Главная // Актуальные документы // ПравилаСПРАВКА
Источник публикации
М., 2018
Примечание к документу
Документ включен в
Перечень документов в области стандартизации, в результате применения которых на добровольной основе обеспечивается соблюдение требований Федерального
закона от 30.12.2009 N 384-ФЗ "Технический регламент о безопасности зданий и сооружений" (
Приказ Росстандарта от 02.04.2020 N 687).
Документ
введен в действие с 11 июня 2019 года.
Название документа
"СП 425.1325800.2018. Свод правил. Инженерная защита территорий от эрозионных процессов. Правила проектирования"
(утв. и введен в действие Приказом Минстроя России от 10.12.2018 N 797/пр)
"СП 425.1325800.2018. Свод правил. Инженерная защита территорий от эрозионных процессов. Правила проектирования"
(утв. и введен в действие Приказом Минстроя России от 10.12.2018 N 797/пр)
Утвержден и введен в действие
и жилищно-коммунального хозяйства
Российской Федерации
от 10 декабря 2018 г. N 797/пр
СВОД ПРАВИЛ
ИНЖЕНЕРНАЯ ЗАЩИТА ТЕРРИТОРИЙ ОТ ЭРОЗИОННЫХ ПРОЦЕССОВ
ПРАВИЛА ПРОЕКТИРОВАНИЯ
Engineering protection of territories from erosion.
Design rules
СП 425.1325800.2018
Дата введения
11 июня 2019 года
Сведения о своде правил
1 ИСПОЛНИТЕЛИ - АО "НИЦ "Строительство" - НИИОСП им. Н.М. Герсеванова, ООО "НТЦ ГеоПроект"
2 ВНЕСЕН Техническим комитетом по стандартизации ТК 465 "Строительство"
3 ПОДГОТОВЛЕН к утверждению Департаментом градостроительной деятельности и архитектуры Министерства строительства и жилищно-коммунального хозяйства Российской Федерации (Минстрой России)
4 УТВЕРЖДЕН
приказом Министерства строительства и жилищно-коммунального хозяйства Российской Федерации от 10 декабря 2018 г. N 797/пр и введен в действие с 11 июня 2019 г.
5 ЗАРЕГИСТРИРОВАН Федеральным агентством по техническому регулированию и метрологии (Росстандарт)
6 ВВЕДЕН ВПЕРВЫЕ
В случае пересмотра (замены) или отмены настоящего свода правил соответствующее уведомление будет опубликовано в установленном порядке. Соответствующая информация, уведомление и тексты размещаются также в информационной системе общего пользования - на официальном сайте разработчика (Минстрой России) в сети Интернет
Настоящий свод правил разработан с учетом требований федеральных законов от 30 декабря 2009 г.
N 384-ФЗ "Технический регламент о безопасности зданий и сооружений", от 27 декабря 2002 г.
N 184-ФЗ "О техническом регулировании", от 21 июля 1997 г.
N 117-ФЗ "О безопасности гидротехнических сооружений".
Настоящий свод правил разработан в развитие
СП 116.13330.2012 "СНиП 22-02-2003 Инженерная защита территорий, зданий и сооружений от опасных геологических процессов. Основные положения" в целях конкретизации положений по проектированию инженерной защиты территорий от эрозионных процессов.
Свод правил разработан авторским коллективом: АО "НИЦ "Строительство" - НИИОСП им. Н.М. Герсеванова (канд. техн. наук И.В. Колыбин, канд. техн. наук Д.Е. Разводовский, канд. техн. наук В.Г. Федоровский, канд. техн. наук С.В. Курилло, канд. техн. наук Г.А. Бобырь) и ООО "НТЦ ГеоПроект" (д-р техн. наук С.И. Маций, канд. техн. наук О.Ю. Ещенко, канд. техн. наук Н.Н. Любарский, канд. техн. наук Д.В. Плешаков, В.Ю. Тимошенко).
Настоящий свод правил распространяется на проектирование систем, объектов, сооружений и мероприятий инженерной защиты территорий от эрозионных процессов.
