Главная // Актуальные документы // Рекомендация / РекомендацииСПРАВКА
Источник публикации
М.: ЦНИИСК им. В.А. Кучеренко, 1973
Примечание к документу
Название документа
"Рекомендации по проектированию висячих конструкций"
"Рекомендации по проектированию висячих конструкций"
ПО ПРОЕКТИРОВАНИЮ ВИСЯЧИХ КОНСТРУКЦИЙ
ПРЕДИСЛОВИЕ
Пространственные конструкции висячего типа вследствие малого веса, экономного расхода материалов и высоких архитектурных качеств являются весьма эффективными для покрытий, применяемых в производственных и общественных зданиях.
Экономичность этих конструкций связана с рациональным использованием высокопрочных сталей, с совмещением несущих и ограждающих функций и с лучшим использованием в ряде случаев объемов сооружений для увеличения конструктивной высоты.
Перекрытие больших площадей с помощью висячих конструкций позволяет освободить помещение от промежуточных опор и тем самым дает возможность лучше использовать перекрываемые площади.
В Советском Союзе с помощью висячих конструкций перекрыты певческие эстрады в Таллине и Вильнюсе, киноконцертный зал в Харькове, дворец спорта Юбилейный в Ленинграде, цирки в Донецке, Уфе, Новосибирске и других городах, шламбассейны в Еманжелинске, гараж в Красноярске и др. Но в общем объеме покрытий, возводимых в СССР, висячие покрытия составляют доли процента. Относительно малый объем строительства висячих покрытий в Советском Союзе наряду с другими причинами связан также со значительными трудностями расчета и недостаточной проработкой способов конструирования и возведения.
За последние годы проведены крупные теоретические, а также экспериментальные исследования висячих покрытий. Данные этих работ в большинстве своем разбросаны в отдельных изданиях и, как правило, слишком сложны для непосредственного практического использования.
Настоящие Рекомендации являются документом, в котором сделана попытка собрать и систематизировать теоретические и проектные проработки и дать проектировщикам материал, позволяющий рационально спроектировать висячие покрытия для зданий различного назначения.
Рекомендации разработаны в лаборатории стальных конструкций отделения прочности и новых форм металлоконструкций ЦНИИСК им. Кучеренко (зав. отделением д-р техн. наук проф. В.А. Балдин, зав. лабораторией д-р техн. наук проф. С.А. Ильясевич) с участием лаборатории спецконструкций НИИЖБ (зав. лабораторией канд. техн. наук И.Г. Людковский).
Рекомендации составлены следующими авторами: канд. техн. наук Н.С. Москалевым (ЦНИИСК им. Кучеренко), разработавшим главы:
"Общие указания";
"Основные расчетные положения";
"Расчет висячих покрытий", принимавшим участие в разработке главы "
Материалы для висячих покрытий", раздела "
Нити с изгибной жесткостью", канд. техн. наук Т.А. Усачевым, разработавшим главы "
Особенности возведения висячих покрытий", "
Опорные конструкции висячих покрытий", участвовавшим в разработке разделов "
Рекомендации по конструированию элементов и узлов" и "
Особенности возведения висячих покрытий", инж. М.А. Ивановым (НИИЖБ), разработавшим главу "
Материалы висячих покрытий" и раздел "
Расчет первоначально плоских круглых мембран на равномерную нагрузку".
| | ИС МЕГАНОРМ: примечание. В официальном тексте документа, видимо, допущена опечатка: раздел "Расчет многопролетной нити" отсутствует. | |
В разработке отдельных вопросов принимали участие канд. техн. наук Ю.С. Мкрчанц (ЦНИИСК им. Кучеренко) в главе "
Особенности возведения висячих покрытий", раздела "
Нити с изгибной жесткостью" и в подготовке текста, инж. А.А. Филякин и М.А. Иванов (НИИЖБ) в разделе "Расчет многопролетной нити", инж. Крохинов А.А. (ЭКБ ЦНИИСК) и инж. В.М. Козарян (ХИСИ) в разделе "
Нити с изгибной жесткостью".
Приложение 2 "Анкеровка вант с помощью гильзоклиновых анкеров" составлено по работам канд. техн. наук Телегина В.Я. и Шифрина М.А. (ВНИИМонтажспецстрой);
Приложения 3 и
4 "Анкеровка вант с заливкой во втулки" и "Данные по конструкции втулок" разработаны в ЦНИИПСК (докт. техн. наук Соколов А.Г., канд. техн. наук Селезнева Е.Н., инж. Попов Г.Д.).
Приложение 5 "Расчет сжатой распорки" разработано В.Н. Лабутиным.
Таблицы 6 и
7 Приложения 1 составили инж. Кориткина Г.П. и инж. Кондратьев Б.Т. (ЦНИИСК им. Кучеренко). Оформление таблиц, рисунков и графиков выполнено техниками Кулаковой Г.И. (ЦНИИСК им. Кучеренко) и Юговой Р.В. (НИИЖБ).
В Рекомендациях использованы результаты теоретических и экспериментальных исследований, проведенных в ЦНИИСК и НИИЖБ, конструктивные решения и проектные разработки Государственных проектных институтов ЦНИИПСК, Ленпромстройпроект, ЛенЗНИИЭП, Технические условия на проектирование висячих покрытий Воронежского инженерно-строительного института (канд. техн. наук Кирсанов Н.М.), а также труды д-ра техн. наук проф. Качурина В.К. и канд. техн. наук Мацелинского Р.Н.
В
разделе "Нити с изгибной жесткостью" использованы работы инж. К.И. Илленко (Союзспортпроект) и инж. Телояна (МИСИ).
В
главе "Опорные конструкции" - работы д-ра техн. наук Э.Н. Кузнецова (ЦНИИСК им. Кучеренко), канд. техн. наук Е.П. Харитоновой (НИИЖБ) и инж. Ф.А. Гохбаума (НИИЖБ).
Дирекция ЦНИИСК им. В.А. Кучеренко
1.1. Настоящие Рекомендации распространяются на проектирование зданий и сооружений с висячими покрытиями.
Кроме того, указания настоящих Рекомендаций могут быть распространены на случаи реконструкции и усиления существующих покрытий и строительство временных сооружений, а также инвентарных подмостей для сооружения сборных железобетонных оболочек.
| | ИС МЕГАНОРМ: примечание. Взамен СНиП II-А.6-62 Постановлением Госстроя СССР от 10.03.1972 N 38 с 1 октября 1972 года введены в действие СНиП II-А.6-72. Взамен СНиП II-А.6-72 Постановлением Госстроя СССР от 21.07.1982 N 188 с 1 января 1984 года введены в действие СНиП 2.01.01-82. | |
| | ИС МЕГАНОРМ: примечание. Взамен СНиП II-В.3-62 Постановлением Госстроя СССР от 29.12.1972 N 222 с 1 июля 1973 года введены в действие СНиП II-В.3-72. Взамен СНиП II-В.3-72 Постановлением Госстроя СССР от 14.08.1981 N 144 с 1 января 1982 года введены в действие СНиП II-23-81. | |
| | ИС МЕГАНОРМ: примечание. Взамен СНиП III-В.5-62 Постановлением Госстроя СССР от 20.10.1975 N 181 с 1 января 1977 года введены в действие СНиП III-18-75. | |
| | ИС МЕГАНОРМ: примечание. Взамен СНиП III-В.6-62 Постановлением Госстроя СССР от 08.09.1975 N 146 с 1 июля 1977 года введены в действие СНиП III-23-76. Взамен СНиП III-23-76 Постановлением Госстроя СССР от 13.12.1985 N 223 с 1 июля 1986 года введены в действие СНиП 3.04.03-85. | |
1.2. При проектировании зданий с висячими покрытиями следует соблюдать требования глав СНиП II-А.6-62;
II-А.10-62; II-В.3-62; III-В.5-62; III-В.6-62 и настоящих Рекомендаций.
При проектировании висячих покрытий, находящихся в особых условиях эксплуатации (сооружения химической, нефтяной и других отраслей промышленности), где покрытия подвергаются интенсивным температурным или агрессивным воздействиям; покрытия уникальных зданий и сооружений; здания и сооружения в районах вечной мерзлоты, на просадочных грунтах и т.д.; кроме того, должны учитываться требования, отражающие особенности условий работы этих сооружений.
1.3. В настоящих Рекомендациях приняты следующие наименования:
Висячими называются покрытия, в которых пролетные конструкции, непосредственно несущие нагрузку, представляют собой растянутые стержни, нити или оболочки.
Нить - гибкий криволинейный растянутый элемент, несущий поперечную нагрузку.
Жесткая нить - криволинейный растянутый элемент, несущий поперечную нагрузку и обладающий изгибной жесткостью.
Ванта - прямолинейная растянутая нить.
Мембрана - тонкая гибкая оболочка, изгибающими моментами в которой можно пренебречь по сравнению с осевыми растягивающими усилиями.
Ванты-подборы: гибкие растянутые элементы опорных конструкций вантовых систем.
Вантовая ферма - преднапряженная система, состоящая из двух соединенных друг с другом гибких поясов.
Неотъемлемой частью висячего покрытия является опорная конструкция, воспринимающая все горизонтальные и вертикальные усилия, передаваемые на нее пролетной конструкцией (вантовой системой или мембраной).
В зависимости от назначения нити могут быть:
Несущими - воспринимающими внешнюю положительную нагрузку на покрытие (перекрытие) и усилия предварительного напряжения.
Напрягающими или стабилизирующими - позволяющими создать предварительное напряжение системы и воспринимающими отрицательную нагрузку на покрытие и усилия предварительного напряжения.
1.4. При проектировании здания с висячим покрытием должны быть комплексно решены следующие вопросы:
а) очертание сооружения в плане;
б) форма поверхности покрытия;
в) способ обеспечения жесткости пролетной конструкции;
г) способ восприятия распора;
д) способ обеспечения пространственной жесткости всего сооружения.
Выбор конструктивных решений должен производиться в увязке с принимаемыми методами изготовления и возведения конструкций, а также с учетом:
а) условий эксплуатации конструкций;
б) необходимости широкого применения сборных конструкций из элементов заводского изготовления;
в) соблюдения требований по экономному расходованию металла, леса и цемента и
г) максимального снижения трудоемкости изготовления и возведения конструкций.
1.5. Висячие покрытия могут перекрывать здания любого очертания в плане.
Наиболее распространенными формами поверхностей висячих покрытий являются следующие:
а) цилиндрические (
рис. 1, а);
б) вогнутого типа (поверхности вращения, переноса и др.) - положительной Гауссовой кривизны (
рис. 1, б, в, г);
в) седловидные, шатровые и др. - отрицательной Гауссовой кривизны (
рис. 1, д, е);
г) комбинированные (складчатые, ребристые и т.п., образованные из пересекающихся поверхностей (рис. 1, ж, з).
Рис. 1. Формы поверхностей висячих покрытий
1.6. Пролетная конструкция висячего покрытия может быть выполнена в виде:
а) вантовых сеток (ортогональных, косоугольных, радиальных и т.д.) (
рис. 1, в, г, д, б, е);
б) плоских или пространственных вантовых систем (
рис. 2, а, б, в, г) или вантовых ферм (геометрически неизменяемых систем) (
рис. 2, д);
в) ванто-балочных систем (
рис. 3, а);
г) железобетонных висячих оболочек;
д) тонколистовых оболочек-мембран;
е) тканевых оболочек - тентов;
ж) комбинированных систем (
рис. 3, б).
Рис. 2. Двухпоясные вантовые системы
Рис. 3. Системы висячих покрытий
а) ванто-балочные,
б) комбинированные
1.7. Висячие покрытия должны проектироваться, как правило, предварительно напряженными. Предварительное напряжение создается с целью уменьшения деформативности покрытия и уменьшения или предотвращения появления трещин в железобетонных висячих оболочках. Для уменьшения кинематических перемещений очертание пролетной предварительно напряженной конструкции следует назначать соответствующим кривой давления при расчетном сочетании нагрузок.
Возможны следующие пути создания предварительного напряжения висячих покрытий:
а) натяжением непосредственно вант или мембраны (
рис. 4, а);
б) напряжением оттяжек, раскосов, распорок и т.п. (
рис. 4, б);
в) специальной монтажной пригрузкой системы с передачей усилий предварительного натяжения на напрягающие ванты и ограждающую конструкцию оболочки;
г) деформированием опорного контура.
Рис. 4. Способы создания преднапряжения висячих покрытий
а) напряжение непосредственно вант или мембран,
б) напряжение оттяжек раскосов, распорок и т.п.
Висячие железобетонные оболочки II и III категорий трещиностойкости допускается выполнять без предварительного напряжения при обеспечении защиты вант от коррозии.
Висячие железобетонные оболочки III категории трещиностойкости допускается выполнять без предварительного напряжения при ограничении ширины раскрытия трещин.
1.8. Вертикальные сжимающие усилия, передаваемые покрытием, воспринимаются несущими конструктивными элементами знания - стенами, стойками, колоннами - обычным способом.
Для восприятия горизонтальных усилий (распора) висячего покрытия следует назначить те элементы здания, которые в данном случае более рационально вытекают из его конструктивного решения. Это могут быть: опорные контуры, заанкеренные оттяжки, связи, использование несущих стен, перекрытий, поясов в стенах, стен лестничных клеток или рамных конструкций пристроек: пилонов, ног трибун и т.д. Возможна передача усилия на грунт. Элементы, назначаемые для восприятия распора, должны проверяться на местную устойчивость и, кроме того, в совокупности с другими элементами, связями, поперечными стенами и т.д., а если их нет, то сами должны обеспечивать общую устойчивость всего здания от действия горизонтальных и вертикальных сил.
Вертикальные растягивающие усилия покрытия должны восприниматься оттяжками, колоннами, стойками, передающими усилия на анкерные фундаменты или конструкции стены, перекрытия, способные воспринимать растяжение за счет собственного веса.
Частным случаем опорной конструкции является замкнутый опорный контур, который может быть плоским (
рис. 5, а), пространственным (
рис. 5, в, г) и комбинированным (
рис. 5, е, ж, з, и, к, л). Характерной чертой опорного контура является его самоуравновешенность в горизонтальной плоскости. Обычно опорный контур имеет вид замкнутой рамы, состоящей из прямолинейных или криволинейных элементов, но возможен контур в виде радиально сходящихся перекрестных стержней (
рис. 5, и). Наиболее экономичным опорный контур оказывается в том случае, когда при основных видах нагрузки его элементы находятся в состоянии, близком к центральному сжатию.
Рис. 5. Виды опорных контуров
а - б) плоские; в - г) пространственные;
д - м) комбинированные; 1 - опорный контур; 2 - пролетная
висячая конструкция (вантовая сеть, мембрана);
3 - ванты-подборы; 4 - распорки;
5 - арки или фермы
1.9. При незамкнутой в плане опорной конструкции распор воспринимается в уровне грунта либо сжатыми конструкциями пола, либо самим грунтом.
Усилия могут передаваться в уровень грунта при помощи изгибаемых колонн (
рис. 6, а), контрфорсов (
рис. 6, б), рамных систем (
рис. 6, в), подкосов (
рис. 6, г), заанкеренных оттяжек (
рис. 6, д) и т.п. Возникающий при этом опрокидывающий момент может восприниматься собственным весом конструкций (стен, перекрытий, трибун и т.д.) (рис. 6, в, г), фундаментами колонн и контрфорсов (рис. 6, а, б), анкерными фундаментами (рис. 6, д), комбинированными способами (рис. 6, е).
Рис. 6. Виды опорных конструкций
Обозначения:

- полное усилие в ванте,
H - распор,
V - вертикальная составляющая усилия в ванте,

