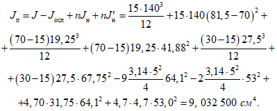
ИС МЕГАНОРМ: примечание. Взамен СНиП II-В.1-62 Постановлением Госстроя СССР от 24.11.1975 N 196 с 01.01.1977 введены в действие СНиП II-21-75. |
ИС МЕГАНОРМ: примечание. Взамен СНиП II-В.1-62 Постановлением Госстроя СССР от 24.11.1975 N 196 с 01.01.1977 введены в действие СНиП II-21-75. |
ИС МЕГАНОРМ: примечание. Взамен СНиП II-В.1-62 Постановлением Госстроя СССР от 24.11.1975 N 196 с 01.01.1977 введены в действие СНиП II-21-75. |
Инструкция, так же как и глава СНиП II-В.1-62, распространяется на проектирование несущих железобетонных конструкций зданий и сооружений из предусмотренных в главе СНиП I-В.3-62 тяжелых бетонов на цементном вяжущем, а также легких плотных бетонов на цементном вяжущем и пористых заполнителях. Настоящая Инструкция не распространяется на проектирование железобетонных конструкций гидротехнических сооружений, мостов, транспортных туннелей, труб под насыпями, автомобильных дорог и аэродромных покрытий, а также армоцементных и самонапряженных конструкций и конструкций из ячеистых, крупнопористых и специальных бетонов. При проектировании некоторых специальных типов конструкций или сооружений (тонкостенные пространственные конструкции, резервуары, силосы для хранения сыпучих тел, опоры линий электропередачи и др.) кроме настоящей Инструкции следует руководствоваться соответствующими нормативными документами. Проектирование железобетонных конструкций зданий и сооружений, предназначенных для строительства в районах сейсмических и Крайнего Севера, в зонах распространения вечномерзлых и просадочных грунтов и на подрабатываемых территориях, а также конструкций, предназначенных для работы в условиях систематического воздействия повышенных температур, агрессивной среды и повышенной влажности, должно вестись с учетом дополнительных требований, предъявляемых к строительству зданий и сооружений и их конструкций в перечисленных условиях по соответствующим главам СНиП или другим нормативным документам. Проектирование железобетонных конструкций из легкого бетона проектной марки по прочности на сжатие 100 и ниже должно вестись с учетом специфических особенностей таких конструкций (сцепление арматуры с бетоном, деформативность конструкций, требования по конструированию и т.д.) - по соответствующим нормативным документам. |
1.1 (1.5). Выбор конструктивных решений должен производиться в увязке с принятыми методами изготовления и возведения конструкций, а также с учетом: а) условий эксплуатации конструкций; б) необходимости широкого применения сборных конструкций, преимущественно из унифицированных стандартных или типовых элементов заводского изготовления; в) соблюдения требований по экономному расходованию металла, леса и цемента и по максимальному снижению трудоемкости изготовления и возведения конструкций. Примечание. Применение сложных конструктивных решений или конструкций сложных очертаний должно быть обосновано технико-экономической целесообразностью. 1.2 (1.6). При проектировании следует предусматривать применение таких железобетонных конструкций, которые позволяют наиболее эффективно использовать бетоны высоких марок и высокопрочную арматуру (например, предварительно напряженные конструкции; тонкостенные и пустотелые крупноразмерные элементы конструкций; пространственные тонкостенные конструкции, в том числе сборные и сборно-монолитные и т.п.) и отвечают условиям механизированного изготовления их на специализированных предприятиях. Элементы сборных железобетонных конструкций рекомендуется укрупнять, насколько это позволяют грузоподъемность монтажных механизмов, габариты, а также условия транспортирования и изготовления элементов. |
1.4 (1.7). При проектировании железобетонных конструкций в целях индустриализации арматурных работ ненапрягаемую арматуру следует предусматривать преимущественно из плоских унифицированных сварных элементов (каркасов и сеток) возможно меньшего количества типоразмеров, выполняемых предпочтительно с помощью многоточечных и других высокопроизводительных электросварочных машин; при этом объемные арматурные каркасы рекомендуется предусматривать из плоских элементов, соединяемых с помощью электросварки. |
Следует стремиться к тому, чтобы количество примененных в одной конструкции или в одном элементе типов и диаметров арматуры было минимальным. |
1.6 (1.11). При проектировании зданий и сооружений с несущими железобетонными конструкциями должны приниматься четкие конструктивные схемы, обеспечивающие необходимую прочность, общую устойчивость, а также пространственную неизменяемость здания или сооружения. Необходимая прочность, жесткость и устойчивость здания или сооружения в целом, а также отдельных его элементов и их соединений на всех стадиях эксплуатации и возведения должны определяться расчетом; при этом расчетные схемы должны отвечать принятым конструктивным схемам. 1.7 (1.12). Все необходимые мероприятия, обеспечивающие прочность, устойчивость и неизменяемость проектируемых зданий и сооружений на всех стадиях их эксплуатации и возведения (при этом особое внимание надлежит обращать на здания и сооружения, основные несущие конструкции которых предусматриваются сборными и сборно-монолитными), а также принципиальные указания о порядке возведения их должны быть приведены в проекте. Примечание. Принципиальные указания о порядке возведения зданий или сооружений и их основных несущих конструкций должны учитываться в последующем при разработке проекта производства строительных и монтажных работ. 1.8 (1.13). При проверке прочности и устойчивости конструкций зданий и сооружений в процессе их возведения значения коэффициентов перегрузки для всех учитываемых нагрузок, кроме веса конструкций, изделий и материалов, снижаются на 20%. Требуемые прочность и устойчивость конструкций в процессе их возведения могут быть в необходимых случаях обеспечены устройством временных креплений (связей, распорок, расчалок, подкосов и т.п.), а для зданий с наружными самонесущими стенами также путем закрепления конструкций при монтаже к продольным и поперечным наружным стенам. Перечисленные мероприятия должны быть предусмотрены в проекте конструкций. 1.9 (1.14). В сборных конструкциях особое внимание должно быть обращено на прочность, жесткость и долговечность соединений. В каркасных зданиях рамной системы следует предусматривать такого рода соединения элементов каркаса, которые обеспечивали бы необходимую пространственную жесткость и устойчивость конструкций на всех стадиях их возведения и после окончания строительства. В каркасных зданиях связевой системы и в бескаркасных зданиях, пространственная жесткость и устойчивость которых обеспечивается продольными и поперечными стенами, лестничными клетками и т.п. совместно с перекрытиями, необходимо проверять эти элементы на воздействие горизонтальных нагрузок. Сварные соединения элементов сборных конструкций должны предусматриваться такими, чтобы в условиях строительства возможно было выполнение их наиболее простыми средствами при обязательном удовлетворении требованиям соответствующих нормативных документов по контролю качества сварки. 1.10 (1.15). В стыках сборных железобетонных элементов, а также в сборно-монолитных конструкциях надежная связь дополнительно уложенного монолитного бетона с бетоном сборных конструкций должна осуществляться с помощью арматуры, выпускаемой из сборных железобетонных элементов путем устройства бетонных шпонок или насечки на поверхностях соединяемых элементов либо с помощью других надежных проверенных мероприятий. При этом в проекте должно быть дано указание о том, что поверхности сборных элементов конструкций, подлежащие обетонированию, должны быть тщательно очищены и промыты. 1.11 (1.16). Конструкции узлов, соединений элементов и стальных закладных деталей должны обеспечить надежную передачу усилий на элемент с помощью рассчитываемых и надежным образом заделанных анкеров, а в возможных случаях путем приварки стальных закладных деталей к рабочей арматуре элемента. При этом должна быть обеспечена прочность самого элемента в зоне передачи на него усилий от стыка. 1.12 (1.17). Узлы соединения элементов сборных конструкций принимаются в расчете жесткими, если они замоноличены бетоном требуемой прочности, который связан с бетоном сборных элементов необходимым армированием. Соединения элементов, выполненные на сварке до их замоноличивания, принимаются в расчете шарнирными, если не подтверждена расчетом требуемая их жесткость. 1.13 (1.18). Жесткость стыков сборных железобетонных элементов, выполняемых для создания неразрезности конструкции путем сварки арматуры и закладных деталей с последующим обетонированием, оценивается по жесткости элемента в сечении рядом со стыком. При этом обетонирование стыков должно быть выполнено согласно указаниям пп. 1.10 и 2.8. 1.14 (1.19). Вертикальные и горизонтальные диафрагмы, осуществляемые из сборных железобетонных элементов, могут рассматриваться как монолитные, если швы сопряжения как между отдельными элементами диафрагм, так и между диафрагмой и примыкающим элементом замоноличены. Замоноличивание стыков может производиться: а) стыкованием между собой выпусков арматуры с последующим заполнением швов бетоном; б) сваркой между собой стальных закладных деталей, надежно заанкеренных в соединяемых элементах. Площадь сечения арматуры в местах соединения элементов, размеры сварных швов и конструкция стальных закладных деталей и соединительных накладок должны быть проверены расчетом на усилия, возникающие в соответствующих сечениях диафрагм. В случаях, когда вертикальными диафрагмами служат поперечные каменные стены, а горизонтальными - железобетонные замоноличенные перекрытия, должна быть обеспечена заделка железобетонных диафрагм в стенах, а также проверена прочность самих стен. 1.15 (1.20). Соединения любого вида, назначаемые по конструктивным соображениям, не должны изменять характера работы здания или сооружения либо их отдельных элементов. В противном случае такие соединения должны учитываться в расчете. |
1.16 (12.58). В железобетонных сооружениях значительной протяженности должны предусматриваться температурно-усадочные швы, расстояния между которыми следует назначать в соответствии с указаниями п. 1.34. В необходимых случаях, например при неоднородных грунтах, в местах резкого изменения нагрузок, следует предусматривать осадочные швы. Осадочные швы, а также температурно-усадочные швы в сплошных железобетонных конструкциях следует осуществлять сквозными, разрезая конструкцию до подошвы фундамента. Температурно-усадочные швы в железобетонных каркасах рекомендуется осуществлять либо посредством двойных колонн с доведением шва до верха фундамента, либо в виде двусторонних консолей без вкладышей. ОСНОВНЫЕ РАСЧЕТНЫЕ ПОЛОЖЕНИЯ 1.17 (4.1). Расчет железобетонных конструкций должен производиться: а) по несущей способности (1-е предельное состояние): на прочность (с учетом в необходимых случаях продольного изгиба и с проверкой устойчивости формы конструкции) и на выносливость - для конструкций, находящихся под воздействием многократно повторяющейся подвижной или пульсирующей нагрузки, вызывающей значительный перепад напряжений в бетоне или в растянутой арматуре (подкрановые балки и эстакады, шпалы, рамные фундаменты и перекрытия под некоторые неуравновешенные машины и т.п.); б) по деформациям (перемещениям) (2-е предельное состояние) - для конструкций, величина деформаций (перемещений) которых может ограничить возможность их эксплуатации; в) по образованию или по раскрытию трещин (3-е предельное состояние) - для конструкций, в которых по условиям эксплуатации не допускается образование трещин или раскрытие их должно быть ограничено. Кроме того, в необходимых случаях должна быть проверена устойчивость положения конструкции расчетом на опрокидывание и скольжение (подпорные стены, внецентренно нагруженные высокие фундаменты и т.п.) или на всплывание (заглубленные или подземные резервуары, насосные станции и т.п.). 1.18 (4.2). Расчет железобетонных конструкций по 1-му и 3-му предельным состояниям должен быть произведен для всех тех стадий изготовления, транспортирования, монтажа и эксплуатации, при которых может возникнуть опасность достижения конструкцией одного из указанных предельных состояний; расчет железобетонных конструкций по 2-му предельному состоянию производится для стадии эксплуатации, а сборно-монолитных конструкций, кроме того, для стадии монтажа (см. п. 1.29); при этом должны учитываться остаточные деформации элементов, которые могут накопиться в период транспортирования, складирования и монтажа. 1.19 (4.3). Расчет железобетонных конструкций по деформациям и по раскрытию трещин может не производиться, если на основании практики применения или опытной проверки конструкции, выполненной в соответствии со специальной инструкцией, установлено, что жесткость ее в стадии эксплуатации достаточна (см. п. 1.20) и величина раскрытия в ней трещин (на всех стадиях, перечисленных в п. 1.18) не превышает допустимой (см. п. 1.26). 1.20 (4.14). Прогибы железобетонных элементов при нормативных нагрузках, определенные с учетом (в необходимых случаях) длительного действия всей постоянной и части временной нагрузки, не должны превышать величин, указанных в табл. 1.1. Таблица 1.1 (11) | ||
Наименование элементов | Предельные прогибы в долях пролета элемента l | |
1. Подкрановые балки при кранах: | ||
а) ручных | 1/500 | |
б) электрических | 1/600 | |
2. Элементы перекрытий с плоскими потолками и элементы покрытий при пролетах: | ||
а) l < 7 м | 1/200 | |
б) l >= 7 м | 1/300 | |
3. Элементы перекрытий с ребристыми потолками и элементы лестниц при пролетах: | ||
а) l < 5 м | 1/200 | |
б) 5 м <= l < 7 м | 1/300 | |
в) l >= 7 м | 1/400 | |
4. Навесные стеновые панели (при расчете из плоскости) при пролетах: | ||
а) l < 7 м | 1/200 | |
б) l >= 7 м | 1/300 | |
Для случаев, не предусмотренных табл. 1.1, а также когда по условиям эксплуатации зданий или сооружений (например, в связи с технологическими требованиями) не могут быть допущены прогибы, указанные в таблице, предельные величины прогибов должны устанавливаться соответствующими нормативными документами на проектирование данного вида сооружений или заданием на проектирование. При выполнении железобетонных конструкций со строительным подъемом значения предельных прогибов могут увеличиваться на величину строительного подъема. При этом общий расчетный прогиб элемента должен составлять не более 1/150 l. Предельные прогибы для консолей, отнесенные к вылету консоли, принимаются вдвое большими, чем соответствующие прогибы, указанные в табл. 1.1. Если в нижележащем помещении с гладким потолком имеются расположенные поперек пролета элемента l постоянные перегородки (не являющиеся опорами) с расстоянием между ними l1, то прогиб элемента в пределах расстояния l1 (отсчитываемый от линии, соединяющей верхние точки осей перегородок) может быть допущен до 1/200 l1, однако при этом предельный прогиб всего элемента должен быть не более 1/150 l. | ||
1.21 (4.15). Для не связанных с соседними элементами железобетонных плит перекрытий, лестничных маршей и площадок и тому подобных элементов помимо расчета прогибов от статической нагрузки должна также производиться проверка по зыбкости. При этом расчетный прогиб таких элементов от кратковременно действующего сосредоточенного груза весом 100 кг, добавочного к полной нормативной нагрузке, должен быть не более 0,7 мм. 1.22 (4.4). Расчет по образованию трещин производится для предварительно напряженных железобетонных конструкций, которые по предъявляемым к ним требованиям трещиностойкости подразделяются на три категории в соответствии с табл. 1.2. В той же таблице даны указания о необходимости расчета по образованию трещин для конструкций каждой категории трещиностойкости. Таблица 1.2 (9) конструкций по трещиностойкости и указания о необходимости расчета их по образованию трещин | |||||
Категории конструкций по трещиностойкости | Необходимость расчета конструкций по образованию трещин | ||||
I категория | Конструкции, к которым предъявляются требования непроницаемости (например, напорные трубы, резервуары и т.п.) | Расчет конструкций по образованию трещин требуется всегда | |||
II категория | Конструкции, к которым требования непроницаемости не предъявляются, но которые: | Расчет конструкций по образованию трещин требуется; однако если эти конструкции не подвергаются воздействию агрессивной среды и не подлежат расчету на выносливость, то для отдельных их зон расчет по образованию трещин может не производиться в следующих случаях: | |||
а) | находятся под воздействием агрессивной среды либо | ||||
б) | находятся под воздействием многократно повторяющейся нагрузки и при этом подлежат расчету на выносливость (см. п. 1.17 "а"), либо | ||||
а) | в наклонных сечениях изгибаемых элементов при выполнении поперечной и отогнутой арматуры из горячекатаной стали или из обыкновенной арматурной проволоки (см. п. 2.14 "а" и "в"); | ||||
в) | запроектированы с напрягаемой арматурой, имеющей нормативное сопротивление более 10 000 кг/см2, либо | ||||
б) | в нормальных сечениях элементов, в зонах, испытывающих при эксплуатации конструкций сжатие, а при воздействии предварительного обжатия - растяжение, если продольная арматура в этих зонах выполнена из горячекатаной стали, а при сварных каркасах и из обыкновенной арматурной проволоки; при этом площадь сечения арматуры в рассматриваемой зоне должна составлять не менее 0,1% от всей площади сечения элемента и должны быть учтены требования пп. 5.2 и 5.17. | ||||
г) | находятся на открытом воздухе и работают на знакопеременную нагрузку | ||||
III категория | Все конструкции, кроме отнесенных к I и II категориям трещиностойкости | Расчет конструкций по образованию трещин не требуется | |||
Примечания: 1. Конструкции с напрягаемой арматурой, имеющей нормативное сопротивление не более 10 000 кг/см2, находящиеся под воздействием средне- или слабоагрессивной среды, но при наличии специальной защиты, выполняемой по соответствующим нормативным документам, допускается относить к III категории трещиностойкости и, следовательно, не рассчитывать их по образованию трещин, если к этим конструкциям не предъявляются требования непроницаемости и они не подлежат расчету на выносливость. 2. Конструкции с напрягаемой арматурой, имеющей нормативное сопротивление более 10 000 кг/см2, находящиеся в условиях сильноагрессивной среды, следует относить к I категории трещиностойкости. | |||||
1.23 (4.5). Расчет конструкций, армированных предварительно напряженными элементами, по образованию трещин производится раздельно: а) для дополнительно уложенного бетона, окружающего предварительно напряженные элементы; б) для бетона предварительно напряженных элементов. Такие конструкции при расчете по образованию трещин в предварительно напряженных элементах и в бетоне, окружающем элементы, могут быть отнесены к различным категориям трещиностойкости. 1.24 (4.6). Для элементов железобетонных конструкций, не подвергаемых предварительному напряжению, а также для предварительно напряженных элементов III категории трещиностойкости определение усилий, вызывающих появление трещин, производится при вычислении деформаций, при расчете по раскрытию трещин, а также в случае, предусмотренном в п. 1.41. В этих случаях используются указания раздела 5. а) для железобетонных элементов, не подвергаемых предварительному напряжению; б) для предварительно напряженных элементов III категории трещиностойкости; в) для сечений и зон предварительно напряженных элементов II категории трещиностойкости, для которых не производится расчет по образованию трещин (см. табл. 1.2). Допускается не производить проверки ширины раскрытия трещин, нормальных к продольной оси элементов в конструкциях, не находящихся в условиях агрессивной среды либо под давлением сыпучих тел или жидкостей и не подлежащих расчету на выносливость, в которых в качестве продольной арматуры применяется горячекатаная сталь класса А-I или А-II. Ширину раскрытия наклонных трещин в элементах и зонах, перечисленных в настоящем пункте, следует проверять во всех случаях независимо от условия работы конструкции и типа применяемой арматуры. 1.26 (4.16). Ширина раскрытия трещин (нормальных и наклонных к оси элемента) в железобетонных конструкциях должна быть не более: а) для элементов, находящихся под давлением жидкости и работающих на центральное или внецентренное растяжение, если все сечение элемента растянуто, - 0,1 мм; б) для элементов, находящихся под давлением жидкости и работающих на изгиб и на внецентренное сжатие, а также на внецентренное растяжение, если часть сечения элемента сжата, и для элементов, находящихся под давлением сыпучих материалов, - 0,2 мм; в) в остальных случаях - 0,3 мм. Примечания: 1. Допускаемая ширина раскрытия трещин в железобетонных элементах при специальных защитных мероприятиях, а также в условиях агрессивной среды должна устанавливаться по соответствующим нормативным документам. 2. При расчете элемента на нагрузки, действующие в стадии транспортирования и монтажа, допускаемая ширина раскрытия трещин может приниматься на 30% более указанной в настоящем пункте. 1.27 (4.8). Порядок учета нагрузок и воздействий при расчете железобетонных конструкций по различным предельным состояниям как в стадии эксплуатации, так и в стадиях изготовления, хранения, транспортирования и монтажа приведен в табл. 1.3. Таблица 1.3 (10) железобетонных конструкций (в расчетах должны учитываться нагрузки и воздействия, возможные в стадии, для которой ведется расчет) | ||||||||||||||
Вид конструкций | Расчет конструкций в стадии | 1-е предельное состояние | 2-е предельное состояние | 3-е предельное состояние | ||||||||||
на прочность | по деформациям | по образованию трещин | по раскрытию трещин | |||||||||||
Железобетонные без предварительного напряжения | Эксплуатации, изготовления, хранения, транспортирования, монтажа | На воздействие расчетных нагрузок (с учетом в необходимых случаях коэффициента динамичности) | На воздействие нормативных нагрузок (с учетом в необходимых случаях коэффициента динамичности) | - | На воздействие нормативных нагрузок (с учетом в необходимых случаях коэффициента динамичности) | |||||||||
Железобетонные предварительно напряженные | Эксплуатации | На воздействие расчетных нагрузок (с учетом в необходимых случаях коэффициента динамичности) | На воздействие нормативных нагрузок в сочетании с предварительным напряжением (с учетом в необходимых случаях коэффициента динамичности) | Для I категории трещиностойкости на воздействие расчетных нагрузок | Для II категории трещиностойкости на воздействие нормативных нагрузок | Для III и в отдельных случаях II (см. табл. 1.2) категорий трещиностойкости на воздействие нормативных нагрузок (с учетом в необходимых случаях коэффициента динамичности) в сочетании с предварительным напряжением | ||||||||
в сочетании с предварительным напряжением (с учетом в необходимых случаях коэффициента динамичности) | ||||||||||||||
Изготовления, хранения, транспортирования, монтажа | На воздействие предварительного напряжения с учетом в необходимых случаях собственного веса и других нагрузок, действующих в рассматриваемой стадии, вводимых в расчет с коэффициентом перегрузки или динамичности | Расчет производится только для сборно-монолитных конструкций на воздействие нормативных нагрузок | Для I и II категорий трещиностойкости на воздействие предварительного напряжения с учетом в необходимых случаях собственного веса и других нагрузок, действующих в рассматриваемой стадии, вводимых в расчет с коэффициентом перегрузки или динамичности | Для III и в отдельных случаях II (см. табл. 1.2) категорий трещиностойкости на воздействие предварительного напряжения с учетом в необходимых случаях собственного веса и других нагрузок, действующих в рассматриваемой стадии, вводимых в расчет без коэффициентов перегрузки или динамичности | ||||||||||
| ||||||||||||||
Величины нормативных и расчетных нагрузок принимаются в соответствии с главами СНиП II-А.10-62 и II-А.11-62. 1.28 (4.9). Величина коэффициента динамичности для нагрузок от кранов должна приниматься согласно указаниям главы СНиП II-А.11-62. Влияние динамической нагрузки на элементы конструкций может учитываться в соответствии с рекомендациями действующих нормативных документов по проектированию и расчету несущих конструкций зданий под машины с динамическими нагрузками. При расчете сборных конструкций на воздействие усилий, возникающих при подъеме, транспортировании и монтаже, собственный вес элемента следует вводить в расчет с коэффициентом динамичности 1,5; при этом коэффициент перегрузки к собственному весу элемента не вводится. Примечания: 1. Коэффициент динамичности к собственному весу сборных конструкций при расчете их на воздействие усилий, возникающих при подъеме, транспортировании и монтаже, может приниматься меньше 1,5, если это подтверждено многолетним опытом применения таких конструкций, но, во всяком случае, не менее 1,25. 2. Расчет по образованию трещин подкрановых балок производится без учета коэффициента динамичности. 1.29 (4.10). Расчет сборно-монолитных конструкций и их элементов по несущей способности, по деформациям, а также по образованию и раскрытию трещин должен производиться для следующих двух стадий работы конструкции: а) до приобретения дополнительно уложенным бетоном заданной прочности - на воздействие транспортных и монтажных нагрузок, свежеуложенного бетона и других нагрузок, возникающих в процессе возведения; б) после приобретения дополнительно уложенным бетоном заданной прочности, т.е. при совместной работе его со сборными элементами в условиях эксплуатации сооружения (по указаниям соответствующей инструкции). 1.30 (4.11). Расчет центрально и внецентренно сжатых железобетонных элементов на прочность с учетом продольного изгиба, а также расчет железобетонных элементов по деформациям и по раскрытию трещин должен производиться с учетом неблагоприятного влияния длительного воздействия всей постоянной и части временной нагрузки, а в необходимых случаях - влияния предварительного обжатия. Разграничение временной нагрузки на длительно действующую и кратковременную производится согласно указаниям глав СНиП II-А.10-62 и II-А.11-62. 1.31 (4.12). При определении деформаций перекрытия вес расположенных на нем перегородок учитывается следующим образом: а) нагрузка от веса жестких перегородок (например, железобетонных сборных, выполняемых из горизонтальных элементов, железобетонных и бетонных монолитных, каменных и т.п.) принимается сосредоточенной по концам перегородки, а при наличии проемов - и у краев проемов; б) для прочих перегородок - 60% их веса принимается распределенным по длине перегородки (на участках между проемами), а 40% - сосредоточенным по концам перегородки и у краев проемов. 1.32 (4.13). Распределение местной нагрузки между элементами сборных перекрытий, выполняемых из многопустотных или сплошных плит, при условии обеспечения качественной заливки швов между плитами, допускается производить с учетом нижеследующих указаний: а) при расчете как по прочности, так и по деформациям принимается следующее распределение нагрузки от веса перегородок, расположенных вдоль пролета плит; если перегородка расположена в пределах одной плиты, то на эту плиту передается 50% веса перегородки, а по 25% ее веса передаются на две смежные плиты: если перегородка опирается на две соседние плиты, то вес перегородки распределяется поровну между ними; б) при расчете по деформациям местные сосредоточенные нагрузки, расположенные в пределах средней трети пролета плиты, распределяются на ширину, не превышающую длины этого пролета; при расчете по прочности такое распределение сосредоточенных нагрузок может быть допущено лишь при условии соединения смежных плит по длине шпонками, проверяемыми расчетом (см. п. 4.144). Примечание. Распространение рекомендаций настоящего пункта на ребристые панели допускается только при соответствующем обосновании при наличии поперечных ребер достаточной жесткости. 1.33 (4.8, табл. 10). При расчете предварительно напряженных конструкций с арматурой, не имеющей сцепления с бетоном (например, в стадии работы конструкции до заполнения каналов), растягивающее усилие в напрягаемой арматуре рассматривается как внешняя сила. 1.34 (4.17). Расстояния между температурно-усадочными швами в железобетонных конструкциях зданий и сооружений должны устанавливаться расчетом (см. пп. 1.36, 1.39). Если расстояния между температурно-усадочными швами не превышают величин, приведенных в табл. 1.4, для конструкций, выполняемых без предварительного напряжения, а также для предварительно напряженных конструкций III категории трещиностойкости, разрешается расчет на температуру и усадку не производить. Таблица 1.4 (12) в железобетонных конструкциях, допускаемые без расчета | ||||||||||||||
Наименование конструкций | Наибольшие расстояния между температурно-усадочными швами, допускаемые без расчета, в м | |||||||||||||
внутри отапливаемых зданий или в грунте | в открытых сооружениях и в неотапливаемых зданиях | |||||||||||||
Железобетонные конструкции (с ненапрягаемой арматурой или предварительно напряженные III категории трещиностойкости): | ||||||||||||||
а) | сборные каркасные, в том числе смешанные с металлическими или деревянными покрытиями | 60 | 40 | |||||||||||
б) | сборные сплошные | 50 | 30 | |||||||||||
в) | монолитные и сборно-монолитные каркасные из тяжелого бетона | 50 | 30 | |||||||||||
г) | то же, из легкого бетона | 40 | 25 | |||||||||||
д) | монолитные и сборно-монолитные сплошные из тяжелого бетона | 40 | 25 | |||||||||||
е) | то же, из легкого бетона | 30 | 20 | |||||||||||
Примечания: 1. Для железобетонных конструкций одноэтажных промышленных и сельскохозяйственных зданий допускается без расчета увеличивать расстояния между температурно-усадочными швами на 10% сверх значений, указанных в табл. 1.4. | ||||||||||||||
Для указанных зданий при высоте колонн более 6 м расстояние между температурно-усадочными швами допускается увеличивать на 20% против значений, приведенных в табл. 1.4. | ||||||||||||||
| ||||||||||||||
2. Для конструкций, возводимых в районах Крайнего Севера, указанные в табл. 1.4 расстояния между температурно-усадочными швами уменьшаются на 25%. Это относится к районам с минимальной среднемесячной температурой ниже -20 °C (см. СНиП II-А.6-62). Для предварительно напряженных конструкций I и II категорий трещиностойкости (см. табл. 1.2) расстояния между температурно-усадочными швами должны во всех случаях устанавливаться расчетом конструкции по образованию трещин. 1.35 (4.19). Усилия, действующие в элементах статически неопределимых железобетонных конструкций, рекомендуется определять с учетом неупругих деформаций по соответствующим инструкциям по расчету статически неопределимых конструкций с учетом перераспределения усилий. Для получения более выгодного сочетания сил в статически неопределимых системах может быть использовано искусственное регулирование усилий. Усилия в статически неопределимых железобетонных конструкциях, для которых еще не разработана методика расчета с учетом неупругих деформаций, могут определяться в предположении их упругой работы. 1.36 (4.20). При определении усилий, возникающих от изменения температуры и влажности элемента, а также усилий, действующих в элементах статически неопределимых конструкций, для которых величина нагрузки и характер ее распределения зависят от жесткости элементов (например, распределение давления грунта на плитные фундаменты), должны учитываться их деформации (перемещения) в соответствии с указаниями пп. 6.1 - 6.20, а также других нормативных документов. 1.37 (4.21). При определении усилий в элементах статически неопределимых конструкций для расчета их как по несущей способности, так и по деформациям рекомендуется учитывать пространственную работу конструкций. 1.38 (4.22). Для плит, окаймленных по всему контуру монолитно связанными с ними балками, рассчитываемых без учета распора, возникающего в предельном состоянии (за исключением плит безбалочных перекрытий), величины изгибающих моментов следует уменьшать против определенных по расчету: а) в сечениях промежуточных пролетов и у промежуточных опор - на 20%; б) в сечениях крайних пролетов и у вторых от края перекрытия опор: | ||||||||||||||
при lк/l < 1,5 | на 20%; | |||||||||||||
при 1,5 <= lк/l <= 2 | на 10%, | |||||||||||||
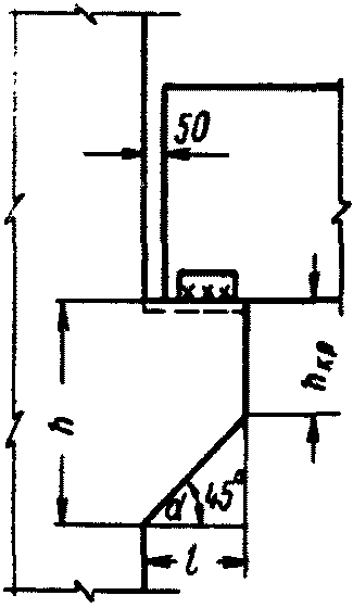
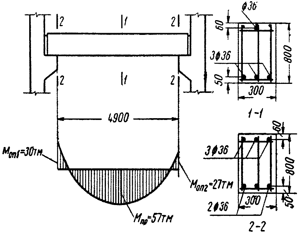
где l - расчетный пролет плиты в направлении, перпендикулярном краю перекрытия; lк - расчетный пролет плиты в направлении, параллельном краю перекрытия (рис. 1.1). ![]() монолитных ребристых перекрытий 1.39 (4.23). Температурно-влажностные воздействия на железобетонные конструкции следует учитывать при установлении расстояний между температурно-усадочными швами (п. 1.34), а также в особых случаях расчета конструкций, подверженных значительным изменениям температуры или влажности, например: а) при резко неравномерном распределении температуры или влажности по сечениям элементов; б) при периодическом воздействии на конструкции производственно-технологических тепловыделений; в) при устойчиво низкой влажности окружающей среды. Разрешается не учитывать усадку бетона в элементах сборных железобетонных конструкций, а также в конструкциях, с раннего возраста защищенных от высыхания грунтом или лакокрасочными покрытиями. | ||||||||||||||
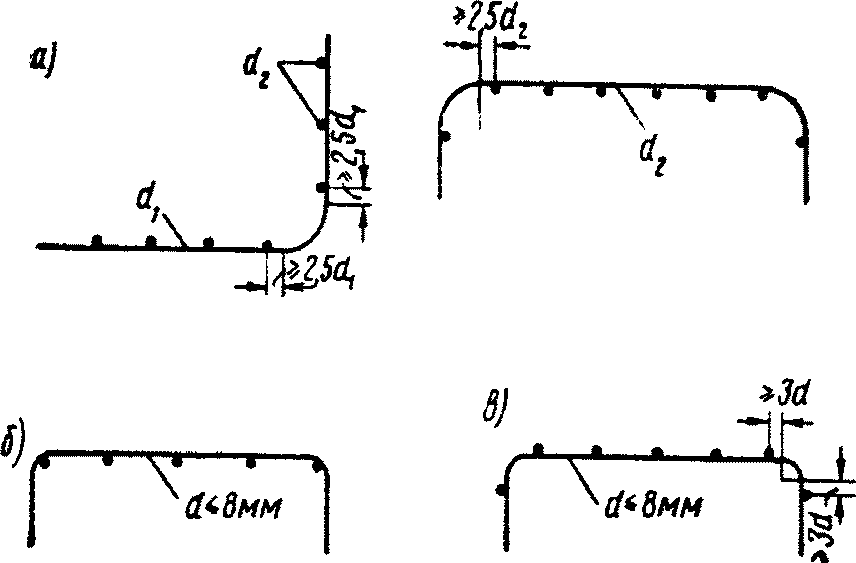
УКАЗАНИЯ ПО ПРОЕКТИРОВАНИЮ ЭЛЕМЕНТОВ ЖЕЛЕЗОБЕТОННЫХ КОНСТРУКЦИЙ 1.40 (12.13). Площадь сечения продольной рабочей арматуры в железобетонных элементах должна приниматься не ниже указанной в табл. 1.5. Таблица 1.5 (25) в железобетонных элементах (в % от площади расчетного сечения бетона) | ||||
Характеристика положения арматуры и характер работы элемента | Минимальный процент армирования при бетоне марки | |||
200 и ниже | 250 - 400 | 500 - 600 | ||
1. Арматура A во всех изгибаемых, внецентренно сжатых (кроме колонн и стеновых панелей) и внецентренно растянутых элементах Арматура A' во внецентренно сжатых по случаю 2 элементах (кроме колонн и стеновых панелей) и внецентренно растянутых по случаю 2 элементах | 0,1 | 0,15 | 0,2 | |
2. Арматура A и A' во внецентренно сжатых колоннах: | ||||
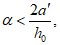
при | 0,15 | 0,15 | 0,2 | |
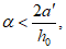
при ![]() | 0,2 | 0,2 | 0,2 | |
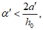
при ![]() | 0,25 | 0,25 | 0,25 | |
3. Арматура A и A' во внецентренно сжатых стеновых панелях: | ||||
при | 0,1 | 0,15 | 0,2 | |
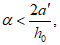
при | 0,25 | 0,25 | 0,25 | |
Минимальная площадь сечения всей продольной арматуры в центрально сжатых элементах, а также во всех элементах кольцевого сечения в % от площади всего сечения бетона должна приниматься вдвое больше величин, указанных в табл. 1.5. Примечания: 1. Для элементов таврового сечения с полкой, расположенной в сжатой зоне (за исключением стеновых панелей), указанные проценты армирования относятся к площади сечения бетона, равной произведению ширины ребра b на рабочую высоту h0. 2. Элементы, не удовлетворяющие по величине минимального процента армирования требованиям настоящего пункта, следует относить к бетонным элементам, рассчитывать и конструировать согласно указаниям главы СНиП II-В.1-62, пп. 6.1 - 6.10, 12.61. 3. Требования настоящего пункта могут не учитываться при назначении площади сечения арматуры, поставленной по контуру плит или панелей из расчета на изгиб в плоскости плиты (панели). 1.41 (12.13, 7.9). Требования п. 1.40 не относятся к предварительно напряженным железобетонным элементам I и II категорий трещиностойкости, рассчитываемым по образованию трещин (см. п. 1.22). В предварительно напряженных конструкциях I и II категорий трещиностойкости, а также во всех конструкциях, подвергающихся динамическим воздействиям, не допускается применение элементов со слабым армированием, прочность которых исчерпывается с образованием трещин в бетоне растянутой зоны (усилия, вызывающие образование трещин, в данном случае должны определяться по указаниям пп. 5.3 - 5.13 при замене во всех формулах этих пунктов Rт на | ||||
Для предварительно напряженных элементов III категории трещиностойкости, прочность которых исчерпывается с образованием трещин в растянутой зоне, вследствие достижения растянутой арматурой расчетного сопротивления, усилия, воспринимаемые сечением элемента, должны приниматься уменьшенными на 15% против определенных расчетом. 1.42 (12.1). Размеры сечений центрально и внецентренно сжатых железобетонных элементов должны во всех случаях приниматься такими, чтобы их гибкость в любом направлении не превышала наибольшей величины, указанной в табл. 4.3. Размеры колонн прямоугольного сечения, являющихся элементами зданий, рекомендуется принимать такими, чтобы отношение расчетной длины колонны к размеру ее поперечного сечения в соответствующем направлении было не более 30. Толщину монолитных плит рекомендуется принимать не менее: а) для покрытий - 50 мм; б) для междуэтажных перекрытий гражданских зданий - 60 мм; в) для междуэтажных перекрытий производственных зданий - 70 мм; г) под проездами - 80 мм. Минимальная толщина сборных плит, в которых располагается арматура, должна определяться из условия требований к расположению арматуры по толщине плиты и соблюдения величины защитных слоев бетона (см. пп. 9.36 - 9.42). 1.43 (7.22). Постановка специальной расчетной ненапрягаемой арматуры в сжатой зоне изгибаемых элементов допускается только при ограниченной высоте сечения, при наличии изгибающих моментов двух знаков или в случаях каких-либо особых требований (например, для уменьшения ползучести бетона сжатой зоны в целях повышения жесткости элемента). |
1.45 (13.1, 1.8). При проектировании предварительно напряженных железобетонных конструкций, следует, как правило, обеспечивать надежное сцепление арматуры с бетоном путем применения стали периодического профиля, заполнения каналов цементным или цементно-песчаным раствором, а пазов и выемок - раствором либо бетоном. Применение предварительно напряженных элементов с арматурой, не имеющей сцепления с бетоном, допускается лишь при специальном обосновании. 1.46 (13.5). При проектировании предварительно напряженных изгибаемых, а также внецентренно сжатых и внецентренно растянутых с большими эксцентриситетами элементов рекомендуется принимать сечения с развитыми растянутой и сжатой зонами бетона (двутавровое, прямоугольное полое и т.п.). |
1.48 (13.6). В предварительно напряженных элементах допускается часть продольной горячекатаной арматуры элемента применять без предварительного напряжения, если при этом удовлетворяются требования расчета по образованию трещин и по деформациям. 1.49 (8.1). Предварительно напряженные конструкции I категории трещиностойкости, а также конструкции II категории трещиностойкости, в которых образование трещин как в стадии эксплуатации, так и в стадиях предварительного обжатия, транспортирования и монтажа не допускается (см. пп. 1.18 и 1.22), рекомендуется проектировать так, чтобы равнодействующая усилий во всей напрягаемой продольной арматуре после обжатия бетона не выходила за пределы ядра сечения. При этом величину предварительного напряжения арматуры рекомендуется принимать наибольшей в соответствии с указаниями п. 3.2. |
а) при натяжении арматуры на упоры: | ||
для центрально обжатых элементов | - | (0,6 - 0,7)R0; |
для внецентренно обжатых | - | (0,7 - 0,8)R0; |
б) при натяжении арматуры на бетон: | ||
для центрально обжатых элементов | - | (0,5 - 0,6)R0; |
для внецентренно обжатых | - | (0,6 - 0,7)R0. |
а) при натяжении арматуры на упоры: | ||
для центрально обжатых элементов | - | (0,45 - 0,5)R0; |
для внецентренно обжатых элементов | - | (0,5 - 0,55)R0; |
б) при натяжении арматуры на бетон: | ||
для центрально обжатых элементов | - | (0,40 - 0,45)R0; |
для внецентренно обжатых элементов | - | (0,45 - 0,5)R0. |
1.53 (13.2). При проектировании предварительно напряженных статически неопределимых конструкций выбор их схемы и способа возведения рекомендуется производить так, чтобы при создании предварительного напряжения исключалась возможность возникновения в конструкции дополнительных усилий, ухудшающих ее работу. Допускается применение временных швов или шарниров, замоноличиваемых после натяжения арматуры. 1.54 (12.59). В сборных или сборно-монолитных конструкциях, на опорах которых в результате замоноличивания стыков (сварки выпусков арматуры; укладки в швах между элементами дополнительной арматуры, перекрывающей стык; установки поверх стыкуемых конструкций железобетонных элементов, перекрывающих стыки) могут возникнуть отрицательные моменты, рекомендуется назначать площадь сечения надопорной арматуры в соответствии с указаниями действующих нормативных документов по расчету статически неопределимых железобетонных конструкций с учетом перераспределения усилий. Места обрыва этой арматуры должны определяться согласно указаниям п. 4.67. | ||
2.1 (2.1). Бетон для железобетонных конструкций применяется следующих проектных марок по прочности на сжатие: а) тяжелый - 100, 150, 200, 300, 400, 500 и 600; б) легкий - 35, 50, 75, 100, 150, 200, 250, 300. Примечания: 1. При соответствующем обосновании разрешается применение бетонов более высоких марок, чем указанные в п. 2.1; при этом их расчетные сопротивления и другие характеристики должны приниматься по соответствующим нормативным документам. |
2.2 (2.2). Для конструкций, работающих преимущественно на растяжение, при специальном обосновании допускается дополнительно устанавливать проектную марку бетона по прочности на растяжение (см. п. 2.10 "б"). |
Для конструкций, подвергающихся многократному замораживанию и оттаиванию (градирни, тушильные башни, открытые конструкции в местностях с частой сменой мороза и оттепелей), должна устанавливаться проектная марка бетона по морозостойкости согласно главе СНиП II-А.10-62. Для панелей наружных стен, цоколей и фундаментов зданий и сооружений проектная марка бетона по морозостойкости устанавливается в соответствии с требованиями главы СНиП II-В.2-62. |
2.3 (2.3). Срок твердения (возраст) бетона, отвечающий его проектной марке по прочности, принимается: для монолитных конструкций, как правило, 28 дней, а для сборных конструкций - в соответствии со сроком, предусмотренным в государственных стандартах на изделия, а при отсутствии их - в технических условиях на изготовление данного вида изделий. При специальном обосновании разрешается устанавливать проектную марку бетона монолитных конструкций в возрасте, отличающемся от 28 дней (например, 60 или 90) в зависимости от сроков фактического загружения конструкций, способов их возведения, условий твердения бетона, а также сорта применяемого цемента; в этом случае в проектах наряду с проектной маркой бетона должны указываться соответствующие сроки твердения бетона. Возраст бетона монолитных конструкций, в котором устанавливается его проектная марка, не должен приниматься более 28 дней для сооружений, возводимых в скользящей и переставной опалубке, а также для конструкций немассивных и средней массивности (при отношении поверхности элемента, открытой для его высыхания в м2 к его объему в м3 более 2), за исключением укладываемых непосредственно на грунт или подготовку из щебня или из тощего бетона; при этом должны учитываться условия возведения конструкций в зимний период. Примечание. Отпускная прочность бетона сборных железобетонных изделий при отсутствии на эти изделия государственных стандартов устанавливается в технических условиях на изготовление данного вида изделий в зависимости от назначения конструкций, времени года, условий монтажа и срока загружения, но не менее 70% от проектной марки бетона по прочности на сжатие. При этом величина отпускной прочности бетона изделий должна быть согласована с проектной организацией, а в необходимых случаях также и с монтажной (строительной) организацией. |
2.4 (2.1). Для железобетонных конструкций применение тяжелого бетона проектной марки ниже 150, как правило, не допускается. Железобетонные предварительно напряженные элементы или их части, в которых располагается напрягаемая арматура, должны выполняться из бетона проектной марки не ниже: тяжелого - 200 и легкого - 150. В конструкциях, подлежащих расчету на выносливость (см. п. 8.1), применение бетона проектной марки ниже 200 не рекомендуется. Примечания: 1. Допускается применение тяжелого бетона проектной марки 100 в массивных железобетонных конструкциях с конструктивным армированием при условии соблюдения требований к бетону, обеспечивающих защиту арматуры от коррозии. 2. Допускается применение тяжелого бетона проектной марки 150 в стенках круглых монолитных предварительно напряженных резервуаров и труб, при напряжении только кольцевой (или спиральной) арматуры. 2.5 (2.4). Для центрально и внецентренно сжатых железобетонных элементов из тяжелого бетона, размеры сечения которых определяются из расчета на прочность, рекомендуется принимать проектную марку бетона не ниже 200. Для сильно нагруженных конструкций, например для колонн нижних этажей многоэтажных зданий, а также колонн одноэтажных зданий, воспринимающих значительную крановую нагрузку, рекомендуется принимать проектную марку бетона не ниже 300. 2.6 (2.4). Для тонкостенных железобетонных конструкций из тяжелого бетона, а также для стен зданий и сооружений, возводимых в скользящей и переставной опалубке, следует принимать проектную марку бетона не ниже 200. 2.7 (2.6). Для предварительно напряженных конструкций проектная марка бетона и временное сопротивление его сжатию (кубиковая прочность) при обжатии принимаются не ниже указанных в табл. 2.1. При этом в случае применения для арматуры гладкой проволоки на концах отдельных проволок, а также пучков и многопрядных канатов (тросов) обязательно устройство анкеров, конструкция которых должна быть проверена практикой применения или специальными испытаниями. Таблица 2.1 (1) железобетонных конструкций и временное сопротивление бетона сжатию (кубиковая прочность) при его обжатии | ||||||||
Вид конструкций, бетона и армирования | Проектная марка бетона, не ниже | Кубиковая прочность бетона при его обжатии Rо <*> в кг/см2, не ниже | ||||||
1. Большепролетные конструкции, собственный вес которых составляет значительную часть расчетной нагрузки, из бетона: | ||||||||
а) | тяжелого | 400 | ||||||
б) | легкого <****> | 200 | - | |||||
2. Конструкции из тяжелого бетона <**>, армированные: | ||||||||
| ||||||||
высокопрочной гладкой арматурной проволокой (по ГОСТ 7348-63) с анкерами | 300 | 200 | ||||||
высокопрочной арматурной проволокой периодического профиля (по ГОСТ 8480-63) без анкеров при диаметре проволоки до 5 мм | 300 | 200 | ||||||
в) | то же, при диаметре 6 мм и более | 400 | 300 | |||||
арматурой, свитой из двух гладких высокопрочных проволок диаметром до 3 мм без анкеров | 400 | 250 | ||||||
арматурными прядями без анкеров при диаметре прядей до 15 мм | 400 | 250 | ||||||
стержневой арматурой периодического профиля без анкеров: | ||||||||
диаметром более 20 мм | 300 | 200 | ||||||
" до 20 мм | 200 | 140 | ||||||
арматурными двухпрядными канатами | 400 | 250 | ||||||
200 | 140 | |||||||
4. Железобетонные торцовые шайбы под анкерами; бетон анкерных стаканов, в которые заделываются загибаемые крюками концы проволок | 600 | 500 | ||||||
5. Стенки монолитных круглых резервуаров и труб при напряжении только кольцевой (или спиральной) арматуры | 150 | 100 | ||||||
6. Тяжелый бетон, в котором не располагается рабочая арматура (например, дополнительно укладываемый бетон сборно-монолитных конструкций; бетон сборных конструкций, армированных предварительно напряженными элементами, и т.п.) | 100 | - | ||||||
7. Конструкции из легкого бетона, в котором не располагается рабочая арматура в случае, если эта арматура защищена от него слоем тяжелого бетона или раствора толщиной не менее 15 мм | 35 | 25 | ||||||
-------------------------------- <*> Кубиковая прочность бетона при его обжатии соответствует прочности бетонных кубов со стороной 200 мм. <**> Для конструкций, рассчитываемых на выносливость (см. п. 8.1), проектная марка бетона и прочность бетона при его обжатии должны быть увеличены на 20 - 25%. При проектировании конструкций, предусмотренных п. 2, при опытном обосновании допускается снижение проектной марки бетона на одну ступень; в этом случае R0 должна составлять не менее 70% от проектной марки. | ||||||||
2.9 (2.6). Проектная марка раствора для защитного слоя арматуры предварительно напряженных конструкций должна приниматься не ниже 150, а раствора для инъекции каналов - не ниже 300. Характеристики бетона 2.10 (3.3). Расчетные сопротивления бетона при расчете железобетонных конструкций на прочность, а также по образованию или раскрытию трещин должны приниматься по табл. 2.2 с умножением в указанных ниже случаях на дополнительные коэффициенты условий работы mб, учитываемые независимо друг от друга: а) при проверке прочности в стадии предварительного обжатия бетона для сборных предварительно напряженных элементов значения расчетных сопротивлений бетона сжатию (Rпр и Rи) следует умножать на коэффициент mб = 1,2; б) при установлении проектной марки бетона по растяжению (см. п. 2.2) и удовлетворении требований, относящихся к подбору состава и испытаниям гидротехнического бетона, значения расчетных сопротивлений бетона растяжению (Rр и Rт) разрешается умножать на коэффициент mб = 1,1; в) для бетонов, приготовляемых на бетонных заводах или бетонных узлах с применением автоматического или полуавтоматического дозирования составляющих, значения расчетных сопротивлений бетона сжатию (Rпр и Rи) разрешается умножать на коэффициент mб = 1,1, при условии, что систематическим контролем коэффициента однородности бетона сжатию подтверждено повышение его на 0,05 против значений, приведенных в главе СНиП II-В.1-62; г) для бетонов на глиноземистом цементе значения расчетных сопротивлений растяжению (Rр и Rт) следует умножать на коэффициент mб = 0,7; д) при расчете прочности железобетонных центрально и внецентренно сжатых элементов, бетонируемых в вертикальном положении (монолитных колонн и стен, сборных панелей, изготовляемых кассетным способом, и т.п.), значения расчетных сопротивлений бетона сжатию (Rпр и Rи) следует умножать на коэффициент mб = 0,85; е) при расчете прочности монолитных железобетонных колонн с большей стороной сечения менее 30 см значения расчетных сопротивлений бетона сжатию (Rпр и Rи) следует умножать на коэффициент mб = 0,85; ж) при расчете прочности стеновых панелей для простенков с площадью сечения менее 0,1 м2 значения расчетных сопротивлений бетона сжатию (Rпр и Rи) следует умножать на коэффициент mб = 0,8; з) для отдельных мелких монолитных железобетонных сооружений при общем объеме бетона до 10 м3 значения расчетных сопротивлений бетона следует умножать на коэффициент mб = 0,9. Таблица 2.2 (2) железобетонных конструкций на прочность и по образованию или раскрытию трещин | |||||||||||||
Вид напряженного состояния | Обозначения | Расчетные сопротивления бетона в кг/см2 при проектной марке бетона по прочности на сжатие | |||||||||||
35 | 50 | 75 | 100 | 150 | 200 | 300 | 400 | 500 | 600 | ||||
Проектная марка бетона по прочности на растяжение | |||||||||||||
- | - | - | Р11 | Р15 | Р18 | Р23 | Р27 | Р31 | Р35 | ||||
Сжатие осевое (призменная прочность) | Rпр | 14 | 20 | 30 | 44 | 65 | 80 | 130 | 170 | 200 | 230 | ||
Сжатие при изгибе | Rи | 17,5 | 25 | 37 | 55 | 80 | 100 | 160 | 210 | 250 | 280 | ||
Растяжение осевое | Rр | 2,3 | 2,7 | 3,6 | 4,5 | 5,8 | 7,2 | 10,5 | 12,5 | 14 | 15 | ||
Растяжение при расчете по образованию трещин | Rт | 3,2 | 3,8 | 5 | 6,3 | 8 | 10 | 14,5 | 17,5 | 19,5 | 21 | ||
Растяжение при проверке необходимости расчета по раскрытию трещин | |||||||||||||
Примечания: 1. Для легких бетонов проектной марки 250 значения расчетных сопротивлений определяются интерполяцией. 2. При необходимости проверки расчетом конструкций, в которых прочность бетона не достигла проектной марки (например, в момент распалубливания), значения расчетных сопротивлений бетона следует определять с учетом фактической прочности бетона путем интерполяции по табл. 2.2. | |||||||||||||
2.11 (1.1, приложение I). Нормативные сопротивления бетона принимаются по табл. 2.3. Таблица 2.3 (29) | |||||||||||||
Вид напряженного состояния | Обозначения | Нормативные сопротивления бетона кг/см2 в при проектной марке бетона по прочности на сжатие | |||||||||||
35 | 50 | 75 | 100 | 150 | 200 | 250 | 300 | 400 | 500 | 600 | |||
Проектные марки бетона по растяжению | |||||||||||||
- | - | - | Р11 | Р15 | Р18 | Р20 | Р23 | Р27 | Р31 | Р35 | |||
Сжатие осевое (призменная прочность) | 28 | 40 | 60 | 80 | 115 | 145 | 175 | 210 | 280 | 350 | 420 | ||
Сжатие при изгибе | 35 | 50 | 75 | 100 | 140 | 180 | 215 | 260 | 350 | 440 | 520 | ||
Растяжение | 5 | 6 | 8 | 10 | 13 | 16 | 18 | 21 | 25 | 28 | 30 | ||
Примечания: 1. Для бетонов на глиноземистом цементе значения нормативных сопротивлений бетона растяжению 2. Для легких бетонов на пористых крупном и мелком заполнителях при наличии обоснованных экспериментальных данных значения нормативных сопротивлений бетона растяжению 3. Для тяжелых бетонов при установлении марки их по прочности на растяжение и удовлетворении этих бетонов требованиям, предъявляемым к гидротехническому бетону, разрешается принимать значения нормативных сопротивлений бетона растяжению 4. При расчете конструкций, в которых прочность бетона не достигла проектной марки, нормативные сопротивления бетона определяются интерполяцией. 2.12 (1.3, приложение I). Начальные модули упругости бетона при сжатии и растяжении Eб принимаются по табл. 2.4, а модуль сдвига для бетона Gб (при отсутствии опытных данных) допускается принимать Gб = 0,4Eб. Таблица 2.4 (31) | |||||||||||||
Проектная марка бетона по прочности на сжатие | Начальные модули упругости бетона Eб в кг/см2 | ||||||||||||
тяжелого | легкого | ||||||||||||
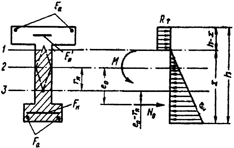
обычного | на мелком заполнителе с расходом цемента порядка 500 кг/м3 и более | на искусственном крупном и мелком заполнителях | на естественном крупном и мелком заполнителях | ||||||||||
при объемном весе крупного заполнителя в кг/м3 | |||||||||||||
> 700 | 300 - 700 | > 700 | 300 - 700 | ||||||||||
35 | - | - | 50 000 | 35 000 | 30 000 | ||||||||
50 | - | - | 70 000 | 50 000 | 40 000 | ||||||||
75 | - | - | 95 000 | 65 000 | 50 000 | ||||||||
100 | 190 000 | 140 000 | 110 000 | 80 000 | 65 000 | ||||||||
150 | 230 000 | 170 000 | 130 000 | 100 000 | 80 000 | ||||||||
200 | 265 000 | 200 000 | 150 000 | 115 000 | 95 000 | ||||||||
250 | - | - | 165 000 | 125 000 | - | ||||||||
300 | 315 000 | 235 000 | 180 000 | 135 000 | - | ||||||||
400 | 350 000 | 255 000 | - | - | - | ||||||||
500 | 380 000 | 285 000 | - | - | - | ||||||||
600 | 400 000 | 300 000 | - | - | - | ||||||||
Примечания: 1. За начальный модуль упругости бетона при сжатии и растяжении принимается отношение нормального напряжения в бетоне .2. Если легкий бетон применяется в конструкциях, для которых невыгодно повышение модуля упругости бетона, значения его определяются по табл. 2.4 с коэффициентом 1,3. 3. Для легких бетонов значения начальных модулей упругости в следующих случаях допускается принимать: а) если мелкий заполнитель является кварцевым песком - по табл. 2.4, с коэффициентом 1,3; б) если бетон подвергается автоклавной обработке или если в нем применяется крупный заполнитель объемного веса менее 300 кг/м3, - по экспериментальным данным; в) если применяется крупный заполнитель объемного веса более 1000 кг/м3 при наличии соответствующих экспериментальных данных - увеличенными против значений, указанных в табл. 2.4. | |||||||||||||
.АРМАТУРА Виды арматурных сталей | ||||
| ||||
2.14 (2.7). Для арматуры железобетонных конструкций применяются следующие виды арматурных сталей (см. главы СНиП I-В.4-62 и II-А.10-62): | ||||
| ||||
класса А-I - круглая (гладкая) диаметром от 6 до 40 мм; класса А-II - периодического профиля диаметром от 10 до 90 мм; класса А-III - периодического профиля диаметром от 6 до 40 мм; класса А-IV - периодического профиля диаметром от 10 до 32 мм; | ||||
б) сталь периодического профиля, упрочненная вытяжкой с контролем напряжений и удлинений или с контролем только удлинений без контроля напряжений: класса А-IIв диаметром от 10 до 40 мм; " А-IIIв " " 6 " 40 ". Величина контролируемых напряжений принимается: для стали класса А-IIв - 4500 кг/см2; " " " А-IIIв - 5500 ". Величина контролируемых удлинений принимается: для стали класса А-IIв - 5,5%; для стали класса А-IIIв марки 25Г2С - 3,5%; для стали класса А-IIIв марки 35ГС - 4,5% (при упрочнении с контролем напряжений удлинения не должны превышать установленной контролируемой величины удлинений); | ||||
| ||||
| ||||
д) высокопрочная арматурная проволока периодического профиля (ГОСТ 8480-63) диаметром от 3 до 8 мм; | ||||
е) арматурные семипроволочные пряди, отвечающие требованиям технических условий ЧМТУ/ЦНИИЧМ 426-61; | ||||
| ||||
ж) многопрядные канаты (тросы) без органического сердечника (ГОСТ 3066-55 до 3068-55), изготовляемые из канатной светлой проволоки (ГОСТ 7372-55); | ||||
з) арматурные двухпрядные канаты, отвечающие требованиям временных технических условий ЧМТУ/ЦНИИЧМ 258-60. Для закладных деталей и соединительных накладок применяется горячекатаная полосовая, угловая и фасонная сталь группы марок "сталь 3". | ||||
| ||||
Примечания: 1. Сортамент и качество арматурной стали и стали для закладных деталей и соединительных накладок, а также методы их испытаний должны удовлетворять требованиям глав СНиП I-В.4-62, I-В.12-62 и действующих государственных стандартов или технических условий на соответствующий вид стали. 2. Арматура, упрочненная вытяжкой, а также арматура в виде сварных сеток и каркасов должна удовлетворять требованиям соответствующих технических условий или государственных стандартов. 3. Допускается применение витой арматуры из высокопрочной проволоки, получаемой путем свивки двух проволок, выполняемой по соответствующим техническим условиям. 4. Применение для арматуры канатов (тросов) из проволоки диаметром менее 1 мм не допускается. 5. При применении многопрядных канатов (тросов) должна быть предусмотрена их предварительная обтяжка в продолжение не менее 30 мин усилием, превышающим на 5 - 10% контролируемое при натяжении (см. п. 3.19). 6. Разрешается применять в качестве арматуры другие виды стали, не предусмотренные в настоящем пункте; при этом осваиваемые промышленностью специальные виды арматурных сталей (трехпроволочные пряди, двухпрядные канаты, термически упрочненная катанка) должны удовлетворять требованиям соответствующих технических условий и применяться по указаниям соответствующих инструкций. Применение в качестве арматуры других видов сталей разрешается только при обосновании возможности и целесообразности использования таких сталей в железобетонных конструкциях; при этом немаркированные стали должны быть предварительно испытаны на разрыв с определением предела текучести, временного сопротивления и относительного удлинения при разрыве, а также на загиб или на перегиб в холодном состоянии; в необходимых случаях должна, кроме того, производиться проверка химического состава и свариваемости стали, а также предела выносливости арматуры. Расчетные характеристики таких сталей должны быть специально обоснованы. |
ИС МЕГАНОРМ: примечание. Постановлением Госстандарта России от 13.04.1995 N 214 с 01.01.1996 введен в действие ГОСТ 10884-94. |
Указания по применению арматурных сталей | ||||
| ||||
а) основные механические характеристики, прочностные (предел текучести или временное сопротивление) и пластические (относительное удлинение при разрыве, угол загиба или число перегибов в холодном состоянии); механические характеристики арматурной стали устанавливаются в зависимости от ее класса и вида в соответствии с главами СНиП I-В.4-62 и II-А.10-62 и гарантируются соответствующими государственными стандартами или техническими условиями; б) склонность к хладноломкости - при проектировании конструкций, предназначенных для эксплуатации при отрицательных температурах; хладноломкость стержневой арматуры определяется классом арматуры, а также маркой стали и способом ее выплавки (что в необходимых случаях следует оговаривать в проектах); в) свариваемость стали - при выборе типа сварных соединений, отвечающих требованиям соответствующего государственного стандарта или технических условий на сварную арматуру железобетонных конструкций; свариваемость арматурных сталей зависит от их вида и класса (марки и способа выплавки), диаметра стержней, конструкции сварного соединения и технологии его выполнения; г) релаксацию напряжений - при определении потерь предварительного напряжения; влияние релаксации напряжений учитывается в соответствии с указаниями п. 3.10, а также других нормативных документов по проектированию предварительно напряженных железобетонных конструкций; д) пониженное сопротивление арматурной стали при воздействии на конструкцию многократно повторяющейся нагрузки (предел выносливости) по сравнению с ее сопротивлением при статической нагрузке (пределом текучести или временным сопротивлением); соответствующие изменения расчетных сопротивлений арматурной стали устанавливаются в зависимости от характеристики цикла напряжений в арматуре в соответствии с указаниями пп. 8.10 и 8.11. 2.16 (2.9). Выбор арматурных сталей при проектировании железобетонных конструкций следует производить с учетом их свойств, указанных в п. 2.15, в зависимости от: б) марки и вида бетона согласно указаниям п. 2.7 настоящей Инструкции, а также других нормативных документов по проектированию; в) свариваемости арматурных сталей в соответствии с указаниями пп. 9.60 - 9.64 настоящей Инструкции, а также требованиями нормативных документов на сварную арматуру; г) условий изготовления арматуры и конструкций, а также их монтажа согласно требованиям соответствующих нормативных документов. Кроме того, для конструкций, к которым предъявляются особые требования, или для конструкций, работающих в особых условиях, при выборе арматурных сталей должны учитываться дополнительные указания пп. 2.18, 2.21 и 2.23 - 2.25. 2.17 (2.10). В качестве ненапрягаемой арматуры железобетонных конструкций следует преимущественно применять: а) горячекатаную арматурную сталь классов А-III и А-II; б) обыкновенную арматурную проволоку диаметром 3 - 5,5 мм только в сварных сетках и каркасах; допускается также применять: в) горячекатаную арматурную сталь класса А-I в основном для поперечной арматуры линейных элементов, для конструктивной и монтажной арматуры, а также в качестве продольной рабочей арматуры в случаях, когда другие виды ненапрягаемой арматуры не допускаются (см. пп. 2.24, 2.25); г) упрочненную вытяжкой арматурную сталь класса А-IIв - для продольной растянутой рабочей арматуры; д) обыкновенную арматурную проволоку: диаметром 3 - 5,5 мм для вязаных хомутов балок высотой до 400 мм и колонн; диаметром 6 - 8 мм - только в сварных каркасах и сетках, соблюдая при этом требования п. 2.23; е) горячекатаную арматурную сталь класса А-IV и упрочненную вытяжкой арматурную сталь класса А-IIIв - только для продольной растянутой рабочей арматуры вязаных каркасов и сеток; при этом должны приниматься меры, обеспечивающие анкеровку концов стержней как для напрягаемой арматуры, в соответствии с указаниями пп. 9.27, 9.37 и 9.55 "г"; не допускается применять: ж) высокопрочную арматурную проволоку; з) арматурные пряди и канаты. Ненапрягаемую арматуру из горячекатаной стали классов А-III, А-II и А-I рекомендуется применять в виде сварных каркасов и сварных сеток. 2.18 (2.11). В конструкциях с ненапрягаемой арматурой, к которым предъявляется требование водонепроницаемости: следует применять, как правило, горячекатаную арматурную сталь классов А-II и А-I; допускается применять при соответствующем обосновании горячекатаную арматурную сталь класса А-III и обыкновенную арматурную проволоку диаметром не менее 5 мм (в сварных каркасах и сетках); не допускается применять другие виды арматурных сталей в качестве ненапрягаемой арматуры в указанных конструкциях. 2.19 (2.12). Для предварительно напряженных конструкций I категории трещиностойкости (см. п. 1.22) в качестве напрягаемой арматуры следует преимущественно применять: а) высокопрочную арматурную проволоку; б) арматурные пряди; в) горячекатаную арматурную сталь класса А-IV; допускается также применять: г) арматурную сталь класса А-IIIв, упрочненную вытяжкой с контролем напряжений и удлинений. Применение других видов арматурных сталей в качестве напрягаемой арматуры в конструкциях I категории трещиностойкости не рекомендуется. 2.20 (2.13). В качестве напрягаемой арматуры предварительно напряженных конструкций II категории трещиностойкости (см. п. 1.22) следует преимущественно применять: а) высокопрочную арматурную проволоку; б) арматурные пряди и канаты; в) горячекатаную арматурную сталь класса А-IV; г) арматурную сталь класса А-IIIв, упрочненную вытяжкой с контролем напряжений и удлинений; допускается также применять: д) арматурную сталь класса А-IIIв, упрочненную вытяжкой с контролем только удлинений; е) арматурную сталь класса А-IIв, упрочненную вытяжкой с контролем напряжений и удлинений; ж) горячекатаную арматурную сталь класса А-III. 2.21 (2.14). При выборе арматурных сталей для напрягаемой арматуры предварительно напряженных конструкций II категории трещиностойкости, работающих в особых условиях, кроме рекомендаций п. 2.20, должны учитываться следующие дополнительные указания: а) в конструкциях, подвергающихся воздействию многократно повторяющейся нагрузки и подлежащих расчету на выносливость, следует преимущественно применять высокопрочную проволоку гладкую и периодического профиля; допускается применение горячекатаной арматурной стали классов А-IV и А-III и арматурных прядей, а при соответствующем экспериментальном обосновании упрочненных вытяжкой арматурных сталей классов А-IIIв и А-IIв; б) в конструкциях, находящихся в условиях агрессивной среды, не допускается применение проволочной арматуры (проволоки и изделий из нее) при диаметре проволок 3 мм и менее. 2.22 (2.15). Для предварительно напряженных конструкций III категории трещиностойкости (см. п. 1.22) в качестве напрягаемой арматуры следует преимущественно применять: а) горячекатаную арматурную сталь класса А-IV; б) арматурную сталь класса А-IIIв, упрочненную вытяжкой с контролем напряжений и удлинений; допускается также применять: в) арматурную сталь класса А-IIIв, упрочненную вытяжкой с контролем только удлинений; г) арматурную сталь класса А-IIв, упрочненную вытяжкой с контролем напряжений и удлинений; д) горячекатаную арматурную сталь класса А-III; е) обыкновенную арматурную проволоку; не допускается применять в таких конструкциях высокопрочную арматурную проволоку, арматурные пряди и канаты. 2.23 (2.16). Если конструкции с ненапрягаемой арматурой или предварительно напряженные конструкции III категории трещиностойкости работают в условиях агрессивной среды (при условии защиты их специальными мероприятиями по соответствующим нормативным документам), то в случае применения обыкновенной арматурной проволоки диаметр ее должен быть не менее 4 мм. |
Вид арматурной стали и ее основные характеристики | Условия эксплуатации конструкций (характер нагрузок и температурных воздействий) | |||||||||
вид и класс стали | марка стали и диаметр в мм | статические | динамические и многократно повторяющиеся | |||||||
в отапливаемых зданиях | на открытом воздухе и в неотапливаемых зданиях при температуре | в отапливаемых зданиях | на открытом воздухе и в неотапливаемых зданиях при температуре | |||||||
до -30 °C | от -30 до -40 °C | ниже -40 °C | до -30 °C | от -30 до -40 °C | ниже -40 °C | |||||
Стержневая горячекатаная гладкая класса А-I | Ст.3сп (мартеновская и конверторная) ![]() | + | + | + | + | + | + | - | - | |
Ст.3пс (мартеновская и конверторная) ![]() | + | + | + | - | + | + | - | - | ||
Ст.3кп (мартеновская и конверторная) ![]() | + | + | - | - | + | + | - | - | ||
ВМСт.3сп ![]() | ВКСт.3сп ![]() | + | + | + | + | + | + | + | + | |
ВМСт.3пс ![]() | ВКСт.3пс ![]() | + | + | + | - | + | + | + | - | |
ВМСт.3кп ![]() | ВКСт.3кп ![]() | + | + | - | - | + | + | - | - | |
Обыкновенная арматурная проволока и сварные сетки из нее | ![]() | + | + | + | + | + | + | + | + | |
Стержневая горячекатаная периодического профиля класса А-II | Ст.5сп (мартеновская и конверторная) ![]() | + | + | + | + <*> | + | + | + <*> | - | |
Ст.5пс (мартеновская) ![]() | + | + | + | + <*> | + | + | + <*> | - | ||
Ст.5пс (мартеновская) ![]() | Ст.5пс (конверторная) ![]() | + | + | - | - | + | + <*> | - | - | |
18Г2С ![]() | + | + | + | + | + | + | + | + | ||
Стержневая упрочненная вытяжкой периодического профиля класса А-IIв | Ст.5сп (мартеновская и конверторная) ![]() | + | + | - | - | + | + <*> | - | - | |
Ст.5пс (мартеновская и конверторная) ![]() | + | - | - | - | - | - | - | - | ||
18Г2С ![]() | + | + | + | - | + | + | - | - | ||
Стержневая горячекатаная периодического профиля класса А-III | 25Г2С ![]() | + | + | + | + | + | + | + | + <*> | |
35ГС ![]() | + | + | + | + <*> | + | + | + <*> | - | ||
18Г2С ![]() | + | + | + | + | + | + | + | + | ||
Стержневая упрочненная вытяжкой периодического профиля класса А-IIIв | 25Г2С ![]() | + | + | + | - | + | + | - | - | |
35ГС ![]() | + | + | - | - | + | - | - | - | ||
Стержневая горячекатаная периодического профиля класса А-IV | 20ХГ2Ц ![]() | + | + | + | + | + | + | + | + | |
20ХГСТ ![]() | + | + | - | - | + | + | - | - | ||
80С ![]() | + | + | - | - | + | - | - | - | ||
Высокопрочная арматурная проволока гладкая | ![]() | + | + | + | + | + | + | + | + | |
Высокопрочная арматурная проволока периодического профиля | ![]() | + | + | + | + | + | + | + | + | |
Арматурные пряди, канаты (тросы) | - | + | + | + | + | + | + | + | + | |
ИС МЕГАНОРМ: примечание. Взамен СНиП II-А.6-62 Постановлением Госстроя СССР от 10.03.1972 N 38 с 01.10.1972 введены в действие СНиП II-А.6-72. Взамен СНиП II-А.6-72 Постановлением Госстроя СССР от 21.07.1982 N 188 с 01.01.1984 введены в действие СНиП 2.01.01-82. |
ИС МЕГАНОРМ: примечание. |
ИС МЕГАНОРМ: примечание. Взамен СНиП II-В.3-62 Постановлением Госстроя СССР от 29.12.1972 N 222 с 01.07.1973 введены в действие СНиП II-В.3-72. Взамен СНиП II-В.3-72 Постановлением Госстроя СССР от 14.08.1981 N 144 с 01.01.1982 введены в действие СНиП II-23-81. |
| ||||||||||||||
| ||||||||||||||
а) для элементов сборных конструкций, изготовляемых на заводах и специально оборудованных полигонах, при систематическом испытании арматуры на растяжение в соответствии с ГОСТ 5781-61 и 1497-61 значения расчетных сопротивлений арматуры растянутой, а также сжатой, имеющей сцепление с бетоном, при Rа.с менее 3600 кг/см2, приведенные в пп. 1 - 4 и 7 табл. 2.6, разрешается умножать на коэффициент mа = 1,1 (принимая Rа.с не более чем 3600 кг/см2) при условии, что во всех испытанных образцах горячекатаной арматурной стали (см. пп. 1 - 4 табл. 2.6) предел текучести не менее чем на 10% превышает его нормативное значение, а во всех испытанных образцах арматурной проволоки (см. п. 7 табл. 2.6) временное сопротивление не ниже его наименьшего нормативного значения; б) для арматуры, свитой из двух высокопрочных проволок (см. пп. 1 и 2 табл. 2.7 и примечание 3 к п. 2.14), значения расчетных сопротивлений, указанные в табл. 2.7 для проволоки до свивки, следует умножать на коэффициент mа = 0,95; в) в конструкциях с арматурой из высокопрочной проволоки (пп. 1 и 2 табл. 2.7), расположенной в два и более ряда вплотную без зазора и без свивки, когда раствор или бетон не обволакивает всю поверхность проволоки (например, при применении пакетов, пучков, состоящих из четырех и более проволок, не заполненных внутри раствором; при непрерывном армировании), расчетное сопротивление арматуры следует умножать на коэффициент mа = 0,85. Таблица 2.6 (4) | ||||||||||||||
Вид арматуры | Расчетные сопротивления арматуры в кг/см2 | |||||||||||||
растянутой | сжатой Rа.с | |||||||||||||
а) продольной; б) поперечной и отогнутой при расчете на изгиб по наклонному сечению Rа | поперечной и отогнутой при расчете на поперечную силу Rа.x | |||||||||||||
2100 | 1700 | 2100 | ||||||||||||
2. Сталь горячекатаная периодического профиля класса А-II | 2700 | 2150 | 2700 | |||||||||||
3. То же, класса А-III | 3400 | 2700 | 3400 | |||||||||||
5100 | 4100 | 3600 | ||||||||||||
5. Сталь упрочненная вытяжкой, класса А-IIв: | ||||||||||||||
а) | с контролем напряжений и удлинений | 3700 | 3000 | 2700 | ||||||||||
б) | с контролем только удлинений без контроля напряжений | 3250 | 2600 | 2700 | ||||||||||
6. То же, класса А-IIIв: | ||||||||||||||
а) | с контролем напряжений и удлинений | 4500 | 3600 | 3400 | ||||||||||
б) | с контролем только удлинений без контроля напряжений | 4000 | 3200 | 3400 | ||||||||||
а) | диаметром от 3 до 5,5 мм | 3150 | 2200 | 3150 | ||||||||||
б) | диаметром от 6 до 8 мм | 2500 | 1750 | 2500 | ||||||||||
Примечания: 1. При применении обыкновенной арматурной проволоки (п. 7 табл. 2.6) для хомутов вязаных каркасов расчетное сопротивление проволоки принимается как для горячекатаной стали класса А-I (см. п. 1 табл. 2.6). 2. Для сжатой арматуры, не имеющей сцепления с бетоном, принимается Rа.с = 0. Таблица 2.7 (5) арматурных прядей и канатов (тросов) при расчете на прочность | ||||||||||||||
Вид арматуры | Диаметр проволоки в мм | Расчетные сопротивления арматуры в кг/см2 | ||||||||||||
растянутой | сжатой Rа.с | |||||||||||||
а) продольной; б) поперечной и отогнутой при расчете на изгиб по наклонному сечению Rа | поперечной и отогнутой при расчете на поперечную силу Rа.x | |||||||||||||
| ||||||||||||||
3 | 12 200 | 9 700 | Для всех видов арматуры: при наличии сцепления арматуры с бетоном Rа.с = 3600; при отсутствии сцепления арматуры с бетоном Rа.с = 0 | |||||||||||
4 | 11 500 | 9 200 | ||||||||||||
5 | 10 800 | 8 600 | ||||||||||||
6 | 10 200 | 8 100 | ||||||||||||
7 | 9 600 | 7 600 | ||||||||||||
8 | 8 900 | 7 100 | ||||||||||||
3 | 11 500 | 9 200 | ||||||||||||
4 | 10 800 | 8 600 | ||||||||||||
5 | 10 200 | 8 100 | ||||||||||||
6 | 9 600 | 7 600 | ||||||||||||
7 | 8 900 | 7 100 | ||||||||||||
8 | 8 300 | 6 700 | ||||||||||||
3. Семипроволочные арматурные пряди по ЧМТУ/ЦНИИЧМ 426-61 | 1,5 | 12 200 | 9 700 | |||||||||||
2 | 11 500 | 9 200 | ||||||||||||
2,5 | 11 500 | 9 200 | ||||||||||||
3 | 10 800 | 8 600 | ||||||||||||
4 | 10 200 | 8 100 | ||||||||||||
5 | 9 600 | 7 600 | ||||||||||||
по ГОСТ 3066-55 | 1 - 3 | 9 500 | 7 600 | |||||||||||
по ГОСТ 3067-55 | 1 - 3 | 9 000 | 7 200 | |||||||||||
по ГОСТ 3068-55 | 1 - 3 | 8 700 | 7 000 | |||||||||||
5. Арматурные двухпрядные канаты по ЧМТУ/ЦНИИЧМ 258-60 | 1,5 | 10 700 | 8 600 | |||||||||||
2 | 10 100 | 8 100 | ||||||||||||
2,5 | 10 100 | 8 100 | ||||||||||||
3 | 9 500 | 7 600 | ||||||||||||
Примечания: 1. Расчетные сопротивления многопрядных стальных канатов (тросов), приведенные в табл. 2.7, п. 4, соответствуют значениям нормативных сопротивлений (наименьших временных сопротивлений) проволок в таких канатах 190 кг/мм2; при применении в канатах проволок с другими значениями наименьшего временного сопротивления расчетные сопротивления канатов должны быть соответственно изменены. 2. Для высокопрочной проволоки, прядей и канатов, отгибаемых на угол больше 30° вокруг штыря диаметром < 8d, расчетное сопротивление растянутой отогнутой арматуры в местах перегиба при расчете на изгиб по наклонному сечению Rа следует принимать таким же, как при расчете на поперечную силу, т.е. равным Rа.x, при этом ослабление перегибом учитывается на участках длиной по 30d в каждую сторону от перегиба (где d - диаметр проволоки, пряди или каната). 2.28. (п. 1.4 приложения I). Нормативные сопротивления арматуры Таблица 2.8 (32) арматуры Eа | ||||||||||||||
Вид арматуры | Нормативные сопротивления арматуры | Модули упругости арматуры Eа в кг/см2 | ||||||||||||
по наименьшему значению предела текучести при растяжении | по наименьшему значению временного сопротивления при растяжении | |||||||||||||
1. Сталь горячекатаная круглая (гладкая) класса А-I, а также полосовая, угловая и фасонная группы марок "сталь 3" | 2400 | - | 2 100 000 | |||||||||||
2. Сталь горячекатаная периодического профиля класса А-II | 3000 | - | 2 100 000 | |||||||||||
3. То же, класса А-III | 4000 | - | 2 000 000 | |||||||||||
4. То же, класса А-IV | 6000 | - | 2 000 000 | |||||||||||
5. Сталь периодического профиля класса А-IIв, упрочненная вытяжкой с контролем заданного: | ||||||||||||||
а) | удлинения и напряжения | 4500 | - | 2 100 000 | ||||||||||
б) | только удлинения | 4500 | - | 2 100 000 | ||||||||||
6. То же, класса А-IIIв с контролем: | ||||||||||||||
а) | удлинения и напряжения | 5500 | - | 2 000 000 | ||||||||||
б) | только удлинения | 5500 | - | 2 000 000 | ||||||||||
7. Проволока арматурная обыкновенная (при применении в сварных сетках и каркасах) диаметром 3 - 5,5 мм включительно | - | 5500 | 1 800 000 | |||||||||||
8. То же, диаметром 6 - 8 мм включительно | - | 4500 | 1 800 000 | |||||||||||
Таблица 2.9 (33) из высокопрочной проволоки, прядей и канатов и модули упругости арматуры Eа | ||||||||||||||
Вид арматуры | Диаметр проволоки в мм | Нормативное сопротивление арматуры | Модули упругости арматуры Eа в кг/см2 | |||||||||||
| ||||||||||||||
3 | 19 000 | 1 800 000 | ||||||||||||
4 | 18 000 | |||||||||||||
5 | 17 000 | |||||||||||||
6 | 16 000 | |||||||||||||
7 | 15 000 | |||||||||||||
8 | 14 000 | |||||||||||||
2. Проволока высокопрочная периодического профиля по ГОСТ 8480-63 | 3 | 18 000 | 1 800 000 | |||||||||||
4 | 17 000 | |||||||||||||
5 | 16 000 | |||||||||||||
6 | 15 000 | |||||||||||||
7 | 14 000 | |||||||||||||
8 | 13 000 | |||||||||||||
1,5 | 19 000 | 1 800 000 | ||||||||||||
2 | 18 000 | |||||||||||||
2,5 | 18 000 | |||||||||||||
3 | 17 000 | |||||||||||||
4 | 16 000 | |||||||||||||
5 | 15 000 | |||||||||||||
по ГОСТ 3066-55 | От 1 до 3 | 17 000 | 1 600 000 | |||||||||||
то же, 3067-55 | " 1 " 3 | 16 000 | ||||||||||||
" 3068-55 | " 1 " 3 | 15 500 | ||||||||||||
5. Арматурные двухпрядные канаты по ЧМТУ/ЦНИИЧМ 258-60 | 1,5 | 19 000 | 1 800 000 | |||||||||||
2 | 18 000 | |||||||||||||
2,5 | 18 000 | |||||||||||||
3 | 17 000 | |||||||||||||
Примечание. Нормативные сопротивления проволоки и семипроволочных прядей (см. пп. 1 - 3 табл. 2.9) определены по значению наименьшего временного сопротивления при растяжении, а нормативные сопротивления стальных многопрядных канатов (см. п. 4 табл. 2.9) - по величине разрывного усилия каната в целом при значениях наименьшего временного сопротивления проволоки в канатах 19 000 кг/см2; при применении в таких канатах проволок с другими значениями наименьшего временного сопротивления нормативные сопротивления канатов должны быть соответственно изменены. Объемный вес железобетона 2.29 (4.18). Объемный вес железобетона при содержании арматуры 3% и менее может приниматься на 100 кг больше объемного веса примененного бетона, а при содержании арматуры более 3% должен определяться как сумма весов бетона и арматуры на единицу объема железобетонной конструкции. | ||||||||||||||
3.1 (5.2). При расчете предварительно напряженных элементов в расчетные формулы вводятся предварительные растягивающие напряжения в напрягаемой арматуре 3.2 (5.6). Величины напряжений в арматуре Величина наибольшего напряжения в арматуре а) в арматуре сжатой зоны с целью повышения ее трещиностойкости при обжатии элемента, при транспортировании и монтаже; б) в кольцевой арматуре напорных труб; в) при временной перетяжке арматуры с целью повышения ее предела пропорциональности или уменьшения потерь от релаксации напряжений; г) при компенсации потерь от релаксации напряжений или неодновременного натяжения арматуры, от трения арматуры о стенки каналов и поверхность бетона, а также от температурного перепада между натянутой арматурой и устройствами, воспринимающими усилия ее натяжения. |
и не менее
;
, где Длина арматуры l в м | Предельное отклонение предварительного напряжения |
5 | 1000 |
6,5 | 800 |
9,5 | 700 |
13 | 600 |
16 | 550 |
19 | 500 |
25 и более | 450 |
3.4 (5.3). Коэффициент точности предварительного напряжения арматуры mт при механическом натяжении принимается: при расчете по образованию трещин предварительно обжатой зоны нормального сечения (а также в случаях, предусмотренных п. 6.8) mт = 0,9; при расчете по образованию трещин предварительно растянутой или менее обжатой зоны нормального сечения (за исключением случаев расчета по приближенной формуле, приведенной в п. 5.7) mт = 1,1; б) при расчете на прочность в стадии эксплуатации - для арматуры A'н, а в стадии обжатия бетона - для всей продольной арматуры, натягиваемой на бетон, mт = 1,1; |
а) непосредственно после обжатия бетона - с учетом потерь, происходящих до окончания обжатия бетона (см. п. 3.9); б) в стадии эксплуатации элемента - с учетом всех потерь (см. п. 3.9); в) при назначении контрольной нагрузки, соответствующей образованию трещин в бетоне, - с учетом потерь, происходящих до окончания обжатия бетона. |
Длина зоны анкеровки указанных видов проволочной арматуры принимается равной: при ![]() ![]() ![]() где d - диаметр проволоки или пряди в см; kан - коэффициент, принимаемый по табл. 3.2; R0 - кубиковая прочность бетона при его обжатии в кг/см2 (см. табл. 2.1). Таблица 3.2 (23) анкеровки lан высокопрочной арматурной проволоки периодического профиля и семипроволочных арматурных прядей, применяемых без специальных анкеров в элементах из тяжелого бетона и керамзитобетона | |||||
Вид арматуры | Значения коэффициента kан при кубиковой прочности бетона в момент его обжатия R0 в кг/см2 | ||||
200 | 300 | 400 | 500 | ||
Высокопрочная проволока периодического профиля | 100 | 80 | 60 | 45 | |
Семипроволочные пряди диаметром 4,5 - 9 мм | 70 | 60 | 50 | 45 | |
То же, диаметром 12 и 15 мм | 50 | 40 | 35 | 30 | |
2. Значения коэффициентов kан для прядевой арматуры не распространяются на элементы из керамзитобетона. 3. В элементах из легкого бетона длина зоны анкеровки проволоки (за исключением керамзитобетона) и прядей без анкеров должна приниматься по результатам опытов или по специальным инструкциям. В случае возможного нарушения сцепления арматуры с бетоном (например, при мгновенной передаче предварительного напряжения на бетон) начало зоны анкеровки арматуры принимают на расстоянии от торца элемента: для тяжелого бетона 0,25lан; для керамзитобетона lан. 3.7 (5.5). При применении в элементе нескольких пучков или стержней арматуры, натягиваемых на бетон неодновременно, следует учитывать изменение (снижение или повышение) напряжений в арматуре, натянутой ранее, вследствие упругого обжатия бетона усилиями пучков или стержней, натягиваемых позднее (см. п. 3.8). 3.8 (5.17). При применении в напрягаемом элементе нескольких пучков или стержней арматуры, натягиваемых на бетон неодновременно, величина изменения (снижения или повышения) напряжения в арматуре, натянутой ранее, вследствие упругого обжатия бетона усилиями в арматуре, натягиваемой позднее, может приниматься равной Значение При определении изменения предварительного напряжения рекомендуется подразделять всю арматуру на 2 - 3 группы. Примечание. Допускаются иные, более точные способы учета изменения напряжений в арматуре при ее неодновременном натяжении. ПОТЕРИ ПРЕДВАРИТЕЛЬНОГО НАПРЯЖЕНИЯ В НАПРЯГАЕМОЙ АРМАТУРЕ 3.9 (5.4). При расчете предварительно напряженных конструкций и назначения для них контролируемого напряжения следует учитывать потери предварительного напряжения арматуры. При натяжении арматуры на упоры учитывают потери, происходящие: а) до окончания обжатия бетона - от релаксации напряжений стали, деформации анкеров, температурного перепада и деформации формы (при натяжении арматуры на форму); б) после обжатия бетона - от усадки и ползучести бетона и воздействия многократно повторяющейся нагрузки. |
При натяжении арматуры на бетон учитывают потери, происходящие: а) до окончания обжатия бетона - от деформации анкеров и трения арматуры о стенки канала или поверхность конструкции, а в конструкциях, состоящих из блоков, - от деформации швов между блоками; б) после обжатия бетона - от усадки и ползучести бетона, релаксации напряжений стали, смятия бетона под витками арматуры и воздействия многократно повторяющейся нагрузки. Значения потерь предварительного напряжения арматуры определяют по указаниям пп. 3.10 - 3.15, а при наличии специальных опытных данных - по результатам опытов. Суммарную величину всех потерь при проектировании конструкций следует принимать во всех случаях не менее 1000 кг/см2. 3.10 (5.11). Значения потерь предварительного напряжения арматуры при расчетах предварительно напряженных конструкций принимаются по табл. 3.3. Таблица 3.3 (14) | |||||||
Наименование факторов, вызывающих потери предварительного напряжения | Величина потерь в кг/см2 при натяжении арматуры на | ||||||
упоры | бетон | ||||||
400 | 300 | ||||||
![]() | ![]() | ||||||
где Eб - модуль упругости бетона, соответствующий его проектной марке. При величины, стоящие в круглых скобках, принимаются равными нулю.Величину потерь от ползучести тяжелого бетона рекомендуется определять по графику 3.1 <*> | |||||||
![]() ![]() где ), то следует принимать их равными нулю | |||||||
а) | для высокопрочной арматурной проволоки и прядей | ||||||
б) | для горячекатаной арматурной стали класса А-IV | ||||||
![]() l - длина натягиваемого пучка или стержня в мм. При применении анкеров в виде плотно завинчивающихся гаек или клиновых шайб, устанавливаемых между анкерами и элементом, либо между захватом и опорным устройством потери за счет обжатия гаек и шайб могут не учитываться, т.е. | |||||||
5 (п. 5.15). Трение пучков, прядей или стержней арматуры о стенки каналов на прямолинейных и криволинейных участках (рис. 3.1). ![]() криволинейного очертания, принимаемая при определении потерь предварительного напряжения от трения арматуры о стенки канала или о поверхность бетона 1 - натяжное устройство; 2 - анкеры | - | ![]() где ;e - основание натуральных логарифмов; x - длина участка канала от натяжного устройства до расчетного сечения в м; для линейных элементов допускается принимать величину x равной длине проекции указанного участка канала на продольную ось элемента; k - коэффициент, учитывающий отклонение канала по отношению к его проектному положению на 1 пог. м длины <**>; Величину потерь от трения рекомендуется определять по графику 3.2 <***> | |||||
6. Смятие бетона под витками спиральной или кольцевой арматуры при диаметре конструкций до 3 м | - | 300 | |||||
7. Изменение разности температур натянутой арматуры и устройства, воспринимающего усилие натяжения (например, при пропаривании или подогреве бетона и т.п.) | где | - | |||||
8. Воздействие многократно повторяющейся нагрузки (учитывается только при расчете на выносливость) | ![]() | ||||||
9. Деформация стальных форм для изготовления железобетонных элементов при механическом натяжении арматуры | где l - длина стержня или проволоки. Величина потерь определяется по указаниям п. 3.14 | - | |||||
![]() | |||||||
10 (п. 5.14). Деформация обжатия швов между блоками: | - | n - количество швов конструкции на длине натягиваемой арматуры; l - длина натягиваемого стержня или пучка в мм | |||||
а) | для стыков, заполненных бетоном или раствором, на каждый шов; | ||||||
б) | при стыковании насухо блоков, торцы которых при изготовлении были смежными и отделялись плоской прокладкой постоянной толщины, на каждый шов | ||||||
-------------------------------- Примечания: 1. Величину потерь предварительного напряжения от усадки и ползучести легкого бетона следует принимать по специальным инструкциям или по опытным данным. 2. Для горячекатаной арматурной стали классов А-III, А-II, А-I, а также для арматурной стали классов А-IIIв и А-IIв, упрочненной вытяжкой до натяжения арматуры, потери от релаксаций напряжений не учитываются (принимаются равными нулю). Потери от релаксации напряжений в конструкциях, работающих при температуре свыше 40 °C, принимаются по опытным данным. Таблица 3.4 (15) | |||||||
Тип канала | Значения k | Значения | |||||
пучков, прядей и гладких стержней | стержней периодического профиля | ||||||
Канал с металлической поверхностью | 0,003 | 0,35 | 0,4 | ||||
Канал с бетонной поверхностью | образован жестким каналообразователем | 0 | 0,55 | 0,65 | |||
образован гибким каналообразователем | 0,0015 | ||||||
3.12 (5.12). Величина потерь от усадки и ползучести бетона по пп. 1 и 2 табл. 3.3 определяется для расчета конструкций в стадии эксплуатации. Для промежуточных стадий работы конструкции, например при их контрольных заводских испытаниях, величина потерь от усадки и ползучести бетона, определенная по пп. 1 и 2 табл. 3.3, умножается на коэффициент , где t - время в сутках, отсчитываемое при определении потерь от усадки бетона - со дня окончания бетонирования конструкции, а при определении потерь от ползучести бетона - со дня его предварительного обжатия.Если заранее известно, что предварительно напряженная конструкция подвергается воздействию собственного веса и внешних нагрузок более чем через 100 суток после обжатия бетона, то величина потерь в стадии эксплуатации определяется при значении 3.13 (5.13). При определении потерь от усадки и ползучести бетона должны быть учтены следующие указания: а) в конструкциях, подвергаемых для ускорения твердения бетона пропариванию или прогреву, потери за счет усадки и ползучести бетона во всех случаях следует принимать как для конструкций с натяжением арматуры на упоры; б) для напорных труб, резервуаров, свай и других конструкций, находящихся в условиях повышенной влажности, величины потерь от усадки и ползучести бетона, указанные в пп. 1 и 2 табл. 3.3, допускается снижать до 50%; в) для конструкций, предназначенных к эксплуатации в сухом жарком климате (например, в районах Средней Азии), потери от усадки и ползучести бетона должны увеличиваться на 20 - 30%; г) в предварительно напряженных хомутах потери напряжения за счет ползучести бетона не учитываются; д) если при проектировании конструкции известны сорт цемента и состав бетона, которые будут применены, а также условия изготовления и эксплуатации конструкции и вид, величина и сроки действия нагрузок, то потери от усадки и ползучести бетона рекомендуется определять более точными методами, проверенными опытами. |
3.15 (5.16). При применении повторного напряжения арматуры на бетон, выполняемого в процессе изготовления и выдержки конструкции с целью компенсации потерь предварительного напряжения, допускается снижать последние на величину ПРЕДВАРИТЕЛЬНЫЕ НАПРЯЖЕНИЯ В НЕНАПРЯГАЕМОЙ АРМАТУРЕ ОТ УСАДКИ И ПОЛЗУЧЕСТИ БЕТОНА 3.16 (5.2). При расчете предварительно напряженных железобетонных элементов следует учитывать предварительные сжимающие напряжения а) в стадии обжатия бетона элемента - потерям напряжений от усадки бетона; б) в стадии эксплуатации элемента - сумме потерь напряжений от усадки и ползучести бетона. Примечание. Для стадии предварительного обжатия бетона, выполняемого не позднее трех суток после изготовления элемента, напряжения РАВНОДЕЙСТВУЮЩАЯ УСИЛИЙ ПРЕДВАРИТЕЛЬНЫХ НАПРЯЖЕНИЙ В АРМАТУРЕ (усилие предварительного обжатия) 3.18 (5.2). Равнодействующую усилий во всей напрягаемой и ненапрягаемой верхней и нижней арматуре N0 определяют по формуле эксцентриситет силы N0 относительно центра тяжести приведенного сечения находят по формуле где yн, y'н, yа, y'а - расстояния от оси, нормальной к плоскости изгиба и проходящей через центр тяжести приведенного сечения, соответственно до точек приложения равнодействующих усилий в напрягаемой и ненапрягаемой арматуре (рис. 3.3). ![]() напряжения арматуры, действующих в поперечном сечении предварительно напряженного элемента а - при арматуре, параллельной его продольной оси; б - при наличии, кроме того, отогнутой, криволинейной арматуры Примечания: 1. При криволинейном расположении напрягаемой арматуры значения 2. При расположении равнодействующей усилий в напрягаемой арматуре N0 на грани ядра сечения или вблизи него допускается принимать НАПРЯЖЕНИЯ В АРМАТУРЕ, КОНТРОЛИРУЕМЫЕ В ПРОЦЕССЕ НАТЯЖЕНИЯ 3.19 (5.8). Величину напряжения в арматуре, контролируемого в процессе натяжения ее на упоры, принимают в соответствии с указаниями п. 3.2. Величины напряжений в напрягаемой арматуре Aн и A'н, контролируемые при натяжении арматуры на затвердевший бетон, определяют для сечения, по которому назначено В формулах (3.4) и (3.4') |
(3.6)3.24 (5.9). Напряжения в бетоне, в сечениях, нормальных к оси элемента, от усилий предварительного обжатия, независимо от того, производится ли натяжение арматуры на упоры или на затвердевший бетон, определяются по формуле Напряжения в напрягаемой арматуре с учетом действия усилий предварительного обжатия определяются по формулам: где значения N0 и e0 в формулах (3.9), (3.10) и (3.10') определяются соответственно по формулам (3.2) и (3.3); y - расстояние от центра тяжести приведенного сечения до волокна, в котором определяется напряжение; yн и y'н - расстояния от центра тяжести приведенного сечения до рассматриваемой арматуры. |
(3.14)
(3.17)где В формулу (3.18) растягивающие напряжения следует подставлять со знаком "плюс", а сжимающие - со знаком "минус". |
(если не учитываются местные сжимающие напряжения 3.27 (8.10). Абсолютное значение (3.19)где Fн.х - площадь сечения всех напрягаемых хомутов, расположенных в одной нормальной к оси элемента плоскости на рассматриваемом участке; Fн.о - площадь сечения напрягаемой отогнутой арматуры, заканчивающейся на участке u0 длиной, равной uх - шаг хомутов; |