В настоящем своде правил использованы нормативные ссылки на следующие документы:
ГОСТ 17.4.2.01-81 Охрана природы. Почвы. Номенклатура показателей санитарного состояния
ГОСТ 17.4.2.02-83 Охрана природы. Почвы. Номенклатура показателей пригодности нарушенного плодородного слоя почв для землевания
ГОСТ 22.0.03-97 Безопасность в чрезвычайных ситуациях. Природные чрезвычайные ситуации. Термины и определения
ГОСТ 5180-2015 Грунты. Методы лабораторного определения физических характеристик
ГОСТ 12038-84 Семена сельскохозяйственных культур. Методы определения всхожести
ГОСТ 24909-81 Саженцы деревьев декоративных лиственных пород. Технические условия
ГОСТ 25769-83 Саженцы деревьев хвойных пород для озеленения городов. Технические условия
ГОСТ 26712-94 Удобрения органические. Общие требования к методам анализа
ГОСТ 26869-86 Саженцы декоративных кустарников. Технические условия
ГОСТ 28055-89 Саженцы деревьев и кустарников. Садовые и архитектурные формы. Технические условия
ГОСТ 32836-2014 Дороги автомобильные общего пользования. Изыскания автомобильных дорог. Общие требования
ГОСТ Р 52325-2005 Семена сельскохозяйственных растений. Сортовые и посевные качества. Общие технические условия
ГОСТ Р 55028-2012 Дороги автомобильные общего пользования. Материалы геосинтетические для дорожного строительства. Классификация, термины и определения
СП 21.13330.2012 "СНиП 2.01.09-91 Здания и сооружения на подрабатываемых территориях и просадочных грунтах" (с изменением N 1)
СП 23.13330.2011 "СНиП 2.02.02-85* Основания гидротехнических сооружений" (с изменением N 1)
СП 25.13330.2012 "СНиП 2.02.04-88 Основания и фундаменты на вечномерзлых грунтах" (с изменением N 1)
СП 47.13330.2016 "СНиП 11-02-96 Инженерные изыскания для строительства. Основные положения"
СП 58.13330.2012 "СНиП 33-01-2003 Гидротехнические сооружения. Основные положения" (с изменением N 1)
СП 116.13330.2012 "СНиП 22-02-2003 Инженерная защита территорий, зданий и сооружений от опасных геологических процессов. Основные положения"
Примечание - При пользовании настоящим сводом правил целесообразно проверить действие ссылочных документов в информационной системе общего пользования - на официальном сайте федерального органа исполнительной власти в сфере стандартизации в сети Интернет или по ежегодному информационному указателю "Национальные стандарты", который опубликован по состоянию на 1 января текущего года, и по выпускам ежемесячного информационного указателя "Национальные стандарты" за текущий год. Если заменен ссылочный документ, на который дана недатированная ссылка, то рекомендуется использовать действующую версию этого документа с учетом всех внесенных в данную версию изменений. Если заменен ссылочный документ, на который дана датированная ссылка, то рекомендуется использовать версию этого документа с указанным выше годом утверждения (принятия). Если после утверждения настоящего свода правил в ссылочный документ, на который дана датированная ссылка, внесено изменение, затрагивающее положение, на которое дана ссылка, то это положение рекомендуется применять без учета данного изменения. Если ссылочный документ отменен без замены, то положение, в котором дана ссылка на него, рекомендуется применять в части, не затрагивающей эту ссылку. Сведения о действии сводов правил целесообразно проверить в Федеральном информационном фонде стандартов.
3.1 выветривание: Совокупность процессов физического, химического и биологического разрушения минералов и горных пород верхней части литосферы под влиянием колебаний температуры, влажности, воздействия газов (атмосферных и растворенных в воде), растений и т.п.
3.2 габионная конструкция: Объемная сетчатая конструкция различной формы из проволочной крученой сетки с шестиугольными ячейками, заполненными камнем.
3.3 габион матрацно-тюфячного типа: Сетчатый контейнер из металлической сетки двойного кручения, с относительно малой высотой по отношению к другим размерам, заполняемый каменными материалами.
3.4 гидропосев: Способ посева семян многолетних трав с использованием гидросеялки.
3.5 дефляция: Процесс разрушения и сноса поверхностных грунтов под воздействием ветра.
3.6 капельная эрозия: Разрушение поверхностных грунтов под воздействием дождевых капель.
3.7 линейная эрозия: Размыв пород сосредоточенными водными потоками.
3.8 оплывина: Перемещение в виде потока насыщенных водой до текучего состояния некоторых разновидностей песчано-глинистых пород нарушенной структуры (пылеватых песков и глин, лессовидных суглинков, лессов и т.п.), которые растекаются по площади (площадкам уступов) под углом 4° - 6° и менее.
3.9 плоскостная эрозия: Послойный смыв (размыв) пород рассредоточенными (рассеянными) водотоками.
3.10 противоэрозионная стойкость: Способность грунтов противостоять процессу эрозии.
3.11 противоэрозионные сооружения и мероприятия: Материалы и конструкции, направленные на защиту поверхностного слоя грунта.
3.12 склоновая эрозия: Размыв и смыв грунтов водными потоками, стекающими по склону.
3.13 эрозия: Смыв и размыв грунтов поверхностным стоком постоянных и временных водных потоков.
4.1 Настоящий свод правил регламентирует мероприятия и конструкции противоэрозионных сооружений инженерной защиты территорий от эрозионных процессов.
4.2 Мероприятия и конструкции противоэрозионных сооружений должны обеспечивать защиту от возникновения и развития эрозии и родственных процессов и проектироваться на основе и с учетом:
- природных условий;
- нагрузок и воздействий;
- особенностей эксплуатации;
- возможности использования местных строительных материалов;
- экологических требований.
4.3 При проектировании сооружений противоэрозионной защиты должны быть предусмотрены решения, обеспечивающие надежность, долговечность и экономичность в процессе строительства и эксплуатации сооружений. При проектировании необходимо учитывать местные условия строительства, а также имеющийся опыт проектирования, строительства и эксплуатации мероприятий и сооружений противоэрозионной защиты в аналогичных инженерно-геологических, гидрометеорологических и экологических условиях.
4.4 При этом следует выполнять технико-экономическое сравнение возможных вариантов проектных решений для выбора наиболее экономичного и надежного проектного решения, обеспечивающего наиболее полное использование прочностных и деформационных характеристик грунтов и физико-механических свойств материалов.
Окончательный вариант мероприятия и сооружения противоэрозионной защиты выбирается на основании:
- технико-экономического сопоставления с альтернативными вариантами, предусматривающими применение геосинтетических материалов, габионных конструкций и т.д.;
- стоимостных характеристик;
- эксплуатационных затрат;
- долговечности сооружения;
- экологичности применяемых материалов;
- ремонтопригодности конструкции, затрат на сооружение укрепления.
