
m0-max - расчетный прогиб панели в середине пролета при нагрузке, равной 1,4
q, определяемый по
формуле (9.17);
q - эквивалентная по моменту в середине пролета расчетная равномерно распределенная нагрузка на 1 м2 с учетом веса панели;
qN - вертикальная нагрузка на 1 м
2, эквивалентная по нормальной силе, возникающей в оболочке от предварительного напряжения панели, определяемая по
формуле (9.21);

- коэффициент, учитывающий неравномерность распределения сил сжатия в оболочке, определяемый по
формуле (9.22).
Рис. 9.13. Расчетная схема панели-оболочки КЖС
1 - ось оболочки; 2 - то же, рабочей арматуры диафрагмы

(9.17)

(9.18)

(9.19)
n =
Eа/
Eб;
qпред = 8
FаRаz0/b0l2, (9.20)
где wн.т - прогиб панели в начале текучести арматуры диафрагм;
wN - выгиб панели от сил предварительного напряжения;
Eа - модуль упругости рабочей арматуры диафрагм;

- величина предварительного напряжения в арматуре без учета потерь;

- общие потери предварительного напряжения, определяемые по главе
СНиП II-21-75;

(9.21)

(9.22)
где

- толщина оболочки в середине пролета;
Fп0 - площадь приведенного сечения панели в середине ее пролета;
N02 - равнодействующая усилий в напрягаемой арматуре с учетом общих потерь предварительного напряжения.
9.20. Минимальную величину изгибающей нагрузки qи-min при равномерном нагружении панели определяют по формуле

(9.23)
где w0-min - расчетный прогиб панели в середине пролета при нагрузке, равной q, определяемый по формуле

(9.24)

,

,
N02 - определяют при
mт = 0,9.
9.21. Сосредоточенные нагрузки от подвесного транспорта, приложенные к диафрагмам, учитывают посредством их замены эквивалентной по моменту в середине пролета равномерно распределенной на 1 м2 нагрузкой qк. Суммарную эквивалентную нагрузку qск определяют по формуле
qск = q + qк; (9.25)

(9.26)
где M0к - расчетный изгибающий момент в середине пролета панели от подвесных кранов;
Для определения минимальной изгибающей нагрузки
qи-min в
формулы (9.23) -
(9.24) вместо величины
q следует подставлять величину
qск, при этом следует иметь в виду, что наибольшее по абсолютной величине отрицательное значение изгибающей нагрузки имеет место при отсутствии снега на поверхности оболочки (т.е. при
q =
g).
9.22. При нагружении панели-оболочки постоянной равномерно распределенной нагрузкой
g в сочетании с нагрузкой от снега
p, расположенной на левой половине пролета
(рис. 9.13), изгибающие нагрузки соответственно для левой
qил и правой
qип половин пролета определяют по формулам:

(9.27)

(9.28)
где qмл и qмп - равномерно распределенные нагрузки, приложенные непосредственно к оболочке соответственно на левой и правой половинах пролета с учетом собственного веса оболочки;

- отношение временной (снеговой) к постоянной равномерно распределенной нагрузке, определяемое по формуле

(9.29)
При определении изгибающих нагрузок qил и qип соответственно вычисляют величины:
w0-max и qN при mт = 1,1;
w0-min и qN при mт = 0,9.
При сочетании неравномерного нагружения снегом с крановыми нагрузками, приложенными к диафрагмам, в
формулы (9.27) -
(9.30) вместо нагрузки
g следует подставлять условную величину
gусл, определяемую по формуле
gусл = g + qк, (9.31)
9.23. Расчет оболочки на изгиб в зоне примыкания к фонарному проему (см.
рис. 9.11) рекомендуется производить, вычисляя величины эквивалентных изгибающих нагрузок для сечений, расположенных на различных расстояниях (в пределах участка
x = 0 -
lв) от торца фонарного проема. Величину эквивалентной изгибающей нагрузки
qиxэ для сечения, расположенного на расстоянии
x от фонарного проема, определяют по формуле

(9.32)
здесь qиx - максимальная расчетная изгибающая нагрузка в сечении, расположенном на расстоянии x от фонарного проема, определяемая по формуле

(9.33)
где qмx - расчетная равномерно распределенная нагрузка, приложенная непосредственно к оболочке в том же сечении (с учетом собственного веса оболочки в этом месте);
w0-max - прогиб панели в середине пролета при нагрузке, равной 1,4qф;
qф - эквивалентная по моменту в середине пролета расчетная равномерно распределенная нагрузка на 1 м2 с учетом веса панели, всех нагрузок, приложенных к оболочке и постоянных нагрузок, приложенных к диафрагмам;

- коэффициент, учитывающий неравномерность распределения сил сжатия в оболочке для сечения, расположенного на расстоянии
x от фонарного проема, определяемый по формуле

(9.34)
здесь

определяют по
формуле (9.22), подставляя в нее геометрические характеристики сечения, расположенного на расстоянии
lв от фонарного проема.
9.24. Предельную несущую способность оболочки на изгиб определяют на основе принципа предельного равновесия, исходя из характерной схемы разрушения оболочек рассматриваемого типа
(рис. 9.14). В наиболее распространенном случае при армировании одной сварной сеткой с рабочими стержнями, расположенными вдоль образующей оболочки (т.е. поперек панели), и при схеме излома с тремя пластическими шарнирами (по оси панели и по линиям сопряжения оболочки с вутами диафрагм)
qи-пред, кгс, на 1 м
2 оболочки, определяют по формуле

(9.35)
где Fа.п - площадь сечения рабочей арматуры, см2, на 1 м оболочки;
Rа.п - расчетное сопротивление рабочей арматуры оболочки, кгс/см2;
lв - расстояние в свету между вутами диафрагм, см;

- толщина оболочки в рассматриваемом сечении, см.
Рис. 9.14. Схема разрушения панели-оболочки КЖС
а - вид на диафрагму; б - план; 1 - оболочка; 2 - рабочая
арматура диафрагм; 3 - трещины в диафрагме;
4 - пластические шарниры в оболочке
Проверка прочности сопряжения оболочки с диафрагмой
9.25. Прочность сопряжения оболочки с диафрагмами рекомендуется проверять расчетом на изгиб сечений
II-
II и
III-
III (см.
рис. 9.3) при действии на оболочку расчетных изгибающих нагрузок, предполагая, что расчет самой оболочки на изгиб проведен заранее, и величины расчетных изгибающих нагрузок при наименее благоприятных схемах нагружения известны. При этом принимается, что изгибающие моменты в вертикальном сечении
II-
II (у начала вута) и горизонтальном сечении
III-
III (по диафрагме) одинаковы. Величину расчетного изгибающего момента
M2 и
M3 для этих сечений определяют по формуле

(9.36)
где
qи - расчетная изгибающая нагрузка для рассматриваемой схемы нагружения, определяемая по
пп. 9.18 -
9.23 настоящего Руководства;
Величина изгибающего момента
M2 получается отрицательной, когда преобладающее действие оказывают нагрузки, расположенные на поле оболочки, и положительной, когда преобладают нагрузки, приложенные к диафрагмам. Если изгибающий момент
M2 отрицателен, то растянутой арматурой в сечении
II-
II (см.
рис. 9.3) служат поперечные стержни основной сетки
3 оболочки, а в сечении
III-
III - наружная подвеска
5, расположенная в вертикальном ребре жесткости диафрагмы. Площадь сечения этих арматурных элементов должна обеспечивать восприятие момента
M2. Если при всех комбинациях нагружения изгибающий момент
M2 остается отрицательным, то установки дополнительных сеток
7 в вутах и внутренних подвесок
6 в диафрагмах не требуется. Их устанавливают (по расчету) только в тех случаях, когда
M2 положителен.
Расчет покрытий на нагрузки от подвесных кранов
| | ИС МЕГАНОРМ: примечание. Межгосударственным Советом по стандартизации, метрологии и сертификации 21.10.1993 принят и с 1 января 1995 года введен в действие ГОСТ 7890-93. | |
9.26. Покрытия из панелей-оболочек КЖС могут нести нагрузки от подвесных электрических кранов по ГОСТ 7890-73. Типовые схемы нагружения приведены на
рис. 9.15. По схемам
а и
в максимальная грузоподъемность кранов составляет 5 тс, по схеме
б - 3,2 тс. Балки крановых путей выполняются неразрезными. При расчете принимают, что на каждой колее могут находиться по два максимально сближенных крана. Коэффициенты сочетания крановых нагрузок между собой и коэффициенты их сочетания со снеговой нагрузкой принимаются по главе
СНиП II-6-74. У поперечного температурного шва следует предусматривать шарнирное соединение концов балок крановых путей, не препятствующее взаимному повороту их концевых сечений, но способное передавать вертикальную поперечную силу, возникающую от крановых нагрузок. При расчете следует учитывать максимально возможное приближение кранов к торцевой стене здания с учетом расположения торцевых упоров на балках крановых путей. Величину нагрузки от кранов, передающейся на крайнюю панель, рекомендуется определять согласно
п. 9.29.

Рис. 9.15. Типовые схемы нагружения (а, б, в) покрытия
из панелей-оболочек КЖС подвесными кранами
Основной задачей расчета
[11] является определение нагрузок, передающихся от кранов на панель-оболочку, находящуюся в системе покрытия. Задача решается по принципу расчета неразрезной балки кранового пути как балки на оседающих опорах, которыми служат диафрагмы панелей-оболочек. При этом связь между опорными давлениями балки и вертикальными перемещениями диафрагм принимается нелинейной согласно
уравнению (9.24). Расчет состоит из определения максимальных нагрузок, передающихся на диафрагмы панелей КЖС и нагрузок от кранов, при которых возникают наибольшие отрицательные моменты в оболочке. В связи с тем, что рассматриваемая задача является нелинейной, то в каждом случае она решается при условии одновременного воздействия нагрузок от покрытия и подвесных кранов в наименее благоприятных сочетаниях.
9.27. Максимальные нагрузки от подвесных кранов, передающиеся на одну панель, следует определять при сочетании полного нагружения покрытия снегом с нагрузками от максимально сближенных кранов, расположенных по схеме, приведенной на рис. 9.16.
Рис. 9.16. Схема нагружения покрытия подвесными кранами
при определении максимальной нагрузки на диафрагмы
1 - панель-оболочка КЖС; 2 - балка кранового пути; 3 - болты
подвески; A - база крана; B - буферное расстояние
При нагружении двумя двухпролетными кранами с грузами, расположенными в середине пролета покрытия (см.
рис. 9.15,
а) максимальную расчетную нагрузку
P, передающуюся на одну панель-оболочку средней балкой кранового пути, определяют по формуле
расчетную нагрузку V, передающуюся на одну панель-оболочку крайней балкой кранового пути, - по формуле

(9.38)
Pк - расчетная нагрузка от одной тележки крана на среднюю балку кранового пути;
Vк - расчетная нагрузка от одной тележки крана на крайнюю балку кранового пути;
r - коэффициент распределения крановых нагрузок, определяемый из
уравнения (9.39);
b0 - номинальная ширина панели (например, 3 м);
gI - расчетная нагрузка от веса 1 м балки кранового пути с креплениями;

и

- относительные координаты расположения нагрузок
Pк и
Vк на балке кранового пути
(рис. 9.16).
Расчетные нагрузки
Pк и
Vк от одной тележки крана определяют с учетом коэффициента перегрузки и коэффициентов сочетания по главе
СНиП II-6-74. Например, при двух двухпролетных кранах и наличии снега на покрытии
Pк = Pт·1,2·0,85·0,9,
| | ИС МЕГАНОРМ: примечание. Межгосударственным Советом по стандартизации, метрологии и сертификации 21.10.1993 принят и с 1 января 1995 года введен в действие ГОСТ 7890-93. | |
где Pт - нагрузка на среднюю балку кранового пути от одной тележки крана, принимаемая по ГОСТ 7890-73;
1,2 - коэффициент перегрузки;
0,85 - коэффициент сочетания, учитывающий наличие двух кранов;
0,9 - коэффициент сочетания, учитывающий одновременное действие нагрузок от кранов и снега.
Коэффициент распределения крановых нагрузок r определяют из уравнения

(9.39)
где

(9.40)

(9.41)
EI - модуль упругости прокатной стали балки кранового пути;
II - момент инерции балки кранового пути;
qпред - предельная нагрузка, определяемая из
(9.20);
qп - эквивалентная по моменту в середине пролета, равномерно распределенная расчетная нагрузка на 1 м2 панели с учетом ее веса, но без учета нагрузок от подвесного транспорта;
aк - расстояние от оси опоры панели-оболочки до оси крайней балки кранового пути.
Уравнение (9.39) рекомендуется решать методом итераций ручным способом или на вычислительной машине. Общую несущую способность панели-оболочки проверяют при одновременном воздействии постоянных, снеговых и крановых нагрузок
P и
V, определяемых по
формулам (9.37) и
(9.38).
9.28. Расчетные нагрузки P0, V0 от подвесных кранов, передающиеся на одну панель-оболочку, при которых возникают максимальные отрицательные изгибающие моменты в оболочке, следует определять без учета снеговой нагрузки при максимальном сближении кранов, симметричном относительно оси панели (рис. 9.17), по формулам:
P0 =
r0Pк0 +
b0gI; (9.42)

(9.43)
Рис. 9.17. Схема нагружения покрытия подвесными кранами
при расчете оболочки на отрицательные моменты
Pк0 и Vк0 - расчетные нагрузки от одной тележки крана соответственно на среднюю и крайнюю балки крановых путей с учетом коэффициентов сочетания;
r0 - коэффициент распределения крановых нагрузок, определяемый из уравнения

(9.44)
где

(9.45)

(9.46)
g - эквивалентная по моменту в середине пролета равномерно распределенная расчетная постоянная нагрузка на 1 м2 панели с учетом собственного веса панели без учета нагрузки от снега и подвесного транспорта.
Найдя по
формуле (9.44) величину
r0 и подставляя ее в
формулу (9.45), определяют эквивалентную расчетную нагрузку
q01 для рассматриваемой панели. Заменив
q на
q01 в
формуле (9.24), определяют величину минимального расчетного прогиба
w0-min, а затем по
формуле (9.23) - величину минимальной (т.е. наибольшей отрицательной) изгибающей нагрузки
qи-min для оболочки. Абсолютная величина
qи-min не должна превышать величины
qи-пред, определяемой по
формуле (9.35).
9.29. При нагружении покрытия по схеме, приведенной на
рис. 9.15,
б (4 однопролетных крана в пролете, по 2 на каждом пути), расчет по несущей способности диафрагм и оболочки при расположении грузов в середине пролета рекомендуется производить по
формулам (9.37) -
(9.46); при этом в
формулы (9.37),
(9.39) -
(9.42),
(9.44) -
(9.46) вместо
Pк,
Pк0,
gI и
II подставляют удвоенные значения этих величин; коэффициенты сочетания принимают по главе
СНиП II-6-74 равными:
для нагрузок от четырех кранов - 0,7;
для нагрузок от кранов и снега - 0,9.
Для расчета оболочки по схеме, приведенной на
рис. 9.15, в (2 однопролетных крана в пролете), нагрузки от кранов рекомендуется определять по
формуле (9.43), исходя из условия, что поднимаемые грузы находятся в середине пролета.
Нагрузки от подвесных кранов, передающиеся на диафрагмы панелей-оболочек, примыкающие к торцевым стенам здания и поперечным температурным швам, определяют без учета неразрезности балок крановых путей.
Во всех случаях должна быть произведена проверка несущей способности диафрагм на изгиб и поперечную силу при подъеме грузов, максимально приближенных к одной из опор панели; при этом распределение нагрузок от кранов между панелями принимают (в запас) по линейному закону. В случае когда грузы максимально приближены к левой опоре, величины расчетных нагрузок Vл, V0, Vп, передающихся на одну панель КЖС соответственно левой, средней и правой балками кранового пути, рекомендуется определять по формулам:

(9.47)

(9.48)

(9.49)
Vк.л; Vк.с; Vк.п - расчетные нагрузки от одной тележки крана, передающиеся соответственно на левую, среднюю и правую балки кранового пути.
Расположение кранов в продольном разрезе принимают в соответствии с
рис. 9.16.
КОНСТРУИРОВАНИЕ СЕГМЕНТНЫХ СВОДОВ
9.30. Сегментный свод
[1] проектируется в виде трехшарнирной системы, собираемой из панелей-оболочек КЖС [
5,
6]. Своды могут устанавливаться на продольные конструкции и колонны здания (рис. 9.18) и служить несущей и ограждающей конструкциями покрытия, либо устанавливаться непосредственно на фундаменты
(рис. 9.19) в случае применения для складов сыпучих материалов и других сооружений. В первом случае свод должен иметь затяжки, которые могут выполняться открытыми стальными или железобетонными с предварительным напряжением.
Рис. 9.18. Конструктивная схема сегментного свода
для покрытий, опирающегося на продольные балки
каркаса здания
1 - панель-оболочка КЖС; 2 - ключевой шарнир свода;
3 - затяжки; 4 - подвески
Рис. 9.19. Конструктивная схема сегментного свода,
опирающегося на фундаменты
1 - панель-оболочка КЖС; 2 - ключевой шарнир; 3 - фундамент
Пролеты сводов, опирающихся на колонны и продольные конструкции, принимают равными 24, 36 или 48 м. При опирании на фундаменты пролеты сводов назначаются в зависимости от технологических требований и размеров применяемых панелей-оболочек КЖС, а также от стрелы подъема сооружения и могут достигать 40 - 50 м.
9.31. Сегментные своды во всех случаях проектируют из панелей-оболочек КЖС шириной 3 м; длину панелей для сводов, опирающихся на колонны при пролетах 24, 36, 48 м, рекомендуется принимать равной соответственно 12, 18 и 24 м. В каждой секции свода должны быть предусмотрены две затяжки. Стрелу подъема свода рекомендуется принимать в пределах от
1/
9 до
1/
8 его пролета. Опорный и ключевой узлы свода (
рис. 9.20 -
9.22) проектируют по принципу цилиндрического шарнира, с монтажной сваркой; после монтажа системы узел замоноличивается мелкозернистым бетоном марки М200; полости стальных упоров затяжек рекомендуется заполнять бетоном такой же марки, что и бетон панелей. Панели-оболочки для сводов должны иметь внутренние анкеры рабочей арматуры, окаймленные угловой прокатной сталью, как показано на рис. 9.20 -
9.22. Листовой шарнир
5, к которому приварена стальная ось
4, служит дополнительной связью и листовым шарниром при монтаже системы. Стальные уголки окаймления панелей, если это необходимо по расчету, могут быть выполнены сварными с более толстой полкой, примыкающей к шарниру. В остальном геометрическую схему панели-оболочки, входящей в состав свода, принимают аналогичной геометрической схеме панели для горизонтальной укладки.

Рис. 9.20. Опорный узел сегментного свода
с затяжками из стального проката
1 - панель-оболочка КЖС; 2 - стальная затяжка;
3 - упор затяжки, заполняемый бетоном; 4 - стальная ось
опорного узла; 5 - листовой шарнир; 6 - продольная балка;
7 - стальная монтажная прокладка; 8 - ось затяжки; 9 - ось
рабочей арматуры диафрагмы; 10 - разбивочная ось здания;
11 - ось балки; 12 - закладная деталь балки;
13 - отверстие для строповки свода
Рис. 9.21. Опорный узел сегментного свода
с железобетонными предварительно-напряженными затяжками
1 - панель-оболочка КЖС; 2 - железобетонная затяжка;
3 - стальной упор затяжки, заполняемый бетоном; 4 - стальная
ось опорного узла; 5 - листовой шарнир; 6 - продольная балка
Рис. 9.22. Ключевой узел сегментного свода
а - разрез; б - план; 1 - панель-оболочка КЖС; 2 - анкерная
деталь панели-оболочки; 3 - подвеска; 4 - стальная ось
ключевого узла; 5 - листовой шарнир; 6 - геометрическая ось
узла; 7 - разбивочная ось; 8 - ось затяжки;
9 - оси рабочей арматуры диафрагм
Рабочую арматуру диафрагм и оболочки следует назначать по расчету, но не менее конструктивного минимума, указанного в
п. 9.4 настоящего Руководства. Стержни-подвески в вертикальных ребрах жесткости диафрагм следует выполнять двойными, а в вутах сопряжения оболочки с диафрагмами - устанавливать конструктивные сетки
7 (см.
рис. 9.3).
9.32. Геометрическая схема сегментного свода приведена на рис. 9.23. Схема опорного узла (см.
рис. 9.20,
9.21) определяется взаимным расположением центра узла (точки
Ц1) и центра пяты свода (точка
Ц2). Линия, соединяющая эти точки, должна лежать на кривой давления свода при равномерно распределенной нагрузке, т.е. тангенс угла наклона этой линии к горизонту должен быть равен:

(9.50)
Рис. 9.23. Геометрическая схема сегментного свода
1 - панель-оболочка КЖС; 2 - упор затяжки; 3 - ось рабочей
арматуры диафрагм; 4 - ось затяжки; 5 - ось продольной балки
9.33. Расчет свода следует выполнять с учетом изменений геометрической схемы конструкции в процессе нагружения и к моменту исчерпания его несущей способности
[11]. Свод следует проектировать таким образом, чтобы исчерпание его несущей способности начиналось с появления текучести в материале затяжек. При этом вертикальное перемещение
wн.т.з (осадку) ключевого узла свода в момент начала текучести затяжек определяют по формуле

(9.51)
где Fз - площадь поперечного сечения стальных затяжек или рабочей арматуры железобетонных затяжек одной секции свода;

- средний предел текучести материала стальных или рабочей арматуры железобетонных затяжек, принимаемый равным:

(9.52)
Rа.з - расчетное сопротивление материала стальных или рабочей арматуры железобетонных затяжек;
Eз - модуль упругости материала стальных затяжек или рабочей арматуры железобетонных затяжек;

(9.52
')

(9.53)
где

- предварительное напряжение в арматуре железобетонных затяжек до обжатия бетона при
mт = 0,9;

- потери предварительного напряжения в арматуре затяжек при
mт = 0,9; для открытых стальных затяжек
Kн.з = 1.
Для определения осадки ключевого узла свода
wр при расчетных нагрузках в
формулу (9.51) вместо

подставляют величину напряжений в затяжках при рассматриваемой схеме нагружения.
9.34. Площадь поперечного сечения Fз стальных затяжек или рабочей арматуры железобетонных затяжек одной секции свода, необходимую для обеспечения его несущей способности, определяют из уравнения

(9.54)
Величины A, B, C определяют по формулам:

(9.55)

(9.56)

(9.57)
где q - расчетная равномерно распределенная нагрузка на 1 м2 с учетом собственного веса свода с затяжками;
b0 - ширина секции свода.
При этом необходимо обеспечить дополнительное армирование для восприятия изгибающих моментов от собственного веса железобетонных затяжек. Для их уменьшения помимо основных подвесок, расположенных в центре, целесообразно устанавливать дополнительные подвески в четвертях пролета свода. Открытые стальные затяжки могут быть запроектированы по принципу провисающей гибкой нити, однако во всех случаях установка подвесок в центре пролета свода обязательна. Расчет железобетонных затяжек на трещиностойкость и раскрытие трещин следует производить согласно
разделу 4 главы СНиП II-21-75 как внецентренно растянутых предварительно-напряженных элементов. При расчете колонн и фундаментов каркаса здания должно быть учтено удлинение затяжек свода от вертикальных нагрузок и колебаний температуры.
9.35. Панель-оболочку КЖС, входящую в состав сегментного свода, необходимо рассчитать на нагрузки, возникающие:
а) в процессе изготовления, транспортирования и монтажа; данный расчет осуществляют по
формулам (9.1),
(9.2),
(9.16) и
(9.35) с учетом следующих вариантов нагружения:
расчетная нагрузка от собственного веса панели плюс сопротивление отрыву от формы, принимаемое равным 200 кгс/м2 горизонтальной проекции панели;
нагрузка от собственного веса панели, умноженная на коэффициент динамичности, равный 1,8;
б) при работе панели-оболочки в составе свода.
9.36. Расчет панели-оболочки, находящейся в системе сегментного свода
[11], следует выполнять при следующих схемах нагружения (рис. 9.24): когда снег расположен на всей поверхности свода (схема
1) и когда снег расположен на половине пролета (схемы
2 и
3).
Рис. 9.24. Расчетные схемы сегментного свода
а - схемы нагружения 1, 2, 3; б - схема усилий в сечении,
нормальном к оси панели-оболочки
9.37. Расчет панели-оболочки, находящейся в системе свода, по несущей способности в целом необходимо производить с учетом прогиба
wн.т.c в середине пролета панели, т.е. в точке
C (рис. 9.23) при приближении панели к предельному состоянию; этот прогиб определяют по формуле

(9.58)
где z0 - расстояние от оси напрягаемой арматуры до оси оболочки в середине пролета панели;

- средний предел текучести напрягаемой рабочей арматуры диафрагм панели, принимаемый равным 1,4 расчетного сопротивления этой арматуры;

- предварительное напряжение арматуры диафрагм до обжатия бетона при
mт = 0,9;

- потери предварительного напряжения;
n - отношение модулей упругости арматуры диафрагм и бетона
n = Eа/Eб; (9.59)
Fа - площадь поперечного сечения рабочей арматуры обеих диафрагм панели;
Nс - продольная сила в сечении, проходящая через точку C;
Величину расчетного прогиба панели wc-max определяют по формуле

(9.60)
qмc - эквивалентная по моменту в точке C равномерно распределенная нагрузка, определяемая по формуле

(9.61)
ec - эксцентриситет продольной силы относительно точки C, определяемый по формуле
ec = Mc/Nc,
где Mc - момент всех сил, расположенных левее точки C, относительной этой точки;
eоп - расстояние от оси рабочей арматуры диафрагм до центра тяжести поперечного сечения панели в середине ее пролета.
Величины
Mc и
Nc определяют с учетом осадки ключевого узла свода по
формуле (9.51), подставляя в нее вместо

величину, равную

(где

- напряжения в стальной затяжке или в рабочей арматуре железобетонной затяжки при рассматриваемой схеме нагружения, определяемые по заданной стреле подъема свода).
Величину расчетного эксцентриситета eр-max продольной силы относительно оси рабочей арматуры диафрагм определяют по формуле

(9.62)
Зная величину продольной силы
Nc, расчетный эксцентриситет
eр-max и пренебрегая (в запас) работой сжатого бетона диафрагм, определяют величины расчетных усилий
Nc.о (в оболочке) и
Nc.а (в рабочей арматуре диафрагм) в сечении
C (
рис. 9.24,
б) по формулам:

(9.63)

(9.64)
По найденным расчетным усилиям проверяют оболочку на сжатие и рабочую арматуру диафрагм на растяжение; при этом должны быть соблюдены следующие условия:

(9.65)

(9.66)

(9.67)
где xг - расстояние от торца панели (по направлению оси xк) до рассматриваемого сечения;
aг.с - расстояние от оси затяжки свода до ближайшей продольной грани панели-оболочки;
Остальные обозначения см. в
п. 9.11.
9.38. Следует также произвести проверку других сечений панели, расположенных на расстоянии
x между точками
Ц2 и
Ц3. Для этого в
формулы (9.65) -
(9.67) вместо величин
Nc.а и
Nc.о следует подставить
Nxа - расчетное усилие в арматуре диафрагм панели-оболочки в сечении, расположенном на расстоянии
x от центра пяты свода (точки
Ц2) и
Nxо - расчетное усилие в оболочке в том же сечении, вычисляемые по формулам:

(9.68)

(9.69)
Nx - проекция продольной силы на хорду Ц2 - Ц3, вычисляемая по формуле

(9.70)
где Qx - поперечная сила в сечении x однопролетной шарнирно опертой балки пролетом lc при заданной схеме нагружения;
H - распор свода при заданной схеме нагружения, определяемый с учетом осадки ключевого узла для одной секции свода;
ex - расчетный эксцентриситет продольной силы относительно оси рабочей арматуры диафрагм в сечении, расположенном на расстоянии x от центра пяты свода;

- случайный эксцентриситет в том же сечении;
wx-max - расчетный прогиб панели в том же сечении:
ex,

,
wx-max - определяют соответственно по формулам:

;

(9.71)

(9.72)

(9.73)
где Aл - вертикальная составляющая опорной реакции левой опоры одной секции свода при заданной схеме нагружения.
9.39. Напряжения сжатия по оси оболочки, определяемые согласно правилам сопротивления упругих материалов при коэффициентах перегрузки, равных единице, не должны превышать условных критических напряжений

:

(9.74)
при этом величину эксцентриситета продольной силы
eр-max принимают в запас по
формуле (9.62);
9.40. Расчетное усилие
Nт в торцевой арматуре панели-оболочки при съеме с формы рекомендуется определять по
формуле (9.6), а при работе в составе свода по формуле

(9.75)
где b3 - расстояние между осями затяжек одной секции свода.
9.41. Площадь рабочей поверхности анкера F1.анк рабочей арматуры каждой диафрагмы панели-оболочки проверяют по условию

(9.76)
Элементы стальных деталей панелей-оболочек и упоров затяжек, примыкающие к шарнирам свода, должны быть рассчитаны исходя из условия равномерной передачи давления на бетон конструкции в узле.
9.42. Для расчета диафрагмы панели-оболочки на действие поперечной силы, воспринимаемой диафрагмами, следует определить величину Qд по формуле

(9.77)
где

(9.78)

- угол наклона оси оболочки относительно оси
Xк.
По найденной величине
Qд проверяют
условие (9.9). Поперечную арматуру в диафрагмах устанавливают в соответствии с
п. 9.14 настоящего Руководства.
9.43. Расчет оболочки на изгиб рекомендуется производить для трех случаев нагружения свода: постоянной нагрузкой в сочетании с нагружением снегом всего пролета, его левой или правой половины. При этом изгибающие нагрузки для оболочки находят:
максимальную qи-max из уравнения

(9.79)
минимальную qи-min из уравнения

(9.80)
qм - расчетная нагрузка на 1 м2 оболочки с учетом ее веса на рассматриваемой половине пролета.

(9.81)

(9.82)

(9.83)
Qс - поперечная сила в 1/4 пролета шарнирно-опертой балки пролетом lс.
Для определения
qи-max осадка ключевого узла свода определяется при нагрузках, равных 1,4 расчетных, величины
qN и
wN определяют при
mт = 1,1. Для определения
qи-min осадка ключевого узла свода определяется при расчетных нагрузках, величины
qN и
wN определяют при
mт = 0,9. Абсолютные величины изгибающих нагрузок, найденные из
уравнений (9.79) и
(9.80), не должны превышать предельной изгибающей нагрузки, определяемой по
формуле (9.35).
2.
Кац Л.Я., Гаун Э.Я., Рухлин Ф.Г., Мацелинский Р.Н., Спаннут Л.С. Покрытия промышленных зданий из панелей-оболочек КЖС 3 x 24 м. - Промышленное строительство, 1976, N 3.
3.
Мацелинский Р.Н. Плиты КЖС для покрытий производственных и общественных зданий. - В кн.: Крупнопанельные железобетонные конструкции производственных зданий. М., Госстройиздат, 1959, вып. 6.
4.
Мацелинский Р.Н. Плиты КЖС. - В кн.: Инструкция по проектированию железобетонных тонкостенных пространственных покрытий и перекрытий. М., Госстройиздат, 1961.
5.
Мацелинский Р.Н. К выбору рациональных сборных пространственных конструкций покрытий одноэтажных промышленных зданий. - Промышленное строительство, 1965, N 8.
6.
Мацелинский Р.Н. Панели-оболочки КЖС в железобетонных сборных покрытиях. М., Стройиздат, 1968.
7.
Мацелинский Р.Н. Расчет сводчатых предварительно-напряженных панелей-оболочек КЖС - В кн.: Тонкостенные железобетонные пространственные конструкции. М., Стройиздат, 1970.
8.
Мацелинский Р.Н., Березов В.Н., Кац Л.Я. Сборные покрытия из большепролетных панелей-оболочек КЖС. - Бетон и железобетон, 1973, N 7.
9.
Мацелинский Р.Н., Миронов А.А., Спаннут Л.С. Об экономической эффективности панелей-оболочек КЖС. - Бетон и железобетон, 1976, N 11.
10.
Мацелинский Р.Н. Решение нелинейной задачи о расчете панели-оболочки КЖС. - Строит. механика и расчет сооружений, 1976, N 6.
11.
Мацелинский Р.Н. Расчет систем, составленных из панелей-оболочек КЖС. - Строит. механика и расчет сооружений, 1977, N 3.
10. ГИПЕРБОЛИЧЕСКИЕ ПАНЕЛИ-ОБОЛОЧКИ
10.1. Гиперболическая панель-оболочка представляет собой длинную оболочку отрицательной гауссовой кривизны, обрамленную продольными бортами и торцевыми диафрагмами (вертикальными или наклонными) с нижними горизонтальными гранями (
рис. 10.1 и
10.2), служащими для опирания панели-оболочки на поддерживающие конструкции. Линейчатая поверхность оболочки позволяет армировать панель прямолинейной предварительно-напряженной арматурой.
Рис. 10.1. Гиперболическая панель-оболочка,
армированная пакетами из высокопрочной проволоки
а - с вертикальными торцевыми диафрагмами; б - то же,
с наклонными; в - поперечное сечение панели; г - план
армирования панели с вертикальными торцевыми диафрагмами;
д - то же, с наклонными; 1 - продольный борт; 2 - диафрагма
вертикальная; 3 - то же, наклонная; 4 - каркас продольного
борта; 5 - предварительно-напряженная проволока (пряди);
6 - сварная сетка оболочки; 7 - арматура торцевой диафрагмы;
8 - отдельный стержень; 9 - дополнительная арматура у торца
панели; 10 - арматура торцевого ребра; 11 - сварная сетка
наклонной торцевой диафрагмы
Рис. 10.2. Гиперболическая килевая панель-оболочка
а - общий вид; б - поперечное сечение; в - план армирования;
1 - торцевое ребро; 2 - наклонная торцевая диафрагма;
3 - продольный борт; 4 - киль; 5 - каркас продольного борта;
6 - сварная сетка оболочки; 7 - предварительно-напряженная
арматура; 8 - арматура торцевого ребра; 9 - верхняя сварная
сетка у торца панели; 10 - то же, нижняя; 11 - верхняя
сварная сетка над килем
10.2. Панели-оболочки с наклонными торцевыми диафрагмами применяются для покрытий однопролетных и многопролетных зданий, а с вертикальными торцевыми диафрагмами, как правило, только для однопролетных. Панели-оболочки с вертикальными торцевыми диафрагмами рекомендуется применять в покрытиях многопролетных зданий при опирании на широкие балки, что позволяет организовать водоотвод между торцами панелей.
10.3. При необходимости прокладки коммуникаций в пределах покрытия целесообразно проектировать панели-оболочки с затяжками или килевые оболочки с отверстиями в киле.
Конструирование панелей-оболочек
10.4. Высоту сечения панели-оболочки в середине пролета рекомендуется принимать в пределах от 1/25 до 1/15 пролета. Стрелу подъема оболочки в продольном направлении рекомендуется принимать в пределах от 1/60 до 1/40 пролета.
10.5. Минимальную толщину оболочки принимают в соответствии с диаметром арматуры и минимальной толщиной защитного слоя бетона, но не менее 30 мм. В случае необходимости размещения рабочих стержней по низу волны, толщину оболочки в этом месте рекомендуется увеличивать путем спрямления верхней кривой поперечного сечения оболочки или утолщения всего сечения.
10.6. Глубину волн
f принимают в пределах

ширины
b0, ширину прямолинейных участков сечения - продольных бортов

глубины волны
f.
10.7. Минимальную толщину продольных бортов следует принимать в зависимости от диаметра рабочих стержней, расположенных в этих бортах, равной

, где

- толщина оболочки.
10.8. Если ширина и глубина волны ограничены, строительную высоту конструкции увеличивают путем введения продольного ребра-киля (см.
рис. 10.2,
б и 10.3). Для облегчения съема панели с формы боковые грани киля следует принимать с уклоном 1:50 - 1:20.
Рис. 10.3. Поперечные сечения
гиперболических панелей-оболочек
а - пролетом 12 м; б, в - то же, 18 м (со сплошным
килем и с отверстиями в нем); г - то же, 21 м (со сплошным
и облегченным килем и с затяжкой); д - то же, 24 м
(с облегченным килем, с отверстиями в нем и с затяжкой)
10.9. С целью уменьшения веса большепролетных панелей-оболочек киль рекомендуется выполнять облегченным: с тонкой стенкой и вертикальными ребрами жесткости (см.
рис. 10.3,
г и
д) или с отверстиями (
рис. 10.3,
в,
д).
10.10. Безкилевые панели-оболочки рекомендуется армировать предварительно-напряженной высокопрочной проволокой или прядями в виде двух пакетов, расположенных по двум системам прямолинейных образующих (см.
рис. 10.1).
10.11. В килевых панелях-оболочках предварительно-напряженную арматуру располагают в киле, ширину которого рекомендуется принимать достаточной для возможности размещения арматуры.
10.12. Затяжки в панелях-оболочках рекомендуется принимать стальными (из прокатных профилей) или железобетонными, армированными стержневой арматурой, однопрядными или многопрядными канатами. Стальные затяжки могут быть открытыми или обетонированными.
10.13. Оболочки рекомендуется армировать сварными сетками из обыкновенной холоднотянутой проволоки, продольные борта и киль - сварными каркасами и отдельными стержнями, а торцевые диафрагмы - сварными сетками, каркасами и отдельными стержнями.
10.14. В наклонных диафрагмах для восприятия главных растягивающих напряжений следует предусматривать дополнительное армирование сварными сетками (см.
рис. 10.1,
д и
10.2,
в).
10.15. В безкилевых панелях-оболочках и в оболочках с затяжками рекомендуется предусматривать четыре подъемных петли в торцевых диафрагмах, а в килевых, кроме того, - две петли в киле на расстоянии 2,5 - 3 м от опор.
10.16. В продольных бортах рекомендуется предусматривать закладные детали для соединения панелей, расположенные с шагом 1,2 - 3 м. При необходимости в крайних панелях (у торцов здания и у температурных швов) к этим деталям рекомендуется приваривать стальные поперечные распорки из уголка или трубы. Необходимость установки таких распорок устанавливается расчетом на действие усилий поперечного направления.
Конструирование покрытий из панелей-оболочек
10.17. Утепленную или холодную кровлю следует проектировать с утеплителем и гидроизоляционным ковром, укладываемыми непосредственно по криволинейной поверхности железобетонного волнистого покрытия.
10.18. Панели-оболочки полной заводской готовности рекомендуется проектировать с утеплителем и гидроизоляционным слоем, нанесенными механизированным способом. В качестве утеплителя могут применяться: перлитобетон, полистиролбетон, поропласт или другой эффективный утеплитель.
10.19. В волнистых покрытиях можно предусматривать проемы для освещения, аэрации, коммуникаций и т.п. при соблюдении рекомендаций
пп. 1.36 -
1.38 настоящего Руководства. Ширину проема рекомендуется принимать не более 0,4 ширины панели. При этом необходимо сохранять участки поперечного сечения по низу и на гребнях волн панели, в которых размещается рабочая арматура. При необходимости значительного увеличения ширины отверстия, превышающего указанный размер, проем рекомендуется устраивать на всю ширину волны, предусматривая рамное обрамление, равнопрочное сечению волны.
10.20. В местах примыкания волнистых покрытий к торцевым стенам необходимо предусматривать соединения, не препятствующие вертикальным перемещениям конструкций покрытия.
10.21. Расчет гиперболических панелей-оболочек на действие вертикальных нагрузок рекомендуется производить исходя из предположения о недеформируемости контура поперечного сечения оболочки как балки на двух опорах с криволинейным поперечным сечением. При расчете действительное поперечное сечение оболочки (рис. 10.4, б) заменяют приведенным (рис. 10.4, в) путем проектирования горизонтальных участков оболочки на ось симметрии поперечного сечения. При этом для упрощения фактическое приведенное сечение можно заменить двутавровым (для безкилевых панелей) или крестообразным (для килевых) (рис. 10.4, в, г).
Рис. 10.4. Расчетные схемы
и поперечное сечение волны покрытия
а - схема усилий в поперечном сечении изгибаемой волны;
б - разбивка на элементарные площадки половины поперечного
сечения; в - приведенное поперечное сечение при расчете
на изгиб панели-оболочки; г - то же, килевой
панели-оболочки; 1 - контур фактического приведенного
сечения; 2 - то же, расчетного приведенного сечения
10.22. При проверке принятых размеров поперечного сечения панели-оболочки и ее армирования высоту сжатой зоны сечения
x определяют методом подбора по поперечному сечению путем разбивки на элементарные площадки (
рис. 10.4,
б).
10.23. Расчет по прочности сечений, наклонных к продольной оси, по образованию и раскрытию трещин и по деформациям рекомендуется производить по расчетному (двутавровому или крестообразному) приведенному сечению согласно требованиям
разделов 3 и
4 главы СНиП II-21-75.
10.24. В зоне действия максимальных изгибающих моментов и в местах приложения сосредоточенных нагрузок оболочка должна быть проверена на действие усилий поперечного направления, определяемых по
формулам (10.1) -
(10.3).
10.25. Усилия
Mп,
Nп,
Qп в продольном сечении
i панели-оболочки
(рис. 10.5) определяют соответственно по формулам:

(10.1)

(10.2)

(10.3)
Рис. 10.5. К расчету на усилия поперечного направления
а - элемент длиной

;
б - половина поперечного сечения
а-
а;
в - то же, поперечного сечения б-б
n - номер элементарной площадки поперечного сечения волны;

- внешняя нагрузка, приходящаяся на элементарную площадку поперечного сечения;
zn - абсцисса n-й элементарной площадки;
zi - абсцисса продольного сечения i оболочки;

- угол наклона к оси OZ, касательной к контуру поперечного сечения в точке
i;

- сдвигающее усилие, действующее на элементарную площадку поперечного сечения, где

- касательное напряжение в элементарной площадке поперечного сечения, определяемое по формуле (10.4).