где Sп - приведенный статический момент части сечения, расположенной за рассматриваемым волокном, относительно оси, проходящей через центр тяжести приведенного сечения; b - ширина элемента в рассматриваемом сечении на уровне рассматриваемого волокна. В предварительно напряженных элементах с напрягаемой наклонной или криволинейного очертания арматурой величину поперечной силы Q, подставляемую в формулу (3.22), определяют как разность (или сумму) поперечных сил от внешней нагрузки Qв и силы натяжения Qпр по формуле Q = Qв - Qпр, (3.23) где (3.24)N0 - усилие в пучке или стержне, заканчивающемся на опоре или на участке между опорой и сечением, расположенным на расстоянии h/4 от рассматриваемого сечения O-O (рис. 3.4) и определяемое по формуле (3.25)fн - площадь сечения одного стержня или пучка напрягаемой отогнутой арматуры. |
(3.27)3.29 (8.11). Для элементов, подвергающихся совместному действию изгиба и кручения, величина Значения |
(3.28)
Для элементов прямоугольного сечения (рис. 3.6, а) соответствующая величина (3.30)где h и b - соответственно и меньший размеры сечения.ОПРЕДЕЛЕНИЕ ГЕОМЕТРИЧЕСКИХ ХАРАКТЕРИСТИК ПРИВЕДЕННОГО ПОПЕРЕЧНОГО СЕЧЕНИЯ ЖЕЛЕЗОБЕТОННОГО ЭЛЕМЕНТА 3.30 (5.2). При расчете предварительно напряженных элементов напряжения в сечениях, нормальных к оси элемента, определяют по их приведенной площади, вводя в расчет полное сечение бетона, а также площадь сечения всей продольной напрягаемой и ненапрягаемой арматуры, умноженной на отношение модулей упругости арматуры и бетона ![]() При этом, если части бетонного сечения выполнены из бетона разных проектных марок, их приводят к бетону одной марки, исходя из отношения их модулей упругости |

(3.32)
При определении геометрических характеристик приведенного сечения в расчет вводится сечение бетона с учетом ослабления его каналами, пазами и т.п. |
При определении геометрических характеристик приведенного сечения площадь сечения продольной напрягаемой и ненапрягаемой арматуры вводится в расчет, если она составляет более 0,008F. |
(3.32')
















: арматура A'н состоит из двух пучков по 12 проволок в каждом (F'н = 0,196·12·2 = 4,7 см2), арматура Aн - из 9 пучков по 18 проволок (Fн = 0,196·18·9 = 3,53·9 = 31,75 см2); кубиковая прочность бетона при обжатии R0 = 500 кг/см2; натяжение пучков производится двумя домкратами (с двух сторон пучков); отделка каналов
для пучков производится тонкими стальными трубками.

ИС МЕГАНОРМ: примечание. В официальном тексте документа, видимо, допущена опечатка: таблица 3.7 отсутствует. Возможно, имеется в виду таблица 3.5. |



(см. п. 3.2).


.
.
, потери напряжения от трения арматуры о стенки канала определяем согласно примечанию к графику 3.2 по формуле
, а в радианах
.







для пучков N 6, 7, 8, 9, 10 и 11 | ![]() | кг/см2; |
то же, N 4 и 5 | ![]() | " |
" N 2 и 3 | ![]() | " |
" N 1 | ![]() | " |
для пучков N 6, 7 | ![]() | кг/см2; |
то же, N 8, 9, 10 и 11 | ![]() | " |
" N 4 и 5 | ![]() | " |
" N 2 и 3 | ![]() | " |
" N 1 | ![]() | " |






при марке бетона 500 и натяжении высокопрочной арматурной проволоки на бетон находим потери от ползучести бетона для арматуры

величина потерь от ползучести бетона в арматуре A'н мала, поэтому потери от ползучести бетона для арматуры A'н принимаем равными нулю.


для пучка N 1 | ![]() | кг/см2; |
" пучков N 2 и 3 | ![]() | " |
то же, N 4 и 5 | ![]() | " |
" N 6 и 7 | ![]() | " |
" N 8, 9, 10 и 11 | ![]() | " |


Обозначения | Марки бетона | ||||||||
100 | 150 | 200 | 300 | 400 | 500 | 600 | |||
n | Виды арматуры | Горячекатаная сталь классов А-I, А-II, А-IIв | 11 | 9,1 | 7,9 | 6,7 | 6 | 5,5 | 5,2 |
Горячекатаная сталь классов А-III, А-IIIв, А-IV | 10,5 | 8,7 | 7,5 | 6,3 | 5,7 | 5,3 | 5 | ||
Проволока обыкновенная и высокопрочная, пучки и пряди | 9,5 | 7,8 | 6,8 | 5,7 | 5,1 | 4,7 | 4,5 | ||
Канаты | 8,4 | 6,9 | 6 | 5,1 | 4,6 | 4,2 | 4 | ||
nб | Марки бетона | 100 | 1 | 0,8 | 0,7 | 0,6 | 0,5 | 0,5 | 0,5 |
150 | 1,2 | 1 | 0,9 | 0,7 | 0,7 | 0,6 | 0,5 | ||
200 | 1,4 | 1,1 | 1 | 0,8 | 0,8 | 0,7 | 0,7 | ||
300 | 1,7 | 1,4 | 1,2 | 1 | 0,9 | 0,8 | 0,8 | ||
400 | 1,8 | 1,5 | 1,3 | 1,1 | 1 | 0,9 | 0,9 | ||
500 | 2 | 1,6 | 1,4 | 1,2 | 1,1 | 1 | 0,9 | ||
600 | 2,1 | 1,7 | 1,5 | 1,3 | 1,1 | 1,1 | 1 | ||


величину потерь предварительного напряжения от трения допускается определять по формуле
.4.1 (7.1, 7.24). Расчет элементов железобетонных конструкций по прочности должен производиться для нормальных, а также наклонных (наиболее опасного направления) сечений к оси этих элементов. Расчет сечений, наклонных к продольной оси железобетонного элемента, должен производиться как на действие изгибающего момента, так и на действия поперечной силы. При наличии крутящих моментов необходимо также проверять прочность элемента в пространственном сечении, ограниченном спиральной трещиной наиболее опасного направления (см. п. 4.121). Опорные части элементов должны быть проверены расчетом на смятие, а для предварительно напряженных конструкций, кроме того, следует проверять прочность концевых участков элемента при воздействии сосредоточенных усилий от натянутой арматуры. Следует также проверять прочность элементов в зонах местных нагрузок, сосредоточенных на небольших площадках. |
4.3 (7.5). Расчетные длины l0 при расчете центрально и внецентренно сжатых железобетонных элементов на прочность с учетом продольного изгиба можно определять как для элементов рамной конструкции (плоской или пространственной), в предположении неодновременной потери их устойчивости, полагая, что расчетная нагрузка расположена наиболее невыгодно для рассматриваемого элемента. Допускается принимать следующие значения расчетных длин железобетонных элементов: а) для колонн одноэтажных промышленных зданий при покрытиях, жестких в своей плоскости (из железобетонных, армопенобетонных и тому подобных плит), а также для эстакад - по табл. 4.1; б) для колонн многоэтажных зданий при числе пролетов не менее двух и при отношении ширины здания к его высоте не менее 1/3, а также для элементов железобетонных ферм и арок - по табл. 4.2; |
ИС МЕГАНОРМ: примечание. Взамен СНиП II-В.1-62 Постановлением Госстроя СССР от 24.11.1975 N 196 с 01.01.1977 введены в действие СНиП II-21-75. |
Таблица 4.1 (19) при жестких покрытиях (из железобетонных, армопенобетонных и тому подобных плит) и колонн эстакад | |||||||
Характеристика колонн | Расчетная длина l0 колонн при расчете их в плоскости | ||||||
несущих конструкций покрытий (ферм, балок и т.п.) или перпендикулярной к оси эстакады | оси продольного ряда колонн или параллельной оси эстакады | ||||||
при | |||||||
отсутствии | наличии | ||||||
связей в плоскости продольного ряда колонн | |||||||
Для зданий с мостовыми кранами | Подкрановая часть колонн при подкрановых балках | Разрезных | 1,5Hн | 1,2Hн | 0,8Hн | ||
Неразрезных | 1,2Hн | 0,8Hн | |||||
Надкрановая часть колонн при подкрановых балках | Разрезных | 2,5Hв | 2Hв | 1,5Hв | |||
Неразрезных | 2Hв | 1,5Hв | |||||
Для зданий без мостовых кранов | Однопролетных | 1,5H | 1,2H | H | |||
Двух- и многопролетных | 1,2H | ||||||
Для открытых крановых эстакад при подкрановых балках | Разрезных | 2Hн | 1,5Hн | Hн | |||
Неразрезных | 1,5Hн | Hн | - | ||||
При отсутствии | При наличии | ||||||
Анкерных опор | |||||||
Для открытых эстакад под трубопроводы, при соединении колонн с пролетным строением | Шарниром | 2H | 2H | H | |||
Жестком | 1,5H | 1,5H | 0,7H | ||||
H - полная высота колонны, считая от верха фундамента; Hн - высота подкрановой части колонны от верха фундамента до низа подкрановой балки; Hв - высота надкрановой части колонн; при сборной конструкции - от низа подкрановой балки до верха колонны; при монолитной конструкции - от верха подкрановой балки до верха колонны. Примечания: 1. Значения расчетных длин колонн крановых цехов даны для случая расчета их с учетом крановой нагрузки; если расчет производится без учета крановой нагрузки, то расчетные длины колонн следует принимать как для зданий без мостовых кранов; при этом для ступенчатых колонн расчетная длина верхней части принимается такой же, как и при учете крановой нагрузки. 2. Если ступенчатые колонны (типа применяемых для зданий с мостовыми кранами) применяются в зданиях без мостовых кранов, то расчетная длина верхней части (высотой Hв) принимается равной 2,5Hв. 3. Допускается принимать значения расчетных длин, приведенных в табл. 4.1 для двухветвевых колонн с учетом примечаний 1 и 2. Таблица 4.2 (20) и сжатых элементов ферм и арок | |||||||
Наименование элементов | Расчетная длина l0 | ||||||
Колонны многоэтажных зданий при числе пролетов не менее двух и отношении ширины зданий к его высоте не менее 1/3 при конструкциях перекрытий | Сборных | H | |||||
Монолитных | 0,7H | ||||||
Сжатые элементы ферм | Верхний пояс при расчете в плоскости и из плоскости фермы | l | |||||
Раскосы и стойки при расчете в плоскости фермы | 0,8l | ||||||
То же, при расчете из плоскости фермы | l | ||||||
Арки | При расчете в плоскости арки | Трехшарнирные | 0,58S | ||||
Двухшарнирные | 0,54S | ||||||
Бесшарнирные | 0,36S | ||||||
При расчете из плоскости арки | Любые | S | |||||
H - высота этажа (расстояние между центрами узлов); l - для верхнего пояса ферм - расстояние между точками его закрепления, а для стоек и раскосов - длина элементов между центрами узлов ферм; для элементов верхнего пояса ферм при расчете в плоскости фермы длина элементов между центрами узлов фермы; S - длина арки вдоль ее геометрической оси; при расчете из плоскости арки - длина арки между точками ее закрепления из плоскости. Примечания: 1. Расчетная длина элементов решетки ферм при расчете из плоскости фермы может приниматься меньше l (но не менее 0,8l), если ширина поясов ферм больше ширины элементов решетки и если имеют место мощные узловые соединения. 2. Расчетная длина элементов верхнего пояса ферм и опорных раскосов при расчете их в плоскости фермы может приниматься равной 0,8l при наличии на рассматриваемых элементах местной нагрузки, составляющей значительную долю от общей нагрузки на ферму. 3. Указания, содержащиеся в табл. 4.2, распространяются на колонны многоэтажных зданий при числе этажей не более 8 и при погонной жесткости ригелей не менее чем погонная жесткость колонн. | |||||||
4.5 (7.3). Если продольная арматура A в изгибаемых, внецентренно сжатых по первому случаю (см. пп. 4.70 и 4.71) и внецентренно растянутых по первому случаю (см. п. 4.102 "б") железобетонных элементах располагается в несколько рядов в пределах высоты, превышающей половину высоты растянутой зоны сечения, то для стержней, расположенных на расстоянии более от растянутой грани сечения, расчетное сопротивление арматуры вводится с коэффициентом 0,8 (рис. 4.1). |

и из других видов сталейПримечания: 1. Указания п. 4.5 не относятся к элементам с арматурой, расположенной равномерно по периметру сечения (например, к элементам кольцевого сечения). 2. Допускается не вводить предусмотренный настоящим пунктом коэффициент 0,8 при значениях Sб/S0 <= 0,45, если при этом арматура A выполняется из любого вида арматурных сталей из числа предусмотренных п. 2.14, кроме стали класса А-I. |
4.9 (7.2). При наличии в элементе напрягаемой и ненапрягаемой арматуры из сталей разных видов и классов каждый вид арматуры вводится в расчет прочности со своим расчетным сопротивлением. В этом случае в приведенных ниже расчетных формулах произведения: RаFа, RаFн и Rа.сF'а заменяются суммой произведений расчетных сопротивлений на соответствующие площади сечений арматуры, а произведения Rа.сSа, RаS'а и RаS'н заменяются суммой произведений расчетных сопротивлений арматуры на статические моменты соответствующих площадей сечений арматуры. При наличии в сечении элемента бетонов двух или нескольких марок бетон наиболее низкой марки вводится в расчет прочности со своими расчетными сопротивлениями, а бетоны более высоких марок - с расчетными сопротивлениями, соответствующими марке бетона лишь на одну ступень выше наиболее низкой марки. В таких элементах положение центра тяжести площади всего сечения бетона или его сжатой зоны, а также статические моменты S0 и Sб следует определять, приводя все сечение к бетону одной марки (одного расчетного сопротивления). Допускается не учитывать сечение бетона более низкой марки, если учет его приводит к снижению расчетной несущей способности элемента по сравнению с несущей способностью, определенной без учета этого бетона. |
4.10 (7.6). В изгибаемых, центрально и внецентренно сжатых, а также внецентренно растянутых по первому случаю предварительно напряженных железобетонных элементах напрягаемую арматуру, имеющую сцепление с бетоном и расположенную в зоне, сжатой от действия внешних усилий, вводят в расчет не с расчетным сопротивлением Rа.с, а с напряжением где mт = 1,1; при электротермическом натяжении коэффициент точности натяжения mт принимается согласно п. 3.4. Напряжение Если напрягаемая арматура, расположенная в зоне, сжатой от действия внешних усилий, выполняется из стали различных видов или классов, каждая из них вводится в расчет со своим значением |
Сопротивление арматуры принимается в начале зоны анкеровки равным нулю, а в остальных точках - равным ![]() длины зоны анкеровки расчетных сопротивлений предварительно напряженной арматуры без анкеров, выполняемой из высокопрочной проволоки, пучков или прядей При возможности нарушения сцепления арматуры с бетоном (например, при мгновенной передаче на бетон предварительного напряжения) сопротивление предварительно напряженной арматуры на участке от торца элемента до начала зоны анкеровки (см. п. 3.6), не учитывается (в случае отсутствия на длине зоны анкеровки ненапрягаемой арматуры сечение рассчитывается как бетонное, согласно указаниям главы СНиП II-В.1-62). Примечание. При применении поперечной напрягаемой арматуры без анкеров (например, при непрерывном армировании) следует снижать расчетные сопротивления поперечных стержней на длине зоны ее анкеровки lан.x, распространяя указания настоящего пункта и на поперечную арматуру. 4.12 (4.1). Расчет прочности железобетонных конструкций, схемы предельных состояний которых еще не установлены или для которых условия наступления предельного состояния не могут быть выражены через усилия в сечении (некоторые типы оболочек, балки-стенки и т.п.), может производиться как для упругого тела, при этом: сжимающие напряжения в бетоне при расчетных нагрузках не должны превышать расчетных сопротивлений бетона при сжатии, а все растягивающие усилия в сечении должны быть полностью восприняты арматурой при напряжениях в ней, не превышающих расчетных сопротивлений. ЦЕНТРАЛЬНО СЖАТЫЕ ЭЛЕМЕНТЫ 4.13 (7.10). Расчет по прочности центрально сжатых железобетонных элементов (рис. 4.3) с поперечной арматурой в виде отдельных хомутов или приваренных к продольной арматуре поперечных стержней (рис. 4.4, а), за исключением случая, предусмотренного п. 4.14, производится из условия где Nп - приведенная продольная сила, определяемая по формуле Nдл - расчетная продольная сила от длительно действующей части нагрузки; Nк - расчетная продольная сила от кратковременно действующей части нагрузки; mдл - коэффициент, учитывающий влияние длительного действия нагрузки на несущую способность гибкого элемента, принимаемый по табл. 4.3. |


Таблица 4.3 (21) центрально и внецентренно сжатых железобетонных элементов | |||||||||||||||||||
Гибкость элемента | l0/b | <= 8 | 10 | 12 | 14 | 16 | 18 | 20 | 22 | 24 | 26 | 28 | 30 | 32 | 34 | 36 | 38 | 40 | |
l0/D | <= 7 | 8,5 | 10,5 | 12 | 14 | 15,5 | 17 | 19 | 21 | 22,5 | 24 | 26 | 28 | 29,5 | 31 | 33 | 34,5 | ||
l0/r | <= 28 | 35 | 42 | 48 | 55 | 62 | 69 | 76 | 83 | 90 | 97 | 104 | 111 | 118 | 125 | 132 | 139 | ||
Для тяжелого бетона | 1 | 0,98 | 0,96 | 0,93 | 0,89 | 0,85 | 0,81 | 0,77 | 0,73 | 0,68 | 0,64 | 0,59 | 0,54 | 0,49 | 0,44 | 0,4 | 0,35 | ||
mдл | 1 | 1 | 0,96 | 0,93 | 0,89 | 0,85 | 0,81 | 0,78 | 0,74 | 0,70 | 0,67 | 0,63 | 0,59 | 0,55 | 0,52 | 0,48 | 0,45 | ||
Для легкого бетона | 1 | 0,96 | 0,9 | 0,84 | 0,78 | 0,73 | 0,67 | 0,61 | 0,55 | 0,51 | 0,46 | 0,41 | 0,36 | 0,32 | 0,28 | 0,24 | 0,21 | ||
mдл | 1 | 0,96 | 0,92 | 0,88 | 0,84 | 0,8 | 0,77 | 0,73 | 0,69 | 0,65 | 0,61 | 0,57 | 0,53 | 0,49 | 0,45 | 0,42 | 0,38 | ||
l0 - расчетная длина элемента (см. п. 4.3); b - наименьший размер прямоугольного сечения; D - диаметр круглого сечения; r - наименьший радиус инерции сечения. Примечания: 1. Для конструкций из легких бетонов, у которых мелким заполнителем служит пористый песок, значение mд должно быть снижено на 15%. 2. Для конструкций из легких бетонов на естественных заполнителях значения | |||||||||||||||||||
Примечание. Если площадь сечения продольной арматуры Fа + Fн составляет более 3% от всей площади сечения элемента F, то в формуле (4.2) величина F заменяется величиной F - (Fа + Fн) (см. п. 4.6). |
4.14 (7.11). Расчет по прочности центрально сжатых железобетонных элементов с напрягаемой арматурой, не имеющей сцепления с бетоном и способной смещаться по поперечному сечению элемента (см. п. 4.138), производится для двух случаев: а) при полной расчетной длине элемента и приведенной продольной силе Nп; б) при расчетной длине элемента, равной расстоянию между точками крепления арматуры и приведенной продольной силой Nп, в которой учитывается равнодействующая усилий во всей напрягаемой арматуре после обжатия бетона Nн; в этом случае в формуле (4.3) расчетную продольную силу Nдл следует заменять суммой сил Nдл + Nн. |
4.15 (7.12). При расчете по прочности центрально сжатых железобетонных элементов сплошного сечения с косвенной ненапрягаемой арматурой в виде спиралей или сварных колец (рис. 4.4, б) должно удовлетворяться условие где Fя - площадь сечения бетона, заключенная внутри контура спирали или кольцевой арматуры; Fсп - приведенное сечение спирали (кольцевой арматуры), равное ![]() Dя - диаметр спирали (колец); fсп - площадь поперечного сечения стержня спирали (кольца); s - шаг спирали (колец). Расчет по формуле (4.4) производится, когда приведенное сечение спирали составляет не менее 25% от площади сечения продольной арматуры и когда одновременно l0/D <= 10; если хоть одно из этих условий не соблюдается, а также в том случае, если при расчете по формуле (4.4) несущая способность элемента оказывается меньше, чем по формуле (4.2), расчет ведется без учета косвенного армирования в соответствии с указаниями пп. 4.13 и 4.14 (в этих случаях применение косвенного армирования не рекомендуется). Величина предельного усилия для элемента с косвенным армированием не должна превышать полуторного значения предельного усилия, определяемого по формуле (4.2). |







4.16 (7.14). При расчете по прочности центрально растянутых железобетонных элементов (рис. 4.5) должно соблюдаться условие |

Для предварительно напряженных элементов, армированных проволокой, пучками или прядями без анкеров, при проверке сечений у концов элемента в пределах длины зоны анкеровки напрягаемой арматуры lан расчетное сопротивление этой арматуры в формуле (4.5) следует принимать уменьшенным в соответствии с указаниями п. 4.11. |
4.17 (7.15, 7.19). Расчет сечений, нормальных к продольной оси изгибаемых железобетонных элементов (рис. 4.6), за исключением случая, предусмотренного п. 4.18, производится из условия ![]() изгибаемого железобетонного элемента при расчете его по прочности При этом положение нейтральной оси, а также площадь и форма сечения сжатой зоны бетона определяются условием Положение нейтральной оси, отвечающее достаточной прочности сжатой зоны бетона, должно удовлетворять условию Для элементов, имеющих полку в сжатой зоне, при расположении нейтральной оси в ребре проверка условия (4.8) производится как для элементов прямоугольного сечения без учета свесов полки. Свесы полки, расположенной в растянутой зоне, при проверке условия (4.8) не учитываются во всех случаях. Значения коэффициента Таблица 4.4 (22) | |||||
Проектная марка бетона | 400 и ниже | 500 | 600 | ||
Значения коэффициента | 0,8 | 0,7 | 0,65 | ||
(4.9')
находится в полке, момент не должен превышать величины


4.19 (7.20). Если количество арматуры в растянутой зоне сечения изгибаемого элемента принято , чем это требуется для соблюдения условий (4.6), (4.10) или (4.10') (например, из условия расчета по образованию трещин), то при проверке условий (4.8), (4.11) или (4.11') следует учитывать лишь ту часть сечения арматуры растянутой зоны, которая требуется из расчета на прочность.4.20 (7.21, 7.22). Если в расчете учитывается арматура, расположенная в сжатой зоне, то указаниями пп. 4.17 и 4.18 можно пользоваться лишь при соблюдении условия где zа - расстояние между равнодействующими усилий в арматуре сжатой и растянутой зон; при наличии в сжатой зоне как напрягаемой арматуры zб - расстояние между равнодействующими усилий в бетоне сжатой зоны и в арматуре растянутой зоны. Если условие (4.12) не соблюдается (что может иметь место в случае, если в сжатой зоне поставлена арматура, избыточная против требуемой по расчету), то следует, не пользуясь формулами (4.6) и (4.9), определять требуемую площадь сечения растянутой арматуры из условия Ненапрягаемую арматуру, расположенную в сжатой зоне, не следует учитывать в расчете, если расчет из условия (4.13) приводит к уменьшению расчетной прочности элемента по сравнению с полученной по формулам (4.6) и (4.9) без учета ненапрягаемой арматуры сжатой зоны. |
), если расчет из условия (4.13) приводит к уменьшению расчетной прочности элемента по сравнению с полученной по формулам (4.6) и (4.9) без снижения предварительного напряжения напрягаемой арматуры.Не рекомендуется применение сечений с двойной арматурой, не удовлетворяющих условию M <= RнS0. (4.14) |
4.21 (7.16). Для изгибаемых элементов прямоугольного сечения расчет сечений, нормальных к продольной оси элемента, производится из условия (4.15) |

при этом положение нейтральной оси определяется из формулы (4.16) |








(4.30)Проверка прочности 4.26 (7.17). Расчет сечений изгибаемых элементов, имеющих полку в сжатой зоне (тавровых, двутавровых и т.п.), производится следующим образом: ![]() сжатой и растянутой арматуры, в двутавровом поперечном сечении изгибаемого железобетонного элемента при расчете его по прочности а - при расположении нейтральной линии в пределах сжатой полки; б - при расположении нейтральной линии в пределах ребра (стенки) а) если нейтральная ось проходит в полке (рис. 4.8, а), т.е. |
;б) если нейтральная ось проходит в ребре (рис. 4.8, б), т.е. не выполняется условие (4.34), то расчет производится из условия (4.35)При этом положение нейтральной оси определяют из формулы |
, то прочность сечения проверяется из условия (4.37), при A0 = A0макс.
прочность сечения проверяется согласно п. 4.22 "в".
(4.44)


(4.50)
,
4.32 (7.23). Изгибаемые железобетонные элементы кольцевого сечения (трубчатые) с напрягаемой и ненапрягаемой продольной арматурой, равномерно распределенной по длине окружности, должны удовлетворять условию где При этом значения а) для элементов с ненапрягаемой арматурой (т.е. при Fн = 0), а также для элементов с ненапрягаемой и напрягаемой арматурой при ![]() (4.55)б) для элементов только с напрягаемой арматурой (т.е. при Fа = 0) при ![]() (4.56)в) для элементов с ненапрягаемой и напрягаемой арматурой при ![]() В формулах (4.53) - (4.57) приняты следующие обозначения: Fа, Fн - площадь сечений всей продольной ненапрягаемой и напрягаемой арматуры; r1 и r2 - соответственно внутренний и наружный радиусы кольцевого сечения; rа и rн - соответственно радиусы окружностей, проходящих через центры тяжести сечения стержней продольной ненапрягаемой и напрягаемой арматуры; Примечание. Рекомендации п. 4.32 - 4.35 распространяются на сечения с отношением при числе продольных стержней в поперечном сечении элемента не менее 6.4.33. Расчет кольцевых сечений при ![]() |

;

.
,
; ненапрягаемая арматура Aа из стали класса А-I (Rа = 2100 кг/см2), площадь ее сечения Fа = 2,36 см2
; расчетный изгибающий момент M = 45 тм.



