Главная // Актуальные документы // ПриказСПРАВКА
Источник публикации
ИУС "Национальные стандарты", N 3, 2022
Примечание к документу
Текст данного документа приведен с учетом
поправки, опубликованной в "ИУС", N 5, 2022.
Документ
введен в действие на территории Российской Федерации с 01.03.2022
Приказом Росстандарта от 24.12.2021 N 1854-ст.
Название документа
"Изменение N 1 ГОСТ 4835-2013 "Колесные пары железнодорожных вагонов. Технические условия"
(принято Протоколом Межгосударственного совета по стандартизации, метрологии и сертификации от 09.12.2021 N 60-2021)
"Изменение N 1 ГОСТ 4835-2013 "Колесные пары железнодорожных вагонов. Технические условия"
(принято Протоколом Межгосударственного совета по стандартизации, метрологии и сертификации от 09.12.2021 N 60-2021)
Принято
Протоколом Межгосударственного
совета по стандартизации,
метрологии и сертификации
от 9 декабря 2021 г. N 60-2021
ИЗМЕНЕНИЕ N 1 ГОСТ 4835-2013
"КОЛЕСНЫЕ ПАРЫ ЖЕЛЕЗНОДОРОЖНЫХ ВАГОНОВ. ТЕХНИЧЕСКИЕ УСЛОВИЯ"
Принято Межгосударственным советом по стандартизации, метрологии и сертификации (протокол N 60-2021 от 09.12.2021)
Зарегистрировано Бюро по стандартам МГС N 15964
За принятие изменения проголосовали национальные органы по стандартизации следующих государств: AM, BY, KZ, KG, RU, TJ, UZ [коды альфа-2 по МК (ИСО 3166) 004]
Дату введения в действие настоящего изменения устанавливают указанные национальные органы по стандартизации <*>
--------------------------------
<*> Дата введения в действие на территории Российской Федерации - 2022-03-01.
Содержание. Наименование приложений Г, Ж изложить в новой редакции:
"Приложение Г (обязательное) Методы определения коэффициентов запаса статической прочности и сопротивления усталости оси и колеса в составе колесной пары";
"Приложение Ж (справочное) Пример оформления паспорта (формуляра) на колесную пару";
дополнить наименованием приложения И:
"Приложение И (справочное) Примеры определения годности прессовых соединений, диаграммы запрессовки которых имеют отклонения от нормальной формы".
"Настоящий стандарт распространяется на колесные пары и колесные блоки грузовых и пассажирских вагонов, немоторных вагонов моторвагонного подвижного состава (далее - вагонов)".
исключить
сноску: "<*> На территории Российской Федерации действует
ГОСТ Р 52465-2005 "Масло подсолнечное. Технические условия";
"--------------------------------
заменить ссылки:
"ГОСТ 7409-2009 Вагоны грузовые. Требования к лакокрасочным покрытиям" на "
ГОСТ 7409 Вагоны грузовые. Требования к лакокрасочным покрытиям и противокоррозионной защите и методы их контроля";
"
ГОСТ 31334-2007 Оси для подвижного состава железных дорог колеи 1520 мм. Технические условия" на "
ГОСТ 33200 Оси колесных пар железнодорожного подвижного состава. Общие технические условия";
"
ГОСТ 10 Нутромеры микрометрические. Технические условия
ГОСТ 18572 Подшипники качения. Подшипники буксовые роликовые цилиндрические железнодорожного подвижного состава. Технические условия
ГОСТ 32769 Подшипники качения. Узлы подшипниковые конические букс железнодорожного подвижного состава. Технические условия
ГОСТ 32894 Продукция железнодорожного назначения. Инспекторский контроль. Общие положения
ГОСТ 34385 Буксы и адаптеры для колесных пар тележек грузовых вагонов. Общие технические условия".
"Примечание - При пользовании настоящим стандартом целесообразно проверить действие ссылочных стандартов и классификаторов на официальном интернет-сайте Межгосударственного совета по стандартизации, метрологии и сертификации (www.easc.by) или по указателям национальных стандартов, издаваемым в государствах, указанных в предисловии, или на официальных сайтах соответствующих национальных органов по стандартизации. Если на документ дана недатированная ссылка, то следует использовать документ, действующий на текущий момент, с учетом всех внесенных в него изменений. Если заменен ссылочный документ, на который дана датированная ссылка, то следует использовать указанную версию этого документа. Если после принятия настоящего стандарта в ссылочный документ, на который дана датированная ссылка, внесено изменение, затрагивающее положение, на которое дана ссылка, то положение применяется без учета данного изменения. Если ссылочный документ отменен без замены, то положение, в котором дана ссылка на него, применяется в части, не затрагивающей эту ссылку".
"3.4
заказчик: Предприятие (организация, объединение или другой субъект хозяйственной деятельности), по заявке или контракту с которым производится создание и (или) поставка продукции (в том числе научно-технической). |
".
"3.16 буксовый узел: Конструктивный узел колесной пары, предназначенный для передачи нагрузки от тележки на шейку оси и состоящий из корпуса буксы (если это предусмотрено конструкцией), подшипника или подшипников, элементов торцевого крепления подшипников, уплотнений и смазки".
Раздел 4. Заменить обозначение: "УХЛ" на "УХЛ1";
"Назначенный ресурс или назначенный срок службы колесной пары должен соответствовать назначенному ресурсу или назначенному сроку службы ее оси.
Примечание - При назначении ресурса или срока службы колесной пары ее производитель руководствуется недопущением появления усталостных повреждений (трещин) основных элементов (оси и колес) при эксплуатации".
"- буксовых узлов, если это предусмотрено конструкцией колесной пары".
"
";
"
";
"
";
"
";
"4.2 Требования к колесу и тормозному диску".
Пункт 4.2.1. После слова "
Ra и
Rz колес" дополнить словами: "и тормозных дисков".
"Примечание - Допускается вместо непостоянства диаметра в поперечном сечении измерять отклонение от крутости (овальность), вместо непостоянства диаметра в продольном сечении - отклонение профиля продольного сечения (конусообразность). Допуски крутости и профиля продольного сечения должны быть 0,5 допусков непостоянства диаметра в поперечном и продольном сечении соответственно".
Пункт 4.3.2. Второй и
третий абзацы. Заменить слова: "относительно базовой оси
G" на "относительно базовой оси (в качестве базы используют ось центровых отверстий
G либо ось поверхностей шеек)".
Пункт 4.3.4. Заменить слова: "относительно оси шеек" на "относительно оси поверхностей шеек".
Пункт 4.3.5. Заменить слова: "относительно базовой оси
G" на "относительно базовой оси (в качестве базы используют ось центровых отверстий
G либо ось поверхностей шеек)".
"Остаточный динамический дисбаланс колесной пары в плоскости каждого колеса относительно оси, проходящей через центры кругов катания колес, должен быть не более:
- 25 кг·см - при 140 км/ч < Vк <= 160 км/ч;
- 7,5 кг·см - при 160 км/ч < Vк <= 200 км/ч;
- 5,0 кг·см - при Vк > 200 км/ч";
"--------------------------------
<*> До 2016 года допускается остаточный динамический дисбаланс колесной пары для вагонов с конструкционной скоростью 140 км/ч < Vк <= 160 км/ч не более 60 кг·см".
"4.3.8 Колесные пары вагонов с конструкционной скоростью
Vк > 140 км/ч должны быть окрашены. Окрашивание колесных пар вагонов с конструкционной скоростью
Vк <= 140 км/ч выполняют по требованию заказчика. Требования к окрашиванию - по
ГОСТ 7409 <*>";
"Допускается окрашивание колесных пар в составе тележек или вагонов".
"4.3.9 Открытые средние части оси у колесных пар вагонов с конструкционной скоростью Vк > 160 км/ч должны быть защищены от коррозии покрытием, стойким к ударным воздействиям и воздействию твердых частиц".
"4.3.11 Пределы выносливости колеса и оси в составе колесной пары (кроме колесных пар, указанных в приложении А) при регулярном знакопеременном круговом изгибе с учетом действия технологических и эксплуатационных нагрузок, определяемых в соответствии с Г.3 (приложение Г), должны быть не менее:
- колеса - 180 МПа;
- оси:
а) 145 МПа - в сечениях буксовой шейки и предподступичной части;
б) 140 МПа - в сечениях подступичных частей;
в) 160 МПа - в сечениях средней свободной части.
Коэффициенты запаса сопротивления усталости колеса и оси в составе колесной пары с учетом действия технологических и эксплуатационных нагрузок (кроме колесных пар, указанных в приложении А) должны быть не менее:
- колеса:
а) 1,3 - при наличии результатов расчетов на прочность с учетом ранее проведенных стендовых испытаний на усталость при регулярном знакопеременном круговом изгибе колес и результатов ходовых прочностных испытаний;
б) 1,5 - при наличии результатов расчетов на прочность с учетом ранее проведенных стендовых испытаний на усталость при регулярном знакопеременном круговом изгибе колес;
- оси:
а) 2,0 - для буксовой шейки и предподступичной части;
б) 1,3 - для подступичных частей;
в) 1,2 - для средней свободной части.
4.3.12 Коэффициент запаса статической прочности оси в составе колесной пары (кроме колесных пар, указанных в приложении А) с учетом действия технологических и эксплуатационных нагрузок должен быть не менее 1,2.
Коэффициент запаса статической прочности колеса в составе колесной пары (кроме колесных пар, указанных в приложении А) с учетом действия технологических и эксплуатационных нагрузок должен быть не менее 1,2. Если суммарные напряжения в наиболее нагруженной зоне колеса являются сжимающими и длина этой зоны не более 15 мм, коэффициент запаса статической прочности диска колеса допускается не менее 1,0".
второй абзац. Заменить значения: "2 - 3 ч" на "от 2 до 3 ч"; заменить слово: "не следует" на "запрещается";
"Допускается использовать смазки на основе дисульфида молибдена (MoS2) и другие смазки, не снижающие сопротивление усталости оси".
Пункт 4.4.4. Третий абзац после слов "не более 24,5 кН (2,5) тс" дополнить словами: "Допускается увеличение толщины линии записи до 0,8 мм на участках кривой запрессовки суммарной длиной до 10 мм".
"4.4.5 Для вагонов с конструкционной скоростью Vк <= 160 км/ч конечное усилие запрессовки колеса на каждые 100 мм диаметра подступичной части оси должно быть:
- от 382 до 569 кН (от 39,0 до 58,0 тс) при шероховатости поверхности отверстия ступицы колеса Rz <= 20 мкм;
- от 422 до 569 кН (от 43,0 до 58,0 тс) при шероховатости поверхности отверстия ступицы колеса 20 мкм < Rz <= 32 мкм.
Значения натягов колес на оси должны быть от 0,10 до 0,25 мм.
Допускается для вагонов с конструкционной скоростью Vк = 160 км/ч конечное усилие запрессовки колеса на каждые 100 мм диаметра подступичной части оси от 340 до 580 кН (от 34,7 до 59,1 тс). При этом значение натяга колеса на оси J, мм, должно быть
0,0010 dн <= J <= 0,0015 dн + 0,06,
где dн - номинальный диаметр посадки, мм.
Для вагонов с конструкционной скоростью Vк < 160 км/ч конечное усилие запрессовки ступицы тормозного диска на ось должно быть от 80 до 145 кН (от 8,2 до 14,8 тс) на каждые 100 мм диаметра подступичной части оси.
Для вагонов с конструкционной скоростью Vк = 160 км/ч конечное усилие запрессовки ступицы тормозного диска на ось должно быть от 147 до 294 кН (от 15,0 до 30,0 тс) на каждые 100 мм диаметра подступичной части оси.
Допускается устанавливать в технической документации меньшие значения конечных усилий запрессовки ступицы тормозного диска на ось при условии расчетного подтверждения прочности прессового соединения в части сопротивления провороту применительно к конкретным конструкциям оси и ступицы тормозного диска, а также параметрам шероховатости сопрягаемых поверхностей.
4.4.6 Для вагонов с конструкционной скоростью 160 км/ч < Vк <= 200 км/ч конечное усилие запрессовки колеса на каждые 100 мм диаметра подступичной части оси должно быть от 340 до 580 кН (от 34,7 до 59,1 тс).
Значение натяга колеса на ось J, мм, должно быть
0,0010 dн <= J <= 0,0015 dн + 0,06,
где dн - номинальный диаметр посадки, мм.
Конечное усилие запрессовки ступицы тормозного диска на ось должно быть от 147 до 294 кН (от 15,0 до 30,0 тс) на каждые 100 мм диаметра подступичной части оси.
Допускается устанавливать в технической документации меньшие значения конечных усилий запрессовки ступицы тормозного диска на ось при условии расчетного подтверждения прочности прессового соединения в части сопротивления провороту применительно к конкретным конструкциям оси и ступицы тормозного диска, а также параметрам шероховатости сопрягаемых поверхностей".
второй абзац. Заменить обозначение: "
j" на "
J" (2 раза); исключить слова: "и ступиц тормозных дисков";
"Конечное усилие запрессовки ступицы тормозного диска на ось должно быть от 105 до 180 кН (от 10,7 до 18,4 тс) на каждые 100 мм диаметра подступичной части оси.
Допускается устанавливать в технической документации другие значения конечных усилий запрессовки ступицы тормозного диска на ось при условии расчетного подтверждения прочности прессового соединения в части сопротивления провороту применительно к конкретным конструкциям оси и ступицы тормозного диска, а также параметрам шероховатости сопрягаемых поверхностей".
"4.4.8 Кривая запрессовки при нормальной диаграмме запрессовки должна иметь плавную форму, несколько выпуклую вверх, нарастающую по всей длине, как показано на рисунке 5а.
Примечание - Здесь и далее рассмотрены диаграммы запрессовки, на которых по горизонтальной оси (абсцисс) отсчитывается расстояние, а по вертикальной оси (ординат) - усилие запрессовки. Возможно иное сочетание направлений осей координат на диаграмме запрессовки, что не является нарушением требований настоящего стандарта.
Длина сопряжения L, мм, определяемая по диаграмме запрессовки, должна быть не менее 145 i для колеса и не менее 105 i для тормозного диска, где i - масштаб диаграммы по длине. При условии расчетного подтверждения прочности прессового соединения оси и колеса колесной пары вагона с конструкционной скоростью Vк >= 160 км/ч допускается снижение указанного значения длины сопряжения L для колеса.
Длина сопряжения L на диаграмме запрессовки определяется размером активной ветви кривой запрессовки по оси абсцисс, т.е. расстоянием от начала ее подъема до точки перехода в горизонтальный или наклонный участок в конце (см. рисунок 5б).
Рисунок 5а - Вид нормальной диаграммы запрессовки
Рисунок 5б - Определение длины сопряжения на диаграмме
запрессовки
Диаграмму запрессовки считают удовлетворительной при следующих отклонениях от нормальной формы:
- скачок усилия в начале кривой не более 49,0 кН (5 тс), отклонение направления линии начала запрессовки от направления оси усилий координатной сетки не менее чем на 5° в сторону кривой при масштабах диаграммы по длине 1 : 2 и по усилию 0,5 мм/кН (при другом соотношении масштабов должен быть сделан пересчет минимального значения угла);
- скачок усилия в начале кривой не более 98,1 кН (10 тс), параллельно линии конца запрессовки;
- скачок усилия в конце линии запрессовки (при этом конечное усилие запрессовки определяется уровнем кривой перед скачком);
- скачок усилия на любом участке кривой до 29,4 кН (3 тс), кроме начала и конца запрессовки;
- плавные колебания усилия на длине сопряжения:
а) при постоянном повышении усилия запрессовки (когда каждое последующее значение выше предыдущего);
б) при наличии на диаграмме одного горизонтального участка длиной не более 5 мм (или нескольких прямых участков суммарной длиной не более 5 мм) при масштабе диаграммы по длине 1 : 2 (при другом масштабе записи должен быть сделан пересчет допускаемой длины горизонтальной прямой);