- плечо удерживающего момента,

- -"- опрокидывающего момента,
P - равнодействующая собственного веса конструкций
1.10. Опорная конструкция может содержать гибкие элементы, работающие на растяжение, - ванты-подборы. Они воспринимают усилия, возникающие в пролетной конструкции, и передают их либо непосредственно в грунт, либо на другие элементы опорной конструкции. Висячие покрытия с вантами-подборами обладают повышенной деформативностью, что необходимо учитывать при назначении ограждающей конструкции покрытия.
1.11. При наличии опорного контура, воспринимающего распор, вертикальные конструкции здания, на которые этот контур опирается (колонны, несущий каркас или несущие стены), должны быть рассчитаны на деформации, возникающие в них от горизонтальных перемещений контура, вызванных переменной нагрузкой или колебаниями температуры.
1.12. Примыкание покрытия к продольным стенам, на которые это покрытие не опирается, должно обеспечивать водо- и теплоизоляцию кровли и ее сохранность в этом месте. Здесь возможны два варианта свободного примыкания: когда покрытие может перемещаться относительно стены и заделка покрытия в стену. В последнем случае стена либо должна нести часть нагрузки покрытия, либо иметь возможность перемещений относительно нижележащих конструкций. Возможна подвесная стена.
2. МАТЕРИАЛЫ ДЛЯ ВИСЯЧИХ ПОКРЫТИЙ
Сталь
2.1. Для изготовления вант и гибких элементов опорной конструкции рекомендуется применять:
| | ИС МЕГАНОРМ: примечание. Постановлением Госстандарта СССР от 21.11.1991 N 1775 с 1 января 1993 года введен в действие ГОСТ 3241-91. | |
а) канаты стальные, удовлетворяющие требованиям ГОСТ 3241-66;
| | ИС МЕГАНОРМ: примечание. Постановлением Госстандарта СССР от 23.04.1980 N 1833 с 1 января 1982 года введен в действие ГОСТ 3062-80. | |
| | ИС МЕГАНОРМ: примечание. Взамен ГОСТ 3064-66 Постановлением Госстандарта СССР от 23.04.1980 N 1833 с 1 января 1982 года введен в действие ГОСТ 3064-80. | |
- спиральные однопрядные с металлическим сердечником по ГОСТам 3062-69; 3063-66; 3064-66; 3065-66;
- двойной свивки (тросы) по ГОСТам 3066-66; 3067-66; 3068-66, 3081-69, 7669-69;
- спиральные закрытые по ГОСТам 3090-55; 7675-55, 7676-55;
б) канаты стальные двухпрядные, удовлетворяющие требованиям "Временных технических условий на двухпрядные канаты, предназначенные для армирования предварительно напряженных железобетонных конструкций" (ЧМТУ/ЦНИИЧМ 258-60);
| | ИС МЕГАНОРМ: примечание. Взамен ГОСТ 7348-63 Постановлением Госстандарта СССР от 21.01.1981 N 138 с 1 января 1983 года введен в действие ГОСТ 7348-81. | |
в) арматурные пучки и пряди из высокопрочной проволоки по ГОСТ 7348-63; 8480-63; 7372-66;
г) горячекатаную арматурную сталь периодического профиля классов А-III, А-IV, А-V, А-IIв и А-IIIв.
| | ИС МЕГАНОРМ: примечание. Взамен СНиП II-В.1-62 Постановлением Госстроя СССР от 24.11.1975 N 196 с 1 января 1977 года введены в действие СНиП II-21-75. | |
При выборе классов и марок стали в зависимости от категории покрытия и условий его эксплуатации необходимо соблюдать требования пп. 2.10 - 2.16 СНиП II-В.1-62*,
табл. 2.5 "Инструкции по проектированию железобетонных конструкций" 1968 г. и "Указаний по применению в железобетонных конструкциях стержневой арматуры" СН 390-69.
Примечания. 1. Стальные канаты и пряди для устранения неупругих деформаций должны быть подвергнуты предварительной вытяжке усилием, равным 65% от разрывного, в продолжении не менее 30 мин.
2. Применение канатов пучков и прядей из проволок диаметром менее 1,5 мм не допускается.
3. Рекомендуется преимущественно применять однопрядные спиральные канаты двойной свивки (тросы) с увеличенным шагом свивки, линейным касанием проволок, односторонней свивкой, нераскручивающиеся. По согласованию с заводом-поставщиком рекомендуется шаг свивки принимать для проволок в прядях до 16 диаметров пряди, для прядей в канатах - до 14 диаметров каната.
| | ИС МЕГАНОРМ: примечание. Взамен ГОСТ 6727-53 Постановлением Госстандарта СССР от 15.05.1980 N 2108 с 1 января 1983 года введен в действие ГОСТ 6727-80. | |
2.2. Разрешается применение в качестве вант и гибких элементов опорной конструкции горячекатаной арматурной стали классов А-I, А-II, обыкновенной арматурной проволоки по ГОСТ 6727-53, а также полосовой и фасонной стали.
2.3. Допускается для вант и гибких элементов опорной конструкции применять осваиваемые промышленностью новые специальные виды арматурных сталей в соответствии с указаниями нормативных документов на применение этих сталей.
| | ИС МЕГАНОРМ: примечание. Приказом Ростехрегулирования от 20.07.2007 N 185-ст с 1 января 2008 года введен в действие ГОСТ 380-2005. | |
2.4. Для висячих покрытий мембранного типа рекомендуется применять горячекатаную рулонную сталь по ГОСТ 8597-57 углеродистую обыкновенного качества марки ВСт3 и ВСт3пс по ГОСТ 380-60, механические свойства которой удовлетворяют требованиям ГОСТ 501-58.
2.5. Допускается применение горячекатаной прокатной тонколистовой стали по ГОСТ 3680-57 и горячекатаной тонколистовой кровельной, оцинкованной и декапированной стали по ГОСТ 8075-56 марок, указанных в п. 2.10, механические свойства которых удовлетворяют требованиям ГОСТ 501-58, 1393-47, 7118-54, 1386-47, а также стали листовой для изготовления вертикальных сварных резервуаров для хранения нефтепродуктов по ЧМТУ 5232-55.
2.6. При соответствующем обосновании допускается также применение горячекатаной стали низколегированной конструкционной по ГОСТ 501-58, 5058-65, тонколистовой качественной углеродистой конструкционной по ГОСТ 914-56, тонколистовой легированной конструкционной по ГОСТ 1542-54 и тонколистовой коррозионно-стойкой по ГОСТ 5582-61 всех вышеприведенных сортаментов.
2.7. Применение холоднокатаных сталей разрешается только при соответствующем учете в расчете анизотропности механических свойств листа в направлениях вдоль и поперек прокатки.
| | ИС МЕГАНОРМ: примечание. Взамен СНиП II-В.5-64 Постановлением Госстроя СССР от 22.07.1974 N 154 с 1 января 1975 года введены в действие СНиП II-24-74. Взамен СНиП II-24-74 Постановлением Госстроя СССР от 02.10.1985 N 167 с 1 января 1987 года введены в действие СНиП 2.03.06-85. | |
2.8. Разрешается для висячих покрытий в виде мембран применять рулоны, листы и ленты из алюминиевых сплавов по соответствующим стандартам. В этом случае необходимо соблюдать указания главы СНиП II-В.5-64.
Прочие материалы
| | ИС МЕГАНОРМ: примечание. Взамен СНиП II-В.1-62 Постановлением Госстроя СССР от 24.11.1975 N 196 с 1 января 1977 года введены в действие СНиП II-21-75. | |
2.9. Для обычных и предварительно напряженных железобетонных элементов висячих покрытий в зависимости от материала вант и характера работы элемента применяются марки бетонов, указанные в СНиП II-В.1-62*.
2.10. Для ограждающих конструкций висячих покрытий могут применяться плиты и панели из тяжелого и легкого бетона, плиты и панели из алюминиевых сплавов, стали, асбестоцемента и т.д.; из синтетических материалов, деревянные или фанерные щиты, штампованные стальные настилы, прорезиненные ткани, брезент и различные искусственные пленки. Применяя эти материалы, необходимо выполнять все требования соответствующих технических условий и инструкций к их качеству и эксплуатации.
Расчетные характеристики материалов
2.11. Расчетные сопротивления стальных канатов принимаются равными 60% от среднего разрывного напряжения каната, равного его разрывному усилию, деленному на площадь сечения всех проволок в канате.
Расчетные сопротивления двухпрядных стальных канатов (ЧМТУ 258-50) приведены в табл. 1.
Таблица 1
Расчетное сопротивление двухпрядных канатов по ЧМТУ 258-60
Обозначение канатов | Конструкция канатов | Диаметры | Номинальная площадь поперечного сечения в см2 | Номинальное сопротивление канатов в кг/см2 | Расчетные |
канатов | проволок | усилия канатов в кг | сопротивление канатов в кг/см |
2 x 7 (1,5) | 2 x 7 | 9 | 1,5 | 0,254 | 19,000 | 2710 | 10700 |
2 x 7 (2,0) | 2 x 7 | 12 | 2 | 0,452 | 18,000 | 4560 | 10100 |
2 x 7 (2,5) | 2 x 7 | 15 | 2,5 | 0,708 | 18,000 | 7150 | 10100 |
2 x 7 (3,0) | 2 x 7 | 18 | 3 | 1,018 | 17,000 | 9690 | 9600 |
2 x 19 (2,0) | 2 x 19 | 15 | 1,5 | 0,68 | 19,000 | 7220 | 10700 |
2 x 19 (2,0) | 2 x 19 | 20 | 2 | 1,206 | 18,000 | 12150 | 10100 |
2 x 19 (2,5) | 2 x 19 | 25 | 25 | 1,886 | 18,000 | 18990 | 10100 |
2 x 19 (3,0) | 2 x 19 | 30 | 3 | 2,716 | 17,000 | 25820 | 9500 |
| | ИС МЕГАНОРМ: примечание. Взамен СНиП II-В.1-62 Постановлением Госстроя СССР от 24.11.1975 N 196 с 1 января 1977 года введены в действие СНиП II-21-75. | |
| | ИС МЕГАНОРМ: примечание. Взамен ГОСТ 7348-63 Постановлением Госстандарта СССР от 21.01.1981 N 138 с 1 января 1983 года введен в действие ГОСТ 7348-81. | |
2.12. Расчетные сопротивления стержневой арматурной стали всех классов, высокопрочной арматурной проволоки по ГОСТам 7348-63, 8480-63, семипроволочных прядей принимаются по СНиП II-В.1-62*.
| | ИС МЕГАНОРМ: примечание. Взамен СНиП II-В.3-62 Постановлением Госстроя СССР от 29.12.1972 N 222 с 1 июля 1973 года введены в действие СНиП II-В.3-72. Взамен СНиП II-В.3-72 Постановлением Госстроя СССР от 14.08.1981 N 144 с 1 января 1982 года введены в действие СНиП II-23-81. | |
2.13. Расчетные сопротивления прокатной стали, отливок из углеродистой стали и серого чугуна, сварных швов, заклепочных и болтовых соединений принимаются по СНиП II-В.3-62.
| | ИС МЕГАНОРМ: примечание. Постановлением Госстандарта СССР от 16.07.1984 N 2515 с 1 января 1986 года введен в действие ГОСТ 1497-84. | |
2.14. При изготовлении мембран из листовой или полосовой стали толщиной меньше 4 мм предел ее текучести и временное сопротивление устанавливаются на основании испытаний согласно требованиям ГОСТ 1497-61.
При этом:
а) для первоначально плоских мембран предел текучести для определения прогиба в центре принимается равным 0,7 от установленного опытами, а для определения нагрузки, передаваемой мембраной на контур, - 1,3 от той же величины;
б) для мембран, форма которым придана до нагружения и напряжения в которых не превосходят предела текучести материала, за расчетное сопротивление принимается предел текучести, устанавливаемый испытаниями согласно ГОСТ 1497-61.
2.15. Расчетные модули упругости стали принимаются в соответствии с табл. 32* и 33* СНиП II-В.1-62*.
В процессе строительства желательно произвести испытание предварительно вытянутых канатов на определение модуля упругости и внести необходимые коррективы в расчет.
2.16. Расчетные характеристики алюминиевых сплавов следует принимать по главе СНиП II-В.5-64. Расчетные характеристики пластических материалов принимаются в соответствии с "Рекомендациями по проектированию строительных конструкций с применением пластмасс". Расчетные характеристики прочих материалов принимаются по специальным техническим условиям, инструкциям или назначаются после проведения испытаний.
3. РЕКОМЕНДАЦИИ ПО КОНСТРУИРОВАНИЮ ЭЛЕМЕНТОВ
И УЗЛОВ ВИСЯЧИХ ПОКРЫТИЙ
| | ИС МЕГАНОРМ: примечание. Взамен СНиП II-В.1-62 Постановлением Госстроя СССР от 24.11.1975 N 196 с 1 января 1977 года введены в действие СНиП II-21-75. | |
| | ИС МЕГАНОРМ: примечание. Взамен СНиП II-В.3-62 Постановлением Госстроя СССР от 29.12.1972 N 222 с 1 июля 1973 года введены в действие СНиП II-В.3-72. Взамен СНиП II-В.3-72 Постановлением Госстроя СССР от 14.08.1981 N 144 с 1 января 1982 года введены в действие СНиП II-23-81. | |
3.1. При конструировании элементов и узлов висячих покрытий помимо настоящих Рекомендаций следует соблюдать требования глав СНиП II-В.1-62*,
II-А.10-62, II-В.3-62 и
Инструкции по проектированию железобетонных конструкций 1968 г.
3.2. Ванты в опорной конструкции закрепляются при помощи анкерных устройств. Анкерные устройства должны обеспечить надежную заделку вант как в период строительства, так и в эксплуатации.
3.3. По крайней мере на одном из концов ванты должно быть регулируемое анкерное устройство, обеспечивающее возможность регулировки длины вант во время монтажа и в случае необходимости предварительного натяжения.
Если регулировка требуется не только в стадии монтажа, но и в стадии эксплуатации сооружения, необходимо предусмотреть свободный доступ к регулируемым анкерным устройствам.
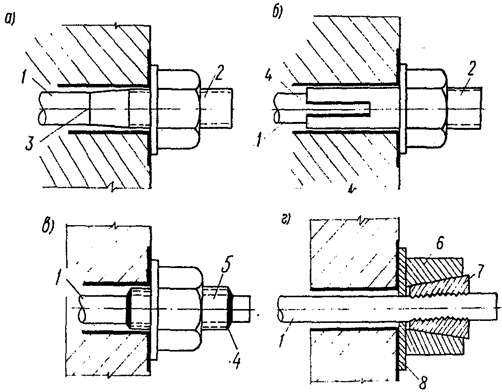
3.4. Для вант из стержневой стали рекомендуются следующие типы анкерных устройств:
- хвостовики и втулки с точеной резьбой, соединяемые с вантами на сварке (
рис. 7, а, б); конструкция хвостовика и его соединение с вантой не должны снижать несущую способность элемента в целом;
- клиновые анкера для стержневой арматуры (
рис. 7, г);
- накатанная резьба на вантах из гладкой стержневой стали (
рис. 7, д, е);
- приварка ванты к металлическим деталям опорной конструкции;
- приварка к вантам шайб или коротышей
(рис. 8).
Рис. 7. Анкеровка вант из стержневой стали
а - с помощью хвостовика из стали с расчетным
сопротивлением, равным расчетному сопротивлению материала
ванты; б - с помощью хвостовика из стали с расчетным
сопротивлением меньше расчетного сопротивления материала
ванты; в - с помощью резьбовой втулки; г - клиньями
и конической втулкой; д - обычной гайкой;
е - гайкой с буртом
1 - ванта; 2 - хвостовик; 3 - контактная сварка;
4 - электродуговая сварка; 5 - резьбовая втулка;
6 - коническая втулка; 7 - закаленные клинья;
8 - вилкообразная шайба
Рис. 8. Анкеровка вант из гладкой стержневой стали
а - с помощью приваренных коротышей;
б - с помощью приваренной шайбы
1 - ванта; 2 - коротыши; 3 - сварка; 4 - шайба
При конструировании анкерного устройства необходимо учитывать указания
пп. 3.8 и
3.9.
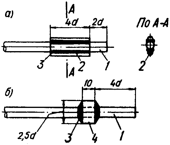
3.5. Для вант из стальных канатов рекомендуется применять гильзоклиновые анкера системы ВНИИМонтажспецстроя (рис. 9) (см.
Приложение 2).
Рис. 9. Гильзоклиновой анкер для вант из высокопрочной
проволоки и стальных канатов
1 - пучок или канат; 2 - гильза с резьбой;
3 - клин; 4 - гайка
Допускается применение анкерных втулок (муфт), заливаемых специальным сплавом с низкой температурой плавления (составы некоторых сплавов и указания по заливке втулок. См.
Приложения 3 и
4).
Наружный диаметр муфты D и другие размеры назначаются из расчета ее на прочность в соответствии с прочностью каната. Спецификация типовых муфт приведена в
Приложении 4.
Для малоответственных и временных сооружений допускается устройство концевых креплений канатов в виде петли с коушем на зажимах (рис. 10).
Рис. 10. Типы концевых креплений канатов
а) концевая петля с вплетенным коушем; б) концевая петля
с коушем на зажимах - правильно; в) то же - неправильно;
г) заклинивающаяся концевая муфта; д) зажим, размеры
(см. таблицу)
Таблица 2
Диаметр каната в мм | A | D | E | K | N | O | T | Y |
3 | 21 | 6 | 11 | 10 | 24 | 12 | 18 | 24 |
5 | 24 | 6 | 14 | 13 | 31 | 15 | 25 | 29 |
6 | 30 | 8 | 16 | 17 | 34 | 19 | 26 | 37 |
8 | 33 | 10 | 19 | 18 | 43 | 22 | 33 | 43 |
10 | 41 | 11 | 21 | 23 | 49 | 25 | 38 | 49 |
11 | 46 | 13 | 27 | 26 | 60 | 30 | 48 | 57 |
13 | 49 | 13 | 27 | 29 | 60 | 30 | 48 | 57 |
14 | 52 | 14 | 37 | 31 | 72 | 33 | 57 | 63 |
16 | 52 | 14 | 37 | 34 | 72 | 33 | 57 | 64 |
19 | 57 | 16 | 40 | 35 | 86 | 38 | 70 | 72 |
22 | 68 | 19 | 46 | 41 | 96 | 45 | 79 | 85 |
25 | 67 | 19 | 54 | 45 | 110 | 48 | 89 | 89 |
30 | 72 | 19 | 57 | 49 | 117 | 51 | 96 | 91 |
32 | 79 | 22 | 64 | 56 | 130 | 59 | 108 | 105 |
35 | 79 | 22 | 66 | 59 | 140 | 60 | 117 | 106 |
38 | 90 | 22 | 72 | 69 | 148 | 66 | 126 | 110 |
41 | 92 | 25 | 73 | 68 | 160 | 70 | 151 | 121 |
3.6. Применение для закрепления вант анкеров других типов допускается при условии их экспериментальной проверки.
3.7. На резьбовых регулируемых анкерных устройствах применяется, как правило, нормальная метрическая резьба третьего класса точности. Применение других типов резьб допускается при соответствующем обосновании.
3.8. Для всех видов горячекатаных арматурных сталей диаметром не менее 10 мм при соединении их по длине или присоединении к ним хвостовиков из равнопрочного металла рекомендуется применять контактную стыковую сварку.
При отсутствии оборудования для контактной сварки допускается при диаметре соединяемых стержней более 8 мм применять дуговую сварку.
Качество сварки должно отвечать требованиям действующих нормативных документов. При работе ванты на поперечную нагрузку, изгибающую стык или вызывающую в нем усталость, требуются дополнительные испытания стыкового соединения.
3.9. Узлы и соединения вант с другими элементами висячего покрытия должны решаться в соответствии с принятой расчетной схемой сооружения и конструктивно выполняться так, чтобы в наименьшей степени снижать несущую способность вант.
3.10. При наличии перегиба вант в узлах диаметр перегиба рекомендуется принимать:
- при вантах из высокопрочной проволоки, арматурных прядей и канатов спиральных однопрядных и двойной свивки - не менее 15 диаметров каната;
- при вантах из канатов спиральных закрытых - не менее 45 диаметров каната. Снижение расчетного сопротивления материала вант в этом случае не учитывается.
3.11. Допускается уменьшение диаметра перегиба вант из высокопрочной проволоки, арматурных прядей и стальных канатов (кроме спиральных закрытых), но не менее чем до 8 диаметров ванты при угле перегиба не более 30°. При этом расчетное сопротивление материала ванты снижается путем умножения на коэффициент условий работы, принимаемый по табл. 3.
Таблица 3
Коэффициенты условий работы m
Конструктивные элементы | Коэффициент условий работы "m" |
Ванты из стальных канатов с анкерами в виде заливных втулок при заливке баббитом или цинковым сплавом | 0,9 |
То же со стаканными анкерами с заливкой бетоном | 0,8 |
Ванты из стальных канатов до 35 мм с концевыми петлями с коушами | 0,8 |
Ванты из стальных канатов с гильзоклиновыми анкерами при диаметрах до 35 мм | 0,9 |
То же при диаметре от 35 до 50 мм | 0,75 |
Ванты из параллельных пучков проволоки | 0,9 |
Ванты из стержней при анкеровке в соответствии с п. 3.4 | 1,0 |
Ванты при наличии перегиба с диаметром перегиба больше 12 - 15 диаметров ванты | 0,9 |
То же при диаметре перегиба 8 - 12 диаметров ванты | 0,8 |
Снижение расчетного сопротивления учитывается на расстоянии 30 диаметров ванты в каждую сторону от перегиба.
3.12. Перегибы вант из стержневой стали и пучков параллельных проволок не рекомендуются.
3.13. При действии на висячие покрытия пульсирующих нагрузок их узлы должны быть подвергнуты в необходимых случаях экспериментальной проверке на выносливость.
3.14. Конструкция узлов пересечения вант должна обеспечивать совместную работу вант в нормальном, а в необходимых случаях и в тангенциальном направлениях к поверхности покрытия.
Ванты в местах их пересечения закрепляются специальными хомутами или штампованными косынками (рис. 11).
Рис. 11. Узлы пересечения вант
а - с применением хомутов; б - с применением штампованных
стальных косынок; 1 - главная ванта; 2 - второстепенная
ванта; 3 - хомут; 4 - косынка; 5 - плиты;
6 - проволока для закрепления плит
3.15. К конструкции стыка плит покрытия предъявляются требования:
а) надежной передачи нормальных, а в необходимых случаях и сдвигающих усилий;
б) обеспечения вертикальных перемещений покрытия с сохранением водонепроницаемости кровли.
3.16. Сборные плиты могут подвешиваться к вантам при помощи выпусков рабочей арматуры плит или специальных стальных крюков, привариваемых к арматурной сетке или каркасу плит (рис. 12).
Рис. 12. Подвески сборных плит к вантам
а) подвеска при помощи крюков рабочей арматуры; б) подвеска
при помощи специальных стальных лапок или крюков,
привариваемых к арматурной сетке или каркас
1 - ванта; 2 - крюки или лапки; 3 - плиты;
4 - опалубочные доски; 5 - раствор или бетон,
укладываемые по месту
В висячих оболочках вращения и цилиндрических допускается непосредственное опирание на ванты плит, выполняемых по двухконсольной схеме. В этом случае должны быть предусмотрены меры, препятствующие сдвигу и переворачиванию плит при их монтаже.
3.17. При подвеске плит к вантам на крюках каждый из них рассчитывается на 1/3 нагрузки на плиту.
Для получения ровной нижней поверхности оболочки (особенно при гладких плитах) и обеспечения постоянной проектной толщины защитного слоя бетона швов крюки должны изготавливаться и устанавливаться по шаблону.
Возможна установка плит выше вант на специальные столики, закрепленные на вантах. Такое решение придает покрытию дополнительную жесткость.
| | ИС МЕГАНОРМ: примечание. В официальном тексте документа, видимо, допущена опечатка: имеется в виду глава 4, а не глава IV. | |
3.18. Ванты, гибкие элементы опорной конструкции, мембраны и узлы висячих покрытий должны быть тщательно защищены от коррозии путем обетонирования, окраски покрытия защитными лаками, пластическими массами, красками, оцинковкой или другими способами в соответствии с действующими нормативными документами. Указания по защите вант при строительстве помещены в
гл. IV.
3.19. Опорный контур висячих оболочек рекомендуется возводить из сборного или монолитного железобетона и керамзитожелезобетона. В отдельных случаях, при соответствующем обосновании, допускается применение стального опорного контура.
3.20. Закрепление вант в контуре может осуществляться как упором в опорную плиту на наружной грани контура, так и соединением с выпусками на внутренней стороне его.
Первое решение конструктивно проще и применяется при относительно небольшой ширине сечения опорного контура. Для этого в контурном кольце предусматриваются закладные трубки, диаметр которых достаточен для пропуска анкерных устройств вант.
3.21. Для уменьшения крутящих моментов закладные трубки рекомендуется пропускать через центр тяжести сечения контура. Угол наклона трубок к горизонту следует принимать равным наклону касательной к поверхности покрытия у контура при расчетной равномерной нагрузке на покрытие.
3.22. Опорная плита, как правило, устанавливается перпендикулярно закладной трубке. В противном случае требуется установка под анкер клиновидных шайб.
3.23. Бетон опорного контура должен быть проверен на смятие опорной плитой. В необходимых случаях под плитой устанавливается дополнительная арматура в виде сеток.
3.24. Лицевая поверхность опорной плиты должна быть плоской; не иметь натеков бетона и металла. Отверстия для пропуска вант в плите не должны иметь заусенцев, которые могут вызвать повреждение канатов или резьбы на анкерах.
3.25. После окончательной регулировки вант и замоноличивания швов между плитами полость закладной трубки необходимо заполнить раствором через патрубок, выводимый на верхнюю или боковую поверхность контура.
3.26. При закреплении вант на внутренней стороне опорного контура закладные детали выпусков должны быть надежно заанкерены и в случае необходимости соединены с рабочей арматурой контура.
3.27. При сборной конструкции контура не рекомендуется производить анкеровку вант в местах стыка элементов контура.
3.28. Продольная арматура железобетонного опорного контура не должна мешать пропуску вант через кольцо и их анкеровке.
3.29. Анкера вант после инъекции раствора в трубки должны быть обетонированы или надежно защищены от коррозии иным способом.
3.30. Для облегчения сборных элементов опорного контура возможно сборно-монолитное решение, когда элементы имеют корытообразное сечение, заполняемое бетоном после их монтажа.
3.31. Сборные плиты из тяжелого бетона должны применяться преимущественно ребристыми. В этом случае наряду с экономичным расходом материалов более благоприятно и размещение вант в стыках между плитами.
Толщина плит из легкого и ячеистого бетонов наряду с теплотехническими требованиями определяется и условиями размещения в стыках между плитами рабочих вант.
3.32. В зависимости от очертания опорного контура и принятой системы вант (радиальной, параллельной, ортогональной и т.д.) плиты покрытия выполняются прямоугольной или трапециевидной формы в плане. Для создания плавной внутренней поверхности оболочки с резкими переломами формы рекомендуется применять плиты треугольного очертания в плане.
3.33. В целях ускорения монтажа висячих оболочек рекомендуется шаг вант (и их диаметр) принимать наибольшим, исходя из имеющегося сортамента и возможностей сварочного оборудования, увязывая его с шагом контурных опор и разрезкой сборных элементов опорного контура.
3.34. Устройство фонарных и других отверстий должно увязываться с принятой системой вант. Допускается применение местных фонарных отверстий (иллюминаторов) с размерами, не превышающими размеров сетки вант. При этом рекомендуется окаймлять их рамками по контуру, а при значительных размерах усиливать распорками и раскосами, образующими вместе с рамкой плоскую ферму или раму.
Центральное фонарное отверстие при замкнутом круговом контуре и радиальном расположении вант выполняется в виде кольца.
3.35. Минимальный диаметр центрального кольца определяется из условия размещения в нем анкерных устройств вант.
3.36. Поперечное сечение центрального кольца рекомендуется развивать в вертикальном направлении, обеспечивая распределение усилий от анкеров вант на всю высоту поперечного сечения; при этом, однако, жесткость кольца в горизонтальной плоскости должна обеспечивать его неизменяемость при монтаже вант.
3.37. Пространственная жесткость зданий с висячими покрытиями обеспечивается опорной конструкцией за счет ее сплошности, защемления в грунте или постановки соответствующих связей.
3.38. Пространственная жесткость шатровых висячих оболочек достигается защемлением центральной стойки при шарнирных периферийных опорах, защемлением периферийных опор при шарнирной центральной стойке или одновременным защемлением центральной и периферийных стоек. Способ обеспечения пространственной жесткости такого покрытия в целом обычно практически не влияет на горизонтальные перемещения центрального узла.
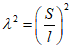
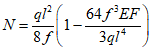
3.39. На рис. 13 даны узлы вантовой фермы с раскосной решеткой.
Рис. 13. Узел вантовой фермы с раскосной решеткой
Д - диаметр троса; 1 - узловые накладки; 2, 3, 4 - детали
вилки; 5 - тяж; 6 - 13 - болты, гайки, шайбы к ним
Возникающие в узле усилия сдвига вдоль пояса воспринимаются силами трения между тросом и узловым зажимом, которые создаются затяжкой узловых болтов.
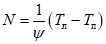
Суммарное натяжение болтов N определяется расчетом по формуле:

.
Здесь

- разница натяжения слева и справа от узла;

- условный коэффициент трения контактных поверхностей троса и узлового зажима.
Для стали по стали

. Для прокладки из двух склеенных друг с другом слоев наждачной бумаги

. Для поверхностей, обработанных клеями на эпоксидной основе с заполнением корундовым и кварцевым порошком,

.
Примечание. Значения

даны для определения проектных размеров узла. Действительное их значение уточняется на экспериментальных образцах.
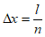
Длина узлового зажима l определяется из условия:

,
где D - диаметр троса;