.



; расчетный изгибающий момент M = 31,5 тм.
.


; площадь сечения арматуры
; расчетный изгибающий момент M = 20 тм.

, прочность сечения проверяем из условия (4.19).
; натяжение арматуры механическое; площадь сечения арматуры Aн равна Fн = 15,7 см2
, арматуры
, арматуры Aа равна Fа = 2,36 см2
; расчетный изгибающий момент M = 78 тм.

находим A0 = 0,35.
,
, b = 20 см, h = 60 см, a = 6 см; бетон марки 200 (Rи = 100 кг/см2); арматура без предварительного напряжения из горячекатаной стали класса А-II (Rа = 2700 кг/см2); расчетный изгибающий момент M = 21 тм.





,
, b = 20 см, h = 60 см; a = 7,5 см; бетон марки 200 (Rи = 100 кг/см2); арматура без предварительного напряжения из стали класса А-II (Rа = 2700 кг/см2); расчетный изгибающий момент M = 27 тм.
и
в табл. 4.10 расположены выше жирной черты для бетона марки ниже 400, следовательно, нейтральная ось, отвечающая предельной прочности бетона сжатой зоны, также располагается в ребре.

. Требуемую площадь растянутой арматуры Aа определяем из формулы (4.43)

,
, b = 20 см, h = 60 см; a = 7 см; бетон марки 300 (Rи = 160 кг/см2); предварительно напряженная арматура Aн из стали класса А-IIIв (Rа = 4500 кг/см2), площадь ее сечения Fн = 15,2 см2
; ненапрягаемая арматура Aа из горячекатаной стали класса А-I (Rа = 2100 кг/см2), площадь ее сечения Fа = 1,57 см2
; расчетный изгибающий момент M = 30 тм.
и
в табл. 4.10 расположены выше жирной черты для бетона марки ниже 400, следовательно, нейтральная ось, отвечающая предельной прочности бетона сжатой зоны, также располагается в ребре.

находим A0 = 0,236.



.

; ненапрягаемая арматура Aа из горячекатаной стали класса А-I (Rа = 2100 кг/см2), площадь ее сечения Fа = 1,57 см2
; расчетный изгибающий момент M = 18 тм.
и
находим A0т = 0,207, а значение A0т.макс определяем по формуле (4.48)






.
, прочность сжатого бетона обеспечена.

; предварительное напряжение продольной арматуры с учетом всех потерь
; натяжение арматуры механическое; расчетный изгибающий момент M = 5,1 тм.





4.37 (7.29). Расчет наклонных сечений элементов по поперечной силе должен производиться в следующих местах по длине элемента: б) в сечениях, проходящих через расположенные в растянутой зоне начала отгибов (рис. 4.17); в) в сечениях, проходящих через расположенные в растянутой зоне точки изменения интенсивности поперечного армирования (рис. 4.16). |

4.38 (7.30). Расчет прочности наклонных сечений элементов, перечисленных в п. 4.36, по поперечной силе, действующей в плоскости оси симметрии сечения, может не производиться, если соблюдается условие В этом случае для балок поперечное армирование назначается по конструктивным соображениям в соответствии с указаниями пп. 9.15 - 9.22. 4.39 (7.24, 7.33). За расчетное значение поперечной силы для наклонных сечений принимается поперечная сила в сечении, нормальном к продольной оси элемента, расположенном у конца сечения в сжатой зоне, но при этом часть нагрузки, расположенная в пределах длины проекции наклонного сечения (уменьшающая величину поперечной силы), учитывается только в тех случаях, когда эта часть нагрузки действует на данном участке постоянно и не может быть перемещена. В элементах, рассчитываемых только при одной схеме нагрузки на действие фактической сплошной равномерно распределенной нагрузки p (например, гидростатического давления, давления грунта и т.п.), расчетную величину поперечной силы следует определять с учетом части нагрузки, приложенной к элементу в пределах длины проекции наклонного сечения (уменьшающей величину поперечной силы), если эта нагрузка приложена не в пределах высоты элемента и действует в его сторону (например, в горизонтальном элементе нагрузка, действующая сверху вниз, приложена к верхней грани или нагрузка, действующая снизу вверх, - к нижней грани). |


4.40 (7.31, 7.26). В элементах постоянной высоты расчет наклонных сечений по поперечной силе (рис. 4.14) должен производиться из условия где Fх - площадь сечения всех поперечных стержней (ветвей, хомутов), расположенных параллельно плоскости изгиба в одной нормальной к оси элемента плоскости, пересекающей рассматриваемое наклонное сечение; при одинаковом диаметре поперечных стержней Fх = fхnх, fх - площадь сечения одного поперечного стержня, параллельного плоскости изгиба (одной ветви хомута); nх - число поперечных стержней (ветвей хомутов), расположенных в одной нормальной к продольной оси элемента плоскости; Fо - площадь сечения всех отогнутых стержней, расположенных в одной (наклонной к оси элемента) плоскости, пересекающей рассматриваемое наклонное сечение; ;Qб - проекция предельного усилия в бетоне наклонного сечения на нормаль к оси элемента. Значение проекции предельного усилия в бетоне любого наклонного сечения на нормаль к продольной оси элемента прямоугольного, таврового, двутаврового и коробчатого сечений определяется по формуле где c - проекция длины наклонного сечения на ось элемента. |

входят предельные усилия во всех поперечных стержнях, пересекающих рассматриваемое наклонное сечение, кроме усилий в поперечных стержнях, расположенных у концов этого сечения.
определяется по формуле
(4.67)4.41 (7.36). Расстояния между поперечными стержнями (хомутами), между концом предыдущего и началом последующего отгиба (u2), а также между опорой и концом отгиба, ближайшего к опоре (u1, рис. 4.17) в тех случаях, когда поперечные стержни и отгибы требуются по расчету, должно быть не более величины uмакс, определяемой по формуле |
4.42 (7.32). При отсутствии отогнутых стержней расчет элементов постоянной высоты по поперечной силе должен производиться из условия Q <= Qх.б, (4.69) где Qх.б - предельная поперечная сила, воспринимаемая бетоном сжатой зоны и поперечными стержнями (хомутами) в невыгоднейшем наклонном сечении; Q - поперечная сила в нормальном сечении, проходящем через ближайшую к опоре точку пересечения наклонного сечения с гранью балки (наибольшая поперечная сила в пределах наклонного сечения). Для элементов, армированных поперечными стержнями (хомутами), расположенными в плоскостях, нормальных к продольной оси элемента (рис. 4.15): где qх - предельное усилие в поперечных стержнях (хомутах) на единицу длины элемента, определяемое по формуле где Fх - то же значение, что и в формуле (4.65); u - расстояние между указанными поперечными стержнями (хомутами), измеренное по длине элемента. ![]() в изгибаемом железобетонном элементе с равномерным по его длине поперечным армированием Длина проекции невыгоднейшего наклонного сечения на продольную ось элемента равна увеличенной до целого числа шагов поперечных стержней величине c0, где |
(4.74)4.45 (7.34). При армировании элементов поперечными стержнями (хомутами), наклоненными под углом 45° к продольной оси элемента и расположенными друг от друга на расстояниях u (измеренных по длине элемента), составляющих не более где (4.79) |
.
(4.82)
(4.83)
(4.85)
, а также при одних сосредоточенных силах
(4.87)

(4.89)


(4.92)
и
(4.94)
и сосредоточенных нагрузках
и сосредоточенных нагрузках
(4.97)
4.55 (7.35). При армировании элемента поперечными стержнями (хомутами), расположенными нормально к оси элемента, и отогнутыми стержнями необходимое сечение отгибов, располагаемых в одной наклонной плоскости, допускается определять по формуле где Q - поперечная сила в месте расположения данной плоскости отгибов. При этом величина поперечной силы Q может приниматься: а) при расчете отгибов первой плоскости - равной величине расчетной поперечной силы у грани опоры; б) для расчета отгибов в каждой из последующих плоскостей - равной величине поперечной силы у нижней точки предыдущей (по отношению к опоре) плоскости отгибов (рис. 4.17). |
4.56 (12.34). Нижний конец наиболее удаленного от опоры отгиба (рис. 4.17) должен располагаться: при равномерно распределенной нагрузке - не ближе к опоре, чем то сечение, в котором поперечная сила Q становится больше усилия, воспринимаемого бетоном и хомутами (Qх.б), а при одних сосредоточенных нагрузках - на расстоянии от этого сечения (считая в сторону опоры) не более uмакс, определенного по формуле (4.68) (см. п. 4.41). Кроме того, расположение отгибов должно удовлетворять требованиям п. 9.21. 4.57 (7.37). В плитах с поперечным армированием только в виде отгибов сечение последних должно определяться из формулы (4.65) при Fх = 0. При этом должна быть проверена прочность наклонных сечений, начинающихся в растянутой зоне у опоры и у начала отгибов каждой плоскости и заканчивающихся в сжатой зоне в конце отгибов каждой плоскости, а также в месте приложения сосредоточенной силы (рис. 4.18). ![]() сечений в плитах, армированных отогнутыми стержнями (при отсутствии поперечных стержней) В плитах, рассчитываемых только при одной схеме нагрузки на действие сплошной фактической равномерно распределенной нагрузки интенсивностью p, приложенной снаружи плиты и действующей в ее сторону (см. п. 4.39), сечение отгибов при отсутствии хомутов (вертикальных поперечных стержней) может определяться по формуле (4.100)Величина поперечной силы Q принимается согласно указаниям п. 4.55. |
4.58 (7.38). Расчет прочности наклонных сечений по поперечной силе для свободнолежащих балок переменной высоты, увеличивающейся с увеличением изгибающего момента, с наклонной растянутой и горизонтальной сжатой гранями (рис. 4.19) должен производиться из условия где Q - вертикальная поперечная сила, действующая в рассматриваемом наклонном сечении; F0 и Fх - обозначения те же, что и в п. 4.40; M и z - изгибающий момент и плечо внутренней пары сил в вертикальном сечении, проходящем через конец рассматриваемого наклонного сечения в сжатой зоне, от внешних нагрузок, определяемые без учета предварительного обжатия; z0 и zх - обозначения те же, что и в п. 4.62; Qб - определяется по формуле (4.66) при рабочей (расчетной) высоте балки h0, равной минимальному ее значению на протяжении наклонного сечения. ![]() сечении свободнолежащей балки с наклонной растянутой и горизонтальной сжатой гранями при расчете ее по прочности на действие поперечной силы |
;
,В предварительно напряженных элементах при определении последнего члена в формуле (4.101) влияние предварительного напряжения допускается не учитывать. |
4.59 (7.38). Расчет прочности наклонных сечений по поперечной силе для свободнолежащих тавровых (с полкой в сжатой зоне) и прямоугольных балок переменной высоты, увеличивающейся с увеличением изгибающего момента, с наклонной сжатой и горизонтальной растянутой гранями (рис. 4.20) производится из условия (4.103)где Qб - определяется по формуле (4.66) при рабочей (расчетной) высоте балки, равной ее среднему значению на протяжении наклонного сечения; ![]() сечении свободнолежащей балки с наклонной сжатой и горизонтальной растянутой гранями при расчете ее на действие поперечной силы Величина Dсв определяется в вертикальном сечении, проходящем через конец рассматриваемого наклонного сечения в сжатой зоне: (4.104)где (4.105)Остальные обозначения те же, что и в п. 4.58. Значение Dсв принимается не более .При определении усилия Dсв в зависимости от полной величины равнодействующей усилий в сжатой зоне D ширина свесов полки должна приниматься с учетом указаний п. 4.7. В предварительно напряженных элементах при определении D влияние предварительного напряжения допускается не учитывать. |
) длину проекции невыгоднейшего наклонного сечения c0 допускается определять по формуле (4.72), принимая величину h0 равной рабочей высоте элемента в начале наклонного сечения.
за концом подрезки (рис. 4.21) и не менее величины w0, определенной по формуле (4.114).
, а также
(см. табл. 4.16), условия (4.64) и (4.77) не удовлетворяются и, следовательно, поперечная арматура должна устанавливаться из расчета по прочности.
и D0 = 0,0131 находим
. При этом удовлетворяются требования пп. 4.36 и 4.41 (см. п. 4.50).
.
находим
, тогда 



и
(см. табл. 4.16), согласно пп. 4.37 и 4.44 проверка прочности наклонных сечений необходима.

находим
. При этом согласно п. 4.43 требование п. 4.41 удовлетворяется.
, прочность невыгоднейшего наклонного сечения обеспечена.
и, кроме того (при диаметре поперечных стержней 6 мм предварительно заданном),
(см. табл. 4.16), условия (4.64) и (4.77) не удовлетворяются, и, следовательно, поперечные стержни нужно подбирать из расчета по прочности с соблюдением требований п. 9.16:
и u <= 300 мм.




(см. табл. 4.16), т.е. условия (4.64) и (4.77) не удовлетворяются, и, следовательно, поперечную арматуру нужно подбирать из расчета по прочности.
, т.е. сосредоточенная нагрузка действует в пределах невыгоднейшего наклонного сечения.



и не более 30 см.

.
по 18 проволок в каждом пучке (Rа.х = 8600 кг/см2); расчетная поперечная сила на опоре Q = 115 т.



находим
; проекцию невыгоднейшего наклонного сечения c0 определяем по формуле (4.76)







.




.

.










, длину проекции невыгоднейшего наклонного сечения c0 определяем по рабочей высоте h0 в начале наклонного сечения у опоры по формуле (4.72).






4.62 (7.26). Расчет прочности наклонных сечений по изгибающему моменту (рис. 4.27) должен производиться из условия (4.107)где F0 и Fх - обозначения те же, что и в п. 4.40; z0 и zх - расстояния от центра тяжести сжатой зоны бетона до плоскостей расположения соответственно отгибов и поперечных стержней, пересекающих рассматриваемое наклонное сечение элемента. |

Примечание. При расчете наклонного сечения положение его нейтральной оси определяется в соответствии с указаниями пп. 4.17 - 4.31 как для сечения, нормального к оси элемента и расположенного таким образом, что центр тяжести его сжатой зоны лежит на наклонном сечении. 4.63 (7.26). Направление наиболее опасного наклонного сечения (по изгибающему моменту) для элементов с постоянной высотой определяется из условия (4.110)где Q - расчетная поперечная сила у конца наклонного сечения в сжатой зоне элемента; |
(4.111)4.64 (7.27). Проверку на изгиб по наклонным сечениям для балок с постоянной или с плавно изменяющейся высотой допускается не производить, так как соблюдение требований пп. 4.41, 4.56, 4.67, 4.68, 9.21, 9.48, 9.50 (примечание 1) и 9.52 обеспечивает достаточную прочность в наклонных сечениях по изгибающему моменту. Исключением является случай, предусмотренный п. 4.66. 4.65 (7.27). Для элементов с резко меняющейся высотой сечения, например для балок или консолей, имеющих подрезки, должен производиться расчет на действие изгибающего момента в наклонном сечении, проходящем через входящий угол подрезки (рис. 4.21), согласно указаниям пп. 4.61 - 4.63. |
4.66 (7.28). Для предварительно напряженных элементов, армированных проволокой, пучками или прядями без анкеров, должна быть проверена прочность на изгиб по наклонным сечениям, начинающимся у грани опоры, а также на длине зоны анкеровки lан (см. п. 3.6) согласно указаниям пп. 4.61 - 4.63. При этом сопротивления арматуры принимаются сниженными согласно указаниям п. 4.11. 4.67 (7.40). Для обеспечения прочности наклонных сечений по изгибающему моменту продольные растянутые стержни, обрываемые в пролете, должны заводиться за точку теоретического обрыва (т.е. за сечение, нормальное к оси элемента, в котором эти стержни перестают требоваться по расчету на изгибающий момент) (рис. 4.28) на длину не менее 20d и не менее величины w, которая для элементов постоянного сечения определяется по формуле для балок переменной высоты с наклонной сжатой и горизонтальной растянутой гранями - (4.117)для балок переменной высоты с наклонной растянутой и горизонтальной сжатой гранями - где Q - расчетная поперечная сила: в элементах постоянной высоты - в сечении, нормальном к оси элемента, а в балках переменной высоты - в вертикальном сечении, проведенном через точку теоретического обрыва стержня (соответствующая тому случаю загружения, для которого определялась точка теоретического обрыва); Q0т - поперечная сила, воспринимаемая отгибами в том же сечении элемента, определяемая по формуле (4.115); d - расчетный диаметр обрываемого стержня; qхw - предельное усилие в поперечных стержнях на единицу длины элемента на участке c + w, определяемое формуле (4.109); RаFа и RаFн - предельные усилия в растянутой арматуре в нормальном сечении, проходящем через точку теоретического обрыва растянутых стержней. ![]() 1 - точка теоретического обрыва стержня; 2 - эпюра изгибающих моментов |
Для сплошной равномерно распределенной нагрузки, предусмотренной в п. 4.39, при определении мест обрыва надопорных стержней со стороны приложения сплошной нагрузки вместо величины 2qхw в формулы (4.116) - (4.118) следует подставлять величину 2(qхw + p). |
(4.119)
(4.120)
; поперечные стержни диаметром d = 8 мм по два в одном сечении (Fх = 1,01 см2) с шагом u = 100 мм из стали класса А-III (Rа = 3400 кг/см2); расчетная поперечная сила на опоре Q = 79,6 т, расчетная равномерно распределенная нагрузка q = 9 т/м; предварительное напряжение в прядях с учетом потерь, происходящих до окончания обжатия бетона,
; кубиковая прочность бетона при обжатии R0 = 300 кг/см2; мгновенная передача предварительного обжатия не допускается.
равна:



, т.е. условие (4.34) не выполняется и нейтральная линия проходит в ребре, высоту сжатой зоны бетона x определяем из условия (4.36).








.


; поперечные стержни диаметром 10 мм по три в одном сечении (Fх = 2,36 см2) с шагом 15 см из горячекатаной стали класса А-I (Rа = 2100 кг/см2).



4.69 (7.46). При расчете по прочности внецентренно сжатых элементов необходимо рассматривать два возможных случая расчета: а) случай 1, отвечающий относительно большим эксцентриситетам, когда прочность элемента характеризуется достижением растянутой арматурой ее расчетного сопротивления; б) случай 2, отвечающий относительно малым эксцентриситетам, когда прочность элемента характеризуется достижением бетоном сжатой зоны его расчетного сопротивления ранее достижения растянутой (или слабо сжатой) арматурой ее расчетного сопротивления. 4.70 (7.47). Внецентренно сжатые железобетонные элементы, поперечные сечения которых имеют хотя бы одну ось симметрии при эксцентриситете только в плоскости этой оси, если удовлетворяется условие (4.8) (случай 1 внецентренного сжатия, рис. 4.32) рассчитываются из условия или условия При этом положение нулевой (нейтральной) оси может определяться из уравнения где SбN - статический момент площади сечения сжатой зоны бетона относительно оси, нормальной к плоскости действия изгибающего момента и проходящей через точку приложения продольной силы N. В формуле (4.123) перед вторым и третьим слагаемым принимается знак: плюс, если продольная сила N приложена за пределами расстояния между равнодействующими усилий в арматуре A и A'; минус, если продольная сила N приложена между равнодействующими усилий в арматуре A и A'. |

(4.124)
(4.125)
(4.126)
(4.127)
(4.128)
(4.129)
находится в полке, то необходимость расчета по случаю 1 внецентренного сжатия определяется только условием (4.11). Если при этом

4.71 (7.47). Если в расчете внецентренно сжатых по первому случаю элементов учитывается арматура A', то должно удовлетворяться условие (4.12); допускается учитывать в расчете арматуру A' и при несоблюдении условия (4.12) (см. п. 4.20), но при этом следует, не пользуясь формулами (4.121) - (4.123), производить расчет из условия Ненапрягаемую арматуру сжатой зоны не следует учитывать в расчете, если расчет из условия (4.130) приводит к уменьшению расчетной прочности элемента по сравнению с расчетом без учета этой арматуры. |
), если расчет из условия (4.130) приводит к уменьшению расчетной прочности элемента по сравнению с расчетом по формулам (4.121) - (4.123) без учета снижения предварительного напряжения этой арматуры.4.72 (7.47). Внецентренно сжатые железобетонные элементы, если не удовлетворяется условие (4.8) или условия (4.11) и (4.11') для тавровых, двутавровых и тому подобных сечений при расположении нейтральной оси в пределах полки и ребра сечения (случай 2 внецентренного сжатия, рис. 4.33), рассчитываются следующим образом. ![]() внецентренно сжатого по второму случаю железобетонного элемента при расчете его прочности Для внецентренно сжатых элементов из бетона марки 400 и ниже расчет сечений производится из условия Для внецентренно сжатых элементов из бетона марки выше 400 расчет сечений производится из условий: а) при (4.132)б) при где (4.134)где |

, располагается в полке, принимается



Sсв и Sо.реб - то же, что и в п. 4.18; c - расстояние от точки приложения равнодействующей всех внутренних усилий в бетоне и арматуре Nц при равномерно сжатом сечении до равнодействующей усилий в арматуре A (рис. 4.35); (4.135)S - статический момент всего сечения бетона относительно оси, нормальной к плоскости действия изгибающего момента и проходящей через точку приложения равнодействующей усилий в арматуре A. |
если допускается учитывать свесы полки, расположенной у менее сжатой стороны сечения; при этом наибольшая ширина этой полки, вводимая в расчет по формулам (4.131) - (4.133), определяется из условия ![]() где величина S0 определяется без учета свесов полки у более сжатой стороны сечения. При |

Примечание (6.1). При расчете стеновых панелей должен учитываться случайный эксцентриситет, принимаемый равным: а) для панелей несущих стен - 2 см; б) то же, самонесущих стен (а также при расчете отдельных слоев трехслойных панелей несущих стен) - 1 см. Указанный случайный эксцентриситет суммируется с заданным эксцентриситетом продольной силы e0. В тех случаях, когда может быть гарантировано, что при установке панелей смещение осей по этажам составит не более 1 см, разрешается при расчете панелей несущих стен учитывать случайный эксцентриситет, равный 1 см. 4.74 (7.46, 7.51). При отношении Влияние прогиба элемента учитывается путем умножения величины e0 на коэффициент а) для сечения любой формы б) для прямоугольных сечений rи - радиус инерции поперечного сечения в плоскости изгиба. Значения коэффициента C в формулах (4.137) и (4.138) определяются для тяжелого бетона по формуле где R - проектная марка бетона по прочности на сжатие в кг/см2; ![]() Fа - площадь сечения арматуры A; при арматуре, распределенной по высоте сечения, допускается за величину Fа принимать площадь сечения арматуры A, расположенной у растянутой или менее сжатой грани. Если отношение Таблица 4.5 (24) прочности внецентренно сжатых элементов | ||||||||
Проектная марка бетона | Граничные относительные эксцентриситеты | |||||||
69 | 86 | 104 | 122 | 139 | ||||
20 | 25 | 30 | 35 | 40 | ||||
150 | 0,6 | 0,45 | 0,3 | 0,2 | 0,15 | 0,07 | ||
200 | 0,55 | 0,4 | 0,3 | 0,2 | 0,1 | - | ||
300 | 0,5 | 0,35 | 0,25 | 0,15 | 0,06 | - | ||
400 | 0,4 | 0,3 | 0,2 | 0,1 | - | - | ||
500 | 0,35 | 0,25 | 0,15 | 0,05 | - | - | ||
600 | 0,3 | 0,2 | 0,1 | - | - | - | ||
В том случае, если значение коэффициента |
При (для прямоугольных сечений ) учет влияния прогиба на величину эксцентриситета продольной силы допускается производить иными, упрощенными способами. |

(4.137')
4.75 (7.51). При гибкости элемента необходимо учитывать влияние длительного воздействия нагрузки на несущую способность элемента.В этих случаях во всех расчетных формулах продольную силу N заменяют приведенной продольной силой Nп, определяемой по формуле причем эта сила приложена с эксцентриситетом e0.п, вычисляемым по формуле где Nдл - расчетная продольная сила от длительно действующей части нагрузки; Nк - расчетная продольная сила от кратковременно действующей части нагрузки; eо.дл и eо.к - расстояние от точки приложения усилия соответственно Nдл и Nк до центра тяжести поперечного сечения элемента; mэ.дл - коэффициент, учитывающий влияние длительного воздействия нагрузки на несущую способность гибкого внецентренно сжатого элемента, определяемый по формуле где mдл - коэффициент, принимаемый по табл. 4.3, п. 4.13 при замене в ней отношений |


4.76 (7.51). При расчете внецентренно сжатых железобетонных элементов, имеющих несмещаемые опоры, значения коэффициентов mдл и а) для сечений в средней трети длины элемента по табл. 4.3, п. 4.13 и по формулам (4.137) или (4.138); б) для сечений в пределах крайних третей длины элемента - путем линейной интерполяции (принимая в опорных сечениях коэффициенты mдл и 4.77 (7.51). При расчете прочности внецентренно сжатых железобетонных элементов, помимо учета гибкости в плоскости действия момента, должна также производиться проверка на продольный изгиб в плоскости, перпендикулярной плоскости изгиба, как для элементов, работающих на осевое сжатие (без учета изгибающего момента), согласно указаниям пп. 4.13 и 4.14. |
4.78 (7.52). Расчет по прочности предварительно напряженных внецентренно сжатых внешней продольной силой железобетонных элементов с напрягаемой арматурой, не имеющей сцепления с бетоном и способной смещаться по поперечному сечению элемента (см. п. 4.138), производится для двух случаев: а) при полной расчетной длине элемента и приведенной продольной силе Nп; б) при расчетной длине элемента, равной расстоянию между точками крепления арматуры, и приведенной продольной силе Nп, в которой учитывается равнодействующая усилия Nн во всей напрягаемой арматуре после обжатия бетона; в этом случае в формулах (4.140) и (4.141) расчетную продольную силу Nдл следует заменять суммой сил Nдл + Nн. Если обжимаемый элемент может прогнуться до напрягаемой арматуры, препятствующей его дальнейшему изгибу, то расчетная величина добавочного эксцентриситета (прогиба) для усилия Nн не должна превышать расстояния от поверхности бетона до поверхности напрягаемой арматуры, измеряемого в плоскости изгиба до обжатия элемента. |
Для предварительно напряженных элементов, армированных проволокой, пучками или прядями без анкеров, должна быть проверена прочность наклонных и нормальных к оси элемента сечений на длине зоны анкеровки напрягаемой арматуры, с учетом возможности нарушения сцепления ее с бетоном (см. п. 4.11). |
4.80 (7.48). Расчет внецентренно сжатых железобетонных элементов прямоугольного сечения может производиться следующим образом: а) если удовлетворяется условие (4.8) (случай 1), по формулам: (4.143)или (4.144)При этом положение нейтральной оси определяется из условия (4.145)Правило знаков перед вторым и третьим слагаемыми принимается таким же, как и в формуле (4.123) (см. п. 4.70). Высота сжатой зоны бетона, если учитывается арматура сжатой зоны, должна удовлетворять условию (4.12); допускается учитывать в расчете арматуру сжатой зоны и при несоблюдении этого условия, но при этом площадь сечения растянутой арматуры должна определяться по формуле (4.146)б) если не удовлетворяется условие (4.8) (случай 2): при (4.147)при (4.148)где |


из значений 
(4.153)
- из условия (4.154);
- также из условия (4.154), но с заменой величины A0макс интерполяционным множителем Aи.
(4.157)




(4.160)
(4.160')

производится расчет по случаю 1 внецентренного сжатия, при
- по случаю 2.



(4.166)

(4.171)
- из условия (4.172),
- также из условия (4.172), но с заменой величины A0макс интерполяционным множителем Aи; при этом, если
(4.173)

(4.175)
(4.176)

(4.177)
необходимая площадь сечения арматуры, расположенной у одной стороны сечения, определяется по формуле
(4.180)
(4.181)
(4.182)
в элементах из бетона марки 400 и ниже площадь сечения арматуры Aа и
получается равной нулю или отрицательной, это означает, что арматуры в сечении не требуется и арматура Aа и
, выполняемых из бетона марки 400 и ниже, можно производить с помощью графика 4.7.
и
находится внутри области, ограниченной кривой
и осями координат.
,
и 


;
;
;
.
, прочность сечения проверяется из условия
(4.187)









прочность сечения проверяется согласно п. 4.81 по условиям (4.151) или (4.152) Aсв и 
(4.194)


заменяются на
, а
на
.


(4.196)
на
и значения (A0макс + Aсв) на A0макс x (1 + 2,5Aсв); 



(4.199)
(4.200)
заменяется на
, а (A0макс + Aсв) - на A0макс x (1 + 2,5Aсв); 
4.95 (7.49). Внецентренно сжатые железобетонные элементы кольцевого сечения (трубчатые) с напрягаемой и ненапрягаемой арматурой, равномерно распределенной по окружности, рассчитываются по формулам: а) 1-й случай, при ,где (4.202)б) 2-й случай, при , (4.203)где при e0 < rн принимают (4.204)а при e0 >= rн принимают ![]() e0 - эксцентриситет продольной силы N относительно центра тяжести приведенного сечения. Остальные обозначения те же, что и в формулах п. 4.32. Примечания: 1. При отсутствии напрягаемой арматуры следует принимать величину Fн равной нулю и rн = rа. |
(отвечающих примечанию 2 к п. 4.95) рекомендуется производить согласно указаниям пп. 4.97 и 4.98.
прочность сечения проверяется из условия
прочность сечения проверяется из условия
принимают
, а при
принимают
(4.207)
(4.209)

по формуле
, где
(4.212)

при e0 < rа (4.215)
(4.216)
или
при
.
:
и n;
при
или
.
принимается
, при
.
:
(4.219)
и n;
(4.220)
; расчетные продольные силы и изгибающие моменты:ИС МЕГАНОРМ: примечание. Текст дан в соответствии с официальным текстом документа. |
.
, согласно п. 4.75 расчет производим с учетом длительного действия нагрузки.



(см. табл. 4.5 п. 4.74), коэффициент C находим по графику 4.3 в зависимости от
и
; при этом C = 360.
.
, т.е. имеет место случай 1 внецентренного сжатия, прочность сечения проверяем в соответствии с п. 4.86 "а".

; расчетные продольные силы и изгибающие моменты: от длительно действующей части нагрузки Nдл = 30,7 т, Mдл = 13,5 тм, от кратковременно действующей части нагрузки Nк = 8 т, Mк = 7,5 тм; гибкость элемента
.
, определяем приведенные продольную силу Nп и эксцентриситет eо.п аналогично примеру 4.27: Nп = 40 т; eо.п = 54 см.
(см. табл. 4.5 п. 4.74), коэффициент C находим по графику 4.3 в зависимости от
и
. При этом C = 308.
.
, т.е. имеет место случай 1 внецентренного сжатия, прочность проверяем в соответствии с п. 4.86 "а".


, площадь сечения арматуры
; расчетные продольные силы и изгибающие моменты:
.
, определяем приведенные продольную силу Nп и эксцентриситет eо.п аналогично примеру 4.27. Nп = 190 т; eо.п = 9,4 см.
(см. табл. 4.5 п. 4.74), коэффициент C находим по графику 4.3 в зависимости от
и
; при этом C = 388. По графику 4.4 при
и гибкости
находим
. По формуле (4.136) определяем
.
, т.е. имеет место случай 2 внецентренного сжатия, прочность сечения проверяем в соответствии с п. 4.86 "б" из условия (4.172)
; расчетные продольные силы и их эксцентриситеты:
.
, определяем приведенную продольную силу Nп и приведенный эксцентриситет eо.п.

(см. табл. 4.5 п. 4.74), коэффициент C находим по графику 4.3 при
и
; при этом C = 330. По графику 4.4 при
и
находим
.
.
(см. п. 4.86 "б"), то имеет место случай 2 внецентренного сжатия и поэтому прочность сечения проверяем из условия (4.172), заменяя при этом A0макс интерполяционным множителем Aи.

.
(см. табл. 4.9), необходимую площадь арматуры определяем по формуле (4.179). Так как
, необходимо при подборе арматуры учитывать коэффициент продольного изгиба
(см. табл. 4.5 п. 4.74) соответствует значение
, т.е. площадь сечения арматуры
.



.
(см. табл. 4.5 п. 4.74) соответствует
, т.е. площадь сечения арматуры Aа
.



.
(см. табл. 4.9).


.

.
.




.


.
, расчет ведем с учетом продольного изгиба.

и
, находим площади арматуры fy и fx:









, расчет ведем с учетом продольного изгиба.
(см. табл. 4.5 п. 4.74), коэффициент C находим по графику 4.3 при
и
(Fа - площадь сечения арматуры, расположенной у растянутой грани сечения
и
, находим площади сечения арматуры
, отстоит от растянутой грани на расстоянии






определяем A = 0,125 и B = 0,228.





значительно превышает отношение
находим коэффициенты
и mдл = 0,752.

и
; расчетные продольные силы и изгибающие моменты относительно центра тяжести бетонного сечения:
, согласно п. 4.75 расчет производим с учетом влияния длительного действия нагрузки и продольного изгиба.

, т.е. продольная сила Nп приложена за пределами сечения, значения eо.п и c согласно п. 4.73 определяем относительно центра тяжести бетонного сечения, т.е.
и c = h/2 - a = 0,5/2 - 0,04 = Nn = 0,21 м.
(см. табл. 4.5 п. 4.74), коэффициент C находим по графику 4.3 в зависимости от
и
; при этом C = 440.
.
, т.е. имеет место случай 1 внецентренного сжатия, прочность сечения проверяем в соответствии с п. 4.81 "а".
находим A0 = 0,314
, согласно п. 4.74 учитываем влияние прогиба элемента. Для определения в первом приближении коэффициента продольного изгиба
(см. табл. 4.5, п. 4.74) соответствует значение
, т.е. требуемая площадь сечения арматуры
.




.
.
.
; расчетная приведенная продольная сила Nп = 280 т; расчетный приведенный изгибающий момент Mп = 336 тм; расчетная длина элемента l0 = 20 м в плоскости изгиба и l0 = 10,7 м в плоскости, нормальной к ней.
. Определяем площадь и момент инерции бетонного сечения

, согласно п. 4.74 расчет ведем с учетом продольного изгиба.
C = 390.


.

находим A0 = 0,201.


значительно превышает гибкость колонны в плоскости изгиба
, дополнительно проверяем прочность сечения на центральное сжатие (см. п. 4.77).



(см. п. 4.74),

; расчетная величина предварительного напряжения с учетом всех потерь
.
(см. табл. 4.15).
и rср = 20 см.
; расчетная приведенная продольная сила Nп = 60 т; приведенный изгибающий момент относительно центра тяжести сечения Mп = 14 тм.

(см. п. 4.74),
, прочность сечения проверяем из условия (4.217).
.

4.102 (7.54). Расчет внецентренно растянутых железобетонных элементов прямоугольного, таврового, двутаврового и коробчатого сечений производится: а) при малых эксцентриситетах, если сила N приложена между равнодействующими усилий в арматуре A и A' (случай 2, рис. 4.42), из условий: б) при больших эксцентриситетах, если сила N приложена за пределами расстояния между равнодействующими усилий в арматуре A и A' (случай 1, рис. 4.43), из условий: или (4.224)![]() внецентренно растянутого с малым эксцентриситетом железобетонного элемента при расчете его по прочности ![]() внецентренно растянутого с большим эксцентриситетом железобетонного элемента при расчете его по прочности При этом положение нулевой (нейтральной) оси определяется из уравнения Высота сжатой зоны должна удовлетворять условию (4.8) или (4.11) и (4.11'), а при наличии учитываемой в расчете арматуры A', кроме того, условию (4.12). Допускается учитывать в расчете арматуру A' и при несоблюдении условия (4.12) (см. п. 4.20), но при этом следует, не пользуясь формулами (4.223) - (4.225), производить расчет из условия Ненапрягаемую арматуру |
, если расчет из условия (4.226) приводит к уменьшению расчетной прочности элемента по сравнению с полученной из расчета по п. 4.102 "б" без учета снижения предварительного напряжения этой арматуры.Проверка сечений, составляющих с продольной осью элемента угол более 60°, может не производиться. |
Расстояние между поперечными стержнями (хомутами) в тех случаях, когда поперечные стержни не требуются по расчету, должно быть не более величины uмакс = 0,5h, а в остальных случаях должны удовлетворять требованиям п. 9.16; б) при больших эксцентриситетах, если продольная сила N приложена за пределами расстояния между равнодействующими усилий в арматуре A и A', расчет наклонных сечений должен производиться как для изгибаемых элементов в соответствии с указаниями пп. 4.36 - 4.60. При этом, если эксцентриситет силы N относительно центра тяжести всего сечения бетона e0 <= 1,5h0, то величина Qб [(см. формулу (4.66)] умножается на коэффициент |
(4.229)
(4.230)
(4.231)Расчет прочности наклонных сечений внецентренно растянутых элементов может не производиться (поперечную арматуру в этом случае устанавливают конструктивно в соответствии с указаниями пп. 9.1, 9.2 и 9.15), если при больших эксцентриситетах соблюдается хотя бы одно из следующих условий: 1) величина главных растягивающих напряжений 2) Q <= kRрbh0, (4.232) где k <= 1, а при малых эксцентриситетах, если соблюдается первое из этих условий. |
Примечание. Для предварительно напряженных элементов, армированных проволокой, пучками или прядями без анкеров, следует проверять прочность на изгиб наклонных и нормальных к оси элемента сечений на длине зоны анкеровки арматуры (см. пп. 4.11 и 4.66). РАСЧЕТ ПРЯМОУГОЛЬНЫХ СЕЧЕНИЙ Проверка прочности 4.104 (7.55). Расчет внецентренно растянутых элементов прямоугольного сечения производится: а) если сила N приложена между равнодействующими усилий в арматуре A и A' - из условий (4.221 и 4.222); б) если сила N приложена за пределами расстояния между равнодействующими усилий в арматуре A и A' - из условий (4.233)или (4.234)при этом положение нулевой (нейтральной) оси определяется из уравнения (4.235)а высота сжатой зоны должна удовлетворять условию (4.12); учет сжатой арматуры должен производиться применительно к указаниям п. 4.102. |
(4.239)
, то прочность сечения проверяется из условия (4.238), при A0 = A0макс.
,
из значений
,
(4.242)
(4.244)
(4.244')
,
.
,
из значений
,
(4.245)
(4.245')
(4.248)
(4.249)
(4.250)
,
из значений
(4.251)
,
(4.252)
(4.253)



находим
и
. Так как
, требуемую площадь сечения продольной арматуры находим из формулы (4.252)

.
; расчетная продольная растягивающая сила N = 16,3 т, расчетный изгибающий момент M = 11,6 тм.


(см. табл. 4.9).
. Так как
, требуемую площадь сечения растянутой арматуры Fа находим из формулы (4.251)ИС МЕГАНОРМ: примечание. Формула дана в соответствии с официальным текстом документа. |

.
.
; расчетная продольная растягивающая сила N = 25 т, расчетный изгибающий момент M = 6 тм.



.

.






и
.
; расчетная продольная растягивающая сила N = 90 т, расчетный изгибающий момент M = 3,1 тм.
.








и v = 0,42 из графика 4.1 находим D0 = 0,04. При этом удовлетворяются условия пп. 4.36, 4.41 и 9.16.




4.110 (7.15). Расчет по прочности на изгиб несимметричных сечений и сечений, имеющих хотя бы одну ось симметрии и подвергающихся изгибу в плоскости, не параллельной этой оси (косому изгибу) (рис. 4.44), производится из условий (4.6) и (4.7), а также из условия параллельности плоскостей действия внешних и внутренних моментов, что для симметричных сечений выражается формулой где Mx - составляющая изгибающего момента, вызывающая изгиб в плоскости оси x; My - составляющая изгибающего момента, вызывающая изгиб в плоскости оси y, нормальной к оси x. |



;
), величину vx определяют по площади Fб, учитывая площадь свесов полки с коэффициентом 0,8.


) величины ux и vy определяются по формулам:






(4.257)
4.113 (7.19). Для элементов прямоугольного сечения, подвергающихся косому изгибу, проверку достаточной прочности бетона сжатой зоны рекомендуется производить, пользуясь условием (4.260)где Sбx и S0x - статические моменты соответственно сжатой зоны бетона и всего рабочего сечения бетона относительно оси, нормальной к оси x и проходящей через точку приложения равнодействующей усилий в арматуре, растянутой от действия момента Mx и расположенной у грани элемента, нормальной к оси x; Sбy и S0y - то же, относительно оси, нормальной к оси y и проходящей через точку приложения равнодействующей усилий в арматуре, растянутой от действия момента My и расположенной у грани, нормальной к оси y. |





- сумма усилий во всей продольной арматуре, расположенной в сечении элемента.
(4.261)
(4.261')4.115 (7.39). Расчет прочности по поперечной силе элементов прямоугольного сечения, подвергающихся изгибу в плоскости, не параллельной оси симметрии, производится из условия (4.262)где Qx и Qy - составляющие поперечной силы, действующие соответственно в плоскости x и в нормальной к ней плоскости y; Qх.б(x) и Qх.б(y) - предельные поперечные силы, которые могут быть восприняты наклонным сечением при действии их соответственно только в плоскости x и только в плоскости y, определяемые по формулам (4.263) и (4.263'); где bx и by - размеры сечения в направлении, нормальном соответственно к оси x и к оси y; h0x и h0y - рабочие (расчетные) высоты сечения в направлении соответственно оси x и оси y; qх(x) и qх(y) - предельные усилия в поперечных стержнях соответственно в направлении, параллельном оси x, и в направлении, параллельном оси y, на единицу длины элемента; ux и uy - расстояния между поперечными стержнями, параллельными соответственно оси x и оси y. Примечание. Отогнутые стержни при расчете на поперечную силу при косом изгибе не учитываются. Косое внецентренное сжатие 4.116 (7.50). Элементы, имеющие сечения, симметричные относительно двух взаимно перпендикулярных осей и подвергающиеся одновременному воздействию продольной силы и изгибающих моментов в направлении обеих осей симметрии (косое внецентренное сжатие, рис. 4.48) и работающие по случаю 1 косого внецентренного сжатия, рассчитываются из условий (4.121) или (4.122), при этом положение нейтральной оси, определяющее форму сжатой зоны бетона, находится из условия (4.123), а также из условия расположения на одной прямой точек приложения равнодействующей внешних сил, равнодействующей всех внутренних усилий в сжатой зоне сечения и равнодействующей усилий в арматуре, расположенной в растянутой зоне. При этом должны соблюдаться все требования п. 4.71. |


- сумма усилий во всей продольной арматуре, расположенной в сечении элемента.
(4.264)
(4.265)

или


т.е. 

4.118 (7.50). Расчет по прочности элементов, имеющих сечения и армирование, симметричные относительно двух взаимно перпендикулярных осей и работающих на косое внецентренное сжатие по случаю 2, производится из условия (4.266)где N - расчетная продольная сила при совокупности всех воздействий; Nц - расчетная продольная сила, которая может быть воспринята сечением при центральном сжатии; Nx - расчетная продольная сила, действующая в плоскости оси x с эксцентриситетом ex, которая может быть воспринята сечением; Ny - то же, в плоскости оси y с эксцентриситетом ey. Значения Nx и Ny определяются из формул случая 2 внецентренного сжатия по п. 4.86 "б". |
(4.267)Примечания: 1. При определении Nx и Ny (так же как и при определении Nц) рекомендуется учитывать всю арматуру, имеющуюся в сечении элемента. |
2. При определении Nx и Ny гибкость элемента учитывается в соответствии с п. 4.74, при этом коэффициент |






(см. рис. 4.49).
, величины ux и vy определяются по формулам


.

находим






и c = 0,095 находим X0 = 0,33, а при ny = 0,344,
и c = 0,095 находим Y0 = 0,165.
.
; при этом fy и fпy обозначают арматуру, расположенную по грани, параллельной плоскости изгиба (в данном случае по оси y), как это принято в п. 4.90. fy = fпy(p + 1) = 4,909(2 + 1) = 14,73 см2; 






и осями координат, прочность сечения при случае 1 косого внецентренного сжатия обеспечена.




и


4.120 (7.57). Для железобетонных элементов прямоугольного сечения, работающих на кручение с изгибом или на чистое кручение, размеры сечения должны назначаться такими, чтобы соблюдалось условие где Mк - наибольшее значение крутящего момента на рассматриваемом участке элемента, h и b - соответственно больший и меньший размеры сечений. 4.121 (7.58). Элементы прямоугольного сечения, подвергающиеся кручению или одновременному действию кручения и изгиба, рассчитываются согласно нижеследующим указаниям. а) Определяется несущая способность элемента при совместном действии крутящего и изгибающего моментов (по 1-й схеме, рис. 4.51, а) - из условия при этом положение нейтральной оси определяется двумя параметрами: длиной проекции нейтральной оси на продольную ось элемента c1, которая принимается равной но не более c1макс = 2h + b (4.271) и высотой сжатой зоны бетона x1, определяемой из условия |

, а также при переменном его значении, если длина c1 не ограничивается, например, расстоянием от центра тяжести сжатой зоны проверяемого пространственного сечения до опоры (т.е. если Сжатую арматуру .В случаях расчета только на крутящий момент (при отсутствии на рассматриваемом участке изгибающего момента) величина б) Определяется несущая способность элемента при совместном действии крутящего момента и поперечной силы (по 2-й схеме, рис. 4.51, б) из условия при этом положение нейтральной оси определяется величинами c2 и x2, где (4.274)но не более c2макс = 2b + h, (4.275) а x2 определяется из условия |
При расчете только на крутящий момент (при отсутствии в рассматриваемой зоне поперечной силы) величина Несущая способность элемента принимается по меньшему из двух ее значений, полученных из формул (4.269) и (4.273). Кроме того, независимо от расчета по указаниям п. 4.121 сечение элемента, работающего на изгиб с кручением, должно удовлетворять условиям п. 4.21 при расчете без учета крутящего момента. В формулах (4.269) - (4.276) приняты обозначения: ![]() Mк, M, Q - соответственно крутящий момент, изгибающий момент и поперечная сила, действующие по одну сторону от рассматриваемого (пространственного) сечения элемента, показанного на рис. 4.51, отнесенные по длине элемента к центру тяжести сжатой зоны бетона; Fа1 - площадь сечения всех продольных стержней, расположенных у грани элемента шириной b, растянутой от изгиба; fx1 - площадь сечения одного поперечного стержня из числа расположенных у граней шириной b (перпендикулярных к плоскости изгиба); fx2 - то же, у граней шириной h (параллельных плоскости изгиба); u1 и u2 - расстояния между поперечными стержнями (соответственно у граней шириной b и шириной h); a1 и a2 - расстояние от боковой грани элемента (шириной h) до оси продольных стержней, расположенных у этой грани. Обозначения арматуры показаны на рис. 4.52. |

При расчет элемента по формулам (4.273) - (4.276) (по 2-й схеме) не производится, а заменяется расчетом на изгиб по наклонным сечениям, согласно указаниям пп. 4.61 - 4.68.Вводимые в расчет сечения продольной и поперечной арматуры в элементах, работающих на изгиб с кручением или на чистое кручение, должны удовлетворять следующим условиям: а) для граней элементов шириной b (перпендикулярных плоскости действия изгибающего момента) б) для граней элемента шириной h (параллельных плоскости действия изгибающего момента) |
4.122 (7.59). При должно соблюдаться условие, обеспечивающее достаточную прочность бетона сжатой зоныгде xс - расчетная высота сжатой зоны бетона для случая, когда несущая способность элемента определяется прочностью бетона у грани, сжатой от изгиба, вычисляемая по формуле Сжатая арматура в формуле (4.280) учитывается только в том случае, если значение xс, определенное по этой формуле без учета сжатой арматуры, составляет более .Если условие (4.279) не соблюдается, необходимо увеличивать размеры сечения или повышать марку бетона. В отдельных случаях, при невозможности или нецелесообразности увеличения размеров сечения или повышения марки бетона, допускается увеличивать сечение сжатой арматуры, если учет ее позволяет выполнить условие (4.279). |

, допускается определять без учета арматуры, расположенной у сжатой от изгиба грани, по формуле


, определяется по формуле
(4.285)

(c2 - длина проекции нейтральной линии на продольную ось элемента).
следует принимать
, а величину RаFа2 умножать на отношение
следует принимать
.4.127 (7.60). Если в элементах прямоугольного сечения, работающих на изгиб с кручением, размеры сечения приняты такими, что соблюдается условие и при этом величина , то разрешается не ставить расчетной поперечной арматуры у граней элемента шириной b (перпендикулярной плоскости изгиба), сжатой от изгиба.4.128 (7.61). Величина поперечной силы в элементах прямоугольного сечения, подвергающихся одновременно кручению и изгибу, во всех случаях должна удовлетворять условию (4.63), а также условию |
.