4.5 В рамках выполнения противоэрозионной защиты территорий для предохранения поверхностных грунтов от переувлажнения и размыва требуется предусматривать гидротехнические мероприятия (валы-террасы, водозадерживающие валы, нагорные канавы, распылители стока и т.д.).
4.6 Применяемые при строительстве материалы, изделия и конструкции должны удовлетворять требованиям проектной и рабочей документации, соответствующих стандартов и технических условий.
4.7 По согласованию с застройщиком (техническим заказчиком) в проектной и рабочей документации могут быть предусмотрены работы по выполнению мониторинга за состоянием сооружений инженерной защиты и эрозионных процессов, а также контроль за выполнением мероприятий инженерной защиты. Мониторинг требуется выполнять на стадиях выполнения инженерных изысканий, проектирования, строительства, реконструкции, капитального ремонта, ремонта, а также эксплуатации сооружений противоэрозионной защиты.
4.8 Также для территорий, где были проведены биологические типы укрепления, следует предусматривать уход и мониторинг их состояния. Уход за лесопосадками состоит в периодическом рыхлении почвы на глубину 50 - 100 мм, удалении сорняков, восстановлении посадочного субстрата и т.д.
4.9 При проектировании систем, объектов, сооружений и мероприятий инженерной защиты особо опасных, технически сложных и уникальных объектов, объектов, находящихся в особых условиях эксплуатации (подвергающихся сейсмическим воздействиям, интенсивным воздействиям температуры, радиации, агрессивных сред и др.), в районах развития иных опасных процессов и грунтов с особыми свойствами (просадочных, набухающих, многолетнемерзлых, засоленных и др.), а также на подрабатываемых территориях следует учитывать требования соответствующих сводов правил.
5 Особенности проведения инженерно-геологических изысканий
5.1 Принцип выполнения работ и состав инженерно-геологических изысканий
[1],
[2] на эрозионно-опасных территориях следует определять согласно
СП 47.13330 и другим нормативным документам. В рамках инженерно-геологических изысканий на территориях, подверженных процессам эрозии, следует выполнять:
- сбор и обработку фондовых материалов;
- дешифрирование аэро- и космоматериалов;
- рекогносцировочное обследование, включая аэровизуальные и маршрутные наблюдения;
- проходку горных выработок;
- геофизические исследования;
- полевые исследования грунтов;
- гидрогеологические исследования;
- стационарные наблюдения (мониторинг);
- лабораторные исследования;
- обследование грунтов оснований;
- составление прогноза изменений инженерно-геологических условий;
- камеральную обработку материалов и составление технического отчета (заключения).
5.2 Выполнение инженерно-геологических изысканий на территориях, подверженных эрозионным процессам, заключается в определении геолого-литологического строения грунтов, в рамках которого следует устанавливать:
- гранулометрический состав;
- удельный вес и плотность частиц;
- степень обводненности;
- угол естественного откоса (для несвязных пород);
- содержание засоленных грунтов.
5.3 В процессе рекогносцировочных обследований эрозионно-опасных территорий следует обращать особое внимание на приуроченность территорий к определенным стратиграфолитологическим комплексам пород, зонам тектонических нарушений, повышенной трещиноватости пород, геоморфологическим элементам, выходам подземных вод, карстовым, суффозионным и другим формам рельефа.
5.4 При описании эрозионно-опасных территорий требуется определять:
- состояние поверхностных грунтов;
- формы рельефа и его расчлененность;
- уклоны и экспозицию участков;
- закрепленность рельефа (степень задернованности, залесенности, застройки и т.д.);
- количество и интенсивность выпадения атмосферных осадков;
- количество и интенсивность прохождения временных водотоков.
В рамках рекогносцировочного обследования также следует определять другие параметры, которые влияют на интенсивность эрозии.
5.5 Исследование дисперсных грунтов необходимо проводить одновременно с изучением элементов и форм рельефа. При этом большое внимание должно уделяться:
- выявлению источников сноса, путей перемещения, последовательности накопления и мощности дисперсного материала в разрезе и площади, а также выделению литологических однородных фракций и ритмов;
- выяснению характера соотношения (перекрывание, срезание, замещение и т.п.) различных генетических типов.
Особое внимание следует обращать на изучение пород оползневого и обвального генезиса.
5.6 На территориях, подверженных плоскостной эрозии, особое внимание следует уделять инженерно-геологическому и геоботаническому описанию и опробованию верхней части (до 1 м) разреза с определением:
- состава, плотности, влажности и высоты капиллярного поднятия воды;
- размокаемости и размываемости грунтов;
- прочностных и фильтрационных характеристик грунтов;
- типов растительности.
5.7 Проходка горных выработок на эрозионно-опасных территориях выполняется в целях отбора проб грунта и выполнения лабораторных исследований для определения их размываемости. Проходку горных выработок следует проводить до отметки нижнего предела размыва.
5.8 При проведении инженерно-геологических изысканий в районах распространения засоленных грунтов должны быть установлены максимальные значения естественной влажности и степени засоления.
5.9 Уровень грунтовых вод и влажность грунтов должны быть определены в период наибольшего увлажнения, наблюдаемого в данной местности, а степень и качественный характер засоления - в период наибольшего соленакопления в верхних горизонтах.
5.10 При выполнении рекогносцировочного обследования на территориях с распространением засоленных грунтов выполняется картирование участков:
- стока атмосферных вод;
- водораздельных гребней;
- с длительным застоем воды.