- удельное допускаемое поперечное давление на трос, не превосходящее 250 кг/см
2.
4. ОСОБЕННОСТИ ВОЗВЕДЕНИЯ И ИЗГОТОВЛЕНИЯ ЭЛЕМЕНТОВ
ВИСЯЧИХ ПОКРЫТИЙ
4.1. Отличительной особенностью висячих покрытий является монтаж их без коренных лесов и сплошных подмостей. Ограждающие элементы покрытия в процессе монтажа укладываются на ванты, закрепленные до этого в опорной конструкции.
4.2. Регулировку вантовых сетей, не подвергаемых предварительному напряжению, рекомендуется вести в два этапа:
- предварительная установка вант по разметочным рискам без пригрузки;
- окончательная регулировка вант при частичной или полной пригрузке плитами.
Частичное нагружение на втором этапе регулировки позволяет исключить влияние погнутостей вант, возникающих при транспортировке и монтаже, и устранить неизбежные отклонения от номинальных размеров элементов покрытия при действии относительно небольших усилий в вантах.
4.3. При монтаже висячих покрытий с радиальной сеткой вант и горизонтальным подходом вант к центральному кольцу его рекомендуется устанавливать на монтажном помосте на отметке, подсчитанной, исходя из провисания вант, по квадратной параболе.
При этом после укладки всех плит ванты провиснут по кубической параболе и центральное кольцо самопроизвольно поднимается над монтажным помостом.
4.4. Регулировку и предварительное напряжение седловидных вантовых сетей рекомендуется вести в несколько этапов, чтобы на каждом этапе величина изгибающих моментов в опорном контуре не превышала его несущей способности.
4.5. Предварительное напряжение радиальных и вогнутых перекрестных сетей производится после укладки сборных плит.
4.6. Заливка швов между плитами производится либо до, либо после предварительного напряжения вант. Если напряжение вант производится с помощью домкратов, то замоноличивание стыков между плитами производится до натяжения вант. В этом случае ванты располагаются в каналах, заполняемых раствором после окончания натяжения.
4.7. При предварительном напряжении вант с помощью монтажной нагрузки (пригрузки), укладываемой на платы или подвешиваемой к вантам, или с помощью временных оттяжек, закрепленных в полу перекрываемого здания, замоноличивание стыков между плитами производится после предварительного натяжения вант. Обжатие оболочки покрытия в этом случае осуществляется после снятия пригрузки.
4.8. Предварительное напряжение шатровых и седловидных покрытий, образованных путем укладки сборных плит на вантовую сеть, с целью обеспечения их монолитности и повышенной жесткости рекомендуется производить в следующей последовательности:
1) укладка и закрепление плит покрытия на смонтированной и выверенной вантовой сети;
2) пригрузка покрытия нагрузкой на 10% больше расчетной одним из возможных способов, например, указанных в
п. 4.7 настоящих Рекомендаций;
3) замоноличивание межплиточных швов, располагаемых нормально к провисающим вантам, т.е. швов кольцевого направления - в шатровых покрытиях и швов, расположенных вдоль стабилизирующих вант, - в седловидных покрытиях;
4) освобождение покрытия от временного пригруза после набора бетоном в швах 80% прочности;
5) замоноличивание всех оставшихся межплиточных швов покрытия.
4.9. При образовании оболочки покрытия возможно применение предварительно напряженных плит, арматура которых включается в работу совместно с вантами. В этом случае выгоднее плиты делать длинными вдоль пролета. Выпуски продольной арматуры должны быть состыкованы на сварке или резьбовых муфтах и закреплены на контуре.
4.10. Наиболее технологичным методом возведения мембран является создание мембран на нулевой отметке с последующим подъемом на проектный уровень при помощи систем домкратов, полиспастов или кранов.
4.11. Готовые, полученные с завода ванты необходимо хранить в крытом помещении на настиле и периодически осматривать, чтобы своевременно принять меры по предохранению их от коррозии.
4.12. Если проектом предусматривается создание сцепления вант с бетоном или защита вант от коррозии в период эксплуатации сооружения бетоном или цементным раствором, то непосредственно перед монтажом ванты должны быть тщательно очищены от противокоррозийной смазки.
4.13. В случаях, когда ванты, установленные в конструкцию и очищенные от противокоррозийной смазки, в процессе производства работ могут в течение длительного времени подвергаться атмосферным воздействиям, они должны быть временно защищены от коррозии.
4.14. Для временной защиты от коррозии ванты рекомендуется покрывать антикоррозийным составом в соответствии с "Указаниями по защите арматуры железобетонных конструкций от коррозии".
При применении для этой цели цементно-водной смеси с казеиновым клеем и замедлителем коррозии обетонирование или инъекцию раствора допускается производить без предварительной очистки вант от этого состава.
4.15. При изготовлении вант из стальных канатов канат следует резать способом, при котором его проволоки сохраняют свои физико-механические свойства.
Электродуговая резка каната, а также производство сварочных работ в непосредственной близости от каната не допускаются. Резка каната на барабане или в бухте автогеном запрещается.
4.16. Сварные соединения высокопрочной проволоки, прядей и канатов не допускаются.
4.17. При применении для вант стержневой стали, подвергаемой механическому упрочнению, все сварные соединения необходимо осуществлять до вытяжки стержней.
4.18. Длина заготовки вант из стержневой стали, подвергаемой упрочнению вытяжкой с контролем удлинений и напряжений, должна определяться на основании пробных испытаний.
4.19. После устройства концевых анкеров ванты должны быть испытаны, а при использовании стальных канатов подвергнуты предварительной обтяжке согласно рекомендациям
гл. 2.
4.20. При сварке стальных листов мембран рекомендуется применять автоматическую сварку с минимальным количеством сварных швов, выполняемых при монтаже.
Применяемые при сварке материалы должны отвечать требованиям СНиП и соответствующих стандартов.
4.21. Перед монтажом вант производится исполнительная геодезическая съемка опорного контура и проверяется соответствие фактических и проектных размеров и отметок. Проверяется также разбивка закладных трубок для пропуска вант, особенно шаг между смежными сборными элементами опорного контура.
Кроме того, производится очистка закладных трубок для пропуска вант, инъекционных трубок и анкерных плит от натеков бетона и грязи.
5. ОСНОВНЫЕ РАСЧЕТНЫЕ ПОЛОЖЕНИЯ
5.1. Расчет висячих покрытий должен производиться по методу предельных состояний в соответствии с главой
СНиП II-А.10-62.
I. По несущей способности в случаях
- достижения вантами или мембраной расчетного сопротивления;
- достижения опорной или ограждающей конструкцией покрытия расчетного сопротивления с учетом в необходимых случаях продольного изгиба и с проверкой устойчивости формы равновесия конструкций (при необходимости опорная конструкция должна быть проверена на опрокидывание или сдвиг);
- возможности утраты натяжения вантами, то есть их выключения из работы покрытия.
II. По предельным деформациям или перемещениям в случаях
- когда величина деформаций (в том числе местных искривлений) или перемещений покрытия может ограничить возможность эксплуатации сооружения или привести к расстройству кровли;
- по образованию или раскрытию трещин в случаях, когда удлинения вант превышают предельную растяжимость ограждающей конструкции покрытия.
Как правило, I предельное состояние является расчетным для опорного контура и оттяжек; II - для пролетных конструкций и для железобетонных висячих оболочек.
5.2. Расчет висячих покрытий и их элементов по I предельному состоянию должен быть произведен для стадий изготовления, транспортирования, монтажа и эксплуатации; расчет по II предельному состоянию производится для стадии эксплуатации.
5.3. Порядок учета нагрузок и воздействий при расчете висячих покрытий зависит от способа и монтажа здания. В расчете должны учитываться нагрузки и воздействия, возможные в стадии, для которой ведется расчет.
5.4. Расчет сборно-монолитных железобетонных конструкций висячих покрытий должен производиться для следующих 2-х стадий их работы:
До приобретения монтажным бетоном заданной прочности - на монтажные нагрузки.
После приобретения монолитным бетоном заданной прочности - на эксплуатационные нагрузки.
5.5. Величины нормативных и расчетных нагрузок и коэффициенты перегрузок для внешних воздействий принимаются в соответствии с главами
СНиП II-А.10-62 и II-А.11-62.
| | ИС МЕГАНОРМ: примечание. Взамен СНиП II-А.11-62 Постановлением Госстроя СССР от 08.02.1974 N 16 с 1 сентября 1974 года введены СНиП II-6-74. | |
При расчете опорной конструкции на сдвиг, выдергивание, опрокидывание и т.п. понижающий коэффициент перегрузки принимается по табл. 1 СНиП II-А.11-62.
5.6. Снеговая нагрузка и ветровая нагрузка принимаются по СНиП II-А.11-62.
В отдельных случаях, не предусмотренных действующими нормативными документами, следует проводить экспериментальные аэродинамические испытания на моделях.
5.7. Висячие покрытия в целом, а также их отдельные элементы, подверженные ветровому воздействию, - оттяжки, открытые вантовые фермы - рекомендуется проверять на резонанс при обдувании ветром.
5.8. Коэффициенты перегрузки для усилий предварительного напряжения принимаются равными нижеследующим величинам.
При обеспечении надежного контроля величины усилий предварительного напряжения путем непосредственного измерения усилий или напряжений приборами -

.
При определении величины усилия предварительного напряжения косвенными методами (усилием, необходимым для завинчивания анкерных гаек, измерением прогибов заданной нагрузкой, контролем длины вант и т.п.):
в стадии предварительного напряжения, а также для элементов, у которых напряжения от эксплуатационной нагрузки совпадают по знаку с предварительными или предварительные напряжения большие по величине и противоположные по знаку -

;
в стадии эксплуатации для элементов, у которых напряжения от эксплуатационной нагрузки больше по величине и противоположны по знаку предварительным -

.
| | ИС МЕГАНОРМ: примечание. Взамен СНиП II-В.1-62 Постановлением Госстроя СССР от 24.11.1975 N 196 с 1 января 1977 года введены в действие СНиП II-21-75. | |
5.9. Расчет элементов предварительно напряженных висячих покрытий должен производиться с учетом потерь предварительного напряжения, зависящих от вида конструкции и способа создания напряжения, согласно главе СНиП II-В.1-62*.
Потеря предварительного напряжения, вызываемая релаксацией напряжений в канатах, подвергаемых предварительной обтяжке согласно
п. 2.1 настоящих Рекомендаций, принимается равной 5% от предварительного напряжения в канате.
Трение о стенки каналов арматуры из канатов при ее натяжении учитывается, как для арматуры из проволоки.
При предварительном напряжении вантовых систем (мембран) любыми способами, а также напряжений висячих железобетонных оболочек методом пригружения потери предварительного напряжения в вантах (мембранах) определяются по графе "натяжение на упоры" табл. 14* главы СНиП II-В.1-62*.
При создании предварительного напряжения в висячих железобетонных оболочках механическим путем (натяжение вант домкратами, завинчиванием гаек и т.п.) потери предварительного напряжения определяются по графе "натяжение на бетон" этой же таблицы.
Если предварительное напряжение вант осуществляется за счет собственного веса конструкций, специальных противовесов или пружинных и т.п. устройств, обеспечивающих постоянное усилие предварительного напряжения, то потери его не учитываются.
Кроме того, в необходимых случаях должно быть учтено влияние смещения опорной конструкции на величину усилий предварительного напряжения.
| | ИС МЕГАНОРМ: примечание. Взамен СНиП II-А.11-62 Постановлением Госстроя СССР от 08.02.1974 N 16 с 1 сентября 1974 года введены СНиП II-6-74. | |
5.10. Сочетания нагрузок и воздействий должны приниматься по главе СНиП II-А.11-62 в наиболее невыгодных комбинациях для отдельных элементов или всего сооружения в зависимости от схемы сооружения, заданных условий эксплуатации и принятой технологии возведения.
При расчете висячих покрытий без жестких настилов (тканевые или пленочные кровли) к дополнительному сочетанию нагрузок относится также нагрузка от снеговых и дождевых мешков, интенсивность которой зависит от материала покрытий и его натяжения.
5.11. Расчет центрально и внецентренно сжатых бетонных и железобетонных элементов висячих покрытий на прочность с учетом продольного изгиба, а также расчет железобетонных элементов по деформациям и по раскрытию трещин должен производиться с учетом неблагоприятного влияния длительного воздействия всей постоянной и части временной нагрузки, а в необходимых случаях - влияния предварительного обжатия.
Разграничение временной нагрузки на длительно действующую и кратковременную производится согласно указаниям глав
СНиП II-А.10-62 и II-А.11-62.
5.12. Климатические температурные воздействия на висячие покрытия должны учитываться расчетом в числе основных сочетаний нагрузок.
| | ИС МЕГАНОРМ: примечание. Взамен СНиП II-В.3-62 Постановлением Госстроя СССР от 29.12.1972 N 222 с 1 июля 1973 года введены в действие СНиП II-В.3-72. Взамен СНиП II-В.3-72 Постановлением Госстроя СССР от 14.08.1981 N 144 с 1 января 1982 года введены в действие СНиП II-23-81. | |
5.13. Расстояние между температурно-усадочными швами в висячих покрытиях должно устанавливаться расчетом. Расчет разрешается не производить, если длины температурных блоков не превышают значений, указанных в СНиП II-В.3-62.
5.14. Расчетный перепад от температуры монтажа до наибольшего повышения или понижения температуры для открытых элементов принимается по нормативным данным района строительства. Колебания температур вант, скрытых в конструкции ограждения, определяются теплотехническими расчетами ограждения, в которое заключены ванты.
5.15. Влияние горизонтальных и вертикальных смещений опорной конструкции на усилия и перемещения в пролетной конструкции висячего покрытия должно учитываться расчетом.
5.16. При расчете отдельных элементов висячих покрытий расчетные характеристики материалов должны умножаться на коэффициенты условий работы соединений ванты "m", принимаемые по
табл. 3.
5.17. При действии на висячее покрытие пульсирующих и вибрационных нагрузок (от ветра, кранов, оборудования и т.п.) конструкции должны быть проверены на выносливость. Расчетные пределы прочности материалов при этом умножаются на понижающий коэффициент, принимаемый для вант из стержневой стали и пучков высокопрочной проволоки по главам СНиП II-В.1-62. При проверке на выносливость вант из стальных канатов их расчетные сопротивления умножаются на понижающий коэффициент, который должен быть получен из предварительных испытаний на усталость, проведенных с канатами, заделанными в концевые втулки, принятые в проекте.
5.18. Предельные величины вертикальных перемещений пролетных конструкций висячих покрытий от временных нагрузок устанавливаются эксплуатационными или технологическими требованиями.
Вертикальные перемещения определяются при 2-х сочетаниях временных нагрузок:
при загружении всего покрытия наибольшей временной нагрузкой;
при загружении покрытия наиболее невыгодной (с точки зрения перемещений) неравномерной временной нагрузкой.
5.19. Висячие железобетонные оболочки по предъявляемым к ним требованиям трещиностойкости подразделяются на 3 категории в соответствии с табл. 4.
Таблица 4
Категории оболочек по трещиностойкости
Категория трещиностойкости | Характеристика оболочек | Необходимость расчета |
1 | Висячие железобетонные предварительно напряженные оболочки, к которым предъявляется требование непроницаемости, или имеющие ванты с нормативным сопротивлением более 10000 кг/см2 и при этом находящиеся в условиях сильно агрессивной среды | Требуется расчет по образованию трещин |
2 | Висячие железобетонные предварительно напряженные оболочки, к которым требование непроницаемости не предъявляется, но которые: | То же |
а) находятся под воздействием сильно агрессивной среды; |
б) запроектированы с вантами, имеющими нормативное сопротивление более 10000 кг/см2 при отсутствии специальной защиты |
3 | Висячие железобетонные предварительно напряженные оболочки, к которым не предъявляется требование непроницаемости и которые: | Расчет по образованию трещин не требуется. Производится расчет по раскрытию трещин |
а) находятся под воздействием средне- или слабоагрессивной среды и (или) запроектированы с вантами, имеющими нормативное сопротивление более 10000 кг/см2 при наличии специальной защиты, выполняемой по соответствующим нормативным документам; |
б) запроектированы с вантами, имеющими нормативное сопротивление менее 10000 кг/см2 |
Висячие железобетонные оболочки, не подвергаемые предварительному напряжению |
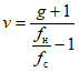
5.20. Расчет висячих покрытий со сложной формой плана или конструктивной схемой рекомендуется выполнять при помощи ЭВМ по специально разработанным программам (см., например, Расчет вантовых покрытий на ЭЦВМ, КиевзНИИЭП, Киев, 1968).
6. РАСЧЕТ ВИСЯЧИХ ПОКРЫТИЙ
6.1. Расчет висячих покрытий производится в предположении, что вся нагрузка воспринимается системой вант, работающих на растяжение, и передается опорам. При определении деформаций и перемещений покрытий, вызываемых временной нагрузкой, целесообразен учет прочности и жесткости настилов и балок, вводимых в вантовую конструкцию. При железобетонных сборно-монолитных настилах, превращающих покрытие в оболочку, следует пользоваться "Инструкцией по проектированию железобетонных тонкостенных пространственных покрытий и перекрытий", Госстройиздат, 1961.
6.2. Расчет вантовой системы должен в себя включать
- определение максимальных усилий для всех элементов от действия любого возможного сочетания нагрузок;
- определение сечений всех элементов вантовой системы и опорных конструкций;
- определение деформаций кровли и опорных конструкций от возможных сочетаний нагрузок;
- проверку там, где это необходимо, на специальные воздействия: температурные напряжения, смещение опор, сейсмические нагрузки, усталость, динамическую устойчивость.
Расчет рекомендуется производить в следующем порядке:
А. Назначаются вид и основные размеры вантовой системы: пролеты, стрелки, высоты опор и т.д. и определяется та форма, которую принимает система под действием полной расчетной нагрузки.
Примечания. 1. Если несущие ванты системы:
а) не пересекаются друг с другом, как например, в цилиндрических одно- и двухпоясных параллельно расположенных системах, а также в ванто-балочных системах или в тех седловидных системах, вспарушенные ванты которых не служат затяжками опорного контура;
б) пересекаются друг с другом, но расчетную нагрузку можно легко поделить между ними, как например, в радиальных системах, считая, что в узле схождения ванты при этом нагружении не опираются друг на друга, либо величина сил их взаимодействия известна, то очертание кровли вдоль несущих вант выгоднее принимать близким к естественной форме провисания свободной нити, несущей полную расчетную нагрузку.
2. Если несущие ванты пересекаются друг с другом, как например, в сетках, то форму висячего покрытия следует определить предварительным расчетом, учитывающим долю расчетной нагрузки, приходящуюся на каждую ванту отдельно, после чего форма покрытия находится как для отдельных вант.
3. В седловидных системах, вспарушенные ванты которых служат затяжками опорного контура, рекомендуется стрелу подъема вспарушенных вант назначать в 3 - 5 раз меньше стрелы провеса несущих вант.
4. Необходимо также задаться формой опорных конструкций под действием полной расчетной нагрузки, положением опорных стоек, очертанием опорного контура и т.д.
Б. Производится расчет на прочность (I предельное состояние).
Определяются усилия в несущих вантах и в опорных конструкциях, отвечающих расчетной нагрузке и принятой геометрии покрытия. В расчетную нагрузку кроме постоянной (собственный вес) и временной, взятыми с соответствующими коэффициентами перегрузки, входит воздействие стабилизирующих элементов (раскосов, поясов, балок и т.д.), предварительно напрягающих систему. Величина этой условной нагрузки взаимодействия при расчете на прочность задается или (если стабилизирующие элементы являются затяжками контура) вычисляется из условия равновесия контура. По найденным усилиям определяются сечения вант и назначаются размеры опорной конструкции.
В. Производится расчет на деформацию (II предельное состояние).
Расчет по деформации проводится для определения вида и сечений ожесточающих и стабилизирующих конструкций, придающих в совокупности с несущими вантами необходимую жесткость и стабильность висячему покрытию. Выгодно деформацию условно разделить на упругую и кинематическую. Жесткость висячего покрытия (снижение упругого прогиба) достигается за счет увеличения стрелы провисания и увеличения сечения несущих вант.
Стабильность покрытия (уменьшение кинематических перемещений) достигается за счет увеличения собственного веса, изгибной жесткости (жесткая нить, преднапряженный настил), введением подкосов, вспарушенных стабилизирующих вант, поперечных балок жесткости и т.д.
Вид и сечения стабилизирующих конструкций определяются из условий максимально допустимых кинематических перемещений покрытия под действием неравномерной полезной нагрузки. После этого производится проверка всей системы на жесткость (определяется упругий прогиб от действия всей временной нагрузки на покрытие).
Кроме того, определяется монтажная форма (геометрия) покрытия и опорной конструкции, которую необходимо им придать во время монтажа, чтобы под действием расчетного нагружения они приобрели бы форму, принятую в п. Б. Производится проверка опорных конструкций на невыгодную монтажную нагрузку.
Определяется начальная величина силы натяжения (предварительного напряжения), на которую необходимо натянуть ванты с тем, чтобы при расчетном нагружении остаток ее соответствовал силе, принятой в расчете по I предельному состоянию.
Производится расчет системы и опорного контура на неравномерную временную нагрузку.
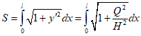
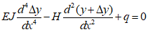
Очертание гибкой нити.
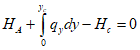
6.3. Если нить является несущей конструкцией висячего покрытия, для которого известны величина и точки приложения вертикальных и горизонтальных нагрузок, а также ордината

хотя бы одной точки C, то очертание нити, ординаты всех ее точек относительно верхней опоры и усилия в нити находятся из решения трех уравнений статики
(рис. 14).

, (1)

, (2)

. (3)
Здесь и далее:

- распор на опоре A;

- распор в точке C;

- вертикальная реакция на опоре A;

- перерезывающая сила в точке C;

- вертикальная нагрузка на нить;

- горизонтальная нагрузка на нить;

и

- ординаты точки C нити, считая началом координат точку опоры A;
x и y - текущие координаты нагрузки.
Рис. 14. Нить с опорами на разных уровнях
а - горизонтальная и вертикальная нагрузка;
б - вертикальная нагрузка
Расчет отдельных вант
6.4. При одной только вертикальной нагрузке можно пользоваться следующими соотношениями:

. (4)
Здесь

- момент всех вертикальных сил (нагрузки и реакция опоры) относительно сечения нити в точке C;

- сумма вертикальных сил слева от этого сечения;

- интенсивность нагрузки в этом сечении;
H - распор, постоянный по всей длине нити;

,

и

- текущая ордината нити, первая и вторая ее производные по X в точке C.
Расчет на прочность
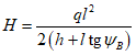
6.5. Считается, что нить покрытия, находясь под действием вертикальной расчетной нагрузки q, имеет пролет l; левая опора A выше опоры B на величину h; касательная нити к горизонту у опоры B имеет угол
(рис. 14). Величина расчетной нагрузки q складывается из собственного веса покрытия g и полезной нагрузки P, взятых с соответствующими коэффициентами перегрузки.
Распор H определяется по формуле:

. (5)
Вертикальные реакции

и

определяются по формулам:

, (6)
где

- сумма нагрузки в пролете;

- статический момент нагрузки относительно опоры B.

. (7)
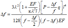
6.6. Расчетное тяжение нити T, из величины которого определяется ее сечение:

. (8)
Ордината провеса нити

относительно верхней опоры (A):

, (9)
где

- момент нагрузки q в точке

.
Выражение (9) определяет геометрию покрытия при полном расчетном загружении.
6.7. Сечение нити F определяется из неравенства:

, (10)
где R - расчетное сопротивление материала нити;
m - коэффициент условий работы с учетом заделки нити в опорных устройствах.
6.8. Для нитей, имеющих опоры на разных уровнях, можно пользоваться следующими формулами:

.
Здесь

и

- суть момент и перерезывающая сила от нагрузки q, действующей на балку пролета l, так называемые "балочный" момент и "балочная" перерезывающая сила,

здесь ордината, откладываемая от прямой AB, соединяющей опоры.

,

- угол между AB и горизонтом.