;
; при этом проекция пространственного сечения c1 не должна превышать длину участка балки с однозначной эпюрой M, т.е.
или
.
.
от опоры равны Mк = 10 тм, M = 46,2 тм (см. рис. 4.54).

c1 = 1,5·40 = 60 см.
от опоры равны Mк = 10 тм, M = 38,7 тм (см. рис. 4.54).

c1 = 2,5·40 = 100 см.
от опоры равны Mк = 10 тм, M = 31,2 тм (см. рис. 4.54).
и умножая величину RаFа1 на отношение 
c1 = l = 132 см.
от опоры равны Mк = 10 тм и M = 25,2 тм.
т.е.
;
.
определяем по формуле

соответственно равны Mк = 10 тм и Q = 37,5 т, т.е.
. Определяем предельный крутящий момент по формуле (4.284)



где N - расчетная нагрузка, приложенная к части рассматриваемого сечения (местная или сумма местной и основной нагрузки); Fсм - площадь смятия; Rсм - расчетное сопротивление бетона при местном сжатии, определяемое по формуле где но не более значений F - расчетная площадь сечения, определяемая по указаниям п. 4.132. |
Таблица 4.6 (18) | |||
Вид нагрузки | Коэффициент | ||
![]() | ![]() | ||
При учете только местной нагрузки | 1,5 | 1,2 | |
При учете местной и основной нагрузок | 2 | 1,5 | |
Примечания: 1. При опирании колонн, тяжело нагруженных ферм и балок вблизи края (торца) бетонной стены принимается Rсм = Rпр. 2. Если местная краевая нагрузка Nсм > RпрFсм, то участок элемента в месте приложения этой нагрузки должен быть усилен сетчатым армированием. |
4.130 (6.13). При одновременном действии на рассматриваемое сечение (площадь смятия Fсм) основной и местной нагрузки расчет на смятие производится в двух вариантах: а) на местную нагрузку; б) на сумму местной нагрузки и части основной нагрузки, воспринимаемой площадью смятия Fсм. При этих двух вариантах расчета принимаются различные величины коэффициента 4.131 (7.13, 7.65). При расчете на местное сжатие (смятие) железобетонных элементов с косвенным армированием в виде сварных сеток (например, под анкерными устройствами напрягаемой арматуры; под центрирующими прокладками в стыках колонн и т.п.) должно удовлетворяться условие где но принимаемый не более 3,5; формулой (4.292) следует пользоваться при Здесь Rа - расчетное сопротивление растяжению стержней сеток косвенного армирования; (4.294)п1, fа1, l1 - соответственно число стержней, площадь сечения одного стержня и длина стержня сетки в одном направлении; п2, fа2, l2 - соответственно число стержней, площадь сечения одного стержня и длина стержня сетки в другом направлении; s - расстояние между сетками; Fя - площадь бетона, заключенного внутри контура сеток, считая по их крайним стержням. |
(6.295)Расчет косвенного армирования стыкуемых концов сжатых элементов с обрывом рабочей арматуры в месте стыка при передаче нагрузки по всей поверхности торца при сферическом шарнире в стыках колонн должен производиться по формуле 4.132 (6.12). Расчетная площадь сечения F в формулах (4.291) и (4.293) принимается согласно следующим правилам: а) при местной нагрузке по всей ширине сечения элемента b в расчетную площадь сечения включаются участки длиной не более b в обе стороны от краев местной нагрузки (рис. 4.55, а); б) при местной краевой нагрузке по всей ширине сечения элемента b в расчетную площадь сечения включается участок, примыкающий к краю местной нагрузки, длиной не более b (рис. 4.55, б); в) при местной нагрузке от опирания концов прогонов и балок в расчетную площадь сечения включается участок шириной, равной длине опорного участка прогона или балки и длиной согласно подпункту "а", но не более расстояния между осями двух соседних пролетов между балками (рис. 4.55, в); г) при краевой местной нагрузке на угол сечения в расчетную площадь сечения включается участок длиной не более размера c, в направлении размера a площади смятия и не более a - в направлении размера c площади смятия (рис. 4.55, г); д) при местной нагрузке, приложенной по части длины и ширины сечения, расчетная площадь принимается симметричной по отношению к площади смятия, согласно рис. 4.55, д. При наличии нескольких нагрузок указанного типа расчетные площади, кроме того, ограничиваются линиями, проходящими через середину расстояний между двумя соседними нагрузками. Примечания: 1. Если сечение имеет сложную форму, не допускается учитывать в расчетной площади участки сечения, надлежащая связь которых с загруженным участком не обеспечена (например, на рис. 4.55, е участки сечения 2 и 3 не должны учитываться при расчете на местное сжатие по участку 1). 2. При местной нагрузке от балок, прогонов, перемычек и других элементов, работающих на изгиб, учитываемая в расчете глубина опоры lсм при определении Fсм и F принимается не более 20 см. ![]() при расчете на местное сжатие (смятие), для различных случаев передачи нагрузки |
4.133 (7.62). Расчет на продавливание центрально нагруженных квадратных железобетонных фундаментов, капителей безбалочных перекрытий, а также плит под местные нагрузки производится из условия где P - расчетная продавливающая сила; h0 - рабочая высота сечения фундамента (плиты) на проверяемом участке; bср - среднее арифметическое между периметрами верхнего и нижнего оснований пирамиды, образующейся при продавливании в пределах рабочей высоты сечения h0 (рис. 4.56, а). ![]() в железобетонных элементах а - в плитах; б - в фундаментах При определении величин bср и P предполагается, что продавливание происходит по поверхности пирамиды, боковые стороны которой наклонены под углом 45° к вертикали. Величина силы P принимается равной величине нормальной силы, действующей в сечении колонны у верха фундамента или у низа капители безбалочного перекрытия за вычетом нагрузок, приложенных к большему основанию пирамиды продавливания (считая до плоскости расположения растянутой арматуры). 4.134 (7.63). Расчет на продавливание центрально нагруженных прямоугольных, а также внецентренно нагруженных квадратных и прямоугольных железобетонных фундаментов производится по п. 4.133; при этом в формуле (4.297) величина силы P принимается равной а средний периметр пирамиды продавливания bср заменяется средним размером ее грани, расположенной со стороны площади F, (4.299)где F - площадь многоугольника ABCDEG (см. рис. 4.56, б); b0 - верхняя сторона одной грани пирамиды продавливания; bн - нижняя сторона одной грани пирамиды продавливания на уровне растянутой арматуры; pгр - наибольшее краевое давление на грунт от расчетной нагрузки (с учетом момента). |
Длина участка балки, в пределах которого располагается эта дополнительная арматура Fх, воспринимающая сосредоточенную нагрузку, принимается не более s = 2h1 + b1, (4.301) где h1 - расстояние от низа арматуры рассчитываемого элемента до центра тяжести сжатой зоны опорного сечения примыкающего элемента, а при непосредственном приложении нагрузки - до нижнего уровня приложения к нему нагрузки (рис. 4.57); для крайних ригелей расстояние h1 принимается равным расстоянию от низа арматуры ригеля до центра тяжести нижней арматуры примыкающего элемента; b1 - ширина распределения нагрузки в месте ее приложения. |

Опорная реакция, приложенная выше уровня растянутой арматуры, должна быть в пределах опоры воспринята полностью поперечной арматурой Fх, охватывающей растянутую продольную арматуру, или приваренной к ней (рис. 4.58). |

4.136 (7.41). Входящие углы в растянутой зоне элементов, армируемые пересекающимися продольными стержнями (рис. 4.59), должны иметь поперечную арматуру, достаточную для восприятия: а) равнодействующей усилий в продольных растянутых стержнях, не заведенных в сжатую зону, равной б) 35% равнодействующей усилий во всех продольных растянутых стержнях, заанкеренных в сжатой зоне (4.303) |

Необходимая по расчету из этих условий поперечная арматура должна быть расположена на длине (4.304)Сумма проекций усилий в поперечных стержнях (хомутах), располагаемых по этой длине, на биссектрису угла |
В формулах (4.302) - (4.305) приняты обозначения: Fа1 - площадь сечения всех продольных растянутых стержней, незаанкеренных в сжатой зоне; Fа2 - площадь сечения продольных растянутых стержней, заанкеренных в сжатой зоне; |


.

, прочность проверяем из условия (4.292).












При расчете прочности элемента на воздействие центрального или внецентренного предварительного обжатия (с учетом в необходимых случаях собственного веса или монтажных нагрузок) усилия напрягаемой арматуры вводят в расчет как внешние нагрузки; при этом учитывают следующие указания: а) для элементов, обжимаемых центрально, усилие обжатия определяют с учетом всей напрягаемой арматуры (Nн); б) для элементов обжимаемых внецентренно, усилие обжатия определяют только от напрягаемой арматуры, расположенной в наиболее обжатой зоне в) при подсчете усилий обжатия Nн и при натяжении арматуры на упоры - ,где при натяжении одновременно всей арматуры на бетон - где при натяжении на бетон арматуры поочередно группами ,где (4.307)но не более 2500 кг/см2; F1 и F2 - соответственно наименьшая и наибольшая площади поперечных сечений обжимаемого элемента; для элементов с постоянным поперечным сечением принимают Fн - для элементов, обжимаемых центрально, - площадь сечения всей напрягаемой арматуры; для элементов, обжимаемых внецентренно, - площадь сечений всей напрягаемой арматуры обжимаемой зоны элемента, прочность которой проверяется. Расчет прочности при обжатии бетона конструкции производят с учетом расчетного сопротивления бетона, соответствующего его прочности в момент обжатия. Примечания: 1. При натяжении арматуры на бетон в элементах, имеющих на отдельных участках местное уменьшение сечения (например, за счет устройства проемов), расчет прочности сечений на этих участках должен производиться на усилие обжатия арматурой, определяемое с учетом указаний настоящего пункта, но при величине снижения предварительного напряжения в арматуре 2. При наличии напрягаемой арматуры, непараллельной продольной оси элемента, в расчет прочности на обжатие вводят продольную составляющую силы натяжения арматуры (см. примечание к п. 3.18). 4.138 (7.8). Расчет прочности железобетонного элемента при обжатии бетона арматурой, натягиваемой на бетон, производят с учетом, в необходимых случаях, влияния продольного изгиба или прогиба элемента; в этих случаях: а) при арматуре, не имеющей сцепления с бетоном и способной смещаться по поперечному сечению элемента, расположенной в каналах, пазах, выемках или за пределами сечения, следует учитывать: 2) при внецентренном обжатии элемента - влияние прогиба элемента в плоскости действия момента на величину эксцентриситета продольной силы по указаниям пп. 4.74, 4.76 и 4.78; б) при арматуре, расположенной в закрытых каналах и не смещаемой по поперечному сечению элемента, влияние продольного изгиба или прогиба элемента не учитывают. Расчет прочности железобетонного элемента при обжатии бетона арматурой, натянутой на упоры и имеющей сцепление с бетоном, производится без учета влияния продольного изгиба или прогиба элемента от обжатия. При определении прогиба элемента и при расчете его на продольный изгиб в стадии обжатия кроме усилия обжатия в необходимых случаях следует учитывать влияние собственного веса элемента, совместную работу его с другими элементами конструкций и т.п. При расчете прочности элементов с арматурой, не имеющей сцепления с бетоном, указанных в абзаце "а" настоящего пункта, на воздействие предварительного обжатия расчетную длину элемента принимают равной расстоянию между устройствами, прикрепляющими арматуру к бетону по длине элемента. |
4.139 (7.43). Размеры сечений коротких консолей (l <= 0,9h0), поддерживающих балки, фермы и т.д. (рис. 4.62), принимаются из условия где b, m - коэффициент, учитывающий условия работы консоли. ![]() минимальных размеров коротких консолей а - при фиксированной площадке опирания примыкающего элемента; б и в - при отсутствии фиксированной опорной площадки, соответственно при l >= lоп и при l < lоп |
.Для консолей, поддерживающих подкрановые балки для специальных кранов тяжелого режима работы (с жестким подвесом, магнитных, грейферных и т.п.), m = 1; для консолей, поддерживающих подкрановые балки в цехах с обычными мостовыми кранами тяжелого и среднего режима работы, m = 1,6; для консолей, поддерживающих подкрановые балки в цехах с кранами легкого режима работы, а также для консолей, несущих статическую нагрузку, m = 2,2. Напряжение смятия в местах передачи нагрузки на консоли не должно превышать Rпр. У коротких консолей угол У коротких консолей, поддерживающих подкрановые балки, несущие специальные краны тяжелого режима работы, рекомендуется осуществлять плавное примыкание нижней грани консоли к колонне по кривой на участке не менее 1/3 длины наклонной грани (см. рис. 4.63, а) или устраивать вут (увеличение высоты сечения консоли вследствие устройства закругления или вута не учитывается). ![]() а - наклонными хомутами; б - отогнутыми стержнями и горизонтальными хомутами При определении минимальных размеров поперечного сечения консолей, на которые опираются сборные балки, идущие вдоль вылета консоли, при отсутствии специальных выступающих закладных деталей, фиксирующих площадку опирания, принимается, что балка опирается на площадку длиной (где bб - ширина площадки опирания балки на консоль), расположенную у свободного конца консоли (рис. 4.62, б). |
и l > lоп минимальные размеры допускается принимать из условияЕсли стыки балок с колоннами надежно замоноличены и арматура в стыках поставлена, как в раме с жесткими узлами, а нижняя арматура балок приварена через закладные детали к арматуре консолей, то минимальные размеры консоли разрешается определять для сечения, проходящего через торец балки, принимая равномерное опирание ее на длине от конца консоли до торца балки. При этом величину опорного давления, передающегося на консоль от нагрузки, приложенной после замоноличивания, разрешается уменьшать на 25%. 4.140 (7.44). В коротких консолях, примыкающих к колоннам или к другим элементам большей высоты, выступающим за сжатую грань консолей не менее чем на половину высоты консоли h в месте примыкания ее к колонне или к другому элементу, сечение продольной арматуры подбирается по изгибающему моменту, действующему по грани примыкания консоли к элементу, увеличенному на 25%, согласно пп. 4.24 и 4.25. В остальных случаях, а также если консоль является продолжением свободнолежащей на опоре балки или плиты, сечение продольной арматуры подбирается по моменту, действующему по оси опоры, увеличенному на 25%. |
(4.310)
, то учитывается нагрузка Q, находящаяся в пределах вылета консоли l.Продольная арматура соответствующего сечения должна быть доведена до конца консоли. В консолях, для которых коэффициент m в условии (4.308) составляет более 1 и расстояние l3 от центра груза до края арматуры (см. рис. 4.63, а) не превышает: а) при круглой гладкой арматуре - 15d; б) при арматуре периодического профиля классов А-III и А-II и бетоне проектной марки ниже 300 - 15d; в) при арматуре периодического профиля классов А-III и А-II и бетоне проектной марки 300 и выше - 10d, продольная арматура должна быть снабжена анкерами в виде шайб или уголков; конструкция этих анкеров должна удовлетворять требованиям п. 9.54. Примечание. Постановка анкеров не обязательна в консолях, на которые опираются сборные балки, идущие вдоль вылета консолей, если стыки этих балок надежно замоноличены и арматура в них поставлена как в раме с жесткими узлами, а нижняя арматура балок приварена к арматуре консолей через закладные детали. |
а) наклонными хомутами (рис. 4.63, а); такое армирование рекомендуется при высоте консоли в месте примыкания к колонне h <= 2,5c1; б) отогнутыми стержнями и горизонтальными хомутами (рис. 4.63, б); данный способ армирования рекомендуется при h > 2,5c1. В обоих случаях шаг хомутов должен быть не более 150 мм и не более Суммарное сечение отгибов и наклонных хомутов, пересекающих верхнюю половину наклонной линии (отрезок l2 на рис. 4.63), идущей от груза к углу примыкания нижней грани консоли к колонне, должно быть не менее 0,002bh0 и не менее где c2 = c1 + 0,3h0; если консоль является продолжением балки или плиты, то c2 принимается равным расстоянию от оси груза до оси опоры; c1 - расстояние от оси груза до ближайшей грани колонны у низа консоли; h0 - рабочая высота консоли в сечении примыкания ее к колонне. |
площадь сечения отгибов и наклонных хомутов допускается принимать не менее 0,002bh0, не вычисляя ее по формуле (4.311).
; марка бетона колонны 200 (Rпр = 80 кг/см2, Rр = 7,2 кг/см2); продольная и наклонная арматура консоли из горячекатаной стали класса А-III (Rа = 3400 кг/см2); нагрузка на консоль от балки равна Q = 50 т.

для бетона марки 200 коэффициент t = 3,9.


.

.4.142 (7.64). Анкеры, приваренные втавр нормально к плоским элементам стальных закладных деталей, выполняемых в соответствии с указаниями пп. 9.86 - 9.90, при действии изгибающего момента, нормальной и сдвигающей сил следует рассчитывать с учетом совместного действия этих силовых факторов следующим образом. |



;
, определяется по формулеМарка бетона | Диаметр анкеров в мм | Классы стали | ||
А-I | А-II | А-III | ||
200 | 8 - 16 | 0,6 | 0,55 | 0,5 |
18 | 0,55 | 0,5 | 0,45 | |
20 | 0,5 | 0,45 | 0,4 | |
22 | 0,45 | 0,4 | 0,35 | |
25 | 0,4 | 0,35 | 0,3 | |
300 и более | 8 - 16 | 0,7 | 0,6 | 0,55 |
18 | 0,65 | 0,55 | 0,5 | |
20 | 0,6 | 0,5 | 0,45 | |
22 | 0,55 | 0,45 | 0,4 | |
25 | 0,5 | 0,4 | 0,35 | |
Отогнутые анкеры, приваренные внахлестку к стальным закладным деталям, выполняемым в соответствии с указаниями п. 9.87, допускается рассчитывать только на сдвигающие усилия по формуле |
а анкеры, приваренные втавр, - только на изгибающие моменты и нормальные силы по формуле (4.312). |
Конструкция закладных деталей с приваренными к ним элементами, передающими нагрузку на закладные детали, должна обладать достаточной жесткостью для обеспечения равномерного распределения усилий между растянутыми анкерами и равномерной передачи сжимающих усилий на бетон. |

4.143 (7.64). Толщина пластинок закладных деталей при анкерах, приваренных втавр, должна удовлетворять условию (4.315), а также технологическим требованиям к сварке (см. табл. 9.11, п. 9.88) где d - диаметр анкеров; Rср - расчетное сопротивление стали пластины на срез, которое может приниматься равным 1300 кг/см2; Rа - расчетное сопротивление анкеров растяжению. |
4.144 (7.66). Размеры бетонных шпонок (рис. 4.67), передающих перерезывающие усилия от одного сборного элемента к другому или продольные сдвигающие усилия между сборными элементами и дополнительно уложенным бетоном, должны определяться по следующим формулам: где Qсд - сдвигающая сила, передающаяся через шпонки; nш - количество шпонок, вводимое в расчет; при расчете на перерезывающее усилие nш должно быть не более трех. ![]() а - соединение бетонной шпонкой двух ребристых плит; б - схема расположения сдвигающего усилия и расчетные размеры бетонной шпонки; 1 - шпонка; 2 - заливка бетоном При наличии арматуры или сжимающей силы, перпендикулярной плоскости шва, допускается уменьшать высоту шпонок, рассчитываемых на перерезывающее усилие, против определяемой условием (4.317), но не более чем в 2 раза. |
Примечания: 1. При соединении шпонками элементов настила (рис. 4.67) длина шпонки, вводимая в расчет, должна составлять не более половины пролета элемента; при этом величина сдвигающей силы Qсд принимается равной сумме сдвигающих усилий по всей длине элемента. |







.![]() | ![]() | ||||
0,01 | 0,995 | 0,01 | 0,29 | 0,855 | 0,248 |
0,02 | 0,99 | 0,02 | 0,3 | 0,85 | 0,255 |
0,03 | 0,985 | 0,03 | 0,31 | 0,845 | 0,262 |
0,04 | 0,98 | 0,039 | 0,32 | 0,84 | 0,269 |
0,05 | 0,975 | 0,049 | 0,33 | 0,835 | 0,275 |
0,06 | 0,97 | 0,058 | 0,34 | 0,83 | 0,282 |
0,07 | 0,965 | 0,067 | 0,35 | 0,825 | 0,289 |
0,08 | 0,96 | 0,077 | 0,36 | 0,82 | 0,295 |
0,09 | 0,955 | 0,086 | 0,37 | 0,815 | 0,301 |
0,1 | 0,95 | 0,095 | 0,38 | 0,81 | 0,308 |
0,11 | 0,945 | 0,104 | 0,39 | 0,805 | 0,314 |
0,12 | 0,94 | 0,113 | 0,4 | 0,8 | 0,32 |
0,13 | 0,935 | 0,121 | 0,41 | 0,795 | 0,326 |
0,14 | 0,93 | 0,13 | 0,42 | 0,79 | 0,332 |
0,15 | 0,925 | 0,139 | 0,43 | 0,785 | 0,337 |
0,16 | 0,92 | 0,147 | 0,44 | 0,78 | 0,343 |
0,17 | 0,915 | 0,155 | 0,45 | 0,775 | 0,349 |
0,18 | 0,91 | 0,164 | 0,46 | 0,77 | 0,354 |
0,19 | 0,905 | 0,172 | 0,47 | 0,765 | 0,359 |
0,2 | 0,9 | 0,18 | 0,48 | 0,76 | 0,365 |
0,21 | 0,895 | 0,188 | 0,49 | 0,755 | 0,37 |
0,22 | 0,89 | 0,196 | 0,5 | 0,75 | 0,375 |
0,23 | 0,885 | 0,503 | 0,51 | 0,745 | 0,38 |
0,24 | 0,88 | 0,211 | 0,52 | 0,74 | 0,385 |
0,25 | 0,875 | 0,219 | 0,53 | 0,735 | 0,39 |
0,26 | 0,87 | 0,226 | 0,54 | 0,73 | 0,394 |
0,27 | 0,865 | 0,234 | 0,55 | 0,725 | 0,4 |
0,28 | 0,86 | 0,241 |





Марка бетона | ||
400 и ниже | 0,4 | 0,55 |
500 | 0,35 | 0,45 |
600 | 0,325 | 0,41 |




Значения A0т при n | |||||||||||
0 | 0,1 | 0,2 | 0,3 | 0,4 | 0,5 | 0,6 | 0,7 | 0,8 | 0,9 | ||
0,01 | 0,01 | Для любых значений n | |||||||||
0,02 | 0,02 | ||||||||||
0,03 | 0,03 | ||||||||||
0,04 | 0,039 | ||||||||||
0,05 | 0,048 | ||||||||||
0,06 | 0,058 | ||||||||||
0,07 | 0,067 | ||||||||||
0,08 | 0,077 | ||||||||||
0,09 | 0,085 | ||||||||||
0,1 | 0,095 | ||||||||||
0,11 | 0,104 | ||||||||||
0,12 | 0,113 | ||||||||||
0,13 | 0,121 | ||||||||||
0,14 | 0,13 | ||||||||||
0,15 | 0,133 | ||||||||||
0,16 | 0,147 | ||||||||||
0,17 | 0,155 | ||||||||||
0,18 | 0,163 | ||||||||||
0,19 | 0,171 | ||||||||||
0,2 | 0,177 | 0,177 | 0,178 | 0,179 | 0,179 | 0,179 | 0,18 | 0,18 | 0,18 | 0,18 | |
0,21 | 0,186 | 0,187 | 0,187 | 0,187 | 0,187 | 0,187 | 0,188 | 0,188 | 0,188 | 0,188 | |
0,22 | 0,194 | 0,194 | 0,194 | 0,194 | 0,195 | 0,195 | 0,195 | 0,195 | 0,196 | 0,196 | |
0,23 | 0,201 | 0,201 | 0,202 | 0,202 | 0,202 | 0,202 | 0,202 | 0,203 | 0,203 | 0,203 | |
0,24 | 0,208 | 0,209 | 0,209 | 0,21 | 0,21 | 0,21 | 0,21 | 0,21 | 0,211 | 0,211 | |
0,25 | 0,215 | 0,215 | 0,215 | 0,217 | 0,218 | 0,218 | 0,218 | 0,218 | 0,218 | 0,218 | |
0,26 | 0,223 | 0,223 | 0,223 | 0,223 | 0,224 | 0,225 | 0,225 | 0,225 | 0,226 | 0,226 | |
0,27 | 0,229 | 0,23 | 0,23 | 0,231 | 0,231 | 0,231 | 0,232 | 0,233 | 0,234 | 0,234 | |
0,28 | 0,237 | 0,237 | 0,237 | 0,238 | 0,239 | 0,24 | 0,24 | 0,24 | 0,24 | 0,241 | |
0,29 | 0,243 | 0,243 | 0,244 | 0,245 | 0,245 | 0,246 | 0,246 | 0,247 | 0,247 | 0,248 | |
0,3 | 0,249 | 0,25 | 0,25 | 0,251 | 0,251 | 0,252 | 0,253 | 0,254 | 0,255 | 0,255 | |
0,31 | 0,255 | 0,255 | 0,257 | 0,258 | 0,259 | 0,26 | 0,26 | 0,26 | 0,26 | 0,261 | |
0,32 | 0,261 | 0,264 | 0,264 | 0,264 | 0,265 | 0,266 | 0,266 | 0,266 | 0,267 | 0,268 | |
0,33 | 0,267 | 0,267 | 0,27 | 0,27 | 0,272 | 0,272 | 0,273 | 0,273 | 0,273 | 0,275 | |
0,34 | - | 0,275 | 0,275 | 0,277 | 0,278 | 0,279 | 0,279 | 0,281 | 0,282 | 0,282 | |
0,35 | - | 0,279 | 0,281 | 0,282 | 0,284 | 0,285 | 0,285 | 0,286 | 0,287 | 0,288 | |
0,36 | - | - | 0,287 | 0,288 | 0,289 | 0,291 | 0,291 | 0,292 | 0,293 | 0,294 | |
0,37 | - | - | 0,293 | 0,294 | 0,295 | 0,296 | 0,296 | 0,298 | 0,3 | 0,300 | |
0,38 | - | - | - | 0,3 | 0,301 | 0,303 | 0,304 | 0,305 | 0,306 | 0,307 | |
0,39 | - | - | - | 0,305 | 0,307 | 0,308 | 0,309 | 0,311 | 0,312 | 0,313 | |
0,4 | - | - | - | - | 0,312 | 0,314 | 0,314 | 0,316 | 0 318 | 0,319 | |
0,41 | - | - | - | - | 0,317 | 0,319 | 0,321 | 0,322 | 0,323 | 0,325 | |
0,42 | - | - | - | - | - | 0,325 | 0,325 | 0,327 | 0,329 | 0,331 | |
0,43 | - | - | - | - | - | 0,33 | 0,332 | 0,333 | 0,335 | 0,336 | |
0,44 | - | - | - | - | - | 0,333 | 0,333 | 0,337 | 0,34 | 0,342 | |
0,45 | - | - | - | - | - | - | 0,342 | 0,344 | 0,344 | 0,347 | |
0,46 | - | - | - | - | - | - | 0,346 | 0,349 | 0,351 | 0,352 | |
0,47 | - | - | - | - | - | - | - | 0,353 | 0,356 | 0,357 | |
0,48 | - | - | - | - | - | - | - | 0,358 | 0,361 | 0,363 | |
0,49 | - | - | - | - | - | - | - | 0,364 | 0,366 | 0,368 | |
0,5 | - | - | - | - | - | - | - | - | 0,37 | 0,373 | |
0,51 | - | - | - | - | - | - | - | - | 0,375 | 0,378 | |
0,52 | - | - | - | - | - | - | - | - | - | 0,383 | |
0,53 | - | - | - | - | - | - | - | - | - | 0,397 | |


Значения A0т при n | ||||||||||
0 | 0,1 | 0,2 | 0,3 | 0,4 | 0,5 | 0,6 | 0,7 | 0,8 | 0,9 | |
0,01 | 0,009 | 0,009 | 0,009 | 0,009 | 0,009 | 0,009 | 0,01 | 0,01 | 0,01 | 0,01 |
0,02 | 0,017 | 0,019 | 0,019 | 0,019 | 0,019 | 0,02 | 0,02 | 0,02 | 0,02 | 0,02 |
0,03 | 0,025 | 0,027 | 0,028 | 0,028 | 0,028 | 0,029 | 0,029 | 0,029 | 0,03 | 0,03 |
0,04 | 0,033 | 0,035 | 0,037 | 0,038 | 0,038 | 0,038 | 0,038 | 0,039 | 0,039 | 0,039 |
0,05 | 0,039 | 0,043 | 0,045 | 0,046 | 0,047 | 0,047 | 0,047 | 0,047 | 0,048 | 0,048 |
0,06 | 0,046 | 0,05 | 0,053 | 0,055 | 0,056 | 0,057 | 0,057 | 0,057 | 0,058 | 0,058 |
0,07 | 0,053 | 0,058 | 0,061 | 0,063 | 0,064 | 0,066 | 0,066 | 0,067 | 0,067 | 0,067 |
0,08 | 0,059 | 0,064 | 0,068 | 0,071 | 0,072 | 0,074 | 0,075 | 0,075 | 0,076 | 0,076 |
0,09 | 0,065 | 0,071 | 0,076 | 0,079 | 0,081 | 0,083 | 0,084 | 0,084 | 0,085 | 0,085 |
0,1 | 0,07 | 0,078 | 0,083 | 0,087 | 0,089 | 0,091 | 0,092 | 0,093 | 0,094 | 0,094 |
0,11 | 0,075 | 0,084 | 0,089 | 0,093 | 0,097 | 0,099 | 0,1 | 0,102 | 0,103 | 0,104 |
0,12 | 0,081 | 0,087 | 0,096 | 0,1 | 0,104 | 0,107 | 0,109 | 0,111 | 0,111 | 0,112 |
0,13 | 0,086 | 0,096 | 0,102 | 0,107 | 0,111 | 0,115 | 0,117 | 0,119 | 0,12 | 0,121 |
0,14 | 0,091 | 0,1 | 0,109 | 0,114 | 0,119 | 0,121 | 0,124 | 0,127 | 0,128 | 0,13 |
0,15 | 0,095 | 0,106 | 0,115 | 0,121 | 0,126 | 0,129 | 0,132 | 0,134 | 0,136 | 0,138 |
0,16 | 0,1 | 0,111 | 0,12 | 0,127 | 0,132 | 0,136 | 0,14 | 0,142 | 0,144 | 0,146 |
0,17 | 0,104 | 0,116 | 0,126 | 0,134 | 0,139 | 0,144 | 0,148 | 0,151 | 0,152 | 0,154 |
0,18 | 0,108 | 0,121 | 0,132 | 0,139 | 0,146 | 0,151 | 0,155 | 0,158 | 0,16 | 0,162 |
0,19 | 0,111 | 0,125 | 0,137 | 0,145 | 0,151 | 0,158 | 0,161 | 0,165 | 0,168 | 0,17 |
0,2 | 0,116 | 0,13 | 0,142 | 0,151 | 0,159 | 0,164 | 0,169 | 0,173 | 0,176 | 0,178 |
0,21 | 0,12 | 0,134 | 0,146 | 0,157 | 0,164 | 0,171 | 0,175 | 0,18 | 0,183 | 0,186 |
0,22 | 0,122 | 0,138 | 0,152 | 0,162 | 0,17 | 0,178 | 0,182 | 0,187 | 0,191 | 0,194 |
0,23 | 0,126 | 0,142 | 0,156 | 0,167 | 0,176 | 0,184 | 0,189 | 0,194 | 0,198 | 0,202 |
0,24 | 0,128 | 0,146 | 0,16 | 0,172 | 0,181 | 0,19 | 0,196 | 0,2 | 0,205 | 0,208 |
0,25 | 0,132 | 0,15 | 0,165 | 0,177 | 0,187 | 0,196 | 0,203 | 0,208 | 0,212 | 0,215 |
0,26 | 0,135 | 0,153 | 0,169 | 0,181 | 0,193 | 0,2 | 0,208 | 0,214 | 0,219 | 0,223 |
0,27 | - | 0,157 | 0,173 | 0,186 | 0,197 | 0,207 | 0,215 | 0,221 | 0,226 | 0,23 |
0,28 | - | 0,16 | 0,177 | 0,191 | 0,202 | 0,212 | 0,22 | 0,228 | 0,233 | 0,237 |
0,29 | - | - | 0,18 | 0,195 | 0,207 | 0,218 | 0,226 | 0,233 | 0,231 | 0,244 |
0,3 | - | - | 0,184 | 0,199 | 0,212 | 0,223 | 0,231 | 0,238 | 0,245 | 0,25 |
0,31 | - | - | - | 0,203 | 0,217 | 0,228 | 0,237 | 0,246 | 0,252 | 0,258 |
0,32 | - | - | - | 0,206 | 0,221 | 0,233 | 0,243 | 0,252 | 0,258 | 0,264 |
0,33 | - | - | - | 0,211 | 0,225 | 0,238 | 0,248 | 0,257 | 0,269 | 0,271 |
0,34 | - | - | - | 0,214 | 0,23 | 0,243 | 0,253 | 0,263 | 0,271 | 0,277 |
0,35 | - | - | - | - | 0,234 | 0,247 | 0,258 | 0,268 | 0,277 | 0,284 |
0,36 | - | - | - | - | 0,237 | 0,252 | 0,263 | 0,274 | 0,281 | 0,29 |
0,37 | - | - | - | - | 0,241 | 0,257 | 0,268 | 0,279 | 0,287 | 0,295 |
0,38 | - | - | - | - | - | 0,26 | 0,273 | 0,284 | 0,293 | 0,302 |
0,39 | - | - | - | - | - | 0,264 | 0,278 | 0,289 | 0,299 | 0,307 |
0,4 | - | - | - | - | - | 0,268 | 0,282 | 0,294 | 0,304 | 0,312 |
0,41 | - | - | - | - | - | - | 0,286 | 0,29 | 0,309 | 0,318 |
0,42 | - | - | - | - | - | - | 0,291 | 0,304 | 0,314 | 0,324 |
0,43 | - | - | - | - | - | - | 0,294 | 0,308 | 0,319 | 0,329 |
0,44 | - | - | - | - | - | - | - | 0,313 | 0,324 | 0,334 |
0,45 | - | - | - | - | - | - | - | 0,317 | 0,329 | 0,339 |
0,46 | - | - | - | - | - | - | - | 0,321 | 0,334 | 0,344 |
0,47 | - | - | - | - | - | - | - | 0,325 | 0,338 | 0,35 |
0,48 | - | - | - | - | - | - | - | - | 0,342 | 0,354 |
0,49 | - | - | - | - | - | - | - | - | 0,347 | 0,359 |
0,5 | - | - | - | - | - | - | - | - | 0,352 | 0,364 |
0,51 | - | - | - | - | - | - | - | - | - | 0,368 |
0,52 | - | - | - | - | - | - | - | - | - | 0,373 |


0,01 | 1 | 0,26 | 0,893 |
0,02 | 1 | 0,27 | 0,884 |
0,03 | 0,999 | 0,28 | 0,876 |
0,04 | 0,997 | 0,29 | 0,867 |
0,05 | 0,996 | 0,3 | 0,859 |
0,06 | 0,994 | 0,31 | 0,85 |
0,07 | 0,992 | 0,32 | 0,84 |
0,08 | 0,99 | 0,33 | 0,831 |
0,09 | 0,987 | 0,34 | 0,82 |
0,1 | 0,984 | 0,35 | 0,81 |
0,11 | 0,98 | 0,36 | 0,8 |
0,12 | 0,976 | 0,37 | 0,79 |
0,13 | 0,973 | 0,38 | 0,779 |
0,14 | 0,968 | 0,39 | 0,768 |
0,15 | 0,963 | 0,4 | 0,757 |
0,16 | 0,959 | 0,41 | 0,746 |
0,17 | 0,953 | 0,42 | 0,734 |
0,18 | 0,948 | 0,43 | 0,723 |
0,19 | 0,942 | 0,44 | 0,711 |
0,2 | 0,936 | 0,45 | 0,699 |
0,21 | 0,929 | 0,46 | 0,687 |
0,22 | 0,922 | 0,47 | 0,674 |
0,23 | 0,915 | 0,48 | 0,662 |
0,24 | 0,908 | 0,49 | 0,649 |
0,25 | 0,901 | 0,5 | 0,637 |


Значения A0к при | ||||||||||||
+1 | +0,8 | +0,6 | +0,4 | +0,2 | 0 | -0,2 | -0,4 | -0,6 | -0,8 | -1 | ||
0,2 | 0,19 | 0,2 | ||||||||||
0,22 | 0,21 | 0,2 | 0,22 | |||||||||
0,24 | 0,23 | 0,22 | 0,24 | |||||||||
0,26 | 0,25 | 0,25 | 0,25 | 0,25 | 0,24 | 0,24 | 0,24 | 0,24 | 0,24 | 0,24 | 0,23 | 0,26 |
0,28 | 0,27 | 0,26 | 0,26 | 0,26 | 0,26 | 0,26 | 0,26 | 0,25 | 0,25 | 0,25 | 0,25 | 0,28 |
0,3 | 0,28 | 0,28 | 0,28 | 0,28 | 0,28 | 0,27 | 0,27 | 0,27 | 0,27 | 0,26 | 0,26 | 0,3 |
0,32 | 0,3 | 0,3 | 0,3 | 0,3 | 0,29 | 0,29 | 0,29 | 0,28 | 0,28 | 0,27 | 0,27 | 0,32 |
0,34 | 0,32 | 0,32 | 0,31 | 0,31 | 0,31 | 0,31 | 0,3 | 0,3 | 0,29 | 0,29 | 0,28 | 0,34 |
0,36 | 0,34 | 0,33 | 0,33 | 0,33 | 0,32 | 0,32 | 0,32 | 0,31 | 0,3 | 0,3 | 0,29 | 0,36 |
0,38 | 0,35 | 0,35 | 0,35 | 0,34 | 0,34 | 0,33 | 0,33 | 0,32 | 0,32 | 0,31 | 0,3 | 0,38 |
0,4 | 0,37 | 0,37 | 0,36 | 0,36 | 0,35 | 0,35 | 0,34 | 0,34 | 0,33 | 0,32 | 0,3 | 0,4 |
0,42 | 0,39 | 0,38 | 0,38 | 0,37 | 0,37 | 0,36 | 0,36 | 0,35 | 0,34 | 0,32 | 0,31 | 0,42 |
0,44 | 0,4 | 0,4 | 0,39 | 0,39 | 0,38 | 0,38 | 0,37 | 0,36 | 0,35 | 0,33 | 0,31 | 0,44 |
0,46 | 0,42 | 0,41 | 0,41 | 0,4 | 0,4 | 0,39 | 0,38 | 0,37 | 0,35 | 0,34 | 0,32 | 0,46 |
0,48 | 0,43 | 0,43 | 0,42 | 0,42 | 0,41 | 0,4 | 0,39 | 0,38 | 0,36 | 0,34 | 0,32 | 0,48 |
0,5 | 0,45 | 0,45 | 0,44 | 0,43 | 0,42 | 0,41 | 0,4 | 0,39 | 0,37 | 0,35 | 0,32 | 0,5 |
0,52 | 0,47 | 0,46 | 0,45 | 0,45 | 0,44 | 0,43 | 0,41 | 0,4 | 0,38 | 0,35 | - | 0,52 |
0,54 | 0,48 | 0,48 | 0,47 | 0,46 | 0,45 | 0,44 | 0,42 | 0,4 | 0,38 | 0,35 | - | 0,54 |
0,56 | 0,5 | 0,49 | 0,48 | 0,47 | 0,46 | 0,45 | 0,43 | 0,41 | 0,39 | 0,35 | - | 0,56 |
0,58 | 0,51 | 0,51 | 0,5 | 0,49 | 0,47 | 0,46 | 0,44 | 0,42 | 0,39 | - | - | 0,58 |
0,6 | 0,53 | 0,52 | 0,51 | 0,5 | 0,49 | 0,47 | 0,45 | 0,43 | 0,39 | - | - | 0,6 |
0,62 | 0,55 | 0,54 | 0,53 | 0,51 | 0,5 | 0,48 | 0,46 | 0,43 | 0,4 | - | - | 0,62 |
0,64 | 0,56 | 0,55 | 0,54 | 0,53 | 0,51 | 0,49 | 0,47 | 0,44 | - | - | - | 0,64 |
0,66 | 0,58 | 0,57 | 0,55 | 0,54 | 0,52 | 0,5 | 0,48 | 0,44 | - | - | - | 0,66 |
0,68 | 0,59 | 0,58 | 0,57 | 0,55 | 0,53 | 0,51 | 0,48 | 0,45 | - | - | - | 0,68 |
0,7 | 0,61 | 0,59 | 0,58 | 0,57 | 0,55 | 0,52 | 0,49 | 0,45 | - | - | - | 0,7 |
0,72 | 0,62 | 0,61 | 0,59 | 0,58 | 0,56 | 0,53 | 0,5 | 0,46 | - | - | - | 0,72 |
0,74 | 0,64 | 0,62 | 0,61 | 0,59 | 0,57 | 0,54 | 0,5 | - | - | - | - | 0,74 |
0,76 | 0,65 | 0,64 | 0,62 | 0,6 | 0,58 | 0,55 | 0,51 | - | - | - | - | 0,76 |
0,78 | 0,67 | 0,65 | 0,63 | 0,61 | 0,59 | 0,56 | 0,52 | - | - | - | - | 0,78 |
0,8 | 0,68 | 0,67 | 0,65 | 0,63 | 0,6 | 0,57 | 0,52 | - | - | - | - | 0,8 |
0,82 | 0,7 | 0,68 | 0,66 | 0,64 | 0,61 | 0,57 | 0,53 | - | - | - | - | 0,82 |
0,84 | 0,71 | 0,69 | 0,67 | 0,65 | 0,62 | 0,58 | 0,53 | - | - | - | - | 0,84 |
0,86 | 0,73 | 0,71 | 0,69 | 0,66 | 0,63 | 0,59 | 0,54 | - | - | - | - | 0,86 |
0,88 | 0,74 | 0,72 | 0,7 | 0,67 | 0,64 | 0,6 | - | - | - | - | - | 0,88 |
0,9 | 0,76 | 0,73 | 0,71 | 0,68 | 0,65 | 0,6 | - | - | - | - | - | 0,9 |
0,92 | 0,77 | 0,75 | 0,72 | 0,7 | 0,66 | 0,61 | - | - | - | - | - | 0,92 |
0,94 | 0,78 | 0,76 | 0,74 | 0,71 | 0,67 | 0,62 | - | - | - | - | - | 0,94 |
0,96 | 0,8 | 0,78 | 0,75 | 0,72 | 0,68 | 0,62 | - | - | - | - | - | 0,96 |
0,98 | 0,81 | 0,79 | 0,76 | 0,73 | 0,69 | 0,63 | - | - | - | - | - | 0,98 |
1 | 0,83 | 0,8 | 0,77 | 0,74 | 0,69 | 0,64 | - | - | - | - | - | 1 |


Характеристика армирования | Марка бетона | ||
Элементы с ненапрягаемой арматурой и с ненапрягаемой и напрягаемой арматурой при ![]() | 400 и ниже | 0,3 | |
500 | 0,26 | ||
600 | 0,24 | ||
Элементы с ненапрягаемой и напрягаемой арматурой при ![]() | 400 и ниже | ![]() | |
500 | ![]() | ||
600 | ![]() | ||
Элементы с напрягаемой арматурой при ![]() | 400 и ниже | 0,5 | |
500 | 0,44 | ||
600 | 0,4 | ||
Вид поперечной арматуры | Диаметр поперечных стержней | Марка бетона | ||||||||||||||||
200 | 300 | 400 | ||||||||||||||||
Рабочая высота сечения h0 в см | ||||||||||||||||||
15 | 20 | 25 | 30 | 40 | 50 и более | 15 | 20 | 25 | 30 | 40 и более | 15 | 20 | 25 | 30 | 40 и более | |||
Обыкновенная арматурная проволока | 3 | 0 | 0 | 0,06 | 0,15 | 0,17 | 0,17 | 0 | 0,02 | 0,13 | 0,15 | 0,15 | 0 | 0 | 0,12 | 0,14 | 0,14 | |
4 | 0 | 0,02 | 0,11 | 0,19 | 0,19 | 0,19 | 0 | 0,09 | 0,17 | 0,17 | 0,17 | 0 | 0,07 | 0,15 | 0,15 | 0,15 | ||
5 | 0 | 0,08 | 0,15 | 0,21 | 0,21 | 0,21 | 0 | 0,13 | 0,18 | 0,18 | 0,18 | 0,03 | 0,14 | 0,15 | 0,15 | 0,15 | ||
Сталь горячекатаная класса | А-I | 6 | 0 | 0 | 0 | 0,02 | 0,14 | 0,16 | 0 | 0 | 0,01 | 0,08 | 0,14 | 0 | 0 | 0 | 0,07 | 0,12 |
8 | 0 | 0 | 0,03 | 0,09 | 0,18 | 0,18 | 0 | 0,03 | 0,09 | 0,15 | 0,15 | 0 | 0,01 | 0,08 | 0,14 | 0,14 | ||
10 | 0 | 0,04 | 0,1 | 0,15 | 0,19 | 0,19 | 0,04 | 0,11 | 0,17 | 0,17 | 0,17 | 0,03 | 0,09 | 0,15 | 0,15 | 0,15 | ||
12 | 0,06 | 0,11 | 0,16 | 0,21 | 0,21 | 0,21 | 0,12 | 0,18 | 0,18 | 0,18 | 0,18 | 0,1 | 0,16 | 0,16 | 0,16 | 0,16 | ||
14 | 0,12 | 0,17 | 0,22 | 0,22 | 0,22 | 0,22 | 0,19 | 0,19 | 0,19 | 0,19 | 0,19 | 0,17 | 0,17 | 0,17 | 0,17 | 0,17 | ||
А-II | 10 | 0,12 | 0,18 | 0,2 | 0,2 | 0,2 | 0,2 | 0,18 | 0,18 | 0,18 | 0,18 | 0,18 | 0,16 | 0,16 | 0,16 | 0,16 | 0,16 | |
12 | 0,19 | 0,21 | 0,21 | 0,21 | 0,21 | 0,21 | 0,19 | 0,19 | 0,19 | 0,19 | 0,19 | 0,17 | 0,17 | 0,17 | 0,17 | 0,17 | ||
14 | 0,22 | 0,22 | 0,22 | 0,22 | 0,22 | 0,22 | 0,2 | 0,2 | 0,2 | 0,2 | 0,2 | 0,18 | 0,18 | 0,18 | 0,18 | 0,18 | ||
16 | 0,23 | 0,23 | 0,23 | 0,23 | 0,23 | 0,23 | 0,21 | 0,21 | 0,21 | 0,21 | 0,21 | 0,19 | 0,19 | 0,19 | 0,19 | 0,19 | ||
18 | 0,24 | 0,24 | 0,24 | 0,24 | 0,24 | 0,24 | 0,22 | 0,22 | 0,22 | 0,22 | 0,22 | 0,2 | 0,2 | 0,2 | 0,2 | 0,2 | ||
А-III | 6 | 0,1 | 0,18 | 0,2 | 0,2 | 0,2 | 0,2 | 0,16 | 0,18 | 0,18 | 0,18 | 0,18 | 0,15 | 0,16 | 0,16 | 0,16 | 0,16 | |
8 | 0,19 | 0,22 | 0,22 | 0,22 | 0,22 | 0,22 | 0,2 | 0,2 | 0,2 | 0,2 | 0,2 | 0,18 | 0,18 | 0,18 | 0,18 | 0,18 | ||
10 | 0,24 | 0,24 | 0,24 | 0,24 | 0,24 | 0,24 | 0,21 | 0,21 | 0,21 | 0,21 | 0,21 | 0,19 | 0,19 | 0,19 | 0,19 | 0,19 | ||
12 | 0,25 | 0,25 | 0,25 | 0,25 | 0,25 | 0,25 | 0,22 | 0,22 | 0,22 | 0,22 | 0,22 | 0,2 | 0,2 | 0,2 | 0,2 | 0,2 | ||
14 | 0,26 | 0,26 | 0,26 | 0,26 | 0,26 | 0,26 | 0,23 | 0,23 | 0,23 | 0,23 | 0,23 | 0,21 | 0,21 | 0,21 | 0,21 | 0,21 | ||
![]() | Значения | |||||||||||||||||||||
1 | 1,02 | 1,04 | 1,06 | 1,08 | 1,1 | 1,12 | 1,14 | 1,16 | 1,18 | 1,2 | 1,24 | 1,28 | 1,32 | 1,38 | 1,44 | 1,5 | 1,6 | 1,7 | 1,8 | 1,9 | 2 | |
0,02 | 0,2 | 0,18 | 0,16 | 0,15 | 0,13 | 0,12 | 0,11 | 0,1 | 0,1 | 0,09 | 0,08 | 0,07 | 0,06 | 0,06 | 0,05 | 0,04 | 0,04 | 0,03 | 0,03 | 0,02 | 0,02 | 0,02 |
0,04 | 0,28 | 0,26 | 0,25 | 0,23 | 0,21 | 0,2 | 0,19 | 0,18 | 0,16 | 0,15 | 0,16 | 0,13 | 0,12 | 0,11 | 0,09 | 0,08 | 0,07 | 0,06 | 0,05 | 0,05 | 0,04 | 0,04 |
0,06 | 0,35 | 0,33 | 0,31 | 0,29 | 0,28 | 0,26 | 0,25 | 0,23 | 0,22 | 0,21 | 0,2 | 0,18 | 0,16 | 0,15 | 0,13 | 0,12 | 0,11 | 0,09 | 0,08 | 0,07 | 0,06 | 0,06 |
0,08 | 0,4 | 0,38 | 0,36 | 0,34 | 0,33 | 0,31 | 0,3 | 0,28 | 0,27 | 0,26 | 0,25 | 0,23 | 0,21 | 0,19 | 0,17 | 0,15 | 0,14 | 0,12 | 0,11 | 0,09 | 0,08 | 0,08 |
0,1 | 0,45 | 0,43 | 0,41 | 0,39 | 0,37 | 0,36 | 0,34 | 0,33 | 0,31 | 0,3 | 0,29 | 0,27 | 0,25 | 0,23 | 0,21 | 0,19 | 0,17 | 0,15 | 0,13 | 0,12 | 0,1 | 0,09 |
0,12 | 0,49 | 0,47 | 0,45 | 0,43 | 0,42 | 0,4 | 0,38 | 0,37 | 0,35 | 0,34 | 0,33 | 0,31 | 0,28 | 0,26 | 0,24 | 0,22 | 0,2 | 0,17 | 0,15 | 0,14 | 0,12 | 0,11 |
0,14 | 0,53 | 0,51 | 0,49 | 0,47 | 0,45 | 0,44 | 0,42 | 0,41 | 0,39 | 0,38 | 0,37 | 0,34 | 0,32 | 0,3 | 0,27 | 0,25 | 0,23 | 0,2 | 0,18 | 0,16 | 0,14 | 0,13 |
0,16 | 0,57 | 0,55 | 0,53 | 0,51 | 0,49 | 0,47 | 0,46 | 0,44 | 0,43 | 0,41 | 0,4 | 0,37 | 0,35 | 0,33 | 0,3 | 0,28 | 0,25 | 0,22 | 0,2 | 0,18 | 0,16 | 0,15 |
0,18 | - | - | 0,56 | 0,54 | 0,52 | 0,51 | 0,49 | 0,48 | 0,46 | 0,44 | 0,43 | 0,41 | 0,38 | 0,36 | 0,33 | 0,3 | 0,28 | 0,25 | 0,22 | 0,2 | 0,18 | 0,17 |
0,2 | - | - | - | 0,57 | 0,56 | 0,54 | 0,52 | 0,51 | 0,49 | 0,48 | 0,46 | 0,44 | 0,41 | 0,39 | 0,36 | 0,33 | 0,31 | 0,27 | 0,24 | 0,22 | 0,2 | 0,18 |
0,22 | - | - | - | - | - | 0,57 | 0,55 | 0,54 | 0,52 | 0,51 | 0,49 | 0,46 | 0,44 | 0,42 | 0,38 | 0,36 | 0,33 | 0,29 | 0,26 | 0,24 | 0,22 | 0,2 |
0,24 | - | - | - | - | - | - | - | 0,57 | 0,55 | 0,54 | 0,52 | 0,49 | 0,47 | 0,44 | 0,41 | 0,38 | 0,35 | 0,32 | 0,28 | 0,26 | 0,24 | 0,22 |
0,26 | - | - | - | - | - | - | - | - | - | 0,56 | 0,55 | 0,52 | 0,49 | 0,47 | 0,43 | 0,4 | 0,38 | 0,34 | 0,3 | 0,28 | 0,25 | 0,23 |
0,28 | - | - | - | - | - | - | - | - | - | - | - | 0,55 | 0,52 | 0,49 | 0,46 | 0,43 | 0,4 | 0,36 | 0,32 | 0,29 | 0,27 | 0,25 |
0,3 | - | - | - | - | - | - | - | - | - | - | - | - | 0,54 | 0,52 | 0,48 | 0,45 | 0,42 | 0,38 | 0,34 | 0,31 | 0,28 | 0,26 |
0,32 | - | - | - | - | - | - | - | - | - | - | - | - | 0,57 | 0,54 | 0,51 | 0,47 | 0,44 | 0,4 | 0,36 | 0,33 | 0,3 | 0,28 |
0,34 | - | - | - | - | - | - | - | - | - | - | - | - | - | 0,56 | 0,53 | 0,49 | 0,46 | 0,42 | 0,38 | 0,35 | 0,32 | 0,3 |
0,36 | - | - | - | - | - | - | - | - | - | - | - | - | - | - | 0,55 | 0,52 | 0,48 | 0,44 | 0,4 | 0,37 | 0,34 | 0,31 |
0,38 | - | - | - | - | - | - | - | - | - | - | - | - | - | - | - | 0,54 | 0,5 | 0,46 | 0,42 | 0,38 | 0,35 | 0,32 |
0,4 | - | - | - | - | - | - | - | - | - | - | - | - | - | - | - | 0,56 | 0,52 | 0,48 | 0,44 | 0,4 | 0,37 | 0,34 |
0,42 | - | - | - | - | - | - | - | - | - | - | - | - | - | - | - | - | 0,54 | 0,49 | 0,45 | 0,42 | 0,38 | 0,36 |
0,44 | - | - | - | - | - | - | - | - | - | - | - | - | - | - | - | - | 0,56 | 0,51 | 0,47 | 0,43 | 0,4 | 0,37 |
0,46 | - | - | - | - | - | - | - | - | - | - | - | - | - | - | - | - | - | 0,53 | 0,49 | 0,45 | 0,41 | 0,39 |
0,48 | - | - | - | - | - | - | - | - | - | - | - | - | - | - | - | - | - | 0,55 | 0,5 | 0,46 | 0,43 | 0,4 |
0,5 | - | - | - | - | - | - | - | - | - | - | - | - | - | - | - | - | - | - | 0,52 | 0,48 | 0,44 | 0,41 |
0,52 | - | - | - | - | - | - | - | - | - | - | - | - | - | - | - | - | - | - | 0,54 | 0,5 | 0,46 | 0,43 |
0,54 | - | - | - | - | - | - | - | - | - | - | - | - | - | - | - | - | - | - | 0,55 | 0,51 | 0,47 | 0,44 |
0,56 | - | - | - | - | - | - | - | - | - | - | - | - | - | - | - | - | - | - | - | 0,53 | 0,49 | 0,46 |
0,58 | - | - | - | - | - | - | - | - | - | - | - | - | - | - | - | - | - | - | - | 0,54 | 0,5 | 0,47 |
0,6 | - | - | - | - | - | - | - | - | - | - | - | - | - | - | - | - | - | - | - | 0,56 | 0,52 | 0,48 |
0,62 | - | - | - | - | - | - | - | - | - | - | - | - | - | - | - | - | - | - | - | - | 0,53 | 0,5 |
0,64 | - | - | - | - | - | - | - | - | - | - | - | - | - | - | - | - | - | - | - | - | 0,55 | 0,51 |
0,66 | - | - | - | - | - | - | - | - | - | - | - | - | - | - | - | - | - | - | - | - | - | 0,52 |
0,68 | - | - | - | - | - | - | - | - | - | - | - | - | - | - | - | - | - | - | - | - | - | 0,54 |
0,7 | - | - | - | - | - | - | - | - | - | - | - | - | - | - | - | - | - | - | - | - | - | 0,55 |
![]() | Значения | |||||||||||||||||||
2 | 2,1 | 2,2 | 2,3 | 2,4 | 2,5 | 2,6 | 2,7 | 2,8 | 3 | 3,2 | 3,4 | 3,6 | 3,8 | 4 | 4,2 | 4,4 | 4,6 | 4,8 | 5 | |
0,1 | 0,09 | 0,09 | 0,08 | 0,07 | 0,07 | 0,06 | 0,06 | 0,06 | 0,05 | 0,05 | 0,04 | 0,04 | 0,04 | 0,03 | 0,03 | 0,03 | 0,03 | 0,03 | 0,03 | 0,02 |
0,15 | 0,14 | 0,13 | 0,12 | 0,11 | 0,1 | 0,1 | 0,09 | 0,09 | 0,08 | 0,07 | 0,07 | 0,06 | 0,06 | 0,05 | 0,05 | 0,05 | 0,04 | 0,04 | 0,04 | 0,04 |
0,2 | 0,18 | 0,17 | 0,16 | 0,15 | 0,14 | 0,13 | 0,12 | 0,11 | 0,1 | 0,1 | 0,09 | 0,08 | 0,08 | 0,07 | 0,07 | 0,06 | 0,06 | 0,05 | 0,05 | 0,05 |
0,25 | 0,22 | 0,21 | 0,19 | 0,18 | 0,17 | 0,16 | 0,15 | 0,14 | 0,13 | 0,12 | 0,11 | 0,1 | 0,09 | 0,09 | 0,08 | 0,08 | 0,07 | 0,07 | 0,06 | 0,06 |
0,3 | 0,26 | 0,24 | 0,23 | 0,21 | 0,2 | 0,19 | 0,18 | 0,17 | 0,16 | 0,14 | 0,13 | 0,12 | 0,11 | 0,1 | 0,1 | 0,09 | 0,09 | 0,08 | 0,08 | 0,07 |
0,35 | 0,3 | 0,28 | 0,26 | 0,26 | 0,23 | 0,22 | 0,2 | 0,19 | 0,18 | 0,17 | 0,15 | 0,14 | 0,13 | 0,12 | 0,11 | 0,11 | 0,1 | 0,1 | 0,09 | 0,09 |
0,4 | 0,34 | 0,32 | 0,3 | 0,28 | 0,26 | 0,25 | 0,23 | 0,22 | 0,21 | 0,19 | 0,17 | 0,16 | 0,15 | 0,14 | 0,13 | 0,12 | 0,12 | 0,11 | 0,1 | 0,1 |
0,45 | 0,38 | 0,35 | 0,33 | 0,31 | 0,29 | 0,27 | 0,26 | 0,25 | 0,23 | 0,21 | 0,2 | 0,18 | 0,17 | 0,16 | 0,15 | 0,14 | 0,13 | 0,12 | 0,12 | 0,11 |
0,5 | 0,41 | 0,39 | 0,36 | 0,34 | 0,32 | 0,3 | 0,29 | 0,27 | 0,26 | 0,24 | 0,22 | 0,2 | 0,19 | 0,17 | 0,16 | 0,15 | 0,14 | 0,14 | 0,13 | 0,12 |
0,55 | 0,45 | 0,42 | 0,39 | 0,37 | 0,35 | 0,33 | 0,31 | 0,3 | 0,28 | 0,26 | 0,24 | 0,22 | 0,2 | 0,19 | 0,18 | 0,17 | 0,16 | 0,15 | 0,14 | 0,13 |
0,6 | 0,48 | 0,45 | 0,42 | 0,4 | 0,38 | 0,36 | 0,34 | 0,32 | 0,31 | 0,28 | 0,26 | 0,24 | 0,22 | 0,21 | 0,19 | 0,18 | 0,17 | 0,16 | 0,15 | 0,15 |
0,65 | 0,52 | 0,46 | 0,45 | 0,43 | 0,4 | 0,38 | 0,36 | 0,35 | 0,33 | 0,3 | 0,28 | 0,26 | 0,24 | 0,22 | 0,21 | 0,2 | 0,19 | 0,18 | 0,17 | 0,16 |
0,7 | 0,55 | 0,51 | 0,48 | 0,46 | 0,43 | 0,41 | 0,39 | 0,37 | 0,35 | 0,32 | 0,3 | 0,28 | 0,26 | 0,24 | 0,22 | 0,21 | 0,2 | 0,19 | 0,18 | 0,17 |
0,75 | - | 0,55 | 0,51 | 0,49 | 0,46 | 0,44 | 0,41 | 0,39 | 0,38 | 0,34 | 0,32 | 0,29 | 0,27 | 0,26 | 0,24 | 0,23 | 0,21 | 0,2 | 0,19 | 0,18 |
0,8 | - | - | 0,54 | 0,51 | 0,49 | 0,46 | 0,44 | 0,42 | 0,4 | 0,37 | 0,34 | 0,31 | 0,29 | 0,27 | 0,27 | 0,24 | 0,23 | 0,22 | 0,2 | 0,19 |
0,85 | - | - | 0,57 | 0,54 | 0,51 | 0,49 | 0,46 | 0,44 | 0,42 | 0,39 | 0,36 | 0,33 | 0,31 | 0,29 | 0,27 | 0,25 | 0,24 | 0,23 | 0,22 | 0,21 |
0,9 | - | - | - | 0,57 | 0,54 | 0,51 | 0,49 | 0,47 | 0,44 | 0,41 | 0,38 | 0,35 | 0,33 | 0,3 | 0,29 | 0,27 | 0,25 | 0,24 | 0,23 | 0,22 |
0,95 | - | - | - | - | 0,56 | 0,54 | 0,51 | 0,49 | 0,47 | 0,43 | 0,4 | 0,37 | 0,34 | 0,32 | 0,3 | 0,28 | 0,27 | 0,25 | 0,24 | 0,23 |
1 | - | - | - | - | - | 0,56 | 0,53 | 0,51 | 0,49 | 0,45 | 0,41 | 0,39 | 0,36 | 0,34 | 0,32 | 0,3 | 0,28 | 0,27 | 0,25 | 0,24 |
1,1 | - | - | - | - | - | - | 0,58 | 0,56 | 0,53 | 0,49 | 0,45 | 0,42 | 0,39 | 0,37 | 0,35 | 0,33 | 0,31 | 0,29 | 0,28 | 0,27 |
1,2 | - | - | - | - | - | - | - | - | 0,57 | 0,53 | 0,49 | 0,46 | 0,43 | 0,4 | 0,38 | 0,35 | 0,34 | 0,32 | 0,3 | 0,29 |
1,3 | - | - | - | - | - | - | - | - | - | 0,57 | 0,53 | 0,49 | 0,46 | 0,43 | 0,41 | 0,38 | 0,37 | 0,34 | 0,33 | 0,31 |
1,4 | - | - | - | - | - | - | - | - | - | - | 0,56 | 0,53 | 0,49 | 0,46 | 0,43 | 0,41 | 0,39 | 0,37 | 0,35 | 0,34 |
1,5 | - | - | - | - | - | - | - | - | - | - | - | 0,56 | 0,52 | 0,49 | 0,46 | 0,44 | 0,42 | 0,39 | 0,38 | 0,36 |
1,6 | - | - | - | - | - | - | - | - | - | - | - | - | 0,56 | 0,52 | 0,49 | 0,47 | 0,44 | 0,42 | 0,4 | 0,38 |
1,7 | - | - | - | - | - | - | - | - | - | - | - | - | - | 0,55 | 0,52 | 0,49 | 0,47 | 0,44 | 0,42 | 0,4 |
1,8 | - | - | - | - | - | - | - | - | - | - | - | - | - | - | 0,55 | 0,52 | 0,49 | 0,47 | 0,45 | 0,43 |
1,9 | - | - | - | - | - | - | - | - | - | - | - | - | - | - | - | 0,55 | 0,52 | 0,49 | 0,47 | 0,45 |
2 | - | - | - | - | - | - | - | - | - | - | - | - | - | - | - | - | 0,54 | 0,52 | 0,49 | 0,47 |
2,1 | - | - | - | - | - | - | - | - | - | - | - | - | - | - | - | - | 0,57 | 0,54 | 0,52 | 0,49 |
2,2 | - | - | - | - | - | - | - | - | - | - | - | - | - | - | - | - | - | 0,57 | 0,54 | 0,52 |
2,3 | - | - | - | - | - | - | - | - | - | - | - | - | - | - | - | - | - | - | 0,56 | 0,54 |
2,4 | - | - | - | - | - | - | - | - | - | - | - | - | - | - | - | - | - | - | - | 0,56 |
![]() | Значения | |||||||||||||||||||||||||
5 | 5,2 | 5,4 | 5,6 | 5,8 | 6 | 6,2 | 6,4 | 6,6 | 6,8 | 7 | 7,2 | 7,4 | 7,6 | 7,8 | 8 | 8,2 | 8,4 | 8,6 | 8,8 | 9 | 9,2 | 9,4 | 9,6 | 9,8 | 10 | |
0,1 | 0,02 | 0,02 | 0,02 | 0,02 | 0,02 | 0,02 | 0,02 | 0,02 | 0,02 | 0,02 | 0,01 | 0,02 | 0,02 | 0,02 | 0,01 | 0,01 | 0,01 | 0,01 | 0,01 | 0,01 | 0,01 | 0,01 | 0,01 | 0,01 | 0,01 | 0,01 |
0,2 | 0,05 | 0,04 | 0,05 | 0,04 | 0,04 | 0,04 | 0,04 | 0,04 | 0,04 | 0,03 | 0,03 | 0,03 | 0,03 | 0,03 | 0,03 | 0,03 | 0,03 | 0,03 | 0,03 | 0,03 | 0,03 | 0,02 | 0,02 | 0,02 | 0,02 | 0,02 |
0,3 | 0,07 | 0,07 | 0,07 | 0,06 | 0,06 | 0,06 | 0,06 | 0,06 | 0,05 | 0,05 | 0,05 | 0,05 | 0,05 | 0,05 | 0,04 | 0,05 | 0,04 | 0,04 | 0,04 | 0,04 | 0,04 | 0,04 | 0,04 | 0,03 | 0,03 | 0,03 |
0,4 | 0,1 | 0,09 | 0,09 | 0,09 | 0,08 | 0,08 | 0,08 | 0,07 | 0,07 | 0,07 | 0,07 | 0,06 | 0,06 | 0,06 | 0,06 | 0,06 | 0,06 | 0,05 | 0,05 | 0,05 | 0,05 | 0,05 | 0,05 | 0,05 | 0,05 | 0,04 |
0,5 | 0,12 | 0,12 | 0,11 | 0,11 | 0,1 | 0,1 | 0,1 | 0,09 | 0,09 | 0,09 | 0,08 | 0,08 | 0,08 | 0,08 | 0,07 | 0,07 | 0,07 | 0,07 | 0,07 | 0,06 | 0,06 | 0,06 | 0,06 | 0,06 | 0,06 | 0,06 |
0,6 | 0,15 | 0,14 | 0,13 | 0,13 | 0,12 | 0,12 | 0,11 | 0,11 | 0,11 | 0,1 | 0,1 | 0,1 | 0,09 | 0,09 | 0,09 | 0,09 | 0,08 | 0,08 | 0,08 | 0,08 | 0,07 | 0,07 | 0,07 | 0,07 | 0,07 | 0,07 |
0,7 | 0,17 | 0,16 | 0,16 | 0,15 | 0,14 | 0,14 | 0,13 | 0,13 | 0,12 | 0,12 | 0,12 | 0,11 | 0,11 | 0,11 | 0,1 | 0,1 | 0,1 | 0,09 | 0,09 | 0,09 | 0,09 | 0,08 | 0,08 | 0,08 | 0,08 | 0,08 |
0,8 | 0,2 | 0,19 | 0,18 | 0,17 | 0,16 | 0,16 | 0,15 | 0,15 | 0,14 | 0,14 | 0,13 | 0,13 | 0,12 | 0,12 | 0,12 | 0,11 | 0,11 | 0,11 | 0,1 | 0,1 | 0.1 | 0,1 | 0,09 | 0,09 | 0,09 | 0,09 |
0,9 | 0,22 | 0,21 | 0,2 | 0,19 | 0,18 | 0,18 | 0,17 | 0,16 | 0,16 | 0,15 | 0,15 | 0,14 | 0,14 | 0,14 | 0,13 | 0,13 | 0,12 | 0,12 | 0,12 | 0,11 | 0,11 | 0,11 | 0,11 | 0,1 | 0,1 | 0,1 |
1 | 0,24 | 0,23 | 0,22 | 0,21 | 0,2 | 0,2 | 0,19 | 0,18 | 0,18 | 0,17 | 0,11 | 0,16 | 0,15 | 0,15 | 0,15 | 0,14 | 0 14 | 0,13 | 0,13 | 0,13 | 0,12 | 0,12 | 0,12 | 0,12 | 0,11 | 0,11 |
1,2 | 0,29 | 0,28 | 0,26 | 0,25 | 0,24 | 0,23 | 0,23 | 0,22 | 0,21 | 0,2 | 0,2 | 0,19 | 0,18 | 0,18 | 0,17 | 0,17 | 0,16 | 0,16 | 0,16 | 0,15 | 0,15 | 0,15 | 0,14 | 0,14 | 0,14 | 0,13 |
1,4 | 0,34 | 0,32 | 0,31 | 0,29 | 0,28 | 0,27 | 0,26 | 0,25 | 0,24 | 0,24 | 0,23 | 0,22 | 0,22 | 0,21 | 0,2 | 0,2 | 0,19 | 0,19 | 0,18 | 0,18 | 0,17 | 0,17 | 0,17 | 0,16 | 0,16 | 0,15 |
1,6 | 0,38 | 0,37 | 0,35 | 0,34 | 0,32 | 0,31 | 0,3 | 0,29 | 0,28 | 0,27 | 0,26 | 0,25 | 0,25 | 0,24 | 0,23 | 0,23 | 0,22 | 0,21 | 0,21 | 0,2 | 0,2 | 0,19 | 0,18 | 0,18 | 0,18 | 0,18 |
1,8 | 0,43 | 0,41 | 0,39 | 0,38 | 0,36 | 0,35 | 0,34 | 0,32 | 0,31 | 0,3 | 0,29 | 0,29 | 0,29 | 0,27 | 0,26 | 0,25 | 0,25 | 0,24 | 0,23 | 0,23 | 0,22 | 0,22 | 0,21 | 0,21 | 0,2 | 0,2 |
2 | 0,52 | 0,45 | 0,43 | 0,42 | 0,4 | 0,39 | 0,37 | 0,36 | 0,35 | 0,34 | 0,32 | 0,31 | 0,31 | 0,3 | 0,29 | 0,28 | 0,27 | 0,27 | 0,26 | 0,25 | 0,26 | 0,24 | 0,23 | 0,23 | 0,22 | 0,22 |
2,2 | 0,56 | 0,49 | 0,47 | 0,46 | 0,44 | 0,42 | 0,41 | 0,39 | 0,38 | 0,37 | 0,36 | 0,35 | 0,34 | 0,33 | 0,32 | 0,31 | 0,3 | 0,29 | 0,28 | 0,28 | 0,27 | 0,26 | 0,26 | 0,25 | 0,25 | 0,24 |
2,4 | - | 0,54 | 0,52 | 0,5 | 0,48 | 0,46 | 0,44 | 0,43 | 0,41 | 0,4 | 0,39 | 0,38 | 0,36 | 0,35 | 0,34 | 0,33 | 0,33 | 0,32 | 0,31 | 0,3 | 0,29 | 0,29 | 0,28 | 0,27 | 0,27 | 0,26 |
2,6 | - | 0,58 | 0,56 | 0,53 | 0,51 | 0,5 | 0,48 | 0,46 | 0,45 | 0,43 | 0,42 | 0,41 | 0,39 | 0,38 | 0,37 | 0,36 | 0,35 | 0,34 | 0,33 | 0,33 | 0,32 | 0,31 | 0,3 | 0,3 | 0,29 | 0,28 |
2,8 | - | - | - | 0,57 | 0,55 | 0,53 | 0,51 | 0,5 | 0,48 | 0,46 | 0,45 | 0,44 | 0,42 | 0,41 | 0,4 | 0,39 | 0,38 | 0,37 | 0,36 | 0,35 | 0,34 | 0,33 | 0,33 | 0,32 | 0,31 | 0,31 |
3 | - | - | - | - | 0,59 | 0,57 | 0,65 | 0,53 | 0,51 | 0,5 | 0,48 | 0,47 | 0,45 | 0,44 | 0,43 | 0,42 | 0,41 | 0,39 | 0,39 | 0,38 | 0,37 | 0,36 | 0,35 | 0,34 | 0,33 | 0,33 |
3,2 | - | - | - | - | - | - | - | 0,56 | 0,54 | 0,53 | 0,51 | 0,6 | 0,48 | 0,47 | 0,46 | 0,44 | 0,43 | 0,42 | 0,41 | 0,4 | 0,39 | 0,38 | 0,37 | 0,36 | 0,36 | 0,35 |
3,4 | - | - | - | - | - | - | - | - | - | 0,58 | 0,54 | 0,53 | 0,51 | 0,5 | 0,48 | 0,47 | 0,46 | 0,45 | 0,43 | 0,42 | 0,41 | 0,4 | 0,4 | 0,39 | 0,38 | 0,37 |
3,6 | - | - | - | - | - | - | - | - | - | - | 0,57 | 0,56 | 0,54 | 0,52 | 0,51 | 0,6 | 0,48 | 0,47 | 0,46 | 0,45 | 0,44 | 0,47 | 0,42 | 0,41 | 0,4 | 0,39 |
3,8 | - | - | - | - | - | - | - | - | - | - | - | - | 0,57 | 0,55 | 0,54 | 0,52 | 0,51 | 0,5 | 0,48 | 0,47 | 0,46 | 0,46 | 0,44 | 0,43 | 0,42 | 0,41 |
4 | - | - | - | - | - | - | - | - | - | - | - | - | - | - | 0,56 | 0,55 | 0,54 | 0,52 | 0,51 | 0,5 | 0,49 | 0,47 | 0,46 | 0,45 | 0,44 | 0,43 |
4,2 | - | - | - | - | - | - | - | - | - | - | - | - | - | - | - | - | 0,56 | 0,54 | 0,53 | 0,52 | 0,51 | 0,5 | 0,49 | 0,48 | 0,47 | 0,46 |
4,4 | - | - | - | - | - | - | - | - | - | - | - | - | - | - | - | - | - | 0,57 | 0,56 | 0,55 | 0,53 | 0,52 | 0,51 | 0,5 | 0,49 | 0,48 |
4,6 | - | - | - | - | - | - | - | - | - | - | - | - | - | - | - | - | - | - | - | - | 0,56 | 0,54 | 0,53 | 0,52 | 0,51 | 0,5 |
4,8 | - | - | - | - | - | - | - | - | - | - | - | - | - | - | - | - | - | - | - | - | - | 0,57 | 0,55 | 0,54 | 0,53 | 0,52 |
5,1 | - | - | - | - | - | - | - | - | - | - | - | - | - | - | - | - | - | - | - | - | - | - | - | 0,56 | 0,55 | 0,56 |