(10.4)
В
формулах (10.1) -
(10.3) суммирование распространяется на участок поперечного сечения от точки
i до крайней площадки
n =
mа поперечного сечения
а-
а или до
n =
mб поперечного сечения
б-б,
где

и

- нормальные силы от балочного изгибающего момента, действующие на элементарные площадки левого и правого поперечных сечений;

- длина рассматриваемого продольного сечения, принимаемая не более ширины волны;
biа и biб - ширина горизонтальных сечений оболочки в точках i поперечных сечений а-а и б-б.
Примечание. Знаки принимаются положительными для Mпi, если растянутое волокно расположено снизу условной консоли; для Nпi - если в сечении i действует растягивающее усилие.
Нормальные силы

и

определяют по формулам:

(10.5)

(10.6)
где

и

- нормальные напряжения, действующие на элементарные площадки левого и правого поперечных сечений;
Iва, Iвб, yт.а, yт.б - приведенные моменты инерции и ординаты центров тяжести левого и правого поперечных сечений волны;

,

,
ynа,
ynб - площади и ординаты центров тяжести элементарных площадок левого и правого поперечных сечений;
Mxа,
Mxб - продольные балочные изгибающие моменты в левом и правом поперечных сечениях волны. При отсутствии внешней нагрузки на участке


(10.7)
где Qx - поперечная сила в сечении x.
10.26. В многоволновом покрытии горизонтальные усилия Nп, действующие в стыке между волнами, определяют по формуле

(10.8)
где (Mпi)zi = 0 - изгибающий момент поперечного направления в среднем продольном сечении волны;
f - глубина волны.
По усилиям Nп проверяют соединения между смежными волнами и сечения распорок, если их устанавливают для снижения деформативности в крайних волнах.
10.27. При действии полосовых и сосредоточенных вертикальных нагрузок, приложенных к гребням волн, необходимо учитывать их распределение между волнами
[6].
Нагрузку, приходящуюся на полуволну k, определяют по формуле

(10.9)
где

- коэффициент, учитывающий отдаленность
k-й полуволны от точки приложения нагрузки, определяемый по
табл. 10.1 (см. стр. 267);
Pв - величина местной нагрузки.
Вид панели-оболочки | Значения  для полуволн |
первой | второй | третьей | четвертой |
Гладкая | 0,457 | 0,303 | 0,162 | 0,078 |
Килевая | 0,498 | 0,304 | 0,142 | 0,054 |
Примечания: 1. При большем отдалении  . 2. Данные для килевой оболочки принимаются при условии, что площадь поперечного сечения киля составляет не более 80% площади поперечного сечения собственно оболочки. |
10.28. Поперечное сечение волны и ее армирование проверяют по усилиям, полученным от суммирования полосовых и сосредоточенных нагрузок, приложенных к смежным волнам. Ввиду симметрии для расчета панели-оболочки следует принимать усилия в наиболее нагруженной полуволне, увеличенные в два раза.
10.29. Более точный расчет панелей-оболочек при неравномерных нагрузках с учетом деформаций и расчет крайних волн покрытия могут быть выполнены по методике, разработанной НИИСК [
3,
4,
6].
10.30. Опорные конструкции волнистых покрытий из гиперболических панелей-оболочек рекомендуется рассчитывать с учетом их совместной работы с элементами покрытия. Интенсивность давления волнистого покрытия на опорную конструкцию, работающую по балочной схеме, рекомендуется определять по
табл. 10.2 (см. стр. 268 - 269) в зависимости от вида нагрузки, действующей на волнистое покрытие, при этом отношение

должно быть: для
поз. 1,
2 и
4 в пределах 0,5 - 0,25, для
поз. 3 и
5 - 0,33 - 0,25.
N п/п | Схема нагрузки на ячейку покрытия | Расчетная схема эквивалентной нагрузки на опорную конструкцию <1> |
| | |
| | |
| | |
| | |
| | |
-------------------------------- <1> Равномерно распределенную нагрузку на покрытие от собственного веса панелей-оболочек до замоноличивания швов между оболочками рекомендуется принимать в расчете равномерно распределенной на опорную конструкцию по всей ее длине. |
1. Горенштейн Б.В., Цейтлин А.А. Гиперболические оболочки машинного формования. - Бетон и железобетон, 1975, N 6.
2. Липницкий М.Е., Горенштейн Б.В., Виноградов Г.Г. Железобетонные пространственные покрытия зданий. Л.-М., Стройиздат, 1965.
3.
НИИСК. Методические рекомендации по расчету сборных волнистых покрытий/НИИСК, НИИСП Госстроя УССР. Киев, 1975.
4.
НИИСК. Методические рекомендации по проектированию и технологии механизированного изготовления панелей-оболочек полной заводской готовности/НИИСК, НИИСП Госстроя УССР. Киев, 1976.
5. Цейтлин А.А. Сборные железобетонные пространственные покрытия. Киев, Госстройиздат УССР, 1964.
6.
Цейтлин А.А., Колчунов В.И. Экспериментальное исследование модели фрагмента волнистого покрытия. - В кн.: Строительные конструкции. Киев, Будiвельник, 1976, вып. XXVII.
11. ВСПАРУШЕННЫЕ ПАНЕЛИ С ПЛОСКОЙ ВЕРХНЕЙ ПОВЕРХНОСТЬЮ
11.1. Вспарушенные панели с плоской верхней поверхностью имеют переменную толщину, увеличивающуюся к контуру, и выпуклую срединную поверхность, описанную на плоском контуре (рис. 11.1). В случае ступенчатого изменения толщины панели называются ступенчато-вспарушенными
(рис. 11.2).
Рис. 11.1. Схема вспарушенной панели
1 - арматурная сетка; 2 - дополнительные сетки в углах
панели; 3 - предварительно-напряженный арматурный пояс
Рис. 11.2. Поперечное сечение и построение
нижней поверхности ступенчато-вспарушенной панели
Прямоугольные вспарушенные панели заводского изготовления проектируются длиной l1 <= 7 м, шириной l2 = 3,6 м и с отношением сторон l1/l2 <= 2. При больших пролетах или полигональном плане перекрываемого помещения применяют сборные вспарушенные конструкции. При этом размеры таких конструкций рекомендуется принимать не более: по длине l1 = 12 м; по ширине l2 = 9 м.
11.2. Вспарушенные панели могут проектироваться как для однопролетных (разрезных), так и многопролетных (неразрезных) покрытий и перекрытий, а также в качестве средних распорных элементов сборных безбалочных перекрытий (рис. 11.3).
Рис. 11.3. Применение вспарушенных панелей
в сборных базбалочных перекрытиях
а - поперечный разрез; б - элементы сборного перекрытия
Вспарушенные панели и конструкции могут опираться по углам, по контуру, по трем или по двум противоположным сторонам.
11.3. Панели и конструкции с плоской верхней поверхностью применяют в сборных покрытиях и перекрытиях зданий и сооружений, для которых расчетной является равномерно распределенная (или близкая к ней) нагрузка.
11.4. Вспарушенные панели и конструкции, как правило, проектируют с предварительно-напряженным армированием по контуру.
11.5. Шатровые панели с плоской плитой постоянной толщины с ребрами по контуру работают как пространственные панели и применяются в перекрытиях жилых и общественных зданий.
11.6. Нижнюю поверхность прямоугольных вспарушенных панелей рекомендуется очерчивать по поверхности положительной гауссовой кривизны
[3], заданной уравнением

(11.1)
где f - стрела подъема поверхности в центре панели по отношению к плоскому контуру;
l1, l2 - размеры сторон контура (по осям бортовых ребер);
C - параметр, изменяющийся от 0,3 до 0,5 (рекомендуется принимать C = 0,45).
11.7. Нижнюю поверхность ступенчато-вспарушенных панелей проектируют таким образом, чтобы в направлении осей
x и
y она была очерчена дугами поверхности
(рис. 11.1), пересечения которых с внутренними гранями контурных ребер лежали бы в плоскости осей арматурного пояса опорного контура
(рис. 11.2). В качестве описывающих дуг в зависимости от технологических и архитектурных соображений, допускается принимать квадратную параболу или дугу круга со стрелой подъема
f. Количество ступеней, как правило, принимается от 2 до 5.
11.8. Вспарушенные и ступенчато-вспарушенные панели могут проектироваться с одним или несколькими кессонами. При

панели конструируются с двумя или тремя кессонами, окаймленными ребрами, при этом вспарушенные плиты смежных кессонов проектируют как неразрезные (рис. 11.4).
Рис. 11.4. Конструктивные схемы вспарушенных панелей
а - вспарушенная панель; б - ступенчато-вспарушенная
панель с одним кессоном; в - ступенчато-вспарушенная панель
с двумя кессонами; 1 - основная растянутая арматура
пояса; 2 - каркас поперечного армирования контурного
ребра; 3 - сетка плиты
11.9. Плиту панелей
(рис. 11.1) армируют сварной сеткой из проволоки диаметром 3 - 4 мм с ячейкой размером 200 x 200 мм и по углам на участках
1/6l1 и
1/6l2 дополнительной сеткой из стержней того же диаметра, располагаемой под основной сеткой, и проектируют из бетона марки М300 и более.
В плите допускается предусматривать отверстия и проемы. Конструирование и армирование плиты в зоне отверстий должно удовлетворять требованиям
пп. 1.35 -
1.38 настоящего Руководства.
11.10. Контурные ребра панелей армируют предварительно-напряженными стержнями или канатами таким образом, чтобы создавался замкнутый арматурный пояс. Заанкеривание стержней в опорной зоне предусматривается с применением приварки их к стальным опорным колодкам анкерных устройств и за счет сцепления с бетоном согласно требованиям главы
СНиП II-21-75. В том случае, если стержни или канаты проектируются без анкеров, рекомендуется доводить арматурные элементы до наружной грани противоположной стороны панели.
В контурных ребрах кроме основной растянутой арматуры (арматурного пояса) следует предусматривать поперечную арматуру
(рис. 11.4). В ребрах, опертых по всей длине, устанавливают одиночные арматурные каркасы, располагаемые по возможности ближе к наружной грани ребра. При этом около углов каркасы должны иметь поперечные стержни диаметром 4 - 6 мм, с шагом не более 50 мм и нижние стержни диаметром не менее 6 - 8 мм. В контурных ребрах, испытывающих изгиб в вертикальной и горизонтальной плоскостях, около углов, на участках
1/6l1 и
1/6l2, предусматривают дополнительные арматурные каркасы около внутренней грани ребра из стержней того же сечения и в том же количестве, что и у наружной грани ребра при опирании ребер по всей длине.
11.11. Основные размеры элементов в средней части вспарушенных и ступенчато-вспарушенных панелей рекомендуется принимать не менее: толщину плиты

, ширину контурных ребер 100 мм, ширину промежуточных ребер между кессонами панелей 50 мм. Высоту контурных ребер панелей перекрытий назначают, как правило, 220 мм, но не более удвоенной высоты сечения примыкающей к ребру плиты и не менее высоты, необходимой по расчету панели по балочной схеме излома.
В контурных ребрах на длинных сторонах l1 панелей, расположенных по краю здания или сооружения, рекомендуется предусматривать горизонтальные полки у нижней грани ребра, увеличение ширины или соответствующего армирования ребра для уменьшения податливости крайних ребер в горизонтальной плоскости. С этой же целью в крайних панелях возможно предусмотреть увеличение толщины или армирования плиты, а также соответствующие связи между панелью и другими несущими конструкциями здания или сооружения.
11.12. Вспарушенные панели размером не более 4 x 6 м для безбалочных перекрытий
(рис. 11.3) допускается проектировать без предварительно-напряженного арматурного пояса с тщательным замоноличиванием стыка по контуру, предусматривая передачу распорных усилий на надколонные полосы. При этом ребра панели армируют с учетом усилий, действующих в стадиях изготовления, перевозки и монтажа. Толщину вспарушенной плиты в середине таких панелей перекрытий производственных зданий принимают по расчету на продавливание согласно
п. 3.47 главы СНиП II-21-75, но не менее

.
Очертание нижней поверхности панели должно удовлетворять рекомендациям
пп. 11.6,
11.7 настоящего Руководства.
11.13. Сборные вспарушенные конструкции на прямоугольном плане рекомендуется конструировать так, чтобы стыки между монтажными элементами располагались по возможности вдоль линий излома расчетной шатровой схемы разрушения
[7]. При этом конструкции допускается проектировать:
при l2 < 7,2 м - из четырех треугольных элементов (рис. 11.5, а);
при l2 >= 7,2 м - из четырех трапециевидных и одного прямоугольного элемента (рис. 11.5, б);
на полигональном плане - из треугольных или трапециевидных панелей (рис. 11.5, в).
Рис. 11.5. Схемы сборных вспарушенных конструкций
а - на прямоугольном плане из треугольных элементов;
б - на прямоугольном плане из прямоугольного
и трапециевидных элементов; в - на полигональном
контуре; 1 - сборные панели; 2 - арматурный пояс
Монтажные элементы конструкций проектируют с окаймляющими, а в случае необходимости и с промежуточными ребрами и плитой переменной толщины согласно рекомендациям
пп. 11.7 и
11.10 настоящего Руководства. Стыки между сборными элементами, совпадающие с расчетными линиями излома, допускается конструировать как цилиндрические шарниры.
11.14. Сборные вспарушенные конструкции должны иметь предварительно-напряженный арматурный пояс по контуру, натяжение которого может быть предусмотрено по способу натяжения на бетон в процессе монтажа элементов с последующим обетонированием или с натяжением на упоры в заводских условиях (в пределах контурных ребер сборных элементов) с последующим устройством стыков пояса, перекрывающих швы между элементами.
С целью компенсации возможных неупругих деформаций для сборных вспарушенных конструкций следует предусматривать строительный подъем fc >= 1/5fр, но не менее 2 см.
11.15. Ширину опорных площадок при опирании по контуру или по двум сторонам рекомендуется принимать не менее 5 см, а опорные поверхности панелей, опирающихся по углам, размером не менее 7 x 7 см (при опирании на металлические закладные детали) и размером не менее 10 x 10 см (при опирании на бетонные поверхности).
11.16. В многопролетных покрытиях и перекрытиях из вспарушенных панелей или конструкций замоноличивание стыков и сварные соединения между ними (рис. 11.6) предусматривают по конструктивным соображениям или из расчета покрытия или перекрытия как элемента здания в целом на горизонтальные нагрузки. В случае необходимости по контуру панелей предусматривают шпонки, образуемые бетоном замоноличивания стыка.
Рис. 11.6. Схема неразрезного сборного перекрытия
со сварными соединениями
1 - закладные пластины; 2 - накладки; 3 - панель
По осям опор в швах между смежными пролетами предусматривают предварительно-напряженный пояс на всю длину или ширину перекрытия (рис. 11.7).
Рис. 11.7. Схема неразрезного сборного перекрытия
с предварительно-напряженной арматурой, уложенной
в швы между панелями
1 - вспарушенные панели; 2 - оси опор панелей
и арматурных поясов
Стыки между конструкциями смежных пролетов должны удовлетворять конструктивным и расчетным требованиям
пп. 1.28 -
1.34 настоящего Руководства.
11.17. Расчет вспарушенных панелей производится по предельным состояниям согласно требованиям
раздела 1 главы СНиП II-21-75 и рекомендациям
раздела 1 настоящего Руководства. При этом несущая способность и сечения основной арматуры пояса определяют методом предельного равновесия [
5,
6].
11.18. Для прямоугольных вспарушенных и ступенчато-вспарушенных панелей (
рис. 11.2,
11.4), опертых по контуру, распор
H допускается определять, используя шатровую схему излома (см.
рис. 12.4,
б, см. стр. 279), по формуле

(11.2)
а площадь сечения арматуры предварительно-напряженного пояса Fа - по формуле

(11.3)
В формулах (
11.2 - 11.3):
l1, l2 - расчетные размеры панели (расстояние между осями опорных площадок);
Rа - расчетное сопротивление предварительно-напряженной арматуры пояса;
m - коэффициент, принимаемый равным 1; для плит с отношением длины сторон от 1,7 до 2 или при
h0/
l2 <=
1/
25 m = 0,8, а для крайних панелей покрытий или перекрытий, для которых не выполняются рекомендации
п. 11.1 настоящего Руководства,
m = 0,7.
Для полигональных вспарушенных панелей (
рис. 11.5,
б), у которых центральная панель имеет незначительные размеры или отсутствует, т.е.

, площадь сечения арматуры предварительно-напряженного пояса
Fа определяется по формуле

(11.4)
где r1 - радиус круга, вписанного в контур центральной панели;
r - радиус круга, вписанного в полигональный контур;

,
n > 4 - количество сторон полигонального контура.
Несущую способность панели по сжимающим усилиям в плите допускается проверять как для вспарушенной панели с несмещаемым контуром (см. п. 11.19 настоящего Руководства).
11.19. Для вспарушенных и ступенчато-вспарушенных панелей с несмещаемым контуром предельная нагрузка
q или толщина плиты

может быть определена по формуле

(11.5)
В этом случае расчетный подъем панели fр определяют с учетом неупругих деформаций сжатого бетона по формуле
fр = f0(1 - A), (11.6)
где
где

- относительная деформация сжатого бетона от действия распора
H, приближенно определяемая по формуле

(11.7)
здесь
где

- средняя толщина вспарушенной или ступенчато-вспарушенной панели;
l1, l2 - размеры панелей.
При вычислении предельных длительно действующих нагрузок деформации ползучести бетона рекомендуется учитывать введением уменьшенного модуля деформации. Длительный модуль деформации бетона допускается определять по
формуле (6.1) прил. 6 к настоящему Руководству.
11.20. Для панелей, опертых по двум сторонам или по углам, кроме расчета по шатровой схеме, приведенного в
п. 11.18 настоящего Руководства, следует производить расчет панели в одном или соответственно в двух направлениях по балочной схеме излома
[5], как балки П-образного сечения (см.
рис. 12.4,
а).
11.21. Расчет сборных предварительно-напряженных вспарушенных конструкций по предельным состояниям должен выполняться на усилия, возникающие до и после замоноличивания стыков согласно рекомендациям
п. 1.46 настоящего Руководства.
11.22. Для предварительно-напряженных панелей, опертых по контуру, удовлетворяющих требованиям
пп. 11.1,
11.9,
11.11 настоящего Руководства, проверку трещиностойкости допускается не производить. Проверка трещиностойкости панелей, опертых по двум сторонам или по углам, производится, как для балочных элементов П-образного сечения соответственно в одном или в двух направлениях.
11.23. Прогиб плит вспарушенных предварительно-напряженных панелей w, опертых по контуру, допускается определять приближенно, как для железобетонных элементов без трещин в растянутой зоне по формуле

(11.8)
где pкр, pдл - соответственно кратковременно и длительно действующая нагрузки;
c - коэффициент, учитывающий влияние длительной ползучести бетона и принимаемый по
табл. 35 главы СНиП II-21-75.
При опирании панели по двум сторонам или по углам к величине прогиба плиты добавляют величины прогиба ребер, вычисляемые, как для балки П-образного сечения, и вычитают величину выгиба ребра от обжатия напрягаемой арматурой пояса.
11.24. Расчет шатровых панелей с ребрами по контуру и плоскими плитами постоянной толщины по несущей способности производится по методу предельного равновесия, используя конвертную и балочную схемы излома
[4].
1. Гвоздев А.А. Расчет несущей способности конструкций по методу предельного равновесия. М., Госстройиздат, 1949.
2. Госстрой Грузинской ССР. Методические рекомендации по проектированию прямоугольных в плане пологих железобетонных оболочек двоякой кривизны с плоским контуром (вспарушенных плит). Тбилиси, 1977.
3.
НИИЖБ. Инструкция по проектированию железобетонных тонкостенных пространственных покрытий и перекрытий: примеры расчета и конструирования пологих оболочек, оболочек вращения и свода/НИИЖБ, ЦНИИСК, М., Стройиздат, 1961.
4.
РСН-47-61. Временные указания по проектированию, испытанию и применению железобетонных шатровых панелей/Государственный комитет Совета Министров Украинской ССР по делам строительства. Киев, 1962.
5.
Хайдуков Г.К. Расчет по предельным состояниям ступенчато-вспарушенных панелей. - Научное сообщение/НИИЖБ, М., 1969, вып. 7.
6.
Хайдуков Г.К. Экспериментальное исследование предварительно-напряженных ступенчато-вспарушенных (шатровых) панелей. - Научное сообщение/НИИЖБ, М.., 1961, вып. 11.
7.
Хайдуков Г.К., Магерамов Э.А. Исследование предварительно-напряженных сборных особо пологих панелей-оболочек переменной толщины на квадратном плане. Труды/Азербайджанский НИИстройматериалов им. В.А. Дадашева, 1967.
12.1. Шатровые тонкостенные складчатые конструкции являются разновидностью многогранников, имеют форму усеченной пирамиды или усеченного клина, предназначаются для покрытий и перекрытий прямоугольных (с отношением сторон
l1/
l2 < 2) или квадратных ячеек зданий и могут быть как сборными, так и монолитными
[2]. Шатровые конструкции могут проектироваться как многопролетными (или многоволновыми), так и однопролетными (отдельно стоящими) для покрытий или междуэтажных перекрытий зданий различного назначения
(рис. 12.1).
Рис. 12.1. Схемы шатровых складок покрытий и перекрытий
а - с вертикальными бортовыми элементами; б - гладкие
с капителью и надколонной полосой; в - из ребристых плит
12.2. Шатровые конструкции проектируются для зданий с уширенным шагом колонн. Шатровые складки в плане рекомендуется принимать размером, м:
для покрытий - 12 x 18, 18 x 18, 18 x 24;
" перекрытий - 6 x 6, 6 x 9, 9 x 9, 9 x 12 и 12 x 12.
При этом складки могут опираться по углам на колонны, по двум или трем сторонам или по контуру.
В шатровых покрытиях могут быть предусмотрены проемы для световых и аэрационных фонарей, а также устройства для восприятия нагрузок от подвесного транспорта, коммуникаций и т.п. Сосредоточенные нагрузки следует располагать, как правило, в узлах сопряжения ребер.
12.3. Монолитные шатровые складки проектируются преимущественно с гладкими гранями без подкрепляющих ребер (
рис. 12.1,
б). Очертание нижней поверхности шатрового покрытия ячейки зданий выбирается с учетом возможности применения многооборачиваемой переставной укрупненной опалубки. Наклон боковых граней рекомендуется принимать не более 60°, а при бетонировании в односторонней опалубке - не более 35°. Толщина плиты граней назначается согласно рекомендациям
пп. 1.10 -
1.13 настоящего Руководства, но не менее
1/
50 поперечного размера граней. В местах сопряжения граней рекомендуется предусматривать вуты.
12.4. Сборные шатровые складки, как правило, проектируют из плоских плит с ребрами (
рис. 12.1,
в), аналогичных плоским плитам обычных покрытий и перекрытий. Плиты рекомендуется назначать размером, м, не более: по ширине 3,6 и по длине - 12.
12.5. Бортовые элементы монолитных шатровых складок рекомендуется проектировать плитными шириной не менее 0,5 м (
рис. 12.1,
б) или П-образного сечения с ребрами, направленными вниз (
рис. 12.2,
а), которые позволяют уменьшить высоту подъема шатра и легче разместить основную растянутую арматуру складки. Бортовые элементы сборных шатровых складок рекомендуется предусматривать в виде ребер, выступающих вниз (
рис. 12.1,
а,
рис. 12.2,
а,
рис. 12.3,
б), или двутавровых элементов, выступающих вверх с уложенными по ним плитами (
рис. 12.2,
б)
[1], создающими плоскую поверхность перекрытия или покрытия. Наклонные грани сборных и монолитных складок, опирающихся по краю здания на стены, следует конструировать как горизонтально развитые плиты (рис. 12.2,
в), а при опирании в пролете менее чем на 4 колонны, кроме того, рекомендуется предусматривать вертикальное ребро (рис. 12.2,
г).
Рис. 12.2. Схемы бортовых элементов
а - П-образных; б - двутавровых с плитами по верху;
в - крайних; г - при опирании на колонны
12.6. При конструировании элементов сборных шатровых перекрытий и покрытий рекомендуется предусматривать один из следующих способов монтажа складок:
а) целиком; размеры шатровой складки в плане должны соответствовать размерам перекрываемой ячейки здания (
рис. 12.3,
а);
б) сборкой из плоских трапециевидных и прямоугольных панелей, соответствующих форме граней складки (
рис. 12.3,
б);
в) сборкой из унифицированных плит прямоугольной, трапециевидной и треугольной формы и из бортовых балок. С целью упрощения подмостей для сборки шатрового покрытия при шаге колонн или пролете 18 м или более вдоль стыков плоских плит допускается предусматривать дополнительные железобетонные или металлические ребра, надежно соединяемые с плитами с помощью выпусков, упоров, шпонок и замоноличивания, согласно рекомендациям
пп. 1.28 -
1.34 настоящего Руководства.
Рис. 12.3. Схемы сборных шатровых конструкций
а - из шатровых элементов с размерами в плане, равными
размерам перекрываемой ячейки зданий; б - из ребристых
плит, размеры и форма которых соответствуют
размерам и форме граней
В сборных элементах рекомендуется предусматривать закладные металлические детали для монтажа складок с применением сварных монтажных стыков. Монтажные стыки конструируются как расчетные, если складки монтируются целиком или укрупненными элементами с незамоноличенными стыками
(способ "а"). При замоноличенных стыках сборные элементы допускается проектировать с выпусками арматуры.
12.7. Шатровые складки рекомендуется армировать:
в плитах - сварными сетками;
в ребрах сборных и монолитных элементов - сварными каркасами;
в надколонных ребрах и плитах - сварными сетками, каркасами и предварительно-напряженной арматурой.
В многопролетной шатровой конструкции арматуру, напрягаемую на бетон на месте возведения, рекомендуется предусматривать прямолинейной неразрезной, переходящей из пролета в пролет.
Основная растянутая арматура, располагаемая в бортовых элементах, должна быть доведена до опор и надежно заанкерена или заведена в смежный бортовой элемент для образования кольцевого пояса шатра. При этом предварительно-напряженная арматура пояса проектируется, как правило, так, чтобы ее натяжение и обетонирование возможно было бы осуществить в открытых сверху каналах.
Основную растянутую арматуру шатровых складок Fа (до 80%) располагают в бортовых элементах при предварительно-напряженном (до 60%) при обычном армировании, а остальную часть арматуры Fа - в прилегающих к бортовым элементам частях граней (Fа - полное количество арматуры, необходимое для восприятия растягивающего усилия H в вертикальном сечении посредине пролета складки, приведенного на рис. 12.4, а).
Рис. 12.4. Схемы разрушения шатровых складок
а - с изломом посередине пролета (балочная схема);
б - с разделением на 5 дисков (шатровая схема излома);
1 - боковые грани; 2 - основная арматура пояса;
H1 и H2 - усилия в поясе
12.8. Расчет шатровых складок выполняется по предельным состояниям в соответствии с рекомендациями
пп. 1.42 -
1.56 настоящего Руководства. При этом расчет по деформациям шатра в целом со стрелой подъема
f/
l >=
1/
10 (рис. 12.4), как правило, не производится.
Предварительные расчеты и расчет по несущей способности шатровой складки производится методом предельного равновесия согласно рекомендациям
пп. 12.9 -
12.13 настоящего Руководства.
Определение усилий в шатровых складках с отношением
f/
l <
1/
10 или в складках, проектируемых для тяжелых и сосредоточенных нагрузок, в складках с проемами, а также в других случаях, не предусмотренных
пп. 12.10 -
12.13 настоящего Руководства, когда возникает необходимость в полном расчете конструкции для рабочих чертежей по прочности и устойчивости, деформациям и трещиностойкости, расчет рекомендуется производить как для тонкостенной пространственной конструкции с применением ЭВМ (см.
раздел 1 настоящего Руководства), например, методом стержневой аппроксимации НИИАС.
12.9. Расчет по несущей способности конструкций шатрового типа производится приближенно
[4] на основе:
а) расчета шатра в целом для определения основной растянутой арматуры поясов и нормальных усилий в шарнирно соединяемых гранях;
б) определения изгибающих моментов в гранях шатровой складки как в плитах, полагая, что ребра шатра являются их опорами.
12.10. Расчет отдельно стоящей шатровой складки в целом для определения усилий в поясе производят методом предельного равновесия, исходя из возможных схем излома
[2] конструкции при основной равномерно распределенной на гранях нагрузке
(рис. 12.5);
при опирании шатровой складки на подвижные опоры по углам - по двум балочным схемам, принимая схемы излома шатра по плоскостям
z0
x и
z0
y (
рис. 12.4,
а) и шатровой схеме (в результате разделения шатра на 5 дисков (
рис. 12.4,
б);
при опирании шатра по двум противоположным сторонам - по балочной схеме с изломом в середине пролета (
рис. 12.4,
а) и по шатровой схеме (
рис. 12.4,
б);
при опирании по всему контуру - по шатровой схеме (
рис. 12.4,
б).
Рис. 12.5. Расчетная схема для определения
изгибающих моментов в плите граней шатровой складки
а - при бортовых элементах в виде надколонных полос;
б - при вертикальных бортовых элементах;
в - для отдельно стоящих складок
Расчет по шатровой схеме возможно производить и при несимметричных загружениях
[3].
Для многопролетных шатровых перекрытий, опираемых на колонны, основную арматуру допускается подбирать как для отдельных разрезных шатровых складок из расчета шатра в целом по балочным схемам (
рис. 12.4,
а) и при опирании на стены - по шатровой схеме (
рис. 12.4,
б), исходя из предположения шарнирного соединения шатров между собой.
12.11. Расчет граней шатра как плит производят в соответствии с условиями их опирания. При этом допускается принимать, что плиты наклонных граней работают только в одном направлении, перпендикулярном горизонтальным ребрам, а верхняя горизонтальная плита - в двух направлениях, как плита, опертая по контуру.
Расчет плит производят на изгиб с учетом их сжатия усилием, центрально передающимся от грани к грани через цилиндрические шарниры в горизонтальных ребрах и определяемых по шатровой схеме (
рис. 12.4,
б). При этом в наклонных гранях, опирающихся по углам отдельно стоящих шатров, распределение нормальных усилий
Nx и
Ny по высоте принимают по треугольнику с вершиной около верхнего ребра, а в опертых по всей длине и в смежных гранях многопролетных шатровых складок - равномерным.
В случае укладки в сборных шатрах перпендикулярно ребрам арматуры, соединяющей отдельные грани и воспринимающей опорный изгибающий момент, плиты могут рассматриваться как неразрезные.
Расчет изгибающих моментов, как в неразрезных плитах, допускается производить для средней полосы.
Расчетные схемы плит, приведенные на
рис. 12.5, соответствуют:
схема, приведенная на
рис. 12.5,
а - неразрезным шатровым складкам с горизонтальной плитой в ендовах (
рис. 12.1,
б,
в);
схема, приведенная на
рис. 12.5,
б, - схеме многопролетных шатровых складок (
рис. 12.3,
б) без надколонных плит при симметричном загружении;
При этом для расчета плиты средней грани учитывается только часть нагрузки

или

, приходящейся на полосу данного направления (здесь

- коэффициент распределения нагрузки в направлении
l1 и
l2;

при
l2 =
l2 =
l и

при
l1 = 2
l2 и при
l1 < 2
l2, определенный приближенно по интерполяции).
12.12. Расчет шатровой складки в целом по балочным схемам излома (
рис. 12.4,
а) производится в направлениях
x и
y на равномерно распределенную расчетную нагрузку интенсивностью
q (или приведенную к ней нагрузку из условия равенства моментов как в простой балке).
При этом изгибающий момент M и растягивающие усилия H1 в арматуре в середине пролета определяются:
для направления x по формулам:

(12.1)

(12.2)
для направления y по формулам:

(12.3)

(12.4)
c1, c2 - ширина надколонной капители или стороны сечения колонны соответственно в направлении l1 и l2;
fр1, fр2 - расчетные подъемы складки, определяемые как расстояния между равнодействующими в арматуре бортовых элементов по направлениям x и y и срединной плоскости горизонтальной грани.
Для предварительного расчета сечение Fа основной растянутой арматуры в бортовых элементах (поясах) определяется по формулам:
для направления x

(12.5)
для направления y

(12.6)
k - коэффициент, равный для предварительно-напряженной арматуры 0,8 и для обычной - 0,6;
z1 и z2 - плечи внутренней пары сил, определенные как расстояния между равнодействующими усилий в арматуре бортовых элементов по направлениям соответственно x и z и срединной плоскостью горизонтальной грани.
При этом должно удовлетворяться условие:
для направления x
для направления y
Fб1, Fб2 - площади бетона в поперечных сечениях горизонтальной грани соответственно по плоскостям z0x и z0y.
В расчете к рабочим чертежам шатровой складки несущая способность вертикальных поперечных сечений в середине пролета
l1 и
l2 производится по первому предельному состоянию как изгибаемых осесимметричных железобетонных сечений согласно главе
СНиП II-21-75. Для этого в первом приближении задаются размерами и армированием сечений, используя данные, полученные в предварительном расчете. Определенные таким образом изгибающие моменты

и

следует сравнить соответственно с
M1 и
M2, найденными по
формулам (12.1) и
(12.3).
12.13. Расчет складки по шатровой схеме (при опирании ее по всему контуру) производится для определения усилия
Hуг, воспринимаемого арматурой пояса и граней в диагональном сечении
a-
a (
рис. 12.4,
б) по формуле

(12.9)
где q1 - интенсивность равномерно распределенной нагрузки на горизонтальной грани;
q2 - интенсивность равномерно распределенной нагрузки, отнесенной к горизонтальной проекции наклонных граней;

,

,

,

- размеры шатровой складки приведенные на
рис. 12.1;
fр.уг - расчетный подъем складки, определяемый как расстояние между срединной плоскостью плиты горизонтальной грани и горизонтально направленной равнодействующей растягивающих усилий в арматуре пояса и граней, пересекающей диагональное сечение
a-
a (
рис. 12.4,
б).
Проверка количества арматуры в диагональном сечении складки производится из условия