, (11)
где f - стрелка, отложенная вниз от прямой AB в середине пролета.
Тяжение T вместо
формулы (8) в этом случае отыскивается из равенств:

,

- угол наклона нити к горизонту у опоры A.
Расчет на деформации
6.9. Расчет на деформации должен включать в себя определение максимального упругого прогиба, максимальных кинематических перемещений и максимальных искривлений покрытия от возможной сосредоточенной нагрузки, а также с учетом смещений опор (рис. 15).
Рис. 15. Упругий прогиб. Нить под нагрузкой
При нахождении новой формы равновесия рекомендуется использовать
равенство (4), считая, что часть полезной нагрузки удалена и нагрузка

состоит из собственного веса покрытия и части временной нагрузки

, величина которой и положение в пролете известны.
Следует помнить, что величина

в
(4) теперь будет отличаться от расчетного загружения.
Находить величину

следует исходя из зависимости между распорам, нагрузкой и длиной нити. Для этого необходимо вычислить выражение:

. (12)
Здесь S - длина нити при полном расчетном загружении;
Q и H - перерезывающая сила и распор, соответствующие этому состоянию.
После того как расчетная длина нити S известна, составляется новое выражение:

, (13)
E - модуль упругости нити;

- перерезывающая сила для нового состояния;

- упругое взаимное удаление опор (увеличение пролета);

,
здесь

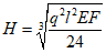
- коэффициент жесткости опоры. Второй член левой части уравнения представляет собой укорочение нити.
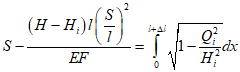
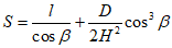
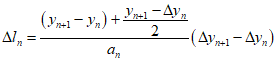
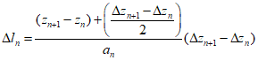
6.10.
Формула (13) является основной для определения распора

. Решение
(13) в общем случае трудоемко, поэтому разрешается пользоваться упрощенными формулами, приводимыми ниже.
Для пологих нитей возможно разложение радикала в
формулах (12) и
(13) в сходящийся ряд:

. (14)
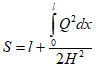
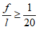
Для нитей, имеющих

, ряд в выражении (14) будет сходиться медленно или даже расходиться. В этих случаях вычисление длины нитей выгоднее производить численным интегрированием, заменив кривую линию вписанной в нее ломаной. Число участков разделения кривой назначается в зависимости от требуемой точности расчета. Вместо
(14) длина нити S вычисляется как сумма:

,
где

- длина участка (часть пролета),
n - число участков разделения,

- разница ординат ломаной нити на границах k-того участка.
Для нитей, имеющих опоры, расположенные на одном или близких к одному уровнях,

и
(14) принимают вид:

. (15)
6.11. Используя (15), можно получить значение распора H для любого нагружения i, отличного от расчетного

, (16)
где H - расчетный распор;

.

- грузовая характеристика, соответствующая i-тому нагружению.
Формулы (
16 -
23) имеют неизвестное

слева и справа от знака равенства. Вычислять их лучше всего последовательными приближениями, считая сначала справа

и вычисляя затем

слева. Полученное значение подставить вправо и уточнить величину

слева и т.д.
Для нитей на одном уровне значения грузовых характеристик для некоторых частных нагрузок даны в Приложении 1,
таблица 6.
6.12. Для расчета на температурные усилия при перепаде равном t° и сближении опор равном

значение распора получается из формулы:

, (17)
где

- коэффициент линейного расширения;
t - расчетный перепад температуры, знак + берется при расчете на температуру выше той, которая была при монтаже.
6.13. Если сближение опор

упруго и зависит от изменения распора, то
(17) принимает вид:

. (18)
Здесь

- коэффициент жесткости опоры.
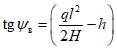
6.14. Для случая расположения опор на разных уровнях можно пользоваться приближенной формулой

. (19)
Здесь D означает то же, что и в
(16);

- угол между прямой, соединяющей опоры, и горизонтом
(рис. 14).
6.15. Отсюда значение

для любого загружения i, отличного от предельного, можно получить из формулы:

, (20)
где H - расчетный распор;

- грузовая характеристика.
6.16. Для расчета на температурные усилия при перепаде температуры равном t° и сближении опор

значение распора

определяется по формуле:

. (21)
Знак + соответствует повышению температуры относительно расчетного при полном загружении.
6.17. Если сближение опор

упруго и зависит от изменения распора, то
(21) принимает вид:

. (22)
Примечания. 1.
Формулами (14) -
(18) можно пользоваться и при опорах на разных уровнях. Но надо иметь в виду, что в них Q - не "балочная" перерезывающая сила, а сумма всех сил слева. Характеристики D необходимо вычислять уже найдя каким-либо образом вертикальную реакцию

от нагрузки

, то есть Приложением 1 пользоваться нельзя.
2. В
формулах (19) -
(22) D вычисляется для "балочной"

, то есть можно пользоваться
Приложением 1 (в примерах и в таблице ниже значок

, в характеристике

опущен).
6.18. Для уточнения результатов, полученных по приближенным
формулам (15) -
(22), рекомендуется воспользоваться
выражением (5), для чего надо подставить в него

и вычислить

. После этого составить линию нити и определить длину ее S. Укорочение

сравнивается с укорочением

. Если разница между физическим и геометрическим укорочением превысит 5%, величину

следует уточнить итерацией. Геометрическое вычисление

рекомендуется производить методом разделения кривой на участки и суммированием длин этих участков.
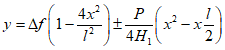
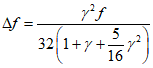
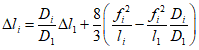
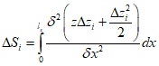
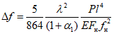
6.19. Вертикальные перемещения нити

под действием временной нагрузки

в общем случае находятся из разности:

, (23)
где M и H соответственно - момент внешних сил и распор в рассматриваемом сечении при расчетном нагружении;

и

- момент внешних сил и распор в этом же сечении при данном нагружении P.
6.20. Для практических расчетов наиболее важным будет определение упругой деформации покрытия от всей полезной нагрузки. Если нагрузки g и P пропорциональны друг другу по всему пролету (
рис. 15, а), то провес нити от всей нагрузки P подобен очертанию нити от нагрузки g + P. Величина его

в середине пролета находится по формуле

. (24)
Здесь f - стрелка для полного загружения;

- момент от нагрузки P в середине пролета;

- грузовая характеристика от одной только нагрузки P.
Для других точек нити вертикальные перемещения

находятся из отношения

,
здесь y - ордината нити в искомой точке.
Если P и g равномерны,
(24) приобретает вид:

. (25)
Для некоторых нагрузок величина прогиба

дана в Приложении 1,
табл. 7.
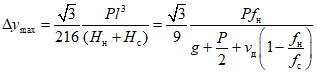
6.21. Загружение половины пролета вызывает вертикальные кинематические перемещения нити, близкие к максимальным. Если собственный вес покрытия равномерен по всему пролету, а равномерная временная нагрузка P приложена к половине пролета
(рис. 16), то вертикальные перемещения нити (подъем)

определяются из
формулы (23) либо из выражений (при опорах нити на одном уровне):

. (26)
Здесь

- подъем нити в середине пролета, определяемый по формуле:

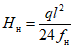
,
где f - стрелка провисания при нагружении всего пролета равномерной нагрузкой, равной

,

,
g - нагрузка собственного веса покрытия

.
Рис. 16. Смещение нити под нагрузкой в полупролете
В
выражении (26) знак плюс перед вторым слагаемым берется для незагруженной половины пролета. Прогиб в четвертях пролета:

. (27)
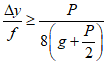
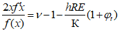
6.22. Горизонтальное перемещение нити

при нагружении нагрузкой

определяется в общем случае из выражения:

, (28)
где

- длина нити от неподвижной опоры до сечения X при расчетном загружении;

- то же при загружении нагрузкой

, при действии которой ищется перемещение

;

- угол наклона нити к горизонту в сечении X при действии нагрузки

.
6.23. Горизонтальные перемещения

сечения нити в середине пролета при загружении половины пролета нагрузкой P (опоры на одном уровне):
1) при равномерно распределенной нагрузке (
рис. 16, а):

; (29)
2) при нагрузке в виде двух треугольников (
рис. 16, б):

.
При смещении опор, увеличивающего пролет на

, распор увеличивается на

.
Коэффициент отпорности

. (30)
Коэффициент

. (Для некоторых нагрузок

даны в
табл. 7).
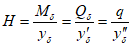
Расчет струн (опоры на одном уровне)
6.24. Струной называется нить, начальная длина которой (до загружения) равна пролету (S = l).
Распор в струне определяется по формуле

. (31)
При равномерной нагрузке (31) принимает вид

или, считая H = RFm,

или

. (32)
6.25. Сила предварительного напряжения струны N определяется из величины необходимой расчетной стрелки f, которую не должен превышать прогиб струны под действием расчетной нагрузки

. (33)
Здесь M - момент от расчетной нагрузки в том сечении, где задана стрелка f.
Могут быть три случая:
1. N > 0, предварительное напряжение необходимо.
2. N = 0, нить при полном разгружении становится струной, однако предварительного напряжения не требуется.
3. N < 0, нить без нагрузки не превращается в струну.
Для равномерно распределенной нагрузки q
формула (33) упрощается:

. (34)
6.26. Если сила предварительного напряжения N струны задана, то величина распора под нагрузкой определяется из выражения:

(35)
или

, (36)
где

и считая H = mRF.
6.27. Прогиб струны f от равномерно распределенной нагрузки q

. (37)
С учетом изменения температуры на +/- t или сдвиге опор на
(35) примет вид:

. (35, а)
Откуда

.
Если смещение опор упруго:

,
то

. (36, а)
Провес струны

с учетом упругого сдвига опор

. (37, а)
6.28. Многопролетная нить под произвольной вертикальной нагрузкой.
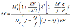
1. Смещение промежуточных опор в многопролетных однопоясных висячих покрытиях
(рис. 17) при изменении нагрузки определяется по формулам:

; (38)

, (39)
где

- стрелы провисания нити;

- расстояние между опорами;

- характеристики изменившейся нагрузки, определяемые по
(15) для каждого из пролетов в предшествующем состоянии равновесия;

- изменение каждого из пролетов в новом положении равновесия.
Рис. 17. Прогиб многопролетной нити
2. После определения величины пролетов в новом положении равновесия нить в каждом из пролетов рассчитывается как однопролетная.
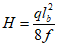
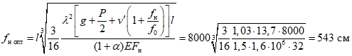
Рассчитать несущую нить покрытия цилиндрической формы пролетом l = 80 м, имеющую разность опор h = 20 м. Угол наклона нити у нижней опоры при полной нагрузке

. Собственный вес покрытия

и снеговую нагрузку

считаем равномерными по всему пролету. Расчетная нагрузка

.
Здесь 1,1 и 1,4 - коэффициенты перегрузки.
Нити повешены параллельно друг другу, с шагом в 1 м (рис. 18). Здание зимой может быть неотапливаемым. Расчетная отрицательная температура, совпадающая с полным загружением, 30 °C.
а) Расчет на прочность
Считаемся с вероятностью охлаждения нити до -30 °C при полном ее загружении. Расчетный распор определим по
формулам (5),
(6):

.
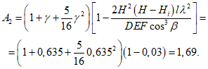
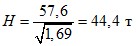
Вертикальные реакции опор находим по
формулам (6) на верхней опоре:

;
на нижней опоре:

.
Расчетное тяжение нити определяем, используя
(8):

.
Сечение нити определяем по (10). Принимаем для нити сталь марки 10ХНСД с R = 3,4 т/см2 m = 1.
Тогда

.
Принимаем круглое сечение - 2 прутка

с F = 19,20 см
2. Закрепление нити на опорах принимаем шарнирное.
б) Расчет на деформации
Рассмотрим два случая: снега на кровле нет и снег лежит на половине пролета вант. Для определения вертикальных перемещений нити исходим из общего случая
(23). Неизвестный распор H найдем из
(20).
Вычислим величины, входящие в
(20):

,
| | ИС МЕГАНОРМ: примечание. Единицы измерения даны в соответствии с официальным текстом документа. | |

.

.
Для равномерного загружения
(20) удобнее записать так:

.
Примечание. Второй член под корнем - результат растяжимости нити и связанной с этим геометрической нелинейности. При вычислении

первое его приближение было получено при A = 1

, а затем результат уточнен вторым приближением.
Прогиб нити найдем, используя
(23):

.
Найдем его для середины пролета:

.
Подставляем в
(23) значение

из
(20), и вспомнив, что

есть стрела прогиба нити f, отложенная вниз от прямой, соединяющей обе опоры, получаем выражение для прогиба от полной нагрузки:

. (23, а)
При малом значении второго члена в выражении A можно (23, а) записать так:

. (24, б)
(24, б) напоминает по структуре формулу прогиба балки и удобна в пользовании, однако следует помнить, что она приближенная и дает малую погрешность при

.
Для наших значений

.

.
Определим для этого загружения уклон кровли у нижней опоры. Решим
равенство (5) относительно

:

.
В нашем случае он будет:

(скат наружу).
Определим натяжение и положение кровли летом, t = 30 °C, снега нет, используя
(21).
Для равномерных нагрузок
(21) удобнее написать в виде:

,
где

.
Для нашего примера
Поэтому

.
(Из расчета следует, что скат кровли внутрь здания).
Надо учесть, что южный скат может нагреться от солнца еще больше, что приведет к дополнительному провисанию.
Случай загружения снегом половины пролета. Температура -30°. В этом случае интерес представляют вертикальные перемещения в четвертях пролета.

.

,
где


.
Зная

, определим вертикальные перемещения.
Для загруженной четверти пролета:
(кровля опускается вниз).
Для незагруженной четверти пролета:
(кровля поднимается вверх).
Рекомендация ограничивает прогибы только требованиями эксплуатации и сохранности кровли. Все прогибы и перемещения были определены для расчетной нагрузки. Это делалось для того, чтобы определить возможные деформации и положения кровли при эксплуатации. Если же требуется сравнить деформативность висячего покрытия с требованиями СНиП, то расчет необходимо вести по нормативным нагрузкам. Ограничение деформаций достигается включением нити в системы.
Пример 2.
Рассмотрим двухпролетное покрытие.

.
Стрелы провисания в новом положении равновесия:

.
Распоры:

.
Относительная погрешность в процентах

.
Действительное смешение будет несколько меньше полученного.
Неизменяемые комбинированные вантовые системы (рис. 19)
Рис. 19. Неизменяемые комбинированные системы
6.29. Такие системы образуются из вант и жестких стержней или балок. Особенностью является их геометрическая неизменяемость, сохраняющаяся до тех пор, пока в вантах не исчезнет натяжение. Рассчитываются они аналогично стержневым фермам.
Обязательным являются проверка каждой ванты на возможность выключения ее из работы и проверка при этом всей остальной системы на кинематическую неизменяемость. Полезные нагрузки при этом принимаются с коэффициентами перегрузки.
Для схем а, б, в, г обязательной является проверка на отсос. Эти схемы не позволяют применять предварительное натяжение, и единственным способом, обеспечивающим их от вывертывания, будет пригружение покрытия или придание покрытию жесткости (плита или балки жесткости).
Однопоясные системы (рис. 20)
Рис. 20. Однопоясные системы
6.30. Общим для однопоясных систем является наличие гибкого пояса, непосредственно несущего нагрузку. На схеме "а" настил покрытия крепится непосредственно к поясу. На схеме "б" настил отделен от пояса и подвешен. В обоих случаях желательно использовать жесткость настила для стабилизации пояса.
На схеме "в" пояс снабжен раскосами, которые могут быть предварительно напряжены и делают систему геометрически неизменяемой. Рассчитывают ее как обычные фермы.
Формулы для расчета пояса
6.31. Расчет по прочности:
Расчетное усилие в поясе T определяется по
формуле (8), причем при параллельных поясах

; (40)
для радиально сходящихся поясов

. (41)
Расчет по деформациям:
6.32. Длина пояса S определяется по
формуле (12). Зависимость между приращением длины нити и ее прогибом:
для квадратной параболы

; (42)
для кубической параболы

. (43)
Прогиб и перемещения пояса
6.33. Если покрытие имеет прочный настил, который был предварительно напряжен нагрузкой, превышающей расчетную, то жесткость настила вводится в расчет.
Прогиб

покрытия, равномерно нагруженного нагрузкой P, приближенно определяется формулами:
для параллельно расположенных вант

; (44)
для круглых в плане покрытий при вантах, радиально расходящихся от центра

, (45)
где

,

- модуль упругости и сечение пояса;

,

- модуль упругости настила и его сечения, приходящегося на одну нить.
Для
формулы (45) 
(площадь сечения настила) принимается непосредственно у опорного контура покрытия.
Способы уменьшения деформативности однопоясных систем
6.34. Стрелка, при которой кинематическое перемещение

в пролете, загруженном нагрузкой на половине пролета, равно упругому прогибу

от загружения по всему пролету:

, (46)

- коэффициент нагрузки.
Для параллельно расположенных поясов:

.
Для вант, загруженных нагрузкой, прямолинейно убывающей к середине пролета, и не связанных в центре,

.
Для радиально расположенных вант, связанных в центре,

. Возможно применение горизонтальных ферм, расположенных поперек вант в плоскости покрытия (рис. 21).
Рис. 21. Стабилизация с помощью горизонтальной фермы
6.35. Жесткие пояса в виде обратных арок снижают кинематические перемещения и могут быть рекомендованы для однопролетных зданий, для покрытий, собственный вес которых не меньше 100 кг/м2.
Жесткой нити при ее изготовлении придают форму, соответствующую равновесию под действием полной расчетной нагрузки. Тогда изгибающие моменты в ней будут малы и расчет на полную нагрузку ведется по формулам гибкой нити.
Требуемая жесткость пояса

определяется величиной допускаемого прогиба

, возникающего от действия временной нагрузки.
В общем случае жесткость пояса

определяется из дифференциального уравнения:

, (47)
где

- прогиб покрытия.
В частном случае при равномерно распределенной нагрузке P, действующей на половине пролета l/2, максимальное значение прогиб

достигает в четвертях пролета. Требуемая жесткость пояса определяется по формуле

, (48)
где

- момент инерции сечения пояса, принятого постоянным по пролету;
g - собственный вес покрытия, постоянный по пролету;
f - стрелка нити при нагрузке

, равномерной по пролету.
Крепление на опорах принято шарнирным
Суммарные напряжения, возникающие в поясе от действия распора и момента, не должны превосходить расчетного сопротивления стали

. (49)
Здесь W - момент сопротивления сечения пояса.
Если возникновение сжатия в сечении нежелательно, то следует соблюдать соотношение

, (50)
при

жесткости пояса не требуется.
6.36. Стабилизирующие раскосы в особенности целесообразны в легких покрытиях, в районах с большими ветровыми или сейсмическими нагрузками. Раскосы могут быть преднапряжены, натянуты, что существенно уменьшает деформацию. Система рассчитывается как ферма.
Учет пространственной связанности для радиально
расположенной системы
6.37. Ванты радиальных систем обычно крепятся в центре покрытия к жесткому кольцу. При загружении полезной нагрузкой одной половины круглого в плане покрытия смещение центра кольца определяется формулой:

. (51)
Смещение направлено вдоль оси симметрии загружения. Величина распора в ванте, направленной под углом

к оси симметрии нагрузки при загружении половины круглого покрытия (рис. 22).
Рис. 22. Нагружение половины круглого покрытия
Со стороны загружения

. (52)
Со стороны незагруженной части кровли

. (53)
Здесь

,

,

- величины распоров в несвязанной ванте соответственно при равномерном загружении покрытий полной расчетной или постоянной плюс половина временной, или одной постоянной нагрузках.
В обеих формулах синус берется существенно положительным. Эпюра распоров показана на
рис. 22, б.
Двухпоясные системы (рис. 23)
Рис. 23. Двухпоясные системы
Так называются системы, состоящие из двух связанных друг с другом гибких поясов, изогнутых навстречу друг другу.
6.38. На схеме "а" несущий пояс расположен выше стабилизирующего и связан с ним вертикальными тягами - подвесками. Однако такое взаимоположение поясов не единственно возможное, на схеме "б" несущий пояс, наоборот, расположен под стабилизирующим и связан с ним распорками. Схема "в" иллюстрирует возможность любого промежуточного положения, пояса могут пересекаться друг с другом в любой точке пролета. Кроме вертикальных стержней, системы могут иметь и раскосы (схема "г") или только раскосы (схема "д"), что целесообразно при больших временных нагрузках. В легких покрытиях можно применять схему "е". При тяжелых покрытиях и больших временных нагрузках экономически выгодной оказывается схема "ж".
Расчет двухпоясных систем
Простейшие двухпоясные системы, схемы а, б, в, рекомендуется рассчитывать приближенным способом, изложенным ниже.
6.39. Расчет на прочность
Погонная нагрузка на несущий трос q состоит из суммы нагрузок:
q = g + p + v,
где q - постоянная нагрузка;
p - временная нагрузка;
v - нагрузка предварительного напряжения при расчетном нагружении, равная 10 - 15% от (g + p).
Если фермы расположены параллельно, то нагрузки принимаются равномерно распределенными по пролету, а очертания поясов принимаются по квадратным параболам (24, а).
Рис. 24. Параллельно и радиально расположенные системы ферм
а - схема ферм; б - загружение полупролета
двухпоясной системы
Если здание круглое и фермы расположены радиально, сходясь к центру, то нагрузка будет уменьшаться от опор к центру по закону прямой

. Очертания поясов принимаются по кубическим параболам.
Расчетный распор

в несущем поясе:
для параллельно расположенных ферм

; (54)
для радиально расположенных ферм

. (55)
Здесь

- стрелка несущего пояса.
Расчетное усилие в несущем поясе и его сечение определяются по
формуле (8).
6.40. Расчет по деформациям
Так как прогиб

одинаков для обеих вант, для несущей и стабилизирующей (деформациями распорок пренебрегаем), то между изменениями действующих распоров

и

имеется зависимость:

, (56)
где

- меняющийся коэффициент.
Для общего случая очертания поясов

имеет величину:

.
Если оба пояса очерчены по одному закону (например, оба - по квадратной параболе, оба - по кубической параболе и т.д.), то

.
Индексы С и Н означают принадлежность величины к стабилизирующему и несущему поясам. Сечение стабилизирующего троса предварительно назначается обычно в пределах 0,2 - 0,6 от

, а затем уточняется, исходя из величины кинематических перемещений.
Изменение распора несущего пояса

от любой вертикальной нагрузки

в общем случае находится из равенства

, (57)
M и

- балочные моменты от расчетной нагрузки и от

;

- балочный момент от прироста сил взаимодействия поясов в рассматриваемом сечении, вызванных удалением с покрытия нагрузки

, который находится из равенства:

. (58)
Здесь

,

и

- балочные моменты соответственно от нагрузок

, q и v в рассматриваемом сечении, знак минус указывает, что

растет, если нагрузка на покрытие уменьшается;

, (59)

и

- ординаты провисания поясов в рассматриваемом сечении, считая от оси, соединяющей точки опирания фермы;

- прогиб фермы в рассматриваемом сечении.
Так как

мал и неизвестен, то в первом приближении его считают равным нулю, а затем, зная

, определяют

из
(57) и подстановкой в
(58) и
(59) уточняют все искомые величины.
Изменение

от действия равномерной по площади нагрузки P для параллельно расположенных ферм:

. (60)
То же для радиально расположенных ферм:

. (61)
Здесь

- изменение сил взаимодействия поясов в зависимости от изменения внешней нагрузки

, причем

.
6.41. Прогиб в середине пролета под действием нагрузки, равномерной по всей площади покрытия:
для параллельно расположенных ферм

(62)
или приближенно

; (63)
для радиально расположенных ферм

(64)
или приближенно

. (65)
Определение кинематических перемещений
| | ИС МЕГАНОРМ: примечание. В официальном тексте документа, видимо, допущена опечатка: пункты 1.19 и 1.22 отсутствуют. | |
6.42. В общих случаях загружения кинематические перемещения

и

определяются в соответствии с соображениями, изложенными выше в пп. 1.19 и 1.22.
При равномерном по площади загружении P практически важным является определение перемещений для загружения полупролета (
рис. 24, б).
Вертикальные перемещения при параллельно расположенных фермах:

, (66)
где

и

- распоры в поясах при загружении фермы нагрузкой (g + p/2) по всему пролету с учетом силы преднапряжения системы, равной:

; (67)

- прогиб от нагружения равномерной нагрузкой q + p/2 по всему пролету положителен в загруженном полупролете.
Максимальный прогиб

, отвечающий значению X = +/- l/4,

(68)
или, подставляя вместо распоров их значения,

; (69)

; (70)

. (71)
Расчет стабилизирующего пояса (для параллельно
расположенных ферм)
Случай загружения полупролета является расчетным для определения сечения стабилизирующего пояса

. Если

ограничен определенной величиной, то из (72) непосредственно вычисляют необходимые для этого значения

и v, зная которые находят усилие в тросе


. (72)
Если предварительное напряжение покрытия производится до получения им собственного веса, то пояс следует проверить на монтажное состояние:

. (73)
Здесь g - полный вес покрытия;

- вес покрытия, при котором производится его предварительное напряжение. При этом монтажные напряжения в тросе от

допустимо повысить на 10%.
Проверка пояса на ветровую отрицательную нагрузку B:

(74)
или

- для очень легких кровель.
Если кровля опирается непосредственно на пояс между узлами, то следует произвести проверку его на местную нагрузку как струну, натянутую между узлами. Такое опирание увеличивает натяжение в стабилизирующем тросе, что следует учитывать.
6.43. Величина стрелки, при которой


. (75)
Для радиально расположенных систем (без учета пространственной связанности в центре):

, (76)
где

.
Максимальное перемещение

соответствует сечению

(77)
или

. (78)
Значение стрелки, при которой

, находят, приравнивая

(78) к
(64). Горизонтальное перемещение несущей и стабилизирующей вант

и

в середине пролета при загружении половины пролета определяется по следующим формулам:
при параллельно расположенных фермах

, (79)
при радиально расположенных фермах (без учета связанности в центре)

. (80)
6.44. Смещение центра внутреннего кольца, связывающего несущие пояса при загружении полезной нагрузкой половины круглого в плане покрытия:

. (81)
Смещение узла пересечения несущих тросов

произойдет в сторону загруженной половины покрытия, а узел стабилизирующих тросов сместится в противоположную сторону. Натяжения тросов находятся из условия их загружения с учетом смещения центральной их точки.
6.45. Если под влиянием нагрузки опоры фермы сместились и пролет l уменьшился на

, то это приведет к дополнительному прогибу

, определяемому из формулы:

, (82)
где к - коэффициент отпора, равный 3/16 для нагрузки "а" и 5/72 - для нагрузки "б".
При этом усилия в поясах уменьшатся на

и

, имеющие следующие значения:

; (83)

. (84)
Сетчатые системы
Сетчатые системы могут быть: отрицательной кривизны (седловидные), положительной кривизны (висячие купола), нулевой кривизны (цилиндрические), а также комбинации из них. Рисунок сетки может быть квадратным, треугольным, ромбическим, шестиугольным и т.д.
Расчет сетчатых систем
6.46. Расчет пологих сетчатых систем, несущих вертикальную нагрузку (рис. 25), сводится к определению усилий, деформаций и перемещений в элементах таких систем.
Рис. 25. К расчету седловидных систем
Для этого в общем случае необходимо решить совместно уравнения равновесия

, (85)
которые составляются для каждого узла системы, и уравнения деформаций

. (86)
Уравнения (86) могут быть составлены для каждой нити в количестве, необходимом для восполнения
уравнений (85) при определении неизвестных величин.