- вогнутость линии запрессовки, если кривая располагается выше прямой, соединяющей начальную точку диаграммы с точкой, указывающей на данной диаграмме минимально допускаемое усилие запрессовки для данного диаметра подступичной части оси;
- местная вогнутость кривой запрессовки в первой половине диаграммы при отсутствии падения усилия, если кривая располагается выше прямой, соединяющей начальную точку диаграммы с точкой, указывающей на данной диаграмме минимально допускаемое усилие запрессовки для данного диаметра подступичной части оси;
- падение усилия запрессовки на длине сопряжения, не превышающее 9,81 кН (1 тс);
- пульсации кривой амплитудой не более 9,81 кН (1 тс);
- наличие усилия в начале записи холостого хода плунжера пресса (конечное усилие в этом случае определяют путем уменьшения усилия, соответствующего концу процесса запрессовки, на значение усилия холостого хода).
При условии расчетного подтверждения прочности прессового соединения диаграмму запрессовки колеса для колесной пары вагона с конструкционной скоростью Vк >= 160 км/ч, формируемой из оси с заходной фаской подступичной части с номинальным углом не менее 5° и номинальной длиной не более 5 мм, также считают удовлетворительной в случае наличия на диаграмме скачка в начале кривой запрессовки, не превышающего усилия в килоньютонах, равного 1,0 dн (dн - посадочный диаметр, мм), с последующим постепенным нарастанием, горизонтальным участком или падением усилия, но не ниже линии, соединяющей точку, удаленную на 15 мм по горизонтали от начала подъема (в сторону конца диаграммы) при масштабе диаграммы по длине 1 : 2 (при другом масштабе записи должен быть сделан пересчет), с точкой, указывающей на данной диаграмме минимально допустимое конечное усилие запрессовки.
При условии расчетного подтверждения прочности прессового соединения диаграмму запрессовки колеса для колесной пары вагона с конструкционной скоростью Vк >= 160 км/ч, формируемой из колес, имеющих масляную проточку, также считают удовлетворительной в случае наличия на диаграмме падения усилия запрессовки в месте, соответствующем расположению масляной проточки, при условии восстановления усилия, достигнутого до начала падения, не более чем через 13 мм после начала падения усилия при масштабе диаграммы по длине 1 : 2 (при другом масштабе записи должен быть сделан пересчет).
При условии контрольной проверки прочности прессового соединения, выполняемой в присутствии заказчика, на диаграмме запрессовки колеса колесной пары вагона с конструкционной скоростью Vк >= 160 км/ч допускается наличие горизонтального участка или нескольких горизонтальных участков суммарной длиной не более 10% длины диаграммы запрессовки. Проверку осуществляют трехкратным приложением контрольной осевой нагрузки в обратном направлении от усилия запрессовки. Контрольная осевая нагрузка должна быть 1,2 фактического усилия запрессовки. Сдвиг в соединении не допускается.
При условии расчетного подтверждения прочности прессового соединения в части сопротивления провороту и сдвигу в осевом направлении диаграмму запрессовки ступиц тормозных дисков для колесной пары вагона с конструкционной скоростью Vк >= 160 км/ч также считают удовлетворительной в случае наличия на диаграмме:
- скачкообразного повышения усилия запрессовки в начале кривой не более 147 кН (15,0 тс);
- одной горизонтальной прямой или нескольких прямолинейных участков в сумме длиной не более 20 мм при масштабе диаграммы по длине 1 : 2 (при другом масштабе должен быть сделан пересчет максимально допускаемой длины);
- падения усилия запрессовки не более 50 кН (5,1 тс) на последних 13 мм диаграммы при масштабе диаграммы по длине 1 : 2 (при другом масштабе должен быть сделан пересчет), обусловленного превышением длины ступицы тормозного диска относительно длины посадочной поверхности подступичной части оси;
- падения или колебания усилия запрессовки в месте, соответствующем расположению масляной проточки, при условии восстановления усилия, достигнутого до начала падения, не более чем через 15 мм после начала падения усилия при масштабе диаграммы по длине 1 : 2 (при другом масштабе записи должен быть сделан пересчет).
Примеры определения годности прессовых соединений, диаграммы запрессовки которых имеют отклонения от нормальной формы, приведены в приложении И.
В случае если при запрессовке колеса или тормозного диска на ось получена неудовлетворительная по форме или длине сопряжения диаграмма или конечное усилие запрессовки не соответствует установленным в 4.4.5 - 4.4.7 значениям, прессовое соединение бракуют и распрессовывают";
пятый абзац. Заменить слова: "повторно насаживать" на "перепрессовывать";
шестой абзац. Заменить слово: "напрессовывать" на "перепрессовывать".
"4.5.1 Колесные пары, если это предусмотрено конструкцией, должны быть оборудованы буксовыми узлами, содержащими узлы подшипниковые конические по
ГОСТ 32769 или подшипники роликовые цилиндрические по
ГОСТ 18572. Требования к буксам колесных пар грузовых вагонов - по
ГОСТ 34385".
"4.5.8 Монтаж буксовых узлов с роликовыми цилиндрическими подшипниками".
"4.5.9 Монтаж буксовых узлов со сдвоенными подшипниками и с коническими подшипниковыми узлами
4.5.9.1 Запрессовку подшипников на буксовую шейку оси производят на гидравлическом прессе, обеспечивающем скорость движения плунжера от 2,5 до 6,0 мм/с.
За один ход плунжера пресса должна обеспечиваться одновременная запрессовка на ось всего комплекта колец (двух внутренних колец подшипников и кольца лабиринтного/заднего упорного). Допускается установку кольца лабиринтного/заднего упорного на предподступичную часть оси производить отдельно, если это не запрещено документацией производителя подшипника.
4.5.9.2 Конечное усилие запрессовки подшипников, если иное не установлено производителем подшипника, должно быть:
- от 343 до 392 кН (от 35,0 до 40,0 тс) - при максимальной расчетной статической нагрузке от колесной пары на рельсы 245,2 кН (25,0) тс;
- от 245 до 294 кН (от 25,0 до 30,0 тс) - при максимальной расчетной статической нагрузке от колесной пары на рельсы 230,5 кН (23,5) тс.
Конечное усилие запрессовки должно поддерживаться при упоре в торец предподступичной части оси всего комплекта колец не менее 3 с. При этом значение натяга внутренних колец подшипников на шейку оси должно быть от 0,045 до 0,115 мм в зависимости от диаметра шейки оси.
В случаях заниженного значения фактического конечного усилия запрессовки или недостаточного фактического времени его выдержки допускается повторное обжатие комплекта колец с установленными в данном пункте конечным усилием и временем выдержки.
Допускается повторная запрессовка одного и того же подшипника, если иное не установлено производителем подшипника.
Значение натяга лабиринтного/заднего упорного кольца подшипника конического подшипникового узла должно быть от 0,030 до 0,186 мм.
4.5.9.3 Осевой зазор в подшипниках конических подшипниковых узлов после монтажа на ось должен соответствовать документации производителя подшипников".
"При обеспечении соблюдения требований к запрессовке колес на ось по 4.4.3 - 4.4.8 гарантируется 100% вероятность безотказной работы колесной пары в части прочности соединения колес с осью в течение срока службы колесной пары до замены колес".
поясняющие данные. Позицию
4 изложить в новой редакции: "
4 - места под приемочные клейма в соответствии с 6.5".
"Расположение знаков и клейм колесных пар с полыми осями должно соответствовать указанному на рисунке 9".
"B - порядковый номер оси (может включать буквенные обозначения, например по принадлежности к проекту; оси немоторных колесных пар нумеруют четными числами);";
"H - место под приемочное клеймо в соответствии с 6.5".