(12.10)
где Rаi, Fаi - соответственно расчетное сопротивление и проекция площади сечения i-го стержня арматуры, пересекающего диагональное сечение, на вертикальную плоскость.
Положение равнодействующей усилий в арматуре (расчетный подъем складки fр) определяется по формуле

(12.11)
где

- расстояние от срединной плоскости горизонтальной грани до оси
i-го стержня, пересекающего диагональное сечение
a-
a (
рис. 12.4,
б).
Для квадратной шатровой складки при
q1 =
q2 =
q формула (12.9) примет более простой вид

(12.12)
Для предварительных расчетов сечение основной растянутой угловой арматуры (пояса), пересекающей диагональ, определяется по формуле

(12.13)
где
k - принимается согласно
п. 12.12 настоящего Руководства.
Расчет к рабочим чертежам несущей способности складки для шатровой схемы производится по
формулам (12.9) -
(12.12) для заданного в первом приближении углового армирования с учетом данных, полученных из предварительного расчета.
Сечение растянутой арматуры во всех вертикальных промежуточных сечениях бортовых элементов и наклонных гранях шатровых складок, опертых по контуру, должно быть не менее сечения угловой арматуры.
| | ИС МЕГАНОРМ: примечание. Текст дан в соответствии с официальным текстом документа. | |
При опирании шатровой складки по двум противоположным сторонам сечение растянутой арматуры в бортовых элементах и гранях, располагаемых вдоль пролета, рекомендуется определять исходя из рассмотрения балочной схемы излома по
формулам (12.1) -
(12.8), а сечение арматуры в бортовых элементах и гранях, перпендикулярных пролету, - по
формулам (12.9) -
(12.3) с учетом рекомендаций
пп. 12.12 и
12.13.
12.14. Крайний бортовой элемент шатровой складки следует проверять на изгиб в плоскости, проходящей через его ось и перпендикулярной к примыкающей к нему грани. При этом ребро (пролетом l1 или l2) следует рассматривать совместно с примыкающими полкой и гранью как при расчете железобетонных тавровых сечений. Нагрузкой на бортовой элемент в этом случае является проекция опорной реакции R из расчета неразрезной плиты на нормаль к грани (рис. 12.6).
Рис. 12.6. Расчетная плоскость изгиба
крайних элементов шатровых складок
12.15. Углы шатров в месте опирания на капители или колонны должны быть проверены на нормальную силу сжатия N по формуле

(12.14)
где

- угол наклона диагонального ребра складки к горизонту;
Fб - минимальное опорное сечение бетона в плоскости, перпендикулярной ребру, размером, равным стороне капители или колонны;
Fа - сечение продольной арматуры ребра и части граней площадью Fб.
Для повышения прочности опорного сечения шатра целесообразно применять косвенное армирование.
12.16. При проектировании колонн, поддерживающих неразрезные шатровые складки, следует учитывать возможный изгибающий момент за счет эксцентриситета приложения реакции от шатрового покрытия к верху колонн в процессе монтажа и при эксплуатации.
12.17. Прогиб бортов шатровой складки в случае необходимости (см.
п. 12.10 настоящего Руководства) проверяют для предварительного расчета, как коробчатого железобетонного сечения переменной жесткости на величину изгибающего момента, определяемого по
формулам (12.1) и
(12.3) от нормативной нагрузки; жесткость граней проверяют так же, как и для плоских или ребристых плит соответственно их расчетным схемам (см.
п. 12.11 настоящего Руководства).
12.18. Момент образования трещин при расчете предварительного напряжения нижнего пояса проверяют так же, как для балок соответствующего сечения согласно главе
СНиП II-21-75, при этом изгибающий момент от соответствующей нагрузки допускается определять по
формулам (12.1) и
(12.2).
12.19. Для обеспечения наиболее благоприятного распределения усилий в шатровой складке наклон граней и стрелу подъема шатра рекомендуется выбирать методом оптимального проектирования (см.
прил. 1).
2.
Боришанский М.С.,
Шепотьев А.С. Экспериментальное исследование тонкостенных пространственных сооружений. - Проект и стандарт, 1934, 2.
3.
Дубинский А.М. Расчет методом предельного равновесия пластин и оболочек. Киев, Будiвельник, 1976.
4.
НИИЖБ. Инструкция по проектированию тонкостенных железобетонных покрытий и перекрытий/НИИЖБ, ЦИИИСК. М., Стройиздат, 1961.
5. Хайдуков Г.К. Экспериментальные исследования предварительно-напряженных ступенчато-вспарушенных (шатровых) панелей, М., Госстройиздат, 1961.
ОПТИМАЛЬНОЕ ПРОЕКТИРОВАНИЕ ЖЕЛЕЗОБЕТОННЫХ
ПРОСТРАНСТВЕННЫХ КОНСТРУКЦИЙ НА ОСНОВЕ МЕТОДОВ
ТЕОРИИ ПЛАНИРОВАНИЯ ЭКСПЕРИМЕНТОВ
Для оптимизации железобетонных пространственных конструкций предлагается использовать метод, основанный на теории планирования экстремальных экспериментов [
4,
5].
Метод позволяет с единых позиций и простыми средствами подойти к оптимальному проектированию железобетонных пространственных конструкций, для которых разработаны расчеты на прочность, жесткость и трещиностойкость. В процессе оптимизации по результатам нескольких вариантов расчета целевая функция аппроксимируется некоторыми выражениями. После анализа этих выражений принимается решение о назначении следующих вариантов. Требования, предъявляемые к конструкции, удовлетворяются в процессе расчетов. Методы расчета не связаны с процессом оптимизации: для оптимального проектирования используются только определенные наборы значений переменных параметров и соответствующие им значения целевой функции. Это позволяет без усложнения вычислительной процедуры оптимизации использовать расчеты, наиболее полно отражающие особенности работы оптимизируемой конструкции.
Другие методы оптимизации изложены в [
2,
7,
8,
10].
Задачу оптимального проектирования железобетонных пространственных конструкций сформулируем следующим образом: найти такие значения переменных параметров x1, ..., xl, при которых достигается минимум целевой функции y
min
y(
x1, ...,
xl); (1.1)
при этом должны выполняться ограничения, включающие нормативные, геометрические и конструктивные требования
fi(
x1, ...,
xl) <= 0;
i = 1, ...,
P. (1.2)
Разделим переменные параметры конструкции на две группы - внешние
x1, ...,
xn (
n <
l) и внутренние
xn+1, ...,
xl. Из общего числа
P ограничений (1.2) выделим
R ограничений, в которые входят только внешние переменные параметры:
fi(
x1, ...,
xn) <= 0;
i = 1, ...,
R. (1.3)
Остальные M = P - R ограничений содержат как внешние, так и внутренние параметры:
fi(
x1, ...,
xl) <= 0;
i = 1, ...,
M. (1.4)
Назовем внутренней задачей оптимизации задачу определения

при выполнении
условий (1.4); внешние переменные параметры
x1, ...,
xn фиксируются. В процессе решения внутренней задачи оптимизации меняются только внутренние переменные параметры.
Назовем внешней задачей оптимизации задачу определения
В процессе решения внешней задачи оптимизации меняются только внешние переменные параметры. В результате получаем такие значения внешних параметров, которые из всех решений внутренних задач оптимизации выбирают решение с минимальным значением целевой функции у. При этом мы удовлетворяем
условиям (1.3),
(1.4), т.е. решаем
задачу (1.1),
(1.2).
Для решения
общей задачи оптимального проектирования (1.1),
(1.2) проводим ряд опытов. Опытом называется совокупность следующих операций: фиксирование некоторых значений внешних параметров, решение внутренней задачи оптимизации и вычисление значения целевой функции.
Внутренние переменные параметры следует выбирать таким образом, чтобы большая часть ограничений на конструкцию имела вид
(1.4). Тогда
ограничения на внешние переменные параметры (1.3) оказываются слабыми. Это позволяет использовать для решения внешней задачи оптимизации методы теории планирования экстремальных экспериментов.
Рассмотрим простой пример. Требуется запроектировать оптимальную по стоимости железобетонную балку прямоугольного сечения на двух опорах при действии равномерно распределенной нагрузки. Учитываются только требования прочности нормальных сечений. Внешними параметрами могут быть выбраны геометрические размеры сечения (ширина и высота), марка бетона, класс стали. Внутренним параметром служит площадь сечения арматуры. Опыт состоит в следующем. Фиксируем некоторые значения внешних параметров. Проводим статический расчет балки, определяя изгибающий момент. По главе
СНиП II-21-75 "Бетонные и железобетонные конструкции" находим минимальную величину площади сечения арматуры (внутреннего параметра) так, чтобы обеспечивалась прочность нормальных сечений, т.е. решаем внутреннюю задачу оптимизации. Зная стоимости единицы объемов бетона и арматуры, а также общий расход материалов на конструкцию, вычисляем стоимость балки (значение целевой функции).
Можно поступить и иначе, например, приняв внутренними параметрами площадь сечения арматуры и марку бетона. Тогда в каждом опыте фиксируем геометрические размеры сечения и класс стали. По нормам проектирования железобетонных конструкций подбираем минимальную площадь сечения арматуры при различных марках бетона и определяем стоимость конструкции. Результатом опыта служит минимальная из полученных стоимостей.
Внутреннюю задачу оптимизации легко решить, если внутренними параметрами принять площади сечения арматуры, а расчет конструкции вести в упругой стадии. Тогда минимальную площадь сечения арматуры, обеспечивающую прочность конструкции, определяют по нормам на проектирование железобетонных конструкций. В других случаях для решения внутренней задачи оптимизации можно использовать простой перебор, методы одномерного поиска или методы математического программирования при наличии ограничений. В дальнейшем будем предполагать, что метод решения внутренней задачи оптимизации известен.
Целевой функцией в предлагаемом методе оптимального проектирования может служить любой критерий качества - приведенные затраты, стоимость, расход арматуры и т.д. В реальном проектировании часто бывает, что конструкции, из которых нужно выбирать оптимальную, равноценны по всем показателям, кроме стоимости. Тогда целевой функцией может служить стоимость, определяемая стоимостью материалов в деле, - бетона и арматуры. Если в качестве целевой функции выбраны приведенные затраты или стоимость, необходимо провести экономические расчеты. Степень подробности расчетов зависит от имеющейся в распоряжении информации. Чаще всего используем усредненные показатели. При наличии соответствующей информации на основе действующих расценок составляем подробные калькуляции. Например, можно учесть даже различие в ценах на арматуру одного класса в зависимости от диаметра стержня.
Переменными параметрами обычно служат общие геометрические размеры конструкции и размеры сечений ее элементов, марка бетона, класс стали, площадь сечения арматуры, величина натяжения напрягаемой арматуры и др.
В дальнейшем нас будет интересовать зависимость целевой функции y от внешних переменных параметров:

(1.5)
Мы не будем выписывать ее в явном виде. Однако будем считать, что значение целевой функции y может быть вычислено в результате проведения опыта при заданном фиксированном наборе параметров x1, ..., xn.

(1.6)
либо функцией второго порядка

(1.7)
Рассмотрим также неполную функцию второго порядка, когда в функцию (1.7) не входят члены вида

и могут входить не все члены вида
bijxixj. Коэффициенты
b0,
bi,
bij,
bii находим по результатам опытов.
Фиксированный набор внешних параметров x = (x1, ..., xn) можно представить как вектор или точку в n-мерном пространстве. Это пространство называется факторным. Исходя из конструктивных и нормативных требований, задаем наименьшие d1i и наибольшие d2i возможные значения внешних параметров (факторов). Тогда
d1i <=
xi <=
d2i;
i = 1, ...,
n. (1.8)
Множество векторов
x, координаты которых удовлетворяют
ограничениям (1.3), назовем допустимой областью факторного пространства и обозначим ее
F. Целевая функция
y должна быть однозначно определена на
F. Геометрически множество значений целевой функции можно представить как некоторую поверхность в (
n+1)-мерном пространстве. Эта поверхность называется поверхностью отклика.
Общая (внешняя) задача оптимального проектирования геометрически ставится следующим образом. Требуется найти принадлежащую области
F точку факторного пространства
x = (
x1, ...,
xn), в которой целевая
функция (1.1) принимает минимальное значение; при этом в точке
x должна быть решена внутренняя задача оптимизации.
ОБЩАЯ СХЕМА ПРОЦЕССА ОПТИМИЗАЦИИ
В начале процесса оптимизации задаемся начальным приближением, которое определяется точкой

из
F, называемой центром эксперимента. Начало координат помещаем в точку
x0.
Значения внешних параметров
x1, ...,
xn удобно откладывать на осях координат в безразмерных единицах. С этой целью для каждого параметра выбираем величину
ai > 0, называемую интервалом варьирования. В дальнейшем мы будем часто использовать два значения параметров, определяемые выражением

. Величина

называется верхним уровнем параметра,

- его нижним уровнем;

- нулевым уровнем. Безразмерное или нормированное значение внешнего параметра определяем по формуле

(1.9)
Из формулы (1.9) видно, что нормированное значение верхнего уровня параметра равно +1; его нижнего уровня -1; нулевого уровня - нулю.

(1.10)

(1.11)
В (
n+1)-мерном пространстве
уравнение (1.10) представляет собой уравнение гиперплоскости, а
уравнение (1.11) - уравнение поверхности второго порядка.
Уравнение (1.11) может быть и неполным, т.е. без всех членов

и возможно без некоторых членов вида

.
Предполагаем, что
функция (1.5) и соответствующая поверхность в (
n+1)-мерном пространстве являются достаточно гладкими, так что в окрестности точки
x0 функцию (1.5) можно разложить в ряд Маклорена. Ограничиваясь членами порядка не выше второго, запишем:

(1.12)
В этом случае коэффициенты
b0,
bi,
bij,
bii, определяемые по результатам проводимых в окрестности точки
x0 опытов, можно считать некоторыми оценками для соответствующих "действительных" коэффициентов

,

,

,

.
Запишем это следующим образом:
Общая схема процесса оптимального проектирования конструкций на основе методов теории планирования экспериментов имеет следующий вид:
а) в точке начального приближения проводим опыт и определяем значение

;
б) проводим N опытов в окрестности центра эксперимента x0, в результате чего определяем N значений целевой функции y1, ..., yN;
г) определяем градиент гиперплоскости и проводим опыты в направлении антиградиента. В результате каждого опыта находим значения целевой функции. Опыты проводим до тех пор, пока целевая функция уменьшается и пока точка x находится внутри области F;
д) пусть движение по антиградиенту прекращено из-за того, что целевая функция перестала уменьшаться. Точку, в которой она имела минимальное значение, принимаем за новый центр эксперимента. Вновь аппроксимируем поверхность отклика гиперплоскостью и т.д.;
е) пусть движение по антиградиенту прекращено из-за того, что точка
x оказалась на границе области
F, задаваемой
неравенствами (1.8). Значения переменных факторов, для которых выполняются условия
xi =
d1i или
xi =
d2i, фиксируем. Дальнейшее решение задачи проводим в факторном пространстве меньшей размерности. Если же нарушаются другие
условия (1.3), то новым центром эксперимента принимаем точку с минимальным значением целевой функции, в которой все ограничения выполнялись, и вновь аппроксимируем поверхность отклика гиперплоскостью;
ж) аппроксимацию поверхности отклика гиперплоскостями и движение в направлении антиградиента проводим до тех пор, пока не достигнута область оптимума. Если область оптимума достигнута, аппроксимация гиперплоскостью может не привести к желаемым результатам. В этом случае поверхность отклика будем аппроксимировать
поверхностью второго порядка (1.11). Так же будем поступать и при необходимости более детального изучения какого-либо из локальных участков поверхности отклика.
ЛИНЕЙНЫЕ ПЛАНЫ НА ОСНОВЕ ПРЯМОГО ГРАДИЕНТНОГО МЕТОДА
В процессе оптимизации поверхность отклика аппроксимируется
гиперплоскостью (1.10) или
поверхностью второго порядка (1.11). Для определения коэффициентов в
выражениях (1.10),
(1.11) проводим опыты в окрестности центра эксперимента. Значения переменных факторов в опытах и количество опытов определяются матрицей планирования. Матрицы планирования, позволяющие получить аппроксимации
(1.10) и
(1.11), называются соответственно линейными планами и планами второго порядка. Простейшие линейные планы основаны на прямом градиентном методе. Рассмотрим их.
Матрица одного из таких планов представлена в
табл. 1.1. Элементами матрицы являются символы +1 и 0. Это нормированные значения переменных факторов. При проведении опытов в соответствии с данной матрицей факторы могут находиться только на верхнем и нулевом уровнях. Строка матрицы определяет условия одного опыта, задавая для него уровни всех факторов. Нормированные значения каждого из факторов располагаются в одном из столбцов матрицы.
Таблица 1.1
План, основанный на прямом градиентном методе
с односторонними разностями
Номер опыта | Матрица планирования | yi |
| | ... | |
0 | 0 | 0 | ... | 0 | y0 |
1 | +1 | 0 | ... | 0 | y1 |
2 | 0 | +1 | ... | 0 | y2 |
... | ... | ... | ... | ... | ... |
n | 0 | 0 | ... | +1 | yn |
Матрица планирования, приведенная в
табл. 1.1, получена на основании следующих соображений. Если
y можно записать в явном виде как функцию от
xi (
i = 1, 2, ...,
n), то координаты градиента в некоторой точке определяются значениями частных производных

, взятыми в той же точке. Это дает возможность получить аппроксимацию вида
(1.12), где удерживаются только члены

,

.
В нашем случае вид целевой функции неизвестен. Поэтому воспользуемся конечно-разностным аналогом прямого градиентного метода. Проведем опыты в соответствии с матрицей планирования, представленной в
табл. 1.1. Нулевой опыт является центром эксперимента - значения всех переменных параметров равны нулю. В
i-м опыте (
i = 1, 2, ...,
n) значение параметра
xi равно +1; значения остальных параметров сохраняются равными нулю. Рассматриваемая матрица позволяет получить аппроксимацию
(1.10). Конечно-разностная запись частных производных дает простые формулы для определения коэффициентов
bi:
b0 =
y0;
bi =
yi -
y0. (1.14)
Для некоторых или даже всех параметров в i-м опыте иногда удобно принимать xi = -1. В этом случае формулы для определения bi имеют вид:
b0 =
y0;
bi =
y0 -
yi. (1.15)
Для получения более полного представления о поверхности отклика можно воспользоваться планированием, представленным в
табл. 1.2. Формулы (1.16) для определения
bi в
уравнении (1.10) получаются на основании тех же соображений, что и
формулы (1.14),
(1.15):
b0 =
y0;

. (1.16)
Таблица 1.2
План, основанный на прямом градиентном методе
с центральными разностями
Номер опыта | Матрица планирования |
| | ... | | yi |
0 | 0 | 0 | ... | 0 | y0 |
1 | -1 | 0 | ... | 0 | y1 |
2 | +1 | 0 | ... | 0 | y2 |
3 | 0 | -1 | ... | 0 | y3 |
4 | 0 | +1 | ... | 0 | y4 |
... | ... | ... | ... | ... | ... |
n-1 | 0 | 0 | ... | -1 | yn-1 |
n | 0 | 0 | ... | +1 | yn |
ЛИНЕЙНЫЕ ПЛАНЫ БОКСА-УИЛСОНА
Для рассмотрения планов Бокса-Уилсона необходимо ввести некоторые понятия.
1. Полный факторный эксперимент. Рассмотрим матрицу планирования, приведенную в
табл. 1.3. Предполагаем, что целевая функция зависит от двух внешних переменных параметров

. В первом столбце матрицы приведены значения фиктивной переменной

, а во втором и третьем - значения переменных

и

(эти два столбца образуют собственно планирование). В четвертом столбце записано произведение

- результат почленного перемножения элементов второго и третьего столбцов (эти столбцы перемножены как векторы). В дальнейшем под произведением

двух векторов-столбцов

и

будем понимать вектор-столбец, образованный почленным перемножением элементов векторов

и

(векторы

,

,

имеют одну размерность). Аналогично определяется произведение трех и более векторов. Чтобы, например, получить произведение

, вначале получаем произведение

, а затем умножаем его на вектор

.
Таблица 1.3
Полный факторный эксперимент типа 22
Номер опыта | Матрица планирования | Кодовое обозначение строк | Значение целевой функции y |
| | | |
1 | +1 | -1 | -1 | +1 | (1) | y1 |
2 | +1 | +1 | -1 | -1 | a | y2 |
3 | +1 | -1 | +1 | -1 | b | y3 |
4 | +1 | +1 | +1 | +1 | ab | y4 |
При использовании рассматриваемой матрицы нужно провести всего четыре опыта, которыми исчерпываются все возможные комбинации двух факторов, варьируемых на двух уровнях. Совокупность опытов, в которых исчерпываются все возможные комбинации факторов, варьируемых на двух уровнях, называется полным факторным экспериментом (ПФЭ) типа 2
n. Матрица, приведенная в
табл. 1.3, представляет собой полный факторный эксперимент типа 2
2.
Для упрощения записи матрицы планирования можно использовать кодовое обозначение строк. Каждому переменному фактору ставится в соответствие буква латинского алфавита: например, факторам

,

,

,

, ... соответствуют буквы
a,
b,
c,
d, ... Знак (1), стоящий в первой строке рассматриваемой матрицы, показывает, что в первом опыте все факторы находятся на нижнем уровне. Буквы
a и
b (вторая и третья строки) обозначают, что во втором опыте на верхнем уровне находится фактор

, а в третьем -

. Произведение букв
ab (четвертая строка) показывает, что в четвертом опыте на верхнем уровне находятся оба фактора. Таким образом, в кодовом обозначении строк буква записывается тогда и только тогда, когда соответствующий фактор находится на верхнем уровне. В указанных обозначениях матрица планирования, приведенная в
табл. 1.3, будет записана строкой
Такая запись позволяет легко строить матрицу ПФЭ типа 2
k+1, если известна матрица ПФЭ типа 2
k. Покажем, как построить матрицу ПФЭ типа 2
3, когда известна матрица ПФЭ типа 2
2 (1.17). Вводим в рассмотрение третий фактор

, которому соответствует буква
c. Исчерпать все комбинации трех факторов, варьируемых на двух уровнях, можно следующим образом: матрицу планирования для двух факторов

,

повторим дважды - один раз

находится на нижнем уровне

, другой раз - на верхнем

. Первая часть кодовой записи матрицы ПФЭ типа 2
3 совпадает с
(1.13), а вторая часть может быть получена из
(1.13) умножением всех членов на
c. В результате ПФЭ типа 2
3 будет записан следующим образом:
(1),
a,
b,
ab,
c,
ac,
bc,
abc. (1.18)
Матрица планирования в развернутом виде для этого случая приведена в табл. 1.4. Кроме столбцов

,

,

матрица содержит также столбцы всевозможных произведений

и столбец

.
Таблица 1.4
Полный факторный эксперимент типа 23
Номер опыта | Матрица планирования | Кодовое обозначение строк | Значение целевой функции y |
| | | | | | | |
1 | +1 | -1 | -1 | -1 | +1 | +1 | +1 | -1 | (1) | y1 |
2 | +1 | +1 | -1 | -1 | -1 | -1 | +1 | +1 | a | y2 |
3 | +1 | -1 | +1 | -1 | -1 | +1 | -1 | +1 | b | y3 |
4 | +1 | +1 | +1 | -1 | +1 | -1 | -1 | -1 | ab | y4 |
5 | +1 | -1 | -1 | +1 | +1 | -1 | -1 | +1 | c | y5 |
6 | +1 | +1 | -1 | +1 | -1 | +1 | -1 | -1 | ac | y6 |
7 | +1 | -1 | +1 | +1 | -1 | -1 | +1 | -1 | bc | y7 |
8 | +1 | +1 | +1 | +1 | +1 | +1 | +1 | +1 | abc | y8 |
Аналогично ПФЭ типа 24 запишется в виде:

(1.19)
Здесь первые восемь опытов проводятся при

, их запись повторяет запись
(1.18); опыты 9 - 16 проводятся при

, их запись получена умножением всех членов
(1.18) на
d. При
n факторах количество опытов в ПФЭ
N = 2
n.
ПФЭ типа 2n позволяет аппроксимировать целевую функцию y выражением

(1.20)
Будем называть коэффициенты
bi линейными (основными) эффектами; коэффициенты
bij 
- эффектами двойного (парного) взаимодействия; коэффициенты
bijk 
- эффектами тройного взаимодействия и т.д. Произведения

,

будем называть двойными (парными), тройными, а в общем случае
p-факторными взаимодействиями. Коэффициент
b1, 2, ..., p назовем эффектом
p-факторного взаимодействия.
b12 =
bn+1;
b13 =
bn+2; ...;
b12 ... n =
bs. (1.21)
Тогда формулы для определения коэффициентов
bi (
i = 0, 1, ...,
s) по
[5] имеют вид:

(1.22)
где u - номер строки матрицы планирования.
Из
формулы (1.22) следует, что для получения коэффициента
bi достаточно скалярно умножить векторы, представленные
i-м вектором-столбцом матрицы планирования и вектором-столбцом значений целевой функции. Например, для матрицы, приведенной в
табл. 1.3, имеем

;

. (1.23)
Для получения линейной
функции (1.10) в матрице планирования ПФЭ следует оставить только столбцы линейных членов. Для получения неполной
функции (1.11) следует оставить столбцы линейных членов и парных взаимодействий, исключив столбцы взаимодействий тройных и выше.
2. Идея дробного факторного планирования. В случае использования ПФЭ число проводимых опытов
N = 2
n велико даже при небольшом числе переменных факторов
n. Вместе с тем для аппроксимации целевой функции
уравнениями (1.10),
(1.11) в матрице планирования ПФЭ столбцы тех взаимодействий, которыми можно пренебречь, не используются; при планировании с помощью дробных реплик указанные столбцы используются, что позволяет резко сократить число опытов по сравнению с ПФЭ.
Рассмотрим идею дробного факторного планирования на конкретном примере. Пусть целевая функция зависит от трех переменных факторов

и пусть мы хотим аппроксимировать
y в окрестности некоторой точки линейной функцией:

(1.24)
ПФЭ типа 2
3 (табл. 1.4) состоит из восьми опытов. Поскольку нас интересуют только линейные эффекты, четыре последние столбца взаимодействий из матрицы планирования исключаются. Проведя все опыты, найдем коэффициенты
bi из
(1.24) и получим

(
i = 0, 1, 2, 3), (1.25)
где

- коэффициенты из разложения
(1.12).
Для вычисления значений коэффициентов
bi в
(1.24) можно использовать и ПФЭ типа 2
2 (табл. 1.3). Парными эффектами будем по-прежнему пренебрегать, но столбца

исключать не будем, а поставим ему в соответствие переменный фактор

:

(1.26)
Запись (1.26) означает, что столбец

получается в результате перемножения столбцов

и

. Непосредственной проверкой убеждаемся, что одновременно справедливы следующие соотношения:

;

. (1.27)
Проведем опыты в соответствии с матрицей планирования и найдем
yi. По
формуле (1.22) определяем коэффициенты
b0,
b1,
b2,
b3. Если

, то оценки определяются
выражением (1.25). Если

, то поскольку столбцы для

и

,

и

,

и

одни и те же, получим следующие оценки:

;

(
i,
k,
j = 1, 2, 3;

). (1.28)
Такая запись означает, что коэффициент bi можно представить в виде суммы

(1.29)
где

;

.
В этом случае будем говорить, что
bi является совместной оценкой для

и

или, что линейные эффекты смешаны с эффектами парного взаимодействия. Выражения типа
(1.28), показывающие, какие из коэффициентов

оцениваются совместно в каждом из найденных эффектов, будем называть системами смешивания или системами оценок.
Ясно, что
система оценок (1.28) хуже, чем
(1.25). Однако для
системы оценок (1.25) количество опытов равно 8, а
систему (1.28) можно получить в результате только лишь четырех опытов. Отсюда видно, что если пренебречь эффектами парных взаимодействий, количество опытов для трех переменных можно сократить вдвое по сравнению с ПФЭ типа 2
3.
Матрицу планирования, приведенную в
табл. 1.3, можно получить из матрицы планирования ПФЭ типа 2
3, оставив в
табл. 1.4 столбцы

,

,

,

и опыты 1 - 4. Поэтому говорят, что матрица, приведенная в
табл. 1.3, когда один из линейных членов приравнивается к двойному взаимодействию, представляет собой половину или полуреплику ПФЭ типа 2
3, условно обозначаемую 2
3-1. Обозначение несет в себе следующую информацию: полуреплика является частью ПФЭ типа 2
3; один из линейных членов приравнивается к одному из взаимодействий; количество опытов равно 4 = 2
3-1.
3. Генерирующие соотношения и определяющие контрасты. Дробные реплики. Назовем генерирующим соотношением выражение, в котором переменный фактор приравнивается к какому-либо из взаимодействий, взятому со знаком плюс или минус; при этом сам фактор в указанное взаимодействие не входит. Примером генерирующего соотношения может служить
выражение (1.26). Другое генерирующее соотношение можно получить, взяв перед взаимодействием

в
выражении (1.26) знак "минус":

(1.30)
Как было показано,
выражение (1.26) задает полуреплику 2
3-1. Построим матрицу планирования этой полуреплики. Рассмотрим кодовую запись матрицы планирования ПФЭ типа 2
2. Она приведена в
выражении (1.17) и в предпоследнем столбце
табл. 1.3.
Запись (1.26) показывает, что фактор

, которому ставится в соответствие буква
c, будет находиться на верхнем уровне в том и только в том случае, когда на верхнем уровне будет находиться произведение

. В соответствии с этим умножаем на
c те элементы в записи
(1.17), которые определяют строку матрицы планирования, где

находится на верхнем уровне. Тогда получим:
c,
a,
b,
abc. Аналогично кодовая запись полуреплики 2
3-1, задаваемой генерирующим
соотношением (1.30), имеет вид: (1),
ac,
bc,
ab.
Таким образом, матрицы планирования двух полуреплик 2
3-1, задаваемых генерирующими
соотношениями (1.26) и
(1.30), вместе дают матрицу планирования ПФЭ типа 2
3.

(1.31)
Соотношение типа
(1.31), задающее элементы столбца

, называется определяющим контрастом.
В общем случае ПФЭ типа 2
k дает 2
k -
k - 1 взаимодействий. Его можно использовать для получения аппроксимации
(1.10) при числе переменных факторов
n =
k +
p, где
p <= 2
k -
k - 1. Для этого необходимо задать
p генерирующих соотношений. По генерирующим соотношениям, используя ПФЭ типа 2
n-p, строим матрицу планирования в кодовой записи. Способ построения ничем не отличается от использованного при построении матриц планирования полуреплик 2
3-1. Полученная матрица планирования будет дробной репликой 2
n-p. Она является частью ПФЭ типа 2
n так же, как полуреплика 2
3-1 являлась частью ПФЭ типа 2
3. Таким образом, дробной репликой 2
n-p будем называть часть ПФЭ типа 2
n, задаваемую
p генерирующими соотношениями. При
p = 1 реплика называется полурепликой, при
p = 2 - четвертьрепликой, при
p = 3, 4, ...,
1/
2p - репликой.
Проиллюстрируем введенные определения еще одним примером. Рассмотрим дробную четвертьреплику 2
5-2. Ее можно получить из ПФЭ типа 2
3 (табл. 1.4). Чтобы задать реплику, нужно переменные

и

приравнять к некоторым из взаимодействий, т.е. задать два генерирующих соотношения. Это можно сделать многими способами. Например,

(1.32)
и т.д.
Пусть из
равенств (1.32) выбрана первая пара генерирующих соотношений. Им соответствуют два определяющих контраста:

;

. (1.33)
Если перемножить эти равенства, получим

(1.34)
Равенства (1.33), (1.34) дают возможность записать обобщающий определяющий контраст

(1.35)
Обобщающим определяющим контрастом называется выражение, содержащее всевозможные произведения, задающие столбец

.
Покажем, как получить обобщающий определяющий контраст для реплики 2
n-p. Такая реплика задается
p генерирующими соотношениями; каждому из соотношений соответствует свой исходный определяющий контраст. Возьмем всевозможные произведения, в которые входят 2, 3, ...,
p-1,
p исходных определяющих контрастов. Эти произведения совместно с
p исходными определяющими контрастами войдут в обобщающий определяющий контраст. В рассматриваемом примере из двух исходных определяющих контрастов
(1.33) было составлено одно произведение
(1.34), и все три выражения вошли в обобщающий контраст
(1.35).
С помощью определяющего контраста легко установить систему смешивания. Для этого необходимо все части равенств, входящих в обобщающий определяющий контраст, умножить сначала на каждый из линейных членов, затем на каждое из двойных, тройных и т.д. взаимодействий. Например, определим из
формулы (1.35), как смешиваются оценки в
b35.