и

- горизонтальные составляющие усилия в рассматриваемом узле mn для вант m и n, располагаемых соответственно вдоль осей X и Y;

,

,

,

- углы наклона соответствующих вант к горизонтали в узле mn;

- внешняя нагрузка, приходящаяся на рассматриваемый узел;

- длина ванты между смежными узлами "n" и "n + 1";
EF - жесткость нити;

- удлинение нити в пролете между опорами, причем

,

и

- ординаты нити соответственно в узлах n и n + 1;

и

- прогибы узлов n и n + 1;
a - длина панели.
Решение системы уравнений значительно упрощается, если удается предварительно задаться формой поверхности покрытия или найти ее. В этом случае усилия и сечения несущих вант определяются непосредственно из расчета их как отдельных нитей.
При большом числе вант и узлов их пересечений разрешается для расчета укрупнить сетку, свести количество вант к семи в каждом направлении. Это позволяет уменьшить число уравнений равновесия до 49 или, используя симметрию покрытия в плане, до 25 или даже до 14.
Расчет сеток должен вестись в соответствии с методом предельных состояний.
Первое предельное состояние.
Расчет на прочность
Принимается, что несущие нити сетки несут всю нагрузку, а стабилизирующие либо выключаются из работы, либо, если они служат затяжками контура, имеют натяжение, определяемое из условий безмоментности контура. Если несущие нити в сетке не пересекаются друг с другом, то, отбрасывая стабилизирующие нити и заменяя их действие силами, сетчатую систему расчленяют на отдельные нити. Имея заданную стрелку, определяют форму поверхности, расчетные усилия в несущих нитях, их сечения и удлинение их под расчетной нагрузкой. Затем рассчитываются сечения опорного контура.
Примечание. Большие временные сосредоточенные нагрузки рекомендуется воспринимать не сеткой, а специальными конструкциями.
Второе предельное состояние.
Расчет на деформации
Возможны следующие случаи:
1) деформативность несущих нитей находится в допустимых пределах и обеспечивается весом принятого кровельного покрытия. Стабилизирующие элементы в этом случае не требуются по расчету, но могут быть оставлены как связи;
2) упругие перемещения (прогибы) покрытия при воздействии полной расчетной нагрузки не превышают нормы, в то же время кинематические перемещения покрытия выше допустимых. В этом случае стабилизирующие нити необходимы, и количество их и сечения определяются по расчету;
3) упругие перемещения выше нормы. В этом случае следует увеличить жесткость сетки за счет увеличения количества несущих нитей или их сечений, а также путем увеличения стрелки их провисания.
Частные случаи сетчатых систем
1. Седловидные системы
6.47. Седловидные системы образуются из сеток, у которых ванты одного направления (несущие) провисают, а другого направления (стабилизирующие) вспарушены.
На схеме "а"
(рис. 26) седловидное покрытие опирается на жесткий прямоугольный контур, схема "б" представляет собой седловидное покрытие, окаймленное жестким криволинейным контуром. На схеме "в" дан пример вытянутого овала с промежуточными опорными арками. На схеме "г" представлена ортогональная сетка, натянутая на гибкий контур, образованный из бортовых вант. Схемы "д" и "е" дают примеры многопролетных зданий с седловидными покрытиями с жесткими и гибкими контурами.
Рис. 26. Седловидные системы
6.48. Нахождение поверхности провисания. Возможно ломаную поверхность, образованную сеткой, принять за криволинейную. Все точки этой поверхности должны удовлетворять условию равновесия, которое для пологой ортогональной сетки выражается уравнением:

. (87)
Здесь

и

распоры в несущем и стабилизирующем ванте, отнесенные к 1 п.м;

и

- вторые производные поверхности относительно осей X и Y;
q - интенсивность вертикальной нагрузки в данной точке поверхности.
Выгодно распоры для всех нитей одного направления принять постоянными.
В этом случае решение
уравнения (87) будет представлять собой поверхность гиперболического параболоида:

. (88)
Здесь

,

, a и b - соответственно стрелки и полупролеты вант, направленных по главным параболам гиперболоида. Поверхностью такого вида можно покрыть здание любой формы в плане, однако следует учесть, что опорный контур, образованный в результате пересечения гиперболического параболоида со стенами здания, в общем случае не будет плоским. На квадратном плане возможен прямолинейный контур.
При выборе формы и конструкции контура должно быть обращено внимание на уменьшение силовых воздействий, в особенности на уменьшение изгибающих и крутящих моментов.
Условие безмоментности эллиптического в плане контура:

. (89)
Здесь

и

- распоры вдоль осей эллипса, приходящиеся на 1 п.м полосы покрытия, a и b - полуоси эллипса.

. (90)
Из (90) следует, что стрелка провисания сетки

должна быть в несколько раз больше стрелки

, то есть выгоднее форму покрытия приближать к цилиндрической.
Одним из видов безмоментных контуров является гибкий (тросовый) контур. Для нахождения поверхности покрытия на гибком контуре принимают, что под полной расчетной нагрузкой натяжения в стабилизирующих вантах близки к нулю, тогда решение
уравнения (87) будет зависеть только от одной переменной X и представит собой параболы вида

. Затем, назначив

, определяют закон провисания для тросов контура.
Определение деформаций и перемещений
6.49. Поверхность, найденная при расчете по первому предельному состоянию, будет деформироваться при частичном или полном удалении с покрытия временной нагрузки. Определение перемещений кровли и изменение усилий в нитях можно находить при помощи функции вертикальных перемещений. Тогда уравнение равновесия примет вид:

. (91)
| | ИС МЕГАНОРМ: примечание. Обозначения даны в соответствии с официальным текстом документа. | |
Здесь

и

- новые распоры в нитях, соответствующие новому загружению


,
где

, а

,

- функция вертикальных перемещений.
Последовательными приближениями функцию

корректируют до тех пор, пока точность величин, подставляемых в
(91), будет соответствовать заданной.
Для предварительной оценки вертикальных прогибов ортогональной сетки можно задать

в форме парабол или синусоид, образующих поверхность, которая накладывается на поверхность покрытия.
| | ИС МЕГАНОРМ: примечание. В официальном тексте документа, видимо, допущена опечатка: пункт 1.18 отсутствует. | |
Возможно идти другим путем - задаться функцией нагрузок на обе системы. Тогда расчет системы распадается на расчет отдельных нитей, на деформации. Проверкой правильности будет служить равенство вертикальных перемещений в узлах вант. Уточнение производится в соответствии с п. 1.18.
Ванто-балочные системы
6.50. Ванто-балочные системы покрытий обычно представляют собой ортогональную сетку, у которой в одном направлении висят ванты, а в другом, опираясь на них, лежат балки
(рис. 27). Если балки имеют шарниры на каждом пересечении с вантой, то такая система ничем не отличается от однопоясной, балки несут только местную нагрузку, передавая ее на узлы пересечения
(схема "а"). Если балки неразрезные, то, в зависимости от жесткости их сечения и пролета, они могут выполнять роль элементов, уменьшающих неравномерность нагрузки между вантами, или выполнять функции стабилизирующих элементов
(схема "б"). В некоторых случаях балки, совместно работая с вантами, могут взять на себя долю общей нагрузки, передавая ее на свои опоры
(схема "в").
Рис. 27. Ванто-балочные системы
а) с разрезными балками; б) с неразрезными балками;
в) с системой из преднапряженных неразрезных балок
6.51. В общем случае для расчета ванто-балочных систем используются системы дифференциальных уравнений равновесия поверхности:

. (92)
Здесь EJ - жесткость балки;
H - распор ванты (балки направлены параллельно оси X, ванты - параллельно оси Y);
q - расчетная нагрузка.
Уравнения равновесия можно написать в дискретной форме для каждого узла:

. (93)
Здесь

- распор в нити m;

,

- тангенсы углов нити в узлах пересечения с балками n + 1 и n;

- давление ванты на балку n в узле mn;
q - внешняя нагрузка в узле, включая собственный вес покрытия.
Распоры в нитях в общем случае находятся совместным решением системы уравнений равновесия
(93) и уравнений деформаций:

,

, (94)
где EF - жесткость нити;

- ее пролет;

- ее удлинение;

- смещение опор нити при натяжении;

- удлинение нити между узлами, причем

, (95)

- длина панели;

и

- ординаты нити в узлах n и n + 1;

и

- прогибы этих узлов.
Так как прогиб нити и балки в каждом узле одинаковы, то подбираются

для
(93) таким образом, чтобы вызываемые этой нагрузкой прогибы балок соответствовали прогибам узлов.
6.52. Исходя из метода предельных состояний, расчет ванто-балочных систем выполняется следующим образом:
На прочность нитей (1 предельное состояние) он производится в предположении, что всю нагрузку несут нити, а балки в работе не участвуют. При ортогональной сетке и равномерной по покрытию нагрузке расчетный распор находим по известной формуле:

,
где

- пролет нити.
Расчет на деформацию и перемещение (II предельное состояние)
а) Упругий прогиб от полной нагрузки по всему покрытию. Считаем, что на прогиб средней зоны покрытия (в центре) наличие балок не влияет. Тогда прогиб центра покрытия находится по формуле прогиба нити, в которой q и

отнесены к единичной полосе покрытия.
б) Случай загружения половины пролета нитей нагрузкой. Прогиб среднего каната в четвертях пролета

находится по формуле

. (96)
Здесь

- стабилизирующее влияние балок, расположенных в незагруженной половине пролета;

- прогиб от

по всему пролету.
Если

задано, то из
(96) находится

- нагрузка на балки. Закон приложения

вдоль балки можно считать косинусоидальным. Необходимый момент сопротивления балки (на единичной полосе покрытия):

. (97)
Здесь

- пролет балки;

- расчетное сопротивление для нее.
Кроме прочности балки должны обладать требуемой жесткостью, необходимый момент инерции сечения балки определяется из условия

. (98)
Если ветровой отсос больше собственного веса g, то балки следует рассчитать на вывертывание кровли.
Временная снеговая нагрузка на половине пролета балок не будет расчетным случаем. Если к покрытию подвешивается монорельс и т.д., то расчет следует уточнить при помощи
уравнений (92) или
(93).
Пример 1. Подобрать сечение канатов и определить усилия, деформации для покрытия пролетом 80 м
(рис. 28), выполненного в виде однопоясной системы, состоящей из вант, располагаемых с шагом 6 м, железобетонных плит, замоноличиваемых после дополнительного их пригружения, и рулонного ковра. Покрытие несет снеговую нагрузку интенсивностью 100 кг/м
2. С учетом коэффициентов перегрузки расчетные нагрузки на покрытие составляют:
1. Временная - P = 140 x 6 = 840 кг/п.м.
2. Постоянная - g = 250 x 1,16 = 1680 кг/п.м.
Полная нагрузка q = g + P составляет 2520 кг/п.м. Принимаем стрелу провеса вант при расчетной нагрузке f = 6 м.
а) Расчет на прочность

.
Расчетное усилие тяжения в вантах определяем по
формуле (40):

.
Принимаем трос с временным сопротивлением проволок

и при

, R = 7200 кг/см
2.
Требуемая площадь сечения вант:

.
Длина нити

.
Прогиб покрытия от временной нормативной нагрузки определяем сначала приближенно по
формуле (24), считая справа

:

.
Здесь

; P = 6 кг/п.см - нормативная снеговая нагрузка.

.
Второе приближение дает:

.
Если настил из железобетонных плит предварительно обжат, то его жесткость можно учесть. При тонких плитах считаем, что настил только наполовину участвует в упругой работе. Тогда вместо EF можно записать:

,
Подставляя в
формулу (24) значение E'F', вместо EF получаем:

.
Предварительное обжатие плит, позволившее включить их в работу, увеличило жесткость покрытия в несколько раз.
б) Проверка на вертикальные перемещения при загружении временной нагрузкой половины пролета

.
Здесь

,

.
Для покрытия с предварительно обжатым настилом:

.
| | ИС МЕГАНОРМ: примечание. Обозначение дано в соответствии с официальным текстом документа. | |
Распор ванты при

.

.

.
Решающим оказался не упругий прогиб в середине пролета, а вертикальное кинематическое перемещение в четвертях от нагружения полупролета. Уменьшить перемещение возможно за счет жесткости совмещенной конструкции настила и троса.
Железобетонный тяжелый настил рационально заменить более легким, например, асбоцементным. Тогда собственный вес покрытия может быть снижен до 120 кг/м2, то есть g = 120 x 6 x 1,1 = 792 кг/п.м.
При этом q = 840 + 792 = 1632 кг/п.м,
распор

, а расчетное усилие T = 226 т, которое составляет всего 67,3% от предыдущего варианта.
Вводим в конструкцию изгибную жесткость, например, металлическую балку. Величину требуемой жесткости определяем из
формулы (48):

,
где

принята равной 35 см.
Можно принять жесткую нить в виде параболически изогнутой балки из двутавра N 45 с моментом инерции J = 27450 см4, сечением F = 83 см2, весом 65,2 кг/п.м, то есть расход металла около 11 кг/м2.
Напряжения в балке от изгиба оцениваются приближенно исходя из искривления:

.
Здесь

- высота балки.
Для полного использования несущей способности балки можно включить ее в работу на восприятие цепной силы путем предварительного напряжения.
Величина силы, которую способна воспринять балка из Ст3:

.
Трос несет остальную цепную силу:

.
Трос выгоднее пропустить вдоль оси балки и следует предварительно напрячь, натянув на балку. Сечение и вес балки можно снизить в зависимости от допустимого искривления покрытия.
Пример 2. Подобрать сечение канатов и определить усилия, деформации того же покрытия, но с двухпоясной системой вант
(рис. 29). Постоянная нагрузка g = 80 кг/м
2. На 1 п.м фермы: g = 1,1 x 80 x 6 = 528 кг/м. Задаемся нагрузкой преднапряжения

в размере 15% от (g + P).

;

.
Принимаем стрелки обоих тросов для стадии расчетного нагружения равным 6 м

.
Расчетный распор нижнего троса находим по
(11):

.
Расчетное усилие в несущем тросе определяем по
(40):

.
Трос ставим аналогично примеру 1 с R = 7,2 т/см2, тогда:

. Принимаем трос с

.
Принимаем площадь сечения стабилизирующей ванты равной половине площади несущего троса,

.
Геометрические коэффициенты

.
Величина преднапряжения для стадии действия одной постоянной нагрузки:

.
То же для стадии монтажа:

.
Так как сила ветрового отсоса меньше веса покрытия, то самым опасным для стабилизирующих тросов будет монтажное состояние. В этом состоянии проверяем стабилизирующий трос.

.
Такова в первом приближении необходимая величина предварительного натяжения стабилизирующего троса при монтаже. Проверяем сечение троса:

.
Приближенно прогиб фермы в середине пролета (по
63):

,
где

.
а) Первое приближение


.
Получив значение

в первом приближении, подставляем его в уточненные формулы и вычисляем второе приближение

;

;

.
Введем поправку в силу преднатяжения, определенную из условия

.

.
Усилие в тросе

.

.
Вертикальное кинематическое перемещение в четвертях пролета:

;

.
Причем, вводим поправку на нормативные нагрузки

и

.

.
Это перемещение больше прогиба

, однако изменять очертание фермы не будем. Если бы это потребовалось, то оптимальную стрелку

можно подобрать из условия равенства

и

по формуле

.
Так как в этой формуле под корень входит

, то изменив

для сохранения значения

, следует изменить и

. Иногда расчет лучше начинать именно с этой формулы, задавшись

и

, и получить оптимальную стрелку. Затем, зная величину

, найти усилия и определить площадь сечения.
Горизонтальное перемещение поясов в середине пролета (по
формуле (79))

.
Заметим, что

направлено в сторону загруженной половины пролета, а

- наоборот, в обратную сторону.
Пример 3. Подобрать сечения и определить деформации и перемещения для ферм
примера 1 в случае их радиального расположения для круглого в плане покрытия (рис. 30).
Рис. 30. Схема радиально-вантового покрытия
Возьмем 28 полуферм. Расстояние между ними на окружности радиуса r = 40 м будет

.
Тогда значения нагрузок, взятых из
примера 2, должны быть увеличены в отношении шагов - 9/6.
Это дает: g - 1800,0 кг/м; P = 1260 кг/м;

; q = 3360 кг/м;

;

.
Расчетный распор несущего троса по
(55)

.
Расчетное усилие в несущем тросе по
(41)

.
Площадь сечения несущего троса:

.
Проверка сечения стабилизирующего троса.
Усилие предварительного напряжения в первом приближении:

.
Это усилие будет необходимо приложить к стабилизирующему тросу при монтаже. Проверяем сечение троса.

.
Сечение

оставили равным 10,5 см
2. Приближенно прогиб фермы в середине пролета (в центре здания) от действия временной нагрузки.

.
Для кубической параболы:

,

.
Поэтому

.
Вертикальное кинематическое перемещение по
(77)

.
Так как

,
то

.
А с учетом пространственной связанности в центре:

.
Мы видим, что максимальное перемещение для радиальных систем превысило почти вдвое величину аналогичного перемещения у параллельных ферм. Это объясняется треугольным характером нагружения.
Оптимальное значение стрелки найдем, приравнивая

. С учетом связанности систем в центре это дает

.
Подставляя соответствующие значения, получим:

.
в) РАСЧЕТ ПЕРВОНАЧАЛЬНО ПЛОСКИХ КРУГЛЫХ
МЕМБРАН НА РАВНОМЕРНУЮ НАГРУЗКУ
6.53. Настоящий метод расчета распространяется на мембраны, материал которых в упругой стадии следует закону Гука, а в пластической - имеет на диаграмме одноосного растяжения площадку текучести. Кроме того, предполагается, что прогиб в центре мембраны не превышает 0,1R.
Условные обозначения:
R - радиус мембраны;

- радиус пластической области;

- радиус области упругих деформаций с двухосным напряженным состоянием;
r - радиальная координата;
h - толщина мембраны;
E - модуль упругости материала мембраны;

- коэффициент Пуассона материала мембраны;

- жесткость опорного контура;

- площадь поперечного сечения опорного контура;

- модуль упругости материала опорного контура;

- отношение неупругих деформаций опорного контура к его упругим деформациям;
q - нагрузка на единицу площади;

- значение q, при котором в центре мембраны появляются пластические деформации;
W - прогиб мембраны;

- прогиб мембраны в центре;

- прогиб на линии

;

- прогиб на линии

;

- угол между касательной к меридиану и горизонталью;
U - радиальное смещение;

- радиальное напряжение;

- напряжение в центре упругой мембраны;

- предел текучести материала мембраны;

- кольцевое напряжение;

- меридиональные напряжения на линии

;

- кольцевая деформация.
В зависимости от величины нагрузки, прочностных и геометрических характеристик самой мембраны и ее опорного контура мембрана может находиться в одном из состояний, показанных на рис. 31.
Рис. 31. Области деформаций и напряжений
круглой мембраны под равномерной нагрузкой
а - состояние I; б - состояние II; в - состояние III;
г - состояние IV; 1 - упругие деформации; двухосное
напряженное состояние;

; 2 - упругие
деформации; одноосное напряженное состояние;

,

; 3 - пластические деформации;

Расчет начинается с проверки условия:

. (99)
Если оно выполняется, то область 2 в мембране отсутствует и она находится в I или III состояниях. В противном случае возможны состояния II или IV.
По
табл. 5 находим x, удовлетворяющее уравнению

, (100)
левая часть которого подбирается по той же таблице, и обозначаем этот корень через

.
Находим нагрузку, при которой в центре мембраны появляются пластические деформации

. (101)
Проверяем условие

. (102)
Если оно выполняется, то мембрана находится в состоянии I, иначе - в состоянии III.
Мембрана находится в состоянии I.
Напряжения в центре

, (103)
в произвольной точке мембраны:

(104)
Значения функций f(x), xf'(x) даны в
таблице 5. Переход от r к x дается формулой:

. (105)
x | f(x) | xf'(x) | | |
0,000 | 1,000 | 0,000 | 0,000 | 0,0010 |
0,010 | 0,9950 | -0,0050 | -0,0100 | 0,0110 |
0,020 | 0,9900 | -0,0101 | -0,0200 | 0,0211 |
0,030 | 0,9848 | -0,0153 | -0,0311 | 0,0312 |
0,040 | 0,9797 | -0,0205 | -0,0419 | 0,0414 |
0,050 | 0,9756 | -0,0259 | -0,0531 | 0,0517 |
0,060 | 0,9694 | -0,0313 | -0,0645 | 0,0619 |
0,070 | 0,9642 | -0,0367 | -0,0762 | 0,0723 |
0,080 | 0,9589 | -0,0423 | -0,0882 | 0,0827 |
0,090 | 0,9536 | -0,0479 | -0,1005 | 0,0932 |
0,100 | 0,9482 | -0,0536 | -0,1131 | 0,1037 |
0,110 | 0,9429 | -0,0594 | -0,1261 | 0,1143 |
0,120 | 0,9374 | -0,0653 | -0,1394 | 0,1249 |
0,130 | 0,9320 | -0,0713 | -0,1530 | 0,1356 |
0,140 | 0,9265 | -0,0774 | -0,1670 | 0,1464 |
0,150 | 0,9209 | -0,0835 | -0,1815 | 0,1572 |
0,160 | 0,9153 | -0,0898 | -0,1963 | 0,1681 |
0,170 | 0,9097 | -0,0962 | -0,2115 | 0,1790 |
0,180 | 0,9040 | -0,1027 | -0,2271 | 0,1901 |
0,190 | 0,8983 | -0,1093 | -0,2432 | 0,2012 |
0,200 | 0,8925 | -0,1159 | -0,2598 | 0,2124 |
0,210 | 0,8867 | -0,1228 | -0,2769 | 0,2236 |
0,220 | 0,8808 | -0,1297 | -0,2945 | 0,2349 |
0,230 | 0,8749 | -0,1367 | -0,3126 | 0,2463 |
0,240 | 0,8689 | -0,1439 | -0,3312 | 0,2578 |
0,250 | 0,8629 | -0,1512 | -0,3504 | 0,2593 |
0,260 | 0,8568 | -0,1586 | -0,3703 | 0,2810 |
0,270 | 0,8506 | -0,1662 | -0,3907 | 0,2927 |
0,280 | 0,8445 | -0,1739 | -0,4118 | 0,3045 |
0,290 | 0,8389 | -0,1817 | -0,4336 | 0,3164 |
0,300 | 0,8320 | -0,1897 | -0,4561 | 0,3284 |
0,310 | 0,8256 | -0,1979 | -0,4794 | 0,3404 |
0,320 | 0,8192 | -0,2062 | -0,5035 | 0,3526 |
0,330 | 0,8137 | -0,2147 | -0,5283 | 0,3649 |
0,340 | 0,8062 | -0,2233 | -0,5339 | 0,3772 |
0,350 | 0,7996 | -0,2321 | -0,5806 | 0,3897 |
0,360 | 0,7929 | -0,2411 | -0,6081 | 0,4022 |
0,370 | 0,7862 | -0,2503 | -0,6366 | 0,4149 |
0,380 | 0,7794 | -0,2596 | -0,6662 | 0,4276 |
0,390 | 0,7725 | -0,2692 | -0,6968 | 0,4406 |
0,400 | 0,7656 | -0,2789 | -0,7286 | 0,4536 |
0,410 | 0,7586 | -0,2889 | -0,7615 | -0,4667 |
0,420 | 0,7515 | -0,2990 | -0,7958 | 0,4799 |
0,430 | 0,7444 | -0,3094 | -0,8313 | 0,4933 |
0,440 | 0,7371 | -0,3199 | -0,8682 | 0,5068 |
0,450 | 0,7298 | -0,3308 | -0,9066 | -0,5205 |
0,460 | 0,7224 | -0,3419 | -0,9465 | 0,5343 |
0,470 | 0,7149 | -0,3532 | -0,9880 | 0,5482 |
0,480 | 0,7074 | -0,3647 | -1,031 | 0,5623 |
0,490 | 0,6997 | -0,3776 | -1,076 | 0,5765 |
0,500 | 0,6920 | -0,3886 | -1,123 | 0,5909 |
Промежуточные значения определяются по линейной интерполяции.
Прогиб: в центре мембраны

, (106)
в произвольной точке

. (107)
Значения интегралов приведены в
табл. 5.
Угол между касательной к меридиану и горизонталью:

. (108)
Радиальное смещение

. (109)
Мембрана находится в состоянии III.
Вычисляем:

;

. (110)
Для определения радиуса

пластической области 3 интегрируем уравнение

, (111)
при граничных условиях
на контуре -

, (112)
а на границе областей -

. (113)
В выражениях (
111 - 113) введены обозначения:

и

- значения x и y на контуре при

;

и

- значения x и y на границе упругой и пластической областей при

.
Решение ведется следующим образом: задаемся значением

и вычисляем

,

(при

)

и

; интегрируя численно
(111), находим

и

, проверяем граничное
условие (112): изменяя

, добиваемся выполнения
(112).
После того как определено

, напряжения в области 1 находятся по формулам:

(115)
Для определения напряжений в какой-либо точке упругой области помимо контурной необходимо в процессе решения
(111) получить значение y и y' в этой точке.
Углы между касательной к меридиану и горизонталью в упругой области по-прежнему определяются
выражением (108), а прогибы - формулой

. (116)
Вычисление определенного интеграла (116) удобно вести с тем же шагом, с которым ведется интегрирование
(111). В пластической области:

; (117)

(118)
Для перехода от x к

используется формула:

.
Радиальное смещение в упругой области находится по
(109), а в пластической - по формуле

. (119)
Решаем относительно

уравнение

, (120)
где

.
Вычисляем

. (121)
Мембрана находится в состоянии II.
Напряжение в центре:

. (122)
Переход от r к x

. (123)
Напряжения в одноосной области 2:

(124)
Прогибы в одноосной области 2

. (125)
Прогибы в двухосной области 1:

. (126)
Прогиб в центре мембраны

. (127)
Углы между касательной к меридиану и горизонталью в области 1 находятся по
(108), а в одноосной определяются выражением

. (128)
Радиальное смещение в области 1 находится по
(109), а в области 2 дается формулой:

. (129)
Кольцевая деформация в произвольной точке мембраны, находящейся в любом из 4-х состояний, определяется отношением:

. (130)
Мембрана находится в состоянии IV.

и

, (131)
на линии

.

(132)
и

(133)

и

- значения x и y при

, а

и

- значения x и y при

.
Подобрав

таким образом, что
(131) выполнено, решаем относительно

уравнение:

, (134)
для которого при расчете упруго-пластической мембраны
уравнение (120) дает первое приближение. Находим новые значения

и

и снова интегрируем
(111), добиваясь выполнения
(131). Процесс повторяется до тех пор, пока два последовательных значения

, полученные из
(134), не совпадут.
Далее находим напряжения на линии


; (135)
напряжения в области 2:

;

; (136)
напряжения в упругой области 1 по
(115), а в пластической - по
(117).
Прогибы в одноосной области 2

. (137)
Прогибы в упругой области 1

. (138)
Здесь

- прогиб на линии

, определяемый из
(137).
Прогибы в пластической области

, (139)
где

- прогиб на линии

, определяемый по
(138), при нижнем пределе

.
Угол наклона в одноосной области:

. (140)
Углы наклона в пластической области и упругой области 1 определяются по
(108).
Радиальное смещение определяется в области 1 по
(109), в пластической области - по
(119), а в области 2 - выражением:

. (141)
ПРИМЕРЫ РАСЧЕТА
1. Мембрана из стали марки Ст3 прикреплена к железобетонному опорному контуру, бетон которого имеет марку 200.
Задано:

; R = 10,0 м; h = 1,2 мм;

;

;

;

;

;

;

;

;

.

.
Определим по
(101) нагрузку, при которой в центре мембраны появляются пластические деформации

.
Мембрана находится в состоянии I.
Найдем напряжения в центре мембраны по
(103).

.
Напряжения на контуре найдем по
(104) при

, подбирая f(x) и 2xf(x) по
табл. 5:

;

.
Прогиб в центре мембраны по
(106)

.
Угол наклона на контуре

.
2. В примере 1 заменим железобетонный опорный контур стальным (Ст3)

;

;

;

.

;

;

.
Определяем нагрузку, при которой в центре мембраны появляются пластические деформации:

.
Мембрана находится в состоянии II.
Найдем напряжения в центре мембраны по
(122)

.
Напряжения на контуре найдем по
(124):

.
Прогиб в центре мембраны по
(127):

.
Угол наклона мембраны на контуре

.
Радиальное смещение на контуре

.
г) НИТИ С ИЗГИБНОЙ ЖЕСТКОСТЬЮ
6.54. Изгибная жесткость придается нити (или покрытию) для уменьшения общих и местных деформаций. Величина жесткости определяется из требований эксплуатации и неразрушимости кровли.
Изгибная жесткость покрытия может быть достигнута следующими путями:
- за счет изгибной жесткости самой нити;
- за счет изгибной жесткости настила;
- за счет совместной работы нити и настила, расположенного на относе от нити.
В первом случае нить может быть выполнена из различных профилей: прокатных (швеллеров, двутавров, труб), составных сечений (сквозных, сплошностенчатых) и т.д. (рис. 32, а).
а)
б)
в)
Рис. 32. Виды нитей с изгибной жесткостью
Во втором случае жесткий настил располагается в плоскости нити (рис. 32, б).
В третьем случае настил располагается на относе от нити и скрепляется с ней жесткой решеткой (рис. 32, в).
Усилия в жестких нитях при одной и той же геометрии могут отличаться в зависимости от способов их устройства. Если нить приобретает изгибную жесткость после приложения постоянной нагрузки (например, уложенные на нить плиты), то собственный вес в таких нитях не вызывает изгибающих моментов. Если нить обладает изгибной жесткостью до установки на место, то в зависимости от способа монтажа могут появиться те или иные изгибающие моменты, которые следует учитывать при расчете. Очертание жесткой нити должно соответствовать форме расчетной нагрузки. Например, если нагрузка постоянна по пролету, нить следует делать параболической или близкого к параболе очертания.
6.55. Рассчитывая жесткие нити, допускается принимать за кривизну вторую производную от ординаты, т.е.

или

.
6.56. Стрелки провисания жестких нитей вследствие высокой их стабильности могут приниматься большими по величине, чем для гибких нитей (1/20 - 1/6l).
6.57. Общее уравнение жестких нитей, используемое при решении частных задач, имеет следующий вид:

, (142)
где y и

- ордината оси нити и ее приращение;
x - текущая координата;
q = (g + p) - сумма постоянной и временной нагрузок;
EJ - изгибная жесткость нити, величина которой должна быть не меньше, чем определенная по
формуле (48);
H - величина натяжения.
Решение
уравнения (142) при различных видах нагрузки требует знания величины распора H, которую нужно определить предварительно, как для гибкой нити, условно считая EJ = 0. Необходимая точность решения достигается итерацией. Для наиболее распространенного случая, когда равномерно распределенная нагрузка g (собственный вес или его часть) не вызывает в нити изгибающих моментов (как в гибкой нити), решение
уравнения (142) приводит к выражениям:

;

;

;

,
где

;

,

,

и

- постоянные интегрирования кривой провисания, определяемые из граничных условий;
l - пролет;

- стрелка провисания при начальной нагрузке.
| | ИС МЕГАНОРМ: примечание. В официальном тексте документа, видимо, допущена опечатка: имеется в виду Таблица усилий, моментов и деформаций нитей с изгибной жесткостью для некоторых видов нагрузки, а не таблица 6. | |
Распоры, моменты и деформации для некоторых нагрузок даны в таблице 6.
Таблица усилий, моментов и деформаций нитей
с изгибной жесткостью для некоторых видов нагрузки
Усилия, моменты и деформации нити определены из общего дифференциального уравнения:

,
где EJ = const - изгибная жесткость нити (в кг x см2);
H - распор жесткой нити при данном загружении (в кг);
M - "балочный" изгибающий момент при данном загружении (в кг x см);
y - ордината начальной оси нити (в см);

- вертикальные перемещения нити под нагрузкой (в см).
Решение этого уравнения с достаточной для инженерных расчетов точностью получается итерацией.
В таблице применены следующие условные обозначения:

- стрелка нити до загружения (в см);

- приращение стрелки гибкой нити при действии H (в см);

- приращение стрелки жесткой нити при данном загружении (в см),

.
6.58. С целью более полного использования прочностных свойств всего сечения жестких нитей их можно выполнять из двух марок сталей. В этом случае только в одном нижнем или обоих поясах применяется сталь более высокой прочности, чем в стенке. Причем в первом случае жесткая нить выполняется симметричного, а во втором - несимметричного сечений, с более развитым нижним поясом.
6.59. Расчет жестких нитей биметаллического сечения производится в следующей последовательности:
1. Предварительно, как для жестких нитей, выполненных из одной марки стали, определяются величины распора H, балочного изгибающего момента

и стрелка провисания нити

в сечении с максимальным балочным моментом по заданному пролету нити l, стрелке провисания от начальной нагрузки

, начальной и дополнительной нагрузкам (g и p) и жесткости EJ.
2. По формуле (143) определяется оптимальная высота

сечения жесткой нити из условия ее минимального веса.

. (143)
3. Определяются площади стенки и поясов жестких нитей в зависимости от вида сечения.
а. Симметричное сечение
По формулам (144) и
(145) вычисляются коэффициент распределения материала в сечении нити

и полная площадь сечения F

; (144)

. (145)
По формулам (146) и
(147) находятся площади сечений стенки

и каждого из поясов


; (146)

. (147)
б. Несимметричное сечение
Из уравнения (148) определяется полная площадь сечения нити

. (148)
По формулам (149) и
(150) находятся площади сечений верхнего

и нижнего

поясов.

; (149)

. (150)

- параметр гибкости стенки, принимаемый равным 1/80 - 1/100;

- толщина стенки;

- коэффициенты, постоянные для рассчитываемого сечения;

и

- расчетные сопротивления материала элементов сечения соответственно из обычной (Ст3 и высокопрочной стали).
д) ОПОРНЫЕ КОНСТРУКЦИИ ВИСЯЧИХ ПОКРЫТИЙ
I. Общие сведения
6.60. Все вертикальные и горизонтальные усилия передаются пролетной конструкцией на опоры, которые являются неотъемлемой частью висячего покрытия. Ввиду пологости висячих покрытий величина горизонтальных усилий (распора) весьма значительна и воспринимающие их распорные конструкции - анкерные фундаменты, опорные контуры - составляют существенную долю стоимости всего покрытия.
Основной наиболее рациональной распорной конструкцией служит земля. Передача распора в землю, в особенности в многопролетных зданиях, позволяет снизить расход материалов и стоимость сооружения. Поэтому прежде всего следует изучить возможности использования земли в качестве распорной конструкции.
Второй возможностью является использование имеющихся в сооружении конструкций для восприятия ими распора пролетной конструкции.
Такими конструкциями могут быть трибуны, перекрытия нижних этажей и подвалов, ленточные фундаменты. Использование таких конструкций выгодно тем, что позволяет имеющийся в этих элементах малонапряженный материал использовать на горизонтальное сжатие.
Третьей возможностью является устройство замкнутого в плане опорного контура в уровне покрытия, имеющего вид многоугольника или плавной замкнутой кривой.
Четвертой возможностью является устройство распорной конструкции, перекрывающей пролет покрытия. В этом случае сжатые или сжато-изогнутые незамкнутые распорные элементы располагаются в радиальном или взаимно-ортогональном направлении в плане, разделяя здание на отдельные отсеки или перекрывая его в виде мощных арок, балок и т.д. При этом ванты образуют в покрытии замкнутые фигуры - концентрические много угольники, окружности и т.д.
Необходимо стремиться к максимальному укрупнению сжатых элементов и уменьшению их числа.
Возможна комбинация решений, описанных выше.
6.61. Контурное кольцо может быть как плоским, так и пространственно искривленным (депланированным). Контурное кольцо передает на другие элементы опорной конструкции и грунт, как правило, лишь вертикальные усилия.
6.62. Контурное кольцо, в котором от передаваемых на него усилий не возникает изгибающих моментов горизонтальной плоскости, называют безмоментным. Соответствующая система распоров называется параметрической и достигается, в общем случае, лишь при единственной нагрузке на покрытие.
6.63. Экономически эффективно покрытие, в котором контурное кольцо оказывается безмоментным при некотором основном виде нагружения и имеет минимальные изгибающие моменты при остальных сочетаниях нагрузок. Для этого ось контурного кольца должна иметь очертание, близкое к кривой давления от распора.
6.64. Так как очертание контурного кольца определяется формой сооружения, то при проектировании обычно ставится задача отыскания и реализации такого закона нагружения кольца заданной формы, при котором оно безмоментно.
6.65. На неплоское (депланированное) контурное кольцо можно приближенно распространить методы расчета, относящиеся к плоскому кольцу, поскольку оно обычно опирается на достаточно часто расположенные опоры или сплошную стену, воспринимающие вертикальные составляющие усилий в вантах, а сама депланация в большинстве встречающихся на практике случаев относительно невелика.
6.66. Контурное кольцо находится, как правило, в весьма сложном напряженном состоянии, испытывая косое внецентренное сжатие с кручением.
6.67. Высота сечения опорного контура принимается:
а) при опирании на сплошное основание и обеспечении двухсторонней связи кольца с основанием или свободном опирании при большом угле подхода вант - по конструктивным соображениям;
б) при наличии отдельных опор - как для неразрезных главных балок, кроме того, в этом случае необходима проверка его на устойчивость из плоскости (см.
ф-лы (160) -
(161)).
6.68. При отсутствии контурных опор, то есть при свободно висящем контурном кольце, или свободном опирании на сплошное основание, высота сечения опорного контура определяется по расчету на критическую продольную силу (см.
п. 6.72).
Круг является одной из наиболее эффективных форм плана опорного контура, поскольку позволяет максимально унифицировать конструктивные элементы покрытия и запроектировать их с минимальными конструктивными коэффициентами.
Радиальное вантовое покрытие примерно в 1,5 раза экономичнее покрытия с перекрестной сеткой вант такой же формы в плане.
6.69. Деформации опорного контура оказывают существенное влияние на характер его напряженного состояния и в меньшей степени на напряженное состояние пролетной конструкции. Поэтому определение расчетные изгибающих моментов в плоскости контура рекомендуется производить с учетом совместной его работы с вантовой сеткой, оболочкой или мембраной.
6.70. Опорный контур висячих железобетонных оболочек кругового очертания в плане при отсутствии сосредоточенных временных нагрузок может, как правило, не рассчитываться на действие временных нагрузок, действующих в эксплуатационной стадии. Расчет его производится на усилия, действующие в стадии монтажа покрытия, с учетом совместной работы с вантовой сеткой.
II. Безмоментный опорный контур
А. ОБЩИЕ ПОЛОЖЕНИЯ
6.71. Для любого очертания опорного контура можно найти систему распоров, обеспечивающую его безмоментность.
Справедливо и обратное положение: для любой системы распоров, передаваемых вантами на контур, можно подобрать такое его очертание в плане, при котором он будет безмоментным.
Условием безмоментности опорного контура является соблюдение дифференциального соотношения между компонентами внешней нагрузки:

, (151)
где

- радиус кривизны кольца в точке с координатой S;

,

- нормальная и тангенциальная составляющие погонной нагрузки на кольцо.
Дифференцирование производится по дуге контура S.
Если произвольно направленная система погонных распоров

составляет угол

с положительным направлением касательной к оси контура, то параметрическая система распоров с точностью до постоянной C определяется выражением

. (152)
Б. РАДИАЛЬНАЯ СЕТКА
6.72. Никаких ограничений на очертание безмоментного опорного кольца радиальной вантовой сетки не накладывается: ось кольца может состоять из любого числа прямолинейных и криволинейных отрезков, сопряженных между собой плавно или с углом перелома. Также не накладывается ограничений и на положение центрального узла сетки.
Следовательно, безмоментным может быть контурное кольцо радиальной сетки самого произвольного очертания в плане, в частности, кольцо с любым числом осей симметрии или вовсе без осей симметрии (рис. 33).
Рис. 33. Виды радиальных вантовых систем
Необходимо отметить, что между системой радиальных распоров H и очертанием безмоментного кольца не существует взаимооднозначного соответствия: если заданной форме кольца отвечает вполне определенная система распоров, направленных в заданный полюс, то заданной системе распоров H соответствует целое семейство замкнутых кривых, по которым может быть очерчена ось безмоментного кольца.
Для радиальной вантовой сетки система погонных распоров, обеспечивающая безмоментность контура плавного очертания, определяется выражением

, (153)
где

- угол между проекцией ванты (радиусом-вектором R точки) и положительным направлением касательной;
C - произвольная постоянная, равная моменту продольной силы в контуре относительно центрального узла сетки.
Соответствующая система распоров на единицу угла

(154)
или

, (155)
причем штрихом здесь обозначено дифференцирование по полярному углу

.
Закон нагружения радиальными силами в соответствии с этими формулами является необходимым и достаточным условием безмоментности кольца произвольной формы.
При графическом задании очертания опорного контура в плане или громоздкости его аналитического выражения ось кольца разбивается на малые отрезки, после чего необходимые для подстановки в формулы значения

,

и

вычисляются разностным методом. Связь между погонным и угловым распором определяется выражением

. (156)
Системы распоров, обеспечивающие безмоментность участков контура частного вида:
а) для прямолинейного участка кольца

;
б) для участка в форме дуги окружности, центр которой совпадает с полюсом сил

. Обратное положение несправедливо: из того, что на каком-либо участке кольца будет

не вытекает, что этот участок обязательно должен быть очерчен по дуге окружности;
в) случаю скачкообразного изменения радиуса кривизны в какой-либо точке оси кольца при сохранении плавности поворота касательной отвечает разрыв функции H;
г) при переломе оси контурного кольца для сохранения его безмоментности необходимо в точке перелома приложить сосредоточенную силу

, (157)
где

и

- углы между радиусом-вектором R и касательными в точке перелома;
д) в частном случае безмоментного контура полигональной формы
(рис. 34) на протяжении каждой его стороны нагрузки должны отсутствовать: остаются лишь приложенные в вершинах сосредоточенные усилия

, определяемые по
ф-ле (157) (рис. 35). Следует особо подчеркнуть тот факт, что само по себе нагружение многоугольника радиальными силами, приложенными в вершинах, является лишь необходимым, но недостаточным условием его безмоментности; именно соответствие величин этих сил
ф-ле (157) делает это условие необходимым и достаточным.
Рис. 34. Схема безмоментного контура полигональных форм
Рис. 35. Схема усилий в углах безмоментного контура
Безмоментный опорный контур радиальной вантовой сетки, в которой при равномерной нагрузке на покрытие образованная вантами поверхность имеет горизонтальную касательную плоскость в узле, должен быть очерчен по эллипсу произвольного вида с центром, совпадающим с проекцией узла сетки.
Распор на единицу угла в этом случае переменный и определяется выражением

, (158)
где f - стрела провеса центрального узла;
q - равномерная нагрузка на покрытие.
| | ИС МЕГАНОРМ: примечание. Нумерация пунктов дана в соответствии с официальным текстом документа. | |
6.24. Случаю радиальной сетки, загруженной равномерной нагрузкой, с равными угловыми распорами во всех вантах, то есть случаю

, отвечает безмоментное контурное кольцо в форме эллипса, один из фокусов которого совпадает с проекцией узла сетки.
Единственной формой контура, при которой радиальная вантовая сетка при равномерной нагрузке на покрытие имеет постоянные распоры на единицу угла и горизонтальную касательную в узле, является окружность, центр которой совпадает с узлом сетки.
Величина продольной силы, действующей в любом сечении кольца, равна