5.11 Образцы грунтов для определения степени и типа засоления отбираются послойно, по генетическим горизонтам, но не реже чем через 0,2 м. Химический состав засоления определяют выборочно для 10% отобранных образцов. Для всех остальных проб допускается устанавливать только степень засоления.
5.12 Отбор средней пробы в шурфе проводят бороздой или путем квартования смесей послойных проб. Грунты резервов, кроме того, опробывают для определения естественной влажности, пределов пластичности, скорости разложения, объемного веса и оптимальной влажности при максимальной плотности (стандартное уплотнение).
6 Инженерная классификация эрозионных и родственных процессов
6.2 К родственным процессам эрозии относятся процессы солифлюкции, дефляции.
6.3 Причинами возникновения временных водотоков являются:
- атмосферные осадки (дожди, ливни);
- таяние снегов;
- воды орошения;
- грунтовые воды (выходящие на дневную поверхность);
- сточные воды;
- иные факторы.
6.4 Эрозию по форме проявления следует различать на капельную, плоскостную и линейную.
6.5 Линейную эрозию в зависимости от территории развития и стадии размыва поверхностных грунтов следует разделять на склоновую и глубинную. Начальной стадией линейной эрозии является возникновение промоин. В случае отсутствия своевременных мероприятий и сооружений противоэрозионной защиты при воздействии атмосферных осадков, таянии снегов, вод орошения и т.д. промоины углубляются (глубинная эрозия) и перерастают в овраги.
6.6 К промоинам относят размывы глубиной 0,3 - 1,5 м и шириной 0,5 - 5,0 м. Промоины группируют по глубине:
- на мелкие - глубиной до 0,7 м;
- глубокие - более 0,7 м.
6.7 Овраги классифицируют по их расположению относительно рельефа на склоновые и донные. Выделяют четыре стадии развития оврага:
- стадия промоины или рытвины;
- стадия врезания висячего оврага вершиной;
- стадия выработки профиля равновесия;
- стадия затухания.
6.8 К основным факторам возникновения эрозии относятся:
- климатические особенности территории;
- особенности рельефа территории;
- наличие и виды растительности;
- свойства поверхностных грунтов.
6.9 Из климатических особенностей наибольшее влияние на проявление эрозии оказывают атмосферные осадки. Значительное влияние на развитие эрозии оказывает характер осадков (кратковременные, продолжительные, малой интенсивности, интенсивные и т.д.). Развитие эрозии возникает при обильном выпадении кратковременных или продолжительных интенсивных ливневых осадков (таблица 6.1).
Таблица 6.1
Зависимость стока и смыва грунтов от интенсивности
выпадения атмосферных осадков
Интенсивность выпадения атмосферных осадков, мм/мин | Сток, % количества атмосферных осадков | Смыв грунтов, т/га |
0,25 | 5,0 | 0,22 |
0,50 | 19,0 | 0,75 |
1,0 | 56,0 | 6,6 |
2,0 | 61,0 | 35 |
6.10 На развитие процесса эрозии влияют степень континентальности климата и длительности весеннего снеготаяния. Степень континентальности климата следует определять согласно
ГОСТ 17.8.1.02.
6.11 От типа рельефа территории зависят размер и скорость поверхностного стока и, соответственно, скорость разрушения и сноса поверхностных грунтов водными потоками. Обычно при малых скоростях поток не оказывает значительного разрушающего влияния на поверхностные грунты.
6.12 Согласно
ГОСТ 32836 классифицируются следующие типы рельефа и свойственные ему диапазон углов наклона поверхности:
- плоскоравнинный - до 1°;
- равнинный - 1° - 2°;
- всхолмленный - 2° - 4°;
- пересеченный - 4° - 6°;
- горный и предгорный - более 6°.
6.13 Наибольшее влияние на скорость потока оказывают крутизна склона и его длина, с увеличением которых скорость потока резко возрастает (таблица 6.2).
Таблица 6.2
Степень смытости грунтов в зависимости от крутизны склона
Характеристика склонов | Крутизна | Степень смытости |
Ровные участки | Менее 1° | Отсутствует |
Пологие | 1° - 3° | Слабая |
Покатые | 3° - 5° | Средняя |
Крутые | 5° - 10° | Сильная |
Очень крутые | Более 10° | Очень сильная |
6.14 Отсутствие растительного покрова на склонах (откосах) крутизной более 1° - 2° приводит к постепенному разрушению (смыву) частиц грунта. Также крутизна склонов (откосов) влияет на типы укреплений и конструктивные особенности мероприятий и сооружений инженерной защиты (см.
разделы 7 и
9).
6.15 Наличие растительного покрова влияет на скорость эрозии. Основным инструментом противоэрозионной стойкости является корневая система растений, которая скрепляет структурные элементы грунтов. Наличие корневых систем увеличивает пористость и фильтрационную способность грунтов.
6.16 Противоэрозионная стойкость грунтов зависит от следующих свойств:
- гранулометрический состав и структура;
- фильтрация;
- пористость;
- влажность.
6.17 Также на противоэрозионную стойкость грунтов оказывает влияние состав поглощенных оснований. Содержание в грунтах катиона кальция увеличивает водопрочность агрегатов и снижает влияние эрозии. Содержание большого количества катионов натрия и магния приводит к снижению противоэрозионной стойкости грунтов.
6.18 Размер частиц грунтов влияет на противоэрозионную стойкость. С увеличением размера частиц дисперсного грунта снижаются их связность и фильтрационная способность, что приводит к развитию эрозии. Для песчаных грунтов ситуация противоположна: увеличение частиц приводит к увеличению фильтрационной способности и, следовательно, повышению противоэрозионной стойкости. Грунты, обогащенные пылеватыми частицами (0,001 - 0,005 мм), подвержены процессам эрозии.