(1.36)
Это значит, что

(1.37)
Матрицу планирования для реплики 2
5-2 с выбранными генерирующими соотношениями получим, умножая на
d и на
e те элементы кодовой записи строк ПФЭ типа 2
3 (табл. 1.4), где на верхнем уровне находятся соответственно произведения

и

. Тогда получим:
d, ae, be, abd, cde, ac, bc, abcde. (1.38)
4. Разрешающая способность дробных реплик. Одним из важнейших свойств дробных реплик является их разрешающая способность. Реплика имеет разрешающую способность R, если ни один из эффектов p-факторных взаимодействий не смешан ни с каким эффектом, содержащим менее R-p факторов. Поясним введенное определение примерами.
Реплика имеет разрешающую способность 3, если ни один линейный эффект не смешан с другим линейным эффектом, но линейные эффекты смешаны с эффектами двойного взаимодействия, и эффекты двойного взаимодействия смешаны друг с другом. Рассмотренная полуреплика 2
3-1 с определяющим контрастом
(1.31) имеет разрешающую способность 3.
Реплика имеет разрешающую способность 4, если линейные эффекты не смешаны друг с другом и с эффектами парных взаимодействий, но эффекты парных взаимодействий, смешаны друг с другом. Полуреплика 2
4-1 с определяющим контрастом

имеет разрешающую способность 4.
Установить разрешающую способность реплики можно следующим образом. Составим обобщающий контраст и выделим тот из исходных контрастов, который содержит наименьшее количество букв. Это количество и будет равно разрешающей способности реплики.
В большинстве случаев справедливо предположение, что чем выше порядок взаимодействуя, тем меньшее влияние он оказывает на целевую функцию. Поэтому для образования реплик в первую очередь следует использовать взаимодействия максимальных порядков.
5. Использование дробных реплик в качестве линейных планов.
Для сокращения количества опытов число
p в репликах
1/
2p нужно выбирать таким образом, чтобы число 2
p было ближайшим к
n; при этом должно выполняться условие 2
p >
n. Насыщенным планом будем называть план, позволяющий по
N опытам найти
N эффектов. Примером насыщенного линейного плана является планирование в соответствии с
табл. 1.1, здесь по (
n+1) опытам находят (
n+1) коэффициентов линейной функции. Реплика будет насыщенной при 2
p -
n = 1. В насыщенной реплике все взаимодействия приравниваются к линейным эффектам. Легко видеть, что количество опытов при двух видах планирования - с помощью дробных реплик и на основе прямого градиентного метода по
табл. 1.2 - совпадает тогда и только тогда, когда
n есть некоторая степень 2; только и только в этом случае возможно равенство 2
n = 2
p. В остальных случаях количество опытов при планировании с помощью дробных реплик меньше.
В
табл. 1.5 приведены дробные реплики для числа переменных факторов
n от 2 до 63 и указано количество опытов, необходимое для определения коэффициентов линейной функции. Опыт в центре эксперимента в число необходимых не включен, поскольку определить коэффициенты можно и без него.
Таблица 1.5
Дробные реплики и число опытов для линейных планов
n | Вид реплики | Количество опытов | n | Вид реплики | Количество опытов |
2 | ПФЭ 22 | 4 | 8, 9, ..., 15 | 2n-(n-4) | 16 |
3 | 23-1 | 4 | 16, 17, ..., 31 | 2n-(n-5) | 32 |
4, 5, 6, 7 | 2n-(n-3) | 8 | 32, 33, ..., 63 | 2n-(n-6) | 64 |
Укажем на одну особенность применения ненасыщенных реплик. Они дают возможность определить не только линейные эффекты, но также и те из эффектов парных взаимодействий, которые не смешаны с линейными и друг с другом. При использовании дробных реплик коэффициенты
bi определяются по
формуле (1.22).
ВЫБОР ЛИНЕЙНЫХ ПЛАНОВ И ИНТЕРВАЛОВ ВАРЬИРОВАНИЯ
Линейные планы можно сравнить друг с другом по двум признакам: по количеству опытов, необходимому для аппроксимации целевой функции
выражением (1.10), и по точности аппроксимации, получаемой при использовании различных матриц. По первому признаку наилучшей является матрица, приведенная в
табл. 1.1:
n+1 коэффициентов
bi (
i = 0, 1, ...,
n) линейной
функции (1.10) определяют по результатам (
n+1) опытов. В соответствии с
табл. 1.2 для определения того же числа коэффициентов необходимо провести 2
n+1 опытов. В матрицах Бокса-Уилсона минимальное число опытов
N = 2
k, где
k - определяется выражением 2
k-1 - 1 <
n <= 2
k - 1. В сравнении с планированием по
табл. 1.1 количество опытов возрастает, но не превосходит (а в большинстве случаев значительно меньше) количества опытов при планировании по
табл. 1.2.
Для сравнения матриц планирования по второму признаку были проведены специальные исследования; одна и та же целевая функция аппроксимировалась
выражениями (1.10), полученными при использовании всех трех типов матриц. Затем точность аппроксимации проверяли постановкой опытов при значениях внешних переменных параметров, отличных от предусмотренных матрицами планирования. Полученные в опытах значения целевой функции сравнивались со значениями, вычисленными по
уравнению (1.10). Оказалось, что наилучшую аппроксимацию дают матрицы Бокса-Уилсона и матрицы, приведенные в
табл. 1.2. Аппроксимация, получаемая на основе матриц, приведенных в
табл. 1.1, оказывается менее точной. Это объясняется тем, что в них рассматриваются значения внешних переменных параметров только из одного ортанта факторного пространства.
Указанные соображения позволяют дать рекомендации по использованию различных матриц планирования. Если из априорных соображений известно, что целевая функция изменяется плавно, то могут быть использованы требующие минимального числа опытов матрицы
табл. 1.1. Для решаемых впервые и малоизученных задач лучше использовать матрицы Бокса-Уилсона: они требуют большего числа опытов, но дают более точную аппроксимацию. Матрицы
табл. 1.2 могут быть использованы в исключительных случаях, например, когда необходимо получить достаточно точную аппроксимацию, а некоторые из совокупности значений переменных параметров, задаваемых матрицей Бокса-Уилсона, недопустимы по конструктивным соображениям.
В некоторых случаях удобно использовать комбинации различных планов. Например, пусть в начальном приближении
t +
h внешних переменных параметров приняли граничные значения
xi =
d1i (
i = 1, ...,
t);
xi =
d2i (
i =
t + 1, ...,
h),
t +
h <
n. Тогда для
t +
h параметров можно использовать планы по
табл. 1.1 и для остальных
n -
t -
h параметров - планы Бокса-Уилсона. В
выражении (1.10) коэффициенты
bi для
i = 0, 1, ...,
t определяют по
формулам (1.14); для
i =
t + 1, ...,
h - по
(1.15); для
i =
t +
h + 1, ...,
n - по
(1.22). Этот же прием можно использовать в том случае, когда после проведения опытов в соответствии с планом Бокса-Уилсона обнаруживается, что несколько переменных параметров пропущены. В процессе опытов они не варьировались, оставаясь на нулевом уровне. Для этих параметров коэффициенты
bi из
уравнения (1.10) можно получить, используя матрицы
табл. 1.1 или
табл. 1.2. Комбинации различных планов иногда позволяют провести меньшее количество опытов, чем требуется по плану Бокса-Уилсона.
Обычно для линейных планов Бокса-Уилсона выбираем дробные реплики с максимальной разрешающей способностью. Если же есть основания предполагать, что какие-либо из взаимодействий оказывают существенное влияние на целевую функцию, выбираем реплики, в которых соответствующие эффекты не смешаны с линейными и с эффектами более низкого порядка.
Интервал варьирования ai (i = 1, ..., n) обычно назначают равным минимально возможной по конструктивным соображениям величине изменения фактора. Однако в некоторых случаях это может привести к весьма незначительному изменению целевой функции по сравнению с начальным приближением. Тогда интервал варьирования следует увеличить.
Планы второго порядка позволяют получить аппроксимацию целевой функции вида
(1.11). Обычно при оптимальном проектировании вначале мы будем строить линейный план Бокса-Уилсона. В таком плане столбец

совпадает со столбцом

, т.е. эффекты парного взаимодействия
bii смешаны со свободным членом
b0. Чтобы отделить
bii от
b0, необходимо провести дополнительные опыты в специально выбранных точках. В результате линейный план достраивается до плана второго порядка. Первоначальный линейный план называется ядром планирования второго порядка.
Ядро планирования должно выбираться так, чтобы давать возможность оценить раздельно линейные эффекты и все эффекты парных взаимодействий. При
n <= 4 это достигается, если использовать в качестве ядра ПФЭ типа 2
n. При
n >= 5 можно использовать реплики с разрешающей способностью не менее 5. Например, при 5 <=
n < 10 ядром может служить полуреплика 2
n-1 с определяющим контрастом

; при 10 <=
n <= 15 четвертьреплика 2
n-2 с обобщающим определяющим контрастом

и т.д.
Дополнительными точками служат 2
n точек с координатами (

, 0, ..., 0); (0,

, ..., 0); (0, 0, ...,

) ... Эти точки называются звездными. Общее количество опытов
N, включая опыт в центре эксперимента, составляет
N = N1 + 2n + 1, (1.39)
где N1 - количество опытов в ядре планирования.
Матрица планирования плана второго порядка представлена в
табл. 1.6. Опыты проводят в ядре планирования, звездных точках и центре эксперимента. Вертикальными двойными линиями матрица разделена на три части. В одной из них представлены столбцы для линейных членов, во второй - для парных взаимодействий, в третьей - для квадратичных членов. Чтобы упростить формулы для определения коэффициентов в
уравнении (1.11), квадратичные члены берем в виде

,
где

(1.40)
Таблица 1.6
План Бокса-Уилсона второго порядка
Блоки матрицы планирования | Номер опыта | Матрица планирования |
| | | ... | | ... | | | ... |
Ядро планирования | 1 | +1 | -1 | -1 | ... | +1 | ... | +1- g | +1 - g | ... |
2 | +1 | +1 | -1 | ... | -1 | ... | +1 - g | +1 - g | ... |
... | ... | ... | ... | ... | ... | ... | ... | ... | ... |
N1 | +1 | +1 | -1 | ... | -1 | ... | +1 - g | +1 - g | ... |
Звездные точки | N1 + 1 | +1 | | 0 | ... | 0 | ... | | -g | ... |
N1 + 2 | +1 | | 0 | ... | 0 | ... | | -g | ... |
N1 + 3 | +1 | 0 | | ... | 0 | ... | -g | | ... |
N1 + 4 | +1 | 0 | | ... | 0 | ... | -g | | ... |
... | ... | ... | ... | ... | ... | ... | ... | ... | ... |
Центр эксперимента | N | +1 | 0 | 0 | ... | 0 | ... | -g | -g | ... |
Плечо звездных точек

определяем по формуле

(1.41)
Тогда коэффициенты
b0,
bi,
bij,
bii в обозначениях, аналогичных приведенным в
формулах (1.21), определяем по формуле

(1.42)
i - номер столбца;
u - номер строки в матрице планирования;
bi - коэффициент при члене, стоящем в i-м столбце.
В результате функция второго порядка имеет вид

(1.43)
где

- определяется по
формуле (1.42). Для перехода от формулы (1.43) к записи
(1.11) достаточно вычислить свободный член
b0 по формуле

(1.44)
ДВИЖЕНИЕ ПО АНТИГРАДИЕНТУ
После выполнения опытов в соответствии с линейным планом целевая функция аппроксимируется
выражением (1.10). Если принять
xi = 0 (
i = 1, 2, ...,
n), то
уравнение (1.10) дает значение целевой функции в центре эксперимента. Это значение можно сравнить со значением
y0, полученным в центре эксперимента непосредственно из опыта. С геометрической точки зрения, разница между указанными значениями позволяет оценить, насколько аппроксимирующая гиперплоскость
(1.10) близка к поверхности отклика в центре эксперимента.
Координаты градиента гиперплоскости равны коэффициентам
bi. Для движения по антиградиенту определяем величины изменения переменных параметров

так, чтобы они были пропорциональны
bi. В процессе движения к значениям параметров в центре эксперимента добавляем величины

и получаем условия каждого следующего опыта. Здесь
Ku - натуральное число;
u = 1, 2, ... - номер шага при движении по антиградиенту.
Для определения величины

, исходя из конструктивных соображений и требований норм, назначаем для каждого параметра минимально возможное изменение

. Знак этой величины выбираем так, чтобы выполнялось условие

.
Величины

должны удовлетворять условиям:
а)

(1.45)
где ai - интервал варьирования;
б) для одного из параметров (пусть его номер будет g):

(1.46)
в) для остальных параметров

(
i = 1, 2, ...,
n;

). (1.47)
Параметр
xg, для которого выполняются
условия (1.46), (1.47), находят простым перебором (
g = 1, ...,
n). Затем вычисляют коэффициент

и определяют величины

.
При назначении величины
K1 (на первом шаге) принимаем во внимание, насколько близка аппроксимирующая гиперплоскость к поверхности отклика: чем эти две поверхности ближе, тем лучше приближение и тем

величину
K1 можно выбрать. На каждом последующем шаге мы снова сравниваем значения целевой функции, полученные из опыта и из уравнения гиперплоскости; величины
Ku (
u = 2, 3, ...) назначаем по тем же соображениям, что и величину
K1. Обычно будут выполняться неравенства
K1 <
K2 < ... Однако, если на каком-то шаге
u будут основания предполагать, что пропущен минимум целевой функции, то на следующем шаге можно принять
Ku+1 <
Ku.
Значения параметров

могут оказаться недопустимыми по конструктивным соображениям. В этом случае округлим их до ближайших возможных значений. Так получаем значения переменных параметров на каждом шаге. Затем проводим опыт, определяя значение целевой функции.
При движении по антиградиенту могут встретиться следующие случаи:
1. На каком-либо шаге u целевая функция прекращает уменьшаться, т.е. yu <= yu-1; yu <= yu+1, причем Ku - Ku-1 = Ku+1 - Ku = 1. Тогда значения параметров, полученные на шаге u, принимаем за центр эксперимента. Проводим опыты по плану первого порядка с новым центром эксперимента.
Находим уравнение аппроксимирующей гиперплоскости и вновь двигаемся по антиградиенту.
2. Целевая функция продолжает уменьшаться до тех пор, пока один или несколько параметров примут граничные значения
dji (
j = 1, 2) из
выражения (1.8). Пусть для первых
i =
t <
n параметров (этого всегда можно добиться изменением нумерации)
xi =
dij. Фиксируем эти параметры, приравняв их значения граничным. Размерность факторного пространства уменьшается и становится равной
n -
t. Пытаемся продолжать движение по антиградиенту, считая координаты антиградиента равными -
bi (
i =
t + 1,
t + 2, ...,
n). Совершаем это движение, если целевая функция уменьшается. В противном случае точку на границе принимаем за центр эксперимента и проводим оптимизацию в факторном пространстве размерности
n -
t.
Если все переменные параметры примут граничные значения dji, процесс оптимизации заканчиваем.
Случай, когда не выполняются другие ограничения вида
(1.3), рассмотрен ниже.
Целью каждого опыта является определение значения целевой функции при фиксированном наборе значений n внешних переменных параметров. Эти наборы определяются матрицей планирования или процедурой движения по антиградиенту. Значения внутренних параметров определяются при проведении опыта в результате решения внутренней задачи оптимизации.
Проведение опытов начинают с определения значения целевой функции в начальном приближении. Фиксированный набор n переменных параметров в начальном приближении задается наилучшим образом с учетом конструктивных и нормативных требований; при этом могут быть приняты во внимание имеющиеся аналоги и соображения, основанные на инженерной интуиции.
На реальную конструкцию нагрузки могут действовать в различных сочетаниях. Учет многих загружений при оптимизации проводится так же, как и при обычном проектировании: каждый опыт представляет собой вариант проектирования конструкции.
Пусть, например, расчет конструкции выполняется в упругой стадии, а подбор, сечений арматуры (внутреннего параметра) проводится по
[9]. Тогда расчет выполняется на каждое загружение. Затем выбираются невыгодные сочетания нагрузок и подбираются минимальные площади сечения арматуры при действии каждого сочетания. Окончательно принимается максимальная из полученных площадей. И так повторяется в каждом опыте.
При учете требований всех предельных состояний одно из состояний будем считать основным, а другие - дополнительными. В опытах решаем внутреннюю задачу оптимизации, удовлетворяя требованиям основного состояния. Для удовлетворения требованиям других предельных состояний применяем пороговую оптимизацию
[1]. Это значит, что, проводя оптимизацию по основному предельному состоянию, мы требуем, чтобы одновременно выполнялись требования дополнительных состояний. Выбираем внутренние переменные параметры так, чтобы удовлетворить этим требованиям.
Может оказаться, что в каком-либо из опытов ни при каких значениях внутренних переменных параметров всем необходимым требованиям удовлетворить нельзя, т.е. внутренняя задача оптимизации решения не имеет. Если такая ситуация возникает во время движения по антиградиенту, процесс движения прекращаем; последнюю точку, в которой внутренняя задача оптимизации имела решение, принимаем за центр эксперимента. Если внутренняя задача не имеет решения в одном из опытов матрицы планирования, накладываем на целевую функцию штраф: ее значение в этом опыте принимаем равным максимальному из значений в тех опытах, где внутренняя задача оптимизации имела решение. Так же поступаем в случаях, когда нарушаются какие-либо из
ограничений (1.3), кроме
(1.8).
Продолжим рассмотрение конструкции, расчет которой выполняется в упругой стадии, а подбор сечений арматуры проводится по
[9]. Основным предельным состоянием можно выбрать прочность; дополнительным - жесткость и ширину раскрытия трещин. Подбирая сечения арматуры, мы удовлетворяем требованиям основного состояния. Если при этом деформация или ширина раскрытия трещин больше допустимых, сечение арматуры увеличиваем. Пытаемся добиться выполнения требований дополнительных предельных состояний при минимальном расходе арматуры. Если этим требованиям удовлетворить нельзя, накладываем на целевую функцию штраф или прекращаем движение по антиградиенту.
Множество возможных значений переменных параметров обычно дискретно и задается конструктивными соображениями. Выбор интервала варьирования лучше проводить так, чтобы параметры в опытах принимали только возможные значения. Правда, это удается сделать не всегда. Например, при построении планов второго порядка значение параметра

, вычисленного по
формуле (1.41), может не входить в число возможных. В таких случаях в процессе проведения опытов будем проводить интерполяцию между возможными значениями параметров.
АЛГОРИТМ ОПТИМАЛЬНОГО ПРОЕКТИРОВАНИЯ
Приведем алгоритм оптимального проектирования, составленный в соответствии с изложенным материалом. Алгоритм состоит из ряда пунктов; в них указаны порядок и содержание действий, даны необходимые пояснения.
1. Назначаем внешние и внутренние параметры, целевую функцию, устанавливаем ограничения на параметры. Выбираем метод решения внутренней задачи оптимизации. При необходимости проводим экономические расчеты.
2. Выбираем начальное приближение.
3. Выбираем линейный план и назначаем интервалы варьирования.
4. Проводим опыты в соответствии с линейным планом. Определяем значения целевой функции в точках плана и в точке начального приближения. В процессе опытов учитываем при необходимости неединственность нагружения и требования всех предельных состояний.
5. Аппроксимируем целевую функцию линейной
функцией (1.10), определив значения коэффициентов по соответствующим формулам.
6. Проводим движение по антиградиенту. Учитываем неединственность нагружения и требования всех предельных состояний. Если все внешние переменные параметры приняли граничные значения из
неравенств (1.8), переходим к
п. 10. Если не все внешние переменные параметры приняли граничные значения из
неравенств (1.8), а целевая функция прекратила уменьшаться или нарушаются
условия (1.3),
(1.4), выбираем в качестве начального приближения опыт, в котором целевая функция имела минимальное значение и выполнялись все условия; переходим к
п. 3. Если после построения линейного плана движение по антиградиенту не дает существенного уменьшения целевой функции, переходим к п. 7.
7. Выбираем план второго порядка. Проводим опыты, учитывая при необходимости неединственность нагружения и требования всех предельных состояний. В результате опытов определяем значения целевой функции.
9. Проводим исследование функции второго порядка (для этого можно, например, привести квадратичную функцию к каноническому виду
[11] или использовать другие методы).
10. В качестве оптимальной принимаем точку, в которой целевая функция имеет минимальное значение.
Таким образом, процесс оптимизации состоит из формализованной и неформализованной частей. К формализованной части относятся: проведение опытов, вычисление коэффициентов
функций (1.10) и
(1.11), определение величин изменения факторов

при движении по антиградиенту, приведение
функции (1.11) к каноническому виду. К неформализованной части относятся: назначение целевой функции, внешних и внутренних переменных параметров, допустимой области
F; выбор начального приближения, интервалов варьирования, матрицы планирования, величины
Ku при движении по антиградиенту, анализ функции второго порядка. При оптимизации конструкции с помощью предлагаемой методики возможно взаимодействие системы "человек-машина", когда формализованная часть выполняется на ЭВМ, а неформализованная - исследователем.
Ниже приведены методика и результаты оптимального проектирования железобетонных оболочек покрытий текстильных комбинатов. Изложение материала разбито на пункты, соответствующие пунктам приведенного алгоритма.
ГПИ-1 Минлегпрома СССР и НИИЖБ Госстроя СССР для покрытий одноэтажных промышленных зданий текстильных комбинатов предложили применить гладкую железобетонную оболочку размером в плане 12 x 18 м. Разработанная конструкция, принятая в качестве начального приближения, показана на рисунке (размеры с буквой и). Оболочка очерчена по круговой поверхности переноса. Толщина поля в средней части, назначенная из условий устойчивости, равна 3,5 см. На расстоянии 2,4 м от каждой контурной диафрагмы начинается зона утолщения. Толщина поля у диафрагмы равна 6 см, утолщение происходит по линейному закону. Контурные диафрагмы выполняются в виде арок с железобетонным верхним поясом и металлической затяжкой. При назначении размеров сечений верхних поясов учитывались обычно рекомендуемые для арок соотношения (например,
[12]). Площадь затяжек определялась расчетом по методу предельного равновесия на основе балочной схемы излома. Бетон оболочки имеет марку М300. Оболочка работает на равномерно распределенную нагрузку интенсивностью 500 кгс/м
2. Целевой функцией служила общая стоимость конструкции, включавшая стоимость бетона, арматуры и металла затяжек контурных арок. Стоимость материалов, принятая в расчетах, приведена в
табл. 1.7.

| | ИС МЕГАНОРМ: примечание. В официальном тексте документа, видимо, допущена опечатка: не указан номер рисунка. Возможно, имеется в виду рисунок 1.1. | |
Конструкция оболочки текстильных комбинатов
и - исходный вариант; о - оптимальный вариант
Таблица 1.7
Стоимость 1 м3 материалов
Материалы | Стоимость, руб. |
Бетон марки М300 | 50 |
Арматура класса: | |
А-II | 1020 |
А-I | 980 |
B-I | 1100 |
Металл затяжек | 1020 |
1, 2. Внешними переменными параметрами назначим:
x1, x2 - соответственно ширину и высоту, см, верхнего пояса арки-диафрагмы пролетом 18 м;
x3, x4 - то же, для арки-диафрагмы пролетом 12 м;
x5, x6 - площади затяжек, см2, для арок-диафрагм соответственно пролетами 18 и 12 м;
x7 - ширину зоны утолщения поля оболочки вблизи контурных диафрагм.
Значения переменных параметров для начального приближения

приведены в строке 0 табл. 1.8.
Таблица 1.8
Оптимальное проектирование оболочки
(условия и результаты опытов)
Номер опыта | Матрица планирования | Значения внешних переменных параметров | Целевая функция y, руб. |
| | | | | | | | x1, см | x2, см | x3, см | x4, см | x5, см2 | x6, см2 | x7, м |
0 | 0 | 0 | 0 | 0 | 0 | 0 | 0 | 0 | 20 | 40 | 15 | 30 | 44,4 | 28,2 | 2,4 | 1059,71 |
| +1 | +1 | +1 | -1 | -1 | +1 | -1 | -1 | 22 | 44 | 13 | 27 | 48,4 | 25,2 | 2,1 | 1075,06 |
2 | +1 | -1 | -1 | -1 | -1 | +1 | +1 | +1 | 18 | 36 | 13 | 27 | 48,4 | 31,2 | 2,7 | 1030,85 |
3 | +1 | +1 | -1 | -1 | +1 | -1 | +1 | -1 | 22 | 36 | 13 | 33 | 40,4 | 31,2 | 2,1 | 1034,08 |
4 | +1 | -1 | +1 | -1 | +1 | -1 | -1 | +1 | 18 | 44 | 13 | 33 | 40,4 | 25,2 | 2,7 | 1043,31 |
5 | +1 | +1 | +1 | +1 | +1 | +1 | +1 | +1 | 22 | 44 | 17 | 33 | 48,4 | 31,2 | 2,7 | 1139,42 |
6 | +1 | -1 | -1 | +1 | +1 | +1 | -1 | -1 | 18 | 36 | 17 | 33 | 48,4 | 25,2 | 2,1 | 1034,43 |
7 | +1 | +1 | -1 | +1 | -1 | -1 | -1 | +1 | 22 | 36 | 17 | 27 | 40,4 | 25,2 | 2,7 | 1053,05 |
| +1 | -1 | +1 | +1 | -1 | -1 | +1 | -1 | 18 | 44 | 17 | 27 | 40,4 | 31,2 | 2,1 | 1039,82 |
| - | -1 | -1 | -0,5 | -0,33 | -0,75 | -0,23 | -0,67 | 18 | 36 | 14 | 29 | 41,4 | 27,5 | 2,2 | 1007,41 |
10 | - | -2 | -2 | -1 | -0,67 | -1,5 | -0,5 | -1 | 16 | 32 | 13 | 28 | 38,4 | 26,7 | 2,1 | 939,35 |
11 | - | -2,5 | -2,5 | -1,5 | -1 | -1,88 | -0,63 | -1,33 | 15 | 30 | 12 | 27 | 36,9 | 26,3 | 2 | 912,09 |
12 | - | -2,5 | -2,5 | -1,5 | -1 | -6,2 | -5,2 | -1,33 | 15 | 30 | 12 | 27 | 19,6 | 12,6 | 2 | 844,5 |
| - | -2,5 | -2,5 | -1,5 | -1,67 | -6,2 | -5,2 | -1,33 | 15 | 30 | 12 | 25 | 19,6 | 12,6 | 2 | 839,54 |
Внутренним параметром примем расход арматуры. Внутреннюю задачу оптимизации решаем подбором сечений арматуры по
[6] на усилия, определенные в результате расчета конструкций в упругой стадии. При этом соблюдаем следующие общие принципы: верхние пояса диафрагм армируем симметричной арматурой из стержней класса А-II; центральную часть поля оболочки толщиной 3,5 см - одиночной сеткой из арматурной проволоки класса B-I; зону утолщения вблизи диафрагм - двойной сеткой из арматурной проволоки класса B-I; углы оболочки - косой арматурой из стержней класса А-I.
На внешние параметры не накладываем
ограничений (1.8). Однако требуем, чтобы значения параметров позволяли осуществлять конструирование.
3. В качестве линейного плана используем насыщенную дробную реплику 2
7-3. Матрица планирования представлена в левой части табл. 1.8 (
опыты 1 -
8). В правой части таблицы представлены размерные значения внешних переменных параметров. Приняты следующие интервалы варьирования:
a1, ..., 7 = 2; 4; 2; 3; 4; 3; 0,3.
4. Проводим опыты в следующем порядке:
а) фиксируем значения внешних переменных параметров;
б) решаем внутреннюю задачу оптимизации, рассчитывая оболочку на ЭВМ "Минск-22" методом стержневой аппроксимации
[3]; учитываем реальную жесткость диафрагм и неравномерность толщины поля. В результате определяем внутренние усилия и перемещения. В отдельных элементах оболочки - верхних поясах диафрагм, центральной части поля, зоне утолщения - армирование постоянно, а усилия различны. Поэтому для каждого из указанных элементов определяем три комбинации усилий:
Nмакс.,
Mсоотв.;
Nмин.,
Mсоотв.;
Nсоотв., |
M|
макс.. Проверяем напряжения в затяжках. Во всех случаях они оказывались меньше расчетного сопротивления стали. Если бы это условие в некоторых опытах не выполнялось, на целевую функцию пришлось бы наложить штраф.
Основным предельным состоянием является прочность. Для сечений отдельных элементов при подборе арматуры по прочности учитываем неединственность нагружения. Проверяем также требования дополнительных предельных состояний, вычисляя максимальные величины прогибов и ширину раскрытия трещин. Во всех опытах эти величины оказываются меньше допустимых;
в) подсчитываем объем материалов - бетона, арматуры, металла затяжек;

(1.48)
6. Проводим движение по антиградиенту. Минимально возможными величинами изменения переменных параметров являются

;

. Найдем величины

, удовлетворяющие
условиям (1.45) -
(1.47). Простым перебором находим значение
g = 2;

. Коэффициент

. Затем определяем величины

:

; -1; -0,288; -0,272; -0,756; -0,198; -0,043.
Назначаем величины
Ku. При
xi = 0 (
i = 1, ..., 7)
уравнение (1.48) дает значение
y0 = 1056,25. Вычисленное непосредственно из опыта значение
y0 = 1056,71
(табл. 1.8). Эти две величины близки. Поэтому есть основания полагать, что
гиперплоскость (1.48) хорошо аппроксимирует поверхность отклика. Учитывая это, выбираем
KI = 4.
Значения

складываем со значениями

; полученные величины округляем до ближайших возможных по конструктивным соображениям. Таким образом получаем значения внешних параметров в
опытах 9 -
13 (см. нижнюю часть табл. 1.8). В
табл. 1.9 для опытов 0, 9 - 13 приведено сопоставление величин целевой функции, полученных непосредственно расчетом и из
уравнения (1.48). Во всех опытах получено хорошее совпадение указанных значений, что позволяло быстро двигаться по антиградиенту. Второй шаг (опыт 10) был сделан при
K2 = 8, а третий (опыт 11) - при
K3 = 10. На этом шаге выяснилось, что дальнейшее уменьшение внешних переменных параметров
x1,
x2,
x3,
x7 нецелесообразно по конструктивным соображениям. Они были зафиксированы.
Таблица 1.9
Сравнение значений целевой функции
Условия получения значений целевой функции и сравнение значений | Номер опыта |
0 | 9 | 10 | 11 | 12 | 13 |
Расчетом | 1059,71 | 1007,41 | 939,35 | 912,09 | 844,5 | 839,54 |
| 1056,25 | 993,28 | 933,49 | 898,19 | 817,84 | 813,76 |
Расхождение, % | 0,3 | 1,4 | 0,6 | 1,5 | 3,2 | 3,1 |
Из анализа
уравнения (1.48) было выяснено, что наибольшую экономию на следующем шаге дает уменьшение площади затяжек. Во всех предыдущих вариантах напряжения в них было меньше расчетного сопротивления стали. При изменении площади сечения усилия в затяжках менялись мало. С учетом конструктивных соображений было решено для следующего шага (опыт 12) принять затяжки арок-диафрагм пролетами 18 и 12 м из арматуры класса А-II диаметром соответственно 50 и 40 мм. Значения всех остальных внешних параметров были такими же, как в опыте 11. И, наконец, в опыте 13 менялось только значение параметра
x4; была сделана попытка величину этого параметра также задать минимально возможной по конструктивным соображениям, равной 25 см. Эта попытка оказалась успешной - значение целевой функции уменьшилось.
Дальнейшее изменение внешних переменных параметров невозможно по конструктивным соображениям. Процесс движения по антиградиенту окончен.
Оптимальная конструкция приведена на
рис. 1.1 (размеры с буквой о). По сравнению с начальным приближением в конструкции произошли следующие изменения:
а) уменьшились размеры верхних поясов диафрагм, площади сечений затяжек, ширина зоны утолщения;
б) увеличилась площадь сечения рабочей арматуры в верхнем поясе арки-диафрагмы пролетом 12 м, а в арке-диафрагме пролетом 18 м она осталась прежней;
в) изменились диаметры и шаг хомутов в верхних поясах арок-диафрагм.
Технико-экономические показатели оптимального и исходного вариантов приведены в табл. 1.10. По стоимости, расходу бетона и стали оптимальный вариант дает значительную экономию по сравнению с исходным.
Таблица 1.10
Технико-экономические показатели оболочки
Вариант | Стоимость, руб. | Расход |
бетона, м3 | стали, кг |
общий | на 1 м2 | общий | на 1 м2 |
Исходный | 1059,71 | 13,28 | 0,061 | 3030 | 14 |
Оптимальный | 839,54 | 11,43 | 0,053 | 2044 | 9,5 |
Экономия, % | 20,8 | 13,9 | 32,5 |
1.
Акоф Р., Сасиени М. Основы исследования операций. М., Мир, 1971.
2.
Виноградов А.И. Проблема оптимального проектирования в строительной механике. Харьков, Вища школа, 1973.
3.
КиевЗНИИЭП. Инструкция по использованию программы расчета пространственных стержневых систем. Киев, 1967.
4.
Краковский М.Б. Об оптимальном проектировании конструкций на основе метода крутого восхождения. - Строит. механика и расчет сооружений, 1973, N 1.
5.
Налимов В.В., Чернова Н.А. Статистические методы планирования экстремальных экспериментов. М., Наука, 1965.
6.
НИИЖБ. Инструкция по проектированию железобетонных конструкций/НИИЖБ, ЦНИИПромзданий. М., Стройиздат, 1968.
7.
Рейтман М.И., Ярин Л.И. Оптимизация параметров железобетонных конструкций на ЭЦВМ. М., Стройиздат, 1974.
8.
Сергеев Н.Д., Богатырев А.Н. Проблемы оптимального проектирования конструкций. Л., Стройиздат, 1971.
9.
СНиП II-21-75. Строительные нормы и правила. Нормы проектирования. Бетонные и железобетонные конструкции. М., Стройиздат, 1976.
10.
Чирас А.А., Боркаускас А.Э., Каркаускас Р.П. Теория и методы оптимизации упругопластических систем. Л., Стройиздат, 1974.
11.
Шилов Г.В. Конечномерные линейные пространства. М., Наука, 1969.
12.
Якубовский В.В. Железобетонные и бетонные конструкции. М., Высшая школа, 1970.
РАСЧЕТ ПРОСТРАНСТВЕННЫХ КОНСТРУКЦИЙ В УПРУГОЙ СТАДИИ
МЕТОДОМ КОНЕЧНЫХ ЭЛЕМЕНТОВ ПО ПРОГРАММЕ "СУПЕР"
ХАРАКТЕРИСТИКА ВЫЧИСЛИТЕЛЬНОГО КОМПЛЕКСА "СУПЕР"
Универсальный вычислительный комплекс "Супер" может быть использован для расчета прочности оболочек всех видов. Исходной информацией для расчета являются: геометрические размеры оболочки; граничные условия; места приложения и величины нагрузок; характеристики материалов. Математическая модель оболочки представляется в виде набора конечных элементов. Координаты узлов элементов могут задаваться в декартовой и цилиндрической системах отсчета. Нагрузка может быть узловой или местной (по области конечного элемента) и может быть ориентирована относительно местной или общей систем координат. При наличии регулярности объем исходной информации может быть значительно сокращен.
Исходная информация после ввода в удобном для чтения виде выводится на широкополосную печать (АЦПУ). Перед началом счета выдается также информация о прогнозируемом времени решения задачи и о наличии формальных ошибок в исходных данных. При наличии формальных ошибок задача на счет не выходит.
Результаты счета - перемещения, усилия, напряжения - выдаются на АЦПУ и снабжаются обычной индексацией. Для перемещений указывается номер узла, вид перемещения, номер нагружения. Для усилий указываются номер и наименование элемента, вид усилия и номер нагружения.
Время счета задачи средней сложности (200 - 300 неизвестных, 300 - 400 элементов, 5 - 6 нагружений) составляет 20 - 25 мин.
РЕКОМЕНДАЦИИ ПО ПРИМЕНЕНИЮ РАЗЛИЧНЫХ КОНЕЧНЫХ ЭЛЕМЕНТОВ
Для расчета пространственных конструкций используются четыре вида конечных элементов: стержень общего вида, стержень с учетом жесткости сдвига, прямоугольный и треугольный плоские элементы. Это позволяет учитывать все практически важные случаи, выполняя расчет оболочек гладких и ребристых, с диафрагмами любого вида, с отверстиями и без них, с фонарной надстройкой и т.д.
Для расчета гладких цилиндрических оболочек и складок рекомендуется применять прямоугольный конечный элемент. Треугольный конечный элемент в этих конструкциях может быть использован в зонах отверстий, в местах предполагаемой концентрации напряжений и т.п. Для ребристых цилиндрических оболочек и складок дополнительно используется конечный элемент в виде стержня, моделирующий работу ребер. Этот же элемент используется для моделирования контурных диафрагм, ферм фонаря и т.д. Для моделирования более сложных криволинейных поверхностей следует пользоваться треугольными конечными элементами. Они позволяют с достаточной точностью аппроксимировать любую поверхность ломаной.
При составлении расчетной схемы важным вопросом является назначение количества расчетных узлов, т.е. густоты расчетной сетки. Здесь необходимо найти приемлемый компромисс между скоростью решения задачи и точностью расчета. Скорость решения задачи оценивают временем счета. Для больших задач время счета практически пропорционально
nh2 (где
n - количество неизвестных,
h - ширина ленты системы уравнений). При оценке точности решения следует иметь в виду, что порядок сходимости по перемещениям соответствует

, а по напряжениям -

(где

- шаг расчетной сетки). Из этого следует, что при сгущении сетки в два раза погрешность по перемещениям уменьшается в четыре, а по напряжениям - в два раза.
Вычислительный комплекс "Супер" передан в алгоритмический фонд алгоритмов и программ НИИАСС Госстроя УССР (Киев, ул. Клименко, 5/2).
РАСЧЕТ ДЛИННЫХ ЦИЛИНДРИЧЕСКИХ ОБОЛОЧЕК И ПРИЗМАТИЧЕСКИХ
СКЛАДОК С УЧЕТОМ ДЕФОРМАЦИЙ КОНТУРА ПО МЕТОДУ В.З. ВЛАСОВА
Тонкая цилиндрическая оболочка для расчета заменяется вписанной в нее призматической складчатой системой, состоящей из конечного количества прямоугольных граней (рис. 3.1).
Рис. 3.1. К расчету цилиндрических оболочек и складок
а - геометрия; б - нагрузки
При наличии в верхней части оболочки продольного фонарного проема с распорками достаточно каждую половину между бортовыми элементами (крайним и фонарным) разделить на 3 грани.
В общем случае можно принимать такое количество граней, чтобы отношение ширины грани к длине (пролету l1) было такое же, как для обычной балки прямоугольного сечения.
Для расчета приняты следующие обозначения
(рис. 3.1):
k - порядковый номер ребра и примыкающей к этому ребру слева грани складки;

- угол, образуемый направлениями граней
k и
k+1, пересекающихся у ребра
k; этот угол считается положительным, если при переходе от
k-й грани к (
k+1)-й поворот грани совершается по часовой стрелке, в противном случае он считается отрицательным;
dk и

- ширина и толщина
k-й грани;
Fk - площадь поперечного сечения
k-й грани (для гладкой оболочки или складки

);

- сосредоточенная площадь поперечного сечения продольного элемента при наличии такового вдоль
k-го ребра складки; если продольный элемент расположен не непосредственно по ребру, а в пределах грани
k (например, арматура), то его распределяют в виде сосредоточенных площадей по ребрам
k-1 и
k по правилу рычага - обратно пропорционально расстоянию до этих ребер;

- момент инерции продольного сечения
k-й грани на единицу длины (для гладкой оболочки или складки);

- угол наклона
k-й грани к горизонтальной оси
y, этот угол считается положительным, если для совмещения этой грани с осью
y ее следует повернуть на угол

по часовой стрелке, в противном случае этот угол считается отрицательным.
Полное количество ребер обозначено через
n+1, а количество граней через
n. Промежуточные ребра обозначены 1, 2, ...,
k, ...,
n-1, продольные края обозначены индексами 0 и
n. Обозначения координатных осей показаны на
рис. 3.1,
а.
В соответствии с указанными гипотезами каждая грань складки рассматривается как прямоугольная балка, в сечениях которой возникают нормальные напряжения

и касательные усилия
S; предполагается, что по толщине грани они остаются постоянными. Это эквивалентно тому, что продольные изгибающие и крутящие моменты по малости величин принимаются равными нулю.
При изгибе в своей плоскости каждая грань подчиняется гипотезе плоских сечений в соответствии с принятой гипотезой об отсутствии деформаций сдвига и поперечного удлинения отдельных граней. Эпюра продольных нормальных напряжений

в любом поперечном сечении отдельной грани имеет вид трапеции (
рис. 3.2,
а), а эпюра сдвигающих сил
S - вид квадратной параболы (
рис. 3.2,
б). В том случае, когда нагрузка приложена только по ребрам складки, эпюра поперечных моментов по ширине отдельной грани имеет вид трапеции (
рис. 3.3,
а); поперечные силы
Q, определяемые как производные от моментов, по ширине грани остаются постоянными (
рис. 3.3,
б). В общем случае нагрузки для систем, являющихся в действительности складками, на эти эпюры по ширине граней накладываются дополнительные эпюры моментов и поперечных сил, которые изменяются, как в однопролетных балках с пролетами, равными ширине граней. Нормальные силы
N определяются из равновесия узлов полоски складки шириной
dx = 1
(рис. 3.4). Таким образом характер изменения всех усилий по ширине отдельных граней известен заранее, а неизвестными являются их значения по ребрам складки.