Марка бетона | |||||||||
400 и ниже | 500 | 600 | |||||||
A | B | A | B | A | B | ||||
0,05 | 0,53 | 0,125 | 0,23 | 0,43 | 0,123 | 0,22 | 0,39 | 0,119 | 0,21 |
0,1 | 0,5 | 0,125 | 0,2 | 0,41 | 0,121 | 0,19 | 0,37 | 0,116 | 0,18 |
0,15 | 0,47 | 0,125 | 0,17 | 0,38 | 0,118 | 0,16 | 0,35 | 0,113 | 0,14 |
Значения Aуш при hп/h0 (a = 0,3hп) | |||||||
0,12 | 0,14 | 0,16 | 0,18 | 0,2 | 0,22 | 0,25 | |
1,5 | 0,0014 | 0,0019 | 0,0025 | 0,0032 | 0,0039 | 0,0047 | 0,0061 |
2 | 0,0028 | 0,0038 | 0,005 | 0,0064 | 0,0078 | 0,0095 | 0,0123 |
2,5 | 0,0042 | 0,0058 | 0,0075 | 0,0095 | 0,0118 | 0,0142 | 0,0184 |
3 | 0,0056 | 0,0077 | 0,01 | 0,0127 | 0,0157 | 0,0189 | 0,0245 |
3,5 | 0,0071 | 0,0096 | 0,0125 | 0,0159 | 0,0196 | 0,0237 | 0,0306 |
4 | 0,0085 | 0,0115 | 0,0151 | 0,0191 | 0,0235 | 0,0285 | 0,0368 |
4,5 | 0,0099 | 0,0134 | 0,0176 | 0,0222 | 0,0274 | 0,0332 | 0,0429 |
5 | 0,0113 | 0,0154 | 0,0201 | 0,0254 | 0,0314 | 0,0379 | 0,049 |
6 | 0,0141 | 0,0192 | 0,0251 | 0,0318 | 0,0392 | 0,0474 | 0,0613 |
7 | 0,0169 | 0,0231 | 0,0301 | 0,0381 | 0,047 | 0,0569 | - |
8 | 0,0198 | 0,0269 | 0,0351 | 0,0445 | 0,0549 | - | - |
9 | 0,0226 | 0,0307 | 0,0401 | 0,0508 | - | - | - |
10 | 0,0254 | 0,0346 | 0,0452 | - | - | - | - |
11 | 0,0282 | 0,0384 | 0,0502 | - | - | - | - |
12 | 0,031 | 0,0423 | - | - | - | - | - |
13 | 0,0339 | 0,0461 | - | - | - | - | - |
14 | 0,0367 | 0,0499 | - | - | - | - | - |
15 | 0,0395 | 0,0538 | - | - | - | - | - |
(a = 0,5hп) | |||||||
1,5 | 0,0007 | 0,001 | 0,0013 | 0,0016 | 0,002 | 0,0024 | 0,0031 |
2 | 0,0014 | 0,002 | 0,0026 | 0,0032 | 0,004 | 0,0048 | 0,0063 |
2,5 | 0,0022 | 0,0029 | 0,0038 | 0,0049 | 0,006 | 0,0073 | 0,0094 |
3 | 0,0029 | 0,0039 | 0,0051 | 0,0065 | 0,008 | 0,0097 | 0,0125 |
3,5 | 0,0036 | 0,0049 | 0,0064 | 0,0081 | 0,01 | 0,0121 | 0,0156 |
4 | 0,0043 | 0,0059 | 0,0077 | 0,0097 | 0,012 | 0,0145 | 0,0188 |
4,5 | 0,005 | 0,0069 | 0,009 | 0,0113 | 0,014 | 0,0169 | 0,0219 |
5 | 0,0058 | 0,0078 | 0,0102 | 0,013 | 0,016 | 0,0194 | 0,025 |
6 | 0,0072 | 0,0098 | 0,0128 | 0,0162 | 0,02 | 0,0242 | 0,0313 |
7 | 0,0086 | 0,0118 | 0,0154 | 0,0194 | 0,024 | 0,029 | 0,0375 |
8 | 0,0101 | 0,0137 | 0,0179 | 0,0227 | 0,028 | 0,0339 | 0,0438 |
9 | 0,0115 | 0,0157 | 0,0205 | 0,0259 | 0,032 | 0,0387 | 0,05 |
10 | 0,0129 | 0,0176 | 0,023 | 0,0292 | 0,036 | 0,0436 | - |
11 | 0,0144 | 0,0196 | 0,0256 | 0,0324 | 0,04 | 0,0484 | - |
12 | 0,0158 | 0,0216 | 0,0282 | 0,0356 | 0,044 | 0,0532 | - |
13 | 0,0173 | 0,0235 | 0,0307 | 0,0389 | 0,048 | - | - |
14 | 0,0187 | 0,0255 | 0,0333 | 0,0321 | 0,052 | - | - |
15 | 0,0202 | 0,0274 | 0,0358 | 0,0454 | - | - | - |
Значения Aуш при hп/h0 (a = 0,7hп) | |||||||
0,12 | 0,14 | 0,16 | 0,18 | 0,2 | 0,22 | 0,25 | |
1,5 | 0,0003 | 0,0004 | 0,0005 | 0,0006 | 0,0007 | 0,0009 | 0,0011 |
2 | 0,0005 | 0,0007 | 0,0009 | 0,0012 | 0,0014 | 0,0017 | 0,0023 |
2,5 | 0,0008 | 0,0011 | 0,0014 | 0,0017 | 0,0022 | 0,0026 | 0,0034 |
3 | 0,001 | 0,0014 | 0,0018 | 0,0023 | 0,0029 | 0,0035 | 0,0045 |
3,5 | 0,0013 | 0,0018 | 0,0023 | 0,0029 | 0,0036 | 0,0044 | 0,0056 |
4 | 0,0016 | 0,0021 | 0,0028 | 0,0035 | 0,0043 | 0,0052 | 0,0068 |
4,5 | 0,0018 | 0,0025 | 0,0032 | 0,0041 | 0,005 | 0,0061 | 0,0079 |
5 | 0,002 | 0,0028 | 0,0037 | 0,0047 | 0,0058 | 0,007 | 0,009 |
6 | 0,0026 | 0,0035 | 0,0046 | 0,0058 | 0,0072 | 0,0087 | 0,0113 |
7 | 0,0031 | 0,0042 | 0,0055 | 0,007 | 0,0086 | 0,0105 | 0,0135 |
8 | 0,0036 | 0,0049 | 0,0065 | 0,0082 | 0,0101 | 0,0122 | 0,0158 |
9 | 0,0041 | 0,0056 | 0,0074 | 0,0093 | 0,0115 | 0,0139 | 0,018 |
10 | 0,0047 | 0,0064 | 0,0083 | 0,0105 | 0,013 | 0,0157 | 0,0203 |
11 | 0,0052 | 0,0071 | 0,0092 | 0,0117 | 0,0144 | 0,0174 | 0,0225 |
12 | 0,0057 | 0,0078 | 0,0101 | 0,0128 | 0,0158 | 0,0192 | 0,0248 |
13 | 0,0062 | 0,0085 | 0,0111 | 0,014 | 0,0173 | 0,0209 | 0,027 |
14 | 0,0067 | 0,0092 | 0,012 | 0,0152 | 0,0187 | 0,0227 | 0,0293 |
15 | 0,0073 | 0,0099 | 0,0129 | 0,0163 | 0,0202 | 0,0244 | 0,0315 |

Значения A0к при n | Значения A0к при n | ||||||||||||
0 | 0,1 | 0,2 | 0,3 | 0,4 | 0,5 | 0 | 0,1 | 0,2 | 0,3 | 0,4 | 0,5 | ||
0,2 | 0,19 | 0,28 | 0,35 | 0,4 | 0,43 | 0,45 | 0,62 | 0,55 | 0,61 | 0,65 | 0,69 | 0,71 | 0,72 |
0,22 | 0,21 | 0,29 | 0,37 | 0,42 | 0,45 | 0,46 | 0,64 | 0,56 | 0,62 | 0,67 | 0,7 | 0,72 | 0,73 |
0,24 | 0,23 | 0,31 | 0,38 | 0,43 | 0,46 | 0,47 | 0,66 | 0,58 | 0,64 | 0,68 | 0,71 | 0,73 | 0,74 |
0,26 | 0,25 | 0,33 | 0,39 | 0,44 | 0,47 | 0,48 | 0,68 | 0,59 | 0,65 | 0,69 | 0,73 | 0,74 | 0,75 |
0,28 | 0,27 | 0,34 | 0,41 | 0,46 | 0,49 | 0,5 | 0,7 | 0,61 | 0,66 | 0,71 | 0,74 | 0,76 | 0,76 |
0,3 | 0,28 | 0,36 | 0,42 | 0,47 | 0,5 | 0,51 | 0,72 | 0,62 | 0,68 | 0,72 | 0,75 | 0,77 | 0,78 |
0,32 | 0,3 | 0,38 | 0,44 | 0,48 | 0,51 | 0,52 | 0,74 | 0,64 | 0,69 | 0,73 | 0,77 | 0,78 | 0,79 |
0,34 | 0,32 | 0,39 | 0,45 | 0,5 | 0,53 | 0,54 | 0,76 | 0,65 | 0,71 | 0,75 | 0,78 | 0,8 | 0,8 |
0,36 | 0,34 | 0,41 | 0,47 | 0,51 | 0,54 | 0,55 | 0,78 | 0,67 | 0,72 | 0,76 | 0,79 | 0,81 | 0,82 |
0,38 | 0,35 | 0,42 | 0,48 | 0,52 | 0,55 | 0,56 | 0,8 | 0,68 | 0,74 | 0,78 | 0,81 | 0,82 | 0,83 |
0,4 | 0,37 | 0,44 | 0,5 | 0,54 | 0,57 | 0,57 | 0,82 | 0,7 | 0,75 | 0,79 | 0,82 | 0,84 | 0,84 |
0,42 | 0,39 | 0,46 | 0,51 | 0,55 | 0,58 | 0,59 | 0,84 | 0,71 | 0,76 | 0,8 | 0,83 | 0,85 | 0,85 |
0,44 | 0,4 | 0,47 | 0,53 | 0,57 | 0,59 | 0,6 | 0,86 | 0,73 | 0,77 | 0,81 | 0,84 | 0,86 | 0,87 |
0,46 | 0,42 | 0,49 | 0,54 | 0,58 | 0,6 | 0,61 | 0,88 | 0,74 | 0,79 | 0,83 | 0,86 | 0,87 | 0,88 |
0,48 | 0,43 | 0,5 | 0,56 | 0,58 | 0,62 | 0,62 | 0,9 | 0,76 | 0,81 | 0,84 | 0,87 | 0,89 | 0,89 |
0,5 | 0,45 | 0,52 | 0,57 | 0,61 | 0,63 | 0,64 | 0,92 | 0,77 | 0,82 | 0,86 | 0,88 | 0,9 | 0,91 |
0,52 | 0,47 | 0,53 | 0,58 | 0,62 | 0,64 | 0,65 | 0,94 | 0,78 | 0,83 | 0,87 | 0,9 | 0,91 | 0,92 |
0,54 | 0,48 | 0,55 | 0,6 | 0,63 | 0,66 | 0,66 | 0,96 | 0,8 | 0,85 | 0,88 | 0,91 | 0,93 | 0,93 |
0,56 | 0,5 | 0,56 | 0,61 | 0,65 | 0,67 | 0,68 | 0,98 | 0,81 | 0,86 | 0,88 | 0,92 | 0,94 | 0,94 |
0,58 | 0,51 | 0,58 | 0,62 | 0,66 | 0,68 | 0,69 | 1 | 0,83 | 0,87 | 0,91 | 0,93 | 0,95 | 0,96 |
0,6 | 0,53 | 0,59 | 0,64 | 0,67 | 0,69 | 0,7 | |||||||

a = 0,05D | a = 0,1D | ||||||||||||
Значения A0кр при n | Значения A0кр при n | ||||||||||||
0 | 0,1 | 0,2 | 0,3 | 0,4 | 0,5 | 0 | 0,1 | 0,2 | 0,3 | 0,4 | 0,5 | ||
0,04 | 0,03 | 0,12 | 0,17 | 0,2 | 0,22 | 0,24 | 0,04 | 0,03 | 0,12 | 0,17 | 0,2 | 0,22 | 0,23 |
0,08 | 0,08 | 0,15 | 0,2 | 0,23 | 0,24 | 0,26 | 0,08 | 0,07 | 0,15 | 0,19 | 0,22 | 0,24 | 0,25 |
0,12 | 0,12 | 0,19 | 0,23 | 0,25 | 0,27 | 0,28 | 0,12 | 0,12 | 0,18 | 0,22 | 0,24 | 0,26 | 0,27 |
0,16 | 0,16 | 0,22 | 0,25 | 0,27 | 0,29 | 0,3 | 0,16 | 0,16 | 0,21 | 0,24 | 0,26 | 0,28 | 0,29 |
0,2 | 0,2 | 0,25 | 0,28 | 0,3 | 0,31 | 0,33 | 0,2 | 0,19 | 0,24 | 0,27 | 0,29 | 0,3 | 0,31 |
0,24 | 0,23 | 0,28 | 0,3 | 0,32 | 0,34 | 0,35 | 0,24 | 0,22 | 0,26 | 0,29 | 0,31 | 0,32 | 0,33 |
0,28 | 0,27 | 0,3 | 0,33 | 0,35 | 0,36 | 0,37 | 0,28 | 0,25 | 0,29 | 0,31 | 0,33 | 0,34 | 0,36 |
0,32 | 0,3 | 0,33 | 0,35 | 0,37 | 0,38 | 0,4 | 0,32 | 0,28 | 0,31 | 0,33 | 0,35 | 0,36 | 0,38 |
0,36 | 0,32 | 0,36 | 0,38 | 0,39 | 0,41 | 0,42 | 0,36 | 0,3 | 0,33 | 0,36 | 0,37 | 0,39 | 0,4 |
0,4 | 0,35 | 0,38 | 0,4 | 0,42 | 0,43 | 0,44 | 0,4 | 0,33 | 0,36 | 0,38 | 0,39 | 0,41 | 0,42 |
0,44 | 0,38 | 0,41 | 0,43 | 0,44 | 0,45 | 0,46 | 0,44 | 0,36 | 0,38 | 0,4 | 0,41 | 0,43 | 0,44 |
0,48 | 0,41 | 0,43 | 0,45 | 0,47 | 0,48 | 0,49 | 0,48 | 0,38 | 0,4 | 0,42 | 0,44 | 0,45 | 0,46 |
0,52 | 0,43 | 0,46 | 0,47 | 0,49 | 0,5 | 0,51 | 0,52 | 0,4 | 0,42 | 0,44 | 0,46 | 0,47 | 0,48 |
0,56 | 0,46 | 0,48 | 0,5 | 0,51 | 0,52 | 0,53 | 0,56 | 0,43 | 0,45 | 0,46 | 0,48 | 0,49 | 0,5 |
0,6 | 0,48 | 0,5 | 0,52 | 0,54 | 0,55 | 0,56 | 0,6 | 0,45 | 0,47 | 0,48 | 0,5 | 0,51 | 0,52 |
0,64 | 0,51 | 0,53 | 0,55 | 0,56 | 0,57 | 0,58 | 0,64 | 0,47 | 0,49 | 0,51 | 0,52 | 0,53 | 0,54 |
0,68 | 0,53 | 0,55 | 0,57 | 0,58 | 0,59 | 0,6 | 0,68 | 0,49 | 0,51 | 0,53 | 0,54 | 0,55 | 0,56 |
0,72 | 0,56 | 0,58 | 0,59 | 0,61 | 0,62 | 0,63 | 0,72 | 0,52 | 0,53 | 0,55 | 0,56 | 0,57 | 0,58 |
0,76 | 0,58 | 0,6 | 0,62 | 0,63 | 0,64 | 0,65 | 0,76 | 0,54 | 0,56 | 0,57 | 0,58 | 0,59 | 0,6 |
0,8 | 0,61 | 0,63 | 0,64 | 0,65 | 0,66 | 0,67 | 0,8 | 0,55 | 0,58 | 0,59 | 0,6 | 0,61 | 0,62 |

![]() | Значения | ||||||||||||
0,8 | 0,9 | 1 | 1,1 | 1,2 | 1,3 | 1,4 | 1,5 | 1,6 | 1,7 | 1,8 | 1,9 | 2 | |
0,1 | 0,06 | 0,05 | 0,05 | 0,05 | 0,06 | 0,04 | 0,04 | 0,04 | 0,04 | 0,04 | 0,04 | 0,03 | 0,03 |
0,15 | 0,08 | 0,08 | 0,08 | 0,07 | 0,07 | 0,07 | 0,06 | 0,06 | 0,06 | 0,06 | 0,05 | 0,05 | 0,05 |
0,2 | 0,11 | 0,11 | 0,1 | 0,1 | 0,09 | 0,09 | 0,08 | 0,08 | 0,08 | 0,07 | 0,07 | 0,07 | 0,07 |
0,25 | 0,14 | 0,14 | 0,13 | 0,12 | 0,12 | 0,11 | 0,11 | 0,1 | 0,1 | 0,09 | 0,09 | 0,09 | 0,08 |
0,3 | 0,17 | 0,17 | 0,16 | 0,15 | 0,14 | 0,13 | 0,13 | 0,12 | 0,12 | 0,11 | 0,11 | 0,1 | 0,1 |
0,35 | 0,21 | 0,19 | 0,18 | 0,17 | 0,16 | 0,16 | 0,15 | 0,14 | 0,14 | 0,13 | 0,13 | 0,12 | 0,12 |
0,4 | 0,24 | 0,22 | 0,21 | 0,2 | 0,19 | 0,18 | 0,17 | 0,16 | 0,16 | 0,15 | 0,15 | 0,14 | 0,14 |
0,45 | 0,27 | 0,25 | 0,24 | 0,23 | 0,21 | 0,2 | 0,19 | 0,19 | 0,18 | 0,17 | 0,17 | 0,16 | 0,15 |
0,5 | 0,31 | 0,28 | 0,27 | 0,25 | 0,24 | 0,23 | 0,22 | 0,21 | 0,2 | 0,19 | 0,18 | 0,18 | 0,17 |
0,55 | 0,34 | 0,32 | 0,3 | 0,28 | 0,27 | 0,25 | 0,24 | 0,23 | 0,22 | 0,21 | 0,2 | 0,2 | 0,19 |
0,6 | 0,37 | 0,35 | 0,33 | 0,31 | 0,29 | 0,28 | 0,26 | 0,25 | 0,24 | 0,23 | 0,22 | 0,21 | 0,21 |
0,65 | 0,41 | 0,38 | 0,36 | 0,34 | 0,32 | 0,3 | 0,29 | 0,27 | 0,26 | 0,25 | 0,24 | 0,23 | 0,22 |
0,7 | 0,44 | 0,41 | 0,39 | 0,37 | 0,34 | 0,33 | 0,31 | 0,3 | 0,28 | 0,27 | 0,26 | 0,25 | 0,24 |
0,75 | 0,48 | 0,45 | 0,42 | 0,39 | 0,37 | 0,35 | 0,34 | 0,32 | 0,31 | 0,29 | 0,28 | 0,27 | 0,26 |
0,8 | 0,52 | 0,48 | 0,45 | 0,42 | 0,4 | 0,38 | 0,35 | 0,34 | 0,33 | 0,31 | 0,3 | 0,29 | 0,28 |
0,85 | 0,56 | 0,52 | 0,48 | 0,45 | 0,43 | 0,4 | 0,38 | 0,37 | 0,35 | 0,34 | 0,32 | 0,31 | 0,3 |
0,9 | - | 0,55 | 0,42 | 0,48 | 0,46 | 0,43 | 0,41 | 0,39 | 0,37 | 0,36 | 0,34 | 0,33 | 0,32 |
0,95 | - | - | 0,55 | 0,52 | 0,48 | 0,46 | 0,43 | 0,41 | 0,39 | 0,38 | 0,36 | 0,35 | 0,39 |
1 | - | - | - | 0,55 | 0,51 | 0,49 | 0,46 | 0,44 | 0,42 | 0,4 | 0,38 | 0,37 | 0,35 |
1,1 | - | - | - | - | 0,57 | 0,54 | 0,51 | 0,49 | 0,76 | 0,44 | 0,42 | 0,41 | 0,39 |
1,2 | - | - | - | - | - | 0,6 | 0,57 | 0,54 | 0,51 | 0,49 | 0,47 | 0,45 | 0,43 |
1,3 | - | - | - | - | - | - | - | 0,59 | 0,56 | 0,53 | 0,51 | 0,49 | 0,47 |
1,4 | - | - | - | - | - | - | - | - | - | 0,58 | 0,55 | 0,53 | 0,51 |
1,5 | - | - | - | - | - | - | - | - | - | - | - | 0,57 | 0,55 |
1,6 | - | - | - | - | - | - | - | - | - | - | - | - | 0,59 |
![]() | Значения | |||||||||
2,2 | 2,4 | 2,6 | 2,8 | 3 | 3,2 | 3,4 | 3,6 | 3,8 | 4 | |
0,1 | 0,03 | 0,03 | 0,03 | 0,03 | 0,03 | 0,02 | 0,02 | 0,02 | 0,02 | 0,02 |
0,2 | 0,06 | 0,06 | 0,06 | 0,06 | 0,05 | 0,05 | 0,05 | 0,04 | 0,04 | 0,04 |
0,3 | 0,1 | 0,09 | 0,08 | 0,08 | 0,08 | 0,07 | 0,07 | 0,07 | 0,06 | 0,06 |
0,4 | 0,13 | 0,12 | 0,11 | 0,11 | 0,1 | 0,1 | 0,09 | 0,09 | 0,08 | 0,08 |
0,5 | 0,16 | 0,15 | 0,14 | 0,13 | 0,13 | 0,12 | 0,12 | 0,11 | 0,11 | 0,1 |
0,6 | 0,19 | 0,18 | 0,17 | 0,16 | 0,15 | 0,15 | 0,14 | 0,13 | 0,13 | 0,12 |
0,7 | 0,22 | 0,21 | 0,2 | 0,19 | 0,18 | 0,17 | 0,16 | 0,15 | 0,15 | 0,14 |
0,8 | 0,26 | 0,24 | 0,23 | 0,22 | 0,21 | 0,2 | 0,19 | 0,18 | 0,17 | 0,16 |
0,9 | 0,29 | 0,28 | 0,26 | 0,24 | 0,23 | 0,22 | 0,21 | 0,2 | 0,19 | 0,18 |
1 | 0,33 | 0,31 | 0,29 | 0,27 | 0,26 | 0,25 | 0,23 | 0,22 | 0,21 | 0,2 |
1,2 | 0,4 | 0,37 | 0,35 | 0,33 | 0,31 | 0,3 | 0,28 | 0,27 | 0,26 | 0,25 |
1,4 | 0,47 | 0,44 | 0,41 | 0,31 | 0,31 | 0,35 | 0,33 | 0,32 | 0,3 | 0,29 |
1,6 | 0,55 | 0,51 | 0,48 | 0,45 | 0,42 | 0,4 | 0,38 | 0,36 | 0,35 | 0,33 |
1,8 | - | 0,58 | 0,54 | 0,61 | 0,48 | 0,45 | 0,43 | 0,41 | 0,39 | 0,37 |
2 | - | - | 0,61 | 0,57 | 0,59 | 0,51 | 0,48 | 0,46 | 0,44 | 0,42 |
2,2 | - | - | - | - | - | 0,56 | 0,53 | 0,51 | 0,48 | 0,46 |
2,4 | - | - | - | - | - | - | 0,58 | 0,56 | 0,53 | 0,51 |
2,6 | - | - | - | - | - | - | - | - | 0,58 | 0,55 |
![]() | Значения | |||||||||||||||||||||||||
| ||||||||||||||||||||||||||
4 | 4,2 | 4,4 | 4,6 | 4,8 | 5 | 5,2 | 5,4 | 5,6 | 5,8 | 6 | 6,2 | 6,4 | 6,6 | 6,8 | 7 | 7,2 | 7,4 | 7,6 | 7,8 | 8 | ||||||
0,1 | 0,02 | 0,02 | 0,02 | 0,02 | 0,02 | 0,02 | 0,02 | 0,02 | 0,02 | 0,01 | 0,01 | 0,01 | 0,01 | 0,01 | 0,01 | 0,01 | 0,01 | 0,01 | 0,01 | 0,01 | 0,01 | 0,1 | ||||
0,2 | 0,04 | 0,04 | 0,04 | 0,04 | 0,03 | 0,03 | 0,03 | 0,03 | 0,03 | 0,03 | 0,03 | 0,03 | 0,03 | 0,03 | 0,03 | 0,03 | 0,02 | 0,02 | 0,02 | 0,02 | 0,02 | 0,2 | ||||
0,3 | 0,06 | 0,06 | 0,06 | 0,05 | 0,05 | 0,05 | 0,05 | 0,05 | 0,05 | 0,04 | 0,04 | 0,04 | 0,04 | 0,04 | 0,04 | 0,04 | 0,04 | 0,04 | 0,04 | 0,03 | 0,03 | 0,3 | ||||
0,4 | 0,08 | 0,08 | 0,07 | 0,07 | 0,07 | 0,07 | 0,06 | 0,06 | 0,06 | 0,06 | 0,06 | 0,06 | 0,05 | 0,05 | 0,05 | 0,05 | 0,05 | 0,05 | 0,05 | 0,05 | 0,04 | 0,4 | ||||
0,5 | 0,1 | 0,1 | 0,09 | 0,09 | 0,08 | 0,08 | 0,08 | 0,08 | 0,08 | 0,07 | 0,07 | 0,07 | 0,07 | 0,07 | 0,06 | 0,06 | 0,06 | 0,06 | 0,06 | 0,06 | 0,06 | 0,5 | ||||
0,6 | 0,12 | 0,12 | 0,11 | 0,11 | 0,1 | 0,1 | 0,1 | 0,09 | 0,09 | 0,09 | 0,09 | 0,08 | 0,08 | 0,08 | 0,08 | 0,08 | 0,07 | 0,07 | 0,07 | 0,07 | 0,07 | 0,6 | ||||
0,7 | 0,14 | 0,14 | 0,13 | 0,13 | 0,14 | 0,12 | 0,11 | 0,11 | 0,11 | 0,1 | 0,1 | 0,1 | 0,1 | 0,09 | 0,09 | 0,09 | 0,09 | 0,08 | 0,08 | 0,08 | 0,08 | 0,7 | ||||
0,8 | 0,16 | 0,16 | 0,15 | 0,14 | 0,14 | 0,13 | 0,13 | 0,13 | 0,12 | 0,12 | 0,12 | 0,11 | 0,11 | 0,11 | 0,1 | 0,1 | 0,1 | 0,1 | 0,09 | 0,09 | 0,09 | 0,8 | ||||
0,9 | 0,18 | 0,18 | 0,17 | 0,15 | 0,16 | 0,15 | 0,15 | 0,14 | 0,14 | 0,13 | 0,13 | 0,13 | 0,12 | 0,12 | 0,12 | 0,11 | 0,11 | 0,11 | 0,11 | 0,1 | 0,1 | 0,9 | ||||
1 | 0,2 | 0,2 | 0,19 | 0,18 | 0,18 | 0,17 | 0,16 | 0,16 | 0,15 | 0,15 | 0,14 | 0,14 | 0,14 | 0,13 | 0,13 | 0,13 | 0,12 | 0,12 | 0,12 | 0,11 | 0,11 | 1 | ||||
1,2 | 0,25 | 0,24 | 0,23 | 0,22 | 0,21 | 0,2 | 0,2 | 0,19 | 0,18 | 0,18 | 0,17 | 0,17 | 0,16 | 0,16 | 0,16 | 0,15 | 0,15 | 0,14 | 0,14 | 0,14 | 0,13 | 1,2 | ||||
1,4 | 0,29 | 0,28 | 0,27 | 0,26 | 0,25 | 0,24 | 0,23 | 0,22 | 0,22 | 0,21 | 0,2 | 0,2 | 0,19 | 0,17 | 0,18 | 0,18 | 0,17 | 0,17 | 0,16 | 0,16 | 0,16 | 1,4 | ||||
1,6 | 0,33 | 0,32 | 0,3 | 0,29 | 0,28 | 0,27 | 0,26 | 0,26 | 0,25 | 0,24 | 0,23 | 0,23 | 0,22 | 0,21 | 0,21 | 0,2 | 0,2 | 0,19 | 0,19 | 0,18 | 0,18 | 1,6 | ||||
1,8 | 0,37 | 0,36 | 0,34 | 0,33 | 0,32 | 0,31 | 0,3 | 0,29 | 0,28 | 0,27 | 0,26 | 0,25 | 0,25 | 0,24 | 0,23 | 0,23 | 0,22 | 0,22 | 0,21 | 0,21 | 0,2 | 1,8 | ||||
2 | 0,42 | 0,4 | 0,38 | 0,37 | 0,36 | 0,34 | 0,33 | 0,32 | 0,31 | 0,3 | 0,29 | 0,28 | 0,28 | 0,27 | 0,26 | 0,25 | 0,25 | 0,24 | 0,24 | 0,23 | 0,23 | 2 | ||||
2,2 | 0,46 | 0,44 | 0,42 | 0,41 | 0,39 | 0,38 | 0,37 | 0,35 | 0,34 | 0,33 | 0,32 | 0,31 | 0,3 | 0,3 | 0,29 | 0,28 | 0,27 | 0,27 | 0,26 | 0,25 | 0,25 | 2,2 | ||||
2,4 | 0,51 | 0,48 | 0,46 | 0,45 | 0,43 | 0,41 | 0,4 | 0,39 | 0,37 | 0,36 | 0,35 | 0,34 | 0,33 | 0,32 | 0,31 | 0,31 | 0,3 | 0,29 | 0,28 | 0,28 | 0,27 | 2,4 | ||||
2,6 | 0,55 | 0,53 | 0,51 | 0,49 | 0,47 | 0,45 | 0,43 | 0,42 | 0,41 | 0,39 | 0,39 | 0,37 | 0,36 | 0,35 | 0,34 | 0,33 | 0,32 | 0,32 | 0,31 | 0,3 | 0,29 | 2,6 | ||||
2,8 | - | 0,57 | 0,55 | 0,52 | 0,5 | 0,49 | 0,47 | 0,45 | 0,44 | 0,43 | 0,41 | 0,4 | 0,39 | 0,38 | 0,37 | 0,36 | 0,35 | 0,34 | 0,33 | 0,32 | 0,32 | 2,8 | ||||
3 | - | - | - | 0,56 | 0,54 | 0,52 | 0,5 | 0,49 | 0,47 | 0,46 | 0,44 | 0,43 | 0,42 | 0,41 | 0,39 | 0,38 | 0,37 | 0,37 | 0,36 | 0,35 | 0,34 | 3 | ||||
3,2 | - | - | - | - | 0,58 | 0,56 | 0,54 | 0,52 | 0,5 | 0,49 | 0,47 | 0,46 | 0,45 | 0,43 | 0,42 | 0,41 | 0,4 | 0,39 | 0,38 | 0,37 | 0,36 | 3,2 | ||||
3,4 | - | - | - | - | - | - | 0,58 | 0,56 | 0,54 | 0,52 | 0,5 | 0,49 | 0,47 | 0,46 | 0,45 | 0,44 | 0,43 | 0,42 | 0,4 | 0,4 | 0,39 | 3,4 | ||||
3,6 | - | - | - | - | - | - | - | - | 0,57 | 0,55 | 0,53 | 0,52 | 0,5 | 0,49 | 0,48 | 0,46 | 0,45 | 0,44 | 0,43 | 0,42 | 0,41 | 3,6 | ||||
3,8 | - | - | - | - | - | - | - | - | - | - | 0,57 | 0,55 | 0,53 | 0,52 | 0,5 | 0,49 | 0,48 | 0,47 | 0,45 | 0,44 | 0,43 | 3,8 | ||||
4 | - | - | - | - | - | - | - | - | - | - | - | - | 0,56 | 0,55 | 0,53 | 0,52 | 0,5 | 0,49 | 0,48 | 0,47 | 0,46 | 4 | ||||
4,2 | - | - | - | - | - | - | - | - | - | - | - | - | - | - | 0,56 | 0,64 | 0,53 | 0,52 | 0,5 | 0,49 | 0,48 | 4,2 | ||||
4,4 | - | - | - | - | - | - | - | - | - | - | - | - | - | - | - | 0,57 | 0,56 | 0,54 | 0,53 | 0,52 | 0,5 | 4,4 | ||||
4,6 | - | - | - | - | - | - | - | - | - | - | - | - | - | - | - | - | - | 0,57 | 0,55 | 0,54 | 0,53 | 4,6 | ||||
4,8 | - | - | - | - | - | - | - | - | - | - | - | - | - | - | - | - | - | - | - | 0,56 | 0,55 | 4,8 | ||||


1 | 0,75 | 0,5 | ||||||||||||||||
0 | 0,1 | 0,2 | 0,3 | 0,4 | 0,5 | 0,6 | 0 | 0,1 | 0,2 | 0,3 | 0,4 | 0,5 | 0,6 | 0 | 0,1 | 0,2 | ||
0,1 | 0,42 ------ 0,42 | 0,37 ------ 0,37 | 0,35 ------ 0,35 | 0,33 ------ 0,33 | 0,27 ------ 0,27 | 0,22 ------ 0,22 | 0,18 ------ 0,18 | 0,43 ------ 0,42 | 0,38 ------ 0,36 | 0,36 ------ 0,35 | 0,32 ------ 0,31 | 0,27 ------ 0,26 | 0,22 ------ 0,22 | 0,18 ------ 0,18 | 0,43 ------ 0,42 | 0,38 ------ 0,34 | 0,37 ------ 0,35 | |
0,2 | 0,36 ------ 0,36 | 0,38 ------ 0,38 | 0,33 ------ 0,33 | 0,29 ------ 0,29 | 0,25 ------ 0,25 | 0,2 ------ 0,2 | 0,16 ------ 0,16 | 0,36 ------ 0,35 | 0,39 ------ 0,37 | 0,34 ------ 0,34 | 0,3 ------ 0,29 | 0,25 ------ 0,25 | 0,21 ------ 0,2 | 0,17 ------ 0,16 | 0,37 ------ 0,34 | 0,39 ------ 0,35 | 0,35 ------ 0,32 | |
0,3 | 0,32 ------ 0,32 | 0,37 ------ 0,37 | 0,32 ------ 0,32 | 0,27 ------ 0,27 | 0,23 ------ 0,23 | 0,19 ------ 0,19 | 0,15 ------ 0,15 | 0,33 ------ 0,31 | 0,39 ------ 0,36 | 0,33 ------ 0,31 | 0,28 ------ 0,26 | 0,24 ------ 0,22 | 0,2 ------ 0,19 | 0,16 ------ 0,15 | 0,33 ------ 0,29 | 0,41 ------ 0,36 | 0,34 ------ 0,3 | |
0,4 | 0,32 ------ 0,32 | 0,33 ------ 0,33 | 0,28 ------ 0,28 | 0,24 ------ 0,24 | 0,21 ------ 0,21 | 0,17 ------ 0,17 | 0,14 ------ 0,14 | 0,33 ------ 0,31 | 0,35 ------ 0,31 | 0,3 ------ 0,27 | 0,25 ------ 0,23 | 0,22 ------ 0,2 | 0,18 ------ 0,16 | 0,15 ------ 0,14 | 0,33 ------ 0,29 | 0,38 ------ 0,3 | 0,32 ------ 0,26 | |
0,5 | 0,31 ------ 0,31 | 0,28 ------ 0,28 | 0,25 ------ 0,25 | 0,22 ------ 0,22 | 0,19 ------ 0,19 | 0,16 ------ 0,16 | 0,12 ------ 0,12 | 0,33 ------ 0,3 | 0,3 ------ 0,27 | 0,27 ------ 0,24 | 0,23 ------ 0,21 | 0,2 ------ 0,18 | 0,16 ------ 0,14 | 0,13 ------ 0,12 | 0,33 ------ 0,29 | 0,35 ------ 0,25 | 0,3 ------ 0,22 | |
0,6 | 0,29 ------ 0,29 | 0,26 ------ 0,26 | 0,23 ------ 0,23 | 0,2 ------ 0,2 | 0,17 ------ 0,17 | 0,15 ------ 0,15 | 0,12 ------ 0,12 | 0,31 ------ 0,27 | 0,28 ------ 0,25 | 0,25 ------ 0,22 | 0,22 ------ 0,19 | 0,19 ------ 0,17 | 0,15 ------ 0,14 | 0,12 ------ 0,11 | 0,33 ------ 0,26 | 0,31 ------ 0,23 | 0,27 ------ 0,2 | |
0,7 | 0,27 ------ 0,27 | 0,24 ------ 0,24 | 0,22 ------ 0,22 | 0,19 ------ 0,19 | 0,16 ------ 0,16 | 0,14 ------ 0,14 | 0,11 ------ 0,11 | 0,29 ------ 0,26 | 0,26 ------ 0,23 | 0,23 ------ 0,2 | 0,2 ------ 0,18 | 0,18 ------ 0,15 | 0,15 ------ 0,13 | 0,12 ------ 0,1 | 0,32 ------ 0,24 | 0,29 ------ 0,21 | 0,26 ------ 0,19 | |
0,8 | 0,26 ------ 0,26 | 0,23 ------ 0,23 | 0,2 ------ 0,2 | 0,18 ------ 0,18 | 0,15 ------ 0,15 | 0,13 ------ 0,13 | 0,1 ------ 0,1 | 0,27 ------ 0,24 | 0,25 ------ 0,21 | 0,22 ------ 0,19 | 0,19 ------ 0,17 | 0,17 ------ 0,14 | 0,14 ------ 0,12 | 0,11 ------ 0,09 | 0,3 ------ 0,22 | 0,28 ------ 0,2 | 0,24 ------ 0,18 | |

. Данными таблицы можно пользоваться и при других значениях 0,5 | 0,25 | 0 | |||||||||||||||
0,3 | 0,4 | 0,5 | 0,6 | 0 | 0,1 | 0,2 | 0,3 | 0,4 | 0,5 | 0,6 | 0 | 0,1 | 0,2 | 0,3 | 0,4 | 0,5 | 0,6 |
0,32 ------ 0,3 | 0,28 ------ 0,26 | 0,23 ------ 0,22 | 0,18 ------ 0,17 | 0,44 ------ 0,41 | 0,39 ------ 0,36 | 0,37 ------ 0,32 | 0,33 ------ 0,27 | 0,28 ------ 0,25 | 0,23 ------ 0,21 | 0,19 ------ 0,17 | 0,45 ------ 0,4 | 0,4 ------ 0,36 | 0,4 ------ 0,32 | 0,35 ------ 0,28 | 0,3 ------ 0,23 | 0,25 ------ 0,19 | 0,2 ------ 0,15 |
0,31 ------ 0,28 | 0,26 ------ 0,24 | 0,22 ------ 0,19 | 0,18 ------ 0,15 | 0,38 ------ 0,35 | 0,43 ------ 0,33 | 0,36 ------ 0,29 | 0,32 ------ 0,25 | 0,27 ------ 0,22 | 0,23 ------ 0,18 | 0,18 ------ 0,15 | 0,4 ------ 0,33 | 0,39 ------ 0,29 | 0,4 ------ 0,26 | 0,35 ------ 0,22 | 0,3 ------ 0,19 | 0,25 ------ 0,16 | 0,2 ------ 0,12 |
0,3 ------ 0,26 | 0,25 ------ 0,22 | 0,21 ------ 0,19 | 0,17 ------ 0,15 | 0,34 ------ 0,29 | 0,42 ------ 0,28 | 0,37 ------ 0,25 | 0,32 ------ 0,22 | 0,27 ------ 0,19 | 0,22 ------ 0,17 | 0,18 ------ 0,14 | 0,35 ------ 0,27 | 0,42 ------ 0,25 | 0,4 ------ 0,22 | 0,35 ------ 0,19 | 0,3 ------ 0,16 | 0,25 ------ 0,13 | 0,2 ------ 0,1 |
0,28 ------ 0,22 | 0,24 ------ 0,19 | 0,2 ------ 0,16 | 0,16 ------ 0,13 | 0,34 ------ 0,26 | 0,42 ------ 0,25 | 0,36 ------ 0,22 | 0,31 ------ 0,2 | 0,26 ------ 0,17 | 0,22 ------ 0,15 | 0,17 ------ 0,12 | 0,34 ------ 0,24 | 0,42 ------ 0,21 | 0,4 ------ 0,19 | 0,35 ------ 0,16 | 0,3 ------ 0,13 | 0,25 ------ 0,11 | 0,2 ------ 0,08 |
0,26 ------ 0,19 | 0,22 ------ 0,17 | 0,18 ------ 0,14 | 0,15 ------ 0,11 | 0,34 ------ 0,25 | 0,4 ------ 0,21 | 0,34 ------ 0,19 | 0,3 ------ 0,18 | 0,25 ------ 0,15 | 0,21 ------ 0,13 | 0,17 ------ 0,1 | 0,34 ------ 0,21 | 0,42 ------ 0,18 | 0,4 ------ 0,16 | 0,35 ------ 0,14 | 0,3 ------ 0,12 | 0,25 ------ 0,09 | 0,2 ------ 0,07 |
0,24 ------ 0,19 | 0,2 ------ 0,15 | 0,17 ------ 0,13 | 0,14 ------ 0,1 | 0,34 ------ 0,22 | 0,39 ------ 0,19 | 0,33 ------ 0,19 | 0,28 ------ 0,16 | 0,24 ------ 0,14 | 0,2 ------ 0,12 | 0,16 ------ 0,09 | 0,34 ------ 0,18 | 0,42 ------ 0,16 | 0,4 ------ 0,14 | 0,35 ------ 0,12 | 0,3 ------ 0,1 | 0,25 ------ 0,08 | 0,2 ------ 0,06 |
0,22 ------ 0,17 | 0,19 ------ 0,14 | 0,16 ------ 0,12 | 0,13 ------ 0,09 | 0,34 ------ 0,2 | 0,37 ------ 0,19 | 0,31 ------ 0,17 | 0,27 ------ 0,15 | 0,23 ------ 0,13 | 0,19 ------ 0,11 | 0,15 ------ 0,09 | 0,34 ------ 0,16 | 0,42 ------ 0,14 | 0,4 ------ 0,12 | 0,35 ------ 0,11 | 0,3 ------ 0,09 | 0,25 ------ 0,07 | 0,2 ------ 0,05 |
0,21 ------ 0,15 | 0,18 ------ 0,13 | 0,15 ------ 0,11 | 0,12 ------ 0,09 | 0,34 ------ 0,18 | 0,35 ------ 0,18 | 0,3 ------ 0,16 | 0,26 ------ 0,14 | 0,22 ------ 0,12 | 0,19 ------ 0,1 | 0,15 ------ 0,08 | 0,34 ------ 0,15 | 0,42 ------ 0,13 | 0,4 ------ 0,11 | 0,35 ------ 0,1 | 0,3 ------ 0,08 | 0,25 ------ 0,06 | 0,2 ------ 0,04 |
Марка бетона \ | 200 | 300 | 400 |
1 | 3,3 | 3,1 | 3 |
0,8 | 3,7 | 3,5 | 3,3 |
0,7 | 4,2 | 3,8 | 3,6 |
0,6 | 5,1 | 4,4 | 4 |


















допускается пользоваться кривой
.
5.2 (8.12). Для предварительно напряженных элементов, армированных проволокой, пучками или прядями без анкеров, обязательна проверка по образованию трещин в сечениях на грани опоры и на длине зоны анкеровки арматуры lан, определяемой согласно п. 3.6. Предварительные напряжения в арматуре на длине зоны анкеровки принимаются линейно возрастающими от нуля у начала заделки (анкеровки) до величины При проверке по образованию трещин следует учитывать возможность неполного обжатия бетона и нарушения сцепления арматуры с бетоном при мгновенной передаче предварительного напряжения на бетон. В этом случае начало зоны анкеровки следует принимать по указаниям п. 3.6. Для балок, не подлежащих расчету на выносливость, в которых высота сечения на опоре h0 превышает длину зоны анкеровки lан, допускается при спуске натяжения не производить на этой длине проверки по образованию трещин. При этом должно соблюдаться указание п. 9.31. ОСЕВОЕ РАСТЯЖЕНИЕ ЦЕНТРАЛЬНО ОБЖАТЫХ ЭЛЕМЕНТОВ 5.3 (8.2). Расчет по образованию трещин предварительно напряженных центрально обжатых железобетонных элементов при осевом растяжении их (рис. 5.1) производят из условия где mт - коэффициент точности предварительного напряжения арматуры, принимаемый меньшим единицы, по указаниям п. 3.4; |
![]() растянутого предварительно напряженного железобетонного элемента при расчете его по образованию трещин 1 - линия центра тяжести сечения Для элементов, в которых до предварительного напряжения могут образоваться трещины, а также для стыковых сечений составных и блочных конструкций при расчете их по образованию трещин (началу раскрытия швов) величину Nт определяют по формуле |
(5.3)5.5 (8.3). Расчет по образованию трещин для сечений, нормальных к оси изгибаемых и внецентренно сжатых предварительно напряженных железобетонных элементов, за исключением случаев, указанных в п. 5.10, производят из условия где Значение Mт для предварительно напряженных элементов определяют по формуле где Wт - момент сопротивления приведенного сечения, определяемый с учетом неупругих деформаций растянутого бетона в предположении отсутствия продольной силы согласно п. 5.9. |







совпадают по направлению, и со знаком минус, если эти моменты действуют в противоположных направлениях.5.8 (8.4). Расчет по образованию трещин для сечений, нормальных к оси предварительно напряженных железобетонных элементов, подвергающихся внецентренному растяжению [а также осевому растяжению при внецентренном обжатии (рис. 5.4)], производят по формуле (5.4), если в предельном состоянии растягивающая сила не превышает усилия обжатия, что характеризуется следующими условиями: а) сила обжатия N0 и ядровая точка, наиболее удаленная от зоны сечения, проверяемой по образованию трещин, расположены по одну сторону от внешней силы N (рис. 5.6); ![]() растянутого предварительно напряженного железобетонного элемента (к п. 5.8 "а" и "б") 1 - ядровая точка Если хоть одно из этих условий не удовлетворяется, следовательно, растягивающая сила в предельном состоянии превосходит силу обжатия, и расчет производят из условия где |



Значение Wт допускается определять по табл. 5.1 <*>, исходя из момента сопротивления приведенного сечения W0. -------------------------------- |
5.10 (8.5). Железобетонные предварительно напряженные внецентренно сжатые элементы, а также изгибаемые элементы таврового сечения с полкой в растянутой зоне (или других сечений, близких по форме к указанному) в тех случаях, когда не соблюдается условие следует рассчитывать по образованию трещин также с учетом неупругих деформаций в сжатой зоне (отклонения эпюры сжимающих напряжений от треугольной) согласно указаниям п. 5.11. |


(5.21)
(5.22)
(5.23)
составляет более 1,5% от площади ребра Fреб, то рекомендуется произвести уточнение расчета, принимая при вычислении
.
, составляющей не более 1,5% от площади ребра Fр, значение y' допускается определять по формуле
(5.28)5.14 (8.6). Расчет по образованию трещин изгибаемых и внецентренно сжатых элементов, состоящих из сборных предварительно напряженных элементов и дополнительно уложенного бетона, расположенного только в сжатой зоне сечения (рис. 5.10, а), после достижения этим бетоном заданной прочности производится следующим образом. В тех случаях, когда величина |
M1 - изгибающий момент от внешней нагрузки, действовавший в сечении сборного элемента до приобретения дополнительно уложенным бетоном требуемой прочности; zя1 и zя - расстояние от силы N0 до ядровой точки, наиболее удаленной от зоны сечения, в которой проверяется образование трещин соответственно для сечения сборного элемента и для сечения сборно-монолитного элемента. |

(5.31)
(5.32)
(5.33)5.15 (8.7). При расчете по образованию трещин изделий и конструкций, армированных предварительно напряженными элементами, положение нейтральной оси в момент образования трещин в предварительно напряженных элементах определяют в предположении, что площадь растянутой зоны бетона, не подвергаемого предварительному напряжению, равна нулю. 5.16 (8.8). При расчете стыковых сечений составных блочных конструкций на раскрытие швов величина Rт в формулах пп. 5.5 - 5.8, 5.11 и 5.14 принимается равной нулю. 5.17 (8.9). Если в конструкциях II категории трещиностойкости по расчету допущено образование трещин в зонах, испытывающих сжатие от внешних нагрузок, то на участках с этими трещинами значения Mт, определенные по формулам (5.7), (5.11) или (5.19) для зон, испытывающих растяжение от внешних нагрузок, понижаются на 10%. |
(5.36)
(5.37)
(5.38)
(5.39)
(5.40)
принимается не более
; если площадь арматуры 5.20 (8.10). При расчете предварительно напряженных элементов по образованию трещин в сечениях, наклонных к оси элементов, должно удовлетворяться условие при этом главные растягивающие напряжения |
(5.43)5.21 (8.13). Если при проверке наклонного сечения условие (5.42) не удовлетворяется, следует либо увеличить размеры поперечного сечения элемента, либо применить предварительное напряжение поперечной арматуры, а если предварительное напряжение уже учитывалось расчетом, то увеличить его. В этих случаях требуемую величину предварительного напряжения поперечной арматуры |
, ненапрягаемой Aа (класса А-III) Fа = 8,04 см2
; предварительное напряжение в напрягаемой арматуре с учетом всех потерь
; суммарные потери напряжений от усадки и ползучести бетона
; продольная осевая растягивающая сила N = 120 т.