6.19 Обводненные грунты обладают низкой фильтрационной способностью, что, в частности, приводит к интенсивному движению водных потоков и эрозии. Степень обводнения грунтов определяется коэффициентом водонасыщения и зависит от пористости поверхностных грунтов. Степень водонасыщения грунтов следует определять лабораторными исследованиями согласно
ГОСТ 5180.
6.20 Солифлюкция проявляется на склонах при перенасыщении грунтов атмосферными осадками. Также солифлюкция может протекать одновременно с эрозией при выпадении ливневых осадков и таянии снегов. В результате солифлюкции образуются различные солифлюкционные мезо- и микроформы рельефа - солифлюкционные террасы, натечные полосы, валы.
6.21 Солифлюкция возникает при наличии многолетнемерзлого криогенного водоупора. Для развития солифлюкции на территориях необходимы следующие условия:
- повышенная пылеватость отложений;
- наличие уклонов поверхности, обеспечивающих возможность течения увлажненных отложений (обычно 2° - 15°);
- отсутствие древесной и крупной кустарниковой растительности.
6.22 Процесс солифлюкции распространен в горных районах, на территории равнинных тундр, холодных горных и арктических пустынь, а также локально в таежной зоне.
6.23 По скорости развития солифлюкция классифицируется на медленную и быструю. Медленная солифлюкция подразделяется на аморфную и структурную.
6.24 Образование медленной аморфной солифлюкции характерно наличием многолетнемерзлого водоупора, способствующего переувлажнению пород. Факторами развития аморфного солифлюкционного течения являются:
- мощность сезонно-талого слоя (в пределах 0,3 - 0,7 м);
- состав пород;
- степень влажности;
- крутизна склона.
Территориально развитие медленной аморфной солифлюкции наблюдается в тундровой зоне и зоне горных тундр.
6.25 Медленная структурная солифлюкция наблюдается на территориях с несомкнутым травянисто-моховым покровом при мощности сезонно-талого слоя 0,5 - 0,8 м и более в мелкодисперсных и сильно увлажненных грунтовых отложениях. Развитие структурной солифлюкции наблюдается на пологих склонах (1° - 3°).
6.26 Быстрая солифлюкция развивается на очень крутых склонах, крутизной 15° - 20°, сложенных сильнольдистыми супесчано-суглинистыми породами. Быстрая солифлюкция развивается на территориях с близким залеганием к дневной поверхности залежей подземного льда или развитием в верхних горизонтах сильнольдистых дисперсных грунтов.
6.27 Дефляция характеризуется пороговой скоростью ветра, при которой начинаются отрыв, подъем и перенос в воздушном потоке частиц грунта. На интенсивность дефляции влияют следующие факторы:
- климатические условия защищаемой территории;
- гранулометрический состав;
- плотность минеральных частиц;
- сила сцепления;
- защищенность поверхностных грунтов;
- хозяйственная деятельность человека.
6.28 К основным факторам возникновения дефляции относятся:
- климатические характеристики (температура, влажность, скорость ветра и т.д.);
- рельеф территории проектирования;
- отсутствие растительности;
- свойства поверхностных грунтов.
6.29 Дефляция преобладает на территориях, подверженных:
- влиянию континентального климата;
- часто повторяющимся засухам;
- ветровым воздействиям (более 5 м/с) при отсутствии растительного покрова;
- резким сменам положительных дневных температур на отрицательные в ночное время при отсутствии растительного и снежного покрова.
6.30 Возникновение процесса дефляции характерно для территорий с засушливым климатом. Основным показателем засушливости территории является коэффициент увлажнения территории Kу, равный отношению суммы осадков к величине испаряемости. По значениям коэффициента увлажнения территории Kу классифицируют следующие территории потенциально возможной дефляции:
- при Kу >= 1,0 - территория отсутствия дефляции;
- при Kу = 1,0 - 0,3 - территория возможной дефляции;
- при Kу <= 0,3 - территория сильно выраженной дефляции.
6.31 Дефляция наблюдается преимущественно на равнинных территориях, а также при наличии ветроударных возвышений, пологоувалистых коридоров, расположенных вдоль направления ветровых воздействий.
6.32 Влияние растительности обусловлено снижением скорости ветра в приземном слое воздуха и скреплением поверхностных грунтов корнями. Биологические типы укрепления являются наиболее целесообразными и эффективными для предотвращения процесса дефляции. Как правило, в качестве противодефляционных мероприятий выполняют насаждение из древесной и травянистой растительности (см.
разделы 7 и
9).
6.33 Дефляционные процессы наблюдаются на территориях:
- с отсутствием озимой растительности;
- со слабым развитием корневых систем растений;
- с изреженным растительным покровом;
- с расположением лесонасаждений (лесных полос), кустарников и другой растительности вдоль господствующего направления ветра.
Также дефляция наблюдается на безлесных территориях с высоким содержанием обрабатываемых земель (70% - 90%).
6.34 К основным характеристикам поверхностных грунтов, влияющим на возникновение дефляции, относятся:
- гранулометрический и агрегатный состав;
- структура;
- содержание карбонатов;
- состав поглощенных оснований;
- солонцеватость.
6.35 Следует различать физическое, химическое и биологическое (органическое) выветривание. Данные процессы обычно проявляются совместно.