Рис. 3.2. Эпюры нормальных напряжений
и сдвигающих усилий по ширине складки
а - нормальные напряжения; б - сдвигающие усилия
Рис. 3.3. Эпюры моментов и поперечных сил
а - моменты по сечению складки;
б - поперечные силы по сечению грани
Рис. 3.4. К определению нормальных усилий N
по продольным сечениям складки
ВОСЬМИЧЛЕННЫЕ УРАВНЕНИЯ СМЕШАННОГО МЕТОДА
При расчете оболочек и складок со свободно висящими продольными краями за основную статически определимую систему принимается складка, имеющая внешние продольные связи, расположенные непрерывно вдоль всех промежуточных ребер и наружных продольных краев, а также цилиндрические шарниры, допускающие взаимное вращение смежных граней в n - 3 промежуточных ребрах (рис. 3.5).
Рис. 3.5. Основная система
1 - цилиндрические шарниры; 2 - продольные связи;
3 - поперечная полоска
На ребрах 1 и n-1 грани в основной системе имеют жесткое соединение, так как моменты M1(x) и Mn-1(x) по этим ребрам при неучете продольных и крутящих моментов определяются, как в консольной балке, из равновесия поперечной полоски единичной ширины, выделенной в произвольном месте крайних граней. При расчете оболочек и складок, у которых продольные края закреплены от горизонтальных или вертикальных перемещений, цилиндрические шарниры вводятся на всех промежуточных ребрах.
Внешняя поперечная распределенная нагрузка
q разлагается на вертикальную
qВ и горизонтальную
qГ, которые заменяются эквивалентными нагрузками, приложенными по ребрам складки в виде вертикальных сил

, кг/м, и горизонтальных сил

, кг/м (
рис. 3.1,
б). Если по ширине граней нагрузка распределена равномерно, то эквивалентная нагрузка определяется выражениями:

(3.1)
Эти нагрузки разлагаются по плоскостям граней, образуя эквивалентную поверхностную нагрузку, которая для k-й грани обозначается через qk и подсчитывается по формуле

(3.2)
При этом направление действия сил

и

и поверхностной нагрузки
qk, показанное на
рис. 3.1, принято за положительное (положительная поверхностная нагрузка направлена в сторону возрастания порядкового номера ребра).
В качестве лишних неизвестных функций принимаются:
а) по направлению введенных продольных связей - относительные удлинения ребер складки

, выраженные через напряжения

;
б) поперечные моменты Mk(x) по всем ребрам, где введены цилиндрические шарниры.
Так как в заданной складке по ребрам продольных связей нет и взаимное соединение граней жесткое, то из условия равновесия и неразрывности деформаций по каждому из ребер при преобразовании основной системы в фактическую получается система дифференциальных уравнений смешанного метода

(3.3)
Эта система уравнений состоит из двух групп. Первая группа числом n+1 представляет собой уравнения равновесия, вторая группа числом n-3 - уравнения неразрывности деформаций.
Первая группа уравнений в каждой промежуточной (типовой) строке содержит три члена относительно функций

и пять членов относительно функций
Mi(
x), во второй группе имеет место обратная картина, но всего имеется также восемь членов, поэтому эти уравнения носят название "восьмичленных".
Общие формулы для вычисления коэффициентов уравнения приведены в табл. 3.1.
Таблица 3.1
Формулы для вычисления коэффициентов
восьмичленных уравнений
Коэффициенты 1-го квадранта | Коэффициенты 2-го квадранта |
- | |
| |
| |
| |
- | |
ak-2, k = -bk, k-2 | - |
ak-1, k = -bk, k-1 | |
ak, k = -bk, k | |
ak+1, k = -bk, k+1 | |
ak+2, k = -bk, k+2 | - |
Свободные члены определяются по формулам:

(3.4)

и

- площади эпюры моментов, построенные по ширине граней
k и
k+1 как в однопролетных балках от поперечных нормальных нагрузок

и

;
Ck и Ck+1 - расстояния от центров тяжестей площадей эпюр моментов соответственно до ребер k-1 и k+1.
Формулы (3.4) составлены для случая, когда схема этих нагрузок по длине оболочки сохраняется подобной, а по ширине граней - произвольная.
Если нормальные нагрузки

и

в пределах ширины каждой грани сохраняют постоянное значение, то

(3.5)
Свободные члены

учитывают местный изгиб граней от поперечной нагрузки
q. Эти члены следует вводить в расчет лишь для конструкций, которые действительно являются складками, для цилиндрических оболочек эти свободные члены приравнивают нулю.
Из равновесия поперечной полоски dx = 1 вытекают следующие проверки коэффициентов и свободных членов уравнений:

(3.6)
РЕШЕНИЕ ВОСЬМИЧЛЕННЫХ УРАВНЕНИЙ СМЕШАННОГО МЕТОДА
Решение дифференциальных
уравнений (3.3) при произвольных граничных условиях на криволинейных краях оболочки можно получить с любой степенью точности, разложив усилия и перемещения, а также свободные члены для
k-го ребра в ряды по фундаментальным функциям свободных колебаний балки:

(3.7)
(
m = 1, 2, 3, ...,

);

,

,

,

- коэффициенты разложений для
k-го ребра;

(3.8)

(3.9)
Функция Zm удовлетворяет дифференциальному уравнению

(3.10)
где
Выражения и значения для функции
Zm и параметров

для различных схем опирания оболочек по криволинейным краям приведены в
табл. 3.8 -
3.12.
Функции
Zm(
x) и
Zn(
x) при

взаимно ортогональны, поэтому для каждого члена ряда получается своя, независимая система алгебраических уравнений:

(3.11)
Коэффициенты уравнений (3.11) имеют симметричную структуру
rki =
rik;
bki = -
aik;

. (3.12)
Решение такой системы можно выполнить на ЭВМ или вручную алгоритмом Гаусса по схеме П.Л. Пастернака или другими способами.
Если нагрузка приложена только на ребрах и по длине этих ребер постоянна (
q = const) или меняется по закону прямой (
q =
q0x), то
формулы (3.9) принимают вид
Rkm =
RkAm;

. (3.13)
Значения
Rk и

определяются
формулами (3.4) и
(3.5) и будут постоянны в случае постоянной нагрузки или равны максимальным их значениям при линейном изменении нагрузки. Для указанных двух случаев нагрузки коэффициенты
Am для первых четырех членов разложения приведены в табл. 3.2.
Таблица 3.2
Коэффициенты Am для первых четырех членов разложения
Род нагрузки | Вид краев | Члены ряда |
x = 0 | x = l | A1 | A2 | A3 | A4 |
Постоянная q = 1 | Опертый | Опертый | 1,2732 | 0 | 0,4244 | 0 |
Заделан | Заделан | 0,8164 | 0 | 0,3639 | 0 |
Опертый | То же | 1,2168 | -0,1169 | 0,4720 | -0,06198 |
Заделан | Свободен | 0,5748 | 0,4419 | 0,2542 | 0,1819 |
Возрастание по закону треугольника  | Опертый | Опертый | 0,6366 | -0,3183 | 0,2122 | -0,1591 |
Заделан | Заделан | 0,4082 | -0,1902 | 0,1818 | -0,1215 |
Опертый | То же | 0,5377 | -0,3436 | 0,2499 | -0,1958 |
Заделан | Свободен | 0,4176 | 0,09245 | 0,03239 | 0,01654 |
Если нагрузка меняется по уравнению

, то коэффициенты
Am определяются как разности коэффициентов для приведенных в
табл. 3.2 двух схем нагрузок.
ВЫЧИСЛЕНИЕ УСИЛИЙ И ПРОГИБОВ
Сдвигающие силы в какой-либо точке k-го ребра для каждого члена ряда подсчитываются по формуле (индекс m опущен)

(3.14)
где Sk-1(x) - сдвигающая сила по ребру k-1.
Для оболочек, продольные края которых свободно висят или опираются на колонны, жесткостью которых на изгиб в направлении оси
x можно пренебречь, сдвигающие усилия по ребрам крайних граней равны нулю:
S0(
x) = 0, поэтому подсчет касательных усилий по
формуле (3.14) можно начинать с крайних ребер и последовательно переходить от одного ребра к другому.
Для оболочек, поперечное сечение которых имеет ось симметрии, при расчете на симметричную нагрузку сдвигающие усилия по оси симметрии равны нулю. Это может также служить контролем подсчета сдвигающих усилий.
Суммарные сдвигающие усилия
Tk(
x) по
k-й грани, равные площади эпюры
S по ширине этой грани (см.
рис. 3.2), для каждого члена ряда вычисляются по формуле

(3.15)
Прогибы k-й грани Vk в своей плоскости для каждого члена ряда определяются по формуле

(3.16)
Прогиб грани Vk(x) считается положительным, если он направлен в сторону увеличения порядкового номера граней.
По значениям прогибов граней
Vk и
Vk+1 можно графоаналитически определить перемещения точек ребра
k по любому направлению (рис. 3.6), в том числе можно определить вектор полного перемещения

и перемещения по вертикали

и по горизонтали

. На рис. 3.6,
а показано такое построение, когда прогиб
Vk отрицателен, а прогиб
Vk+1 положителен; на рис. 3.6,
б - прогибы обеих граней положительны. Из рассмотрения этих рисунков можно получить аналитические формулы для подсчета вертикальных и горизонтальных перемещений ребер складки.
Рис. 3.6. К определению перемещений в складках
а - прогибы смежных граней, направленные в разные стороны;
б - то же, в одну сторону
Поперечные силы
Qk от поперечных моментов
Mk на участке
k-й грани вычисляются по формуле (
рис. 3.3,
б)

(3.17)
К этим значениям Qk для призматических складок добавляются значения поперечных сил от местной нагрузки.
Нормальные усилия
Nk, k-1 и
Nk, k+1 поперечного направления
(рис. 3.4) у ребер складки определяются из равновесия узлов поперечной полоски шириной
dx = 1, как в простой раме. Для случая равномерно распределенной по длине пролета нагрузки они вычисляются по формулам:

(3.18)
Нагрузки

и

не умножены на коэффициенты ряда
Am, чем приближенно учитывается влияние последующих членов ряда.
При построении эпюр напряжений и усилий, вычисленных по
формулам (3.7),
(3.14) -
(3.18), следует руководствоваться следующим правилом знаков. Положительное значение для напряжений соответствует растяжению, отрицательное - сжатию. Положительное значение для моментов соответствует растяжению волокна на нижней поверхности оболочки (
рис. 3.3,
а), отрицательное - на верхней поверхности. Положительное значение для сдвигающих усилий
Sk и суммарных сдвигающих сил
Tk отвечает направлению этих усилий в соответствии с
рис. 3.2, отрицательное значение соответствует обратному направлению этих усилий, при этом переход от ребра
k-1 к ребру
k совершается по часовой стрелке. Положительное значение усилий
Qk и
Nk, k-1;
Nk, k+1 отвечает направлению этих усилий в соответствии с
рис. 3.3,
б и
3.4.
РАСЧЕТ ОДНОПРОЛЕТНЫХ И НЕРАЗРЕЗНЫХ ОБОЛОЧЕК И СКЛАДОК
НА РАВНОМЕРНО РАСПРЕДЕЛЕННУЮ И СОСРЕДОТОЧЕННЫЕ
ПО ДЛИНЕ ОБОЛОЧКИ ПОПЕРЕЧНЫЕ НАГРУЗКИ
а) Расчет на нагрузку, равномерно распределенную по длине
В разложениях
формул (3.7) можно ограничиться одним первым членом ряда. При этом характер изменения напряжений

по длине оболочки, определяемый второй из
формул (3.7) (при
m = 1), практически будет совпадать с характером изменения эпюры моментов, а характер изменения моментов
Mk(
x), определяемый первой из
формул (3.7), будет совпадать с характером изменения эпюры прогибов в балке того же пролета с той же схемой опор и нагрузкой, что и у оболочки.
Благодаря этому расчет неразрезных оболочек на равномерно распределенную нагрузку приближенно можно производить только для крайнего пролета (рис. 3.7, а), рассматриваемого по однопролетной шарнирно опертой схеме. За расчетную длину пролета l0 следует принимать расстояние между нулевыми точками в соответствующем крайнем пролете неразрезной балки, имеющей ту же схему опор, пролетов и нагрузки, что и оболочка (рис. 3.7, б).
Рис. 3.7. К расчету неразрезных цилиндрических оболочек
а - схема нагрузки; б - эпюра моментов;
в - эпюра поперечных сил
После вычисления напряжений, моментов и прогибов в расчетном пролете оболочки характер изменения напряжений

по длине оболочки (соотношение ординат) можно принять по эпюре изгибающих моментов, а моментов
Mk(
x) и прогибов
Vk(
x) - по эпюре прогибов в соответствующей неразрезной балке.
Сдвигающие усилия
Sk(
x) и суммарные сдвигающие усилия
Tk(
x) в произвольном сечении оболочки можно подсчитать по
формулам (3.14) и
(3.15), но функцию

в этих формулах следует заменить выражением
где
M0(0,5
l0) - значение ординаты эпюры моментов в балке той же схемы, что и у оболочки в середине расчетного пролета
l0 (
рис. 3.7,
б) от равномерно распределенной нагрузки
q = 1;
Q0(
x) - значение ординаты эпюры поперечных сил в произвольном сечении балки от нагрузки
q = 1 (
рис. 3.7,
в).
Нормальные усилия
N поперечного направления вычисляются по
формуле (3.18).
По этой методике можно рассчитывать также однопролетные нешарнирно опертые по торцам оболочки на равномерно распределенную нагрузку.
б) Расчет на сосредоточенные силы <1>
--------------------------------
<1> Эта методика расчета по методу перемещений разработана И.Е. Милейковским (см. монографию Н.Л. Кузьмин, П.А. Лукаш, И.Е. Милейковский "Расчет конструкций из тонкостенных стержней и оболочек", глава III, Госстройиздат, М., 1960).
Силы приложены в сечениях
x =
xc (
c = 1, 2, ...);
формулы (3.9) преобразуются и имеют вид:

(3.19)
При этом
Производные берутся по сложному аргументу

.
Zm(xc) - значение фундаментальной функции в месте приложения сосредоточенной нагрузки.
Коэффициенты Bm для различных схем граничных условий приведены в табл. 3.3.
Таблица 3.3
Коэффициенты Bm для различных граничных условий
N п.п. | Схема граничных условий на торцах | B1 | B2 | B3 | B4 |
1 | | 0,500l1 | 0,500l1 | 0,500l1 | 0,500l1 |
| | 1,0359l1 | 0,9984l1 | l1 | l1 |
| | 0,4996l1 | 1,4999l1 | 0,4999l1 | 0,5002l1 |
4 | | 1,8556l1 | 0,9640l1 | 1,0016l1 | 0,9999l1 |
При расчете оболочек, нагруженных сосредоточенными по длине пролетов нагрузками, напряжения следует определять с точностью четырех-пяти первых членов в
рядах (3.7) и
(3.8). Если оболочка и нагрузка по длине имеют ось симметрии, то расчет следует производить с точностью трех членов ряда. В то же время из анализа имеющихся в литературе результатов расчета и структуры расчетных уравнений следует, что для определения поперечных моментов
Mk в
рядах (3.7) и
(3.8) достаточно ограничиться одним-двумя членами ряда. Поэтому приближенно при расчете на сосредоточенную нагрузку полную систему
уравнений (3.11) можно решать для минимального числа членов ряда, руководствуясь в зависимости от схемы оболочки данными, приведенными в табл. 3.4.
Таблица 3.4
Значения m, при которых расчет на сосредоточенные нагрузки
производится с учетом поперечных моментов
N п.п. | Схема оболочки | Схема нагрузки по длине пролета l1 | Оболочки и складки |
без ребер или только с продольными ребрами | с поперечными ребрами или гладкие толстостенные из легкого бетона |
| | Симметричная Обратно симметричная | m = 1 m = 2 | m = 1, 3 m = 2, 4 |
2 | | Симметричная Обратно симметричная | m = 1 m = 2 | m = 1, 3 m = 2, 4 |
3 | | Произвольная | m = 1, 2 | m = 1, 2, 3 |
4 | | Произвольная | m = 1, 2 | m = 1, 2, 3 |
Для определения напряжений

и сдвигающих усилий
Skm соответствующих последующим членам ряда, можно решать неполную систему уравнений, соответствующую безмоментной складке. Эти уравнения имеют в окончательной форме следующий вид:

(3.20)
где
M0(
x) - момент в произвольном сечении оболочки (
рис. 3.8,
б), как в балке с той же схемой опор от заданной сосредоточенной нагрузки при единичном значении ее интенсивности (
рис. 3.8,
а);
Mm(
x) - момент в том же сечении, как и в балке (рис. 3.8,
б) от нагрузки в виде тех членов ряда фундаментальных функций
Zm (рис. 3.8,
а), по которым раскладывалась сосредоточенная нагрузка при решении полной системы уравнений, например, для однопролетной свободно опертой оболочки и симметричной нагрузки от
Z1 (табл. 3.4, схема 1). Выражения
Mm(
x) определяются формулой

(3.21)
Рис. 3.8. К расчету на сосредоточенную поперечную нагрузку
а - схема нагрузки; б - эпюра моментов
В частности, для однопролетной свободно опертой по торцам оболочки

(3.22)
Свободные члены представлены в двучленной форме и подсчитываются от разности заданной сосредоточенной поперечной нагрузки и нагрузки в виде тех членов ряда фундаментальных функций Zm, по которым раскладывалась сосредоточенная поперечная нагрузка при решении полной системы уравнений с учетом поперечных моментов;

- напряжения по ребрам складки.
Итак, расчет на сосредоточенную нагрузку приближенно можно выполнять по схеме:
Из первой части решения определяются прогибы и поперечные моменты, из суммы обеих частей решения определяются продольные напряжения и сдвигающие усилия. Поперечные и нормальные силы
Qk,
Nk, k-1 и
Nk, k+1 вычисляются по
формулам (3.17) и
(3.18).
При расчете неразрезных длинных оболочек и складок на сосредоточенные силы крайние пролеты можно рассматривать по однопролетной схеме, у которой один край свободно оперт, а второй жестко заделан (см.
табл. 3.3, схема 3), а средние пролеты - по однопролетной схеме с заделанными краями (см.
табл. 3.3, схема 2).
РАСЧЕТ ОДНОПРОЛЕТНЫХ СВОБОДНО ОПЕРТЫХ
ПО ТОРЦАМ ОБОЛОЧЕК НА ПРОДОЛЬНЫЕ НАГРУЗКИ
И НА ПРЕДВАРИТЕЛЬНОЕ НАПРЯЖЕНИЕ <1>
--------------------------------
<1> Эта методика расчета разработана И.Е. Милейковским (см. монографию Н.Л. Кузьмин, П.А. Лукаш, И.Е. Милейковский "Расчет конструкций из тонкостенных стержней и оболочек", глава III, Госстройиздат, М., 1960).
а) Действие продольной нагрузки
Если вдоль
k-го ребра оболочки или складки действует продольная нагрузка
pk(
x), то свободные члены
pk(
x) в
уравнениях (3.3), выражающие реакции в продольных связях основной системы
(рис. 3.5), будут равны приращению от продольной нагрузки

(3.23)
Нагрузка pk считается положительной, если она направлена в сторону возрастания оси x.

(3.24)
при этом

(3.25)

(3.26)
Если вдоль k-го ребра оболочки-складки в сечении x действует сосредоточенная продольная нагрузка Hk(xc), то она раскладывается в ряд

(3.27)
где

- значение фундаментальной функции в месте приложения сосредоточенной нагрузки
Hk;

(3.28)

(3.29)
б) Действие предварительно-напряженной
прямолинейной арматуры
Пусть вдоль k-го ребра оболочки-складки располагается предварительно-напряженная прямолинейная арматура, натянутая силами Nk. При натяжении арматуры на конструкцию реактивные силы Nk = Hk передаются на торцы оболочки в виде сосредоточенных сил сжатия.
Схема расчета оболочки на действие этих сосредоточенных сил приближенно может быть принята аналогичной расчету на действие сосредоточенных поперечных сил:
во-вторых, решается неполная система уравнений

(3.30)
где
N0 = -1 - обозначает нормальную силу в сечении
x (см.
рис. 3.9,
б) как в стержне при сжатии его по концам силами единичной интенсивности (
рис. 3.9,
а). Сила
Hk(0) на левом конце оболочки направлена в сторону возрастания оси
x и принимается положительной;
Nm - нормальная сила в сечении (рис. 3.9,
б) как в стержне от продольной нагрузки в виде тех членов ряда фундаментальных функций
Zm (рис. 3.9,
а), по которым раскладывается нагрузка
Hk при решении полной системы
уравнений (3.11).
Рис. 3.9. К расчету на продольные сосредоточенные силы
(предварительное напряжение)
а - схема нагрузки; б - эпюра нормальных сил;
в - схема усилий на грань складки при криволинейной
напрягаемой арматуре
Для однопролетной свободно опертой оболочки (см.
табл. 3.4, схема 1)
m принимает значение 1 для гладкой оболочки и 1,3 - для ребристой.

(3.31)
Коэффициенты
Rkm вычисляются с учетом приложения к оболочке сосредоточенных сил с двух концов по
формуле (3.28), которая в данном случае принимает следующий вид:

(3.32)
Из первой части решения определяются прогибы и поперечные моменты, из суммы обеих частей решения определяются продольные напряжения; сдвигающие усилия в данном расчете могут не учитываться. Если предварительно-напряженная арматура располагается между ребрами расчетной складчатой системы, то при вычислении свободных членов
уравнений (3.11) и
(3.30) сосредоточенные силы от натяжения арматуры распределяются на соседние ребра по правилу рычага.
в) Действие предварительно-напряженной
криволинейной арматуры
Пусть в плоскости
k-й грани оболочки-складки предварительно-напряженная арматура располагается в криволинейном канале, очерченном по параболе или окружности со стрелой подъема

(
dk - ширина грани) от сил натяжения арматуры

(
рис. 3.9,
в) на торцы оболочки передаются реактивные силы

и


(3.33)
Сила

передается непосредственно на диафрагму. Расчет оболочки на продольные сосредоточенные силы

ничем не отличается от вышеизложенного в
подпункте "а". Кроме этих усилий в каждой точке криволинейного канала при натяжении арматуры на оболочку будут передаваться усилия

.
Так как криволинейная арматура весьма пологая

, то можно приближенно принять, что усилия

в плоскости
k-й грани оболочки действуют в направлении производящей поверхности оболочки и постоянны вдоль образующей оболочки. Так как грань оболочки по ширине рассматривается несжимаемой, то усилия

для расчета могут быть приложены в виде прямоугольной эпюры вдоль любого из продольных волокон грани, в частности их можно приложить вдоль (
k-1)-го ребра (
рис. 3.9,
в). Величина усилий

приближенно определяется по формуле

(3.34)
Таким образом, при натяжении криволинейной арматуры в плоскости
k-й грани оболочку следует также рассчитать на поперечную поверхностную равномерно распределенную нагрузку

.
ПРОВЕРКА РАСЧЕТА ОБОЛОЧЕК И СКЛАДОК
СО СВОБОДНО ВИСЯЩИМИ ПРОДОЛЬНЫМИ КРАЯМИ
После выполнения расчета следует произвести статические проверки.
а) Для оболочек и складок произвольного поперечного сечения при расчете на поперечную нагрузку площадь растянутой части эпюры продольных усилий Nраст должна равняться площади Nсж сжатой части этой эпюры
При расчете на продольные силы H от предварительного напряжения
Nраст - Nсж = H. (3.36)
В формуле (3.36) учитывается окончательная эпюра продольных усилий
N, полученная из суммы двух вышеуказанных частей решения, соответствующих
уравнениям (3.11) и
(3.30).
Проекция суммарных сил Tk в двух опорных сечениях оболочки на вертикальную ось должна быть равна полной вертикальной нагрузке PВ, а проекция сил Tk на горизонтальную ось равна полной горизонтальной нагрузке PГ:

(3.37)

(3.38)
б) Для оболочек и складок симметричного сечения при расчете на вертикальную симметричную нагрузку должны выполняться проверки по
формулам (3.35) и
(3.37). При расчете на горизонтальную симметричную нагрузку и вертикальную обратно симметричную нагрузку в
формулах (3.37) и
(3.38) в правых частях равенства должны стоять нули. При расчете на горизонтальную обратно симметричную нагрузку должна выполняться проверка по
формуле (3.38).
РАСЧЕТ КРАЕВОГО ЭФФЕКТА В МЕСТЕ
СОПРЯЖЕНИЯ ОБОЛОЧЕК С ДИАФРАГМАМИ
Изгибающий момент M1 в месте сопряжения однопролетной цилиндрической круговой оболочки с диафрагмой приближенно можно определить, как для цилиндрической оболочки вращения при жесткой заделке от внутреннего давления

(3.39)
где

- длина участка эпюры моментов
M1 от диафрагмы до нулевой точки. Таким образом, продольный момент у вершины диафрагмы на единицу ширины может быть подсчитан, как в консольной балке длиной
x1.
ВОСЬМИЧЛЕННЫЕ АЛГЕБРАИЧЕСКИЕ УРАВНЕНИЯ
ДЛЯ НЕКОТОРЫХ ТИПОВ СКЛАДОК И ОБОЛОЧЕК
В
табл. 3.5 приведена для каждого члена ряда в матричной форме система
уравнений (3.11) для расчета одноволновой симметричной девятигранной оболочки на симметричную и обратно симметричную нагрузки. Схема поперечного сечения оболочки показана на
рис. 3.10. Индекс
m номера члена ряда при

и

в этой таблице и последующих опущен.
Таблица 3.5
Система алгебраических уравнений для расчета
симметричной девятигранной оболочки
Номер ребра k | | | | | | | | | Свободные члены |
0 | | | 0 | 0 | 0 | b02 | 0 | 0 | R0m |
1 | | | | 0 | 0 | b12 | b13 | 0 | R1m |
2 | 0 | | | | 0 | b22 | b23 | b24 | R2m |
3 | 0 | 0 | | | | b32 | b33 | b34 | R3m |
4 | 0 | 0 | 0 | | | b42 | b43 | b44 | R4m |
2 | a20 | a21 | a22 | a23 | a24 | | | 0 | |
3 | 0 | a31 | a32 | a33 | a34 | | | | |
4 | 0 | 0 | a42 | a43 | a44 | 0 | | | |
Рис. 3.10. Расчетный контур
симметричной девятигранной складки
Для получения какого-либо уравнения нужно коэффициенты одной строки умножить на неизвестные, выписанные над ними в верхней строке матрицы, прибавить свободный член этой строки и результат приравнять к нулю.
Коэффициенты уравнений, приведенных в
табл. 3.5 <*>, имеют следующие выражения:
коэффициенты 1-го квадранта:
коэффициенты 2-го и 3-го квадрантов:
коэффициенты 4-го квадранта:
--------------------------------
<*> Здесь и далее вычисления коэффициентов и решение уравнений следует производить с точностью до шести значащих цифр.
Свободные члены уравнений для схем опирания, указанные в
табл. 3.3, имеют следующие выражения:
Примечание. Коэффициенты и свободные члены со звездочкой относятся только к расчету оболочки на обратно симметричную нагрузку, остальные коэффициенты и свободные члены - к расчету оболочки на симметричную и на обратно симметричную нагрузки.

,

и

- вычисляются по
формулам (3.5), для цилиндрической оболочки они равны нулю.
В выражениях для коэффициентов
rk1 помимо площадей поперечных сечений пластинок, в целях обобщения учтены также сосредоточенные площади

в узлах поперечного контура. Они представляют собой поперечные сечения возможных дополнительных продольных элементов (например, за счет местных продольных утолщений или за счет учета приведенной площади сечения арматуры и т.п.), работающих только на растяжение (сжатие).
При расчете оболочки на сосредоточенную нагрузку для второго и последующих членов ее разложения в ряд (см.
табл. 3.4) в
табл. 3.5 -
3.7 следует сохранить только первый квадрант уравнений, заменив

на

. Свободные члены составляются согласно
уравнениям (3.20) и
(3.30).
Из общих выражений коэффициентов и свободных членов для указанной оболочки получаются различные случаи для частных схем, приведенных на
рис. 3.11:
а) для цилиндрической оболочки (
рис. 3.11,
а) кругового очертания постоянной толщины (при учете жесткости продольной арматуры, см.
подраздел "Общие положения" настоящего приложения) в формулах коэффициентов уравнений
табл. 3.5 следует принять
б) если бортовой элемент направлен горизонтально, то

(
рис. 3.11,
б), при этом
в) если бортовой элемент направлен вверх (
рис. 3.11,
в)
г) выражения коэффициентов уравнений
табл. 3.5 пригодны для расчета оболочки некругового очертания (
рис. 3.11,
г). Для изображенного сечения угол

отрицателен;
д) для оболочки, свободно опирающейся по продольным краям на стены или гибкие колонны (
рис. 3.11,
д), количеством более трех, можно плоскость стен или колонн рассматривать как первую грань, приняв

;

;
F1 = 0,
поскольку эта грань не может прогибаться в своей плоскости и не сопротивляется растяжению (сжатию) в продольном направлении. В результате из общей системы уравнений
табл. 3.5 выпадут нулевое уравнение и соответственно коэффициенты при

, так как

;
е) продольные края оболочки закреплены от горизонтальных перемещений (
рис. 3.11,
е). Плоскость расположения горизонтальных связей можно рассматривать как первую горизонтальную грань и в коэффициентах
табл. 3.5 следует принять
при этом
ж) оболочка ослаблена вверху фонарным проемом шириной
d5 (
рис. 3.11,
ж), фонарная клетка имеет распорки (количеством более трех, работающих на сжатие и изгиб). Продольные окаймляющие элементы имеют сечение

и воспринимают только осевые усилия.
Рис. 3.11. Схемы расположения бортовых элементов
и очертания контура девятигранной складки (а - и)
В выражениях коэффициентов
rki и

следует принять
F5 = 0;

,
где Iр - момент инерции распорки;
aр - шаг распорок;
з) оболочка вдоль фонарного проема усилена бортовыми балками (
рис. 3.11,
з). На основании гипотезы плоских сечений для отдельной грани поперечные сечения пучка трех граней, пересекающихся по ребру
4, также остаются плоскими. При расчете на симметричную нагрузку напряжение в точке
5, обозначенное через

и возникающее при единичном значении напряжения в точке
3 (рис. 3.12,
а) и нулевых значениях в остальных точках, равно:
Рис. 3.12. К расчету складок с фонарным проемом
и подфонарными балками
Напряжение в точке
5, возникающее при единичном значении напряжений в точке
4 (рис. 3.12,
б) и обозначенное через

, равно:
В уравнениях
табл. 3.5 коэффициенты
r33,
r34,
r44 будут равны:
Площадь сечения на участке пятой грани с проемом для фонаря F5 = 0.
После решения уравнений
табл. 3.5 и определения напряжений

вычисляется напряжение в точке
5:
и) если указанные оболочки усилены ребрами, то при количестве их больше трех можно момент инерции в коэффициентах

вычислять по формуле
где Iр - момент инерции таврового сечения, образованного из сечения ребра и продольного сечения плиты шириной, равной шагу ребер lр.
В
табл. 3.6 приведены уравнения, относящиеся к средней волне круговой многоволновой цилиндрической оболочки, которая с учетом промежуточных балок заменена для расчета девятигранной складкой (
рис. 3.11,
и). Здесь в расчет введена половина сечения балок и их арматуры.
Таблица 3.6
Система алгебраических уравнений для расчета
средней волны круговой многоволновой цилиндрической
оболочки постоянной толщины
Номер ребра k | | | | | | | | | Свободные члены |
1 | | | 0 | 0 | 0 | b13 | b12 | b11 | R1m |
2 | | | | 0 | b24 | b23 | b22 | b21 | R2m |
3 | 0 | | | | b34 | b33 | b32 | b31 | R3m |
4 | 0 | 0 | | | b44 | b43 | b42 | 0 | R4m |
4 | 0 | a42 | a43 | a44 | | | 0 | 0 | 0 |
3 | a31 | a32 | a33 | a34 | | | | 0 | 0 |
2 | a21 | a22 | a23 | a24 | 0 | | | | 0 |
1 | a11 | a12 | a13 | 0 | 0 | 0 | | | 0 |
Коэффициенты уравнений, приведенных в
табл. 3.6, имеют следующие выражения:
коэффициенты 1-го квадранта (с учетом жесткости продольной арматуры):
коэффициенты 2-го и 3-го квадрантов:
коэффициенты 4-го квадранта:
Угол

берется с плюсом.
Свободные члены уравнений
табл. 3.6 имеют следующие выражения:
Примечание. Коэффициенты и свободные члены со звездочкой относятся только к расчету оболочки на обратно симметричную нагрузку, остальные коэффициенты и свободные члены - к расчету оболочки на симметричную и на обратно симметричную нагрузки. Свободные члены

для цилиндрической оболочки равны нулю.
В табл. 3.7 приведены уравнения, относящиеся к пятигранной несимметричной оболочке (
рис. 3.13,
а).
Таблица 3.7
Система уравнений для расчета пятигранной
несимметричной оболочки
Номер ребра k | | | | | | | | | Свободные члены |
0 | | | 0 | 0 | 0 | 0 | | 0 | R0m |
1 | . | | | 0 | 0 | 0 | | | R1m |
2 | 0 | . | | | 0 | 0 | | | R2m |
3 | 0 | 0 | . | | | 0 | | | R3m |
4 | 0 | 0 | 0 | . | | | | | R4m |
5 | 0 | 0 | 0 | 0 | . | | 0 | | R5m |
2 | . | . | . | . | . | 0 | | | |
3 | 0 | . | . | . | . | . | . | | |
Рис. 3.13. Расчетный контур несимметричных
пятигранных складок
Не указанные в
табл. 3.7 коэффициенты, отмеченные точками, определяются из условий симметрии на основании
равенств (3.12). Нераскрытые выражения свободных членов в
табл. 3.7 приведены ниже. Эти уравнения могут быть использованы, например, для следующих случаев:
а) для расчета цилиндрической круговой оболочки шедового покрытия постоянной толщины при замене цилиндрической части трехгранной складкой (
рис. 3.13,
б), при этом
F2 = F3 = F4 = F; d2 = d3 = d4 = d;
I2 =
I3 =
I4 =
I;

;
б) для расчета складки типа конструкций балкона зрительного зала (
рис. 3.13,
в), при этом
в) для расчета крайней волны многоволновой складки, опирающейся на стену покрытия (рис. 3.14, а), при этом
F1 =
F5 = 0;

;

.
Рис. 3.14. К расчету многоволновых складок
При расчете крайней волны многоволновой складки с большим числом граней (рис. 3.14,
б) ее можно рассчитать как одноволновую оболочку с симметричным сечением (рис. 3.14,
в). Для расчета такой складки можно использовать уравнения
табл. 3.5, если предварительно принять

и отбросить в
табл. 3.5 четвертое и последнее уравнения и соответствующие коэффициенты относительно

и

.
При вычислении коэффициентов уравнений следует принять

и

.
Свободные члены уравнений, приведенные в
табл. 3.7, имеют следующие выражения:
Примечание. Для подсчета свободных членов от горизонтальной нагрузки

в формулах вместо

и

следует поставить

и

.