и верхней
; геометрические характеристики приведенного расчетного сечения: площадь Fп = 2154 см2, расстояние от центра тяжести сечения до нижней грани y = 71 см, момент инерции Jп = 5 314 000 см4; усилие предварительного обжатия с учетом всех потерь напряжений и коэффициента точности натяжения N0 = 175 000 кг, его эксцентриситет относительно центра тяжести приведенного сечения e0 = 39,3 см; нормативный момент, растягивающий нижнюю зону сечения, Mн = 145,1 тм.












;
;
;
, ближайших к соответствующим значениям расчетного сечения, находим:





(как для прямоугольного сечения).





ИС МЕГАНОРМ: примечание. Текст дан в соответствии с официальным текстом документа. |
; ненапрягаемая арматура из горячекатаной стали класса А-III, площадь сечения верхней арматуры
; усилие предварительного обжатия с учетом всех потерь и с учетом коэффициента точности натяжения N0 = 430 000 кг; расстояние точки приложения усилия N0 от нижней грани сечения aн = 12,7 см; нормативный изгибающий момент в расчетном сечении, растягивающий нижнюю зону, Mн = 418 тм; в верхней зоне сечения допускается образование трещин при обжатии.

составляет менее 1,5% от площади Fреб = 3600 см2, расстояние от точки приложения равнодействующей усилий в сжатой зоне до верхней грани балки определяем по формуле (5.27)


.
.
и арматуры
(согласно расчету прочности).Расчетные характеристики сечений | I сечение | II сечение |
Изгибающий момент от внешней нагрузки | M1 = 0 тм | M2 = 145,1 тм |
Момент сопротивления относительно растянутой грани | ![]() | ![]() |
Расстояние от ядровой точки, наиболее удаленной от растянутой грани, до центра тяжести сечения | ![]() | ![]() |
Расстояние между центрами тяжести нижней арматуры и приведенного сечения | ![]() | ![]() |
Расстояние между центрами тяжести верхней арматуры и приведенного сечения | ![]() | ![]() |
Коэффициент точности натяжения | ![]() | |
Расчетное сопротивление бетона в соответствующей стадии работы балки | ![]() | ![]() |


;
.




.
и производим проверку по образованию трещин сечения с принятой арматурой согласно методике, приведенной в примерах 5.2 и 5.3.
, с учетом первых потерь
.
, длину анкеровки определяем по формуле






ВСПОМОГАТЕЛЬНЫЕ ТАБЛИЦЫ К ГЛАВЕ 5 Таблица 5.1 (34) сопротивления сечения ![]() | ||||
N п/п | Сечения | Коэффициент | Форма поперечного сечения | |
1 | Прямоугольное | 1,75 | ||
2 | Тавровое с полкой, расположенной в сжатой зоне | 1,75 | ![]() | |
3 | Тавровое с полкой (уширением), расположенной в растянутой зоне: | ![]() | ||
при | 1,75 | |||
" ![]() | 1,75 | |||
" ![]() | 1,5 | |||
4 | Двутавровое симметричное (коробчатое): | ![]() | ||
а) при независимо от отношений ![]() | 1,75 | |||
б) при независимо от отношений ![]() | 1,5 | |||
в) при и ![]() | 1,5 | |||
г) при и ![]() | 1,25 | |||
д) при и ![]() | 1,1 | |||
5 | Двутавровое несимметричное, удовлетворяющее условию | ![]() | ||
при | 1,75 | |||
" независимо от отношения | 1,5 | |||
" ![]() | 1,5 | |||
6 | Двутавровое несимметричное, удовлетворяющее условию : | ![]() | ||
при | 1,5 | |||
" ![]() | 1,5 | |||
" ![]() | 1,25 | |||
7 | Двутавровое несимметричное, удовлетворяющее условию | ![]() | ||
при ![]() | 1,5 | |||
" ![]() | 1,25 | |||
8 | Кольцевое и круглое | ![]() | ![]() | |
9 | Крестовое: | ![]() | ||
при ![]() | 2 | |||
в остальных случаях | 1,75 | |||

bп.у/b | ||||||||||||||||||||||||||
1 | 3 | 5 | 7 | 9 | ||||||||||||||||||||||
hп.у/h | hп.у/h | hп.у/h | hп.у/h | hп.у/h | ||||||||||||||||||||||
0 | 0,1 | 0,2 | 0,3 | 0,4 | 0 | 0,1 | 0,2 | 0,3 | 0,4 | 0 | 0,1 | 0,2 | 0,3 | 0,4 | 0 | 0,1 | 0,2 | 0,3 | 0,4 | 0 | 0,1 | 0,2 | 0,3 | 0,4 | ||
0,1 | 1 | 1,75 | 1,75 | 1,75 | 1,75 | 1,75 | 1,73 | 1,73 | 1,73 | 1,73 | 1,73 | 1,71 | 1,71 | 1,71 | 1,71 | 1,71 | 1,69 | 1,69 | 1,69 | 1,69 | 1,69 | 1,67 | 1,67 | 1,67 | 1,67 | 1,67 |
1,5 | 1,75 | 1,67 | 1,66 | 1,7 | 1,75 | 1,73 | 1,65 | 1,64 | 1,65 | 1,7 | 1,71 | 1,64 | 1,62 | 1,63 | 1,67 | 1,69 | 1,62 | 1,6 | 1,61 | 1,64 | 1,67 | 1,6 | 1,58 | 1,59 | 1,62 | |
2 | 1,75 | 1,61 | 1,61 | 1,64 | 1,68 | 1,73 | 1,6 | 1,59 | 1,63 | 1,71 | 1,71 | 1,58 | 1,56 | 1,59 | 1,66 | 1,69 | 1,56 | 1,54 | 1,57 | 1,63 | 1,67 | 1,55 | 1,53 | 1,55 | 1,6 | |
3 | 1,75 | 1,53 | 1,57 | 1,71 | 1,81 | 1,73 | 1,52 | 1,54 | 1,63 | 1,77 | 1,71 | 1,5 | 1,5 | 1,58 | 1,7 | 1,69 | 1,49 | 1,48 | 1,55 | 1,65 | 1,67 | 1,48 | 1,46 | 1,52 | 1,62 | |
4 | 1,75 | 1,48 | 1,56 | 1,76 | 1,83 | 1,73 | 1,47 | 1,51 | 1,66 | 1,82 | 1,71 | 1,45 | 1,48 | 1,59 | 1,75 | 1,69 | 1,44 | 1,45 | 1,55 | 1,69 | 1,67 | 1,42 | 1,43 | 1,52 | 1,64 | |
6 | 1,75 | 1,42 | 1,59 | 1,86 | 1,84 | 1,73 | 1,4 | 1,51 | 1,74 | 1,84 | 1,71 | 1,39 | 1,46 | 1,65 | 1,83 | 1,69 | 1,37 | 1,43 | 1,59 | 1,8 | 1,67 | 1,36 | 1,41 | 1,55 | 1,73 | |
8 | 1,75 | 1,4 | 1,64 | 1,87 | 1,84 | 1,73 | 1,37 | 1,54 | 1,84 | 1,85 | 1,71 | 1,35 | 1,48 | 1,73 | 1,87 | 1,69 | 1,34 | 1,44 | 1,65 | 1,84 | 1,67 | 1,33 | 1,41 | 1,6 | 1,83 | |
0,3 | 1 | 1,75 | 1,75 | 1,75 | 1,75 | 1,75 | 1,69 | 1,69 | 1,69 | 1,69 | 1,69 | 1,65 | 1,65 | 1,65 | 1,65 | 1,65 | 1,64 | 1,64 | 1,64 | 1,64 | 1,64 | 1,63 | 1,63 | 1,63 | 1,63 | 1,63 |
1,5 | 1,75 | 1,67 | 1,66 | 1,7 | 1,75 | 1,69 | 1,63 | 1,6 | 1,61 | 1,64 | 1,65 | 1,59 | 1,57 | 1,58 | 1,6 | 1,64 | 1,6 | 1,57 | 1,57 | 1,58 | 1,63 | 1,73 | 1,72 | 1,74 | 1,77 | |
2 | 1,75 | 1,61 | 1,61 | 1,68 | 1,78 | 1,69 | 1,56 | 1,54 | 1,58 | 1,64 | 1,65 | 1,53 | 1,51 | 1,53 | 1,56 | 1,64 | 1,59 | 1,5 | 1,51 | 1,55 | 1,63 | 1,69 | 1,68 | 1,72 | 1,78 | |
3 | 1,75 | 1,53 | 1,57 | 1,71 | 1,81 | 1,69 | 1,48 | 1,48 | 1,56 | 1,66 | 1,65 | 1,41 | 1,45 | 1,5 | 1,58 | 1,64 | 1,45 | 1,43 | 1,47 | 1,54 | 1,63 | 1,48 | 1,43 | 1,45 | 1,52 | |
4 | 1,75 | 1,48 | 1,56 | 1,76 | 1,83 | 1,69 | 1,43 | 1,44 | 1,56 | 1,71 | 1,65 | 1,41 | 1,41 | 1,49 | 1,61 | 1,64 | 1,4 | 1,39 | 1,46 | 1,55 | 1,63 | 1,41 | 1,38 | 1,44 | 1,52 | |
6 | 1,75 | 1,42 | 1,59 | 1,86 | 1,84 | 1,69 | 1,37 | 1,44 | 1,61 | 1,82 | 1,65 | 1,35 | 1,38 | 1,51 | 1,68 | 1,64 | 1,33 | 1,36 | 1,46 | 1,6 | 1,63 | 1,33 | 1,34 | 1,43 | 1,56 | |
8 | 1,75 | 1,4 | 1,64 | 1,87 | 1,84 | 1,69 | 1,34 | 1,45 | 1,68 | 1,83 | 1,65 | 1,31 | 1,4 | 1,55 | 1,77 | 1,64 | 1,3 | 1,35 | 1,49 | 1,67 | 1,63 | 1,29 | 1,33 | 1,47 | 1,6 | |
, hп.у = hп,
,
; при bп = b hп.у = 2a,
; при
,
.
0,9 | 0,8 | 0,7 | 0,6 | 0,5 | 0,4 | 0,3 | |
0,184 | 0,207 | 0,232 | 0,26 | 0,292 | 0,337 | 0,365 | |
0,55 | 0,6 | 0,65 | 0,7 | 0,75 | 0,8 | 0,85 | |
0,335 | 0,345 | 0,357 | 0,372 | 0,39 | 0,422 | 0,43 |
6.1 (9.1). При расчете железобетонных конструкций по второму предельному состоянию, а также в случаях, указанных в п. 1.40, деформации (прогибы и углы поворота) элементов вычисляют по формулам строительной механики, определяя их жесткость или кривизну в соответствии с указаниями настоящего раздела инструкции. Примечание. Указания настоящего раздела не распространяются на конструкции тепловых агрегатов (печи, дымовые трубы и т.п.) и их фундаментов, рассчитываемых на температурные воздействия. 6.2 (9.2). При определении деформаций в необходимых случаях должно учитываться влияние длительного действия нагрузок согласно указаниям пп. 6.4, 6.10, 6.13. 6.3 (9.3). Деформации элементов железобетонных конструкций, при эксплуатации которых не допускаются трещины в растянутой зоне или появление трещин маловероятно (например, предварительно напряженные элементы 1-й и 2-й категорий трещиностойкости, слабо армированные элементы), определяют как для сплошного упругого тела с учетом работы бетона сжатой и растянутой зон; при этом в расчет вводят полное приведенное сечение элемента (см. п. 3.30). В этих случаях жесткость элементов при кратковременном действии нагрузки определяется по формуле |
При определении деформаций балочных элементов таврового и двутаврового сечений постоянной высоты с отношением высоты сечения к пролету 1/7 и более, подвергающихся действию значительных сосредоточенных нагрузок (подкрановые балки, подстропильные балки и т.п.), значение Bк следует принимать на 10% меньше вычисленного по формуле (6.1). |
Для предварительно напряженных элементов 2-й категории трещиностойкости, в отдельных зонах которых допускается образование трещин при предварительном обжатии (см. табл. 1.2), значение Bк следует принимать на 15% меньше определенного по формуле (6.1). |
6.4 (9.4). Для элементов, указанных в п. 6.3, полную величину деформаций при учете длительного действия части нагрузок и выгиба от предварительного обжатия бетона определяют по формуле где fк - деформация от кратковременно действующей части нагрузки; fд - начальная (кратковременная) деформация от длительно действующей части нагрузки; fв - деформация от кратковременного действия предварительного обжатия бетона (выгиб); при вычислении fв усилие в напрягаемой арматуре определяют с учетом всех потерь; значения fк, fд и fв определяют по жесткости Bк, вычисленной по п. 6.3; c - коэффициент, учитывающий увеличение деформации вследствие ползучести бетона от длительного действия нагрузки. Значение c рекомендуется принимать равным: а) при сухом режиме c = 3; б) при нормальном режиме c = 2; в) при влажном режиме c = 1,5. Примечания: 1. Под сухим режимом в этом разделе следует считать режим с влажностью до 40%, под нормальным режимом - режим с влажностью от 40 до 70%, а под влажным - режим с влажностью свыше 70%. 2. Для конструкций из легких бетонов, приготовляемых на пористом песке, а при объемном весе крупного заполнителя до 700 кг/м3 включительно и на кварцевом песке значение коэффициента c в формуле (6.2) принимается по специальной инструкции. 6.5 (9.5). Деформации изгибаемых, внецентренно растянутых элементов с эксцентриситетами e0 > 0,8h0 и внецентренно сжатых элементов, в которых при нагрузках, соответствующих стадии определения деформаций, могут появиться трещины в растянутой зоне (т.е. элементов, выполняемых без предварительного напряжения, а также предварительно напряженных элементов 3-й категории трещиностойкости) находят в соответствии с указаниями пп. 6.10, 6.12, 6.14 - 6.18, пользуясь методами строительной механики, по значениям кривизны |
), а при длительном действии нагрузки - жесткость
) (см. пп. 6.3, 6.4).Примечание. В п. 6.5 e0 - расстояние от центра тяжести приведенного сечения до внешней растягивающей силы N, а в предварительно напряженных элементах - до растягивающей силы Nс (см. п. 6.6). 6.6 (9.7). Кривизну а) для изгибаемых элементов, выполняемых без предварительного напряжения б) для предварительно напряженных изгибаемых, внецентренно растянутых с эксцентриситетом e0 > 0,8h0, а также внецентренно сжатых элементов, как выполняемых без предварительного напряжения, так и предварительно напряженных, В формулах (6.3) и (6.4) приняты обозначения: Mз - заменяющий момент, т.е. момент относительно оси, нормальной к плоскости изгиба и проходящей через центр тяжести арматуры растянутой зоны от всех внешних усилий, приложенных по одну сторону сечения, и от силы предварительного обжатия N0 (определенной с учетом всех потерь, см. п. 3.18), вычисляемый по формулам: |
ex - расстояние от центра тяжести площади сечения арматуры A до точки приложения усилия обжатия N0, при отсутствии напрягаемой арматуры e - расстояние от центра тяжести площади сечения арматуры A до точки приложения внешней продольной силы N; Nс - суммарное продольное усилие от внешней силы N и от силы обжатия N0 с учетом всех потерь (см. п. 3.18) Nс = N0 +/- N; (6.6) значение сжимающей продольной силы N принимается со знаком плюс, растягивающей - со знаком минус; z1 - расстояние от центра тяжести площади сечения всей арматуры, расположенной в растянутой зоне, до точки приложения равнодействующей усилий в сжатой зоне сечения над трещиной (плечо внутренней пары сил), определяемое согласно п. 6.7; Значение а) для изгибаемых элементов, выполняемых без предварительного напряжения, т.е. при пользовании формулой (6.3), б) в остальных случаях, т.е. при пользовании формулой (6.4), ;при длительном действии нагрузки значение а) при сухом режиме б) при нормальном режиме ;в) при влажном режиме Примечания: 1. Определения влажностных режимов даны в п. 6.4. 2. Для конструкций из легких бетонов, приготовляемых на пористом песке, а при объемном весе крупного заполнителя до 700 кг/м3 включительно и на кварцевом песке, значение коэффициента где (6.8)Для прямоугольных сечений, имеющих арматуру A', в формулу (6.7) вместо величины Расчетную ширину полки Относительную высоту сжатой зоны бетона но не более 1, где (6.10) |

e1 - абсолютная величина эксцентриситета продольной силы (включая и силу обжатия) относительно центра тяжести арматуры растянутой зоны, соответствующая изгибающему моменту Mз; |
(6.12)Для последнего слагаемого в правой части формулы (6.9) верхние знаки принимают при сжимающем усилии Nс, нижние знаки - при растягивающем усилии Nс. При длительном действии нагрузки допускается принимать значение Если значение x оказывается менее толщины полки |
ИС МЕГАНОРМ: примечание. Формула дана в соответствии с официальным текстом документа. |
то величины ![]() ![]() |
При применении продольной арматуры A, располагаемой в несколько рядов по высоте растянутой зоны изгибаемых, внецентренно сжатых и внецентренно растянутых элементов с эксцентриситетом e0 > 0,8h0, деформации определяются в предположении, что все стержни сосредоточены на уровне центра тяжести арматуры A. а) для изгибаемых элементов, выполняемых без предварительного напряжения, т.е. в формуле (6.3): б) для остальных случаев, т.е. в формуле (6.4): при этом в обоих случаях коэффициент -------------------------------- В формуле (6.14) принято обозначение: Mб.т - момент относительно оси, нормальной к плоскости изгиба и проходящей через точку приложения равнодействующей усилий в сжатой зоне сечения, воспринимаемый сечением без учета арматуры растянутой зоны непосредственно перед появлением трещин; значение Mб.т определяют по формуле где Wб.т - момент сопротивления приведенного сечения, определяемый с учетом неупругих деформаций бетона в соответствии с указаниями п. 5.9 без учета арматуры, расположенной в зоне, растянутой от внешней нагрузки. Отношение (6.17)но не более 1. Mс определяется в той стадии, для которой определяют деформации, а |
При вычислении величины m коэффициент точности натяжения mт принимают по п. 3.4 "а", как при расчете по образованию трещин в стадии эксплуатации. |
В формулах (6.14) и (6.15) принято обозначение: s - коэффициент, характеризующий профиль арматурных стержней и длительность нагрузки, принимаемый равным: а) при кратковременном действии нагрузки для стержней периодического профиля s = 1,1; для гладких стержней s = 1,0; б) при длительном действии нагрузки s = 0,8 независимо от профиля арматурных стержней. |
6.10 (9.8). Полную величину деформаций элементов, перечисленных в п. 6.5, включая деформации от длительного действия части нагрузки, определяют по формуле где f1 - деформация от кратковременного действия всей нагрузки; f2 - начальная (кратковременная) деформация от длительно действующей части нагрузки; f3 - полная (длительная) деформация от длительно действующей части нагрузки. Величины f1, f2 и f3 находят по значениям кривизн и жесткостей, определяемых согласно указаниям пп. 6.6 - 6.9; при этом величины f1 и f2 вычисляют при значениях 6.11 (9.6). Для элементов постоянного сечения, имеющих трещины в бетоне, на каждом участке, в пределах которого изгибающий момент не меняет знака, кривизна |


- кривизна элемента в середине пролета, определенная как для сплошного упругого тела, от нагрузки, при которой определяется прогиб; при длительном действии этой нагрузки кривизна
- кривизна элемента, определенная как для сплошного упругого тела, от длительного действия предварительного обжатия; величину Bк определяют по формуле (6.1).
(6.30)
; в последнем случае погрешность при определении деформаций может составлять +/- 15%;
.
ИС МЕГАНОРМ: примечание. Формула дана в соответствии с официальным текстом документа. |
6.15 (9.8). Для элементов, в которых при предварительном обжатии могут возникнуть трещины, т.е. не выполняется условие (5.8), значения кривизны, определенные в соответствии с формулой (6.4), на участках с трещинами от предварительного обжатия следует увеличивать на 15%. Допускается не увеличивать расчетные значения кривизн для предварительно напряженных элементов таврового сечения с полкой в сжатой зоне. 6.16 (9.9). Для элементов, указанных в п. 6.5, имеющих тавровое или двутавровое сечение с постоянной по длине пролета высотой, при отношении высоты к пролету |
6.18 (9.8). При определении деформаций пустотных настилов к величине f, определяемой по формуле (6.23), следует вводить коэффициент 0,8, за исключением случаев, когда деформации пустотных настилов определяются с учетом отсутствия трещин на приопорных участках (см. п. 6.12 "б", "г"). При толщине железобетонных элементов менее 16 см значения подсчитанных по формуле (6.23) прогибов умножаются на коэффициент |

(6.38)
(6.41)
(6.44)
, h = 30 см, h0 = 26,9 см,
,
; бетон марки 200 (Eб = 2,65·105 кг/см2,
,
); рабочая арматура A из горячекатаной стали класса А-II (Eа = 2,1·106 кг/см2), площадь ее сечения Fа = 3,8 см2
; нормативная равномерно распределенная нагрузка на плиту qн = 875 кг/м; длительно действующая часть нагрузки на плиту
; расчетный пролет плиты l = 5,7 м; помещение, перекрываемое плитой, с нормальным влажностным режимом.






и
коэффициент p равен:
;


(табл. 1.1),
,
); арматура из горячекатаной стали класса А-III (Eа=20·105 кг/см2); эпюра моментов от равномерно распределенной длительно действующей нормативной нагрузки по рис. 6.6; пролет ригеля 4,9 м; влажностный режим помещения нормальный.
.
.


;
;


;
.




(см. табл. 1.1), т.е. прогиб ригеля меньше допустимого.ИС МЕГАНОРМ: примечание. Обозначения даны в соответствии с официальным текстом документа. |
,
, Rт = 14,5 кг/см2; предварительно напряженная арматура из стали класса А-IIIв; ненапрягаемая арматура из горячекатаной стали класса А-III; площадь сечения арматуры A: предварительно напряженной - Fн = 4,91 см2
, ненапрягаемой - Fа = 0,785 см2 















.
, как при длительном действии нагрузки






,
); продольная арматура из горячекатаной стали класса А-III - симметричная ненапряженная с площадью сечения
; длина стойки 5,4 м; оба конца стойки приняты жестко защемленными; эпюра изгибающих моментов в стойке от температурных воздействий дана на рис. 6.8; продольная осевая сжимающая сила в стойке N = 100 т.





.






, тогда
,







.
, N0 = 0 и
(принимаем длительное действие нагрузки)


.




Характер действия нагрузки | m | 0,2 | 0,3 | 0,4 | 0,5 | 0,6 | 0,7 | 0,8 | 0,9 | 1 |
Характер профиля стержней рабочей арматуры | ||||||||||
Кратковременное действие | Периодический профиль | 0,92 | 0,82 | 0,72 | 0,62 | 0,52 | 0,43 | 0,34 | 0,26 | 0,2 |
Гладкий профиль | 0,94 | 0,85 | 0,76 | 0,67 | 0,58 | 0,5 | 0,42 | 0,35 | 0,3 | |
Длительное действие | Любой профиль | 0,98 | 0,91 | 0,84 | 0,77 | 0,7 | 0,64 | 0,58 | 0,53 | 0,5 |
0,04 | 0,07 | 0,1 | 0,15 | 0,2 | 0,25 | 0,3 | ||
L | ||||||||
0 | 0,04 | 0,037 -------- 0,018 | 0,056 -------- 0,026 | 0,071 -------- 0,032 | 0,091 -------- 0,038 | 0,106 -------- 0,043 | - | - |
0,06 | 0,029 -------- 0,016 | 0,046 -------- 0,024 | 0,059 -------- 0,03 | 0,078 -------- 0,036 | 0,092 -------- 0,041 | - | - | |
0,08 | 0,027 -------- 0,015 | 0,042 -------- 0,023 | 0,054 -------- 0,029 | 0,072 -------- 0,035 | 0,086 -------- 0,04 | - | - | |
0,1 | 0,026 -------- 0,015 | 0,041 -------- 0,023 | 0,053 -------- 0,028 | 0,07 -------- 0,035 | 0,084 -------- 0,040 | - | - | |
0,15 | - | 0,04 -------- 0,022 | 0,052 -------- 0,027 | 0,069 -------- 0,034 | 0,083 -------- 0,039 | - | - | |
0,2 | - | 0,039 -------- 0,021 | 0,052 -------- 0,026 | 0,068 -------- 0,033 | 0,082 -------- 0,038 | - | - | |
0,2 | 0,06 | 0,046 -------- 0,026 | 0,069 -------- 0,035 | 0,087 -------- 0,043 | 0,111 -------- 0,051 | 0,131 -------- 0,057 | 0,148 -------- 0,062 | 0,162 -------- 0,066 |
0,08 | 0,036 -------- 0,023 | 0,058 -------- 0,032 | 0,075 -------- 0,04 | 0,097 -------- 0,048 | 0,116 -------- 0,54 | 0,132 -------- 0,059 | 0,146 -------- 0,063 | |
0,1 | 0,034 -------- 0,022 | 0,053 -------- 0,032 | 0,068 -------- 0,039 | 0,09 -------- 0,047 | 0,108 -------- 0,053 | 0,124 -------- 0,058 | 0,138 -------- 0,062 | |
0,15 | - | 0,049 -------- 0,031 | 0,063 -------- 0,038 | 0,085 -------- 0,046 | 0,102 -------- 0,052 | 0,117 -------- 0,057 | 0,131 -------- 0,061 | |
0,2 | - | 0,049 -------- 0,03 | 0,063 -------- 0,037 | 0,084 -------- 0,045 | 0,101 -------- 0,051 | 0,116 -------- 0,056 | 0,13 -------- 0,06 | |
0,3 | - | - | 0,063 -------- 0,036 | 0,084 -------- 0,044 | 0,101 -------- 0,05 | 0,115 -------- 0,054 | 0,13 -------- 0,058 | |
0,4 | 0,06 | 0,059 -------- 0,032 | 0,089 -------- 0,045 | 0,112 -------- 0,054 | 0,143 -------- 0,065 | 0,166 -------- 0,072 | 0,188 -------- 0,078 | 0,206 -------- 0,083 |
0,08 | 0,044 -------- 0,028 | 0,07 -------- 0,041 | 0,09 -------- 0,049 | 0,119 -------- 0,06 | 0,14 -------- 0,067 | 0,161 -------- 0,074 | 0,178 -------- 0,079 | |
0,1 | 0,039 -------- 0,026 | 0,062 -------- 0,038 | 0,081 -------- 0,047 | 0,112 -------- 0,058 | 0,129 -------- 0,066 | 0,148 -------- 0,072 | 0,165 -------- 0,077 | |
0,15 | - | 0,054 -------- 0,037 | 0,072 -------- 0,046 | 0,096 -------- 0,057 | 0,118 -------- 0,065 | 0,135 -------- 0,07 | 0,152 -------- 0,075 | |
0,2 | - | 0,053 -------- 0,037 | 0,071 -------- 0,045 | 0,096 -------- 0,056 | 0,117 -------- 0,065 | 0,135 -------- 0,07 | 0,15 -------- 0,075 | |
0,4 | - | - | - | 0,095 -------- 0,055 | 0,116 -------- 0,063 | 0,134 -------- 0,068 | 0,15 -------- 0,073 |
0,04 | 0,07 | 0,1 | 0,15 | 0,2 | 0,25 | 0,3 | 0,4 | 0,5 | ||
L | ||||||||||
0,6 | 0,06 | 0,067 -------- 0,037 | 0,102 -------- 0,052 | 0,129 -------- 0,069 | 0,162 -------- 0,076 | 0,189 -------- 0,084 | 0,218 -------- 0,093 | 0,241 -------- 0,099 | 0,276 -------- 0,109 | - |
0,08 | 0,049 -------- 0,032 | 0,077 -------- 0,047 | 0,101 -------- 0,057 | 0,13 -------- 0,069 | 0,156 -------- 0,078 | 0,182 -------- 0,087 | 0,203 -------- 0,094 | 0,237 -------- 0,104 | - | |
0,1 | 0,042 -------- 0,029 | 0,067 -------- 0,044 | 0,089 -------- 0,054 | 0,117 -------- 0,065 | 0,141 -------- 0,075 | 0,166 -------- 0,084 | 0,186 -------- 0,091 | 0,22 -------- 0,101 | - | |
0,15 | - | 0,058 -------- 0,042 | 0,078 -------- 0,053 | 0,103 -------- 0,064 | 0,127 -------- 0,073 | 0,151 -------- 0,083 | 0,169 -------- 0,088 | 0,201 -------- 0,099 | - | |
0,2 | - | 0,056 -------- 0,042 | 0,076 -------- 0,052 | 0,101 -------- 0,063 | 0,124 -------- 0,073 | 0,148 -------- 0,083 | 0,166 -------- 0,088 | 0,198 -------- 0,098 | - | |
0,4 | - | - | - | 0,101 -------- 0,063 | 0,124 -------- 0,072 | 0,148 -------- 0,082 | 0,166 -------- 0,088 | 0,197 -------- 0,098 | - | |
0,8 | 0,06 | 0,074 -------- 0,04 | 0,114 -------- 0,058 | 0,147 -------- 0,071 | 0,19 -------- 0,087 | 0,222 -------- 0,098 | 0,249 -------- 0,106 | 0,273 -------- 0,114 | 0,316 -------- 0,125 | 0,348 -------- 0,134 |
0,08 | 0,052 -------- 0,034 | 0,083 -------- 0,052 | 0,11 -------- 0,064 | 0,148 -------- 0,08 | 0,178 -------- 0,092 | 0,204 -------- 0,1 | 0,225 -------- 0,107 | 0,266 -------- 0,119 | 0,298 -------- 0,128 | |
0,1 | 0,044 -------- 0,031 | 0,072 -------- 0,048 | 0,096 -------- 0,06 | 0,131 -------- 0,075 | 0,159 -------- 0,087 | 0,183 -------- 0,096 | 0,204 -------- 0,103 | 0,243 -------- 0,115 | 0,275 -------- 0,124 | |
0,15 | - | 0,061 -------- 0,045 | 0,082 -------- 0,058 | 0,113 -------- 0,073 | 0,14 -------- 0,084 | 0,163 -------- 0,093 | 0,184 -------- 0,1 | 0,219 -------- 0,112 | 0,251 -------- 0,122 | |
0,2 | - | 0,058 -------- 0,045 | 0,079 -------- 0,058 | 0,109 -------- 0,073 | 0,136 -------- 0,084 | 0,159 -------- 0,093 | 0,179 -------- 0,1 | 0,215 -------- 0,111 | 0,246 -------- 0,121 | |
0,4 | - | - | - | 0,109 -------- 0,072 | 0,136 -------- 0,083 | 0,159 -------- 0,091 | 0,179 -------- 0,099 | 0,215 -------- 0,111 | 0,246 -------- 0,12 | |
1 | 0,08 | 0,054 -------- 0,036 | 0,087 -------- 0,055 | 0,116 -------- 0,069 | 0,167 -------- 0,087 | 0,192 -------- 0,101 | 0,219 -------- 0,112 | 0,246 -------- 0,12 | 0,288 -------- 0,133 | 0,326 -------- 0,144 |
0,1 | 0,046 -------- 0,033 | 0,075 -------- 0,051 | 0,1 -------- 0,065 | 0,138 -------- 0,082 | 0,17 -------- 0,096 | 0,197 -------- 0,107 | 0,221 -------- 0,115 | 0,262 -------- 0,128 | 0,299 -------- 0,139 | |
0,15 | - | 0,062 -------- 0,048 | 0,085 -------- 0,062 | 0,117 -------- 0,079 | 0,147 -------- 0,092 | 0,172 -------- 0,103 | 0,195 -------- 0,112 | 0,234 -------- 0,125 | 0,27 -------- 0,136 | |
0,2 | - | 0,06 -------- 0,048 | 0,082 -------- 0,062 | 0,114 -------- 0,079 | 0,143 -------- 0,092 | 0,168 -------- 0,102 | 0,19 -------- 0,112 | 0,229 -------- 0,125 | 0,263 -------- 0,135 | |
0,4 | - | - | - | 0,114 -------- 0,079 | 0,143 -------- 0,092 | 0,168 -------- 0,102 | 0,19 -------- 0,111 | 0,229 -------- 0,124 | 0,262 -------- 0,135 | |
0,6 | - | - | - | - | - | - | 0,189 -------- 0,111 | 0,229 -------- 0,124 | 0,262 -------- 0,134 |

0,04 | 0,07 | 0,1 | 0,15 | 0,2 | 0,04 | 0,07 | 0,1 | 0,15 | 0,2 | ||||
L | L | ||||||||||||
0 | 0,06 | 0,029 ------- 0,016 | 0,046 ------- 0,024 | 0,059 ------- 0,03 | 0,078 ------- 0,036 | 0,092 ------- 0,041 | 0,8 | 0,06 | 0,054 ------- 0,02 | 0,079 ------- 0,028 | 0,097 ------- 0,034 | 0,119 ------- 0,041 | 0,134 ------- 0,045 |
0,08 | 0,027 ------- 0,015 | 0,042 ------- 0,023 | 0,054 ------- 0,029 | 0,072 ------- 0,035 | 0,086 ------- 0,04 | 0,08 | 0,038 ------- 0,018 | 0,059 ------- 0,026 | 0,074 ------- 0,031 | 0,095 ------- 0,038 | 0,11 ------- 0,043 | ||
0,1 | 0,026 ------- 0,015 | 0,041 ------- 0,023 | 0,053 ------- 0,028 | 0,07 ------- 0,035 | 0,084 ------- 0,04 | 0,1 | 0,033 ------- 0,037 | 0,05 ------- 0,024 | 0,065 ------- 0,030 | 0,084 ------- 0,036 | 0,099 ------- 0,041 | ||
0,15 | - | 0,04 ------- 0,022 | 0,052 ------- 0,027 | 0,069 ------- 0,034 | 0,083 ------- 0,039 | 0,15 | - | 0,043 ------- 0,022 | 0,056 ------- 0,027 | 0,073 ------- 0,034 | 0,087 ------- 0,039 | ||
0,2 | - | 0,039 ------- 0,021 | 0,052 ------- 0,026 | 0,068 ------- 0,033 | 0,082 ------- 0,038 | 0,2 | - | 0,039 ------- 0,021 | 0,052 ------- 0,026 | 0,068 ------- 0,033 | 0,082 ------- 0,038 | ||
0,4 | 0,06 | 0,04 ------- 0,018 | 0,06 ------- 0,026 | 0,076 ------- 0,032 | 0,097 ------- 0,039 | 0,112 ------- 0,043 | 1 | 0,08 | 0,047 ------- 0,019 | 0,071 ------- 0,027 | 0,088 ------- 0,033 | 0,11 ------- 0,04 | 0,125 ------- 0,044 |
0,08 | 0,033 ------- 0,017 | 0,05 ------- 0,025 | 0,065 ------- 0,03 | 0,083 ------- 0,037 | 0,098 ------- 0,041 | 0,1 | 0,038 ------- 0,017 | 0,057 ------- 0,025 | 0,073 ------- 0,031 | 0,093 ------- 0,037 | 0,108 ------- 0,042 | ||
0,1 | 0,029 ------- 0,016 | 0,046 ------- 0,028 | 0,059 ------- 0,029 | 0,077 ------- 0,035 | 0,091 ------- 0,04 | 0,15 | - | 0,046 ------- 0,023 | 0,059 ------- 0,028 | 0,077 ------- 0,034 | 0,092 ------- 0,039 | ||
0,15 | - | 0,04 ------- 0,022 | 0,052 ------- 0,027 | 0,069 ------- 0,034 | 0,083 ------- 0,039 | 0,2 | - | 0,041 ------- 0,021 | 0,054 ------- 0,026 | 0,071 ------- 0,033 | 0,085 ------- 0,038 | ||
0,2 | - | 0,039 ------- 0,021 | 0,052 ------- 0,026 | 0,068 ------- 0,033 | 0,082 ------- 0,038 | - | - | - | - | - | - |

Схемы загружения консоли | S | Схемы загружения свободно опертой балки | S |
![]() | ![]() | ||
![]() | ![]() | ||
![]() | ![]() | ![]() |
, где S1; M1; S2; M2 и т.д. - коэффициент S и наибольший изгибающий момент для каждой схемы загружения.Вид нагрузки | ![]() | ![]() | ![]() | |||||||||
m1 | m2 | m3 | m1 | m2 | m3 | m1 | m2 | m3 | ||||
a = 0,25 | a = 0,35 | a = 0,25 | a = 0,35 | a = 0,25 | a = 0,35 | |||||||
1 | 0 | 0,104 | 0,125 | 0 | 0,083 | 0,125 | 0 | 0 | 0,099 | 0,096 | 0,125 | 0,125 |
0,98 | 0,033 | 0,072 | 0,107 | 0,005 | 0,078 | 0,12 | 0,01 | 0,012 | 0,088 | 0,084 | 0,115 | 0,113 |
0,96 | 0,044 | 0,061 | 0,1 | 0,01 | 0,074 | 0,115 | 0,019 | 0,022 | 0,08 | 0,073 | 0,106 | 0,102 |
0,94 | 0,053 | 0,053 | 0,094 | 0,014 | 0,069 | 0,11 | 0,027 | 0,032 | 0,072 | 0,063 | 0,097 | 0,092 |
0,92 | 0,059 | 0,047 | 0,09 | 0,018 | 0,065 | 0,106 | 0,035 | 0,042 | 0,064 | 0,054 | 0,088 | 0,082 |
0,9 | 0,064 | 0,042 | 0,085 | 0,023 | 0,061 | 0,101 | 0,043 | 0,05 | 0,056 | 0,045 | 0,08 | 0,072 |
0,85 | 0,075 | 0,032 | 0,077 | 0,032 | 0,051 | 0,09 | 0,059 | 0,063 | 0,04 | 0,033 | 0,061 | 0,058 |
0,8 | 0,082 | 0,025 | 0,069 | 0,041 | 0,043 | 0,08 | 0,073 | 0,068 | 0,026 | 0,027 | 0,045 | 0,051 |
0,75 | 0,087 | 0,019 | 0,062 | 0,048 | 0,035 | 0,07 | 0,083 | 0,073 | 0,016 | 0,023 | 0,031 | 0,045 |
0,7 | 0,091 | 0,015 | 0,056 | 0,055 | 0,029 | 0,061 | 0,086 | 0,077 | 0,013 | 0,018 | 0,027 | 0,039 |
0,6 | 0,097 | 0,009 | 0,046 | 0,065 | 0,018 | 0,045 | 0,092 | 0,084 | 0,08 | 0,012 | 0,02 | 0,029 |
0,5 | 0,1 | 0,006 | 0,037 | 0,073 | 0,01 | 0,031 | 0,095 | 0,089 | 0,05 | 0,007 | 0,014 | 0,02 |
0,3 | 0,103 | 0,001 | 0,02 | 0,081 | 0,002 | 0,011 | 0,098 | 0,094 | 0,001 | 0,001 | 0,005 | 0,007 |
0 | 0,104 | 0 | 0 | 0,083 | 0 | 0 | 0,097 | 0,096 | 0 | 0 | 0 | 0 |
0,02 | 0,04 | 0,06 | 0,08 | 0,1 | 0,15 | 0,2 | 0,25 | 0,3 | 0,4 | 0,5 | |
0 | 0,43 | 0,34 | 0,29 | 0,25 | 0,23 | 0,18 | 0,15 | 0,13 | 0,11 | 0,09 | 0,07 |
0,2 | 0,47 | 0,4 | 0,35 | 0,31 | 0,28 | 0,23 | 0,19 | 0,16 | 0,14 | 0,11 | 0,09 |
0,4 | 0,52 | 0,46 | 0,41 | 0,36 | 0,33 | 0,27 | 0,23 | 0,19 | 0,17 | 0,14 | 0,12 |
0,6 | 0,57 | 0,5 | 0,45 | 0,41 | 0,37 | 0,31 | 0,26 | 0,23 | 0,2 | 0,16 | 0,14 |
0,8 | 0,6 | 0,53 | 0,48 | 0,44 | 0,41 | 0,34 | 0,29 | 0,25 | 0,23 | 0,19 | 0,16 |
1 | 0,63 | 0,56 | 0,51 | 0,47 | 0,44 | 0,37 | 0,32 | 0,28 | 0,25 | 0,21 | 0,17 |
1,2 | 0,65 | 0,59 | 0,54 | 0,5 | 0,46 | 0,4 | 0,34 | 0,3 | 0,27 | 0,23 | 0,19 |



(или
)7.1 (10.1). Расчет по раскрытию трещин должен производиться для элементов (или их отдельных зон), указанных в п. 1.25. При этом: а) проверки ширины раскрытия трещин, нормальных к продольной оси элемента (как предварительно напряженного, так и выполняемого без предварительного напряжения), не требуется, если соблюдаются условия раздела 5 (для рассматриваемых сечений); |
б) проверки ширины раскрытия наклонных трещин не требуется, если для предварительно напряженных элементов соблюдается условие (5.42), а для элементов, выполняемых без предварительного напряжения, - условие (4.64); |
7.2 (10.2). Ширина раскрытия трещин aт, нормальных к продольной оси элемента, в центрально растянутых, изгибаемых, внецентренно растянутых при e0 > 0,8h0 и внецентренно сжатых элементах должна определяться по формуле где lт - расстояние между трещинами; а) для конструкций, выполняемых без предварительного напряжения: для центрально растянутых элементов - по формуле (7.2)для изгибаемых элементов - по формуле для внецентренно растянутых при e0 > 0,8h0 и внецентренно сжатых элементов - по формуле б) для предварительно напряженных конструкций: для центрально растянутых элементов - по формуле (7.5)для изгибаемых элементов - по формуле для внецентренно растянутых при e0 > 0,8h0 и внецентренно сжатых элементов - по формуле В формулах (7.4) и (7.7) знак плюс принимается при внецентренном растяжении, а знак минус - при внецентренном сжатии. |
При определении ширины раскрытия трещин в стадии обжатия элемента усилием напрягаемой аппаратуры значения Значения а) для центрально растянутых элементов, выполняемых без предварительного напряжения, при кратковременном действии нагрузки то же, при длительном действии нагрузки где (7.10)б) для центрально растянутых предварительно напряженных элементов 3-й категории трещиностойкости при кратковременном действии нагрузки то же, при длительном действии нагрузки где значение Nт определяется по формуле (5.2) при замене Rт на следует принимать в формулах (7.11) и (7.12) равным 1; при определении в) для изгибаемых, внецентренно растянутых при e0 > 0,8h0 и внецентренно сжатых элементов, выполняемых как без предварительного напряжения, так и с предварительным напряжением арматуры, согласно указаниям п. 6.8. Примечание. Обозначение e0 дано в примечании к п. 6.5. 7.3 (10.3). Расстояние между трещинами lт, подставляемое в формулу (7.1), определяют как при кратковременном, так и при длительном действии нагрузки: а) для центрально растянутых элементов - по формуле б) для изгибаемых, внецентренно растянутых при e0 > 0,8h0 и внецентренно сжатых элементов - по формуле В формулах (7.13) и (7.14) приняты обозначения ![]() где s - периметр сечения арматуры; k1 - коэффициент, определяемый по формуле Wт - момент сопротивления сечения, определяемый согласно указаниям пп. 5.9 или 5.11 с учетом всей арматуры; для стержней периодического профиля ;для гладких горячекатаных стержней для обыкновенной арматурной проволоки, применяемой в сварных каркасах и сетках, .Примечание. Периметр сечения стержней периодического профиля s принимается равным длине окружности, соответствующей номинальному диаметру, без учета выступов и ребер. |
(7.1')
(7.15')
(7.17)где (7.21) (7.22)но не более h0 + 30dмакс; dх и d0 - диаметры стержней соответственно поперечных и отогнутых; dмакс - наибольший из этих диаметров; (7.23) (7.24)Q - наибольшая поперечная сила от нормативной нагрузки на рассматриваемом участке элемента с постоянным насыщением поперечными и наклонными стержнями (рис. 7.1); для стержней периодического профиля - 0,7; для гладких горячекатаных стержней - 1; для обыкновенной арматурной проволоки, применяемой в сварных каркасах и сетках, - 1,25; u0 - расстояния между плоскостями отгибов (наклонных стержней), измеренные по нормали к ним; при разных расстояниях между отгибами (см. рис. 7.1) величина u0 определяется как полусумма расстояний между рассматриваемой плоскостью отгибов и двумя соседними с ней плоскостями отгибов, измеренных по нормали к отгибам: для первой от опоры плоскости отгибов ![]() для второй от опоры плоскости отгибов ![]() для последней (n-й) плоскости отгибов величина u0 принимается равной расстоянию между ней и предыдущей плоскостью отгибов, т.е. u0 = uоn. ![]() железобетонного элемента по раскрытию наклонных трещин а - эпюра насыщения наклонными стержнями; б - эпюра насыщения поперечными стержнями Отгибы могут учитываться в расчете лишь на тех участках, где расстояние от грани опоры до начала первого отгиба (u1), а также расстояния между концом предыдущего и началом следующего отгиба (u2, u3) не превышают 0,2h (см. рис. 7.1). |
Допускается уменьшать величину aт в 1,5 раза против определенной по формуле (7.20), если балка заармирована поперечными стержнями, нормальными к оси элемента, и продольными стержнями того же диаметра и с расстояниями по высоте сечения, равными шагу поперечных стержней. |
(7.27)
(7.29)
, L = 0,13 и
(см. пример 6.2) находим значение коэффициента A = 2,26.
; момент сопротивления Wт = 5700 см3; изгибающий момент M = 5,28 тм; плечо внутренней пары сил z1 = 27,1 см; коэффициент
.


, определяем расстояние между трещинами

. Проверяем условие образования трещин при обжатии (5.8) аналогично примеру 5.3.



находим
.
.
,
; N0(e0 - rн) + Mсв = 18 800(18,3 - 9,95) + 15 000 = 172 000 кгсм > RтWт = 11,8·8230 = 97 000 кгсм, т.е. условие (5.8) не удовлетворяется; в этом случае согласно п. 7.1 расчет по раскрытию трещин обязателен.










.


, определяем
.
.
.
, условие (7.26) удовлетворяется.