Пункт 4.7.5. Заменить слова: "(см. рисунок 4)" на "(см. рисунок 6)".
"4.7.6 После проведения подтверждения соответствия колесные пары маркируют знаком обращения на рынке в местах, предназначенных для клейм, относящихся к ремонту колесных пар, а также в паспортах (формулярах). Если конструктивные особенности колесной пары не позволяют выполнить маркировку знака обращения на рынке на торце оси, знак обращения на рынке ставят на другую поверхность, указанную в технической документации или только в паспорте (формуляре)".
"4.8 Структура условного обозначения колесных пар
Структура условного обозначения колесных пар приведена на рисунке 10.
Колесная пара X - X - X - Б - ГОСТ 4835-2013 (X) - обозначение чертежа
│ │ │ │ ────┬───────── │
│ │ │ │ └──Обозначение настоящего стандарта
│ │ │ │
│ │ │ │ │Наличие буксового узла (отсутствие
│ │ │ └─────────┤для колесных пар без буксовых
│ │ │ │узлов)
│ │ │
│ │ │ │Максимальная расчетная статическая
│ │ └─────────────┤нагрузка от колесной пары
│ │ │на рельсы, кН
│ │
│ │ │Обозначение типа вагона:
│ │ │ Г - грузовой;
│ └─────────────────┤ П - пассажирский;
│ │ Э - немоторный электропоезда;
│ │ Д - немоторный дизель-поезда,
│ │рельсового автобуса
│
│ │Номинальный диаметр колеса по
└─────────────────────┤кругу катания, мм
│
Рисунок 10
Примеры условных обозначений:
Колесная пара с номинальным диаметром колеса по кругу катания 957 мм для грузового вагона с максимальной расчетной статической нагрузкой от колесной пары на рельсы 196,1 кН (20,0 тс), с буксовыми узлами, с осью РУ1Ш по
ГОСТ 33200:
Колесная пара 957 - Г - 196,1 - Б - ГОСТ 4835-2013 (РУ1Ш) - обозначение чертежа
Колесная пара с номинальным диаметром колеса по кругу катания 957 мм для немоторного вагона электропоезда с максимальной расчетной статической нагрузкой от колесной пары на рельсы 176,5 кН (18,0 тс), без буксовых узлов:
Колесная пара 957 - Э - 176,5 - ГОСТ 4835-2013 -
обозначение чертежа".
"4.9 Комплектность
Каждая колесная пара должна иметь паспорт (формуляр), оформленный в соответствии с
ГОСТ 2.610 <*> и содержащий:
- обозначение колесной пары по 4.8;
- наименование, условный номер предприятия-изготовителя;
- дату и номер документа, подтверждающего приемку колесной пары;
- номер сертификата соответствия колесной пары, срок его действия;
- информацию по:
а) оси (наименование предприятия - изготовителя заготовки, номер плавки, марка стали, обозначение по конструкторской документации, наименование предприятия - изготовителя чистовой оси, год изготовления);
б) колесам (наименование предприятия-изготовителя, марка стали, обозначение по конструкторской документации, год изготовления);
в) тормозным дискам при их наличии (наименование предприятия-изготовителя, обозначение по конструкторской документации, год изготовления);
г) буксовым узлам при их наличии (наименование предприятия-изготовителя, обозначение по конструкторской документации, год изготовления).
Пример оформления паспорта приведен в приложении Ж";
"--------------------------------
"Таблица 1
Контролируемый параметр | Пункт/подпункт стандарта, содержащий требования, которые проверяют при испытаниях | Метод испытаний |
приемо-сдаточных <*> | периодических |
1 Размеры и форма поверхности | 4.2.2, 4.3.1 - 4.3.3, 4.3.6 | 4.3.4, 4.3.5 | 7.3 - 7.6 |
2 Внешний вид и состояние поверхности подшипников | 4.5.2 | - | 7.20 |
3 Качество чистовой обработки (шероховатость) поверхностей деталей | 4.5.5 <**> | 4.2.1 <**> | 7.2 |
4 Температура сопрягаемых деталей | 4.4.3, 4.4.9, 4.4.11 | - | 7.10 |
5 Динамический дисбаланс | 4.3.7 | - | 7.8 |
6 Значения конечных усилий запрессовки и натяга сопрягаемых деталей | 4.4.5 - 4.4.7, 4.5.4, 4.5.8.1, 4.5.9.2 | - | 7.11, 7.15 |
7 Скорость движения плунжера | - | 4.4.4, 4.5.9.1 | 7.7 |
8 Форма и размеры кривой на диаграмме запрессовки элементов колесной пары | 4.4.8 | - | 7.9 |
9 Прочность соединения сопрягаемых деталей при тепловом способе посадки | 4.4.10, 4.4.12 | - | 7.9 |
10 Электрическое сопротивление | - | 4.3.10 | 7.12 |
11 Маркировка | 4.7.1 - 4.7.6 | - | 7.13 |
12 Качество окрашивания | 4.3.8 <***> | - | 7.14 |
13 Осевой зазор в подшипниках | 4.5.8.2, 4.5.9.3 | - | 7.16 |
<*> При механической обработке отверстий ступиц колес с последующей их запрессовкой на ось на автоматизированных линиях вместо сплошного контроля допускается выполнять контроль выборочный, не менее трех раз в смену. <**> Контроль проводят в случае механической обработки данных поверхностей на предприятии - изготовителе колесной пары. <***> Контроль качества окрашивания допускается проводить в составе вагона или тележки. |
";
"6.3.1 Качество чистовой обработки наружных поверхностей деталей (4.2.1), отклонение от соосности круга катания колес относительно оси поверхностей шеек под буксовые подшипники (4.3.4), радиальное биение круга катания колес относительно базовой оси (4.3.5), электрическое сопротивление (4.3.10) следует контролировать не реже одного раза в месяц. При этом для контроля отбирают:
- 10% суточного выпуска колесных пар или соответствующих комплектов деталей методом систематического отбора по ГОСТ 18321-73
(пункт 3.5), если объем суточного выпуска колесных пар не менее 10 шт.;
- одну колесную пару или один комплект ее деталей методом отбора с применением случайных чисел по ГОСТ 18321-73
(пункт 3.2), если объем суточного выпуска менее 10 шт.
Электрическое сопротивление (4.3.10) следует контролировать не реже одного раза в месяц у двух колесных пар.
Скорость движения плунжера пресса (4.4.4, 4.5.9.1) следует контролировать не реже одного раза в полгода, а также после ремонта пресса или замены в нем масла".
"6.3.3 Допускается не проводить периодические испытания по показателям, указанным в таблице 1, если контроль данных показателей осуществляется в рамках приемо-сдаточных испытаний или при прочих испытаниях (аттестация оборудования, проверка на технологическую точность и др.)".
"6.4.1 Типовые испытания проводят в случаях:
а) изменения существующей конструкции колесной пары;
б) применения материалов с другими механическими свойствами или изменения технологического процесса изготовления деталей;
в) изменения метода формирования колесной пары;
г) изменений в тормозной системе, влияющих на механическую или тепловую нагрузки на колесную пару (колесо);
д) увеличения осевой нагрузки на колесную пару или конструкционной скорости, изменения схемы нагружения.
Объем типовых испытаний определяют в соответствии с
ГОСТ 15.309 в зависимости от вносимых изменений в конструкцию и/или технологию изготовления колесной пары. При этом в программу типовых испытаний включают:
- оценку соответствия предела выносливости подступичной части оси требованию 4.3.11 в случае применения при посадке деталей на ось антикоррозионного покрытия, не указанного в 4.4.2, или в случае перехода на смазку на основе дисульфида молибдена (MoS2);
- проверку остаточного динамического дисбаланса (см. 4.3.7) в случаях, указанных в перечислениях а), д);
- проверку качества защитного покрытия (см. 4.3.9) при изменении применяемых при его получении материалов или технологии его получения".
"6.5 Инспекторский контроль
В случае принятия решения о проведении инспекторского контроля потребителем или изготовителем колесной пары процедура инспекторского контроля колесной пары должна соответствовать
ГОСТ 32894".
второй абзац. Заменить слова: "обеспечивающего необходимую точность измерения" на "удовлетворяющего требованиям 7.21".
Пункты 7.5,
7.6. Дополнить абзацем: "Требования к средствам измерений - по 7.21".
"7.9 Прочность соединения детали с осью (4.4.8, 4.4.10, 4.4.12) контролируют:
- при прессовом методе посадки детали - путем проверки соответствия записанной диаграммы запрессовки требованиям 4.4.8, выполняемой с учетом 7.11;
- при тепловом методе посадки тормозного диска - трехкратным приложением к соединению регламентированной в 4.4.12 контрольной осевой (сдвигающей) нагрузки с выдержкой не менее 5 с".
Пункт 7.13. Заменить ссылку: "(4.7.1 - 4.7.5)" на "(4.7.1 - 4.7.6)".
второй абзац. Заменить слова: "микрометрическим нутромером и микрометрической скобой" на "микрометрическим нутромером по
ГОСТ 10 или индикаторным нутромером по
ГОСТ 868 и микрометрической скобой по
ГОСТ 6507 или скобой с отсчетным устройством по
ГОСТ 11098";
четвертый абзац. Заменить слова: "обеспечивающего необходимую точность измерения" на "удовлетворяющего требованиям 7.21";
"Натяг лабиринтного/заднего упорного кольца на предподступичную часть оси (4.5.4, 4.5.9.2) вычисляют как разность диаметров предподступичной части оси и посадочной поверхности лабиринтного/заднего упорного кольца.
Диаметр предподступичной части оси измеряют на расстоянии не более 20 мм от торца. За значение диаметра принимают среднее арифметическое результатов измерений в двух взаимно перпендикулярных плоскостях. Допускается вместо диаметра предподступичной части оси на расстоянии не более 20 мм от торца контролировать средний диаметр предподступичной части оси, вычисленный как среднее арифметическое результатов не менее двух измерений во взаимно перпендикулярных плоскостях.
Натяг внутреннего кольца подшипника на шейку оси (4.5.8.1, 4.5.9.2) вычисляют как разность диаметра шейки оси и среднего диаметра внутреннего кольца.
Диаметры шейки определяют в двух сечениях, соответствующих серединам внутренних колец. Диаметр шейки в каждом сечении вычисляют как среднее арифметическое диаметров, измеренных в двух взаимно перпендикулярных плоскостях. Допускается вместо диаметров шейки в двух сечениях, соответствующих серединам внутренних колец, контролировать средний диаметр шейки оси, вычисленный как среднее арифметическое результатов не менее двух измерений во взаимно перпендикулярных плоскостях".
"7.17 Пределы выносливости и коэффициенты запаса сопротивления усталости оси и колеса в составе колесной пары (4.3.11) (кроме колесных пар, указанных в приложении А) с учетом действия технологических и эксплуатационных нагрузок определяют в соответствии с приложением Г.
7.18 Коэффициенты запаса статической прочности оси и колеса в составе колесной пары (4.3.12) (кроме колесных пар, указанных в приложении А) определяют в соответствии с приложением Г".
Пункт 7.19. Заменить неравенство: "
Vк > 200 км/ч" на "
Vк > 160 км/ч".
"7.21 Применяемые средства измерений утвержденного типа должны быть поверены в соответствии с законодательством участников Соглашения, принявших настоящий стандарт <*>. Средства измерений не утвержденного типа должны быть калиброваны.
Применяемое испытательное оборудование должно быть аттестовано в соответствии с законодательством об обеспечении единства измерений участников Соглашения, принявших настоящий стандарт <**>.
Применяемые средства измерений и оборудование должны сопровождаться руководствами по эксплуатации.
Погрешности, допускаемые при измерении линейных размеров до 500 мм, устанавливают по
ГОСТ 8.051. При измерении размеров свыше 500 мм применяют специализированные средства измерений, предел допускаемой погрешности которых не превышает 1/3 допуска соответствующего размера";
"--------------------------------
<*> На территории Российской Федерации поверку проводят в соответствии с Федеральным
законом от 26 июня 2008 г. N 102-ФЗ "Об обеспечении единства измерений".
<**> На территории Российской Федерации испытательное оборудование аттестовывают по
ГОСТ Р 8.568-2017 "Государственная система обеспечения единства измерений. Аттестация испытательного оборудования. Основные положения".
"8.3 При транспортировании и хранении колесные пары с открытыми коническими подшипниковыми узлами должны быть установлены либо закреплены способом, исключающим повреждение наружных колец подшипников от соударения с гребнями соседних колесных пар и другими элементами. Рекомендуется дополнительно использовать защитные приспособления или кожухи".
"9.3 Гарантийные сроки эксплуатации колесных пар с буксовыми узлами устанавливают до первого демонтажа с оси буксовых узлов, но не более гарантийных сроков эксплуатации подшипников буксовых узлов, установленных производителями подшипников".
"10 Указания по эксплуатации
10.1 При эксплуатации грузовых вагонов допускается по согласованию с владельцем инфраструктуры повышение статических нагрузок от колесной пары на рельсы не более:
- 235,4 кН (24,0 тс) для типа РУ1Ш-957-Г при скоростях движения до 80 км/ч;
- 264,8 кН (27,0 тс) для типа РВ2Ш-957-Г при скоростях движения до 90 км/ч.
10.2 Критерии предельного состояния колесных пар грузовых вагонов устанавливают в соответствии с
инструкцией [3] и руководящим
документом [4], колесных пар пассажирских вагонов локомотивной тяги с конструкционной скоростью до 160 км/ч включ. - в соответствии с
инструкцией [3] и руководящим
документом [5], колесных пар других вагонов - в соответствии с нормативными документами участников Соглашения, принявших настоящий стандарт <*>, и ремонтной документацией на колесные пары конкретных исполнений.
10.3 По достижении колесной парой предельного состояния, установленного согласно 10.2, или по достижении колесной парой (осью) назначенного срока службы (исчерпании назначенного ресурса) ее составные части [колеса, тормозные диски (при наличии), буксовые узлы (при наличии) и др.], назначенный ресурс которых еще не исчерпан, могут быть установлены на другую ось для дальнейшего использования, если это не противоречит эксплуатационной документации на конкретные составные части при ее наличии.
При монтаже составных частей колесных пар грузовых вагонов соблюдают требования руководящего
документа [4], колесных пар пассажирских вагонов локомотивной тяги с конструкционной скоростью до 160 км/ч включ. - руководящего
документа [5], колесных пар иного подвижного состава - требования ремонтной документации на колесные пары конкретных исполнений";
"--------------------------------
<*> В Российской Федерации применяют Правила технической эксплуатации железных дорог Российской Федерации (приложение 5,
пункт 8), утвержденные Приказом Минтранса России от 21 декабря 2010 г. N 286".
"Таблица А.1
с номинальным диаметром по кругу катания 957 мм
| Тип вагона | Конструкционная скорость вагона, км/ч | Максимальная расчетная статическая нагрузка от колесной пары на рельсы, кН (тс) |
РВ1Ш | Пассажирский | 200 | 166,7 (17,0) |
РУ1Ш | 160 | 176,5 (18,0) |
РВ1Ш |
РВ3Ш |
РУ1Ш | Грузовой | 120 | 230,5 (23,5) |
РВ2Ш | 245,2 (25,0) |
РУ1Ш | Немоторный электропоезда | 130 | 186,3 (19,0) |
РУ1Ш | Немоторный дизель-поезда | 120 |
"
Приложение В.
Пункт В.3.1. Заменить слова: "не ниже 5-й группы" на "не ниже 4-й группы";
дополнить словами: "Допускается применение омметров других типов, удовлетворяющих требованиям, установленным в В.3.2 - В.3.4".
"Приложение Г
(обязательное)
МЕТОДЫ ОПРЕДЕЛЕНИЯ КОЭФФИЦИЕНТОВ ЗАПАСА СТАТИЧЕСКОЙ
ПРОЧНОСТИ И СОПРОТИВЛЕНИЯ УСТАЛОСТИ ОСИ И КОЛЕСА
В СОСТАВЕ КОЛЕСНОЙ ПАРЫ
Г.1 Коэффициенты запаса сопротивления усталости и статической прочности оси и колеса в составе колесной пары определяют расчетно-экспериментальными методами. При этом выполняют расчет напряженно-деформированного состояния (НДС) оси и колеса в составе колесной пары от действия монтажных и эксплуатационных нагрузок. Для вычисления коэффициентов запаса сопротивления усталости оси и колеса необходимо предварительное экспериментальное определение пределов выносливости оси