6.36 Факторами возникновения физического выветривания являются процессы, связанные с температурным режимом, а именно: термическое и морозное выветривание.
6.37 Процесс термического выветривания характеризуется суточными и сезонными колебаниями температур, которые приводят к переменному нагреванию и охлаждению дневной поверхности, сложенной преимущественно горными породами. При воздействии температурных колебаний происходят процессы расширения и сжатия пород, что в течение определенного времени приводит к возникновению различных деформаций, в частности трещин и шелушения (отслаивания).
6.38 Повышенная интенсивность термического выветривания наблюдается на территориях с резко континентальным климатом (пустынных, полупустынных и высокогорных).
6.39 На интенсивность термического выветривания влияют следующие факторы:
- минеральный состав;
- структура и текстура горных пород;
- водоотдача и влагоемкость;
- степень трещиноватости горных пород.
В наибольшей степени подвержены термическому выветриванию крупнозернистые полиминеральные породы, а также слоистые, сланцевые и сильнотрещиноватые породы.
6.40 Для холодных климатических зон с сезонными колебаниями температур характерно возникновение морозного выветривания. Морозное выветривание возникает при последовательном замерзании и оттаивании воды, заключенной в трещинах и порах горных пород. Морозное выветривание является основным способом разрушения горных пород на субполярных и полярных территориях.
7 Классификация противоэрозионных мероприятий и сооружений
7.1 Противоэрозионные мероприятия
7.1.1 Инженерная защита территорий от эрозионных процессов включает выполнение соответствующих мероприятий и устройство инженерных сооружений. К противоэрозионным мероприятиям инженерной защиты следует относить:
- биологические типы укреплений;
- планировку территорий и водоотводные мероприятия.
Противоэрозионные сооружения следует разделять:
- на защитные покрытия и закрепления грунтов;
- комбинированные конструкции;
- конструкции из габионов матрацно-тюфячного типа;
- решетчатые конструкции.
Для территорий сельскохозяйственного назначения к мероприятиям по инженерной защите от эрозионных процессов следует также относить агрокультурные мероприятия (чередование сельскохозяйственных культур (севооборот), применение соответствующих методов обработки и пр.).
7.1.2 Биологические типы укрепления
7.1.2.1 Биологические типы укреплений выполняются путем посева семян:
- многолетних трав;
- древесных растений (кустарники, деревья, лианы и т.д.).
Укрепление эрозионно-опасных территорий многолетними травами следует выполнять:
- механизированным посевом;
- гидропосевом;
- одерновкой.
7.1.2.2 При укреплении эрозионно-опасных территорий посадкой древесных растений допускаются:
- посадка кустарника;
- лесопосадка;
- плетневое укрепление;
- укрепление хлыстами;
- укрепление хворостяной выстилкой.
7.1.2.3 Посадка древесных растений предназначена для укрепления территорий, сложенных грунтами, склонных к возникновению оплывин.
7.1.2.4 Плетневые укрепления, укрепление хлыстами, хворостяные выстилки, а также их сочетания применяют для укрепления территорий, подвергающихся регулярному воздействию ливней.
7.1.2.5 При посеве многолетних трав к числу наиболее эффективных относятся следующие травы: овсяница луговая, овсяница красная и ампле, райграс пастбищный и райграс многоукосный, мятлик луговой, мятлик обыкновенный, полевица белая, полевица обыкновенная, полевица побегоносная, тимофеевка.
7.1.2.6 Посев проводится ранней весной или в августе - сентябре в тихую, безветренную погоду. Для равномерного посева необходимо одну половину семян высевать в одном направлении, а вторую половину - в противоположном.
7.1.2.7 Равномерность посева трав достигается первоначальным высевом и заделкой сначала крупных семян, а затем мелких.
7.1.2.8 Посадку многолетних трав гидропосевом допускается выполнять на территориях с высотой склонов до 12 м и крутизной 1:1,5 - 1:1.
7.1.2.9 Для быстрого озеленения и закрепления крутых склонов (откосов) применяют одерновку. Источниками дернины являются естественные луга, участки культурного газона и профильные хозяйства по выращиванию дернины.
7.1.2.10 Конструкция укрепления при одерновке включает:
- пластины, полосы, рулоны готового дерна;
- слой растительного грунта (торфогрунтовой смеси) для заполнения швов и пространства между дерниной, для создания слоя растительного грунта на поверхности откоса (при необходимости);
- крепление в виде кольев, спиц, анкеров, шпилек и т.д. длиной 200 - 300 мм;
- семена трав для подсева.
7.1.2.11 Эффективным заменителем лугового дерна являются торфодерновые ковры, представляющие собой специально выращенную на торфяной основе тонкую (толщиной до 30 мм) дернину. Они эластичны, легко сворачиваются в рулоны, имеют требуемый состав травостоя.
Торфодерновые ковры выращиваются непосредственно на торфяной залежи верхового типа или специальных полигонах (площадках с цементобетонным или пленочным покрытием) с использованием низинного торфа. Процесс одерновки откоса торфодерновыми коврами аналогичен использованию лугового дерна. Размеры ковров устанавливаются в зависимости от их прочности: 0,5 x 1,0 м или 1,0 x 1,5 м. Транспортируются торфодерновые ковры свернутыми в рулоны.
7.1.2.12 Посадку древесных растений (кустарники, деревья, лианы и т.д.) обычно выполняют на склонах крутизной более 3° для предупреждения эрозии и дефляции, а также для защиты от разрушающего действия растущих оврагов, размываемых балок, селевых потоков и оползней.