и

определяются по первой из
формул (3.5);
г) для расчета оболочки, сечение которой изображено на рис. 3.15, а, при этом оболочка может быть принята в качестве основной системы для расчета оболочки с фонарем при наличии в фонарном проеме одной или двух распорок, воспринимающих только осевые силы.
Рис. 3.15. К расчету оболочек с фонарным проемом
при одной распорке
а - схема оболочки; б - схема перемещений граней
складки для определения горизонтального прогиба
в месте примыкания распорки
Выбросив распорки и заменив их неизвестными силами
Nр, можно по уравнениям
табл. 3.7 рассчитать половину оболочки отдельно на внешнюю нагрузку и на сосредоточенную силу
Nр = 1. После расчета величина усилия в распорке определяется по формуле

(3.40)
где

- горизонтальный прогиб оболочки в месте примыкания распорки (например, в середине пролета при одной распорке) от внешней нагрузки;

- то же, от силы
Nр = 1;

- укорочение распорки на половине ее длины от силы
Nр = 1.
Горизонтальные прогибы (
рис. 3.15,
б) определяются через прогибы
V4 и
V5 (четвертой и пятой граней) по формуле

(3.41)
Прогибы граней
V4 и
V5 определяются по
формуле (3.16). Для определения этих прогибов можно ограничиться расчетом оболочки с точностью одного первого члена ряда на любой вид нагрузки.
РАСЧЕТ ДИАФРАГМ ДЛИННЫХ ОБОЛОЧЕК И СКЛАДОК
Диафрагмы рассчитываются как плоские стержневые конструкции на нагрузку от собственного веса и опорного давления оболочки, передаваемого в виде сдвигающих сил. Для расчета диафрагм арочного типа в виде арки с затяжкой или сегментной фермы удобно заменить геометрическую ось арки или верхнего пояса сегментной фермы ломаной линией, подобной контуру поперечного сечения оболочки-складки. После этого полученные из расчета оболочки усилия
Tk(0) в опорных сечениях (
x = 0) каждой грани, передаваемые на диафрагму в обратном направлении, для удобства расчета диафрагмы можно сосредоточить в узлах ломаного контура оси верхнего пояса арки или фермы и разложить на вертикальные

и горизонтальные

составляющие.
Значения этих сил определяются по формулам:

(3.42)
Так как срединная поверхность оболочки не совпадает с осью арки, то помимо сил

и

следует учесть моменты на арку от эксцентричного действия усилий
Tk(0). Также рассчитывается верхний пояс сегментной фермы.
Таблица 3.8
Фундаментальные функции Zm и параметры 
N п.п. | Схемы опирания балки | Граничные условия | Фундаментальная функция  | Коэффициент  | Характеристическое уравнение | Общая формула  |
при x = 0 | при x = l1 |
1 | |  ; M = 0 |  ; M = 0 | | - | | |
2 | | u = 0; M = 0 | u = 0; M = 0 | | | | |
3 | |  ; M = 0 | u = 0; M = 0 | | | | |
4 | | u = 0; M = 0 |  ; S = 0 | | | | |
Таблица 3.9
Значения фундаментальной функции 
для случая, когда оба поперечных края оболочки
свободно оперты (схема 1)
Первый член разложения  | Второй член разложения  |
| | | | | |
1 | 2 | 3 | 4 | 5 | 6 |
0 | 0 | 1 | 0 | 0 | 1 |
0,1 | 0,309 | 0,9511 | 0,1 | 0,5878 | 0,809 |
0,2 | 0,5878 | 0,809 | 0,2 | 0,9511 | 0,309 |
0,3 | 0,8090 | 0,5878 | 0,3 | 0,9511 | -0,309 |
0,4 | 0,9511 | 0,309 | 0,4 | 0,5878 | -0,809 |
0,5 | 1 | 0 | 0,5 | 0 | -1 |
0,6 | 0,9511 | -0,309 | 0,6 | -0,5878 | -0,809 |
0,7 | 0,809 | -0,5878 | 0,7 | -0,9511 | -0,309 |
0,8 | 0,5878 | -0,809 | 0,8 | -0,9511 | 0,309 |
0,9 | 0,309 | -0,9511 | 0,9 | -0,5878 | 0,809 |
1 | 0 | -1 | 1 | 0 | 1 |
Продолжение табл. 3.9
Третий член разложения  | Четвертый член разложения  |
| | | | | |
7 | 8 | 9 | 10 | 11 | 12 |
0 | 0 | 1 | 0 | 0 | 1 |
0,1 | 0,809 | 0,5878 | 0,1 | 0,9511 | 0,309 |
0,2 | 0,9511 | -0,309 | 0,2 | 0,5878 | -0,809 |
0,3 | 0,309 | -0,9511 | 0,3 | -0,5878 | -0,809 |
0,4 | -0,5878 | -0,809 | 0,4 | -0,9511 | 0,309 |
0,5 | -1 | 0 | 0,5 | 0 | 1 |
0,6 | -0,5878 | 0,809 | 0,6 | 0,9511 | 0,309 |
0,7 | 0,309 | 0,9511 | 0,7 | 0,5878 | -0,809 |
0,8 | 0,9511 | 0,309 | 0,8 | -0,5878 | -0,809 |
0,9 | 0,809 | -0,5878 | 0,9 | -0,9511 | 0,309 |
1 | 0 | -1 | 1 | 0 | 1 |
Таблица 3.10
Значения фундаментальной функции
для случая,
когда оба поперечных края оболочки заделаны (схема 2)
Первый член разложения (  ;  ) | Второй член разложения (  ;  ) |
| Z | | | | | Z | | | |
1 | 2 | 3 | 4 | 5 | 6 | 7 | 8 | 9 | 10 |
0 | 0 | 0 | 2,0356 | -2 | 0 | 0 | 0 | 1,9984 | -2 |
0,1 | 0,1925 | 0,7395 | 1,0934 | -1,9682 | 0,1 | 0,4551 | 0,9569 | 0,4551 | -1,8705 |
0,2 | 0,6304 | 1,0416 | 0,1989 | -1,7792 | 0,2 | 1,2053 | 0,7902 | -0,7931 | -1,2099 |
0,3 | 1,1155 | 0,9494 | -0,5536 | -1,3636 | 0,3 | 1,5044 | -0,0978 | -1,3229 | -0,1001 |
0,4 | 1,4814 | 0,557 | -1,0591 | -0,7431 | 0,4 | 1,0351 | -1,0506 | -0,9665 | 0,9462 |
0,5 | 1,6164 | 0,0 | -1,2372 | 0 | 0,5 | 0 | -1,4530 | 0 | 1,3742 |
0,6 | 1,4814 | -0,557 | -1,0591 | 0,7431 | 0,6 | -1,0351 | -1,0506 | 0,9665 | 0,9462 |
0,7 | 1,1155 | -0,9494 | -0,5536 | 1,3636 | 0,7 | -1,5044 | -0,0978 | 1,3229 | -0,1001 |
0,8 | 0,6304 | -1,0416 | 0,1989 | 1,7792 | 0,8 | -1,2053 | 0,7902 | 0,7931 | -1,2099 |
0,9 | 0,1925 | -0,7395 | 1,0934 | 1,9682 | 0,9 | -0,4551 | 0,9569 | -0,4551 | -1,8705 |
1 | 0 | 0 | 2,0356 | 2 | 0 | 0 | 0 | -1,9984 | -2 |
Продолжение табл. 3.10
Третий член разложения (  ;  ) | Четвертый член разложения (  ;  ) |
| Z | | | | | Z | | | |
11 | 12 | 13 | 14 | 15 | 16 | 17 | 18 | 19 | 20 |
0 | 0 | 0 | 2 | -2 | 0 | 0 | 0 | 2 | -2 |
0,1 | 0,7705 | 1,012 | -0,1047 | -1,6777 | 0,1 | 1,0711 | 0,9031 | -0,5829 | -1,3913 |
0,2 | 1,508 | 0,1094 | -1,2861 | -1,3307 | 0,2 | 1,3244 | -0,6923 | -1,2052 | 0,5730 |
0,3 | 0,8671 | -1,1817 | -0,7924 | 1,1088 | 0,3 | -0,4075 | 1,3644 | 0,4365 | 1,3352 |
0,4 | -0,6306 | -1,2699 | 0,6579 | 1,2481 | 0,4 | -1,3966 | 0,1967 | 1,4033 | -0,2042 |
0,5 | -1,406 | 0 | 1,4224 | 0 | 0,5 | 0 | 1,4123 | 0 | -1,4156 |
0,6 | -0,6306 | 1,2699 | 0,6579 | -1,2481 | 0,6 | 1,3966 | 0,1967 | -1,4033 | -0,2042 |
0,7 | 0,8671 | 1,1817 | -0,7924 | -1,1088 | 0,7 | 0,4075 | -1,3644 | -0,4365 | 1,3352 |
0,8 | 1,508 | -0,1094 | -1,2861 | 0,3307 | 0,8 | 1,3244 | -0,6923 | 1,2052 | 0,5730 |
0,9 | 0,7705 | -1,012 | -0,1047 | 1,6777 | 0,9 | -1,0711 | 0,9031 | 0,5829 | -0,3913 |
1 | 0 | 0 | 2 | 2 | 1 | 0 | 0 | -2 | -2 |
Таблица 3.11
Значения фундаментальной функции 
для случая, когда один поперечный край оболочки
свободно оперт, а другой - заделан (схема 3)
Первый член разложения (  ;  ) | Второй член разложения (  ;  ) |
| Z | | | | | Z | | | |
1 | 2 | 3 | 4 | 5 | 6 | 7 | 8 | 9 | 10 |
0 | 0 | 1,0279 | 0 | -0,9721 | 0 | 0 | 0,9988 | 0 | -1,0012 |
0,1 | 0,3939 | 0,9539 | -0,3714 | -0,8938 | 0,1 | 0,6496 | 0,7588 | -0,6505 | -0,7618 |
0,2 | 0,731 | 0,7443 | -0,6826 | -0,6705 | 0,2 | 0,9854 | 0,1535 | -0,9901 | -0,1588 |
0,3 | 0,9648 | 0,4323 | -0,8829 | -0,3332 | 0,3 | 0,8475 | -0,5279 | -0,8574 | 0,5178 |
0,4 | 1,0642 | 0,0698 | -0,9353 | 0,0702 | 0,4 | 0,2991 | -0,9613 | -0,3197 | 0,9406 |
0,5 | 1,0214 | -0,281 | -0,8268 | 0,4834 | 0,5 | -0,3996 | -0,9464 | 0,3579 | 0,9046 |
0,6 | 0,8529 | -0,5586 | -0,5615 | 0,8553 | 0,6 | -0,9323 | -0,4968 | 0,8487 | 0,4132 |
0,7 | 0,5995 | -0,7052 | -0,1657 | 1,1426 | 0,7 | -1,0569 | 0,1504 | 0,8869 | -0,3204 |
0,8 | 0,323 | -0,6774 | 0,3198 | 1,3226 | 0,8 | -0,7555 | 0,6323 | 0,4179 | -0,9800 |
0,9 | 0,0965 | -0,4495 | 0,8539 | 1,4015 | 0,9 | -0,2714 | 0,6489 | -0,4249 | -1,3452 |
1 | 0 | 0 | 1,4136 | 1,4147 | 1 | 0 | 0 | -1,4141 | -1,4143 |
Продолжение табл. 3.11
Третий член разложения (  ;  ) | Четвертый член разложения (  ;  ) |
| Z | | | | | Z | | | |
11 | 12 | 13 | 14 | 15 | 16 | 17 | 18 | 19 | 20 |
0 | 0 | 1 | 0 | -1 | 0 | 0 | 1 | 0 | -1 |
0,1 | 0,8527 | 0,5226 | -0,8525 | -0,5224 | 0,1 | 0,9723 | 0,2336 | -0,9723 | -0,2336 |
0,2 | 0,8912 | -0,4537 | -0,8908 | 0,4542 | 0,2 | 0,4543 | -0,8908 | -0,4543 | 0,8908 |
0,3 | 0,0821 | -0,9961 | -0,0809 | 0,9972 | 0,3 | -0,7634 | -0,6461 | 0,7632 | 0,6459 |
0,4 | -0,8051 | -0,5895 | 0,8082 | 0,5926 | 0,4 | -0,8096 | 0,587 | 0,8092 | -0,5874 |
0,5 | -0,9193 | 0,3869 | 0,9279 | -0,3783 | 0,5 | 0,3856 | 0,9214 | -0,3874 | -0,9232 |
0,6 | -0,1406 | 1,0002 | 0,1645 | -0,9763 | 0,6 | 0,9845 | -0,1588 | -0,9912 | 0,152 |
0,7 | 0,7954 | 0,6804 | -0,7291 | -0,6141 | 0,7 | 0,0618 | -1,0101 | -0,0876 | 0,9843 |
0,8 | 1,0424 | -0,2188 | -0,8586 | 0,4027 | 0,8 | -1,0004 | -0,3601 | 0,9009 | 0,2606 |
0,9 | 0,4876 | -0,7176 | 0,0223 | 1,2275 | 0,9 | -0,7064 | 0,6676 | 0,3328 | -1,0412 |
1 | 0 | 0 | 1,4142 | 1,4142 | 0 | 0 | 0 | -1,4145 | -1,4139 |
Таблица 3.12
Значения фундаментальной функции
для случая,
когда один поперечный край оболочки заделан,
а другой свободен (схема 4)
Первый член разложения (  ;  ) | Второй член разложения (  ;  ) |
| Z | | | | | Z | | | |
1 | 2 | 3 | 4 | 5 | 6 | 7 | 8 | 9 | 10 |
0 | 0 | 0 | 2,7244 | -2 | 0 | 0 | 0 | 1,9637 | -2 |
0,1 | 0,0456 | 0,4747 | 2,3504 | -1,9971 | 0,1 | 0,1816 | 0,7014 | 1,0293 | -1,9703 |
0,2 | 0,174 | 0,8813 | 1,9764 | -1,9777 | 0,2 | 0,5914 | 0,9728 | 0,1372 | -1,7936 |
0,3 | 0,3712 | 1,2665 | 1,6107 | -1,9276 | 0,3 | 1,033 | 0,8515 | -0,6223 | -1,4103 |
0,4 | 0,6262 | 1,4857 | 1,2563 | -1,8347 | 0,4 | 1,3423 | 0,4227 | -1,1579 | -0,8443 |
0,5 | 0,925 | 1,6898 | 0,925 | -1,6898 | 0,5 | 1,4014 | -0,1895 | -1,4014 | -0,1895 |
0,6 | 1,2563 | 1,8347 | 0,6262 | -1,4857 | 0,6 | 1,1579 | -0,8443 | -1,3423 | 0,4227 |
0,7 | 1,6107 | 1,9276 | 0,3712 | -1,2665 | 0,7 | 0,6223 | -1,4104 | -1,033 | 0,3515 |
0,8 | 1,9764 | 1,9777 | 0,174 | -0,8813 | 0,8 | -0,1372 | -1,79360 | -0,5914 | 0,9723 |
0,9 | 2,3504 | 1,9971 | 0,0456 | -0,4747 | 0,9 | -1,0293 | -1,9703 | -0,1816 | 0,7014 |
1 | 2,7244 | 2 | 0 | 0 | 1 | -1,9637 | -2 | 0 | 0 |
Продолжение табл. 3.12
Третий член разложения (  ;  ) | Четвертый член разложения (  ;  ) |
| Z | | | | | Z | | | |
11 | 12 | 13 | 14 | 15 | 16 | 17 | 18 | 19 | 20 |
0 | 0 | 0 | 2,0016 | -2 | 0 | 0 | 0 | 1,9999 | -2 |
0,1 | 0,456 | 0,95593 | 0,4583 | -1,8702 | 0,1 | 0,7704 | 1,0119 | -0,1048 | -1,6774 |
0,2 | 1,21 | 0,7945 | -0,7904 | -1,2066 | 0,2 | 1,5076 | 0,109 | -1,2863 | -0,3309 |
0,3 | 1,5137 | -0,0899 | -1,3158 | -0,0916 | 0,3 | 0,8661 | -1,1826 | -0,7933 | 1,1079 |
0,4 | 1,0547 | -1,0327 | -0,9501 | 0,9641 | 0,4 | -0,6334 | -1,2725 | 0,6552 | 1,2453 |
0,5 | 0,0395 | -1,4147 | 0,0395 | 1,4147 | 0,5 | -1,4141 | -0,0081 | 1,4141 | -0,0081 |
0,6 | -0,9501 | -0,9641 | 1,0547 | 1,0327 | 0,6 | -0,6552 | 1,2453 | 0,6334 | -1,2725 |
0,7 | -1,3158 | 0,0916 | 1,5137 | 0,0899 | 0,7 | 0,7933 | 1,1079 | -0,8661 | -1,1826 |
0,8 | -0,7904 | 1,2066 | 1,21 | -0,7945 | 0,8 | 1,2863 | -0,3309 | -1,5076 | 0,109 |
0,9 | 0,4583 | 1,8702 | 0,456 | -0,9593 | 0,9 | 0,1048 | -1,6777 | -0,7704 | 1,0119 |
1 | 2,0015 | 2 | 0 | 0 | 1 | -1,9999 | -2 | 0 | 0 |
За положительное направление сил
Tk(0),
Tk+1(0) и

принято направление, обратное показанному на
рис. 3.2 и
3.1 для сил
Tk (0) и

. Для сил

сохраняется то же правило знаков, что и для сил
Pk без черты
(рис. 3.1).
Эксцентриситет определяется по формуле

(3.43)
где
hа и

- соответственно высота сечения арки и толщина оболочки.
Знак "+" берется, когда оболочка примыкает к арке по нижнему краю, знак "-" - когда оболочка примыкает по верхнему краю.
ЗНАЧЕНИЯ ФУНКЦИЙ СВОБОДНЫХ КОЛЕБАНИЙ БАЛКИ
Выражения фундаментальных функций свободных колебаний балок и их значения для первых четырех членов ряда при различных схемах опирания по концам приведены в
табл. 3.8 -
3.12 (см. стр. 350 - 358).
ОБЩИЙ МЕТОД РАСЧЕТА НЕСУЩИХ ВАНТ ВИСЯЧИХ КОНСТРУКЦИЙ
Расчет несущих вант висячих покрытий, в том числе висячих железобетонных оболочек на стадии их монтажа, основан на общей теории расчета гибких нитей. Ниже излагаются основные расчетные уравнения, рабочие формулы этой теории и рекомендации по расчету [
1,
2].
Гибкая нить представляет собой геометрически изменяемую систему с бесконечно большим числом степеней свободы, работающую только на растяжение, но способную воспринимать нагрузку при надлежащем закреплении ее концов. Форма равновесия нити зависит от характера нагрузки. Наибольший практический интерес представляет загружение нити нагрузками, имеющими постоянное направление, например, собственным весом в комбинациях с различными распределенными или сосредоточенными полезными нагрузками, ветровой нагрузкой и т.п.
Дифференциальное уравнение линии равновесия нити
(рис. 4.1) имеет следующий вид:

(4.1)
здесь y - ордината линии равновесия нити;
q = q(x) - значение нагрузки в рассматриваемом сечении;
H - распор, т.е. горизонтальная составляющая опорных реакций в точках подвеса нити, равная по величине горизонтальной составляющей продольных усилий T во всех сечениях нити.
Уравнение (4.1) аналогично дифференциальному уравнению эпюры изгибающих моментов балки при вертикальной нагрузке

(4.2)
а также дифференциальному уравнению изогнутой оси балки

(4.3)
На этих аналогиях основано построение эпюры изгибающих моментов и эпюры прогибов балки как веревочных кривых. Для построения линии равновесия гибкой нити используют правила построения эпюры изгибающих моментов для балки. Линия равновесия гибкой нити под действием вертикальной нагрузки
q(
x) совпадает с эпюрой изгибающих моментов шарнирно опертой балки пролетом
l, находящейся под действием той же нагрузки
q(
x). При этом ординаты эпюры моментов уменьшены в
H раз и отложены от хорды
AB, соединяющей точки подвеса нити. В результате применительно к схеме, изображенной на
рис. 4.1, ординаты
y линии равновесия нити определяют по формуле

(4.4)
где M - изгибающий момент в шарнирно опертой однопролетной балке пролетом l, нагруженной нагрузкой q(x).
Рис. 4.1. Расчетная схема гибкой нити,
нагруженной вертикальной нагрузкой,
заданной в виде функции от координаты x
В соответствии с этим тангенсы углов наклона нити к горизонту определяют по формуле

(4.5)
где Q - поперечная сила в шарнирно опертой балке пролетом l, нагруженной нагрузкой q(x).
При этом величину продольного усилия T в гибкой нити определяют по формуле

(4.6)
Из
формул (4.4) - (4.6) видно, что для решения поставленной задачи необходимо знать величину распора
H. Наиболее просто величину распора
H определить в том случае, когда кроме концевых известна хотя бы одна из промежуточных ординат линии равновесия нити

(4.7)
где Mi - балочный изгибающий момент в сечении i;
xi - расстояние по горизонтали от начала координат до сечения i;
yi - ордината кривой равновесия нити в сечении i.
Так, например, если нагрузка равномерно распределена по проекции нити (q = const) и известна стрелка f провеса нити в середине пролета, то H определяют по формуле

(4.8)
где f - стрелка провеса, измеряемая от хорды AB до линии равновесия нити в середине пролета l.
Однако в большинстве практических случаев ни одна из промежуточных ординат линии равновесия нити заранее известна не бывает. Это объясняется тем, что гибкие нити, применяемые в инженерных конструкциях, подвергаются, как правило, воздействиям различных временных нагрузок, вызывающих изменения формы равновесия нити. Здесь задачу практически целесообразно поставить следующим образом: по заданным схемы нагружения и первоначальной длине нити S0 (т.е. по длине заготовки нити до ее нагружения) определить распор, форму равновесия нити и действующие в ней усилия с учетом ее упругих деформаций. В такой постановке излагается дальнейшее решение рассматриваемой нелинейной задачи.
ОПРЕДЕЛЕНИЕ ВЕЛИЧИНЫ РАСПОРА
ПРИ ИЗВЕСТНОЙ ДЛИНЕ ЗАГОТОВКИ НИТИ
А. Определение распора без учета продольных деформаций нити
Вначале определяют величину распора H0 без учета продольных деформаций нити, по формуле

(4.9)
где D - интегральная характеристика нагрузки, определяемая по формуле

(4.10)
здесь M и Q - соответственно изгибающий момент и поперечная сила в однопролетной балке пролетом l, нагруженной нагрузкой q(x);

(4.11)
где
a - расстояние по горизонтали
(рис. 4.1) от левой опоры до линии действия равнодействующей
R внешней нагрузки, приложенной к нити;

(4.12)
где

(4.13)
S0 - длина заготовки нити;
d - длина хорды между точками подвеса.
При нагрузках, симметричных относительно вертикальной оси, проходящей через середину пролета
l, т.е. при

, решение задачи приобретает следующий вид:

(4.14)
Если известна первоначальная величина стрелы провеса
f0 при равномерно распределенной нагрузке, то при

для определения распора
H0 вместо
формулы (4.14) пользуются формулой

(4.15)
Формулой (4.15) с достаточной степенью приближения можно также пользоваться при любых нагрузках для пологих нитей с горизонтальной хордой (при
f/
l <= 1/10). Интегралы
(4.10), выражающие характеристику нагрузки
D, легко вычисляются методам Верещагина (если одна из эпюр
M,
Q или
q является прямолинейной) или непосредственным интегрированием. Например, при
q = const
Формулы для определения характеристики нагрузки D для некоторых распространенных случаев нагружения помещены в табл. 4.1.
Таблица 4.1
N п.п. | Схема нагружения | Значение интегральной характеристики нагрузки D |
1 | | |
2 | | |
3 | | |
4 | | |
5 | | |
6 | | |
7 | | |
8 | | |
9 | | |
10 | | |
11 | | |
|
Б. Определение величины распора
с учетом упругих деформаций нити
Если гибкая нить с поперечным сечением
F и модулем упругости
E, подвешенная в точках
A и
B, нагружена произвольной вертикальной нагрузкой
q(
x), то при любых значениях угла наклона

хорды
AB (рис. 4.2) величину распора
H с учетом упругих деформаций нити определяют из уравнения

(4.16)
где

;
Рис. 4.2. Расчетная схема и возможные
перемещения гибкой упругой нити
k вычисляют следующим образом:

(4.17)
r1 и r2 определяют по формулам:

(4.18)

(4.19)

(4.20)
Если при нагрузках, симметричных относительно середины пролета (т.е. при

), известна величина стрелы провеса нити при равномерно распределенной нагрузке, коэффициент
k может быть вычислен по
формулам (4.40),
(4.41),
(4.44).
Если первоначальная длина нити, т.е. длина заготовки, равна длине хорды
AB, то в этом случае решение
уравнения (4.16) будет иметь следующий вид:

(4.21)
РАСЧЕТ ПРЕДВАРИТЕЛЬНО-НАПРЯЖЕННОЙ СТРУНЫ
Если на упругую нить
(рис. 4.3) действует сила предварительного натяжения
N, направленная вдоль хорды, и произвольная вертикальная нагрузка
q(
x), то зависимость между величинами распора и силы предварительного натяжения можно выразить так:

(4.22)
или

(4.23)
Рис. 4.3. Расчетная схема предварительно-напряженной
струны, нагруженной произвольной вертикальной нагрузкой
РАСЧЕТ ГИБКОЙ НИТИ ПРИ РАСПОЛОЖЕНИИ
ТОЧЕК ПОДВЕСА НА ОДНОМ УРОВНЕ
Если точки подвеса нити расположены на одном уровне, т.е., если

, то основные расчетные формулы приобретают следующий вид:
1. Ординаты линии равновесия

(4.24)
2. Тангенсы углов наклона

(4.25)
3. Продольные усилия в нити

(4.26)
4. Длина нити в зависимости от величины стрелы провеса при равномерно распределенной нагрузке.

(4.27)
5. Первоначальная величина стрелы провеса

(4.28)
здесь f - величина стрелы провеса нити, нагруженной равномерно распределенной нагрузкой q;
6. Длина заготовки

(4.29)
7. Величина распора без учета продольных деформаций нити

(4.30)
8. Величина распора без учета продольных деформаций нити при нагрузках, симметричных относительно середины пролета:
а) если известна длина нити
S0, то при

и


(4.31)
где m0 = S0/l;
б) если известна стрела провеса
f0, то величина распора
H0 при

и

определяется по
формуле (4.15)
9. Величина распора с учетом упругих деформаций нити (при

) определяется из уравнения

(4.32)

(4.33)
где

(4.34)
При нагрузках, симметричных относительно середины пролета:
для пологих нитей с горизонтальной хордой (при

) при симметричных и несимметричных нагрузках можно пользоваться уравнением

(4.35)
10. Величина распора для струны (при S0 = l)

(4.36)
11. Решение задачи о расчете предварительно-напряженной струны

(4.37)
или

(4.38)
Если известна величина стрелы f провеса нити в середине пролета при равномерно распределенной нагрузке, то соответствующая длина нити S может быть вычислена по формуле
где

(4.40)

(4.41)
здесь

(4.42)
Формула (4.39) дает приближенное решение задачи, однако степень этого приближения весьма высока. Так, например, погрешность вычисления длины нити рекомендуемым способом при значениях угла наклона

и
n =
l/f = 10 составляет всего 0,002% величины
S. На практике задача часто ставится следующим образом: задается форма равновесия нити, нагруженной постоянной равномерно распределенной вдоль пролета нагрузкой
g, и требуется произвести расчет при различных комбинациях этой постоянной и временных нагрузок. В этом случае величины распора
H и стрелы провеса
f при постоянной нагрузке известны. Для дальнейших расчетов (с учетом дополнительных нагружений и других воздействий), а также для изготовления нити необходимо определить длину заготовки
S0. Для этого рекомендуется:
а) вычислить величину f0 (первоначальную величину стрелы провеса нити, т.е. величину стрелы провеса при равномерно распределенной нагрузке, близкой по величине к нулю, когда можно пренебречь деформациями удлинения нити) по формуле

(4.43)
где

(4.44)
здесь E - модуль упругости;
F - площадь поперечного сечения нити, постоянная по всей ее длине.
Найдя величину f0, определяют n0
б) заменив в
формулах (4.40) и
(4.41) n на
n0, вычисляют соответствующие значения коэффициентов
d1 и
d2 при
n =
n0. В результате подстановки полученных результатов в
формулу (4.39) получают искомую длину заготовки нити
S0.
Если задана форма равновесия нити при любой другой неравномерной нагрузке, то для определения длины заготовки поступают следующим образом:
по заданной форме равновесия вычисляют длину нити S в нагруженном состоянии;
по
формуле (4.7) вычисляют величину распора
H, соответствующую нагруженному состоянию.
Используя полученное значение H, определяют первоначальную величину распора H0 по формуле

(4.45)
где
D - определяют из
формулы (4.10), а
k - из
формулы (4.17); при этом коэффициент
k вычисляется исходя из заданной длины нити
S в нагруженном состоянии.
Пользуясь найденной величиной
H0, по
формуле (4.4) вычисляют ординаты линии равновесия нити в исходном состоянии, т.е. до проявления ее продольных деформаций. Для определения длины заготовки
S0 вычисляют длину построенной (по
H0) линии равновесия, разбив ее на достаточно большое количество участков.
1.
Мацелинский Р.Н. Уточнение методики расчета вант. - Строит. механика и расчет сооружений. 1969, N 2.
2.
Мацелинский Р.Н. Гибкие нити. - В кн.: Справочник проектировщика промышленных, жилых и общественных зданий и сооружений. М., Стройиздат, 1972.
МОДЕЛИРОВАНИЕ ПРИ ПРОЕКТИРОВАНИИ И ИССЛЕДОВАНИИ
ЖЕЛЕЗОБЕТОННЫХ ПРОСТРАНСТВЕННЫХ КОНСТРУКЦИЙ
Метод моделирования является эффективным средством исследования железобетонных пространственных конструкций. Проведение расчета таких конструкций с учетом всех их особенностей (сложных граничных условий, наличия ребер, опасности местной потери устойчивости тонкой плиты и т.д.) во многих случаях встречает серьезные затруднения. Метод моделирования позволяет провести качественное и количественное исследование напряженно-деформированного состояния конструкции; оценить достоверность методов ее расчета, распространить результаты единичных опытов на целый класс подобных конструкций.
Разработка многих новых конструкций и решение теоретических вопросов без использования моделирования были бы невозможны, а испытания моделей при исследовании конструкций и сооружений взамен натурных испытаний позволили сэкономить десятки тысяч рублей.
Лабораторные исследования железобетонных пространственных конструкций типа оболочек и складок наиболее целесообразно проводить на моделях, изготовленных из армированного мелкозернистого бетона. Как показывает опыт, такие модели, разработанные и изготовленные как подобные прототипу малоразмерные конструкции, обладают прочностными, упруго-пластическими и конструктивными свойствами, близкими к натурным железобетонным конструкциям. Это позволяет оценить не только работу конструкции в упругой стадии, но и поведение ее после образования трещин вплоть до разрушения. В то же время благодаря небольшим размерам моделей их можно изготовлять и испытывать сериями, что важно для увеличения надежности получаемых экспериментальных данных.
В настоящем приложении обобщен опыт в области исследований железобетонных пространственных конструкций на моделях из армированного бетона [
14,
17,
20,
22].
ТЕОРЕТИЧЕСКИЕ ОСНОВЫ МОДЕЛИРОВАНИЯ
Общий метод моделирования базируется на теории подобия [
6,
8,
13]. Два явления называются подобными, если они имеют одинаковую физическую природу и если характеристики одного из них отличаются от характеристик другого только масштабом, одинаковым для всех одноименных характеристик. Одноименными характеристиками называются характеристики, имеющие одинаковую размерность.
В
[8] сформулированы три теоремы подобия. При моделировании с использованием этих теорем необходимо знать уравнения, описывающие изучаемое явление в натуре. Например, если изучается работа пространственных конструкций в упругой стадии, можно использовать полную систему дифференциальных уравнений, описывающих их напряженно-деформированное состояние и соответствующие граничные условия. Применяя указанные теоремы к уравнениям, можно установить соотношения между масштабами различных величин, используемых при моделировании. Затем выбираются значения масштабов, удовлетворяющих найденным соотношениям. При этом необходимо проверить, что изменение масштаба модели не ведет к изменению физической природы протекающего процесса, т.е. не проявляется масштабный эффект.
При моделировании сложных пространственных систем часто невозможно записать уравнения их напряженно-деформированного состояния. В этом случае существенную помощь может оказать теория размерностей [
6,
13]. Она позволяет найти рациональные формы построения зависимости между величинами, характеризующими изучаемое явление.
В большинстве случаев для одноименных характеристик выбирается одинаковый масштаб. Такой подход существенно ограничивает применение малых моделей для изучения работы тонкостенных конструкций: их толщина оказывается малой и на практике трудно осуществима. Для преодоления этих трудностей может быть применено аффинное подобие
[11]. Сформулированы также условия нелинейного и интегрального подобия [
3,
5], которые носят довольно общий характер. Однако применение их для конкретных задач разработано мало, и в практике моделирования строительных конструкций они почти не применяются.
При моделировании железобетонных пространственных конструкций чаще всего используется простое и расширенное механическое подобие
[11]. При простом механическом подобии в модели воспроизводятся те же деформации, что и в натурной конструкции. При расширенном механическом подобии деформации модели пропорциональны деформациям натурного образца. В обоих случаях модель должна быть геометрически подобна натуре. Если масштаб модели равен
m, то приложенные к модели равномерно распределенные по площади нагрузки остаются такими же, как в натуре; интенсивность распределенной линейной нагрузки меняется в
m раз; сосредоточенной силы - в
m2 раз.
ВИДЫ МОДЕЛЕЙ И ИХ РАЗМЕРЫ
Цели испытаний железобетонных пространственных конструкций могут быть разными. Поставленные цели определяют вид выбираемых для исследования моделей.
1. Применение моделей для изучения работы натурных конструкций. Работу железобетонных пространственных конструкций, для которых нет проверенной методики расчета, целесообразно изучать на моделях. В ряде случаев это может позволить проектировать конструкции без точного расчета, основываясь только на результатах испытаний моделей. При этом можно решить следующие задачи:
проконтролировать прочность, жесткость и трещиностойкость конструкции;
выявить картину напряженно-деформированного состояния в упругой стадии и после появления трещин;
выявить схему разрушения и оценить несущую способность;
проверить особенности технологии монтажа сборных конструкций.
Для получения надежных экспериментальных данных модель должна проектироваться так, чтобы в ней отображались основные конструктивные особенности и особенности возведения натурного образца. В частности, если моделируется сборная конструкция, то и модель в большинстве случаев должна проектироваться сборной. Примером изучения сложной сборной конструкции может служить работа
[21]. Модель собиралась из сборных плит, опирающихся на металлические фермы-диафрагмы; в средней части модели был выполнен фонарный проем, а над ним установлена металлическая фонарная надстройка, перекрытая сборными плитами.
2. Моделирование узлов конструкций. При моделировании конструкции в целом часто не удается изучить достаточно подробно работу отдельных ее узлов. Это вызвано трудностями, возникающими при моделировании сопряжений элементов. В таких случаях оказывается целесообразным изготовлять узел в натуральную величину и испытывать его, имитируя воздействия нагрузок и примыкающих конструкций. Примером может служить исследование опорного узла разрезных многоволновых оболочек положительной кривизны
[4]. Испытанию опорного узла предшествовало испытание модели в целом, где ее напряженно-деформированное состояние было изучено достаточно подробно.
3. Применение моделей для оценки методов расчета. Для оценки применяемых при проектировании пространственных конструкций методов расчета целесообразно изготовлять модели, которые не являются точной копией какой-либо конструкции. Сохраняется только подобие применяемым конструкциям в целом - форма оболочек, тип контурных элементов, соотношение размеров в плане, отношение стрелы подъема к пролету, характер армирования и т.д. Модели этого типа проектируются так, чтобы они по возможности ближе соответствовали расчетной схеме и в то же время отражали специфические особенности, присущие данному классу конструкций. С помощью моделей рассматриваемого типа можно решить следующие задачи:
проверить и уточнить методы расчета конструкций в упругой стадии;
выявить особенности работы после появления трещин;
выявить схему разрушения и проверить расчеты, оценивающие несущую способность конструкции.
Модели обычно проектируют монолитными.
Примерам таких исследований может служить работа
[9]. Различными методами были рассчитаны отдельно стоящие и многоволновые неразрезные оболочки положительной кривизны. Теоретические результаты сопоставлялись с экспериментальными, что позволило оценить достоверность различных методов.
4. Применение моделей для исследования схем излома оболочек при разрушении. Для оценки несущей способности пространственных конструкций широко используется метод предельного равновесия. Его применение требует знания схемы излома. Пространственные конструкции представляют собой сложные многократно статически неопределимые системы. Поэтому определение схем излома расчетным путем связано с большими трудностями. Выявление схем излома с помощью опытов на моделях помогает значительно упростить задачу: снижается степень статической неопределимости конструкции; упрощаются условия записи предельного равновесия; оказывается возможным более точно учесть реологические свойства материала, граничные условия, вид нагрузки и т.п. При проектировании конструкций могут быть попользованы типы моделей, описанные в
подпунктах 1 и
3. Проведенные многочисленные исследования [
15,
16] позволили установить схемы разрушения для оболочек и дать рекомендации по оценке несущей способности натурных конструкций.
Цели исследований влияют на размеры испытываемых моделей. Модели реальных конструкций обычно выполняются в масштабе 1/25 - 1/4 натуральной величины. Моделирование узлов конструкций следует стремиться выполнять в натуральную величину. Если же решено узлы уменьшить, их масштаб должен приниматься не менее 1/2. Кроме того, на размер моделей влияют следующие факторы:
а) условия передачи нагрузки;
б) удобство установки приборов на верхней и нижней поверхностях модели;
в) удобство испытания - доступ к приборам, проходы между тяжами загрузочной системы и т.д.;
г) условия изготовления - толщина моделей не может быть меньше 0,4 см;
д) наличие испытательного оборудования, помещения и т.д.
Размеры моделей, не являющихся точной копией какой-либо конструкции, назначают с учетом требований, приведенных в
подпунктах "а" -
"д".
МАТЕРИАЛЫ ДЛЯ ИЗГОТОВЛЕНИЯ МОДЕЛЕЙ
Ниже рассматриваются условия подбора модельного материала, при которых выполняются условия простого подобия. Модель должна быть геометрически подобна натурной конструкции.
1. Критерии подобия. В
[23] предложено устанавливать критерии подобия материалов модели и натуры по трем диаграммам (рис. 5.1). По оси ординат каждой из диаграмм откладываются напряжения

. По оси абсцисс на рис. 5.1,
а, б, в отложены соответственно продольные деформации

, скорость прохождения ультразвука через материал
V, коэффициент поперечной деформации

. В [
1,
2] показана существенная связь между трещинообразованием и видом кривых

,

. Диаграммы характеризуют процессы деформирования бетона при сжатии и растяжении.
Рис. 5.1. Диаграммы изменения механических
свойств бетона при нагружении
а - диаграмма "напряжение-деформация"; б - то же,
"напряжение-скорость прохождения ультразвука"; в - то же,
"напряжение-изменение коэффициента поперечной деформации"
На диаграммах можно отметить характерные точки, называемые параметрическими. Точки характеризуются величиной напряжений, общей для всех трех диаграмм. Таких точек шесть:

- нижняя граница микроразрушений;

- верхняя граница микро- и нижняя страница макроразрушений;
Rпр - точка максимальных напряжений;
R2 - момент окончательного разрушения бетона;

- верхняя граница участка, на котором деформации прямо пропорциональны растягивающим напряжениям;
Rр - момент разрушения бетона от растяжения.
На диаграмме

указанным точкам соответствуют деформации

,

,

,

,

,

. Некоторые характерные значения
V и

отмечены соответственно на диаграммах

,

.
Для удобства представим диаграмму

в относительных координатах:
Полное подобие материалов модели и натуры будет обеспечено, если для обоих материалов величины

,

,

,

,

,

,

,

,

,

,

,

равны. Эти условия записываются в виде

,

и т.д. Они представляют собой полную систему критериев подобия бетонов в механическом смысле.
Подобрать модельный материал, для которого выполняются условия полной системы критериев подобия, сложно. В зависимости от конкретных задач механического моделирования из системы критериев подобия могут быть получены неполные, обеспечивающие подобие только в отдельных зонах диаграммы

. Для наиболее характерных задач должны быть равны idem следующие величины:
1.

,

,

,

,

,

,

- при исследовании прочности, жесткости и трещиностойкости железобетонных конструкций;
2.

,

,

,

,

,

- при действии только сжимающих напряжений, не превышающих

;
3.

,

,

,

,

- при действии только растягивающих напряжений;
4.

,

,

,

,

- при работе конструкции в упругой стадии;
5.