0,01 | 0,02 | 0,03 | 0,04 | 0,05 | 0,06 | 0,07 | 0,08 | 0,1 | 0,12 | 0,14 | 0,16 | 0,2 | 0,3 | ||
L | |||||||||||||||
0 | 0,03 | 9,23 ------ 18,25 | 2,4 ------ 4,75 | 1,09 ------ 2,16 | 0,63 ------ 1,24 | 0,41 ------ 0,81 | 0,29 ------ 0,56 | - | - | - | - | - | - | - | - |
0,04 | - | 6 ------ 8,33 | 2,72 ------ 3,79 | 1,56 ------ 2,18 | 1,02 ------ 1,41 | 0,71 ------ 0,99 | 0,53 ------ 0,73 | 0,4 ------ 0,56 | - | - | - | - | - | - | |
0,05 | - | 9,57 ------ 11,89 | 4,35 ------ 5,41 | 2,49 ------ 3,1 | 1,62 ------ 2,01 | 1,13 ------ 1,41 | 0,84 ------ 1,04 | 0,64 ------ 0,8 | 0,41 ------ 0,51 | - | - | - | - | - | |
0,06 | - | 13,11 ------ 15,43 | 5,95 ------ 7,01 | 3,41 ------ 4,01 | 2,21 ------ 2,6 | 1,55 ------ 1,82 | 1,14 ------ 1,34 | 0,88 ------ 1,03 | 0,56 ------ 0,66 | 0,38 ------ 0,45 | - | - | - | - | |
0,08 | - | - | 9,12 ------ 9,92 | 5,22 ------ 5,67 | 3,37 ------ 3,67 | 2,36 ------ 2,56 | 1,74 ------ 1,89 | 1,87 ------ 2,03 | 0,85 ------ 0,92 | 0,58 ------ 0,63 | 0,42 ------ 0,46 | - | - | - | |
0,1 | - | - | - | 6,98 ------ 7,01 | 4,51 ------ 4,53 | 3,16 ------ 3,17 | 2,33 ------ 2,34 | 1,78 ------ 1,79 | 1,13 ------ 1,14 | 0,78 ------ 0,78 | 0,56 ------ 0,56 | 0,42 ------ 0,42 | 0,25 ------ 0,25 | - | |
0,15 | - | - | - | - | 6,63 ------ 6,63 | 4,62 ------ 4,62 | 3,4 ------ 3,4 | 2,61 ------ 2,61 | 1,65 ------ 1,65 | 1,13 ------ 1,13 | 0,81 ------ 0,81 | 0,61 ------ 0,61 | 0,36 ------ 0,36 | - | |
0,2 | - | - | - | - | - | - | 4,43 ------ 4,43 | 3,39 ------ 3,39 | 2,15 ------ 2,15 | 1,47 ------ 1,47 | 1,06 ------ 1,06 | 0,79 ------ 0,79 | 0,47 ------ 0,47 | - | |
0,3 | - | - | - | - | - | - | - | - | 3,08 ------ 3,08 | 2,1 ------ 2,1 | 1,5 ------ 1,5 | 1,12 ------ 1,12 | 0,67 ------ 0,67 | 0,22 ------ 0,22 | |
0,4 | - | - | - | - | - | - | - | - | - | - | 1,93 ------ 1,93 | 1,43 ------ 1,43 | 0,84 ------ 0,84 | 0,28 ------ 0,28 | |
0,2 | 0,03 | 7,22 ------ 18,05 | 1,84 ------ 4,6 | 0,83 ------ 2,08 | 0,47 ------ 1,19 | 0,31 ------ 0,76 | 0,21 ------ 0,54 | - | - | - | - | - | - | - | - |
0,04 | - | 5,21 ------ 8,15 | 2,35 ------ 3,67 | 1,34 ------ 2,1 | 0,86 ------ 1,35 | 0,61 ------ 0,95 | 0,45 ------ 0,7 | 0,34 ------ 0,54 | - | - | - | - | - | - | |
0,05 | - | 9,18 ------ 12,11 | 4,2 ------ 5,54 | 2,36 ------ 3,11 | 1,52 ------ 2 | 1,07 ------ 1,41 | 0,79 ------ 1,04 | 0,6 ------ 0,79 | 0,38 ------ 0,5 | - | - | - | - | - | |
0,06 | - | 13,12 ------ 16,05 | 5,91 ------ 7,23 | 3,37 ------ 4,12 | 2,17 ------ 2,65 | 1,53 ------ 1,87 | 1,13 ------ 1,38 | 0,86 ------ 1,05 | 0,54 ------ 0,67 | 0,37 ------ 0,45 | - | - | - | - | |
0,08 | - | - | 9,45 ------ 10,77 | 5,38 ------ 6,13 | 3,46 ------ 3,94 | 2,43 ------ 2,77 | 1,79 ------ 2,04 | 1,38 ------ 1,57 | 0,87 ------ 0,99 | 0,59 ------ 0,68 | 0,43 ------ 0,49 | - | - | - | |
0,1 | - | - | - | 7,37 ------ 7,76 | 4,74 ------ 4,99 | 3,33 ------ 3,5 | 2,45 ------ 2,58 | 1,89 ------ 1,99 | 1,19 ------ 1,25 | 0,81 ------ 0,86 | 0,59 ------ 0,62 | 0,44 ------ 0,46 | 0,27 ------ 0,28 | - | |
0,15 | - | - | - | - | 7,39 ------ 7,39 | 5,18 ------ 5,18 | 3,81 ------ 3,81 | 2,93 ------ 2,93 | 1,86 ------ 1,86 | 1,27 ------ 1,27 | 0,91 ------ 0,91 | 0,68 ------ 0,68 | 0,41 ------ 0,41 | - | |
0,2 | - | - | - | - | - | - | 5,03 ------ 5,03 | 3,85 ------ 3,85 | 2,46 ------ 2,46 | 1,67 ------ 1,67 | 1,2 ------ 1,2 | 0,9 ------ 0,9 | 0,55 ------ 0,55 | - | |
0,3 | - | - | - | - | - | - | - | - | 3,6 ------ 3,6 | 2,47 ------ 2,47 | 1,77 ------ 1,77 | 1,32 ------ 1,32 | 0,79 ------ 0,79 | 0,29 ------ 0,29 | |
0,4 | - | - | - | - | - | - | - | - | - | - | 2,32 ------ 2,32 | 1,73 ------ 1,73 | 1,04 ------ 1,04 | 0,38 ------ 0,38 | |
0,4 | 0,03 | 7,67 ------- 19,18 | 1,95 ------ 4,86 | 0,87 ------ 2,18 | 0,5 ------ 1,24 | 0,32 ------ 0,8 | 0,22 ------ 0,59 | - | - | - | - | - | - | - | - |
0,04 | - | 4,66 ------ 8 | 2,09 ------ 3,59 | 1,19 ------ 2,04 | 0,77 ------ 1,31 | 0,54 ------ 0,92 | 0,4 ------ 0,68 | 0,3 ------ 0,52 | - | - | - | - | - | - | |
0,05 | - | 8,86 ------ 12,2 | 3,98 ------ 5,48 | 2,26 ------ 3,11 | 1,5 ----- 2 | 1,02 ------ 1,4 | 0,75 ------ 1,03 | 0,58 ------ 0,79 | 0,37 ------ 0,51 | - | - | - | - | - | |
0,06 | - | 13,07 ------ 16,4 | 5,86 ------ 7,36 | 3,32 ------ 4,17 | 2,14 ------ 2,69 | 1,5 ------ 1,88 | 1,11 ----- 1,39 | 0,85 ------ 1,07 | 0,55 ------ 0,69 | 0,37 ------ 0,47 | - | - | - | - | |
0,08 | - | - | 9,61 ------ 11,1 | 5,45 ------ 6,29 | 3,51 ------ 4,06 | 2,45 ------ 2,83 | 1,81 ------ 2,09 | 1,39 ------ 1,6 | 0,9 ------ 1,04 | 0,61 ------ 0,71 | 0,44 ------ 0,51 | - | - | - | |
0,1 | - | - | - | 7,57 ------ 8,19 | 4,87 ------ 5,27 | 3,4 ------ 3,68 | 2,51 ------ 2,72 | 1,92 ------ 2,08 | 1,24 ------ 1,34 | 0,85 ------ 0,92 | 0,61 ------ 0,66 | 0,46 ------ 0,5 | 0,28 ------ 0,3 | - | |
0,15 | - | - | - | - | 7,85 ------ 7,85 | 5,47 ------ 5,47 | 4,03 ------ 4,03 | 3,09 ------ 3,09 | 1,98 ------ 1,98 | 1,38 ------ 1,38 | 0,99 ------ 0,99 | 0,74 ------ 0,74 | 0,45 ------ 0,45 | - | |
0,2 | - | - | - | - | - | - | 5,34 ------ 5,34 | 4,09 ------ 4,09 | 2,62 ------ 2,62 | 1,83 ------ 1,83 | 1,31 ------ 1,31 | 0,98 ------ 0,98 | 0,6 ------ 0,6 | - | |
0,3 | - | - | - | - | - | - | - | - | 3,85 ------ 3,85 | 2,67 ------ 2,67 | 1,95 ------ 1,95 | 1,46 ------ 1,46 | 0,89 ------ 0,89 | 0,34 ------ 0,34 | |
0,4 | - | - | - | - | - | - | - | - | - | - | 2,54 ------ 2,54 | 1,88 ------ 1,88 | 1,17 ------ 1,17 | 0,44 ------ 0,44 | |
1 | 0,03 | 8,35 ------ 20,89 | 2,1 ------ 5,24 | 0,93 ------ 2,33 | 0,53 ------ 1,32 | 0,34 ------ 0,84 | 0,23 ------ 0,59 | - | - | - | - | - | - | - | - |
0,04 | - | 3,6 ------ 7,62 | 1,6 ------ 3,39 | 0,9 ------ 1,91 | 0,58 ------ 1,23 | 0,4 ------ 0,85 | 0,3 ------ 0,63 | 0,23 ------ 0,48 | - | - | - | - | - | - | |
0,05 | - | 8,13 ------ 12,15 | 3,62 ------ 5,41 | 2,04 ------ 3,05 | 1,31 ------ 1,96 | 0,91 ------ 1,36 | 0,67 ------ 1 | 0,51 ------ 0,77 | 0,33 ------ 0,49 | - | - | - | - | - | |
0,06 | - | 12,67 ------ 16,69 | 5,65 ------ 7,43 | 3,18 ------ 4,19 | 2,04 ------ 2,69 | 1,42 ------ 1,87 | 1,04 ------ 1,37 | 0,8 ------ 1,05 | 0,51 ------ 0,67 | 0,36 ------ 0,47 | - | - | - | - | |
0,08 | - | - | 9,68 ------ 11,47 | 5,45 ------ 6,46 | 3,5 ------ 4,14 | 2,43 ------ 2,88 | 1,79 ------ 2,12 | 1,37 ------ 1,62 | 0,88 ------ 1,04 | 0,61 ------ 0,72 | 0,47 ------ 0,53 | - | - | - | |
0,1 | - | - | - | 7,73 ------ 8,73 | 4,95 ------ 5,6 | 3,44 ------ 3,89 | 2,53 ------ 2,86 | 1,94 ------ 2,19 | 1,24 ------ 1,4 | 0,86 ------ 0,97 | 0,63 ------ 0,71 | 0,48 ------ 0,54 | 0,31 ------ 0,35 | - | |
0,15 | - | - | - | - | 8,39 ------ 8,39 | 5,83 ------ 5,83 | 4,29 ------ 4,29 | 3,28 ------ 3,28 | 2,1 ------ 2,1 | 1,46 ------ 1,46 | 1,07 ------ 1,07 | 0,81 ------ 0,81 | 0,52 ------ 0,52 | - | |
0,2 | - | - | - | - | - | - | 5,7 ------ 5,7 | 4,36 ------ 4,36 | 2,79 ------ 2,79 | 2,43 ------ 2,43 | 1,41 ------ 1,41 | 1,08 ------ 1,08 | 0,68 ------ 0,68 | - | |
0,3 | - | - | - | - | - | - | - | - | 4,15 ------ 4,15 | 2,88 ------ 2,88 | 2,1 ------ 2,1 | 1,6 ------ 1,6 | 1,01 ------ 1,01 | 0,41 ------ 0,41 | |
0,4 | - | - | - | - | - | - | - | - | - | 2,77 ------ 2,77 | 2,11 ------ 2,11 | 1,33 ------ 1,33 | 0,55 ------ 0,55 |

0,02 | 0,03 | 0,04 | 0,05 | 0,06 | 0,07 | 0,08 | 0,1 | 0,12 | 0,14 | 0,16 | 0,2 | ||
L | |||||||||||||
0,2 | 0,04 | 4,19 ------ 8,42 | 2,88 ------ 5,79 | 1,11 ------ 2,22 | 0,72 ------ 1,45 | 0,51 ------ 1,02 | 0,38 ------ 0,76 | 0,29 ------ 0,58 | - | - | - | - | - |
0,05 | 9,06 ------ 13,27 | 4,15 ------ 6,07 | 2,39 ------ 3,5 | 1,55 ------ 2,28 | 1,09 ------ 1,6 | 0,81 ------ 1,19 | 0,63 ------ 0,92 | 0,4 ------ 0,59 | - | - | - | - | |
0,06 | 13,9 ------ 18,1 | 6,35 ------ 8,27 | 3,65 ------ 4,75 | 2,38 ------ 3,1 | 1,67 ------ 2,18 | 1,24 ------ 1,62 | 0,96 ------ 1,24 | 0,62 ------ 0,8 | 0,43 ------ 0,55 | - | - | - | |
0,08 | - | 10,7 ------ 12,6 | 6,15 ------ 7,24 | 4 ------ 4,7 | 2,81 ------ 3,31 | 2,08 ------ 2,45 | 1,6 ------ 1,89 | 1,03 ------ 1,22 | 0,71 ------ 0,84 | 0,52 ------ 0,61 | - | - | |
0,1 | - | - | 8,59 ------ 9,64 | 5,58 ------ 6,26 | 3,92 ------ 4,4 | 2,91 ------ 3,26 | 2,24 ------ 2,51 | 1,44 ------ 1,61 | 1 ------ 1,12 | 0,73 ------ 0,81 | 0,55 ------ 0,62 | 0,34 ------ 0,38 | |
0,15 | - | - | - | 9,17 ------ 9,17 | 6,43 ------ 6,43 | 4,75 ------ 4,75 | 3,66 ------ 3,66 | 2,35 ------ 2,35 | 1,62 ------ 1,62 | 1,18 ------ 1,18 | 0,89 ------ 0,89 | 0,55 ------ 0,55 | |
0,2 | - | - | - | - | - | 6,2 ------ 6,2 | 4,76 ------ 4,76 | 3,05 ------ 3,05 | 2,11 ------ 2,11 | 1,54 ------ 1,54 | 1,16 ------ 1,16 | 0,71 ------ 0,71 | |
0,4 | 0,04 | 3,84 ------ 9,59 | 2,65 ------ 6,62 | 1,02 ------ 2,55 | 0,67 ------ 1,66 | 0,47 ------ 1,18 | 0,35 ------ 0,87 | 0,27 ------ 0,67 | - | - | - | - | - |
0,05 | 6,4 ------ 13,18 | 2,94 ------ 6,05 | 1,67 ------ 3,49 | 1,11 ------ 2,28 | 0,78 ------ 1,61 | 0,58 ------ 1,2 | 0,45 ------ 0,92 | 0,29 ------ 0,6 | - | - | - | - | |
0,06 | 12,57 ------ 19,33 | 5,76 ------ 8,86 | 3,32 ------ 5,11 | 2,17 ------ 3,33 | 1,53 ------ 2,33 | 1,14 ------ 1,75 | 0,88 ------ 1,35 | 0,57 ------ 0,87 | 0,4 ------ 0,61 | - | - | - | |
0,08 | - | 11,33 ------ 14,4 | 6,53 ------ 8,3 | 4,25 ------ 5,4 | 3 ------ 3,81 | 2,23 ------ 2,83 | 1,72 ------ 2,19 | 1,11 ------ 1,41 | 0,78 ------ 0,99 | 0,57 ------ 0,72 | - | - | |
0,1 | - | - | 9,96 ------ 11,41 | 5,54 ------ 6,55 | 4,43 ------ 5,24 | 3,29 ------ 3,89 | 2,54 ------ 3 | 1,64 ------ 1,94 | 1,15 ------ 1,35 | 0,84 ------ 0,99 | 0,64 ------ 0,75 | 0,4 ------ 0,47 | |
0,15 | - | - | - | 11,24 ------ 11,24 | 7,91 ------ 7,91 | 5,85 ------ 5,85 | 4,52 ------ 4,52 | 2,92 ------ 2,92 | 2,03 ------ 2,03 | 1,49 ------ 1,49 | 1,13 ------ 1,13 | 0,71 ------ 0,71 | |
0,2 | - | - | - | - | - | 7,99 ------ 7,99 | 6,17 ------ 6,17 | 3,97 ------ 3,97 | 2,77 ------ 2,77 | 2,03 ------ 2,03 | 1,54 ------ 1,54 | 0,95 ------ 0,95 | |
0,6 | 0,04 | 4,64 ------ 11,61 | 3,21 ------ 8,02 | 1,24 ------ 3,1 | 0,81 ------ 2,03 | 0,57 ------ 1,43 | 0,43 ------ 1,07 | 0,33 ------ 0,83 | - | - | - | - | - |
0,05 | 5,78 ------ 14,45 | 2,66 ------ 6,65 | 1,54 ------ 3,85 | 1,01 ------ 2,52 | 0,71 ------ 1,78 | 0,53 ------ 1,33 | 0,41 ------ 1,03 | 0,27 ------ 0,67 | - | - | - | - | |
0,06 | 9,05 ------ 18,95 | 4,15 ------ 8,7 | 2,4 ------ 5,03 | 1,57 ------ 3,29 | 1,11 ------ 2,32 | 0,83 ------ 1,73 | 0,64 ------ 1,34 | 0,42 ------ 0,87 | 0,29 ------ 0,61 | - | - | - | |
0,08 | - | 10,93 ------ 15,44 | 6,31 ------ 8,92 | 4,12 ------ 5,82 | 2,91 ------ 4,11 | 2,16 ------ 3,06 | 1,68 ------ 2,37 | 1,09 ------ 1,54 | 0,76 ------ 1,08 | 0,56 ------ 0,79 | - | - | |
0,1 | - | - | 10,14 ------ 12,72 | 6,62 ------ 8,3 | 4,67 ------ 5,86 | 3,48 ------ 4,36 | 2,69 ------ 3,37 | 1,75 ------ 2,19 | 1,22 ------ 1,53 | 0,9 ------ 1,13 | 0,69 ------ 0,86 | 0,43 ------ 0,54 | |
0,15 | - | - | - | 12,68 ------ 14,32 | 8,93 ------ 10,08 | 6,63 ------ 7,48 | 5,13 ------ 5,8 | 3,33 ------ 3,76 | 2,33 ------ 2,63 | 1,71 ------ 1,93 | 1,31 ------ 1,48 | 0,83 ------ 0,93 | |
0,2 | - | - | - | - | - | 9,67 ------ 9,78 | 7,47 ------ 7,56 | 4,84 ------ 4,9 | 3,38 ------ 3,42 | 2,49 ------ 2,52 | 1,9 ------ 1,92 | 1,2 ------ 3,21 | |
1 | 0,04 | 6,25 ------ 15,62 | 4,32 ------ 10,82 | 1,67 ------ 4,18 | 1,1 ------ 2,74 | 0,78 ------ 1,94 | 0,58 ------ 1,45 | 0,45 ------ 1,13 | - | - | - | - | - |
0,05 | 7,77 ------ 19,44 | 3,59 ------ 8,97 | 2,08 ------ 5,2 | 1,36 ------ 3,4 | 0,96 ------ 2,41 | 0,72 ------ 1,8 | 0,56 ------ 1,4 | 0,36 ------ 0,91 | - | - | - | - | |
0,06 | 9,3 ------ 23,25 | 4,28 ------ 10,7 | 2,48 ------ 6,2 | 1,62 ------ 4,06 | 1,15 ------ 2,88 | 0,86 ------ 2,15 | 0,67 ------ 1,67 | 0,43 ------ 1,09 | 0,31 ------ 0,76 | - | - | - | |
0,08 | - | 7,32 ------ 15,45 | 4,23 ------ 8,94 | 2,77 ------ 5,85 | 1,96 ------ 4,14 | 1,46 ------ 3,09 | 1,13 ------ 2,4 | 0,74 ------ 1,56 | 0,52 ------ 1,1 | 0,38 ------ 0,81 | - | - | |
0,1 | - | - | 9,46 ------ 14,11 | 6,18 ------ 9,23 | 4,37 ------ 6,53 | 3,27 ------ 4,87 | 2,53 ------ 3,78 | 1,65 ------ 2,46 | 1,16 ------ 1,73 | 0,86 ------ 1,28 | 0,66 ------ 0,98 | 0,42 ------ 0,63 | |
0,15 | - | - | - | 14,46 ------ 17,44 | 10,21 ------ 12,31 | 7,6 ------ 9,16 | 5,9 ------ 7,11 | 3,84 ------ 4,63 | 2,7 ------ 3,25 | 1,99 ------ 2,41 | 1,53 ------ 1,85 | 0,98 ------ 1,18 | |
0,2 | - | - | - | - | - | 11,78 ------ 13,31 | 9,12 ------ 10,31 | 5,94 ------ 6,71 | 4,17 ------ 4,71 | 3,08 ------ 3,49 | 2,37 ------ 2,68 | 1,51 ------ 1,71 |

Марка бетона | 200 | 300 | |
Вид стали рабочей арматуры | |||
Обыкновенная арматурная проволока | 5,76 | 5,89 | |
Сталь горячекатаная класса | А-I | 5,38 | 5,5 |
А-II | 3,76 | 3,85 | |
А-III | 3,58 | 3,66 | |
n1 | ||||||||||||||
0,02 | 0,025 | 0,03 | 0,035 | |||||||||||
m1 | ||||||||||||||
0,01 | 0,02 | 0,01 | 0,02 | 0,03 | 0,04 | 0,01 | 0,02 | 0,03 | 0,04 | 0,01 | 0,02 | 0,03 | 0,04 | |
0,01 | 1,56 ------ 2,33 | 3,56 ------ 4,56 | 0,75 ------ 1,33 | 2 ------ 2,72 | 3,47 ------ 4,29 | 5,07 ------ 5,95 | 0,39 ------ 0,85 | 1,21 ------ 1,78 | 2,24 ------ 2,86 | 3,36 ------ 4,02 | 0,24 ------ 0,6 | 0,78 ------ 1,23 | 1,54 ------ 2,03 | 2,36 ------ 2,88 |
0,02 | - | - | 1,92 ------ 2,38 | 3,31 ------ 3,89 | 4,82 ------ 5,49 | 6,41 ------ 7,14 | 1,16 ------ 1,53 | 2,11 ------ 2,57 | 3,16 ------ 3,67 | 4,26 ------ 4,83 | 0,74 ------ 1,05 | 1,43 ------ 1,8 | 2,19 ------ 2,61 | 3,01 ------ 3,46 |
0,03 | - | - | - | - | - | - | - | 2,87 ------ 3,27 | 3,94 ------ 4,4 | 5,05 ------ 5,55 | - | 1,98 ------ 2,31 | 2,77 ------ 3,14 | 3,58 ------ 3,99 |
0,04 | - | - | - | - | - | - | - | - | - | - | - | - | - | - |
0,05 | - | - | - | - | - | - | - | - | - | - | - | - | - | - |


.0,04 | 0,05 | 0,06 | 0,08 | |||||||||||||
0,01 | 0,02 | 0,03 | 0,04 | 0,02 | 0,03 | 0,04 | 0,06 | 0,02 | 0,04 | 0,06 | 0,08 | 0,02 | 0,04 | 0,06 | 0,08 | 0,1 |
0,1 ------ 0,46 | 0,53 ------ 0,9 | 1,1 ------ 1,5 | 1,74 ------ 2,15 | 0,26 ------ 0,53 | 0,63 ------ 0,91 | 1,04 ------ 1,32 | 1,89 ------ 2,2 | 0,15 ------ 0,35 | 0,67 ------ 0,89 | 1,27 ------ 1,49 | 1,88 ------ 2,11 | 0,04 ------ 0,25 | 0,33 ------ 0,47 | 0,68 ------ 0,82 | 1,02 ------ 1,16 | 1,37 ------ 1,51 |
0,48 ------ 0,75 | 1 ------ 1,32 | 1,59 ------ 1,94 | 2,22 ------ 2,59 | 0,55 ------ 0,78 | 0,92 ------ 1,17 | 1,33 ------ 1,59 | 2,17 ------ 2,45 | 0,32 ------ 0,5 | 0,86 ------ 1,06 | 1,46 ------ 1,67 | 2,06 ------ 2,28 | 0,11 ------ 0,25 | 0,43 ------ 0,56 | 0,76 ------ 0,9 | 1,11 ------ 1,25 | 1,46 ------ 1,6 |
- | 1,43 ------ 1,71 | 2,03 ------ 2,34 | 2,65 ------ 2,99 | 0,81 ------ 1,02 | 1,19 ------ 1,42 | 1,59 ------ 1,84 | 2,48 ------ 2,7 | 0,49 ------ 0,66 | 1,04 ------ 1,23 | 1,63 ------ 1,83 | 2,24 ------ 2,45 | 0,19 ------ 0,33 | 0,52 ------ 0,65 | 0,86 ------ 0,99 | 1,2 ------ 1,34 | 1,55 ------ 1,69 |
- | - | - | - | 1,05 ------ 1,25 | 1,44 ------ 1,66 | 1,85 ------ 2,08 | 2,69 ------ 2,94 | 0,66 ------ 0,82 | 1,22 ------ 1,4 | 1,8 ------ 1,95 | - | 0,28 ------ 0,41 | 0,62 ------ 0,74 | 0,95 ------ 1,08 | 1,29 ------ 1,43 | - |
- | - | - | - | - | - | - | - | - | - | - | - | - | 0,71 ------ 0,83 | 1,04 ------ 1,17 | - | - |
Марка бетона | 200 | 300 | 400 | |
Вид стали рабочей арматуры | ||||
Обыкновенная арматурная проволока | 8,5 | 7,14 | 6,43 | |
Сталь горячекатаная класса | А-I | 7,92 | 6,66 | 6 |
А-II | 5,55 | 4,67 | 4,2 | |
А-III | 5,28 | 4,45 | 4 | |
Марка бетона | 200 | 300 | 400 | |||||
вид стали хомутов | диаметр хомутов в мм | |||||||
Обыкновенная арматурная проволока | 3 | 2,27 | 2,43 | 1,88 | 3,51 | 1,63 | 4,71 | |
4 | 2,62 | 2,18 | 1,88 | |||||
5 | 2,93 | 2,44 | 2,1 | |||||
6 | 3,21 | 2,66 | 2,3 | |||||
7 | 3,47 | 2,88 | 2,48 | |||||
Горячекатаная сталь классов | А-I | 6 | 2,66 | 2,83 | 2,21 | 4,1 | 1,91 | 5,51 |
8 | 3,06 | 2,56 | 2,2 | |||||
10 | 3,42 | 2,85 | 2,46 | |||||
12 | 3,75 | 3,12 | 2,67 | |||||
14 | 4,05 | 3,38 | 2,91 | |||||
16 | 4,32 | 3,61 | 3,11 | |||||
18 | 4,6 | 3,83 | 3,3 | |||||
А-II | 10 | 2,87 | 2,83 | 2,39 | 4,1 | 2,06 | 5,51 | |
12 | 3,14 | 2,62 | 2,25 | |||||
14 | 3,39 | 2,82 | 2,44 | |||||
16 | 3,62 | 3,02 | 2,6 | |||||
18 | 3,84 | 3,2 | 2,76 | |||||
А-III | 6 | 2,28 | 2,7 | 1,89 | 3,9 | 1,64 | 5,25 | |
8 | 2,63 | 2,19 | 1,89 | |||||
10 | 2,94 | 2,45 | 2,11 | |||||
12 | 3,22 | 2,68 | 2,29 | |||||
14 | 3,48 | 2,9 | 2,5 | |||||

ИС МЕГАНОРМ: примечание. Взамен СНиП II-А.11-62 Постановлением Госстроя СССР от 08.02.1974 N 16 с 01.09.1974 введены в действие СНиП II-6-74. |
Подкрановые балки, рассчитываемые на прочность при одновременной работе двух кранов, при проверке выносливости следует рассчитывать на нагрузку от одного крана; при легком режиме работы кранов подкрановые балки на выносливость не рассчитываются. |
Подвергающиеся многократно повторяющейся нагрузке центрально сжатые железобетонные элементы с косвенным армированием (см. п. 4.15), а также участки элементов, работающие на местное сжатие (см. пп. 4.129 - 4.132), на выносливость не рассчитываются. 8.3 (11.1). Расчет железобетонных элементов на выносливость, а также по образованию трещин при многократно повторяющейся нагрузке производится исходя из гипотезы плоских сечений, при этом изменение напряжений в бетоне по высоте сечения элемента принимается по линейному закону. В расчетах на выносливость элементов, не подвергаемых предварительному напряжению, работа растянутого бетона не учитывается. 8.4 (11.2). При расчете элементов железобетонных конструкций, подвергающихся многократно повторяющейся нагрузке, должна производиться проверка напряжений от наибольшей нормативной нагрузки цикла: а) для всех элементов - в сечениях, нормальных к их оси; б) для изгибаемых, внецентренно сжатых и внецентренно растянутых элементов, кроме того, - в направлении главных растягивающих напряжений. 8.5 (11.3). При расчете на выносливость сечений, нормальных к оси элемента, наибольшее краевое сжимающее напряжение в бетоне |
(8.2)Примечание. Сжатая арматура на выносливость не рассчитывается. 8.6 (11.4). Если в элементах с ненапрягаемой арматурой не удовлетворяется условие (8.7), то равнодействующая главных растягивающих напряжений по нейтральной оси должна быть полностью воспринята поперечной и отогнутой арматурой при расчетном сопротивлении этой арматуры, равном |
(8.5)
(8.5')8.7 (11.3, 11.4). В предварительно напряженных конструкциях, рассчитываемых на выносливость, наибольшая величина растягивающих напряжений |
8.8 (11.1, 3.9). При расчете на выносливость (а также по образованию трещин с учетом влияния многократного повторения нагрузки) определение напряжений производится в предположении упругой работы элементов согласно пп. 3.22 - 3.29; для предварительно напряженных элементов в этом случае учитываются величины установившихся напряжений в бетоне и в арматуре в соответствии с указаниями пп. 3.23 и 3.24. |
При расчете железобетонных конструкций из тяжелого бетона на выносливость для определения напряжений отношение модуля упругости арматуры к условному модулю упругости бетона при многократном приложении нагрузки (коэффициент приведения) следует принимать по табл. 8.1.Таблица 8.1 (8) железобетонных конструкций из тяжелого бетона | |||||||
Проектная марка бетона | 150 | 200 | 300 | 400 | 500 и выше | ||
Значения коэффициента n' | 30 | 25 | 20 | 15 | 10 | ||
Примечание. При вычислении приведенных геометрических характеристик сечения предварительно напряженного элемента коэффициент приведения принимается равным Значения коэффициента n' для конструкций из легких бетонов должны приниматься по специальным инструкциям или обосновываться экспериментальными данными. | |||||||
8.9 (3.4). Расчетные сопротивления тяжелого бетона при расчете железобетонных конструкций на выносливость, а также по образованию трещин при многократно повторяющейся нагрузке где Таблица 8.2 (3) сопротивлений тяжелого бетона при расчете железобетонных конструкций на выносливость и по образованию трещин при многократно повторяющихся нагрузках | ||||||||
<= 0,1 | 0,2 | 0,3 | 0,4 | 0,5 | 0,6 | |||
0,75 | 0,8 | 0,85 | 0,9 | 0,95 | 1 | |||
Примечание. Коэффициенты для бетона проектной марки 150 - на 40%; то же, 600 - на 20%; для бетона промежуточных марок - по линейной интерполяции. Если условия, в которых эксплуатируется конструкция или технология ее изготовления, не обеспечивают указанного прироста прочности, то значения коэффициентов | ||||||||
При применении легкого бетона в железобетонных конструкциях, подвергающихся воздействию многократно повторяющихся нагрузок, расчетные сопротивления его должны быть специально обоснованы. |

проверка сжатого бетона на выносливость и растянутого бетона по образованию трещин с учетом влияния многократно повторяющейся нагрузки не производится.8.10 (3.7). Расчетные сопротивления растянутой стержневой и проволочной арматуры при расчете железобетонных конструкций на выносливость где Таблица 8.3 (6) арматуры при расчете железобетонных конструкций на выносливость | |||||||||||||||
Вид арматуры | Значение коэффициента | ||||||||||||||
-1 | -0,2 | 0 | 0,2 | 0,4 | 0,7 | 0,8 | 0,9 | 1 | |||||||
1. Горячекатаная класса А-I | 0,45 | 0,7 | 0,8 | 0,85 | 1 | 1 | 1 | 1 | 1 | ||||||
2. То же, класса А-II | 0,4 | 0,58 | 0,65 | 0,72 | 0,84 | 1 | 1 | 1 | 1 | ||||||
3. То же, класса А-III | 0,31 | 0,47 | 0,52 | 0,57 | 0,67 | 0,83 | 1 | 1 | 1 | ||||||
| |||||||||||||||
4. Высокопрочная арматурная проволока гладкая по ГОСТ 7348-63 | - | - | - | - | - | 0,8 | 1 | 1 | 1 | ||||||
То же, периодического профиля по ГОСТ 8480-63 | - | - | - | - | - | 0,7 | 0,85 | 0,95 | 1 | ||||||
Примечания: 1. Коэффициенты 2. При применение предварительно напряженных конструкций с арматурой из высокопрочной проволоки, подлежащих расчету на выносливость, допускается при специальном обосновании.3. Данные табл. 8.3 не распространяются на арматуру из прядей и канатов, для которых значения коэффициентов 4. Марки горячекатаных сталей для конструкций, рассчитываемых на выносливость, определяются требованиями табл. 2.5. | |||||||||||||||
, то принимается
.
8.11 (3.8). Приведенные в табл. 8.3 коэффициенты |
;
;
;
; периодического профиля - при Таблица 8.4 (7) стержневой арматуры со сварными соединениями при расчете железобетонных конструкций на выносливость | ||
Тип сварного соединения | Значения коэффициента kс для горячекатаной стали | |
класса А-I группы марок стали "сталь 3" | класса А-II марки Ст.5 и класса А-III марок 25Г2С и 35ГС | |
1. Сварка контактным способом (без зачистки) или ванным способом на удлиненных накладках | 0,9 | 0,8 |
2. Электродуговая сварка с парными накладками | 0,8 | 0,65 |
3. Точечная контактная сварка пересекающихся стержней (в сварных каркасах и сетках) | 0,75 | 0,75 |
Примечание. При других марках сталей и типах сварных соединений значения kс должны приниматься на основании опытных данных. | ||
.8.12 (11.6). При определении деформаций (прогибов) железобетонных элементов, подвергающихся действию многократно повторяющихся нагрузок согласно разделу 6 значения 8.13 (11.7). Проверка ширины раскрытия трещин в элементах железобетонных конструкций с ненапрягаемой арматурой, рассчитываемых на выносливость, должна производиться для тех сечений (нормальных или наклонных к оси элементов), в которых наибольшие растягивающие напряжения от нормативных нагрузок превышают |
; поперечная арматура из горячекатаной стали класса А-I по 3 стержня 





(см. п. 8.11), проверка на выносливость арматуры необходима.
находим
. По табл. 8.4 при точечной контактной сварке находим kс = 0,75. Расчетное сопротивление арматуры при расчете на выносливость согласно пп. 8.10 и 8.11 равно:


(см. п. 8.9), проверка на выносливость сжатого бетона необходима. По табл. 8.2 при
находим
. Расчетное сопротивление бетона при расчете на выносливость согласно п. 8.9 равно:

ИС МЕГАНОРМ: примечание. Формула дана в соответствии с официальным текстом документа. |



. По табл. 8.3 при
находим для арматуры класса А-I 


): площадь Fп = 4105 см2, расстояние от центра тяжести сечения до нижней грани y = 71,5 см, момент инерции Jп = 10 370 000 см2; продольная арматура Ан и
; нормативная нагрузка: сосредоточенная от крана P = 30,6 т, равномерно распределенная от собственного веса балки и подкранового пути q = 1,1 т/м; случаи наивыгоднейшего расположения нагрузки от кранов приведены на рис. 8.2, б и в; краны среднего режима работы; расчетный пролет балки 11,7 м.



















![]() | (напряжения сжатия). |








, принимая местные сжимающие напряжения 


находим
. Расчетное сопротивление бетона растяжению при расчете по образованию трещин с учетом влияния многократно повторяющейся нагрузки согласно п. 8.9 равно:







9.1 (12.27). У всех поверхностей железобетонных элементов, вблизи которых ставится продольная арматура, должна предусматриваться также поперечная арматура, охватывающая крайние продольные стержни, пучки, пряди и т.п. Такая арматура может выполняться в виде сварных сеток или хомутов, замкнутых или П-образных, в виде шпилек, охватывающих крайние продольные стержни, или в виде прямых стержней, привариваемых к продольным ненапрягаемым стержням. Расстояния между поперечными стержнями у каждой поверхности элемента должны быть не более 500 мм и не более удвоенной ширины данной грани элемента. Допускается не ставить поперечной арматуры у узких граней элемента, по ширине которых располагается лишь один продольный стержень или один сварной каркас. 9.2 (13.15). Продольную ненапрягаемую арматуру, если такая имеется, рекомендуется располагать ближе к наружным поверхностям элементов так, чтобы поперечная арматура (хомуты) охватывала напрягаемую (рис. 9.1). |

9.3 (12.62). Соответствие расположения арматуры ее проектному положению должно обеспечиваться специальными мероприятиями (установкой подставок в виде сварных каркасов или сеток, диафрагм, шпилек, подвесок и т.п.). |
9.4 (12.14). При конструировании центрально и внецентренно сжатых элементов площадь сечения всей продольной арматуры должна составлять, как правило, не более 3% от площади сечения бетона, требуемого по расчету. Если в отдельных случаях элементы по каким-либо соображениям проектируются с содержанием арматуры в сечении более 3%, то должны соблюдаться требования п. 9.7. 9.5 (12.15). Диаметр продольных рабочих стержней центрально и внецентренно сжатых элементов монолитных конструкций должен быть не менее 12 мм и, как правило, не более 40 мм; для особо мощных колонн при проектной марке бетона выше 200 могут применяться стержни больших диаметров; в колоннах с меньшей стороной b >= 250 мм диаметр продольных стержней рекомендуется назначать не менее 16 мм. В конструкциях из легкого бетона не рекомендуется применение арматуры диаметром более 25 мм. 9.6 (12.16). Во внецентренно сжатых линейных элементах у граней, перпендикулярных к плоскости изгиба, а также у каждой грани центрально сжатых элементов при ширине этих граней до 400 мм допускается ставить по два рабочих стержня. При большей ширине тех же граней у каждой из них рабочие стержни должны ставиться на расстояниях, не превышающих 400 мм (рис. 9.2, а). ![]() в центрально и внецентренно сжатых элементах а - сечение центрально сжатого элемента; б - сечение внецентренно сжатого элемента; 1 - дополнительные продольные стержни Во внецентренно сжатых элементах с ненапрягаемой арматурой или предварительно напряженных 3-й категории трещиностойкости, у граней, параллельных плоскости изгиба при их размере более 500 мм, надлежит ставить конструктивную арматуру (если она не поставлена по расчету) диаметром не менее 12 мм, с тем чтобы расстояния между продольными стержнями были не более 500 мм (рис. 9.2, б). |
9.7 (12.20). В центрально и внецентренно сжатых линейных элементах поперечные стержни (хомуты) должны ставиться во всех случаях на расстояниях не более 500 мм, а также: б) при сварных каркасах - на расстояниях не более 20d, где d - наименьший диаметр продольных сжатых стержней. При этом конструкция поперечной арматуры должна обеспечивать закрепление сжатых стержней от их бокового выпучивания в любом направлении. Если общее насыщение элемента продольной арматурой составляет более 3%, хомуты должны ставиться на расстояниях не более 10d и привариваться к ненапрягаемой продольной арматуре. Примечание. При проверке соблюдения требований подпунктов "а" и "б" настоящего пункта допускается не принимать во внимание сжатые продольные стержни, не учитываемые в расчете, если их диаметр не более 12 мм и не превышает половины толщины защитного слоя бетона. 9.8 (12.21). Конструкция вязаных хомутов в центрально и внецентренно сжатых элементах должна быть такова, чтобы продольные стержни, по крайней мере через один, располагались в местах перегиба хомутов, а эти перегибы - на расстояниях не более 400 мм по ширине грани элементов (рис. 9.3, б). При ширине грани не более 400 мм и числе продольных стержней у этой грани не более четырех допускается охват всех продольных стержней одним хомутом (рис. 9.3, б). ![]() каркасов в центрально и внецентренно сжатых элементах а - армирование сварными каркасами; б - армирование вязаными каркасами; 1 - основные плоские сварные каркасы; 2 - соединительные стержни; 3 - промежуточный плоский сварной каркас; 4 - шпилька; 5 - хомут |
При армировании центрально или внецентренно сжатых элементов плоскими сварными каркасами два крайних каркаса (расположенных у противоположных граней) должны быть соединены друг с другом для образования пространственного каркаса. Для этого у граней элемента, нормальных к плоскости каркасов, должны ставиться поперечные стержни, привариваемые контактной точечной сваркой к угловым продольным стержням каркасов, или шпильки, связывающие эти стержни; расстояния между приваренными поперечными стержнями должны быть не более 20d, а между шпильками - 15d, где d - наименьший диаметр сжатых продольных стержней. |
Если крайние плоские каркасы имеют промежуточные продольные стержни, то последние, по крайней мере через один и не реже чем через 400 мм по ширине грани элемента, должны связываться с продольными стержнями, расположенными у противоположной грани, при помощи шпилек, устанавливаемых по длине элемента на тех же расстояниях, что и поперечные стержни плоских каркасов (рис. 9.3, а); допускается не ставить таких шпилек при ширине данной грани элемента не более 500 мм, если количество продольных стержней у этой грани не превышает четырех. |
9.10 (12.22). В центрально сжатых элементах с косвенным армированием в виде спиралей или сварных колец, учитываемым в расчете (см. п. 4.15), шаг спиральной или кольцевой ненапрягаемой арматуры должен быть не более 1/5 диаметра ядра и не более 80 мм. |
9.11 (12.17). В балках шириной 150 мм и более число продольных рабочих стержней, доводимых до опоры, должно быть не менее двух. В ребрах сборных панелей, настилов, часторебристых перекрытий и т.п. шириной менее 150 мм допускается доведение до опоры одного продольного стержня. 9.12 (12.18). В изгибаемых линейных элементах с ненапрягаемой арматурой или предварительно напряженных 3-й категории трещиностойкости при высоте их сечения более 700 мм у боковых граней должны ставиться конструктивные продольные стержни с расстояниями между ними по высоте не более 400 мм (рис. 9.4). Суммарная площадь сечения этих стержней должна составлять не менее 0,1% от площади поперечного сечения ребра балки. ![]() по высоте сечения балки 1 - конструктивные продольные стержни 9.13 (12.7, 12.17). В плитах расстояния между стержнями, доводимыми до опоры, не должны превышать 350 мм, причем площадь сечения этих стержней на 1 пог. м должна составлять не менее 1/3 площади сечения нижних стержней в пролете, определенной по наибольшему изгибающему моменту. В плитах, выполняемых без предварительного напряжения, расстояния между осями рабочих стержней в средней части пролета и над опорой (вверху) должны быть не более 200 мм при толщине плиты до 150 мм и не более 1,5hп при толщине плиты более 150 мм, где hп - толщина плиты. На всех участках плиты расстояния между осями стержней как рабочей, так и распределительной арматуры должны составлять не более 350 мм. Примечания: 1. В многопустотных панелях расстояние между продольными стержнями допускается увеличивать до 400 мм. 2. При армировании неразрезных плит сварными рулонными сетками допускается вблизи промежуточных опор все нижние стержни отгибать в верхнюю зону. 9.14 (12.29). Площадь сечения распределительной ненапрягаемой арматуры в балочных плитах должна составлять не менее 10% от площади сечения рабочей арматуры, поставленной в месте наибольшего изгибающего момента. |
9.15 (12.24). В балках и ребрах высотой более 300 мм поперечные стержни, параллельные плоскости изгиба, или хомуты должны ставиться всегда независимо от расчета. В балках и ребрах высотой от 150 до 300 мм поперечные стержни, если они и не требуются по расчету (соблюдается условие (4.64), должны быть поставлены у концов элемента на длине не менее 1/4 пролета (рис. 9.5), а при сосредоточенных нагрузках, кроме того, на длине не менее расстояния от опоры до ближайшего груза. ![]() в балках без отгибов lоп - длина участка балки, в пределах которой не соблюдается условие (4.64), но составляющая не менее и не менее расстояния от опоры до ближайшего к ней сосредоточенного груза При высоте балки или ребра менее 150 мм допускается не ставить поперечной арматуры, если соблюдается условие (4.64). Допускается также не ставить поперечной арматуры в многопустотных сборных настилах высотой 300 мм и менее, а также в аналогичных часторебристых конструкциях на тех участках, где соблюдается условие (9.1)где q1 - равномерно распределенная нагрузка, включающая половину собственного веса элемента и остальную часть постоянной равномерно распределенной нагрузки; b - сумма минимальных толщин стенок многопустотного настила или ребер часторебристой конструкции на ширине сборного элемента, для которой определена сила Q. 9.16 (12.25). При отсутствии отгибов расстояния между поперечными стержнями, параллельными плоскости изгиба, или хомутами в балках и ребрах на участках, где не соблюдается условие (4.64), а также на участках вблизи опор должны быть при высоте сечения h до 450 мм - не более 1/2h и не более 150 мм, а при большей высоте сечения - не более 1/3h и не более 300 мм; длина приопорных участков, на которые распространяется это требование, принимается при равномерно распределенной нагрузке равной 1/4 пролета элемента, а при сосредоточенных нагрузках - расстоянию от опоры до ближайшего к ней груза. На остальной части пролета, при высоте балок более 300 мм расстояние между указанными поперечными стержнями или хомутами должно быть не более 3/4h и не более 500 мм. |
9.17 (12.20). В сжатой зоне изгибаемых элементов при наличии учитываемой в расчете сжатой арматуры ненапрягаемой или с предварительным напряжением поперечные стержни (хомуты) должны ставиться во всех случаях на расстояниях, указанных в п. 9.7. |
Диаметр хомутов в вязаных каркасах изгибаемых элементов рекомендуется принимать: при высоте сечения элемента до 800 мм - не менее 6 мм; при высоте сечения элемента более 800 мм - не менее 8 мм. |
![]() 9.19 (12.30). Отогнутые стержни ненапрягаемой арматуры следует применять в изгибаемых элементах при армировании их вязаными каркасами. Применение отогнутых стержней в сварных каркасах не рекомендуется. Отгибы стержней должны осуществляться по дуге окружности радиусом не менее 10d. На концах отогнутых стержней должны устраиваться прямые участки длиной не менее 20d в растянутой зоне и не менее 10d в сжатой зоне (рис. 9.7); прямые участки отогнутых круглых (гладких) стержней должны заканчиваться крюками. ![]() 9.20 (12.31). Угол наклона отгибов к продольной оси элемента следует, как правило, принимать равным 45°. В балках высотой более 800 мм и в балках-стенках допускается увеличивать угол наклона отгибов в пределах до 60°, а в низких балках, в плитах, а также при сосредоточенных нагрузках - уменьшать его в пределах до 30°. |
Применение отгибов в виде "плавающих" стержней (рис. 9.8) не допускается. ![]() Расстояние от грани свободной опоры до верхнего конца первого отгиба (считая от опоры) должно быть не более 50 мм (рис. 9.7). Начало отгиба в растянутой зоне должно отстоять от нормального к оси элемента сечения, в котором отгибаемый стержень полностью используется по моменту не менее чем на h0/2, а конец отгиба должен быть расположен не ближе того сечения, в котором отгиб не требуется по эпюре моментов (рис. 9.9). ![]() 9.22 (13.12). При применении арматуры криволинейного очертания, натягиваемой на бетон, угол наклона пучков или стержней с продольной осью элемента рекомендуется принимать не более 30°, а радиус закругления: а) для пучковой арматуры и прядей: при диаметре проволок в пучках 5 мм и менее и прядей от 4,5 до 9 мм - не менее 4 м; при диаметре проволок в пучках 6 - 8 мм и прядей 12 - 15 мм - не менее 6 м; б) для стержневой арматуры: диаметром до 25 мм - не менее 15 м; диаметром от 28 до 40 мм - не менее 20 м. |
9.23 (12.26). При вязаной арматуре в промежуточных (средних) балках таврового сечения, монолитно соединенных поверху с плитой, рекомендуется ставить открытые хомуты. Если рабочая арматура плиты проходит параллельно ребру, необходимо укладывать перпендикулярно к нему дополнительную арматуру сечением не менее 1/3 наибольшего сечения рабочей арматуры плиты в пролете, заводя ее в плиту в каждую сторону от грани ребра на длину не менее 1/4 расчетного пролета плиты. |


В пустотелых и ребристых элементах напрягаемую арматуру в виде стержней, пучков или прядей следует располагать, как правило, по оси каждого ребра элемента. |
9.25 (12.28). В элементах, работающих на кручение с изгибом, вязаные хомуты должны быть замкнутыми с перепуском их концов на 30 диаметров, а при сварных каркасах все поперечные стержни обоих направлений приварены точечной сваркой к угловым продольным стержням, образуя замкнутый контур (рис. 9.12). |

Расстояния между поперечными стержнями, расположенными у граней, параллельных плоскости изгиба, должны удовлетворять требованиям п. 9.16. Расстояния между поперечными стержнями, расположенными у граней, нормальных к плоскости изгиба, должны составлять не более ширины сечения элемента b; при и при соблюдении условия (4.287) у граней, сжатых от изгиба, допускается увеличивать расстояния между поперечными стержнями, принимая их в соответствии с пп. 9.1 и 9.17.Требования настоящего пункта относятся, в частности, к крайним балкам, к которым второстепенные балки или плита примыкают лишь с одной стороны (обвязочные балки, балки у температурных швов и т.п.), а также к средним балкам, для которых временная нагрузка в одном из двух примыкающих к балке пролетов может превышать нагрузку в другом из этих пролетов более чем в два раза, т.е. может иметь место неравенство p1 > 2p2, где p1 и p2 - полные расчетные нагрузки, передающиеся на балку соответственно от одного и от другого из примыкающих пролетов плиты. |
9.26 (7.13). Сварные сетки косвенного армирования (если они учитываются в расчете) должны устанавливаться у торца элемента в количестве не менее 4 шт.; при наличии продольной арматуры она должна проходить внутри контура сварных сеток, которые располагаются на длине (считая от торца элемента) не менее 20d, если продольная арматура выполняется из гладких стержней, пучков или прядей, и не менее 10d, если она выполняется из стержней периодического профиля, где d - диаметр стержня, пучка или пряди (рис. 9.13). |

Площади сечения стержней сетки на единицу длины в одном и в другом направлении не должны различаться более чем в 1,5 раза. Примечание. Вместо сварных сеток с замкнутыми ячейками могут быть применены другие равноценные виды косвенной арматуры (пересекающиеся сетки в виде гребенок, спирали и т.п.) при условии обеспечения ее правильного положения в процессе бетонирования. |
9.27 (13.16). У конца предварительно напряженных элементов должны быть установлены дополнительные сварные сетки или замкнутые хомуты (охватывающие напрягаемую арматуру, рис. 9.14) с шагом 5 - 7 см на длине (считая от торца элемента), равной двум длинам анкерных приспособлений, а при отсутствии анкеров - на длине не менее 10d и не менее 20 см. Диаметр хомутов или стержней сеток должен быть не менее 5 мм и не менее 0,25d, где d - диаметр стержней продольной арматуры. Примечание. Дополнительная поперечная арматура, поставленная у концов элемента, может быть учтена в расчете на местное сжатие (смятие), выполняемом в соответствии с указаниями п. 4.131. |


9.29 (13.7). Местное усиление участков предварительно напряженных элементов под анкерами напрягаемой арматуры, а также в местах опирания натяжных устройств рекомендуется выполнять установкой закладных деталей или дополнительной поперечной арматуры (рис. 9.14), а также путем увеличения размеров сечения элемента на этих участках. |
Величину предварительного напряжения поперечной арматуры рекомендуется назначать максимальной (см. п. 3.2). Увеличение ширины сечения элемента (см. подпункт "б") в конструкциях со стержневой продольной арматурой, не имеющей на концах анкеров, должно приниматься на длине (считая от торца элемента) не менее 10 диаметров продольной арматуры. При отсутствии напрягаемой поперечной арматуры или при расположении напрягаемой продольной арматуры сосредоточенно в нижней или в верхней и нижней зонах опорного сечения ненапрягаемая поперечная арматура должна воспринимать: в конструкциях, не рассчитываемых на выносливость, - не менее 20%, а в конструкциях, рассчитываемых на выносливость, - не менее 30% усилия в продольной напрягаемой арматуре нижней зоны опорного сечения, определяемого расчетом на прочность, |
Поперечные стержни должны быть надежно заанкерены по концам путем приварки к закладным деталям (рис. 9.16). |

9.31 (8.12). В предварительно напряженных балках, для которых расчет по образованию трещин не производится (см. п. 5.2) в растянутой при обжатии части приопорной зоны балки на длине, равной не менее 1,5h0 от начала зоны анкеровки (см. п. 3.6), следует устанавливать дополнительную ненапрягаемую продольную арматуру, располагая ее в стенке балки; площадь сечения этой арматуры должна составлять не менее 0,2% от площади опорного сечения балки. |
9.32 (12.64). Отверстия значительных размеров в железобетонных плитах, панелях и т.п. следует окаймлять дополнительной арматурой сечением не менее сечения рабочей арматуры (того же направления), которая требуется на протяжении отверстия при расчете плиты как сплошной. Дополнительная арматура должна быть заведена за края отверстия на длину не менее длины перепуска lн, указанной в табл. 9.3. 9.33 (13.5). В элементах таврового, двутаврового и тому подобных сечений в местах сопряжения стенок с полками следует устраивать плавные переходы. Отверстия в стенках элементов должны иметь закругленную форму и усиливаться по краям арматурой. |
9.34 (13.10). Каналы в элементах конструкций для расположения арматуры, натягиваемой на бетон, рекомендуется выполнять с применением удаляемых из бетона стержней, резиновых шлангов и т.п. или с применением оболочки из гофрированных или гладких стальных трубок. В местах резкого изменения кривизны каналов следует устанавливать отрезки жестких стальных трубок. При расположении в одном канале нескольких пучков или стержней канал должен иметь на концах уширение для размещения анкерных и натяжных устройств. В местах перегиба арматуры (рис. 9.17), а также в местах расположения уширения канала необходимо усилять бетон элемента установкой стальных обойм, хомутов или сеток, а также увеличивать сечение элемента. |

9.35 (13.9). При проектировании предварительно напряженных железобетонных конструкций с повышенными требованиями огнестойкости должны проводиться специальные мероприятия по предохранению от прогрева напрягаемой арматуры, особенно в зонах ее анкеровки. |
9.36 (12.2). Толщина защитного слоя бетона для рабочей арматуры элементов, не подвергаемых предварительному напряжению, а также предварительно напряженных элементов с продольной арматурой, натягиваемой на упоры, должна приниматься: а) в плитах и стенках толщиной до 100 мм включительно из тяжелого бетона - не менее 10 мм, из легкого бетона - не менее 15 мм; б) в плитах и стенках толщиной более 100 мм, а также в балках и ребрах высотой до 250 мм при d* <= 20 мм - не менее 15 мм; г) в балках, колоннах и плитах при 20 мм < d* <= 32 мм - не менее 25 мм; при d* >= 32 мм - не менее 30 мм; в балках с предварительно напряженной арматурой, натягиваемой на упоры, толщину защитного слоя бетона для рабочей арматуры при d > 32 мм рекомендуется принимать не менее d; при применении полосовой, угловой и фасонной стали - не менее 50 мм; д) в фундаментных балках, а также в сборных фундаментах - не менее 30 мм; е) для нижней арматуры монолитных фундаментов (отдельных, плитных и ленточных) при отсутствии подготовки - не менее 70 мм, а при наличии подготовки - не менее 35 мм. В полых элементах кольцевого или коробчатого сечения расстояние от стержней продольной арматуры до внутренней поверхности бетона должно быть не менее чем до наружной. Примечание, d* - диаметр рабочей арматуры: стержней, проволоки, прядей, канатов. 9.37 (12.5). В предварительно напряженных элементах, армируемых стержнями периодического профиля или арматурными прядями без анкеров, толщина защитного слоя бетона у концов элемента на участке заделки длиной lан (для стержневой арматуры, равной 15d, а для прочих видов арматуры - по указаниям п. 3.6) должна составлять не менее 2d и не менее: 40 мм - для стержневой арматуры и 20 мм - для арматурных прядей. Допускаются отступления от указанных требований в следующих случаях: а) при установке стальной опорной детали (листа или швеллера), надежно заанкеренной в бетоне элемента, допускается защитный слой бетона со стороны опоры принимать таким же, как для сечения в пролете; б) в плитах, панелях и настилах допускается не увеличивать толщину защитного слоя бетона у концов элемента, если она составляет: не менее 20 мм при диаметре стержней 16 - 20 мм и прядей 15 мм; не менее 15 мм при диаметре стержней 10 - 14 мм и прядей 9 - 12 мм; не менее 10 мм при диаметре стержней 6 - 9 мм и прядей 4,5 - 7,5 мм. При этом в пределах опорных участков на длине lан следует устанавливать дополнительную поперечную арматуру в виде корытообразно согнутых сварных сеток или отдельных стержней, охватывающих все стержни продольной напрягаемой арматуры; площадь сечения всех дополнительных поперечных стержней (или стержней сетки, направленных перпендикулярно к продольным стержням элемента) должна составлять не менее половины площади сечения одного продольного напрягаемого стержня наибольшего диаметра. 9.38 (12.4). В элементах с напрягаемой продольной арматурой, натягиваемой на бетон и располагаемой в каналах, толщина защитного слоя бетона от поверхности элемента до поверхности канала должна приниматься: а) при расположении в канале по одному пучку или стержню - не менее 20 мм и не менее половины диаметра канала, а при стержневой арматуре или канатах диаметром d >= 32 мм - не менее d; б) при групповом расположении пучков, прядей или стержней для боковых стенок - не менее 80 мм, а для нижних стенок - не менее 60 мм и не менее половины ширины канала (рис. 9.18). ![]() канала, предназначенного для группового расположения пучковой или стержневой предварительно напряженной арматуры При расположении арматуры в пазах или снаружи сечения элемента толщина защитного слоя, образуемого последующим торкретированием или обетонированием, принимается не менее указанной в п. 9.36 и не менее 20 мм. 9.39 (12.2). Толщина защитного слоя бетона для хомутов и поперечных стержней сварных каркасов в балках и колоннах должна составлять не менее 15 мм, а для распределительной арматуры в плитах - не менее 10 мм. 9.40 (12.2). Толщина защитного слоя бетона для сборных элементов из тяжелого бетона проектной марки более 200 может быть уменьшена на 5 мм против указанных в п. 9.36 величин, но должна быть во всяком случае не менее 10 мм для арматуры плит и не менее 20 мм для рабочей арматуры колонн, балок и ребер, указанных в подпункте "в" п. 9.36. |
9.41 (12.3). Во всех сборных изгибаемых элементах концы продольных рабочих стержней ненапрягаемой арматуры, не привариваемых к анкерующим деталям, должны отстоять от торца элемента: в панелях, настилах и плитах - не более чем на 5 мм, в прочих элементах - не более чем на 10 мм. Концы напрягаемой арматуры, а также анкеры должны быть защищены слоем раствора не менее 5 мм или бетоном. | ||||
| ||||
При назначении толщины защитного слоя бетона должны также учитываться требования главы СНиП II-А.5-62 "Противопожарные требования. Основные положения проектирования". |
9.43 (12.6, 12.8). Расстояния в свету между стержнями, пучками, прядями или оболочками каналов по высоте и ширине сечения должны назначаться с учетом удобства укладки и уплотнения бетонной смеси; для предварительно напряженных конструкций должны также учитываться степень местного обжатия бетона и габариты натяжного оборудования (домкратов, зажимов и т.п.). В элементах, изготовляемых без применения виброплощадок или вибраторов, укрепляемых на опалубке, должно быть обеспечено свободное прохождение между арматурными стержнями, пучками и т.п. наконечников штыковых вибраторов или виброштампующих элементов машин, уплотняющих бетонную смесь. В предварительно напряженных конструкциях с непрерывным армированием расположение витков проволок и расстояния между ними назначаются с учетом технических характеристик намоточных машин и поддонов. |
б) если стержни при бетонировании занимают вертикальное положение - не менее 50 мм. Примечание. Расстояние в свету между стержнями периодического профиля принимается по номинальному диаметру без учета выступов и ребер. 9.45 (12.8). В предварительно напряженных элементах расстояние в свету между отдельными натягиваемыми стержнями, пучками, прядями и т.п., занимающими при бетонировании горизонтальное или наклонное положение, должно быть не менее диаметра арматуры и не менее 25 мм, а также не менее значений, указанных в п. 9.44. |
При непрерывном армировании с обеспеченной анкеровкой проволок допускается располагать проволоки или пряди в одном ряду вплотную без зазора; при этом если напрягаемая арматура располагается у поверхности элемента, должны предусматриваться конструктивные мероприятия, устраняющие возможность раскалывания бетона и отслоения защитного слоя бетона от поверхности арматурных пакетов (установка охватывающих пакетов проволок или легких сеток). Расстояние в свету между пакетами (рядами проволок) при проволоках, установленных в ряду вплотную без зазора, рекомендуется принимать не менее 15 мм. |
При расположении проволок попарно с зазором в свету между каждой парой проволок не менее 5 мм расстояние в свету между рядами проволок может быть уменьшено до 10 мм. |
9.46 (13.4). В предварительно напряженных элементах сборно-монолитных железобетонных конструкций при расположении арматуры снаружи бетона необходимо предусматривать зазоры между этой арматурой и поверхностью бетона элемента, а также между рядами арматуры соседних элементов, обеспечивающие заполнение швов бетоном или раствором и защиту арматуры от коррозии и температурных воздействий, в соответствии с требованиями пп. 9.36 - 9.45. |
Гладкие арматурные стержни, применяемые в сварных каркасах и сварных сетках, также выполняются без крюков; такие стержни следует заканчивать крюками только при невозможности или нецелесообразности приварки поперечных (анкерующих) стержней у конца каркаса или сетки (см. пп. 9.50, 9.52). Растянутые гладкие стержни вязаных каркасов и вязаных сеток должны заканчиваться полукруглыми крюками. Сжатые стержни вязаных каркасов и вязаных сеток в изгибаемых, внецентренно сжатых и внецентренно растянутых элементах, выполняемые из круглой гладкой стали класса А-I, при диаметре стержней до 12 мм могут не иметь крюков, а при диаметрах должны выполняться с крюками на концах. В центрально сжатых элементах такие стержни могут выполняться без крюков независимо от диаметра стержней.9.49 (12.10). В конструкциях из тяжелого бетона диаметр крюков круглых (гладких) стержней арматуры в свету должен быть не менее 2,5d (рис. 9.19). |

В конструкциях из легкого бетона диаметр крюков в свету должен составлять при d < 12 мм - не менее 2,5d; при d >= 12 мм - не менее 5d. |
9.50 (12.11). Продольные сжатые стержни должны быть заведены за нормальное к оси элемента сечение, в котором они перестают требоваться по расчету, на длину не менее 15d. При этом в сварных сетках и сварных каркасах с рабочей арматурой из круглых (гладких) стержней на этой длине к каждому обрываемому продольному стержню должно быть приварено не менее двух поперечных стержней. Для круглых (гладких) стержней, не имеющих на концах крюков и примененных в вязаных каркасах, эта длина должна быть увеличена до 20d. Примечания: 1. Длина запуска продольных растянутых стержней за сечение, в котором они перестают требоваться по расчету, должна определяться по указаниям п. 4.67. Кроме того, длина запуска растянутых стержней за сечение, в котором они требуются по расчету с полным расчетным сопротивлением, должна быть не менее величины lн, указанной в табл. 9.3, и не менее 250 мм. Не рекомендуется обрывать в пролете растянутую арматуру вязаных каркасов, выполняемую из круглых (гладких) стержней. |
9.51 (12.19). В случаях, когда ненапрягаемая продольная растянутая арматура элемента в месте его заделки учитывается в расчете с полным расчетным сопротивлением, длина заведения ее за грань опоры (заделки) должна быть не менее величины lа, указанной в табл. 9.1, и не менее 250 мм. |
Тип арматуры | Марка бетона | Растянутые стержни | Сжатые стержни | ||
изгибаемых, внецентренно сжатых и внецентренно растянутых по случаю 1 элементов | центрально и внецентренно растянутых по случаю 2 элементов | ||||
Горячекатаная сталь класса А-I (с крюками на конце или при наличии на длине lа двух приваренных анкерующих стержней) и А-II | 150 | 35d | 40d | 25d | 30d - для горячекатаной круглой (гладкой) стали класса А-I без крюков или двух приваренных анкерующих стержней |
200 и 300 | 30d | 35d | 20d | ||
400 и выше | 25d | 30d | 15d | ||
Горячекатаная сталь класса А-III, упрочненная вытяжкой класса А-IIв, и обыкновенная арматурная проволока в сварных каркасах и сетках (с крюками на конце или при наличии по длине lа двух приваренных анкерующих стержней) | 150 | 40d | 45d | 30d | |
200 и 300 | 35d | 40d | 25d | ||
400 и выше | 30d | 35d | 20d | ||
При невозможности выполнения этого требования должны быть приняты меры по анкеровке продольных стержней для обеспечения их работы с полным расчетным сопротивлением в сечении, проведенном через грань опоры. |