7.1.2.13 В качестве посадки древесных растений используются в первую очередь быстрорастущие, быстроукореняющиеся и корнеотпрысковые породы (акация белая, аморфа, айва обыкновенная, барбарис, бирючина, боярышник, бузина красная, вишня степная, береза обыкновенная, жимолость обыкновенная, ирга обыкновенная, ирга остролистная, ива пурпурная, калина, клен татарский, лох узколистный, облепиха, сирень, скумпия, смородина золотистая, терн, черемуха поздняя, шиповник, яблоня дикая и т.д.).
7.1.2.14 В трудных лесорастительных условиях посадка древесных растений допускается в наиболее увлажненных грунтах. Рекомендуется выше по склону высаживать корнеотпрысковые породы кустарников, а ниже - древесные породы.
7.1.2.15 Допускается применять загущенные посевы древесных и кустарниковых пород, имеющих недорогие семена с высокой грунтовой всхожестью и всходы, устойчивые к трудным лесорастительным условиям (акация желтая, аморфа, клен ясенелистный и др.).
7.1.2.16 Для закрепления растущих оврагов и размываемых балок создаются приовражные и прибалочные лесные полосы, а при благоприятных условиях - плодовоягодные насаждения и насаждения из быстрорастущих пород по откосам и дну оврагов.
7.1.3 Планировка территорий и водоотводные мероприятия
7.1.3.1 Изменение рельефа эрозионно-опасных территорий следует проектировать преимущественно при полускальных и дисперсных грунтах в отсутствие стесняющих условий.
7.1.3.2 Изменение рельефа посредством уменьшения угла наклона их поверхности (уположения) следует проектировать для сравнительно невысоких (до 12 - 15 м) склонов:
- в случае сложения их грунтами, дающими в процессе выветривания мелкие обломки (например, сланцами, мергелями, аргиллитами и т.д.), при доведении крутизны уполаживаемого участка до угла, меньшего угла естественного склона (откоса) грунтов, слагающих его;
- при совпадении основной ярко выраженной системы поверхностей ослабления (трещин, слоистости) с поверхностью уполаживаемого склона (откоса); при этом допускается создание как постоянного заложения по всей высоте уполаживаемого откоса, так и ломаного.
7.1.3.3 Проектирование рельефа высотой более 12 - 15 м должно осуществляться путем террасирования или уположения. Размеры террас и расстояния между ними по высоте обусловливаются способом производства земляных работ и условиями механизированной очистки откосов уступов от неустойчивых обломков горных пород в процессе эксплуатации. Высота уступов должна приниматься не менее 7 - 8 м, а ширина полок - не менее 5 - 8 м. Крутизна откосов уступов террас должна определяться расчетом. Водоотвод с полок (террас) следует предусматривать за счет придания им продольного и поперечного уклона, а также прокладкой канав и лотков.
7.1.3.4 Водоотводные мероприятия выполняют в целях отвода временных водотоков с территорий, подверженных эрозии. В рамках противоэрозионной защиты в состав работ по проектированию водоотводных устройств входят:
- определение объема стока к водоотводным устройствам водосборного бассейна;
- выбор вида, размеров и местоположения водоотводного устройства;
- назначение продольного уклона и скорости течения воды, исключающих возможность заиливания или размыва русла при принятом типе укрепления откосов и дна.
7.1.3.5 Минимальные размеры и другие параметры водоотводных устройств следует назначать на основе гидравлических расчетов.
7.1.3.6 По месту создания водоотводные сооружения можно классифицировать на сооружения на водосбросной площади и вершинные водосбросные сооружения.
7.1.3.7 На водосбросной площади в рамках противоэрозионной защиты устраивают земляные сооружения, которые по характеру воздействия на сток делятся на следующие виды:
- сооружения, задерживающие поверхностный сток (валы-террасы, водозадерживающие валы);
- сооружения, обеспечивающие безэрозионный сброс поверхностного стока (распылители стока и нагорные канавы).
7.2 Противоэрозионные сооружения
7.2.1 Защитные покрытия и закрепление грунтов
7.2.1.1 Защитные покрытия и закрепление грунтов применяют для повышения местной устойчивости склонов (откосов), консолидации массивов, предотвращения эрозии, уменьшения инфильтрации в грунт поверхностных вод, предотвращения выветривания и т.д.
7.2.1.2 Защитные покрытия и закрепление грунтов выполняют путем:
- пневмонабрызга;
- инъектирования и заделки трещин (углублений).
7.2.1.3 Пневмонабрызг применяют для создания защитных покрытий на относительно ровных склонах (откосах) высотой 5 - 20 м. Покрытие из пневмонабрызга выполняют путем нанесения вяжущих на защищаемую поверхность по предварительно навешенной на склоне (откосе) и закрепленной анкерами металлической сетке.
7.2.1.4 Инъектирование и заделку трещин (углублений) применяют для закрепления скальных трещиноватых склонов (откосов) и выполняют путем инъекции или заполнения их вяжущими. Инъектирование применяют при наличии сквозной системы трещиноватости, позволяющей раствору, нагнетаемому через скважины, проникнуть во все или большинство прилегающих трещин. В противном случае, а также при наличии крупных трещин (углублений) выполняют их заделку с дневной поверхности.