и колеса

.
Г.2 Расчет напряженно-деформированного состояния колеса и оси
Г.2.1 Исходные данные для определения НДС колеса и оси в составе колесной пары приведены в таблице Г.1. Динамические и инерционные расчетные нагрузки определяют через основную - номинальную статическую нагрузку от колесной пары на рельсы.
Таблица Г.1
Исходные данные для определения НДС колеса и оси
в составе колесной пары
Обозначение | Единица измерения | Наименование, расчетные формулы, возможный диапазон значений и рекомендации по выбору значений величин |
Q | кН | Номинальная статическая нагрузка от колесной пары на рельсы |
V | м/с | Конструкционная скорость вагона |
kh | - | Коэффициент рамного давления. Равен отношению рамной силы Yр к номинальной статической нагрузке от колеса на рельс  :  . В зависимости от характеристик горизонтальной амортизации и состояния пути принимают следующие значения kh: - 0,3 - при удовлетворительных характеристиках пути, эффективной горизонтальной амортизации и действии других факторов, способствующих снижению рамной силы Yр; - 0,4 - для станционных, подъездных и прочих путей при пониженной эффективности горизонтальной амортизации и действии других факторов, способствующих повышению рамной силы Yр. При выборе коэффициента kh учитывают имеющиеся данные по прототипам. Коэффициент уточняют при проведении ходовых испытаний на статистически представительном полигоне железнодорожного пути, текущее содержание которого соответствует предусмотренным технической документацией условиям эксплуатации испытуемого вагона |
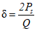
| - | Коэффициент вертикальной амортизации. Равен отношению веса обрессоренных частей, приходящегося на буксу, Ps к статической нагрузке от колеса на рельс  .  . В зависимости от конструкции вагона принимают в пределах от 0,65 до 0,9 |
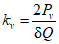
kv | - | Коэффициент вертикальной динамики. Равен отношению дополнительной вертикальной нагрузки Pv на буксу, возникающей при колебаниях надрессорного строения (с учетом сил демпфирования) от прохождения неровностей пути, к статической нагрузке на буксу  :  . В зависимости от характеристик подвешивания и пути принимают следующие значения kv (если они специально не оговорены): - не более 0,2 - пневматическое подвешивание и хорошее содержание пути; - 0,3 - удовлетворительные характеристики подвешивания и пути; - не менее 0,4 - при пониженных характеристиках подвешивания или для станционных, подъездных и прочих путей. При выборе коэффициента kv учитывают имеющиеся данные по прототипам, в том числе по его зависимости от скорости движения. Коэффициент уточняют при ходовых испытаниях на статистически представительном полигоне железнодорожного пути, текущее содержание которого соответствует предусмотренным технической документацией условиям эксплуатации испытуемого вагона |
m | - | Коэффициент веса буксового узла. Равен отношению веса буксы и жестко связанных с ней частей P0 к весу обрессоренных частей, приходящемуся на буксу  :  . Принимают с учетом конструкции буксового узла. Учитывают вес корпуса буксы, подшипников, буксовой шейки и деталей подвешивания (балансиры, частично рессоры и пружины, опирающиеся на буксы) |
jh | - | Коэффициент поперечного горизонтального ускорения колесной пары. Равен отношению горизонтального поперечного ускорения колесной пары, возникающего при прохождении горизонтальных неровностей пути, к ускорению силы тяжести. Зависит от состояния пути, скорости движения и веса колесной пары в сборе  . Вычисляют по формуле |
jv | - | Коэффициент вертикального ускорения буксы. Равен отношению вертикального ускорения буксы, возникающего при прохождении колесной парой вертикальных неровностей пути, к ускорению силы тяжести. Вычисляют по формуле |
D(D') | м | Диаметр по кругу катания нового (предельно изношенного) колеса |
r(r') | м | Радиус по кругу катания нового (предельно изношенного) колеса |
L | м | Расстояние от середины буксовой шейки до плоскости круга катания соседнего колеса. Принимают по данным конструкции |
f | - | Коэффициент поперечного трения колес о рельсы. Принимают 0,25 |
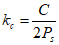
kc | - | Коэффициент центробежной силы. Равен отношению части центробежной силы надрессорного строения, не уравновешенной возвышением наружного рельса, C к весу надрессорного строения 2 Ps, т.е.  Принимают в диапазоне от 0,05 до 0,1 |
kw | - | Коэффициент ветровой нагрузки. Равен отношению ветровой нагрузки к весу надрессорного строения. Ветровую нагрузку определяют при удельном давлении ветра 490 Н/м2 на проекцию боковой поверхности кузова. Рекомендуется принимать kw = 0,05 с приложением равнодействующей в центре тяжести боковой проекции надрессорного строения |
k | - | Поправочный коэффициент, учитывающий перегруз рессорного подвешивания от крена надрессорного строения. Рассчитывают по формуле |
| - | Отношение высоты расположения центра тяжести надрессорного строения над центрами колес hc к расстоянию между серединами буксовых шеек l1 |
| - | Отношение статического прогиба рессорного подвешивания Fs к расстоянию между серединами буксовых шеек l1. Принимают по данным конструкции. При двухступенчатом подвешивании принимают равным сумме статических прогибов обеих ступеней (при равных расстояниях в первой и второй ступенях) |
l1 | м | Расстояние между линиями приложения вертикальной нагрузки к буксовым шейкам оси колесной пары (принимают равным расстоянию между серединами буксовых шеек) |
ls | м | Расстояние между плоскостями кругов катания колесной пары |
G0 | кг | Масса части оси, заключенной между плоскостями кругов катания колес |
Gb | кг | Масса тормозного диска |
Gw | кг | Масса колеса (с тормозными дисками при наличии их на колесе) |
lb1, lb2,..., lbi | м | Расстояния от центра тяжести тормозных дисков до сбегающего колеса |
Г.2.2 Выбор расчетных режимов проводят при неблагоприятном сочетании действующих нагрузок. Расчетными режимами при определении НДС колеса вагона являются:
- режим I - движение по кривым участкам пути;
- режим II - движение по прямым участкам пути.
Соответствующая схема приложения внешних механических сил на набегающее колесо колесной пары приведена на рисунке Г.1. На набегающее колесо действуют силы:
-
SI и

- при движении по кривым участкам пути (режим I);
- SII - при движении по прямым участкам пути (режим II).
SI и

- силы, действующие при движении по кривым участкам
пути; SII - сила, действующая при движении по прямым
участкам пути
Рисунок Г.1 - Схема приложения внешних механических сил
на набегающее колесо колесной пары при движении вагона
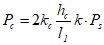
Вертикальную силу, действующую на буксовую шейку оси со стороны набегающего колеса P, кН (см. рисунок Г.2), при ускорении буксы, направленном вверх, вычисляют по формуле
P = Ps + Pv + Pi + Pc + Pw, (Г.1)
где