,

,

,

- при исследованиях в стадии разрушения.
2. Подбор модельного материала. Система критериев подобия выбирается в зависимости от задач исследования. Значения величин, входящих в критерии подобия, для материала натуры считаются известными. Они могут быть определены по результатам испытаний образцов из бетона натурной конструкции. Задача состоит в выборе материала модели так, чтобы для него выполнялись условия подобия.
В качестве основы модельного материала рекомендуется использовать мелкозернистый бетон, состоящий из смеси цемента, песка, щебня и воды. Используя различные добавки, можно в довольно широких пределах изменять физико-механические характеристики материала. Данные о направлении изменения физико-механических характеристик материалов от различных добавок приведены в табл. 5.1. Сократить количество опытов при подборе материала с нужными свойствами можно, используя методы теории планирования экспериментов [
12,
23].
Таблица 5.1
Направление изменения физико-механических характеристик
микробетона в зависимости от различных добавок
Вид добавки | Физико-механические характеристики |
Rпр | | | Rр | | | | |
Мел молотый | - | - | - | + | + | - | - | - |
Перлитовый песок | - | - | - | - | + | - | - | + |
Графит молотый | - | - | - | - | - | - | + | - |
Щебень, обработанный нитрокраской | - | - | - | - | + | + | + | + |
ПВА с 5%-ной добавкой добутилфталата | - | - | - | + | + | + | + | + |
Примечание. Знак "+" показывает увеличение, а знак "-" уменьшение характеристик при введении различных добавок. |
Для армирования моделей применяют: стальные тканые и сварные сетки; холоднотянутую проволоку; стержневую арматуру, гладкую и периодического профиля. Количество стержней арматуры и характер армирования в целом сохраняется таким же, как в натурной конструкции. Площадь арматуры подбирается из условий геометрического подобия по прочности.
3. Контроль механических характеристик материалов. Для выбора образцов, на которых можно определить характеристики бетона в тонкостенных конструкциях, было проведено специальное исследование
[18]. Это исследование показало:
для определения характеристик бетона, твердеющего в естественных условиях либо подверженного обработке в пропарочной камере, можно использовать обычные сплошные призмы размером 10 x 10 x 40 см и кубы размером 10 x 10 x 10 см;
для определения характеристики бетона для тонкостенных конструкций непосредственно после автоклавной обработки, а также при длительных процессах необходимо испытывать тонкостенные образцы. Эти образцы по сравнению со сплошными призмами лучше отражают особенности технологии формования тонкостенных конструкций.
В качестве тонкостенного образца рекомендуется принять полую призму (рис. 5.2). Призму оклеивают эпоксидным клеем из плиток. Торцы ее замоноличиваются в металлические оголовники. Из испытания полых призм непосредственно получают Rпр, а также модуль деформации, коэффициент поперечного расширения, характеристики ползучести и усадки бетона.
Рис. 5.2. Конструкция тонкостенного образца
1 - металлический оголовник; 2 - эпоксидный клей
Для определения характеристик арматуры образцы ее испытывают на разрыв по общепринятой методике.
Для изготовления моделей конструкций используются формы из различных материалов - деревянные, бетонные, стальные, гипсовые, пластмассовые. Выбор материала и конструкций форм определяется удобством их изготовления и количеством изготовляемых моделей. Если предусмотрено изготовление одной-двух моделей, рекомендуется применять деревянные опалубки из брусьев или фанеры. При большом количестве моделей и при использовании термообработки применение деревянных форм не рекомендуется.
Модели оболочек и складок имеют малые размеры сечений элементов. Поэтому к точности изготовления опалубки предъявляются повышенные требования. Контроль осуществляется обычно с помощью шаблонов и нивелирования, отклонения по толщине плиты модели не должны превышать +/- 0,5 мм; кривизна модели должна быть выдержана с точностью +/- 5%. Опалубку необходимо проектировать достаточно жесткой, чтобы при транспортировании и изготовлении в ней не возникало деформаций, искажающих форму изделий. Опалубку рекомендуется выполнять сборно-разборной, чтобы избежать повреждений модели при распалубке.
После изготовления деревянных моделей их поверхность рекомендуется шпаклевать и прокрашивать нитрокраской. При назначении размеров опалубки следует учитывать толщину слоя краски. Изготовление бетонных и особенно гипсовых форм следует вести с учетом процессов усадки и расширения этих материалов при высыхании и увлажнении. Их поверхность рекомендуется окрашивать масляными и полимерными составами. Рабочие поверхности стальных форм не должны иметь следов ржавчины, механических повреждений и тому подобных дефектов. Чтобы исключить сцепление бетона с опалубкой, поверхности форм перед изготовлением в них моделей покрывают слоем смазки (например, разогретой смесью парафина с солидолом или веретенным маслом, смешанным с цементом).
Арматура контурных элементов и ребер выполняется в виде вязаных и сварных каркасов. Каркасы могут изготовляться в деревянных шаблонах. Для армирования полок могут быть использованы заводские плоские сварные или тканые сетки. Если поверхности моделей неразвертывающиеся, сетки для армирования вяжут непосредственно на опалубке. Отдельные проволоки сетки скрепляют между собой вязальной проволокой в местах пересечения (через одну-две ячейки) и привязывают их концы к арматуре контурных элементов.
Защитный слой в ребрах и диафрагмах обеспечивается установкой коротышей арматуры, бетонных или пластмассовых подкладок. В плите под сетку можно укладывать монтажные арматурные стержни, которые удаляют после бетонирования. Для устранения пустот бетон дополнительно уплотняют. Предварительно-напряженную арматуру контурных элементов натягивают на стенды для испытания или на специальные рамы. Усилия натяжения контролируют по манометру на домкрате или механическим динамометром, а также измерением деформаций арматуры тензометрами, индикаторами или тензодатчиками.
Бетон в контурных элементах и ребрах уплотняют глубинными вибраторами сверху, а также через опалубку снизу и сбоку. Бетон плиты уплотняют виброрейками или площадочными вибраторами. Направляющими виброреек служат стальные полосы или деревянные бруски, крепящиеся к опалубке. После бетонирования полосы и бруски удаляют; оставшиеся углубления затирают бетоном. Толщину моделей при бетонировании контролируют с помощью маяков, крепящихся к опалубке, и шаблонов. Бетонная смесь приготовляется на портландцементе (желательно безусадочном) и должна обладать достаточной удобоукладываемостью.
Бетон моделей может подвергаться термовлажностной обработке либо твердеть в естественных условиях. Бетон естественного твердения через 10 - 12 ч после укладки покрывают слоем опилок и увлажняют в течение 5 - 28 дней. Это помогает устранить появление усадочных трещин. Распалубку и отпуск натяжения арматуры производят после достижения бетоном необходимой прочности, контролируемой по образцам и неразрушающими методами.
КОНСТРУКЦИИ ИСПЫТАТЕЛЬНЫХ УСТАНОВОК
Модели испытывают на стендах. Стенды должны проектироваться так, чтобы на них было удобно производить загружение модели, монтировать загрузочную систему и контролировать ее работу, размещать вспомогательные устройства, иметь доступ ко всем элементам модели и приборам, крепить приборы для измерения горизонтальных перемещений модели. Стенды должны обеспечивать также безопасность проведения испытаний.
Стенды представляют собой пространственные рамы. Модели опираются на стойки рам, ригели служат для упора загрузочной системы. На стендах могут укрепляться ходы и подмости. Элементы стенда проектируют стальными или монолитными железобетонными. При размерах модели более 2,5 - 3 м по высоте стенд, как правило, делится на три зоны: внизу размещают загрузочные устройства (платформы, рычаги, домкраты); над ними устраивают страховочные устройства и сплошной настил для наблюдения за моделью и приборами снизу; на уровне контурных элементов устраивают настил для наблюдения за приборами сверху. Настилы по периметру ограждают перилами. Для безопасности персонала, ведущего испытание, и исключения влияния дополнительной нагрузки хождение по модели при испытании не допускается.
Модели опираются на стенды через шары и катки. Это обеспечивает им свободное перемещение и поворот на опорах. Передача нагрузки с модели на шар или каток осуществляется через металлическую пластину.
Равномерно распределенные и полосовые нагрузки по поверхности моделей рекомендуется заменять системой часто расположенных сосредоточенных сил. Это позволяет устанавливать приборы и наблюдать за появлением и развитием трещин сверху моделей. При назначении расстояния между точками приложения нагрузки учитывается возможность размещения приборов и толщина модели. Это расстояние обычно не должно превышать 25 толщин плиты модели и согласовываться с расположением ребер. В местах приложения нагрузки на поверхности моделей устанавливают подкладки из мягкого материала (например, пенопласта).
В зависимости от величины нагрузки и размеров моделей загружение производят грузом, укладываемым на платформы, или домкратами. Нагрузка на модель передается через систему тяжей, траверс и балок. Платформы с грузом размещают под моделями, ниже моделей устанавливают страховочные подмости (для разгрузки моделей при разрушении). Домкраты также размещают под моделями, а страховочные подмости устанавливают под балки загрузочной системы. Кроме того, под моделью устанавливаются страховочные леса. Различные схемы загрузочных систем приведены в
[14].
ИЗМЕРЕНИЕ ДЕФОРМАЦИЙ И ПЕРЕМЕЩЕНИЙ
Для измерения деформаций применяют тензодатчики сопротивления с базой 20 - 50 мм, рычажные тензометры с базой не менее 100 мм, индикаторы с ценой деления 0,001 мм. Приборы устанавливают попарно один против другого - на наружной и внутренней гранях элементов. Это позволяет выделить осевые и изгибные деформации.
Прогибы, осадку опор и горизонтальные перемещения элементов модели измеряют индикаторами с ценой деления 0,01 мм, прогибомерами системы Аистова с ценой деления 0,01 мм и системы Максимова с ценой деления 0,1 мм. Приборы укрепляют на специальных рамах, не связанных с подмостями и ходами.
Углы поворота контурных элементов измеряют клинометрами, парными индикаторами или парными прогибомерами, расположенными в одной вертикальной плоскости на разных уровнях.
При испытании моделей целесообразно применять для замера деформаций тензорезисторные установки с централизованной записью и контактом с ЭВМ. В ряде случаев могут оказаться целесообразными оптические и акустические измерительные устройства.
Приборы располагают по основным расчетным сечениям: посередине пролета, в угловых зонах, на контурных элементах. При испытании на сосредоточенные нагрузки приборы концентрируют в зоне нагрузки, где действуют наибольшие усилия.
Обработку результатов экспериментов рекомендуется производить методами математической статистики (см. ниже). Специальные исследования [
10,
22] показали, что для получения более точных оценок параметров натурной конструкции необходимо увеличивать число испытываемых моделей. Для сложных конструкций обычно не удается изготовить более одной-двух моделей. Обычно применяемые пространственные конструкции имеют несколько осей симметрии. Это свойство можно использовать для повышения надежности моделирования: постановка приборов в симметричных точках в некоторой степени равнозначна увеличению числа моделей.
Испытания начинают с нескольких пробных загружений. Их цель - проконтролировать работу всех приборов и устранить имеющиеся неплотности в стыках сборных элементов и опорах. Величина нагрузки выбирается максимальной, при которой в элементах модели не возникает трещин. Пробные загружения прекращают, когда показания приборов перед загружением и после разгрузки совпадают.
Затем модели испытывают в упругой стадии их работы. Величину нагрузки выбирают такой же, чтобы деформации были наибольшие без появления трещин. Цикл нагрузка-разгрузка повторяют несколько раз. Нагрузку увеличивают этапами, записывая на каждом этапе показания всех приборов. Количество повторений циклов зависит от степени разброса показаний и тем больше, чем больше разброс. Увеличение количества загружений и последующая статистическая обработка опытных данных позволяют повысить достоверность результатов эксперимента. В процессе эксплуатации на оболочку могут действовать несколько различных сочетаний нагрузок. В этом случае модель испытывают на каждое из возможных сочетаний.
При испытании моделей в упругой стадии применяют различные устройства и используют приемы, позволяющие значительно увеличить объем получаемой информации без значительного усложнения техники проведения эксперимента. Среди них можно отметить устройства, позволяющие изучать многоволновые конструкции на отдельных моделях
[20], изменять жесткости диафрагм одной модели
[9], замерять контактные усилия между плитой и диафрагмой
[19] и др.
Модель испытывают до разрушения при невыгоднейшем сочетании нагрузок. Нагрузку увеличивают этапами. На каждом этапе модель осматривают с целью выявления трещин. Обнаружить микротрещины можно в результате смачивания поверхности модели ацетоном - в трещине ацетон высыхает гораздо медленнее, четко обозначая ее направление и длину. Трещины очерчивают на поверхности модели, отмечая этап их появления и длину. Ширину раскрытия трещин замеряют микроскопом.
После окончания испытаний необходимо зарисовать и сфотографировать схему разрушения. В местах установки приборов рекомендуется тщательно замерить толщину плиты, высоту и ширину ребер. Эти данные нужны для перехода от деформаций к усилиям. Для оценки несущей способности методом предельного равновесия в линиях излома рекомендуется замерить положение арматуры по высоте сечения.
ОБРАБОТКА ОПЫТНЫХ ДАННЫХ И СОПОСТАВЛЕНИЕ
ИХ С ТЕОРЕТИЧЕСКИМИ. ОЦЕНКА НАТУРНОЙ КОНСТРУКЦИИ
При обработке опытных данных, полученных при испытании моделей в упругой стадии, рекомендуется использовать методы математической статистики
[22]. Основная цель статистической обработки состоит в определении доверительного интервала, внутри которого с заданной вероятностью

располагается среднее значение перемещения или усилия.
Будем различать прямые и косвенные измерения. При прямых измерениях определяемая величина сравнивается с единицей измерения непосредственно либо с помощью измерительного прибора. При косвенных измерениях измеряемая величина вычисляется из результатов прямых измерений других величин, связанных с измеряемой величиной, определенной функциональной зависимостью.
Прямыми измерениями получают, например, следующие данные:
по показаниям приборов при многократном загружении моделей - относительные деформации верхних и нижних волокон сечения элементов модели

и

;
при испытаниях серий призм, изготовленных при бетонировании моделей, - значения начального модуля упругости бетона и его призменной прочности Rпр;
из замеров после разрушения - толщину h моделей и т.д.
Примером косвенных измерений может служить измерение нормальных сил N и моментов M в плите модели. Эти величины определяются на основе прямых измерений по формулам:

(5.1)
Прямые измерения обрабатывают следующим образом. Из
n измерений
ai (
i = 1, ...,
n) вычисляют среднее значение

и квадраты погрешностей отдельных измерений

. Границы доверительного интервала (

,

) находят по формуле
где Sn - эмпирический стандарт
tn - коэффициент Стьюдента при надежности

и количестве произведенных измерений
n.
Чтобы выяснить, не является ли измерение n промахом, проверяют условие
Опыт считается бракованным, если условие выполняется.
Доверительный интервал для величин, полученных с помощью косвенных измерений, находят следующим образом. Пусть
a,
b,
c, ..., полученные прямыми измерениями случайные величины, для каждой из которых известны оценки границ доверительного интервала

,

,

, ... при заданной надежности

. По
[7] границы доверительного интервала для функции
f =
f(
a,
b,
c, ...) при той же надежности

оценивают формулой

(5.2)
где производные вычисляются при

,

,

, ...
Искомые доверительные интервалы имеют вид (

,

), (

,

).
Приведенная методика была использована для обработки данных, полученных при испытании моделей гладкой железобетонной оболочки
[22], описанной в примере прил. 1 (
рис. 1.1,
и). На рис. 5.3 приведены эпюры нормальных сил и моментов в центральном поперечном сечении. Линии 1, 2, 3 представляют соответственно результаты расчетов и испытания двух моделей (результаты экспериментов на моделях приведены к натурной конструкции, исходя из геометрического подобия).
Рис. 5.3. Эпюры прогибов, нормальных сил
и изгибающих моментов в оболочке (сечение 1-1);
1 - расчетные данные; 2, 3 - то же, экспериментальные,
полученные при испытании моделей
в масштабе соответственно 1:9 и 1:3
Эпюры для нормальных сил, полученных из опыта, представлены тремя линиями: центральной, характеризующей среднее значение усилия, и крайними, являющимися границами доверительных интервалов. Доверительные интервалы позволяют оценить точность замеров в эксперименте: чем

доверительный интервал, тем выше точность опытов. Если доверительные интервалы по длине эпюры примерно равны, точность получения данных в различных точках одинакова.
Доверительные интервалы позволяют оценить достоверность расчета. Его можно считать достоверным, если эпюры расчетных результатов проводят внутри доверительных интервалов, построенных для опытных данных: в этом случае расхождения между опытом и расчетом можно объяснить случайным разбросом опытных данных. В противном случае расчетные данные также не отвергаются, если они идут в запас прочности по сравнению с экспериментом.
Если теоретические данные признают пригодными, расчет может быть использован для оценки работы натурной конструкции в упругой стадии. При испытаниях до разрушения получают величину предельной нагрузки, характеризующей несущую способность моделей. Несущую способность можно определить также из расчета методом предельного равновесия. При достаточно близком совпадении экспериментальных и теоретических данных расчет может быть использован для оценки несущей способности натурной конструкции. Работу натурной конструкции во всех стадиях можно оценить и непосредственно по результатам испытаний модели. Для этого модель должна быть законструирована подобной натуре. Переход от модели к натуре осуществляется в соответствии с законами геометрического и физического подобия.
1.
Берг О.Я. Физические основы теории прочности бетона и железобетона. М., Госстройиздат, 1961.
2.
Берг О.Я., Щербаков Е.Н., Писанко Г.Н. Высокопрочный бетон. М., Стройиздат, 1970.
3.
Брейтман В.М. К теории интегрального подобия. - Журнал теоретической физики, 1953, вып. 7. т. 23.
4.
Ванькевич В.Л., Шапиро А.В. Конструкция и экспериментальное исследование разрезных многоволновых оболочек положительной кривизны. - Реф. сб./ЦИНИС Госстроя СССР 1971, вып. 4, Межотраслевые вопросы строительства. Отечественный опыт.
5.
Геронимус В.Б. Нелинейное подобие и его применение к моделированию. - Труды/Новосиб. ин-т инж. ж.-д. трансп., 1961, вып. XXIV. Строительная механика, мосты, конструкции.
6.
Гухман А.А. Введение в теорию подобия, М., Высш. школа, 1973.
7.
Кассандрова О.Н., Лебедев В.В. Обработка результатов наблюдений. М., Наука, 1970.
8.
Кирпичев М.В. Теория подобия. М., Изд-во АН СССР, 1953.
9.
Краковский М.Б., Чиненков Ю.В. О совместной работе оболочек положительной гауссовой кривизны с диафрагмами. - Строит. механика и расчет сооружений, 1968, N 6.
10.
Мастаченко В.Н. Надежность моделирования строительных конструкций. М., Стройиздат, 1974.
11.
Назаров А.Г. О механическом подобии твердых деформируемых тел. Ереван, Из-во АН Арм. ССР, 1965.
12.
Налимов В.В., Чернова Н.А. Статистические методы планирования экстремальных экспериментов. М., Наука, 1965.
13.
Седов Л.И. Методы подобия и размерности в механике. М., Наука, 1972.
14.
Стельмах С.И., Хайдуков Г.К. Рекомендации по исследованию железобетонных пространственных конструкций на моделях. - В кн.: Пространственные конструкции зданий и сооружений (исследование, проектирование, возведение). М., Стройиздат, 1972, N 1.
15.
Хайдуков Г.К., Исхаков Я.Ш. Исследование на моделях и расчет пологих оболочек положительной гауссовой кривизны на прямоугольном плане. - Бетон и железобетон, 1966, N 1.
16.
Хайдуков Г.К., Шугаев В.В. Исследование предельного состояния железобетонных пологих оболочек при больших прогибах. - Бетон и железобетон, 1970, N 3.
17.
Хайдуков Г.К., Шугаев В.В., Краковский М.Б. Моделирование при исследовании железобетонных пространственных конструкций. - В кн.: Расчет и конструирование железобетонных конструкций. М., Стройиздат, 1972.
18.
Хайдуков Г.К., Краковский М.Б., Тукенов М. Определение прочности бетона в тонкостенных конструкциях. - Реф. сб./ЦИНИС Госстроя СССР. Межотраслевые вопросы строительства. Отечественный опыт, вып. 8, 1974.
19.
Хайдуков Г.К., Ванькевич В.А. Контактные усилия в комбинированных оболочках положительной гауссовой кривизны. - Труды института/НИИЖБ Госстроя СССР, М., 1974, вып. 9. Исследования железобетонных пространственных конструкций на моделях.
20.
Чиненков Ю.В. Методика исследования оболочек и складок покрытий на железобетонных моделях. - Труды института/НИИЖБ Госстроя СССР, М., 1974, вып. 9. Исследования железобетонных пространственных конструкций на моделях.
21.
Шугаев В.В., Краковский М.Б., Людковский А.М., Шарапов Г.В. Исследование оболочек покрытий зданий со светоаэрационными фонарями и подвесным транспортом. - Строит. механика и расчет сооружений, 1974, N 4.
22.
Шугаев В.В., Краковский М.Б., Тукенов М., Ярмульник Ф.В., Шарапов Г.В. Исследование оболочек покрытий текстильных комбинатов. - Строит. механика и расчет сооружений, 1975, N 6.
23.
Ярмульник Ф.В., Шарапов Г.В., Гайдук В.Г. Методика подбора материала при исследованиях железобетонных конструкций на моделях. Киев, Вища школа, 1974.
Результаты лабораторных испытаний моделей железобетонных оболочек, а также некоторые данные об отдельных осуществленных покрытиях-оболочках показывают, что при проектировании большепролетных тонкостенных конструкций этого типа следует учитывать опасность потери устойчивости их деформированного состояния. Вследствие малочисленности исследований устойчивости железобетонных оболочек целесообразно использовать данные теоретических и экспериментальных исследований оболочек из других материалов, имея в виду особенности железобетона, прежде всего, рост деформаций конструкции во времени, обусловленный ползучестью и возможностью постепенного выключения из работы бетона растянутой зоны.
В силу этих особенностей железобетона критические нагрузки тонкостенных гибких элементов, в частности оболочек, при длительном нагружении оказываются значительно более низкими, чем при кратковременных испытаниях.
При расчете критических нагрузок или критических напряжений для упругих оболочек следует исходить из их устойчивости "в большом", а не только "в малом", т.е. рассматривать возможность перехода от исходной формы равновесия к более устойчивой форме не только путем бесконечно малых, но также путем конечных деформаций.
Преодолению энергетического барьера, т.е. уровня потенциальной энергии конструкции, отвечающего промежуточным формам неустойчивого равновесия конечной деформации, способствуют начальное несовершенство формы оболочек, местные нагрузки, а для железобетонных оболочек, кроме того, ползучесть бетона.
В связи с этим теоретическое исследование устойчивости оболочек в большинстве случаев рекомендуется производить с помощью нелинейной теории устойчивости, учитывающей большие деформации.
В случае отсутствия в данном приложении необходимых для проектирования рекомендаций по проверке устойчивости следует руководствоваться данными об аналогичных по форме осуществленных оболочках или проводить специальные теоретические исследования, либо испытания соответствующих моделей.
Ползучесть бетона при отсутствии более совершенных способов оценки ее влияния рекомендуется учитывать, заменяя в формулах, полученных теоретическим путем, модуль упругости материала Eб модулем деформации бетона Eд.б, величину которого определяют по формуле

(6.1)
где kп - коэффициент, учитывающий увеличение деформаций конструкции вследствие кратковременной ползучести бетона, принимаемый равным: для тяжелого бетона, бетона на крупном пористом заполнителе и кварцевом песке - 0,85; для бетона на крупном и мелком пористом заполнителе и для поризованного бетона - 0,7;
c - коэффициент, учитывающий увеличение деформаций конструкции вследствие длительной ползучести бетона, принимаемый в зависимости от характера действующей нагрузки, вида бетона и условий эксплуатации конструкций по
табл. 35 главы СНиП II-21-75 "Бетонные и железобетонные конструкции";

- коэффициент, учитывающий неоднородность бетона и возможные несовершенства толщины конструкции.
Таким образом, для конструкций из тяжелого бетона, работающих при средней относительной влажности воздуха выше 40%
Для конструкций из тяжелого бетона, работающих при средней относительной влажности воздуха 40% и ниже
Путем такой же замены
Eб на
Eд.б следует переносить данные испытания моделей из упругих материалов на проектируемые железобетонные оболочки. Данные кратковременных испытаний железобетонных моделей, учитывая кратковременную ползучесть, следует переносить с заменой
Eб на

.
При необходимости внесения упрощений в теоретические исследования, а также при проектировании упрощенных моделей для испытания необходимо следить за тем, чтобы отличия конструкции от ее расчетной схемы или от модели шли в запас устойчивости; следует также принимать во внимание, что формы потери устойчивости, которыми задаются при расчете, могут оказаться не самыми опасными.
В случае, если проверка, выполненная для гладкой оболочки, не дает достаточной уверенности в ее устойчивости, надлежит снабжать оболочку ребрами. Для оболочек положительной или отрицательной гауссовой кривизны целесообразно располагать ребра в двух взаимно перпендикулярных направлениях. Для цилиндрических оболочек может быть принято, если это оправдывается архитектурными требованиями и производственными условиями, усиление оболочки только кольцевыми ребрами.
Во избежание образования местных выпучин между ребрами, расстояние между ними не рекомендуется назначать большим, чем

, где
R - меньший радиус кривизны оболочки.
Для гладких длинных цилиндрических оболочек продольные нормальные сжимающие напряжения

от расчетной нагрузки, подсчитанные по упругой стадии, не должны превышать величины

(6.2)
а скалывающие напряжения

по нейтральной оси не должны быть больше, чем

(6.3)
При сочетании нормальных и касательных напряжений необходимо соблюдать неравенство

(6.4)
Для гладких коротких цилиндрических оболочек интенсивность полной расчетной нагрузки не должна превышать величины

(6.5)
где l1 - пролет оболочки.
Для гладких подъемистых и пологих оболочек вращения и переноса интенсивность полной расчетной нагрузки не должна превышать величины

(6.6)
Здесь R2 - обозначает радиус кривизны в вершине для оболочек вращения;
R2 = R1 = R для сферических оболочек;
R2 - больший из радиусов кривизны для оболочек переноса;
k = f(R2/R1) - коэффициент, учитывающий увеличение критической нагрузки на оболочку с увеличением отношения R2/R1. Для оболочек переноса при R2/R1 < 1,5 принимается k = 1;
для оболочек переноса при R2/R1 >= 1,5 - значения коэффициента k принимаются по таблице:
R2/R1 | 1,5 | 1,75 | 2 | 2,25 | 2,5 |
k | 1,17 | 1,4 | 1,63 | 1,79 | 1,98 |
Ребристые оболочки при расчете устойчивости могут рассматриваться как ортотропные. В случае, когда размеры и расстояния ребер обоих направлений не слишком велики и не сильно отличаются друг от друга, ребристая оболочка может быть заменена для расчета фиктивной гладкой, имеющей ту же жесткость сечения на сжатие и тот же радиус инерции. При этом фиктивную толщину

определяют по формуле

(6.7)
а фактический модуль упругости Eф.б по формуле

(6.8)
где b - расстояние между осями соседних ребер;
F - площадь сечения, образованного одним ребром вместе с примыкающими частями тела оболочки шириной b;
I - момент инерции того же сечения.
Для ребристых цилиндрических оболочек при пользовании формулами следует понимать под

,

,

и

напряжения, отнесенные к фиктивной толщине оболочки

.
В настоящее время теоретически и экспериментально доказано, что основным фактором, влияющим на величину нагрузки, при которой происходит потеря устойчивости реальных оболочек, являются случайные несовершенства оболочек (формы, напряженного состояния, граничных условий). Значение верхней критической нагрузки, найденное с учетом начальных несовершенств, более точно оценивает действительную величину нагрузки, при которой происходит потеря устойчивости оболочки, чем расчет по приведенным формулам, основанным на понятии нижней критической нагрузки.
Однако для возможности определения величины несущей способности несовершенных оболочек необходимо знать статистические характеристики начальных несовершенств, вводимых в расчет.
Максимальные значения начального прогиба определяются опытным путем или задаются по аналогии с конструкциями подобного типа, для которых установлены возможные величины начальных несовершенств. При определении верхней критической нагрузки для несовершенных оболочек можно пользоваться опубликованными расчетными предложениями, подтвержденными экспериментальными исследованиями на оболочках рассматриваемого типа.
ТЕХНИКО-ЭКОНОМИЧЕСКАЯ ОЦЕНКА ПРОСТРАНСТВЕННЫХ КОНСТРУКЦИЙ
1. Эффективность применения пространственной конструкции может быть определена путем сопоставления ее с конструкцией-аналогом по показателям (см.
п. 4 настоящего приложения).
При разработке индивидуальных проектов аналогом должна служить традиционная эффективная конструкция, которая может быть принята в проекте в соответствии с условиями строительства данного объекта. При разработке пространственной конструкции для применения в массовом строительстве за аналог принимается наиболее экономичная типовая плоскостная или пространственная конструкция.
При сравнениях следует соблюдать условия сопоставимости конструкций, которые должны:
иметь одинаковое назначение и рассчитываться при одинаковых полезных нагрузках;
отвечать требованиям СНиП и условиям проектирования для одного и того же района строительства;
проектироваться для одинаковых грунтовых условий, а также условий эксплуатации, например в зданиях с пожароопасными производствами при сопоставлении оболочек со стальными конструкциями для последних следует учитывать устройство спринклерных установок. При этом следует учитывать разницу в затратах на ремонт конструкций различной долговечности.
При технико-экономической оценке пространственной конструкции, разрабатываемой для применения в массовом строительстве, дополнительным условием сопоставимости является соблюдение требований унификации.
2. Для соблюдения условий сопоставимости при сравнении вариантов необходимо учитывать элементы, смежные с рассматриваемыми основными конструкциями-оболочками и плоскостными конструкциями покрытия, принимаемыми за аналог, изменения которых могут быть вызваны следующими факторами:
различными габаритными размерами рассматриваемых конструкций;
различным их весом;
различной степенью огнестойкости;
неодинаковыми размерами температурных блоков;
различной потребностью в связях, в дополнительных элементах для крепления одних конструкций к другим (например, в подвесках для крепления путей подвесных кранов и т.д.).
3. Экономичность конструкций покрытия определяется комплексным показателем Э, отражающим эффективность использования производственной площади перекрываемого здания за счет укрупнения сетки колонн и экономичность строительного решения здания с пространственным покрытием в сравнении с аналогом.
Этот показатель выражается зависимостью
где

- коэффициент экономичности строительного решения, т.е. отношение показателей (приведенных затрат, расчетных стоимостей в деле, трудозатрат на изготовление и монтаж или расхода бетона и стали) здания с пространственной конструкцией к зданию с конструкцией-аналогом;

- отношение площади здания с укрупненной сеткой колонн
F1 к площади здания-аналога
F2.
Показатели Э,

и

являются величинами безразмерными; показатели приведенных затрат, стоимости в деле, трудоемкости изготовления и возведения, расхода бетона и стали, определяются на 1 м
2 площадей сравниваемых зданий.
4. В соответствии с рекомендациями "Типовой
методики определения экономической эффективности капитальных вложений" (М., "Экономика", 1971) в качестве основного показателя экономичности строительного решения принимаются приведенные затраты П, которые определяются с учетом стоимости конструкций в деле, капитальных ремонтов при различной долговечности, капиталовложений в базу, эксплуатационных расходов, продолжительности возведения и др. в соответствии с "Инструкцией по определению экономической эффективности капитальных вложений в строительстве
(СН 423-71)" (М., Стройиздат, 1971) по формуле

(7.1)
где С - себестоимость строительно-монтажных работ в деле без учета плановых накоплений, приведенная к году окончания строительства;
Ск - стоимость капитального ремонта, приведенная к году окончания строительства, определяемая по формуле

(7.2)
здесь: Скi - разовая стоимость i-го капитального ремонта;
i - порядковый номер капитального ремонта;

- число ремонтов за срок службы;
T - срок службы здания;
t - межремонтный срок;

- коэффициент приведения разновременных затрат, равный 0,08;
Eп - нормативный коэффициент эффективности, равный 0,12;
К - капитальные вложения в базу, приведенные к году окончания строительства;
M - среднегодовые эксплуатационные расходы, связанные с текущим содержанием здания (отопление, вентиляция, уборка снега, остекление и т.д.).
Если сопоставляемые конструкции выполняются из одного и того же материала (железобетона) и несущественно отличаются по продолжительности возведения, в качестве расчетного показателя экономичности может служить стоимость в деле.
Конструкция считается экономичной при Э < 1. Если сопоставляются несколько конструкций, то наиболее экономичной признается конструкция с наименьшим Э.
Следует учитывать также абсолютную величину экономического эффекта объемно-планировочного решения здания в целом и экономию материальных и трудовых затрат.
5. Стоимость в деле определяется с учетом отпускных цен на изделия, полуфабрикаты и материалы, расходов по их доставке до строительной площадки, заготовительно-складских расходов, стоимости работ по возведению, накладных расходов и плановых накоплений на основе действующих сметных норм и цен.
При отсутствии цен на одну из сравниваемых конструкций стоимость сопоставляемых конструкций рекомендуется определять по единой методике.
6. Капиталовложения в базу состоят из затрат на организацию производства конструкций, полуфабрикатов и материалов, необходимых для изготовления и возведения конструкций, а также затрат на приобретение монтажных и транспортных средств и строительство ремонтных и обслуживающих предприятий. Величина удельных капитальных вложений определяется по ведомственным нормативам удельных капитальных вложений.
7. Эксплуатационные расходы учитываются в случаях различных затрат на эксплуатацию зданий из-за разных их габаритов, различных возможностей механизации работ по эксплуатации (уборка снега, ремонт конструкций и т.п.).
8. Трудоемкость изготовления конструкций определяется с учетом затрат труда на основные и вспомогательные технологические и внутризаводские транспортные операции по данным заводов-изготовителей или по специальным методикам.
9. Трудоемкость возведения определяется по сметным нормам с учетом затрат труда машинистов строительных машин, затрат на укрупнительную сборку, установку конструкций в проектное положение и окраску, включая в необходимых случаях устройство лесов и подмостей.
10. Продолжительность возведения конструкций принимается по данным проектов организации работ.
11. Показатели материалоемкости определяются по проектам.
Пример 1. Рассмотрена целесообразность применения оболочек положительной кривизны из плит размером 3 x 6 м, серии 1.466-1/75 для покрытия здания размером в плане 144 x 144 м, с сеткой колонн 18 x 24 м, с подвесным транспортом без фонарей (инструментальное производство). Торцевые стены в расчете не учтены.
В качестве аналога приняты наиболее экономичные плоскостные конструкции покрытия для здания с сеткой колонн 12 x 24 м.
Все расчеты стоимости в деле произведены в сметных ценах, введенных с 1 января 1969 г., для Ленинградской области.
Приняты следующие накладные расходы, %:
на общестроительные работы - 17,6;
металлоконструкции - 8,3;
плановые накопления - 6;
заготовительно-складские расходы - 2.
Стоимость изготовления сборных железобетонных плоскостных конструкций и элементов оболочек (ферм и плит) принята по Прейскуранту N 06-08 изд. 1974 г. По плитам оболочек, которые отсутствуют в Прейскуранте, стоимость изготовления 1 м3 бетона принята такой же, как для плит плоскостных покрытий размером 3 x 6 м с учетом коэффициента К = 1,15 (на основании данных Гипростроммаша).
Стоимость изготовления стальных конструкций определена по "Ценнику N 1 средних районных сметных цен на материалы, изделия и конструкции. Часть II. Строительные конструкции и изделия". Стоимость других конструкций и материалов принята по действующим ценникам и прейскурантам.
Трудоемкость изготовления сборных железобетонных ферм и плит покрытий плоскостных конструкций, а также контурных ферм и плит оболочек принята по данным Гипростроммаша.
Стоимость транспортирования сборных железобетонных элементов плоскостных конструкций и оболочек определена по усредненным размерам транспортных расходов местных строительных материалов для промышленного строительства в Ленинградской области.
Стоимость и трудоемкость монтажа сборных железобетонных контурных ферм оболочек принята по сборнику "Единых районных единичных расценок (ЕРЕР)" N 11 (М., Стройиздат, 1972). Стоимость и трудоемкость монтажа оболочек размером 18 x 24 м из плит размером 3 x 6 м принята по единичной расценке, составленной на основе норм, разработанных НИС N 1 при тресте N 42 специализированных работ Главзапстроя Минстроя СССР в 1974 г., а также данных ЦНИИОМТП с учетом переходных коэффициентов от производственных норм к сметным.
При определении капитальных вложений в производство конструкций и материалов нормативы удельных капитальных вложений принимались согласно "Методическим рекомендациям по технико-экономической оценке проектных решений промышленных зданий и сооружений" (М., НИИЭС, 1973). Удельные капитальные вложения в производство элементов оболочек приняты по данным Гипростроммаша.
Годовые эксплуатационные расходы определены по "Методике и нормативам для определения стоимости эксплуатации промышленных зданий на стадии их проектирования" (М., ЦНИИПромзданий, 1970) и включают амортизационные отчисления на полное восстановление и капитальный ремонт, расходы на текущий ремонт, на отопление и вентиляцию, на уборку полов, очистку стен и уборку снега с кровли.
Эксплуатационные затраты на ремонт скатной кровли в данном случае принимались равными 0,3 руб./г, а для малоуклонной кровли - 0,1 руб./г.
Стоимость капитальных ремонтов принята для скатной кровли через каждые десять лет в размере 0,25, а через каждые 20 лет - 1,25 стоимости устройства нового ковра (в связи с полной его заменой). Для малоуклонной кровли периодичность ремонтов принята через 20 лет со стоимостью в размере 1,25 стоимости устройства нового ковра с засыпкой.
В
табл. 7.1 и
7.2 приведены технико-экономические показатели на 1 м
2 площади здания с покрытием в виде оболочек, а в
табл. 7.3 и
7.4 - с плоскостными конструкциями покрытия.
Абсолютная величина экономического эффекта без учета сокращения площади здания составляет на 1 м2:
по приведенным затратам ..... 59,26 - 55,56 = 3,7 руб.
" стоимости в деле ......... 32,79 - 28,54 = 4,25 руб.
" расходу бетона ........... 15,71 - 12,97 = 2,74 см
" расходу стали ............ 32,44 - 32,26 = 0,18 кг
" суммарным трудозатратам .. (2,78 + 0,7) - (2,88 + 0,54) = 0,06 чел.-ч.
Таблица 7.1
Технико-экономические показатели покрытия здания
с применением оболочек положительной кривизны
Конструктивные элементы и виды работ | Серия | Расход материалов | Стоимость в деле, руб. | Затраты труда, чел.-ч |
бетон, см (приведенная толщина) | сталь, кг | на заводе | на стройплощадке |
Контурные фермы | 1.466-1/75 | 2,09 | 6,92 | 5,27 | 0,26 | 0,09 |
Плиты оболочки | 1.466-1/75 | 5,34 | 5,64 | 5,76 | 0,28 | 0,13 |
Монтаж плит оболочек, замоноличивание швов, соединительные элементы | 1.466-1/75 | 0,81 | 0,63 | 1,05 | - | 0,33 |
Итого на покрытие | - | 8,24 | 13,19 | 12,08 | 0,54 | 0,55 |
Пути и крепления подвесного транспорта | - | - | 14,77 | 3,77 | - | 0,86 |
Стеновые панели (в габарите покрытия) | 1.432-5 | 2,1 | 0,9 | 1,98 | - | 0,12 |
Колонны стеновые и фахверковые | КЭ-01-49 КЭ-01-55 | 1,01 | 2,22 | 1,78 | - | 0,09 |
Кровля с утеплителем | - | - | - | 7,48 | - | 1,16 |
Фундаменты | 1.412-1 | 3,72 | 1,18 | 1,45 | - | 0,1 |
Всего | - | 12,97 ------- 2,1 | 32,26 | 28,54 | 1,08 | 2,88 |
Таблица 7.2
Показатели эффективности конструктивного решения покрытия
здания с применением оболочек положительной кривизны
Элементы здания | Себестоимость С, руб. | Стоимость капитальных ремонтов Ск, руб. | Капитальные вложения в базу КEн, руб. | Эксплуатационные расходы M/Eн, руб. | Приведенные затраты П, руб. |
Здание (без рулонного ковра) | 24,39 | - | 4,51 | 19,83 | 48,73 |
Рулонный ковер | 2,52 | 1,5 | 0,23 | 2,58 | 6,83 |
Итого | 26,91 | 1,5 | 4,74 | 22,41 | 55,56 |
Таблица 7.3
Технико-экономические показатели покрытия здания
с типовыми плоскостными конструкциями
Конструктивные элементы и виды работ | Серия | Расход материалов | Стоимость в деле, руб. | Затраты труда, чел.-ч |
бетон, см (приведенная толщина) | сталь, кг | на заводе | на стройплощадке |
Фермы: | | | | | | |
стропильные | 1.463-3 вып. 1 | 3,37 | 8,82 | 7,45 | 0,35 | 0,17 |
подстропильные | ПК-01-140 | 1,12 | 1,9 | 2,41 | 0,13 | 0,04 |
Плиты покрытия | 1.465-7 | 6,34 | 4,49 | 6,98 | 0,22 | 0,32 |
Итого на покрытие | - | 10,83 | 15,21 | 16,84 | 0,7 | 0,53 |
Пути и крепления подвесного транспорта | 445-72; 232-67 | - | 14,13 | 3,58 | - | 0,82 |
Стеновые панели (в габарите покрытия) | 1.432-5 | 1,95 | 0,9 | 1,86 | - | 0,1 |
Колонны основные и фахверковые | КЭ-01-49 КЭ-01-55 | 1,23 | 2,11 | 1,79 | - | 0,09 |
Фундаменты | 1.412-1 | 3,65 | 1,09 | 1,55 | - | 0,13 |
Кровля | - | - | - | 7,17 | - | 0,11 |
Всего | - | 15,71 ------- 1,95 | 33,44 | 32,79 | 1,4 | 2,78 |
Таблица 7.4
Показатели эффективности конструктивного решения
покрытия здания с типовыми плоскостными конструкциями
Элементы здания | Себестоимость С, руб. | Стоимость капитальных ремонтов Ск, руб. | Капитальные вложения в базу КEн, руб. | Эксплуатационные расходы M/Eн, руб. | Приведенные затраты П, руб. |
Здание (без рулонного ковра) | 28,59 | - | 4,86 | 19,25 | 52,7 |
Рулонный ковер | 2,35 | 1,43 | 0,2 | 2,58 | 6,56 |
Итого | 30,94 | 1,43 | 5,06 | 21,83 | 59,26 |
Отсюда следует, что оболочки по всем показателям эффективнее.
Коэффициент экономичности