В элементах, работающих на кручение с изгибом, все продольные стержни, вводимые в расчет на кручение с полным расчетным сопротивлением, должны удовлетворять требованиям настоящего пункта. 9.52 (12.12). На крайних свободных опорах изгибаемых элементов для обеспечения анкеровки всех продольных арматурных стержней, доходящих до опоры, должны выполняться следующие требования: а) если поперечной арматуры по расчету не требуется [т.е. соблюдается условие (4.64)], длина lа запуска растянутых стержней за внутреннюю грань свободной опоры (рис. 9.21) должна составлять не менее 5d. Рекомендуется принимать lа = 10d. В сварных каркасах и сварных сетках с продольной рабочей арматурой из круглых (гладких) стержней к каждому растянутому продольному стержню должен быть приварен хотя бы один поперечный (анкерный) стержень, расположенный от конца каркаса (сетки) на расстоянии: | |
c <= 15 мм | при d <= 10 мм; |
c <= 1,5d | при d > 10 мм. |
![]() на свободных опорах а - плит; б - балок Диаметр анкерующего стержня dа в балках и ребрах должен быть не менее половины наибольшего диаметра продольных стержней; б) если условие (4.64) не соблюдается (т.е. требуется расчетная поперечная арматура), длина lа должна составлять не менее 15d; при тяжелом бетоне проектной марки 200 и выше и при выполнении растянутой продольной арматуры из горячекатаной стали периодического профиля классов А-II и А-III или из стали, упрочненной вытяжкой, класса А-IIв длина lа может быть уменьшена до 10d. В сварных каркасах и сварных сетках с рабочей арматурой из круглых (гладких) стержней на длине lа к каждому продольному стержню должны быть приварены не менее двух поперечных (анкерующих) стержней диаметром ; при этом расстояние от крайнего анкерующего стержня до конца каркаса (сетки) должно составлять не более указанных выше величин c.Уменьшение длины lа против требований настоящего пункта допускается только при условии принятия специальных мер по надлежащей анкеровке арматуры (увеличение площади сечения поперечных стержней на участке элемента вблизи опоры, приварка дополнительных анкерующих стержней или шайб, приварка выпущенных концов стержней к стальным закладным деталям, которые должны назначаться в зависимости от условий опирания элемента, вида и класса арматуры и проектной марки бетона). 9.53 (12.12). Анкерующие поперечные стержни в сварных каркасах и сварных сетках рекомендуется приваривать точечной электросваркой. | |
, а также прочность бетона под пластиной
, где Fп, 9.55 (13.17). Установка анкеров у концов арматуры обязательна для арматуры, натягиваемой на отвердевший бетон, а также для арматуры, натягиваемой на упоры, при недостаточном сцеплении ее с бетоном; при этом анкерные устройства должны обеспечивать надежную заделку арматуры в бетоне на всех стадиях ее работы. Установки анкеров не требуется, если применяется: а) высокопрочная арматурная проволока периодического профиля при условии соблюдения требований п. 2 "б" табл. 2.1; б) арматура, свитая из двух гладких высокопрочных проволок (см. примечание 3 к п. 2.14) при условии соблюдения требований п. 2 "г" табл. 2.1; в) арматурные пряди при условии соблюдения требований п. 2 "д" табл. 2.1 и п. 9.37; г) горячекатаная и упрочненная вытяжкой стержневая арматура периодического профиля (при соблюдении требований п. 2 "е" и п. 3 табл. 2.1) при условии установки дополнительной поперечной арматуры (сварных сеток, хомутов) в соответствии с указаниями п. 9.27; при этом длина заделки стержней за грань опоры должна быть не менее 4d, а толщина защитного слоя бетона должна удовлетворять требованиям п. 9.37. 9.56 (13.18). В конструкциях с арматурой криволинейного очертания анкерные устройства целесообразно размещать на торцах элемента без увеличения толщины нижнего защитного слоя бетона. В этом случае пучки или стержни арматуры должны располагаться по высоте поперечного сечения элемента с учетом размещения анкерных и натяжных устройств на торцах элемента. |

Тип пучка | Диаметр проволоки или пряди в мм | Количество проволок или прядей в пучке | d1 в мм | h1 в мм | |
Из проволок | 5 | 12 | 80 | 40 | |
5 | 18 | 80 | 60 | ||
90 | 40 | ||||
100 | 35 | ||||
5 | 24 | 110 | 60 | ||
120 | 50 | ||||
Из семипроволочных прядей | 12 | 6 | 170 | 70 | |

Диаметр проволоки в мм | Количество проволок в пучке | d1 в мм | d2 в мм | l1 в мм |
5 | 19 - 24 | 36 | 58 | 406 + 0,004l <*> |
5 | 15 - 18 | 33 | 50 | 392 + 0,004l <*> |
5 | 8 - 14 | 27 | 42 | 377 + 0,004l <*> |


9.59 (13.19, 13.20). При обрыве напрягаемой арматуры в пределах длины элемента ее анкеры рекомендуется располагать в зоне сечения, сжатой от действия внешней нагрузки. В случае расположения анкеров в зоне, работающей от внешней нагрузки на растяжение, должна быть предусмотрена постановка арматуры, воспринимающей местные усилия в сечениях, примыкающих к месту обрыва напрягаемой арматуры. Анкерные устройства, располагаемые на поверхности бетона, должны быть защищены слоем дополнительно укладываемого бетона или раствора (толщиной, не менее указанной в пп. 9.36 - 9.42) или антикоррозионным покрытием. При размещении анкеров следует учитывать их перемещение при удлинении арматуры в процессе ее натяжения на упоры и на бетон; после натяжения арматуры анкер должен занимать проектное положение. |
9.60 (12.35). Арматуру железобетонных конструкций из стали периодического профиля, круглой (гладкой) стали и обыкновенной арматурной проволоки следует, как правило, изготовлять с применением для соединения стержней контактной стыковой, а также в указанных ниже случаях (см. п. 9.62) дуговой сварки. Качество сварки арматуры должно отвечать требованиям действующих нормативных документов на сварную арматуру и закладные детали для железобетонных конструкций. Сварные соединения высокопрочной арматурной проволоки, арматурных прядей и канатов (тросов) (см. п. 2.14 "г" - "з"), как правило, не допускаются. Примечание. Сварные соединения указанных видов арматуры из высокопрочной проволоки могут допускаться при специальных способах сварки и особых технологических мероприятиях; при этом как при проектировании конструкций, так и при натяжении проволоки должна учитываться возможность снижения прочности соединения. |
9.61 (12.37, 12.38). Контактную стыковую сварку рекомендуется применять для соединения по длине заготовок арматурных стержней или присоединения к ним коротышей с нарезкой. |
N п/п | Вид сварки | Арматурная сталь класса | Предельные диаметры и их соотношения | Эскизы | ||
d в мм | ||||||
мин. | макс. | |||||
1 | Контактная стыковая сварка | А-I | 10 | 40 | >= 0,85 <*> | ![]() |
А-II | 10 | 90 | ||||
А-III | 10 | 40 | ||||
А-IV <**> | 10 | 32 | 1 | |||
-------------------------------- | ||||||
Дуговая ванная сварка в инвентарной медной форме <**> | А-I | 40 | ![]() | |||
А-II | 20 <***> | 90 <*> | >= 0,5 | |||
А-III | 40 | |||||
-------------------------------- <**> Для труднодоступных сверху соединений горизонтальных стержней допускается применение ванной сварки в специальной медной форме с наклонной стенкой, позволяющей вводить электрод в форму под углом до 30° (см. п. 9.63 "б") при <***> При многорядном расположении (см. эскиз "б") dмин = 12 мм. Количество рядов может быть 2, 3 и более при общей высоте a <= 300 мм и соотношении диаметров d' >= d". | ||||||
N п/п | Вид сварки | Арматурная сталь класса | Предельные диаметры и их соотношения | Эскизы | |||
d в мм | |||||||
мин. | макс. | ||||||
Дуговая сварка с накладками с четырьмя фланговыми швами <*> | А-I | 10 | 40 | 1 | >= 3 | ![]() | |
А-II | 90 | >= 4 | |||||
А-III | 40 | >= 4 | |||||
Дуговая сварка с накладками с двумя фланговыми швами <*> | А-I | 10 | 40 | 1 | >= 6 | ![]() | |
А-II | 90 | >= 8 | |||||
А-III | 40 | >= 8 | |||||
А-IV <**> | 32 | >= 10 | |||||

При применении арматуры, подвергаемой механическому упрочнению (см. п. 2.14 "б"), стыкование стержней контактной сваркой должно, как правило, производиться до их вытяжки. В элементах предварительно напряженных конструкций с арматурой, натягиваемой на упоры, для устранения влияния местного отжига при изготовлении конструкций стыкованная контактной сваркой арматура должна быть натянута, как правило, до контролируемого напряжения, требующегося для ее упрочнения (см. п. 2.14 "б"), после чего предварительное напряжение уменьшается до величины, назначенной по расчету для обжатия бетона. В тех отдельных случаях, когда контактная стыковая сварка выполняется после упрочнения арматуры, которая в дальнейшем не подвергается вторичному натяжению до контролируемого напряжения, следует расчетное сопротивление такой арматуры принимать как для неупрочненной стали. Допускается не учитывать снижение расчетного сопротивления упрочненной арматуры в том случае, если площадь сечения упрочненных вытяжкой рабочих стержней, стыкуемых в одном сечении элемента или в сечениях, расположенных друг от друга на расстоянии менее 30d, составляет не более 25% от площади сечения всей рабочей арматуры растянутой зоны элемента в данном сечении. |


9.65 (12.42). Стыки ненапрягаемой рабочей арматуры диаметром до 32 мм как в сварных, так и в вязаных каркасах и сетках могут выполняться внахлестку (без сварки). При больших диаметрах стержней такие стыки не рекомендуются, а при диаметре стержней более 40 мм не допускаются. Рабочие стыки стержней внахлестку (без сварки) в растянутой зоне изгибаемых или внецентренно сжатых элементов не рекомендуется располагать в местах полного использования арматуры. Устройство стыков внахлестку (без сварки) в линейных элементах, сечение которых полностью растянуто (центрально и внецентренно растянутые по 2-му случаю элементы) (например, в затяжках), а также во всех случаях применения арматуры из стали класса А-IV и из стали класса А-IIIв, упрочненной вытяжкой, не допускается. 9.66 (12.43). Стыки растянутой рабочей арматуры вязаных каркасов и сеток, выполняемые внахлестку без сварки, должны иметь длину перепуска (нахлестки) lн не менее определяемой по табл. 9.3 и не менее 250 мм для растянутых стержней и 200 мм для сжатых стержней. |
Тип рабочей арматуры | Марка бетона | Вязаная арматура, сварные каркасы и сетки при отсутствии на длине перепуска приваренных анкерующих стержней | Сварные каркасы и сетки при наличии на длине перепуска не менее двух приваренных анкерующих стержней | ||||
в растянутой зоне | в сжатой зоне | в растянутой зоне | в сжатой зоне | ||||
изгибаемых внецентренно сжатых и внецентренно растянутых по случаю 1 элементов | центрально и внецентренно растянутых по случаю 2 элементов | изгибаемых внецентренно сжатых и внецентренно растянутых по случаю 1 элементов | центрально и внецентренно растянутых по случаю 2 элементов | ||||
Горячекатаная сталь классов А-I и А-II | 150 | 35d | 40d | 25d (см. примечание 1) | 30d | 35d | 20d |
200 и выше | 30d | 35d | 20d (см. примечание 1) | 25d | 30d | 15d | |
Горячекатаная сталь класса А-III, сталь упрочненная вытяжкой класса А-IIв, обыкновенная арматурная проволока в сварных каркасах и сетках | 150 | 45d | 50d | 35d | 40d | 45d | 30d |
200 и выше | 40d | 45d | 30d | 35d | 40d | 25d | |
из соединяемых стержней.Стыки растянутых стержней вязаных сеток и каркасов должны во всех случаях располагаться вразбежку; площадь сечения стержней, стыкуемых в одном месте или на расстоянии менее длины нахлестки, должна составлять: при круглых (гладких) стержнях - не более 25%, а при стержнях периодического профиля - не более 50% от общей площади растянутой арматуры в сечении элемента. При стыковании с выпусками из фундаментов арматуры монолитных колонн, имеющих у растянутой грани всего три продольных стержня, допускается, как исключение, стыковать в одном сечении два стержня из трех, располагая при этом стык одного (среднего) стержня ближе к фундаменту. |
9.67 (12.44). Стыки сварных сеток в рабочем направлении следует выполнять по рис. 9.28; в каждой из стыкуемых в растянутой зоне сеток на длине нахлестки должно располагаться не менее двух поперечных стержней, приваренных ко всем продольным стержням сетки. При применении для рабочей арматуры сеток круглых (гладких) стержней диаметры поперечных (анкерующих) стержней в пределах стыка должны быть не менее указанных в табл. 9.4. Такие же типы стыков могут быть применены и для стыкования внахлестку сварных каркасов с односторонним расположением рабочих стержней. Стыкование внахлестку сварных каркасов с двусторонним расположением рабочих стержней не допускается. При условии выполнения требований настоящего пункта длину перепуска сварных сеток и сварных каркасов следует принимать: по табл. 9.3 и не менее 200 мм - для растянутых стержней и 150 мм - для сжатых стержней. ![]() рабочей арматуры при наличии в пределах стыка распределительных (поперечных) стержней а - распределительные стержни расположены в одной плоскости; б, в - распределительные стержни расположены в разных плоскостях |
Тип стыка внахлестку (без сварки) | Наименьшие диаметры поперечных стержней сварных сеток и каркасов в мм при диаметре продольных стержней в мм | ||||||||||||||
3 - 4 | 5 - 7 | 8 - 9 | 10 | 12 | 14 | 16 | 18 | 20 | 22 | 25 | 28 | 32 | 36 | 40 | |
По рис. 9.28, а | 3 | 4 | 4 | 5 | 5 | 6 | 8 | 8 | 10 | 10 | 12 | 14 | 18 | 20 | 22 |
По рис. 9.28, б и в | 3 | 4 | 4 | 5 | 5 | 6 | 8 | 10 | 12 | 14 | 16 | 18 | 20 | 22 | 25 |
9.68 (12.45). Стыки сварных сеток с рабочей арматурой из стержней периодического профиля допускается выполнять с расположением рабочих стержней в одной плоскости, при этом одна из стыкуемых сеток (рис. 9.29, а) или обе сетки (рис. 9.29, б) в пределах стыка могут не иметь приваренных поперечных стержней. В этом случае длина перепуска сеток должна приниматься по указаниям п. 9.66 как при стыковании стержней вязаной арматуры. Эти указания относятся и к стыкованию сварных каркасов с односторонним расположением рабочих стержней. ![]() арматуры из стержней периодического профиля при отсутствии в пределах стыка распределительных (поперечных) стержней а - распределительные стержни в пределах стыка отсутствуют в одной из стыкуемых сеток; б - распределительные стержни в пределах стыка отсутствуют в обеих стыкуемых сетках 9.69 (12.46). Стыкование широких сварных сеток, укладываемых по одной-две на всю ширину элемента, допускается только на тех участках, где величина расчетного изгибающего момента составляет не более 50% от его наибольшего значения. При наличии по ширине элемента нескольких сварных сеток или сварных каркасов стыки их следует располагать вразбежку, причем площадь сечения рабочих стержней, стыкуемых в одном месте или на расстоянии менее длины перепуска, должна составлять не более 50% от общей площади сечения растянутой арматуры. 9.70 (12.47). Если диаметр рабочих стержней, стыкуемых внахлестку в растянутой зоне, превышает 10 мм и расстояния между стержнями составляют менее величины (где d - наименьший диаметр стыкуемых стержней в см), то в местах стыков следует ставить дополнительную поперечную арматуру в виде хомутов или подвесок из корытообразно согнутых сварных сеток, заведенных в сжатую зону; при этом площадь сечения дополнительной поперечной арматуры, поставленной в пределах стыка, должна составлять не менее , где Fа - площадь сечения всех стыкуемых продольных стержней.9.71 (12.48). При стыковании внахлестку сварных каркасов в балках на длине стыка должна ставиться дополнительная поперечная арматура в виде хомутов или корытообразно согнутых сварных сеток (рис. 9.30); при этом шаг дополнительных поперечных стержней в пределах стыка должен быть не более 5d, где d - наименьший диаметр продольных рабочих стержней. |

При стыковании внахлестку сварных (и вязаных) каркасов центрально и внецентренно сжатых колонн в пределах стыка должны ставиться дополнительные хомуты на расстояниях не более 10d. 9.72 (12.49). Стыки сварных сеток в нерабочем направлении выполняются внахлестку с перепуском, считая между крайними рабочими стержнями сетки (рис. 9.31, а, б): а) при диаметре распределительной арматуры до 4 мм - на 50 мм; б) при диаметре распределительной арматуры более 4 мм - на 100 мм. При диаметре рабочей арматуры 16 мм и более сварные сетки в нерабочем направлении рекомендуется укладывать впритык друг к другу, перекрывая стык специальными стыковыми сетками, укладываемыми с перепуском в каждую сторону не менее 15 диаметров распределительной арматуры и не менее 100 мм (рис. 9.31, в). ![]() распределительной арматуры а - при расположении рабочих стержней в одной плоскости; б - при расположении рабочих стержней в разных плоскостях; в - стык "впритык" с наложением дополнительной стыковой сетки Сварные сетки в нерабочем направлении могут укладываться впритык без нахлестки и без дополнительных стыковых сеток в следующих случаях: а) при укладке сварных полосовых сеток в двух взаимно перпендикулярных направлениях; б) при наличии в местах стыков дополнительного конструктивного армирования в направлении распределительной арматуры. |
9.74 (13.11). Арматура из высокопрочной проволоки в предварительно напряженных элементах должна, как правило, выполняться без стыков. При применении непрерывного армирования допускается соединение конца проволоки одной бухты с концом другой устройством узла или с помощью соединительных плашек, а также другим проверенным способом. |
-------------------------------- |
Диаметры стержней одного направления d1 в мм | 3 | 4 | 5 | 6 | 8 | 10 | 12 | 14 | 16 | 18 | 20 | 22 | 25 | 28 | 32 | 36 | 40 |
Наименьшие допустимые диаметры стержней другого направления d2 в мм <*> | 3 | 3 | 3 | 3 | 3 | 3 | 4 | 5 | 5 | 6 | 6 | 8 | 8 | 10 | 10 | 12 | 12 |
Наименьшие допускаемые расстояния между осями стержней одного направления uмин и vмин в мм | 50 | 50 | 50 | 50 | 75 | 75 | 75 | 75 | 75 | 100 | 100 | 100 | 150 | 150 | 150 | 200 | 200 |
Наименьшие допустимые расстояния между осями продольных стержней v1мин при двухрядном их расположении в каркасе | - | - | - | 30 | 30 | 30 | 40 | 40 | 40 | 40 | 50 | 50 | 50 | 60 | 70 | 80 | 80 |

Для изготовления сварных каркасов и сеток с применением контактной точечной сварки следует применять виды сталей, указанные в п. 2.14 "а" (за исключением горячекатаной стали периодического профиля класса А-IV) и в п. 2.14 "в", следующих диаметров: |
в) для изготовления арматурных каркасов из горячекатаных сталей (включая сортовой прокат) с обязательными дополнительными конструктивными элементами в местах соединения стержней продольной и поперечной арматуры (косынки, лапки, крюки и т.п.). Если соединения пересекающихся стержней сварных каркасов или сеток "вкрест" имеют не только монтажное значение, но и должны обеспечивать прочность конструкций, то осуществление таких соединений без применения дополнительных конструктивных элементов, указанных в абзаце "в" настоящего пункта, не допускается. |
ИС МЕГАНОРМ: примечание. Взамен ГОСТ 8478-66 Постановлением Госстандарта СССР от 18.05.1981 N 2426 с 01.01.1983 введен в действие ГОСТ 8478-81. |
Марка сетки | Расстояние по осям между стержнями в мм | Диаметры стержней в мм | Ширина сетки по осям крайних стержней в мм, B | ||
продольными, t | поперечными, t1 | продольных, d | поперечных, d1 | ||
200/250/3/3 | 200 | 250 | 3 | 3 | 900; 1100; |
150/250/3/3 | 150 | 250 | 3 | 3 | 1400; 1500; |
200/250/4/4 | 200 | 250 | 4 | 3 | 1700; 2300; |
150/250/4/3 | 150 | 250 | 4 | 3 | 2500; 2700; |
200/250/5/3 | 200 | 250 | 5 | 4 | 2900 |
150/250/6/4 | 150 | 250 | 6 | 4 | 900; 1100; |
100/250/6/4 | 100 | 250 | 6 | 4 | 1500; 2300; |
150/250/9/5 | 150 | 250 | 9 | 5 | 2500; 2700 |
100/250/9/5 | 100 | 250 | 9 | 5 | 2900 |
250/200/3/4 | 250 | 200 | 3 | 4 | |
250/150/3/4 | 250 | 150 | 3 | 4 | 900; 1100; |
250/150/4/5 | 250 | 150 | 4 | 5 | 1300; 1700; |
250/200/4/8 | 250 | 200 | 4 | 8 | 2300; 2900; |
250/150/5/9 | 250 | 150 | 5 | 9 | 3500 |
200/200/3/3 | 200 | 200 | 3 | 3 | |
150/150/3/3 | 150 | 150 | 3 | 3 | 1100; 1300; |
100/100/3/3 | 100 | 100 | 3 | 3 | 1400; 1500; |
200/200/5/5 | 200 | 200 | 5 | 5 | 1700; 2300; |
100/100/5/5 | 100 | 100 | 5 | 5 | 2500; 2700; |
150/150/7/7 | 150 | 150 | 7 | 7 | 2900; 3500 |
100/100/7/7 | 100 | 100 | 7 | 7 | |
200/200/8/8 | 200 | 200 | 8 | 8 | 2300; 2500 |
200/200/9/9 | 200 | 200 | 9 | 9 | |
150/150/9/9 | 150 | 150 | 9 | 9 | |
100/100/8/8 | 100 | 100 | 8 | 8 | |
100/100/9/9 | 100 | 100 | 9 | 9 | |


ИС МЕГАНОРМ: примечание. Взамен ГОСТ 8478-66 Постановлением Госстандарта СССР от 18.05.1981 N 2426 с 01.01.1983 введен в действие ГОСТ 8478-81. |
Ширина сетки в мм | Количество продольных стержней в сетке в шт. | |||
Разбивка ширины сетки B на количество шагов при основном шаге (t) в мм | ||||
100 | 150 | 200 | 250 | |
900 | 10 --------- 100 x 9 | 7 --------- 150 x 6 | 6 ----------------------- 150 + 200 x 3 + 150 | 5 ------------------------- 200 + 250 x 2 + 200 |
1100 | 12 --------- 100 x 11 | 8 ----------------------------- 150 x 3 + 200 + 150 x 3 | 7 ------------------------- 150 + 200 x 4 + 150 | 6 ------------------------------ 250 x 2 + 100 + 250 x 2 |
1300 | 14 --------- 100 x 13 | 10 ------------------------------ 150 x 4 + 100 + 150 x 4 | 8 ------------------------- 150 + 200 x 5 + 150 | 6 ------------------------------ 250 x 2 + 300 + 250 x 2 |
1400 | 15 --------- 100 x 14 | 10 ------------------------------ 150 x 4 + 200 + 150 x 4 | 8 ---------- 200 x 7 | - |
1500 | 16 --------- 100 x 15 | 11 ---------- 150 x 10 | 9 ------------------------- 150 + 200 x 6 + 150 | - |
1700 | 18 --------- 100 x 17 | 12 ------------------------------ 150 x 5 + 200 + 150 x 5 | 10 -------------------------- 150 + 200 x 7 + 150 | 8 ------------------------------ 250 x 3 + 200 + 250 x 3 |
2300 | 24 --------- 100 x 23 | 16 ------------------------------ 150 x 7 + 200 + 150 x 7 | 13 --------------------------- 150 + 200 x 10 + 150 | 11 -------------------------- 150 + 250 x 8 + 150 |
2500 | 26 --------- 100 x 25 | 18 ------------------------------ 150 x 8 + 100 + 150 x 8 | 14 ----------------------------- 200 x 6 + 100 + 200 x 6 | - |
2700 | 28 --------- 100 x 27 | 19 ---------- 150 x 18 | 15 --------------------------- 150 + 200 x 12 + 150 | - |
2900 | 30 --------- 100 x 29 | 20 ------------------------------ 150 x 9 + 200 + 150 + 9 | 16 ------------------------------ 200 x 7 + 100 + 200 x 7 | 14 ------------------------------------------------ 150 + 250 x 4 + 200 x 3 + 250 x 4 + 150 |
3500 | 36 --------- 100 x 35 | 24 ------------------------------- 150 x 11 + 200 + 150 x 11 | 19 --------------------------- 150 + 200 x 16 + 150 | 16 ---------------------------------------------- 150 + 250 x 6 + 200 + 250 x 6 + 150 |
Диаметры продольных стержней d1 в мм | От 3 до 12 |
Рекомендуется применять в одной сетке продольные стержни одного диаметра. Допускается применять в одной сетке продольные стержни разных диаметров, различающихся не более чем в 2 раза. Пара рядом расположенных стержней, считая от края, должна иметь одинаковый диаметр | |
Диаметры поперечных стержней d2 в мм | От 3 до 10 |
Поперечные стержни должны приниматься одного диаметра | |
Расстояние между осями продольных стержней (шаг продольных стержней v в мм) | От 100 до 500 |
Шаг продольных стержней рекомендуется принимать одинаковым и кратным 100 мм (100, 200, 300 мм и т.д.). Допускается принимать переменный шаг продольных стержней, но тоже кратный 100 мм (например, чередование шагов 100 и 200 мм). При ширине сетки, не кратной 100 мм, расстояние, оставшееся после расстановки стержней с принятым шагом, следует размещать с одной стороны сетки | |
Расстояние между осями поперечных стержней (шаг поперечных стержней) u в мм | От 100 до 500 |
Шаг поперечных стержней должен быть одинаковым в составе одной сетки и кратным 50 мм | |
Расстояние от торца поперечного стержня до оси продольного стержня c в мм | Не менее 20 |
Расстояние между осями крайних продольных стержней B в мм | Не более 3750 |
Длина сетки: | |
из продольных стержней диаметром до 7 мм включительно | Не ограничивается |
из стержней диаметром более 7 мм | Не более 9 м |
Сетки должны иметь прямоугольный контур с взаимно перпендикулярным расположением продольных и поперечных стержней. Как продольные, так и поперечные стержни должны иметь одинаковую длину без отгибов, крюков или петель на концах |

![]() | Диаметры продольных стержней d1 | От 5 до 25 мм |
В одном каркасе могут быть продольные стержни разных диаметров | ||
Диаметры поперечных стержней d2 | От 4 до 12 мм | |
Поперечные стержни могут применяться только из круглой стали (горячекатаной класса А-I или обыкновенной арматурной проволоки). В составе одного каркаса поперечные стержни должны приниматься одного диаметра | ||
Ширина каркаса (расстояние между осями крайних продольных стержней) B | От 75 до 725 мм | |
Расстояние между осями поперечных стержней (шаг поперечных стержней) u | От 100 до 400 мм | |
Шаг поперечных стержней должен приниматься кратным 50 мм. Допускается применение в одном каркасе не более двух разных шагов поперечных стержней | ||
Длина каркаса A (расстояние между осями крайних поперечных стержней) | До 7200 мм | |
Каркасы должны иметь прямоугольный контур с взаимно перпендикулярными ячейками. Продольные и поперечные стержни должны иметь одинаковую длину без отгибов, крюков или петель на концах |
Тип каркаса | B в мм | c в мм | u в мм | v в мм | v1 в мм | c1 в мм |
I | 75 - 725 | От 15 до 300 | 100, 150, | Не менее 100 <**> | 50 <*>, 75 и более | От 15 до 200 |
II | 200 - 725 | 200, 250, | ||||
III | 200 - 725 | 300, 350, | ||||
IV | 300 - 725 | 400 | ||||
V | 400 - 725 |
Максимальный диаметр свариваемых стержней в мм: | |
из стали класса А-I | 40 |
то же, А-II, А-III | 36 |
Максимальная ширина свариваемых изделий в мм: | |
при нечетном числе продольных стержней | 1000 |
при четном числе продольных стержней | 1000 + расстояние между двумя средними продольными стержнями |
Максимальная длина каркаса: | |
при диаметре продольных стержней до 6 мм включительно | Не ограничивается |
то же, более 6 мм | Желательно не более 6 - 7 м |
Шаги между продольными и поперечными стержнями | Не менее указанных в табл. 9.5 |







; б -
; в -
;В пучковой арматуре должны предусматриваться зазоры между отдельными проволоками или группами проволок (путем установки спиралей внутри пучка, коротышей в анкерах и т.п.), обеспечивающие прохождение между проволоками пучка цементного или цементно-песчаного раствора при заполнении каналов. |
9.87 (12.56). Стальные закладные детали с анкерами должны, как правило, состоять из отдельных пластинок (уголков или фасонной стали) с приваренными к ним торцом под слоем флюса анкерными стержнями преимущественно периодического профиля; число анкерных стержней рекомендуется, как правило, принимать не менее четырех (рис. 9.39); постановка двух анкерных стержней допускается при условии, если сдвигающая сила действует перпендикулярно к плоскости, в которой расположены эти стержни, и при отсутствии изгибающего момента. |

Если сжимающее усилие на уровне крайнего ряда сжатых анкеров Nсж (см. п. 4.142) меньше или равно 0,3 сдвигающей силы, то следует: а) приваривать к закладной детали упорные пластинки (или коротыши из арматурных стержней) шириной или диаметром не менее 10 мм, располагая их между анкерами в пределах защитного слоя бетона; |
При наличии растягивающих усилий во всех анкерах и при одновременном действии сдвигающей силы следует предусматривать специальные мероприятия для восприятия сдвигающей силы. Число анкерных стержней, приваренных внахлестку, принимается не менее двух, а расположение их должно быть симметричным по отношению к плоскости сдвигающей силы. Угол наклона этих анкеров к направлению сдвигающей силы должен быть не больше 25 и не меньше 15° (рис. 9.40). |

Постановка только одних анкеров, приваренных внахлестку, не разрешается. |
N п/п | Вид сварки | Арматурная сталь | Предельные размеры и соотношения | Эскизы | |||
d в мм | |||||||
мин. | макс. | ||||||
Дуговая сварка под флюсом <*> | А-I | 10 | 16 (25) | ![]() | |||
А-II | 10 | 16 (25) | 8 - 12 | >= 0,75 | |||
А-III | 10 | 16 (25) | (6 - 20) | (>= 0,6) | |||
2 | Дуговая сварка многослойными кольцевыми швами <***>: | А-I | 8 | 40 | >= 6 | >= 0,75 | ![]() |
А-II | 10 | 40 | >= 8 | >= 0,75 | |||
А-III | 8 | 40 | >= 8 | >= 0,75 | |||
А-IV | 10 | 32 | >= 8 | >= 0,75 | |||
Дуговая сварка швами в отверстие с раззенковкой | А-I | 8 | 40 | >= 6 | >= 0,75 | ![]() | |
А-II | 10 | 40 | >= 8 | ||||
А-III | 8 | 40 | >= 6 | ||||
N п/п | Вид сварки | Арматурная сталь | Предельные размеры и соотношения | Эскизы | ||||
d в мм | l/d | |||||||
мин. | макс. | |||||||
Контактная точечная сварка | А-I | 6 | 25 | 3 - 10 | 1 - 0,4 | >= 5d (2 точки) | ![]() | |
А-II | 10 | |||||||
А-III | 6 | |||||||
Дуговая сварка фланговыми швами <*> | А-I | 8 | 40 | >= 4 | >= 0,3 | >= 4 | ![]() | |
А-II | 10 | >= 5 | ||||||
А-III | 8 | >= 5 | ||||||


a - | для анкеров из стали класса | А-II - | 4dр; |
то же, | А-III - | 5dр; | |
b - | для анкеров из стали класса | А-II - | 6dр; |
то же, | А-III - | 7dр; | |
c - | для анкеров из стали класса | А-II - | 3dр; |
то же, | А-III - | 3,5dр. |
9.91 (12.55). Закладные детали рекомендуется проектировать так, чтобы они не выступали за плоскости граней элемента. |
9.95 (12.50). При стыковании сборных железобетонных элементов усилия от одного элемента к другому допускается передавать через стыкуемую рабочую арматуру, стальные закладные детали, заполняемые бетоном или раствором швы, бетонные шпонки или (для сжатых элементов) - непосредственно через бетонные поверхности стыкуемых элементов. 9.96 (12.53 и 12.55). Стыки сборных железобетонных элементов, воспринимающие расчетные растягивающие усилия, рекомендуется выполнять одним из следующих способов: а) сваркой стальных закладных деталей; б) сваркой выпусков арматуры; в) для предварительно напряженных конструкций - пропуском через каналы или пазы стыкуемых элементов пучков, прядей, болтов или стержней арматуры с последующим натяжением их и заполнением пазов и каналов цементным или цементно-песчаным раствором. |
ИС МЕГАНОРМ: примечание. Взамен СНиП II-В.3-62 Постановлением Госстроя СССР от 29.12.1972 N 222 с 01.07.1973 введены в действие СНиП II-В.3-72. Взамен СНиП II-В.3-72 Постановлением Госстроя СССР от 14.08.1981 N 144 с 01.01.1982 введены в действие СНиП II-23-81. |
В конструкциях сварных стыков и закладных деталей следует предусматривать способы сварки, не вызывающие значительного коробления стальных деталей стыка. При проектировании стыков сборных элементов следует предусматривать такие соединения закладных деталей, при которых не происходило бы разгибания их элементов, а также выколов бетона. |
9.97 (12.54). Стыки сборных железобетонных элементов с напрягаемой арматурой из горячекатаной стали допускается выполнять сваркой выпусков арматуры, не имеющей предварительного напряжения; если применяется арматура, подвергнутая до сварки механическому упрочнению (без повторной вытяжки после сварки), то рекомендуется применять такие типы сварных соединений, при которых практически не снижаются механические свойства упрочненного металла (по указаниям соответствующих нормативных документов); в противном случае расчетное сопротивление арматуры в зоне стыка следует принимать как для неупрочненной стали. 9.98 (12.51). Стыки сборных элементов следует, как правило, замоноличивать путем заполнения швов между элементами бетоном или раствором. Если при изготовлении сборных железобетонных элементов специальными мерами обеспечивается плотная подгонка бетонных поверхностей друг к другу (например, путем использования торца одного из стыкуемых элементов в качестве опалубки для торца другого), то допускается при передаче через стык только сжимающего усилия выполнение стыков "насухо". |
9.99 (12.57). Концевые части стыкуемых сжатых элементов (например, концы сборных колонн) должны проектироваться с усилением сжатой зоны сечения вблизи стыка по сравнению с ее прочностью, требуемой по расчету на действующие в этом сечении усилия: |
При стыковании сжатых элементов с обрывом рабочей арматуры в месте стыка (например, в стыках колонн со сферическим шарниром, в местах опирания сжатых элементов по всей поверхности торца и т.п.) концы стыкуемых элементов должны усиляться косвенным армированием в виде сеток, расчет которого должен производиться по формуле (4.296), п. 4.131. Монтажные петли 9.100 (12.66). В сборных элементах должны предусматриваться мероприятия для захвата их при подъеме (закладка стальных труб для образования отверстий, устройство подъемных петель из арматурных стержней и т.п.). Петли для подъема должны выполняться из круглой горячекатаной стали согласно указаниям п. 2.25 и привариваться или привязываться к арматурному каркасу. |


Диаметр стержня петли в мм | Нормативное усилие от собственного веса сборного железобетонного элемента, приходящееся при подъеме на одну петлю, в кг |
6 | 100 |
8 | 300 |
10 | 700 |
12 | 1100 |
14 | 1500 |
16 | 2000 |
18 | 2500 |
20 | 3100 |
22 | 3800 |
25 | 4900 |
28 | 6100 |
32 | 8000 |
, где Fа.ф - площадь сечения стержня, из которого выполняется петля. При этом длина запуска принимается не менее 15d, не менее 250 мм и не менее величины, обеспечивающей возможность зацепления петли за арматуру каркаса.9.101 (12.60). В сборно-монолитных железобетонных конструкциях должна быть обеспечена надежная связь между сборными элементами и дополнительно уложенным бетоном. Для этого по поверхности их сопряжения необходимо предусматривать устройство шпонок, воспринимающих продольные скалывающие усилия. Количество и размеры шпонок должны назначаться в соответствии с указаниями п. 4.144. В сжатой зоне сборно-монолитных конструкций допускается не предусматривать шпонок, если приняты меры по приданию поверхностям сборных элементов шероховатости и если при этом величина скалывающих напряжений по поверхности контакта между сборным элементом и дополнительно уложенным бетоном не превышает В неразрезных сборно-монолитных перекрытиях шпонки со стороны верхней растянутой зоны (на приопорных участках) должны обязательно предусматриваться не только на участке с отрицательными моментами, но и за нулевой точкой эпюры моментов, до места обрыва расчетной продольной арматуры. На поверхностях сборных элементов, соприкасающихся с монолитным бетоном, следует в соответствии с расчетными или конструктивными требованиями выпускать поперечную арматуру нормально к поверхности элемента или в направлении главных растягивающих напряжений. Выпускаемые стержни должны иметь надежную анкеровку в дополнительно уложенном бетоне. 9.102 (13.3). В сборно-монолитных железобетонных конструкциях (армированных предварительно напряженными элементами) должны обеспечиваться сцепление предварительно напряженных сборных элементов с дополнительно укладываемым бетоном (см. п. 1.10), а также анкеровка их концевых участков. Кроме того, должны предусматриваться мероприятия, обеспечивающие совместную работу элементов в поперечном направлении (установка поперечной арматуры или предварительно напряженных элементов в поперечном направлении). ТРЕБОВАНИЯ, УКАЗЫВАЕМЫЕ НА РАБОЧИХ ЧЕРТЕЖАХ а) проектная марка бетона по прочности на сжатие и в случаях, предусмотренных в п. 2.2, марка бетона по прочности на растяжение и марка его по морозостойкости и водонепроницаемости; для предварительно напряженных железобетонных конструкций, кроме того, проектные марки по прочности на сжатие бетона и раствора, используемых для образования защитных слоев, прочность цементного или цементно-песчаного раствора, примененного для заполнения каналов, а также принятая в проекте кубиковая прочность бетона при его обжатии (в том числе и при повторном обжатии); б) объемный вес легкого бетона; в) вид арматуры (стержневая или проволочная) и ее профиль; класс стержневой арматуры, а в необходимых случаях (например, для конструкций, работающих при низких температурах или рассчитываемых на выносливость) и марка стали; номер ГОСТа, а при его отсутствии - номер технических условий на данный вид арматуры; способы соединений и анкеровки арматуры и места ее анкеровки (в предварительно напряженных конструкциях все данные приводятся отдельно для напрягаемой и ненапрягаемой арматуры); |
г) величина усилия натяжения (напряжения), последовательность натяжения пучков или стержней; изменение разности температур натянутой арматуры и упоров при пропаривании или прогреве бетона; условия и порядок отпуска натяжения арматуры; при повторном натяжении арматуры на отвердевший бетон - величина усилия повторного натяжения и время выдержки между первым и повторным натяжениями; схема очередности навивки непрерывной арматуры и места крепления ее концов; д) недопустимость передачи постоянной или временной нагрузки непосредственно на арматуру (путем подвески к ней опалубки, вспомогательного оборудования и т.п.), если эта нагрузка не учтена в расчете; е) радиусы закругления напрягаемой арматуры криволинейного очертания, места перехода от одной кривизны к другой, а также конструкция и места расположения вспомогательных устройств, уменьшающих трение арматуры о стенки каналов и предохраняющих бетон от местного смятия; ж) места расположения отводов (тройников) для нагнетания цементного или цементно-песчаного раствора и последовательность заполнения каналов, а также требование о необходимости заполнения каналов и устройстве защитного слоя бетона сразу же после окончания натяжения всей арматуры, расположенной в каналах, выемках или на поверхности конструкций; з) мероприятия по антикоррозионной защите и по защите от воздействия высоких температур, если таковые необходимы; и) толщина защитного слоя бетона для рабочей арматуры, а также необходимость установки соответствующих диафрагм, подставок, шпилек и тому подобных приспособлений, обеспечивающих проектное положение арматуры; расстояния между стержнями арматуры в основных сечениях элементов; к) в необходимых случаях - расчетные схемы и нагрузки. 9.104 (1.22). В рабочих чертежах элементов сборных и сборно-монолитных конструкций или в пояснительной записке к ним кроме данных, перечисленных в п. 9.103, должны быть указаны: а) наименьшие размеры опорных участков, степень (качество) их отделки и способы опирания; в необходимых случаях для предварительно напряженных железобетонных элементов - требование обжатия бетона поперечной арматурой, устанавливаемой у конца элемента, до его обжатия продольной арматурой, с целью отдаления момента появления трещин в торцовых участках; б) места для захвата элементов при подъеме и монтаже, места их опирания при транспортировании и складировании; в) места обрезки напрягаемой арматуры изготовленного предварительно напряженного элемента и способы защиты от коррозии и высокой температуры при сварке этой арматуры, а также стальных анкерных устройств и закладных деталей, выступающих на поверхность конструкций; для конструкций с напрягаемой непрерывной арматурой, наматываемой на штыри или закладные детали, удаляемые из бетона, необходимо также указывать требование о заполнении выемок или гнезд бетоном или раствором; г) требования по выполнению стыков и узлов (характер обработки стыкуемых поверхностей, способ сварки, тип или марка электрода, мероприятия по антикоррозионной защите стальных закладных деталей, соединительных накладок и связей, если таковая необходима, а также данные по обетонированию стыков и узлов); в необходимых случаях в предварительно напряженных железобетонных элементах - указывать материал, конструкцию и места расположения трубок или уплотнительных прокладок, изолирующих полости каналов от проникновения бетона или раствора, укладываемых встык, а при выполнении стыка "насухо" - прокладок, предотвращающих вытекание раствора из канала при инъецировании; д) требования о нанесении заводом-изготовителем меток (рисок), необходимых для обеспечения качественной укрупнительной сборки конструкций, а для элементов с трудноразличимым верхом или торцами (например, прямоугольного сечения с одиночным или несимметричным двойным армированием) - требования о нанесении заводом-изготовителем маркировки (надписи), обеспечивающей правильность положения таких элементов при их подъеме, транспортировании и укладке; | ||||
| ||||
ж) для элементов, образцы которых согласно требованиям ГОСТ 8829-66 "Изделия железобетонные сборные. Методы испытаний и оценки прочности, жесткости и трещиностойкости" или других нормативных документов испытываются до разрушения, должны указываться схемы испытания, величины контрольных нагрузок и контрольных прогибов, а для предварительно напряженных элементов - также величина контрольной нагрузки, соответствующая образованию трещин в бетоне; |
Номинальный диаметр (dн) стержней в мм | Расчетная площадь поперечного сечения в см2 при числе стержней | Теоретический вес 1 пог. м в кг | Выпускаемые диаметры для сталей классов | |||||||||||
1 | 2 | 3 | 4 | 5 | 6 | 7 | 8 | 9 | А-I | А-II | А-III | А-IV | ||
6 | 0,283 | 0,57 | 0,85 | 1,13 | 1,41 | 1,7 | 1,98 | 2,26 | 2,54 | 0,222 | X | X | ||
7 | 0,385 | 0,77 | 1,15 | 1,54 | 1,92 | 2,31 | 2,69 | 3,08 | 3,46 | 0,302 | X | X | ||
8 | 0,503 | 1,01 | 1,51 | 2,01 | 2,51 | 3,02 | 3,52 | 4,02 | 4,52 | 0,395 | X | X | ||
9 | 0,636 | 1,27 | 1,91 | 2,54 | 3,18 | 3,82 | 4,45 | 5,09 | 5,72 | 0,499 | X | X | ||
10 | 0,785 | 1,57 | 2,36 | 3,14 | 3,93 | 4,71 | 5,5 | 6,28 | 7,07 | 0,617 | X | X | X | X |
12 | 1,131 | 2,26 | 3,39 | 4,52 | 5,65 | 6,79 | 7,92 | 9,05 | 10,18 | 0,888 | X | X | X | X |
14 | 1,539 | 3,08 | 4,62 | 6,16 | 7,69 | 9,23 | 10,77 | 12,31 | 13,85 | 1,208 | X | X | X | X |
16 | 2,011 | 4,02 | 6,03 | 8,04 | 10,05 | 12,06 | 14,07 | 16,08 | 18,1 | 1,578 | X | X | X | X |
18 | 2,545 | 5,09 | 7,63 | 10,18 | 12,72 | 15,27 | 17,81 | 20,36 | 22,9 | 1,998 | X | X | X | X |
20 | 3,142 | 6,28 | 9,42 | 12,56 | 15,71 | 18,85 | 21,99 | 25,13 | 28,27 | 2,466 | X | X | X | X |
22 | 3,801 | 7,6 | 11,4 | 15,2 | 19 | 22,81 | 26,61 | 30,41 | 34,21 | 2,984 | X | X | X | X |
25 | 4,909 | 9,82 | 14,73 | 19,64 | 24,54 | 29,45 | 34,36 | 39,27 | 44,18 | 3,85 | X | X | X | X |
28 | 6,158 | 12,32 | 18,47 | 24,63 | 30,79 | 36,95 | 43,1 | 49,26 | 55,42 | 4,83 | X | X | X | X |
32 | 8,043 | 16,09 | 24,13 | 32,17 | 40,21 | 48,26 | 56,3 | 64,34 | 72,38 | 6,31 | X | X | X | X |
36 | 10,179 | 20,36 | 30,54 | 40,72 | 50,89 | 61,07 | 71,25 | 81,43 | 91,61 | 7,99 | X | X | X | |
40 | 12,566 | 25,13 | 37,7 | 50,27 | 62,83 | 75,4 | 87,96 | 100,53 | 113,1 | 9,87 | X | X | X | |
45 | 15,904 | 31,81 | 47,71 | 63,62 | 79,52 | 95,42 | 111,33 | 127,23 | 143,13 | 12,49 | X | |||
50 | 19,635 | 39,27 | 58,91 | 78,54 | 98,18 | 117,81 | 137,45 | 157,08 | 176,72 | 15,41 | X | |||
55 | 23,76 | 47,52 | 71,28 | 95,04 | 118,8 | 142,56 | 166,32 | 190,08 | 213,84 | 18,65 | X | |||
60 | 28,27 | 56,54 | 84,81 | 113,08 | 141,35 | 169,62 | 197,89 | 226,16 | 254,43 | 22,19 | X | |||
70 | 38,48 | 76,96 | 115,44 | 153,92 | 192,4 | 230,88 | 269,36 | 307,84 | 346,32 | 30,21 | X | |||
80 | 50,27 | 100,55 | 150,81 | 201,08 | 251,35 | 301,62 | 351,9 | 402,15 | 452,43 | 39,46 | X | |||
90 | 63,62 | 127,24 | 190,86 | 254,48 | 318,1 | 381,72 | 445,34 | 508,96 | 572,58 | 49,94 | X | |||
ИС МЕГАНОРМ: примечание. |
Номинальный диаметр стержней в мм | Расчетные площади поперечного сечения в см2 при числе стержней | Теоретический вес 1 пог. м в кг | Обыкновенная арматурная проволока | Высокопрочная арматурная проволока | ||||||||
1 | 2 | 3 | 4 | 5 | 6 | 7 | 8 | 9 | ||||
3 | 0,071 | 0,14 | 0,21 | 0,28 | 0,35 | 0,42 | 0,49 | 0,57 | 0,64 | 0,055 | X | X |
3,5 | 0,096 | 0,19 | 0,29 | 0,38 | 0,48 | 0,58 | 0,67 | 0,77 | 0,86 | 0,075 | X | |
4 | 0,126 | 0,25 | 0,38 | 0,5 | 0,63 | 0,75 | 0,88 | 1,01 | 1,13 | 0,099 | X | X |
4,5 | 0,159 | 0,32 | 0,48 | 0,64 | 0,8 | 0,95 | 1,11 | 1,27 | 1,43 | 0,125 | X | |
5 | 0,196 | 0,39 | 0,59 | 0,79 | 0,98 | 1,18 | 1,37 | 1,57 | 1,77 | 0,154 | X | X |
5,5 | 0,238 | 0,48 | 0,71 | 0,95 | 1,19 | 1,43 | 1,66 | 1,9 | 2,14 | 0,187 | X | |
6 | 0,283 | 0,57 | 0,85 | 1,13 | 1,41 | 1,70 | 1,98 | 2,26 | 2,54 | 0,222 | X | X |
7 | 0,385 | 0,77 | 1,15 | 1,54 | 1,92 | 2,31 | 2,69 | 3,08 | 3,46 | 0,302 | X | X |
8 | 0,503 | 1,01 | 1,51 | 2,01 | 2,51 | 3,02 | 3,52 | 4,02 | 4,52 | 0,395 | X | X |
426-61Номинальный диаметр пряди в мм | Диаметр наружных проволок в мм | Площадь поперечного сечения пряди в см2 | Теоретический вес 1 пог. м пряди в кг |
4,5 | 1,5 | 0,127 | 0,099 |
6 | 2 | 0,226 | 0,176 |
7,5 | 2,5 | 0,354 | 0,276 |
9,0 | 3 | 0,509 | 0,397 |
12 | 4 | 0,908 | 0,703 |
15 | 5 | 1,415 | 1,113 |
ГОСТ | Конструкция каната | Диаметр в мм | Площадь поперечного сечения в см2 | Теоретический вес 1 пог. м каната в кг | |
каната | отдельных проволок | ||||
3066-55 | 7X7 | 11 | 1,2 | 0,55 | 0,5 |
7X7 | 12 | 1,3 | 0,65 | 0,58 | |
7X7 | 13 | 1,4 | 0,75 | 0,68 | |
7X7 | 13,5 | 1,5 | 0,86 | 0,78 | |
7X7 | 14,5 | 1,6 | 0,98 | 0,88 | |
7X7 | 15,5 | 1,7 | 1,11 | 1 | |
7X7 | 16,5 | 1,8 | 1,24 | 1,12 | |
7X7 | 18 | 2 | 1,54 | 1,38 | |
7X7 | 20 | 2,2 | 1,86 | 1,67 | |
7X7 | 22 | 2,4 | 2,21 | 1,99 | |
7X7 | 23,5 | 2,6 | 2,6 | 2,33 | |
7X7 | 25,5 | 2,8 | 3,01 | 2,7 | |
7X7 | 27 | 3 | 3,46 | 3,1 | |
3067-55 | 7X19 | 19,5 | 1,3 | 1,76 | 1,56 |
7X19 | 21 | 1,4 | 2,05 | 1,81 | |
7X19 | 22,5 | 1,5 | 2,34 | 2,07 | |
7X19 | 24 | 1,6 | 2,67 | 2,37 | |
7X19 | 25,5 | 1,7 | 3,02 | 2,67 | |
7X19 | 27 | 1,8 | 3,38 | 2,99 | |
7X19 | 30 | 2 | 4,18 | 3,7 | |
7X19 | 33 | 2,2 | 5,05 | 4,48 | |
7X19 | 36 | 2,4 | 6,01 | 5,33 | |
7X19 | 39 | 2,6 | 7,06 | 6,26 | |
7X19 | 42 | 2,8 | 8,18 | 7,25 | |
7X19 | 45 | 3 | 9,4 | 8,33 | |
3068-55 | 7X37 | 27,5 | 1,3 | 3,45 | 3,03 |
7X37 | 29,5 | 1,4 | 4 | 3,51 | |
7X37 | 31,5 | 1,5 | 4,57 | 4,01 | |
7X37 | 34 | 1,6 | 5,22 | 4,58 | |
7X37 | 36 | 1,7 | 5,89 | 5,17 | |
7X37 | 38 | 1,8 | 6,59 | 5,79 | |
7X37 | 42 | 2 | 8,15 | 7,15 | |
7X37 | 46,5 | 2,2 | 9,9 | 8,69 | |
7X37 | 50,5 | 2,4 | 11,73 | 10,29 | |
7X37 | 55 | 2,6 | 13,78 | 12,08 | |
7X37 | 59 | 2,8 | 15,96 | 14 | |
7X37 | 63 | 3 | 18,34 | 16,09 | |
7X37 | 67,5 | 3,2 | 20,85 | 18,29 | |
7X37 | 73,5 | 3,5 | 31,36 | 27,5 | |
Технические условия | Конструкция каната | Диаметры в мм | Номинальная площадь поперечного сечения в см2 | Вес 1 пог. м в кг | |
канатов | проволок | ||||
ЧМТУ/ЦНИИЧМ 258-60 | 2X7 | 9 | 1,5 | 0,254 | 0,2 |
2X7 | 12 | 2 | 0,452 | 0,37 | |
2X7 | 15 | 2,5 | 0,708 | 0,57 | |
2X7 | 18 | 3 | 1,018 | 0,83 | |
2X19 | 15 | 1,5 | 0,68 | 0,54 | |
2X19 | 20 | 2 | 1,206 | 0,96 | |
2X19 | 25 | 2,5 | 1,886 | 1,49 | |
2X19 | 30 | 3 | 2,716 | 2,15 | |
Наименование и класс арматурной стали | Условные обозначения (индекс) | Пример условного обозначения арматуры |
Горячекатаная арматурная сталь гладкая класса А-I | А-I | ![]() |
Горячекатаная арматурная сталь периодического профиля: | ||
класса А-II | А-II | ![]() |
" А-III | А-III | ![]() |
" А-IV | А-IV | ![]() |
Арматурная сталь, упрочненная вытяжкой: | ||
класса А-IIв | А-IIв | ![]() |
" А-IIIв | А-IIIв | ![]() |
Обыкновенная арматурная проволока гладкая | В-I | ![]() |
Высокопрочная арматурная проволока: | ||
гладкая | В-II | ![]() |
периодического профиля | Вр-II | ![]() |
Арматурные пряди семипроволочные | П7 | ![]() |
Арматурные канаты многопрядные | К7x7 <*> | ![]() |
N0 - | равнодействующая усилий в напрягаемой арматуре до обжатия бетона или в напрягаемой и ненапрягаемой арматуре при напряжении в бетоне, равном нулю; |
Nн - | равнодействующая усилий напрягаемой арматуры после обжатия бетона. |
R - | проектная марка бетона по прочности на сжатие (кубиковая прочность бетона); |
Rпр и | соответственно расчетное и нормативное сопротивление бетона осевому сжатию (призменная прочность); |
Rи и | соответственно расчетное и нормативное сопротивление бетона сжатию при изгибе; |
Rр и | соответственно расчетное и нормативное сопротивление бетона растяжению; |
Rт - | расчетное сопротивление бетона растяжению при расчете предварительно напряженных элементов по образованию трещин и при проверке необходимости расчета железобетонных элементов по раскрытию трещин; |
нормативное сопротивление арматуры; | |
Rа - | расчетное сопротивление продольной растянутой арматуры и поперечной арматуры при расчете на изгиб по косому сечению; |
Rа.х - | расчетное сопротивление поперечной арматуры при расчете на поперечную силу; |
Rа.с - | расчетное сопротивление сжатой арматуры; |
Eб - | начальный модуль упругости бетона при сжатии и растяжении; |
Eа - | модуль упругости арматуры; ![]() |
b - | ширина прямоугольного сечения; ширина ребра таврового или двутаврового сечения; двойная толщина стенки кольцевого или коробчатого сечения; |
h - | высота прямоугольного, таврового или двутаврового сечения; |
bп и hп - | ширина и высота полки в растянутой зоне таврового и двутаврового сечений; |
ширина и высота полки в сжатой зоне таврового и двутаврового сечений; | |
a - | расстояние от наиболее растянутого или наименее сжатого края сечения элемента до равнодействующей усилий в арматуре А; |
aа - | то же, до равнодействующей усилий в арматуре Аа; |
aн - | то же, до равнодействующей усилий в арматуре Ан; |
a' - | расстояние от наиболее сжатого или наименее растянутого края сечения элемента до равнодействующей усилий в арматуре А'; |
то же, до равнодействующей усилий в арматуре | |
то же, до равнодействующей усилий в арматуре | |
h0 - | рабочая высота сечения, равная h - a; |
рабочая высота сечения, равная h - a'; | |
x - | высота сжатой зоны сечения; |
z - | расстояние между равнодействующими сжимающих и растягивающих усилий в сечении (плечо внутренней пары сил); |
zб - | расстояние между центром тяжести сжатой зоны бетона и равнодействующей усилий в арматуре А; |
e и e' - | расстояния от точки приложения продольной силы соответственно до равнодействующей усилий в арматуре А и А'; |
d - | номинальный диаметр рабочей арматуры; |
F - | площадь всего бетона в поперечном сечении элемента; |
Fб - | площадь сечения сжатой зоны бетона; |
Fп - | приведенная площадь поперечного сечения элемента с учетом всей продольной арматуры; |
Jп - | момент инерции приведенного поперечного сечения элемента с учетом всей продольной арматуры; |
Fа - | площадь сечения всей продольной ненапрягаемой арматуры для центрально сжатых и центрально растянутых элементов; в остальных случаях - площадь сечения продольной арматуры Аа; |
Fн - | то же, для напрягаемой арматуры Ан; |
площадь сечения продольной арматуры | |
то же, для напрягаемой арматуры Ан; | |
S0 и | статические моменты площади всего рабочего сечения бетона относительно оси, нормальной к плоскости действия изгибающего момента и проходящей через точку приложения равнодействующей усилий соответственно в арматуре А и в арматуре А'; |
Sб - | статический момент площади сжатой зоны бетона относительно оси, нормальной к плоскости действия изгибающего момента и проходящей через точку приложения равнодействующей усилий в арматуре А; |
Sа и | статические моменты площади сечения продольной ненапрягаемой арматуры относительно оси, нормальной к плоскости действия изгибающего момента и проходящей через точку приложения равнодействующей усилий соответственно в арматуре А и в арматуре А'; |
Sн и | то же, для напрягаемой арматуры; |
l0 - | расчетная длина элемента. |