- статическая нагрузка от веса обрессоренных частей вагона, кН;
Pv = kvPs - динамическая нагрузка, возникающая от колебаний надрессорного строения при прохождении вертикальных неровностей пути, кН;
Pi = m·jvPs - сила инерции буксового узла, кН;

- нагрузка от действия не уравновешенной возвышением наружного рельса центробежной силы надрессорного строения, кН;

- нагрузка от надрессорного строения за счет действия силы ветра на боковую поверхность вагона, кН.
В выражении нагрузки на противоположную буксовую шейку два последних члена уравнения (Г.1) принимают со знаком минус.
P(P1) - вертикальная сила, действующая на буксовую шейку оси
со стороны набегающего (сбегающего) колеса;
S(S1) - вертикальная сила, действующая на набегающее
(сбегающее) колесо от рельса; H - поперечная составляющая
силы трения внутреннего колеса о рельс; Y' - боковая сила,
действующая от рельса на набегающее колесо; Yi - поперечная
сила инерции колесной пары; Yр - рамная сила; l - расстояние
от середины буксовой шейки до плоскости круга катания
соседнего колеса; l1 - расстояние между линиями приложения
вертикальной нагрузки к буксовым шейкам оси колесной пары;
ls - расстояние между плоскостями кругов катания колесной
пары; G0 - масса части оси, заключенной между плоскостями
кругов катания колес; Gw - масса колеса
Рисунок Г.2 - Схема действия сил на колесную пару
Вертикальную силу, действующую на буксовую шейку оси со стороны набегающего колеса P', кН, при ускорении буксы, направленном вниз, вычисляют по формуле
P' = P - 2Pi. (Г.2)
Вертикальную силу, действующую на набегающее колесо от рельса S, кН, при ускорении буксы, направленном вверх, вычисляют по формуле

. (Г.3)
Для колесной пары с тормозными дисками, расположенными на оси между ходовыми колесами (см. рисунок Г.3), формулу (Г.3) дополняют слагаемым

, (Г.4)
где i - количество тормозных дисков, установленных на оси.
P(P1) - вертикальная сила, действующая на буксовую шейку оси
со стороны набегающего (сбегающего) колеса;
S(S1) - вертикальная сила, действующая на набегающее
(сбегающее) колесо от рельса; H - поперечная составляющая
силы трения внутреннего колеса о рельс; Y' - боковая сила,
действующая от рельса на набегающее колесо; Yi - поперечная
сила инерции колесной пары; Yр - рамная сила; l - расстояние
от середины буксовой шейки до плоскости круга катания
соседнего колеса; l1 - расстояние между линиями приложения
вертикальной нагрузки к буксовым шейкам оси колесной пары;
ls - расстояние между плоскостями кругов катания колесной
пары; G0 - масса части оси, заключенной между плоскостями
кругов катания колес; Gb - масса тормозного диска; lb1, lb2,
lb3 - расстояния от центров тяжести тормозных дисков
до сбегающего колеса
Рисунок Г.3 - Схема действия нагрузок на колесную пару
с тремя тормозными дисками, расположенными на оси
При вычислении силы S', действующей на набегающее колесо от рельса, при ускорении буксы, направленном вниз, в формуле (Г.3) используют вместо силы P силу P', а в формулах (Г.3) и (Г.4) коэффициент jv учитывают с противоположным знаком.
При расчете НДС осей в формуле (Г.3) исключают последний член [Gwg(jv + 1)].
Боковую силу, действующую на набегающее колесо от рельса, Y', кН, вычисляют по формуле
Y' = Yр + Yi + H, (Г.5)
где

- рамная сила, кН;

- поперечная сила инерции колесной пары и жестко связанных с ней частей, возникающая при прохождении горизонтальных неровностей пути, кН;

- поперечная составляющая силы трения внутреннего колеса о рельс, кН.
Г.2.3 НДС колеса определяют расчетом в упругой и упругопластической области с использованием метода конечных элементов (МКЭ). В результате расчета определяют напряжения:
- номинальные по направлению трех осей координат

,

,

;
- эквивалентные

;
- средние и амплитудные значения номинальных и главных напряжений за оборот колеса.
Г.2.4 При расчете НДС оси в составе колесной пары расчетные нагрузки прикладывают в виде сосредоточенных сил и моментов по схемам, приведенным на рисунках Г.2 и Г.3. В ходе проектирования для получения предварительных результатов расчет может быть проведен для оси, схематизированной в виде ступенчатого стержня переменного сечения. При окончательном расчете может быть использован МКЭ.
Расчетные изгибающие моменты при всех схемах нагружения вычисляют в сечениях:
- буксовой шейки MА, кН·м, по формуле
MА = P·lА; (Г.6)
- предподступичной части MБ, кН·м, по формуле
MБ = P·lБ; (Г.7)
- подступичной части оси MВ, кН·м, по формуле
MВ = P·l + Y'·r; (Г.8)
- заподступичной части оси:
а) MГ, кН·м, при ускорении буксы со стороны набегающего колеса, направленном вверх, по формуле
MГ = P·lГ + Y'·r - S(lГ - l); (Г.9)
б) M'Г, кН·м, при ускорении буксы со стороны набегающего колеса, направленном вниз, по формуле
M'Г = P'·lГ + Y'·r - S'(lГ - l). (Г.10)
Для колесных пар с тормозными дисками, расположенными на оси (см. рисунок Г.3), расчетный изгибающий момент в сечении заподступичной части шейки оси под ближний к набегающему колесу тормозной диск вычисляют:
- MД, кН·м, при ускорении буксы со стороны набегающего колеса, направленном вверх, по формуле

; (Г.11)
- M'Д, кН·м, при ускорении буксы со стороны набегающего колеса, направленном вниз, по формуле

. (Г.12)
Необходимо проводить расчет для других наименее прочных сечений исходя из конструкции конкретной оси.
В других сечениях оси изгибающие моменты от действия закрепленных на оси деталей и узлов вычисляют по формулам, аналогичным приведенным выше.
Расчетные амплитуды напряжений

, кПа, во всех сечениях в нормированных расчетных режимах вычисляют по одной из формул:
- для сплошной оси

; (Г.13)
- для полой оси

(Г.14)
где Mj - изгибающий момент в расчетном сечении j, кН·м;
dj - диаметр оси в расчетном сечении j, м;

- уменьшение диаметра оси в расчетном сечении
j, допускаемое при ремонте, м;
d0 - внутренний диаметр полой оси, м.
Г.3 Экспериментальный метод определения пределов выносливости оси и колеса
Г.3.1 Определение пределов выносливости оси и колеса проводят путем натурных испытаний на усталость при имитации их эксплуатационного нагружения в составе колесной пары, то есть при регулярном знакопеременном круговом изгибе на базе испытаний:
- для колес - 20 млн циклов;
- для осей - не менее 50 млн циклов.
Г.3.2 Для определения предела выносливости оси или колеса необходимо использовать не менее трех образцов каждого типа.
Образцы натурных колес и осей при проведении испытаний на усталость должны соответствовать технологии изготовления и техническим требованиям, применяемым при изготовлении колесной пары и ее составных частей (колеса и оси). Общий вид образцов для испытаний приведен на рисунке Г.4.
а)
1 - ступица-захват; 2 - испытуемая ось
б)
1 - испытуемое колесо; 2 - вспомогательная ось
Рисунок Г.4 - Примеры образцов оси и колеса для испытаний
на усталость
Г.3.3 Испытательное оборудование должно воспроизводить условия испытаний, обеспечивая приложение к оси или колесу кругового изгибающего момента, имитирующего движение колесной пары в эксплуатации.
Г.3.4 Образец оси или колеса устанавливают на испытательное оборудование в соответствии с требованиями 4.4.
Для контроля амплитуд напряжений, действующих в расчетных сечениях оси или диска колеса, на их поверхность устанавливают однокомпонентные (ось) или двухкомпонентные (колесо) розетки тензорезисторов.
Один или два образца испытывают при напряжениях, соответствующих минимальному пределу выносливости, необходимому для получения минимального коэффициента запаса сопротивления усталости. Остальные образцы испытывают при напряжениях, увеличенных относительно минимального предела выносливости от 10% до 15%.
Г.3.5 Задают требуемую ступень нагружения и регистрируют количество циклов до повреждения испытуемого объекта или до прохождения базы испытаний.
За предел выносливости принимают максимальное напряжение цикла, при котором еще не происходит усталостного разрушения объекта до базы испытаний.
Г.3.6 Результаты испытаний оформляют протоколом с представлением полученного предела выносливости оси