строительного решения (по стоимости в деле)
где 120 - стоимость в деле 1 м2 здания с плоскостным покрытием;
4,25 - разница в стоимости зданий с плоскостным и пространственным покрытиями.
При величине коэффициента эффективности использования производственной площади, равной 0,976 (инструментальное производство), комплексный показатель Э равен:
Это означает, что здание с рассматриваемой пространственной конструкцией на 6% дешевле здания с наиболее экономичной типовой плоскостной конструкцией.
В ряде случаев экономический эффект за счет применения укрупненной сетки колонн может значительно превышать экономию от применения эффективных конструкций.
Пример 2. Проведено технико-экономическое сравнение покрытия бесфонарного бескранового здания размером 72 x 72 м с панелями-оболочками КЖС и типовыми плоскостными конструкциями. За аналог принято покрытие из плит размером 3 x 6 м по сегментным фермам пролетом 18 м.
Все расчеты стоимости в деле, трудозатрат и капиталовложений определены на основе "
Руководства по определению расчетной себестоимости и трудоемкости изготовления сборных железобетонных конструкций на стадии проектирования. Конструкции промышленных зданий" (М., Стройиздат, 1976); накладные расходы, плановые накопления и эксплуатационные расходы определялись так же, как в
примере 1 настоящего приложения.
Стоимость и трудозатраты при монтаже конструкций определены по сборнику ЕРЕР N 11.
Технико-экономические показатели приведены в табл. 7.5 и
7.6.
Таблица 7.5
Сравнение технико-экономических показателей покрытия
бесфонарного бескранового здания с типовыми плоскостными
конструкциями и панелями-оболочками КЖС
Конструктивные элементы и виды работ | Серия | Расход материалов | Стоимость в деле, руб. | Затраты труда, чел.-ч |
бетон, см (приведенная толщина) | сталь, кг | на заводе | на стройплощадке |
Аналог | | | | | | |
Плиты покрытия с замоноличиванием швов | 1.465-7 | 6,46 | 5,69 | 6,69 | 1,06 | 0,18 |
Стропильные фермы | ПК-01-129 | 2,43 | 5,16 | 4,3 | 0,55 | 0,12 |
Подстропильные фермы | ПК-01-110 | 1,56 | 2,96 | 2,29 | 0,27 | 0,03 |
Стеновые панели | 1.432-5 | 4,34 | 1,32 | 3,15 | 0,27 | 0,21 |
Всего | - | 14,79 | 15,13 | 16,43 | 2,15 | 0,54 |
Пространственное покрытие | | | | | | |
Панели-оболочки КЖС размером 3 x 18 м с замоноличиванием швов | - | 7,25 | 6,61 | 7,67 | 0,91 | 0,13 |
Подстропильные фермы | - | 1,08 | 2,92 | 1,91 | 0,22 | 0,03 |
Подстропильные балки | - | 0,42 | 0,75 | 0,5 | 0,06 | 0,05 |
Стеновые панели | 1.432-5 | 1,98 | 0,4 | 1,35 | 0,12 | 0,08 |
Всего | - | 10,73 | 10,68 | 11,43 | 1,31 | 0,29 |
Таблица 7.6
Сравнение показателей эффективности конструктивных
решений покрытий зданий из панелей-оболочек
КЖС и типовых плоскостных конструкций
Элементы здания | Себестоимость С, руб. | Капитальные вложения в базу КEн, руб. | Эксплуатационные расходы M/Eн, руб. | Приведенные затраты П, руб. |
Покрытие из типовых конструкций | 15,5 | 0,85 | 38,25 | 54,6 |
Покрытие из панелей-оболочек КЖС размером 3 x 18 м | 10,78 | 0,85 | 35,08 | 46,71 |
Абсолютная величина экономического эффекта составляет на 1 м2:
по приведенным затратам ....... 54,6 - 46,71 = 7,89 руб.
" стоимости в деле ........... 16,43 - 11,43 = 5,00 руб.
" расходу бетона ............. 14,79 - 10,73 = 4,06 см
" расходу стали .............. 15,13 - 10,68 = 4,45 кг
" суммарным трудозатратам .... (2,15 + 0,54) - (1,31 - 0,29) = 1,09 чел.-ч
Коэффициент экономичности

строительного решения (по приведенным затратам) составляет
При коэффициенте

комплексный показатель Э = 0,93 < 1.
Приведенные показатели по абсолютной экономии материалов, стоимости и трудоемкости, а также по комплексному показателю свидетельствуют о высокой экономической эффективности покрытий из панелей-оболочек КЖС по сравнению с типовыми плоскостными конструкциями.
ОПРЕДЕЛЕНИЕ ИНТЕНСИВНОСТИ ПРЕДЕЛЬНОЙ НАГРУЗКИ
ДЛЯ СФЕРИЧЕСКОЙ ОБОЛОЧКИ ПОСТОЯННОЙ ТОЛЩИНЫ
Дано: диаметр опорного кольца 2r0 = 30 м;
стрела подъема купола f = 6 м;
толщина купола

;
площадь сечения кольцевых стержней опорного кольца Fа.о = 35,4 см2;
площадь сечения кольцевой арматуры нижней и верхней сеток на единицу длины радиального направления
Fа.к = F'а.к = 1,4 см2;
площадь сечения меридиональной арматуры нижней сетки на единицу длины кольцевого направления Fа.м = 1,4 см2;
то же, верхней сетки F'а.м = 1 см2.
Принимаем, что Fа.м и F'а.м вдоль меридиана постоянны. Rа = Rа.с = 2100 кгс/см2; марка бетона М 200; Rпр = 90 кгс/см2.
В первом приближении примем
x = 2
a', где расстояние от равнодействующей усилий меридиональной арматуры
F'а.м до ближайшей грани сечения
a' = 1,5 см. Предельный момент на единицу длины
m определяем по
формуле (5.39)
n = (1,4 + 1,4)2100 = 5950 кгс/м.
nк = 35,4·2100 = 74 400 кгс.
Определяем параметры:
| | ИС МЕГАНОРМ: примечание. В официальном тексте документа, видимо, допущена опечатка: имеется в виду рисунок 5.13, а не рисунок 5.11. | |
По графикам, приведенным на
рис. 5.11, находим значения величин

;
k = 0,8;

.
r = 0,935·15 = 14,02 м;
Высоту сжатой зоны бетона
x в кольцевом пластическом шарнире определяем из
формулы (39) главы СНиП II-21-75
Так как x < a', высоту сжатой зоны бетона определяем без учета площади арматуры F'а.м
Определяем относительную высоту сжатой зоны бетона

Граничное значение

определяем по
формуле (30) главы СНиП II-21-75
где характеристику сжатой зоны бетона

определяем по
формуле (31) главы СНиП II-21-75
0,162 < 0,6·0,675 = 0,405.
Следовательно, прочность сжатой зоны бетона обеспечена и принятое нами расположение центра тяжести сжатой зоны бетона дает некоторый запас в определении предельной нагрузки.
Во втором приближении принимаем x = 1,04 см.
Тогда
Интенсивность предельной нагрузки q равна:
Так как вычисленные значения q весьма близки и прочность бетона в сжатой зоне обеспечена, дальнейшее уточнение не производим и принимаем интенсивность предельной нагрузки
q = 685 кгс/м2.
РАСЧЕТ СПЛОШНОЙ ПАНЕЛИ-ОБОЛОЧКИ КЖС РАЗМЕРОМ
3 x 18 М НА НАГРУЗКИ ОТ ВЕСА ПОКРЫТИЯ И СНЕГА
Дано: расчетная нагрузка q = 550 кгс/м2; нагрузка при коэффициентах перегрузки, равных единице. qн = 450 кгс/м2; расчетная нагрузка от снега p = 210 кгс/м2; марка бетона М 350; передаточная прочность бетона R0 = 250 кгс/см2; рабочая арматура диафрагм из стали упрочненной вытяжкой с контролем напряжений и удлинений класса АIIIв, с расчетным сопротивлением Rа = 4500 кгс/см2; высота сечения панели в середине пролета h = 100 см; стрела подъема оболочки z0 = 93,5 см;
Iпо = 2,83·106 см4; Fпо = 2162 см2; eон = 64,8 см;
y0 = 28,7 см; вес панели G = 9,2 тс.
Расчетная схема и основные геометрические размеры конструкции приведены на рис. 8.1.
Рис. 8.1. Расчетная схема и геометрические размеры
поперечного сечения панели-оболочки
а - расчетная схема; б - поперечное сечение панели-оболочки
1. Определяем необходимую площадь
Fа сечения рабочей арматуры диафрагм. При равномерно распределенной нагрузке максимальное усилие в арматуре диафрагм получается в середине пролета. Расчетный изгибающий момент в этом месте равен:
M0 = 0,125·3·0,55·17,75
2 = 65 тс·м. Подставляя
M0,
z0 и
Rа в
формулу (9.1), получим
принимаем:

АIIIв;
Fа = 16,1 см
2.
2. Определяем необходимую толщину оболочки

в середине пролета по
формуле (9.2) при
bп = 294 см;
Rпр = 155 кгс/см
2,
m0 = 0,75 и
mб1 = 0,85
принимаем

.
3. Определение толщин оболочки

на участке 3-4 в целях экономии места опускаем; при этом следует учитывать, что при равномерно распределенной нагрузке решающим является расчет по
формуле (9.4).
4. Проверяем толщину оболочки

исходя из расчета на условные критические напряжения сжатия по
формуле (9.5). При
Eб = 2,8·105 кгс/см2; lв = 220 см;
т.е. толщина оболочки, принятая равной 3 см, по условиям прочности и устойчивости достаточна.
5. Определяем расчетное усилие Nт в торцевой арматуре:
Определим площадь сечения торцевой арматуры Fа.т из стали класса АIII (при Fа.т = 3400 кгс/см2)
Принимаем:

АIII;
Fа.т = 3,08 см
2.
6. Производим проверку диафрагм на поперечную силу. Рассмотрим сечение, расположенное на расстояние 1 м от оси опоры. В этом сечении
h0 = 26,7 см;
z = 24,4 см;

;
bд = 10 см;
Rр = 11 кгс/см
2.
При этом Q0 = 0,5·3·0,55·17,75 - 3·0,55·1 = 13 тс; M = 0,5·3·0,55·17,75·1 - 0,5·3·0,55·12 = 13,82 тс·м.
Подставив эти данные в
формулу (9.8), определяем часть поперечной силы
Qд, воспринимаемую диафрагмами
Таким образом, в рассмотренном сечении расчетной поперечной арматуры не требуется; эта арматура устанавливается по конструктивным требованиям. Аналогичным образом должны быть проверены и другие сечения, при этом основное внимание следует уделять проверке сечений в зоне опорного узла, а также в месте изменения толщины диафрагмы

(у границы первого кессона и далее). При наличии сосредоточенных нагрузок, кроме того, должны быть проверены зоны вблизи от места их приложения.
7. Определяем площадь рабочей поверхности анкера. Для этого найдем изгибающий момент M1 в сечении на расстоянии 1,5 м от опоры
M1 = 14,65·1,5 - 0,5·1,65·1,52 = 20,15 тс·м.
принят анкер с упорной плитой, имеющей ширину 180 мм, высоту 140 мм
F1.анк = 18·14 = 252 см2 > 197 см2.
8. Определяем потери предварительного напряжения арматуры:
а) при коэффициенте точности натяжения арматуры
mт = 0,9; для этого определяем:
предварительное напряжение в напрягаемой арматуре до обжатия бетона
соответствующее усилие в этой арматуре
N01 = 4,46·16,1 = 71,8 тс;
изгибающий момент в середине пролета от собственного веса панели
Mс.в = 0,125·9,2·17,75 = 20,4 тс·м;
напряжения в бетоне на уровне напрягаемой арматуры в момент его обжатия
Определяем потери:
от быстронатекающей ползучести
от усадки

;
от ползучести

;
общие потери

;
б) при коэффициенте точности натяжения арматуры mт = 1:
N01 = 4,95·16,1 = 79,6 тс;
Определяем потери:
от быстронатекающей ползучести
от усадки

;
от ползучести
общие потери

;
в) при коэффициенте точности натяжения арматуры mт = 1,1
N01 = 5,45·16,1 = 87,7 тс;
Определяем потери:
от быстронатекающей ползучести
от усадки

;
от ползучести
общие потери

.
9. Определяем прогиб

панели в середине пролета с учетом длительного действия нагрузки при коэффициентах перегрузки, равных единице.
qк = 70·3 = 210 кгс/м;
qдл = (450 - 70)3 = 1140 кгс/м;
равнодействующая усилий N01 в напрягаемой арматуре при mт = 1 будет равна: N01 = 4950·16,1 = 79 600 кгс.
qв = 8·79 600·0,648/17,752 = 1310 кгс/м.
Затем определяем потери

для крайнего сжатого волокна бетона; для этого найдем напряжения сжатия

в этом волокне в момент передачи предварительного напряжения на бетон:
При этом потери будут равны:
от быстронатекающей ползучести

;
от усадки

;
от ползучести

;
общие потери

.
10. Определяем нагрузку, при которой образуются трещины в диафрагмах.
Рассмотрим сечение в середине пролета панели. Учитывая, что расстояние от центра тяжести сечения до его нижней грани равно 69,8 см, по
формуле (9.15) определим момент сопротивления
Далее найдем расстояние ry от центра тяжести сечения до верхней ядровой точки
По
формуле (9.14) определим момент сопротивления
Wт для растянутой грани сечения с учетом неупругих деформаций бетона
Wт = 1,4·40 500 = 56 700 см3.
Учитывая, что при mт = 1 равнодействующая усилий N02 в напрягаемой арматуре с учетом всех потерь равна:
найдем изгибающий момент Mт в середине пролета панели при образовании трещин
Mт = RрIIWт + N02(eон + ry) = 16,5·56 700 +
+ 59 200(64,8 + 15) = 5,66·106 кгс·см;
отсюда найдем равномерно распределенную нагрузку qт при образовании трещин
Таким образом, трещины появляются при нагрузке, превышающей нагрузку при коэффициентах перегрузки, равных единице.
11. Определяем значения изгибающих нагрузок для расчета оболочки между диафрагмами:
а) при равномерном нагружении (
рис. 8.1,
а).
При
Eа = 2·106 кгс/см2; n = 2·106/2,8·105 = 7,15;

, определяем по
формуле (9.18) прогиб панели в начале текучести арматуры диафрагм
Вычислим также местную нагрузку qм, приложенную к оболочке:
(здесь 4 кгс/м2 - расчетная нагрузка от заливки швов).
Подставляя полученные данные в
уравнение (9.16), найдем величину максимальной изгибающей нагрузки для оболочки при равномерном нагружении панели
б) при неравномерном нагружении по схеме
рис. 8.1,
а.
Если панель-оболочка нагружена снегом только на левой половине пролета при p = 210 кгс/м2, то g = 340 кгс/м2;
qс = 340 + 0,5·210 = 445 кгс/м2;
величину изгибающей нагрузки для левой половины пролета определяем при mт = 1,1;
Исходя из этого, по
формуле (9.17) определяем величину расчетного прогиба
w0-max
Подставляя полученные данные в
уравнение (9.27), а также учитывая, что
qм.л = 441 кгс/м
2, найдем расчетную изгибающую нагрузку
qи.л для левой, нагруженной снегом половины пролета
Величину расчетной изгибающей нагрузки
qи.п для правой, менее нагруженной половины оболочки, определяем при
mт = 0,9, так как здесь следует ожидать появления отрицательных моментов в оболочке; при этом

;
N02 = (4460 - 1145)·16,1 = 53 400 кгс.
эквивалентную нагрузку qN от сил предварительного напряжения
выгиб wN панели от сил предварительного напряжения
прогиб wн.т панели в начале текучести арматуры диафрагм
Местная нагрузка qм.п для правой половины пролета равна:
Определяем расчетный прогиб
w0-min в середине пролета по
формуле (9.24)
Подставляя полученные данные в
формулу (9.28), найдем величину расчетной изгибающей нагрузки для правой половины пролета
Таким образом, наибольшая по абсолютной величине изгибающая нагрузка получилась на левой нагруженной снегом половине оболочки при отсутствии снега на правой.
12. Задавшись армированием оболочки, проверим ее несущую способность. В качестве арматуры оболочки примем сварную сетку из холоднотянутой проволоки с рабочими (поперечными) стержнями

, расположенными с шагом 200 мм. При этом
Fа.п = 0,982 см
2;
Rа.п = 3150 кгс/см
2. Имея в виду, что
R = 350 кгс/см
2,

и
lв = 220 см, найдем величину предельной изгибающей нагрузки
qи-пред, пользуясь
формулой (9.35)
Таким образом, при всех комбинациях нагружения абсолютные величины расчетных изгибающих нагрузок не превышают предельной изгибающей нагрузки. Следовательно, заданные размеры и армирование обеспечивают достаточную несущую способность оболочки на изгиб.
РАСЧЕТ СПЛОШНОЙ ПАНЕЛИ-ОБОЛОЧКИ КЖС
РАЗМЕРОМ 3 x 18 М НА НАГРУЗКИ ОТ ВЕСА
ПОКРЫТИЯ, СНЕГА И ПОДВЕСНОГО ТРАНСПОРТА
| | ИС МЕГАНОРМ: примечание. Межгосударственным Советом по стандартизации, метрологии и сертификации 21.10.1993 принят и с 1 января 1995 года введен в действие ГОСТ 7890-93. | |
Исходные данные: расчетная нагрузка от веса покрытия и снега
q = 550 кгс/м
2; в том числе от снега 210 кгс/м
2, от собственного веса панелей и замоноличивания швов 192 кгс/м
2; подвесной транспорт - два двухпролетных электрических крана (по ГОСТ 7890-73) грузоподъемностью 5 тс (
рис. 8.2,
а); марка бетона панелей М 400; передаточная прочность бетона
R0 = 300 кгс/см
2; рабочая арматура диафрагм: из стали IV класса, марки 20ХГ2Ц -

(по два стержня в каждой диафрагме, расположенных вплотную друг к другу);
Fа = 19,6 см
2;
Rа = 5000 кгс/см
2; натяжение арматуры производится на упоры формы, бетон подвергается термической обработке; балки крановых путей приняты из двутавра N 30 М,
II = 8950 см
4; высота сечения панели в середине пролета
h = 100 см; стрела подъема оболочки
z0 = 93 см;
Iпо = 2,9·10
6 см
4;
Fпо = 2180 см
2;
eон = 63,7 см;
y0 = 29,3 см; остальные данные см. на рис. 8.2.
Рис. 8.2. Расчетные схемы и результаты расчета к примеру 3
а - схема подвески кранов; б - расчетные нагрузки,
передающиеся на диафрагмы; в - схема нагружения балки
кранового пути; г - расчетные нагрузки от кранов
и опорные реакции, приложенные к балке кранового пути;
M - эпюра изгибающих моментов в балке кранового пути
от сосредоточенных нагрузок
1. Решение первой части задачи: определение максимальных крановых нагрузок, передающихся на диафрагмы панели-оболочки, и проверка их несущей способности.
Расчет ведем при:
коэффициенте точности натяжения арматуры mт = 1,1;
полном нагружении покрытия снегом и двумя подвесными кранами Q = 5 тс;
расположении грузов в центре пролета;
расположении кранов в продольном разрезе по покрытию согласно схеме, приведенной на
рис. 8.2,
в.
Определим расчетные нагрузки, действующие на покрытие в целом:
а) равномерно распределенная нагрузка
qп (
рис. 8.2,
б)
qп = 550 - 210 + 210·0,9 = 529 кгс/м2;
б) нагрузка от тележек кранов:
Pк = 3450·1,2·0,9·0,85 = 3170 кгс (
рис. 8.2,
г);
Vк = (5000 + 2965 - 3450·2)0,25·1,2·0,9·0,85 = 245 кгс,
| | ИС МЕГАНОРМ: примечание. Межгосударственным Советом по стандартизации, метрологии и сертификации 21.10.1993 принят и с 1 января 1995 года введен в действие ГОСТ 7890-93. | |
где 3450 кгс - максимальная нагрузка от одной тележки крана на балку кранового пути (по ГОСТ 7890-73);
2965 кгс - собственный вес крана;
1,2 - коэффициент перегрузки;
0,9 и 0,85 - коэффициенты сочетания;
в) нагрузка от собственного веса балки кранового пути с подвесками
gI = 57 кгс/м.
Определим потери предварительного напряжения, учитывая, что
при этом потери от релаксации напряжений будут равны:
соответственно N01 = (5940 - 394)19,6 = 108 700 кгс.
Найдем напряжения в бетоне на уровне напрягаемой арматуры в момент его обжатия:
Определим теперь потери напряжения, возникающие после обжатия бетона:
от быстронатекающей ползучести
от усадки

;
от ползучести
общие потери

.
В соответствии с этим
N02 = (5940 - 1857)19,6 = 80 200 кгс.
Пользуясь
формулой (9.19), определим выгиб
wN панели от сил предварительного напряжения
По
формуле (9.18) найдем прогиб
wн.т панели в начале текучести арматуры диафрагм:
С целью определения величины коэффициента
r распределения крановых нагрузок предварительно вычислим коэффициенты

и

(см.
рис. 8.2,
в)
По
формуле (9.38) определим сосредоточенные нагрузки
V, передающиеся на одну панель-оболочку крайними балками крановых путей
V = 2·245(0,275 + 0,875) + 3·57 = 735 кгс.
Далее вычислим
1,4qпред = 1,4·772 = 1081 кгс/м2.
Подставляя найденные величины в
уравнение (9.39), составим уравнение для определения коэффициента
r
Решая его методом последовательных приближений (или на ЭВМ), находим
r = 1,71. Подставляя полученный результат в
формулу (9.37), определяем максимальную сосредоточенную нагрузку
P, кгс, передающуюся на две смежных диафрагмы панелей в центре их пролета
P = 1,71·3170 + 57·3 = 5592 кгс;
соответствующая эпюра нагрузок, передающихся на две диафрагмы, показана на
рис. 8.2,
б.
Проверим, достаточна ли несущая способность этих диафрагм на изгиб. Для этого найдем эквивалентную нагрузку
q1 из
уравнения (9.40)
q1 = 544 + 119·1,71 = 748 кгс/м2 < 772 кгс/м2.
Таким образом, эквивалентная нагрузка меньше предельной. Следовательно, несущая способность диафрагм на изгиб по сечению в середине пролета достаточна.
| | ИС МЕГАНОРМ: примечание. Межгосударственным Советом по стандартизации, метрологии и сертификации 21.10.1993 принят и с 1 января 1995 года введен в действие ГОСТ 7890-93. | |
Проверим, достаточна ли несущая способность диафрагм при грузах, максимально приближенных к левой опоре. Предварительно определяем нагрузки от тележек крана (см. ГОСТ 7890-73, табл. 2):
на левую балку кранового пути | - Vк.л = 3450 кгс; |
" среднюю | " | " | " | -  |
на правую | " | " | " | -  |
Соответствующие расчетные нагрузки от тележек крана (с учетом коэффициентов перегрузки и сочетания) будут равны:
Vк.л = 3450·1,2·0,85·0,9 = 3170 кгс;
Vк.с = 355·1,2·0,85·0,9 = 326 кгс;
Vк.п = 178·1,20·0,85·0,9 = 163 кгс.
Определяем расчетные нагрузки, передающиеся от кранов на одну панель КЖС:
Vл = 2·3170(0,275 + 0,875) + 3·57 = 7460 кгс;
Vс = 2·326(0,275 + 0,875) + 3·57 = 920 кгс;
Vп = 2·163(0,275 + 0,875) + 3·57 = 545 кгс.
Равномерно распределенная нагрузка qп = 529 кгс/м2.
Определяем величину изгибающего момента Mл в сечении над левой балкой кранового пути при найденных нагрузках.
Предварительно определяем опорную реакцию Aл на левой опоре
Определяем изгибающий момент
Находим расстояние от оси рабочей арматуры до оси оболочки в рассматриваемом сечении
Предельный изгибающий момент M1-пред в этом сечении равен:
M1-пред = 19,6·5000·0,3125 = 30 600 кгс·м > 28 100 кгс·м.
Следовательно, прочность сечения на изгиб достаточна.
2. Решение второй части задачи: определение нагрузок от подвесных кранов, при которых возникают максимальные по абсолютной величине отрицательные изгибающие моменты в оболочке, и проверка ее несущей способности.
Для расчета воспользуемся основными исходными данными из первой части задачи. Принимаем mт = 0,9;
Расчет ведем при отсутствии снеговой нагрузки на покрытии. Схему расположения кранов принимаем согласно
рис. 9.17 при
x1 = 2,325 м;
x2 = 1,875 м;
x3 = 1,125 м;
b0 = 3 м.
Определяем расчетные нагрузки:
а) постоянную - от собственного веса панели-оболочки, замоноличивания швов, утеплителя и кровли
g = 550 - 210 = 340 кгс/м2;
б) от тележек кранов - на среднюю балку кранового пути
Pк.о = 3450·1,2·0,85 = 3520 кгс;
в) от тележек кранов - на крайние балки кранового пути
Vк.о = (5000 + 2965 - 3450·2)0,25·1,2·0,85 = 272 кгс;
г) от собственного веса балки кранового пути:
gI = 57 кгс/м.
Определяем потери предварительного напряжения:
от релаксации напряжений
соответственно N01 = (4860 - 286)19,6 = 89 600 кгс;
от быстронатекающей ползучести
от усадки

;
от ползучести

;
общие потери

.
В соответствии с этим
N02 = 19,6(4860 - 1494) = 66 000 кгс.
По
формуле (9.19) определим выгиб
wN панели от сил предварительного напряжения
По
формуле (9.18) найдем прогиб
wн.т панели в начале текучести арматуры диафрагм
Вычислим коэффициенты, характеризующие расположение кранов вдоль балки кранового пути:
найдем коэффициент при третьем члене правой части этого уравнения
V0 = 272·1,775 + 3·57 = 654 кгс.
Решая это уравнение методом последовательных приближений, находим
r0 = 1,59;
q01 = 354 + 132·1,59 = 564 кгс/м2.
Подставляя в
формулу (9.24) величину
q01 и другие данные, найдем расчетный прогиб диафрагмы
Далее, по
формуле (9.21) найдем эквивалентную нагрузку от сил предварительного напряжения
Определяем местную нагрузку qм без снега, приложенную непосредственно к оболочке, по исходным данным
qм = 550 - 210 - 192 + 3·25·1,1 = 230 кгс/м2.
Подставляя полученные данные в
уравнение (9.23), определяем величину минимальной изгибающей нагрузки для оболочки
Принята рабочая арматура оболочки

; шаг 200 мм;
Fа.п = 0,982 см2/м; mб1 = 1,1.
По
формуле (9.35) определяем соответствующую предельную изгибающую нагрузку
145 > 144.
Таким образом, необходимая несущая способность оболочки на изгиб при нагружении подвесными кранами обеспечена.
Помимо расчетов
примера 3, оболочка должна быть проверена на изгиб также при других комбинациях нагружения. Все остальные расчеты проводятся по аналогии с
примером 2.
РАСЧЕТ ГИПЕРБОЛИЧЕСКОЙ ПАНЕЛИ-ОБОЛОЧКИ
а) Определение усилий в продольном сечении килевой панели-оболочки длиной 23,96 м, шириной 2,98 м со строительной высотой в середине пролета 1,3 м при нагрузке p = 411 кгс/м2.
Участок продольного сечения длиной

примыкает к середине пролета:
x = 8,89 м и

,
hа = 126,5 см,
hб = 130 см (рис. 8.3). Половина поперечного сечения разбита горизонтальными плоскостями на 16 элементарных участков (рис. 8.3,
а). Определены характеристики поперечных сечений:
yт.а = 78,56 см;
yт.б = 91,52 см;
Iв.а = 2,51·10
6 см
4;
Iв.б = 2,69·10
6 см
4.
Рис. 8.3. К примерам расчета
гиперболической панели-оболочки
а - на действие усилий поперечного направления;
б - на действие сосредоточенных вертикальных
нагрузок, приложенных к гребням волн
В поперечных сечениях панели-оболочки действуют балочные усилия: Mxа = 81,6 тс·м; Mxб = 87,16 тс·м; Qxа = 3,7 тс; Qxб = 0.
где сдвигающее усилие

определяем по формуле
В табл. 8.1 сведены вычисления для части поперечного сечения от n = 9 до n = 16.
Таблица 8.1
Величины к примеру расчета гиперболической панели-оболочки
Номер участка n | Сечение а-а | Сечение б-б |  , кгс |  , см 2 |  , кгс/см 2 |  , кгс | znб, см |  , кгс·см |
ynа - yт.а, см |  , см 2 |  , кгс/см 2 |  , кгс |  , кгс | ynб - yт.б, см |  , см 2 |  , кгс/см 2 |  , кгс |  , кгс |
16 | 44,2 | 67 | 144 | 9642 | 9642 | 42,9 | 133 | 138,8 | 18462 | 18462 | 8820 | 5610 | 1,57 | 209 | 142,2 | 0 |
15 | 38,3 | 125 | 124,6 | 15587 | 25229 | 36,8 | 87 | 119 | 10354 | 28816 | 3587 | 2370 | 1,57 | 132 | 138 | 88 |
14 | 33,9 | 31 | 110,2 | 3415 | 28644 | 31 | 28 | 100,4 | 2812 | 31628 | 2984 | 2085 | 1,43 | 40 | 124,1 | 5620 |
13 | 29,9 | 28 | 97,2 | 2721 | 31365 | 27 | 27 | 87,5 | 2362 | 33990 | 2625 | 1995 | 1,32 | 36 | 116,6 | 8480 |
12 | 25,9 | 26 | 84,2 | 2189 | 33554 | 23 | 28 | 74,5 | 2087 | 36077 | 2523 | 2085 | 1,21 | 34 | 109,1 | 11600 |
11 | 21,9 | 28 | 71,2 | 1993 | 35547 | 19 | 30 | 61,6 | 1847 | 37924 | 2377 | 2295 | 1,04 | 31 | 101,4 | 15100 |
10 | 17,9 | 31 | 58,2 | 1803 | 37350 | 15 | 33 | 48,6 | 1604 | 39528 | 2178 | 2505 | 0,87 | 29 | 93 | 19050 |
9 | 13,9 | 34 | 45,2 | 1536 | 38886 | 11 | 37 | 35,6 | 1319 | 40847 | 1961 | 2820 | 0,7 | 26 | 83,9 | 23806 |
Вычислим поперечный изгибающий момент
Mпi в продольном сечении
i = 9, определяемый по
формуле (10.1)
Mп9 = 23 806 - 26 127 = -2321 кгс·см = -0,023 тс·м,
где величина

от равномерно распределенной нагрузки, действующей на участок волны от
i = 9 до
mб = 16, равна 26 127 кгс·см.
Аналогичным образом находим
Mпi во всех продольных сечениях оболочки. Для сечения, в котором действует максимальный
Mпi, по
формулам (10.2) и
(10.3) вычисляем
Nпi и
Qпi и по трем усилиям проверяем продольное сечение оболочки и ее армирование.
б) Распределение сосредоточенной нагрузки между волнами.
Пользуясь данными
табл. 10.1, по
формуле (10.9) определяем наиболее нагруженные волны покрытия из килевых панелей-оболочек (
рис. 8.3,
б) от действия сосредоточенных сил, приложенных к их гребням. Вычисления сведены в табл. 8.2.
Таблица 8.2
Распределение сосредоточенной нагрузки между волнами
Распределение нагрузки | Номера полуволн |
1 | 2 | 3 | 4 | 5 | 6 | 7 | 8 | 9 | 10 |
Pв1 = 1 тс | | 0,054 | 0,142 | 0,304 | 0,498 | 0,498 | 0,304 | 0,142 | 0,054 | - | - |
| 0,027 | 0,071 | 0,152 | 0,249 | 0,249 | 0,152 | 0,071 | 0,027 | - | - |
Pв2 = 3,2 тс | | - | - | 0,054 | 0,142 | 0,304 | 0,498 | 0,498 | 0,304 | 0,142 | 0,054 |
| - | - | 0,086 | 0,227 | 0,486 | 0,797 | 0,797 | 0,486 | 0,227 | 0,086 |
Итого на полуволну, тс | 0,027 | 0,071 | 0,238 | 0,476 | 0,735 | 0,949 | 0,868 | 0,513 | 0,227 | 0,086 |
Наиболее погруженной оказалась панель-оболочка с полуволнами 5 - 6, которую необходимо рассчитать на сосредоточенную нагрузку 0,949 x 2 = 1,898 тс (см.
п. 10.28 настоящего Руководства).
Нагрузки
q - равномерно распределенная нагрузка на конструкцию
Усилия и перемещения
M - | изгибающий момент; |
Mx, M1 - | изгибающие моменты с плоскостью действия, параллельной оси x, или меридиональные моменты (для оболочек вращения); |
My, M2 - | изгибающие моменты с плоскостью действия, параллельной оси y, или кольцевые моменты (для оболочек вращения); |
Mxy, M12 - | крутящие моменты; |
Nx, N1 - | продольная сила, действующая в направлении оси x, или меридиональная сила (для оболочек вращения); |
Ny, N2 - | продольная сила, действующая в направлении оси y, или кольцевая сила (для оболочек вращения); |
Nxy - | сдвигающая сила; |
Q - | поперечная сила; |
W - | прогиб. |
Геометрические характеристики
 - | толщина плиты или полки; для гладкой плиты - толщина оболочки или стенки; |
b - | ширина сечения ребра или полки; |
h - | высота сечения ребра и складки; |
Rx, R1 - | радиус кривизны нормального сечения срединной поверхности плоскостью, параллельной оси x, или радиус кривизны меридионального сечения (для оболочек вращения); |
Ry, R2 - | радиус кривизны нормального сечения срединной поверхности плоскостью, параллельной оси y, или радиус кривизны кольцевого сечения (для оболочек вращения); |
kx, k1, ky, k2 - | кривизна (величина, обратная радиусу кривизны). |
Характеристики материалов
Rпр, RпрII - | расчетные сопротивления бетона осевому сжатию для предельных состояний первой и второй групп; |
Rр, RрII - | расчетные сопротивления бетона осевому растяжению для предельных состояний первой и второй групп; |
Rа - | расчетное сопротивление арматуры растяжению для предельных состояний первой группы; |
Rа.x - | расчетное сопротивление поперечной арматуры растяжению для предельных состояний первой группы при расчете сечений, наклонных к продольной оси элемента, на действие поперечной силы; |
Rа.с - | расчетное сопротивление арматуры сжатию для предельных состояний первой группы; |
RаII - | расчетное сопротивление арматуры растяжению для предельных состояний второй группы; |
Eб - | начальный модуль упругости бетона при сжатии и растяжении; |
Eв - | модуль упругости арматуры. |