. (159)
Критическая продольная сила для кругового контурного кольца радиальной вантовой системы с узлом сетки в центре круга проверяется по формулам:
в плоскости кривизны кольца

, (160)
где A - жесткость кольца на изгиб в плоскости кривизны;
R - радиус кольца;

- коэффициент отпорности вант в плоскости контура, определяемый согласно
п. 6.74.
Из плоскости кривизны (для вант, подходящих к контуру горизонтально, то есть для систем шатрового типа)

, (161)
где n - число волн при потере устойчивости (при наличии опор принимается равным или кратным половине количества опор);
B - жесткость кольца на изгиб из плоскости кривизны;
L - жесткость сечения кольца на кручение;

- коэффициент отпорности вант из плоскости контура, определяемый согласно
п. 6.74.
Критическая продольная сила для контурного кольца произвольной формы в плане с радиальной сеткой вант определяется из решения детерминантного уравнения, члены которого определяются согласно указаниям
п. 6.74.
В. ПЕРЕКРЕСТНАЯ СЕТКА
| | ИС МЕГАНОРМ: примечание. Нумерация пунктов дана в соответствии с официальным текстом документа. | |
6.73. Если очертание опорного контура перекрестной ортогональной вантовой сетки с одной осью симметрии
(рис. 36) может быть представлено в виде

, (162)
то система погонных распоров вдоль соответствующих осей, обеспечивающая его безмоментность, определяется выражениями:

;

, (163)
где l - длина контура;
x, y - текущие прямоугольные координаты кривой контура;

,

- коэффициенты.
Рис. 36. Участок кривой безмоментного опорного контура
вантовой сети с одной осью симметрии
Изменяя параметры n,

и

в
формуле (162), можно получить серию безмоментных контуров с одной осью симметрии при заданной длине l.
Нормальная сила в любом сечении контура в этом случае определяется из выражения

. (164)
Если очертание опорного контура перекрестной ортогональной вантовой сетки с двумя осями симметрии
(рис. 37) может быть представлено в виде

, (165)
то система погонных распоров вдоль соответствующих осей, обеспечивающая его безмоментность, определяется выражениями:

;

, (166)
где a - половина ширины плана контура;
b - половина длины плана контура;
x, y - текущие прямоугольные координаты кривой контура;

- коэффициент.
Рис. 37. Участок кривой безмоментного опорного контура
вантовой сети с двумя осями симметрии
Меняя параметры

и n, можно получить серию безмоментных контуров с различными соотношениями размеров a и b.
Нормальная сила в любом сечении контура в этом случае определяется из выражения:

. (167)
Частным видом безмоментного опорного контура перекрестной вантовой ортогональной сетки с двумя осями симметрии является эллипс второго порядка

. (168)
Распоры в вантах, обеспечивающие его безмоментность, в каждом семействе вант постоянны:

;

.
Если очертание опорного контура перекрестной косоугольной вантовой сетки с двумя осями симметрии
(рис. 38) может быть представлено в виде

, (169)
то система погонных распоров вдоль соответствующих осей косоугольных координат, обеспечивающих его безмоментность, определяется выражениями:

;

, (170)
где

- коэффициент;

,

- косоугольные текущие координаты кривой контура, связанные с ортогональными координатами ее x и y соотношениями

;

,
где

- угол между осями

и x;

,
a, b - половина ширины и длины контура (см.
рис. 37).
Рис. 38. Участок кривой безмоментного
контура косоугольной вантовой сети
Частным видом безмоментного опорного контура косоугольной перекрестной вантовой сетки с двумя осями симметрии является эллипс второго порядка.
Если ванты расположены под углом

к продольной оси контура, то погонные распоры в вантах, обеспечивающие безмоментность контура, постоянны в обоих семействах вант

.
III. Изгибный опорный контур
6.74. Расчет контурного кольца вантовой системы на изгиб и устойчивость в строгой постановке требует решения довольно сложной контактной задачи. Решение этой задачи можно вести либо численными методами с применением ЭВЦМ, либо вариационными методами.
С достаточной для практики точностью можно упростить учет совместной работы кольца с вантовой системой, сведя его к учету изменения нагрузки, передаваемой на кольцо в процессе (и вследствие) деформации последнего.
При перемещениях контура, малых по сравнению с его генеральными размерами, изменение нагрузки в процессе его деформации можно рассматривать как отпор некоторой упругой среды винклеровского типа, характеризуемой переменным вдоль контура коэффициентом постели.
При достаточно большой гибкости и частом расположении колонн, поддерживающих контурное кольцо, их влияние на работу кольца в плоскости его кривизны также можно учесть введением упругого основания винклеровского типа; его коэффициент постели, который нетрудно вычислить, должен быть суммирован с предыдущим.
Погонные коэффициенты отпорности радиальной однопоясной вантовой системы определяются выражениями:
в плоскости контура -

; (171)
из плоскости контура -

, (172)
где T - усилие в вантах при недеформируемом контуре;

- относительное удлинение вант = T/ER;

;

- угол наклона ванты к горизонтали на контуре.
Погонные коэффициенты отпорности двухпоясной радиальной вантовой сетки определяются выражениями:

;

;
для систем вогнутого типа -

;

,
а величины

и

находятся из решения систем уравнений.
t1 | t2 | v | Свободные члены |
определение |
К1 | К2 |
1/EF1 | 0 | 0,8v1 | -1/R | |
0 | 1/EF2 | -0,8v2 | -1/R | |
-0,8v1 | 0,8v2 | 0,8T | 0 | 0 |
для систем шатрового типа

;

,
а величины

и

находятся из решения системы уравнений.
t1 | t2 | v2 | v1 | Свободные члены |
определение |
К1 | К2 |
1/EF1 | 0 | 0 | -0,8v1 | -1/R | |
0 | 1/EF2 | -0,8v2 | 0 | -1/R | |
0 | 0,8v2 | 0,8T2 | 0 | 0 | 0 |
0,8v1 | 0 | 0 | 0,8T1 | 0 | 0 |
Индексами 1 и 2 обозначены величины, относящиеся к верхнему и нижнему поясу.
Для вантовой системы с отдельными контурными кольцами коэффициенты отпорности упругой среды, создаваемой порознь напрягающими и несущими вантами, выражаются соответственно через величины

и

, найденные из той же системы уравнений.
Изгибающий момент, действующий в плоскости опорного контура радиальной сетки кругового очертания в плане, приближенно равен

, (173)
где

, (174)

- коэффициенты разложения в ряд Фурье системы распоров, действующей на недеформируемый контур

, (175)
где n - номер члена разложения (n /= 1);

(176)
Частные случаи загружения кругового вантового покрытия
а) При нагрузке на покрытие, распределенной по закону

,
где g - постоянная нагрузка;
P - временная нагрузка;

- полярный угол;
контурное кольцо безмоментно, то есть M = 0.
б) При нагрузке на покрытие, распределенной по закону

,
(при

), изгибающий момент в контуре равен

, (177)
где R - радиус покрытия;
в) Если наряду с постоянной нагрузкой g, распределенной по всей площади покрытия, загружен временной нагрузкой P сектор с центральным углом

, то изгибающий момент определяется выражением

, (178)
где

;

.
При этом четыре экстремума изгибающего момента в контуре при секторальном загружении покрытия расположены вблизи точек с угловыми координатами

;

;

, (179)
где

.
Количество удерживаемых в ряду членов зависит от требуемой точности расчета. Ряд обрывается, когда отношение суммы двух последних членов к сумме предыдущих меньше требуемой точности.
В большинстве случаев достаточно удержать 2 - 3 члена; во всех практически возможных вариантах загружения число удерживаемых членов не превышает 6 - 7.
Опорный контур висячих железобетонных оболочек обычно рассчитывается на изгиб лишь на нагрузки, действующие в монтажной стадии (то есть при пролетной конструкции в виде вантовой системы). Включение железобетонной оболочки в совместную работу с опорным контуром, как правило, настолько снижает величину расчетных изгибающих моментов, что дополнительной проверки прочности контура при действии изгибающих моментов от неравномерных эксплуатационных нагрузок не требуется.
В случае необходимости изгибающий момент в опорном контуре висячей оболочки кругового очертания в плане можно определить по формуле:

, (180)
где

;

,

, n - коэффициенты разложения в ряд Фурье нормального и касательного погонных усилий, передаваемых оболочкой на недеформируемый контур;

,

- коэффициенты отпорности оболочки в направлении нормали и касательной к контуру, определяемые согласно данным ниже указаниям;

- изгибная жесткость контура;

.
Коэффициенты отпорности висячей оболочки вращения можно приближенно определить, как для конической оболочки, угол коничности которой

определяется для оболочек шатрового и во гнутого типа по
рис. 39, причем

;

,
где

- реакция от единичного перемещения вдоль образующей и параллели конуса;

- реакция от единичного перемещения вдоль нормали к конусу;

- тангенциальная жесткость оболочки;

- изгибная жесткость оболочки;

- толщина оболочки у контура;
E - модуль упругости оболочки;

;

- коэффициент Пуассона материала оболочки;
R - радиус контурного кольца;
n - номер члена разложения в ряд Фурье;

,

,

,

- коэффициенты, принимаемые по графикам
(рис. 40).
а)
б)
Рис. 39. Угол коничности

Рис. 40. Графики коэффициентов

,

,

,

Круговое контурное кольцо висячей оболочки не испытывает изгиба в своей плоскости при вертикальной нагрузке на покрытие, представляющей собой линейную комбинацию постоянной и косинусоидальной нагрузок вида

,
где

- некоторые постоянные.
Расчет плавного криволинейного замкнутого опорного контура однопоясных и двухпоясных радиальных вантовых систем произвольного очертания в плане можно выполнять следующим приближенным методом.
I. На основе расчета на расчетную нагрузку по выбранным геометрическим параметрам покрытия находится параметрическая система распоров

, по которым производится подбор сечений вант и контурного кольца.
II. Производится расчет вантовой сетки на другие виды нагрузки при недеформируемом опорном контуре, и находятся распоры в вантах

.
III. По системе распоров

и геометрическим параметрам сетки при недеформируемом контуре находится по
ф-ле (171) коэффициент отпорности

.
IV. Изгибающий момент в контуре разыскивается в виде ряда

,
где n - число неизвестных;

- неизвестные коэффициенты;
S - текущая координата - длина дуги;

- длина симметричного по очертанию и нагрузке участка контура, определяемая выражением:

, (181)
где R - значения радиуса-вектора в точках разбиения;
m - число участков разбиения

, принимаемое с достаточной для практики точностью, равной 8.
V. Величина неизвестных

находится из решения канонической системы уравнений метода сил.
VI. Коэффициенты системы уравнений определяются из выражений:

;

;

,
причем члены с l = 0, l = m берутся с коэффициентом 0,707, где

- значения неопределенного интеграла
в точках разбиения, найденные аналитически или численно;

- параметрический погонный распор, как функция от S;

- коэффициент погонной отпорности сетки, как функция от S.

(182)
- штрихом обозначено дифференцирование по

.

, (183)
где

- непараметрический погонный распор, как функция от S.
Если принять

, то из решения системы получаются величины изгибающих моментов в недеформируемом контуре, а при

- изгибающие моменты с учетом совместной работы контура и сетки.
VII. Для получения относительной точности порядка 10%, как правило, достаточно 3 - 4 неизвестных

с обязательным включением "нулевого члена" i = 0. Контроль необходимого их числа можно вести по величинам суммарных изгибающих моментов в контуре.
VIII. Изложенный метод расчета не учитывает обжатия оси контура и влияния продольной силы на величину изгибающих моментов в контуре. При железобетонном опорном контуре прямоугольного сечения с соотношением вертикального размера к горизонтальному не более 6 погрешность от такого пренебрежения не превышает, как правило, 10 - 15%.
IX. Эффект обжатия оси контура проявляется при стальном опорном кольце. Для его учета к контурным слагаемым коэффициентов при неизвестных системах уравнений добавляется член

, (184)
где

- модуль упругости контура;

- площадь сечения контура;

. (185)
X. При необходимости учета влияния изгибной работы продольной силы требуется решение той же системы канонических уравнений, коэффициенты которой имеют вид:

;

;

;

.
Все интегралы, как и ранее, могут быть найдены численно.
Здесь:

(186)

. (187)
Штрихом обозначено дифференцирование по S.

- эпюра моментов в контуре, вызываемая системой распоров.

.
XI. Приравнивая нулю определитель системы уравнений (X), можно найти критическую величину продольной силы N или величину критической жесткости сечения

, то есть решить задачу устойчивости в детерминантной форме.
При определении изгибающего момента, действующего из плоскости опорного контура, можно в запас не учитывать деформации последнего и рассчитывать его как многопролетную неразрезную балку.
Для определения изгибающего момента, действующего из плоскости кругового опорного контура, и крутящего момента необходимо разложить в ряд Фурье вертикальную составляющую усилий в вантах

и вертикальные реакции колонн


. (188)
Изгибающий момент из плоскости контура равен

,
а крутящий момент

, (189)
где

, (190)
а обозначения соответствуют принятым в
п. 6.72.
Расчет из плоскости контурного кольца висячей оболочки вращения можно вести как кольцевой неразрезной балки с учетом упругого основания, коэффициент отпорности которого

,
где

,

определены выше.
Таблица 6
Формулы для определения характеристики Д
Продолжение таблицы 6
Таблица 7
Формулы для определения балочных моментов, исправлений,
упругого провеса и коэффициента

для определения
отпорности

(при x = l/2);

АНКЕРОВКА ВАНТ С ПОМОЩЬЮ ГИЛЬЗОКЛИНОВЫХ АНКЕРОВ
Гильзоклиновой анкер относится к обжимным анкерам, выполняемым путем продавливания заготовок анкера через валок. Заготовка анкера состоит из гильзы (а) и клина (б). Гильза представляет собой цилиндрическую втулку со специальной внутренней поверхностью в виде цилиндра в передней части и конусной в концевой части. Клин представляет собой конический стержень с гладкой поверхностью в передней части и волнистой в концевой.
На гильзоклиновые анкеры, применяемые для вант с разрывными усилиями до 75 т, рекомендуется нарезать резьбу; крепление производить с помощью гайки, навертываемой на анкер.
Для вант с большими разрывными усилиями надежнее передавать усилие на передний конец анкера. В этом случае закрепление анкера в натяжном устройстве производится с помощью тяговой резьбовой гайки, одеваемой на ванту перед анкеровкой сменного резьбового стакана.
Наибольшие усилия опрессовки для пучков диаметром

, 38 и 45 и технические характеристики гильзоклиновых анкеров помещены в таблицах 8,
9,
10,
11.
Таблица 8
Зависимость усилия опрессовки от диаметра пучка
Диаметр пучка, мм | Диаметр анкера, мм | Наибольшая толщина стенки, мм | Наибольшее усилие опрессовки, т | Расчетное разрывное усилие, т |
22 | 42 | 10 | 50 | 56 |
38 | 68 | 15 | 58 | 101 |
45 | 90 | 22,5 | 142 | 160 |
Таблица 9
Техническая характеристика деталей гильзоклиновых
анкеров для проволок диаметром 5 мм
Количество проволок | Размеры гильзы, мм | Размеры клина, мм | Размеры гильзы после опрессовки, мм | Усилие натяжения пучка, т | Расчетное разрывное усилие, т |
D | d | d1 | | l | dк | | lк | D1 | l1 | шаг резьбы |
3 | 22 | 10 | 15,5 | 6 | 120 | 8 | 90 | 45 | 20 | 140 | 1,5 | 5,75 | 8,8 |
4 | 28 | 13 | 18,5 | 6 | 120 | 10 | 90 | 45 | 25 | 140 | 1,5 | 7,65 | 11,7 |
5 | 30 | 14 | 19,5 | 6 | 150 | 12 | 115 | 60 | 27 | 170 | 1,5 | 9,5 | 14,6 |
6 | 33 | 16 | 22,5 | 6 | 150 | 13 | 115 | 60 | 30 | 170 | 2 | 11,5 | 17,6 |
7 | 33 | 16 | 22,5 | 6 | 150 | 13 | 115 | 60 | 30 | 170 | 2 | 13,4 | 20,5 |
8 | 37 | 17 | 24 | 6 | 150 | 14 | 115 | 60 | 33 | 170 | 2 | 15,3 | 23,4 |
9 | 41 | 20 | 28 | 6 | 150 | 15 | 115 | 60 | 36 | 170 | 2 | 17,15 | 26,3 |
10 | 44 | 21 | 29,5 | 6 | 180 | 16 | 135 | 70 | 39 | 205 | 2 | 19,0 | 29,2 |
11 | 47 | 22 | 31 | 6 | 180 | 16 | 135 | 70 | 42 | 205 | 2 | 21,0 | 32,2 |
12 | 47 | 22 | 31 | 6 | 180 | 16 | 135 | 70 | 42 | 205 | 2 | 23,0 | 35,2 |
13 | 47 | 23 | 32,5 | 6 | 180 | 17 | 135 | 70 | 42 | 205 | 2 | 24,85 | 37,0 |
14 | 47 | 23 | 32,5 | 6 | 200 | 17 | 150 | 75 | 42 | 230 | 2 | 26,65 | 40,9 |
15 | 47 | 23 | 32,5 | 6 | 200 | 17 | 150 | 75 | 42 | 230 | 2 | 28,5 | 43,8 |
16 | 50 | 25 | 35 | 6 | 210 | 18 | 150 | 75 | 45 | 235 | 2 | 30,5 | 46,8 |
17 | 50 | 26 | 36,5 | 6 | 230 | 20 | 170 | 85 | 45 | 265 | 2 | 32,4 | 49,7 |
18 | 52 | 28 | 40 | 6 | 230 | 22 | 170 | 85 | 48 | 265 | 2 | 34,3 | 52,6 |
19 | 53 | 29 | 41 | 6 | 250 | 22 | 185 | 95 | 48 | 290 | 2 | 36,15 | 55,5 |
20 | 58 | 30 | 42 | 6 | 250 | 23 | 185 | 95 | 52 | 290 | 3 | 38,0 | 58,4 |
24 | 62 | 34 | 48 | 6 | 250 | 25 | 185 | 95 | 56 | 290 | 3 | 46,0 | 70,4 |
36 | 75 | 40 | 55 | 6 | 250 | 28 | 220 | 110 | 68 | 300 | - | 68,5 | 105,2 |
Таблица 10
Техническая характеристика деталей
гильзоклиновых анкеров для пучков из прядей
Диаметр проволок, мм | Количество прядей | Размеры гильзы, мм | Размеры клина, мм | Размеры анкера, мм | Шаг резьбы, мм | Расчетное разрывное усилие, т | Усилие натяжения 75% Pразр, т |
D | d | d1 | | l | dк | lк | | D1 | l1 |
1 | 2 | 3 | 4 | 5 | 6 | 7 | 8 | 9 | 10 | 11 | 12 | 13 | 14 | 15 |
3 | 3 | 44 | 22 | 31 | 6 | 180 | 14 | 130 | 65 | 39 | 205 | 2 | 28,2 | 21,0 |
| 4 | 50 | 25 | 35 | 6 | 180 | 16 | 130 | 65 | 45 | 205 | 2 | 37,7 | 25,0 |
| 5 | 50 | 26 | 37 | 6 | 200 | 18 | 150 | 75 | 45 | 230 | 2 | 44,5 | 33,3 |
| 6 | 58 | 30 | 42 | 6 | 250 | 23 | 185 | 95 | 52 | 290 | - | 54,4 | 40,6 |
| 7 | 62 | 30 | 42 | 6 | 250 | 23 | 185 | 95 | 56 | 290 | - | 65,8 | 49,2 |
4 | 3 | 62 | 26 | 37 | 6 | 210 | 10 | 150 | 75 | 56 | 235 | 3 | 47,5 | 35,6 |
| 4 | 66 | 30 | 42 | 6 | 220 | 12 | 160 | 80 | 60 | 240 | 3 | 63,4 | 47,5 |
| 5 | 66 | 34 | 48 | 6 | 245 | 14 | 180 | 95 | 60 | 270 | - | 79,2 | 59,2 |
| 6 | 70 | 38 | 54 | 6 | 270 | 15 | 190 | 95 | 64 | 300 | - | 95,71 | 71,0 |
| 7 | 75 | 38 | 55 | 6 | 270 | 17 | 210 | 110 | 68 | 300 | - | 110,8 | 83,0 |
5 | 3 | 70 | 36 | 48 | 6 | 210 | 20 | 160 | 80 | 64 | 235 | 3 | 65,9 | 49,2 |
| 4 | 75 | 40 | 56 | 6 | 245 | 28 | 180 | 95 | 68 | 270 | - | 93,3 | 75,0 |
| 5 | 82 | 45 | 58 | 6 | 270 | 29 | 190 | 95 | 76 | 300 | - | 116,7 | 87,4 |
| 6 | 96 | 50 | 66 | 6 | 270 | 38 | 190 | 100 | 90 | 300 | - | 140,2 | 105,0 |
| 7 | 100 | 50 | 66 | 6 | 270 | 39 | 220 | 120 | 95 | 300 | - | 163,5 | 122,5 |
Таблица 11
Техническая характеристика деталей
гильзоклиновых анкеров для канатов
с металлическим сердечником
Диаметр каната, мм | Размеры гильзы, мм | Размер клина, мм | Размеры гильзы после опрессовки, мм | Усилие натяжения 65% P, т | Расчетное разрывное усилие при  , кг/мм |
D | d | d1 | | l | dк | lк | | D1 | l1 | шаг резьбы |
1 | 2 | 3 | 4 | 5 | 6 | 7 | 8 | 9 | 10 | 11 | 12 | 13 | 14 |
10 | 23 | 12 | 16 | 6 | 100 | 12 | 70 | 40 | 20 | 110 | 2 | 4,22 | 6,5 |
20 | 37 | 22 | 30 | 6 | 150 | 20 | 120 | 60 | 33 | 165 | 2 | 14,2 | 22,0 |
22 | 41 | 24 | 32 | 6 | 180 | 22 | 140 | 70 | 36 | 200 | 2 | 18,2 | 28,0 |
25 | 52 | 27 | 36 | 6 | 200 | 25 | 150 | 80 | 45 | 220 | 2 | 26,0 | 40,0 |
28 | 57 | 30 | 41 | 6 | 230 | 26 | 180 | 90 | 52 | 250 | 3 | 39,0 | 60,0 |
30 | 63 | 33 | 44 | 6 | 250 | 28 | 200 | 100 | 58 | 280 | 3 | 46,2 | 71,0 |
33 | 66 | 36 | 48 | 6 | 270 | 32 | 220 | 110 | 60 | 300 | - | 51,4 | 79,0 |
35 | 70 | 38 | 50 | 6 | 270 | 33 | 220 | 110 | 64 | 300 | - | 59,8 | 92,0 |
38 | 74 | 41 | 54 | 6 | 270 | 36 | 220 | 110 | 68 | 300 | - | 65,0 | 100,0 |
41 | 82 | 45 | 60 | 6 | 270 | 38 | 220 | 110 | 76 | 300 | - | 81,2 | 136,0 |
43 | 91 | 47 | 62 | 6 | 270 | 39 | 220 | 110 | 85 | 300 | - | 87,8 | 146,0 |
45 | 96 | 49 | 64 | 6 | 270 | 40 | 220 | 110 | 90 | 300 | - | 96,0 | 155,0 |
47 | 98 | 52 | 70 | 6 | 270 | 44 | 240 | 130 | 92 | 300 | - | 116,0 | 178,0 |
51 | 105 | 56 | 76 | 6 | 270 | 50 | 240 | 130 | 100 | 300 | - | 143,0 | 220,0 |
Размеры канатов округлены в сторону увеличения диаметра