или колеса

.
Полученные пределы выносливости используют при оценке прочности оси и колеса колесной пары по Г.5.
Г.4 Расчет коэффициентов запаса статической прочности
Г.4.1 Коэффициент запаса статической прочности диска цельного колеса nк вычисляют по формуле

, (Г.15)
где

- предел текучести материала, МПа;

- максимальные суммарные эквивалентные напряжения, МПа;
[nк] - допускаемый коэффициент запаса статической прочности диска колеса.
Г.4.2 Коэффициент запаса статической прочности оси nо вычисляют по формуле

, (Г.16)
где

- предел текучести оси при изгибе, МПа;

- максимальные напряжения, действующие при эксплуатации, МПа;
[nо] - допускаемый коэффициент запаса статической прочности оси.
Г.5 Расчет коэффициентов запаса сопротивления усталости
Г.5.1 Коэффициент запаса сопротивления усталости колеса nук вычисляют по формуле

, (Г.17)
где

- предел выносливости в амплитудах цикла, полученный при стендовых испытаниях натурного колеса при асимметричном цикле нагружения регулярным круговым изгибом, МПа;

- расчетное наибольшее значение амплитуды напряжений от динамических эксплуатационных нагрузок в выбранной точке колеса в нормированном режиме нагружения, МПа;
k2 - коэффициент, учитывающий зависимость сопротивления усталости от значения суммарного среднего напряжения цикла, определенного в расчетном эксплуатационном режиме;
k1 - коэффициент, учитывающий зависимость сопротивления усталости от значения суммарного среднего напряжения цикла, имевшего место при стендовых испытаниях натурных образцов колес;
[nук] - допускаемый коэффициент запаса сопротивления усталости колеса.
Коэффициенты k1 и k2 вычисляют по формуле

, (Г.18)
где

- суммарное среднее напряжение цикла, МПа (напряжения растяжения принимают со знаком плюс, сжатия - со знаком минус).
Амплитуду напряжений

, МПа, вычисляют по формуле

, (Г.19)
где

,

- напряжения при положении расчетного сечения колеса относительно точки контакта колеса с рельсом в процессе вращения под углами соответственно 0° и 180° (за оборот колеса), МПа.
Средние напряжения цикла

, МПа, вычисляют по формуле

. (Г.20)
Г.5.2 Коэффициент запаса сопротивления усталости оси nуо вычисляют по формуле

, (Г.21)
где

- предел выносливости оси в расчетном сечении
j, полученный при стендовых натурных испытаниях при асимметричном цикле нагружения регулярным круговым изгибом, МПа;

- наибольшие амплитуды напряжений в расчетном сечении
j в нормированных расчетных режимах, МПа;

- допускаемый коэффициент запаса сопротивления усталости оси в расчетном сечении
j".
Приложение Ж. Заменить по всему тексту приложения слова: "формуляр" и "паспорт" на "паспорт (формуляр)".
"Приложение И
(справочное)
ПРИМЕРЫ ОПРЕДЕЛЕНИЯ ГОДНОСТИ ПРЕССОВЫХ СОЕДИНЕНИЙ, ДИАГРАММЫ
ЗАПРЕССОВКИ КОТОРЫХ ИМЕЮТ ОТКЛОНЕНИЯ ОТ НОРМАЛЬНОЙ ФОРМЫ
Таблица И.1
Описание | Графический пример |
1 Диаграмма запрессовки колеса на ось с резкими колебаниями усилия. Соединение подлежит браковке | |
2 Скачок усилия в начале кривой запрессовки не более 49,0 кН (5 тс), отклонение направления линии начала запрессовки от направления оси усилий (ординат) координатной сетки не менее чем на 5° в сторону кривой по оси абсцисс. Соединение не подлежит браковке | |
3 Скачок усилия в начале кривой не более 98,1 кН (10 тс), параллельно линии конца запрессовки. Соединение не подлежит браковке | |
4 Скачок усилия на диаграмме в конце линии запрессовки. При этом значение конечного усилия определяется уровнем точки кривой, расположенной перед скачком. Соединение не подлежит браковке | |
5 Скачок усилия на любом участке кривой до 29,4 кН (3 тс), кроме начала и конца запрессовки. Соединение не подлежит браковке | |
6 Плавные колебания усилия на длине сопряжения: а) при постоянном повышении запрессовочного усилия (когда каждое последующее значение выше предыдущего); | а) |
б) при наличии на диаграмме одного горизонтального участка длиной не более 5 мм (или нескольких прямых участков суммарной длиной не более 5 мм) при масштабе диаграммы по длине 1 : 2 (при другом масштабе записи должен быть сделан пересчет допускаемой длины горизонтальной прямой). Соединение не подлежит браковке | б) |
7 Вогнутость линии запрессовки, если кривая располагается выше прямой, соединяющей начальную точку диаграммы с точкой, указывающей на данной диаграмме минимально допускаемое усилие запрессовки для данного диаметра подступичной части оси. Соединение не подлежит браковке | |
8 Местная вогнутость кривой запрессовки в первой половине диаграммы при отсутствии падения усилия. Соединение не подлежит браковке | |
9 Падение усилия запрессовки на длине сопряжения, не превышающее 9,81 кН (1 тс). Соединение не подлежит браковке | |
10 Пульсации кривой амплитудой не более 9,81 кН (1 тс). Соединение не подлежит браковке | |
11 Наличие усилия в начале записи холостого хода плунжера пресса. Соединение не подлежит браковке | |
Примечание - На диаграммах приведены следующие обозначения: Pзк - конечное усилие запрессовки;  ,  ,  ,  - усилия запрессовки; l1, l2, l3, l4 - длины горизонтальных участков;  - минимальное конечное усилие запрессовки; L - длина сопряжения. |
".
"[2] | | Технический регламент Таможенного союза "О безопасности высокоскоростного железнодорожного транспорта" (утвержден решением Комиссии Таможенного союза от 15 июля 2011 г. N 710)"; |
"[3]
Инструкция по техническому обслуживанию вагонов в эксплуатации (Инструкция осмотрщику вагонов) N 808-2017 ПКБ ЦВ (утверждена Советом по железнодорожному транспорту государств - участников Содружества.
Протокол от 21 - 22 мая 2009 г. N 50)
[4]
РД ВНИИЖТ 27.05.01-2017 Руководящий документ по ремонту и техническому обслуживанию колесных пар с буксовыми узлами грузовых вагонов магистральных железных дорог колеи 1520 (1524) мм (утвержден Советом по железнодорожному транспорту государств - участников Содружества.
Протокол от 19 - 20 октября 2017 г. N 67)
[5] Руководящий
документ по ремонту и техническому обслуживанию колесных пар с буксовыми узлами пассажирских вагонов магистральных железных дорог колеи 1520 (1524) мм (утвержден Советом по железнодорожному транспорту государств - участников Содружества. Протокол от 4 - 5 ноября 2015 г. N 63)".