, где

- диаметр пучка или каната D = (1,8 + 2,1)d,

,

.
АНКЕРОВКА ВАНТ С ЗАЛИВКОЙ ВО ВТУЛКИ
| | ИС МЕГАНОРМ: примечание. Постановлением Госстандарта СССР от 23.04.1980 N 1833 с 1 января 1982 года введен в действие ГОСТ 3064-80. | |
Анкеровка вант с заливкой их концов в сварные втулки разработана в ЦНИИпроектстальконструкция для стальных канатов диаметром от 12 до 67,5 мм по ГОСТам 3064-55; 3065-55; 3067-55; 3068-55.
Для анкеровки применяются сварные стальные втулки, разработанные в типовом исполнении на деталировочных чертежах N КVIСК21-33 ЦНИИПСК. Заливка канатов во втулки должна производиться в соответствии с нижеприведенными правилами производства работ.
1. Подготовка сплава
Заливка канатов во втулках производится антифрикционным сплавом на цинковой основе по ГОСТ 7117-62, марка сплава ЦАМ9-1,5. Химический состав: основные компоненты: алюминий 8,0 - 11,0%, медь 1,0-2,0%, магний 0,03 - 0,06%; остальное - цинк; других примесей должно содержаться не более: свинца 0,03; железа 0,20; олова 0,01; кадмия 0,02; кремния 0,10 и марганца 0,10. Всего примесей не более 0,50. Температура плавления сплава 450°.
Сплав можно расплавлять в тигле на переносном горне с ручным или механическим дутьем. Предварительно перед расплавлением чушки сплава следует разбить на мелкие куски и плотно уложить в тигель. Для предохранения сплава от окисления при соприкосновении его с воздухом поверхность уложенного в тигель сплава должна быть покрыта слоем мелкопросеянного и хорошо просушенного древесного угля. Толщина слоя угля на поверхности сплава должна быть не менее 25 - 30 мм, величина зерен угля 5 - 10 мм.
Расплавление сплава следует производить на горне хорошо разогревшимся коксом или древесным углем.
Дутье применяется только для разгорания горна и выключается при плавлении сплава, так как слишком высокая температура в горне вызывает перегрев расплавляемого сплава и портит его качество. Расплавленный в тигле сплав необходимо тщательно перемешивать сухой деревянной палкой, которая, обугливаясь, отнимает кислород, попавший в тигель вместе с кусками сплава. Кроме того, благодаря перемешиванию достигается однородность сплава, а также облегчается всплывание на поверхность шлаков и угля.
Температуру расплавленного сплава следует держать 480 - 500°.
В процессе плавления сплава следует избегать его перегрева, что особенно важно при повторных переплавах. Температура нагрева сплава при повторных переплавах не должна быть выше 500 - 520°. Температура разлива должна быть в пределах 460 - 480°. Превышение указанной температуры разлива может привести к отжигу проволок каната, что снижает прочность их. Измерение температуры расплавленного металла производится высокоградусным палочным ртутным термометром с ценой делений 5°.
При пользовании железными тиглями для предохранения их от разъедания сплавом необходимо после каждой плавки очищать тигли от металла и обмазывать их специальной обмазкой, которая наносится кистью ровным слоем на внутреннюю поверхность тигля. Перед загрузкой сплавом тигель необходимо просушить.
Обмазка состоит из молотых и просеянных порошков мела, графита и жидкого стекла, взятых в равных количествах по весу и разведенных водой до жидкой консистенции.
Перед загрузкой сплава в тигель проверяется цельность защитного слоя и, в случае обнаружения повреждений, этот слой исправляется путем нанесения обмазки кистью на горячие стенки тигля.
Все другие приспособления из железа (скребки, лотки и т.д.) также покрываются указанной обмазкой и просушиваются на горне. Весь шлак, образующийся при расплавлении сплава в тигле, перед заливкой во втулки должен быть удален.
Для обеспечения заливки втулки непрерывной струей разливочный тигель должен иметь емкость не меньше емкости втулки. Для этого предусмотреть соответствующие объемы тиглей, в которых производится расплавление заливки на горне.
2. Заливка канатов во втулки
Концы канатов, подлежащие заливке, тщательно осматриваются. Дефектный конец - поврежденный или распустившийся - обрезается. Резка канатов может производиться газовым резаком на стенде с защитой зоны около реза от нагрева во избежание отжига проволок. Перед резкой сделать перевязку концов каната. Замер длины каната производится согласно рис. 41 и
табл. 12.
Рис. 41. Замер длины каната
N группы канатов | Марка втулки | Диаметр каната, мм | Размеры, мм |
l | m | l0 |
I | КVIСК33 | 12 | 210 | 20 | 120 |
13 | 210 | 20 | 120 |
14 | 210 | 20 | 120 |
II | КVIСК32 | 14 | 210 | 20 | 120 |
15,5 | 210 | 20 | 120 |
17 | 210 | 20 | 120 |
18 | 150 | 20 | 160 |
III | КVIСК31 | 18 | 175 | 20 | 160 |
20 | 175 | 20 | 160 |
22 | 175 | 20 | 160 |
IV | КVIСК30 | 22 | 175 | 20 | 160 |
23,5 | 175 | 20 | 160 |
25,5 | 175 | 20 | 160 |
27 | 160 | 20 | 200 |
V | КVIСК29 | 27 | 175 | 20 | 200 |
30 | 175 | 20 | 200 |
33 | 175 | 20 | 200 |
VI | КVIСК28 | 33 | 185 | 25 | 200 |
36 | 185 | 25 | 200 |
38 | 185 | 25 | 230 |
VII | КVIСК27 | 38 | 185 | 25 | 230 |
42 | 185 | 25 | 230 |
VIII | КVIСК26 | 42 | 200 | 25 | 230 |
46,5 | 200 | 25 | 230 |
IX | КVIСК25 | 46,5 | 200 | 25 | 230 |
50,5 | 200 | 25 | 250 |
X | КVIСК24 | 50,5 | 210 | 30 | 250 |
55 | 210 | 30 | 250 |
XI | КVIСК23 | 55 | 210 | 30 | 250 |
59 | 210 | 30 | 250 |
XII | КVIСК22 | 59 | 230 | 30 | 250 |
63 | 230 | 30 | 250 |
XIII | КVIСК21 | 63 | 260 | 40 | 250 |
67,5 | 260 | 40 | 250 |
Заправка концов каната во втулки и их заливка производится на специальных верстаках под навесом.
Внутренняя поверхность втулки очищается металлическими щетками от грязи и окалины до металлического блеска, промывается бензином или щелочью до полного обезжиривания и просушивается.
Для заливки сплавом канат с насаженной втулкой зажимается в колодках верстака. Втулка устанавливается строго вертикально, причем конец каната, направленный ко втулке, должен быть 1,0 - 1,5 м длиной, совершенно прямолинеен и направлен точно по оси втулки. Несоблюдение этого условия может привести к перекосу каната во втулке и, как следствие, к неравномерной работе отдельных проволок.
Необходимо строго следить, чтобы обмотка не входила во внутреннюю полость втулки, а оканчивалась в уровне днища втулки (
рис. 43,
44,
45).
Для предохранения от вытекания сплава из втулки во время заливки просвет в нижней части между стенками отверстия втулки и канатом замазывается глиной или размоченным асбестом.
Одновременно с плавкой сплава в тигле втулка подогревается паяльной лампой или газовыми горелками. Подогревание производится в целях удаления оставшихся капель жидкости, могущих при заливке вследствие образования паров, вызвать выброс сплава из втулки, а также для лучшего заполнения сплавом всех промежутков между отдельными проволоками и устранения отставания заливки от стенок втулки при остывании. Подогревание прекращается при температуре проволок внутри втулки 200 - 220°. Определение температуры производится ртутным палочным термометром на глубине 1/2 втулки.
Заливку произвести в уровень кромки корпуса втулки с образованием ровной поверхности.
Конец каната на длине протаскивания его через втулку очищается от грязи и смазки, промывается бензином или щелочью и просушивается, после чего производится оплетка каната согласно
рис. 41.
Очищенный и оплетенный конец каната протаскивается через втулку и направляющую воронку (рис. 42, а также
п. 3). Концевые перевязки снимаются (50 мм).
Рис. 42. Направляющая воронка
Затем, согласно (
рис. 43,
44 и
45), производится обрезка, расплетка и загибка крючков. Отгиб крючков расплетки каната рекомендуется производить при помощи специальной вилки с указанными на
рис. 46 и
табл. 16 диаметрами валиков.
Рис. 43. Разделка конца каната
Таблица 13
N группы канатов | Марка втулки | Диаметр канатов | Размеры, мм |
l | m | a |
I | КVIСК33 | 12 | 210 | 20 | 90 |
13 | 210 | 20 | 90 |
14 | 210 | 20 | 90 |
II | КVIСК32 | 14 | 210 | 20 | 90 |
15,5 | 210 | 20 | 90 |
17 | 210 | 20 | 90 |
Рис. 44. Разделка конца каната
Таблица 14
N группы канатов | Марка втулки | Диаметр каната, мм | Размеры, мм |
l | m | a | b | lк |
II | КVIСК32 | 18 | 150 | 20 | 60 | 29 | 90 |
III | КVIСК31 | 18 | 175 | 20 | 70 | 30 | 105 |
20 | 175 | 20 | 70 | 30 | 105 |
22 | 175 | 20 | 70 | 30 | 105 |
IV | КVIСК30 | 22 | 175 | 20 | 70 | 30 | 105 |
23,5 | 175 | 20 | 70 | 30 | 105 |
23,5 | 175 | 20 | 70 | 30 | 105 |
Рис. 45. Разделка конца каната
Таблица 15
N группы канатов | Марка втулки | Диаметр каната | Размеры, мм |
l | l1 | l2 | m | a | b | c | lк |
IV | КVIСК30 | 27 | 160 | 140 | 135 | 20 | 50 | 25 | 20 | 105 |
V | КVIСК29 | 27 | 175 | 150 | 135 | 20 | 50 | 30 | 25 | 115 |
30 |
33 |
VI | КVIСК28 | 33 | 185 | 165 | 140 | 25 | 50 | 35 | 26 | 121 |
36 |
38 |
VII | КVIСК27 | 38 | 185 | 165 | 140 | 25 | 50 | 35 | 25 | 120 |
42 |
VIII | КVIСК26 | 42 | 200 | 170 | 150 | 25 | 55 | 35 | 30 | 130 |
46,5 |
IX | КVIСК25 | 46,5 | 200 | 170 | 150 | 25 | 55 | 35 | 30 | 130 |
50,5 |
X | КVIСК24 | 50,5 | 210 | 185 | 160 | | | | | |
55,0 | 210 | 190 | 165 | 30 | 60 | 40 | 29 | 139 |
XI | КVIСК23 | 55,0 | 210 | 190 | 165 | 30 | 60 | 40 | 29 | 139 |
59,0 |
XII | КVIСК22 | 59,0 | 230 | 195 | 170 | 30 | 60 | 40 | 35 | 145 |
63,0 |
XIII | КVIСК21 | 63,0 | 260 | 235 | 200 | 40 | 70 | 50 | 35 | 165 |
67,5 |
Рис. 46. Вилка для отгиба крючков
Диаметр проволоки - d, мм | Диаметр валика - D, мм |
1,7 | 10 |
1,8 | 10 |
2,0 | 10 |
2,2 | 10 |
2,4 | 10 |
2,6 | 15 |
2,8 | 15 |
3,0 | 20 |
3,2 | 20 |
Проволоки расплетенного каната с загнутыми крючками тщательно очищаются, промываются бензином или щелочью до полного обезжиривания и просушиваются. При этом запрещается для промывки (обезжиривания), а также для загиба крючков отгибать проволоку с резким переломом у оплетки.
Втягивание подготовленного к заливке конца каната во втулку рекомендуется производить через направляющую воронку, для чего она надевается на канат до расплетки.
Верх втянутого каната должен быть ниже верхней кромки втулки на 5 - 10 мм.
Перед заливкой втулки проследить, чтобы проволоки и крючки расплетки, находящиеся в стакане, были распределены равномерно по внутреннему объему стакана.
Для надежного заполнения сплавом всего свободного от проволок объема втулки необходимо во время заливки и застывания сплава создать вибрацию (колебания) верстака вместе со втулкой. Вибрацию можно создать эл. мотором, закрепленным на верстаке, или частыми ударами по стойке верстака.
3. Направляющая воронка для заливки
Воронка изготовляется из 1,5 - 2 мм стали
(рис. 42).
Поперечные сварные швы с внутренней стороны воронки обязательно зачищаются заподлицо.
Наружные сварные швы на цилиндрической части воронки, входящей во втулку, обязательно зачищаются.
Наружный диаметр воронки

должен быть на 1 - 2 мм меньше внутреннего диаметра втулки.
В канатных втулках малого размера (чертеж КVIСК21-1 до КVIСК33-1) коническая часть воронки должна быть сжата между щеками, образуя овал.
4. Данные по конструкции втулок (детали втулок см.
рис. 47)
Рис. 47. Данные по конструкции втулок
Таблица 17
| | ИС МЕГАНОРМ: примечание. Числовые значения в шапке таблицы даны в соответствии с официальным текстом документа. | |
N группы канатов | Диаметр | Расчетный предел прочности, кг/мм3 | ГОСТ | Расчетн. усилие втулки, т | Марка втулки |
120 | 130 | 140 | 150 | 150 |
Разрывное усилие каната в целом, кг |
I | 12 | 8580 | 9300 | 9980 | 10700 | 11400 | 3064-55 | 6,3 | КVIСК33 |
13 | 9600 | 10400 | 11150 | 11950 | 12750 |
14 | 11850 | 12800 | 13850 | - | - |
II | 14 | - | - | - | 14800 | - | 3064-55 | 9,1 | КVIСК32 |
15,5 | 14350 | 15550 | 16700 | - | - |
17 | 17050 | 18450 | 19900 | - | - |
18 | 18800 | - | - | - | - | 3065-55 |
III | 18 | - | 20400 | 22000 | 23500 | - | 3065-55 | 13,3 | КVIСК31 |
20 | 22800 | 24700 | 26650 | - | - |
22 | 27100 | 29350 | - | - | - |
IV | 22 | - | - | 31600 | - | - | 3065-55 | 18,3 | КVIСК30 |
23,5 | 31850 | 34550 | 37200 | - | - |
25,5 | 36900 | 40000 | 4 | - | - |
27 | 34400 | 37300 | 40150 | - | - | 3067-55 |
V | 27 | - | - | - | 43050 | 45900 | 3067-55 | 25,4 | КVIСК29 |
30 | 42550 | 46100 | 49650 | 53200 | - |
33 | 51500 | 55800 | - | - | - |
VI | 33 | - | - | 60100 | - | - | 3067-55 | 32,5 | КVIСК28 |
36 | 61250 | 66400 | 71500 | - | - |
38 | 64900 | 70900 | - | - | - | 3068-55 |
VII | 38 | - | - | 75700 | 81100 | 86500 | 3068-55 | 39,5 | КVIСК27 |
42 | 80200 | 86900 | - | - | - |
VIII | 42 | - | - | 93450 | 100000 | - | 3068-55 | 45,5 | КVIСК26 |
46,5 | 97150 | - | - | - | - |
IX | 46,5 | - | 105000 | 113500 | - | - | 3068-55 | 52,3 | КVIСК25 |
50,5 | 115000 | - | - | - | - |
X | 50,5 | - | 125000 | 134000 | - | - | 3068-55 | 61,4 | КVIСК24 |
55 | 135000 | - | - | - | - |
XI | 55 | - | 146500 | 157500 | - | - | 3068-55 | 71,6 | КVIСК23 |
59 | 157000 | - | - | - | - |
XII | 59 | - | 169500 | - | - | - | 3068-55 | 81,8 | КVIСК22 |
63 | 180000 | - | - | - | - |
XIII | 63 | - | 195000 | - | - | - | 3068-55 | 100 | КVIСК21 |
67,5 | 205000 | 222000 | - | - | - |
Продолжение табл. 17
| | ИС МЕГАНОРМ: примечание. При публикации в издании: М.: ЦНИИСК им. Кучеренко, 1973 в таблице допущен типографский брак. Цифры, не пропечатанные в официальном тексте документа, в электронной версии данного документа заменены символом "!". | |
N группы канатов | Диаметр каната | Геометрические размеры втулки, мм | Вес, кг |
щеки | втулки | стакан | шайба | Диаметр валика, d | Расстояния между щеками | втулка | заливка |
L | | R | b | l1 | l2 | l3 | r | D1 | D2 | D3 | h | | D | |
I | 12 13 14 | 260 | 6 | 40 | 50 | 100 | 100 | 130 | 12,5 | 18 | 32 | 42 | 120 | 16 | 60 | 4 | 35 | 27 | 3,0 | 0,5 |
II | 14 15,5 17 18 | 250 | 6 | 42 | 60 | 110 | 92 | 130 | 16 | 22 | 40 | 50 | 120 | 16 | 60 | 6 | 35 | 27 | 3,36 | 0,75 |
III | 18 20 22 | 300 | 8 | 50 | 92 | - | 110 | 150 | 19 | 26 | 48 | 60 | 140 | 20 | 80 | 7 | 48 | 33 | 6,13 | 1,25 |
IV | 22 23,5 25,5 27 | 330 | 10 | 70 | 96 | 120 | 120 | 150 | 25,5 | 32 | 61 | 75 | 140 | 20 | 100 | 8 | 55 | 39 | 10,0 | 1,7 |
V | 27 30 33 | 370 | 12 | 80 | 105 | 140 | 140 | 160 | 27,5 | 38 | 69 | 85 | 150 | 20 | 115 | 7 | 65 | 51 | 14,2 | 2,4 |
VI | 33 36 38 | 380 | 14 | 80 | 100 | 140 | 140 | 170 | 25 | 43 | 79 | 95 | 160 | 24 | 115 | 6 | 65 | 64 | 17,4 | 3,8 |
VII | 38 42 | 410 | 16 | 90 | 121 | 150 | 160 | 170 | 34,5 | 48 | 90 | 110 | 160 | 25 | 140 | 6 | 80 | 74 | 25,8 | 5,7 |
VIII | 42 46,5 | 430 | 16 | 100 | 121 | 160 | 160 | 180 | 35,5 | 52 | 96 | 120 | 170 | 25 | 140 | 8 | 80 | 81 | 31,5 | 5,8 |
IX | 46,5 50,5 | 450 | 10 | 90 | 140 | 160 | 170 | - | - | 56 | 102 | 120 | 170 | 25 | 160 | 12 | 90 | 96 | 36,55 | 6,3 |
X | 50,5 55 | 470 | 12 | 95 | 150 | 170 | 180 | - | - | 60 | 110 | 130 | 180 | 26 | 160 | 12 | 90 | 110 | 42,2 | 7,7 |
XI | 55 59 | 510 | 16 | 105 | 160 | 170 | 210 | - | - | 64 | 120 | 140 | 180 | 26 | 180 | 12 | 115 | 116 | 61,9 | 9,0 |
XII | 59 63 | 530 | 16 | 110 | 170 | 180 | 210 | - | - | 68 | 125 | !!! | !!! | 30 | 190 | 12 | 115 | 126 | 70,5 | 10,0 |
XIII | 63 67,5 | 600 | 16 | 125 | 170 | 210 | 220 | - | - | 72 | !!! | !!! | !!! | 40 | 220 | 12 | 125 | 126 | 84,4 | 13,0 |
В РАДИАЛЬНОМ ВАНТОВОМ ПОКРЫТИИ (СХЕМА) НА УСТОЙЧИВОСТЬ
Схема
Продольная сила сжатия в распорке СД определяется по формуле (1):

. (1)
Здесь

- половина длины распорки;

- отношение диагоналей плана;

- относительная стрелка центральной ванты в исходном состоянии системы;
q - интенсивность вертикальной равномерно распределенной нагрузки на покрытие;

;

- безразмерная координата изменяется в пределах

.
Жесткость распорки на изгиб определяется после расчета на устойчивость сжатого стержня с переменной продольной силой в упругой среде винклеровского типа с переменным коэффициентом постели, величина которого зависит от продольной силы.
Критическая нагрузка на покрытие определяется по формуле (2)

, (2)
где коэффициент

берется из таблицы.
l - длина распорки.
Так как жесткость упругого основания различна в горизонтальной и вертикальной плоскости, то коэффициент

приводится дважды (отдельно для каждой плоскости).
Таблица 18
Вертикальная плоскость
A | | m |
1 --- 8 | 1 --- 10 | 1 ----- 13,4 | 1 --- 20 | 1 --- 30 | 1 --- 40 | 1 --- 61 |
300 | 0,5 | 0,5871 | 0,6133 | 0,6604 | 0,7552 | 0,8783 | 1,005 | 1,199 |
1,0 | 0,5066 | 0,5244 | 0,5563 | 0,6228 | 0,7190 | 0,8082 | 0,9619 |
1,5 | 0,4853 | 0,5019 | 0,5299 | 0,5909 | 0,6810 | 0,7614 | 0,9096 |
600 | 0,5 | 0,5661 | 0,5840 | 0,6156 | 0,6794 | 0,7763 | 0,8712 | 1,0363 |
1,0 | 0,4933 | 0,5073 | 0,5260 | 0,5710 | 0,6423 | 0,7107 | 0,8410 |
1,5 | 0,4727 | 0,4844 | 0,5033 | 0,5436 | 0,6094 | 0,6731 | 0,7946 |
900 | 0,5 | 0,5585 | 0,5738 | 0,5990 | 0,6463 | 0,7273 | 0,8069 | 0,9571 |
1,0 | 0,4888 | 0,4998 | 0,5189 | 0,5491 | 0,6063 | 0,6643 | 0,7774 |
1,5 | 0,4682 | 0,4770 | 0,4917 | 0,5237 | 0,5766 | 0,6301 | 0,7357 |
Таблица 19
Горизонтальная плоскость
A | | m |
1 --- 8 | 1 --- 10 | 1 ----- 13,4 | 1 --- 20 | 1 --- 30 | 1 --- 40 | 1 --- 61 |
300 | 0,5 | 0,4453 | 0,4401 | 0,4404 | 0,4587 | 0,4956 | 0,5279 | 0,5824 |
1,0 | 0,3761 | 0,3689 | 0,3645 | 0,3837 | 0,4224 | 0,4527 | 0,5016 |
1,5 | 0,3581 | 0,3508 | 0,3466 | 0,3715 | 0,4088 | 0,4381 | 0,4853 |
600 | 0,5 | 0,4293 | 0,4180 | 0,4078 | 0,4204 | 0,4631 | 0,4964 | 0,5499 |
1,0 | 0,3630 | 0,3546 | 0,3481 | 0,3789 | 0,4168 | 0,4465 | 0,4944 |
1,5 | 0,3489 | 0,3378 | 0,3369 | 0,3671 | 0,4035 | 0,4321 | 0,4783 |
900 | 0,5 | 0,4238 | 0,4103 | 0,3960 | 0,4178 | 0,4600 | 0,4928 | 0,5457 |
1,0 | 0,3627 | 0,3496 | 0,3458 | 0,3769 | 0,4143 | 0,4436 | 0,4910 |
1,5 | 0,3455 | 0,3330 | 0,3354 | 0,3654 | 0,4012 | 0,4294 | 0,4752 |

;
E - модуль упругости материала вант;

- напряжения в центральной ванте.