7.2.2 Комбинированные конструкции
7.2.2.1 К комбинированным относятся конструкции, состоящие из геосинтетического каркаса, заполненного грунтом с семенами растений или без них в зависимости от условий применения конструкции. Противоэрозионные комбинированные сооружения следует разделять:
- на конструкции, препятствующие размыву и смыву грунтов (биоматы, геоматы, георешетки, геосетки и т.д.);
- конструкции для отвода временных водотоков (геодрены).
7.2.2.2 Конструкции укрепления с использованием биоматов применяют для обеспечения местной устойчивости склонов (откосов).
Как правило, биоматы состоят из следующих элементов:
- уплотненного поверхностного слоя грунта;
- волоконного мата толщиной 10 - 30 мм;
- монтажных и несущих анкеров длиной 200 - 400 мм;
- растительного грунта с семенами трав.
7.2.2.3 Применение биоматов целесообразно для территорий с неблагоприятными для развития травяного покрова климатическими условиями в случае:
- интенсивного размыва грунта для защиты семян от вымывания;
- защиты от эрозии на период формирования растительного покрова.
7.2.2.4 Геоматы чаще всего используют в комбинации с биологическими и водоотводными типами укрепления. В сочетании с биологическими типами укрепления в виде посева многолетних трав (механизированный посев по предварительно нанесенному на склоны (откосы) растительному грунту слоем не менее 100 - 150 мм с содержанием гумуса не менее 2%, гидропосев с мульчированием) геоматы допускается укладывать на поверхность склона под наносимый растительный грунт с посевом трав на его поверхность для создания более плотного травяного покрова, выравнивания влажностного режима.
7.2.2.5 Для районов с неблагоприятными климатическими условиями геоматы следует укладывать на поверхность растительного грунта с предварительным посевом под него многолетних трав. На поверхности геомата устраивают замыкающий грунтовый слой толщиной 50 - 100 мм.
7.2.2.6 Также к комбинированным конструкциям относятся сооружения на основе георешеток (геосеток).
7.2.2.7 Типовая конструкция укрепления эрозионных склонов представляет собой сплошное гибкое покрытие из георешетки (геосетки), повторяющее рельеф поверхности и включающее:
- дренирующую прослойку из рулонного геосинтетического нетканого материала, уложенную на уплотненный слой грунта;
- объемный модуль;
- заполнитель (растительный грунт с посевом семян; грунт, обработанный вяжущим; торфопесчаная смесь);
- монтажные анкеры;
- несущие анкеры;
- разделительную фильтрующую прослойку из геосинтетических материалов (при необходимости);
- упорную конструкцию (при необходимости).
7.2.2.8 Георешетки (геосетки) предназначены для объемного армирования грунта или материала заполнителя в целях образования композитного слоя, обладающего улучшенными по отношению к заполнителю эксплуатационными свойствами. Композитный слой обладает повышенной жесткостью, прочностью, распределяющей способностью, стойкостью к воздействию динамических нагрузок, поверхностному размыву, воздействию неравномерных деформаций.
7.2.2.9 Выбор типа георешетки (геосетки) определяется областью и условиями их применения. В зависимости от условий применения предъявляются требования к геометрическим параметрам и другим свойствам.
7.2.2.10 Согласно классификации
ГОСТ Р 55028 геодрены относятся к комбинированным геосинтетическим материалам, состоящим из дренажного ядра из геосинтетических материалов разных видов, формирующего объемную структуру, и расположенных над и под дренажным ядром слоев фильтра из нетканого геотекстильного материала. Дренажное ядро обеспечивает повышенную водопроницаемость в плоскости геодрены, фильтр - отсутствие (ограничение) кольматации геодрены частицами окружающего грунта.
7.2.2.11 Геодрены в рамках противоэрозионной защиты территорий выполняют функцию дренирования, а также гидроизоляции поверхностных грунтов. Основной целью применения геодрен является обеспечение осушения грунтов при повышенном притоке воды на эрозионно-опасные территории.
7.2.2.12 В зависимости от области применения, необходимости выполнения дополнительных функций гидроизоляции в дренажных системах могут применяться существенно различающиеся разновидности геодрен. Их объединяет наличие повышенной водопроницаемости минимум в одном направлении в плоскости полотна и высокой водопроницаемости фильтра нормально к плоскости полотна по крайней мере с одной стороны от дренажного ядра.
7.2.3 Конструкции из габионов матрацно-тюфячного типа
7.2.3.1 Габионные конструкции применяют в качестве противоэрозионного крепления, противоразмывного фартука в берегозащитных сооружениях. Они служат для облицовки каналов в водопропускных и водоотводных сооружениях.
7.2.3.2 По конструктивному исполнению в качестве противоэрозионных сооружений допускается применять габионы матрацно-тюфячного типа. Выделяют следующие особенности проектирования габионных конструкций матрацно-тюфячного типа:
- коэффициент пористости габионов при ручной укладке каменного материала должен составлять 0,25 - 0,35;
- матрацно-тюфячные габионы на крутых откосах следует закреплять к основанию несущими анкерами из арматуры длиной, определяемой согласно методике расчета, изложенной в
разделе 8;
- уклон естественных склонов и заложение откосов насыпей, защищаемых матрацно-тюфячными габионами, определяются в зависимости от устойчивости и прочности грунта основания.
7.2.3.3 Для заполнения габионов матрацно-тюфячного типа допускается использовать каменный материал метаморфических или изверженных пород.
7.2.4 Решетчатые конструкции
7.2.4.1 Допускается применение железобетонных решетчатых конструкций в качестве мероприятий противоэрозионной защиты при наличии интенсивного размыва грунта водными потоками.
7.2.4.2 Решетчатые конструкции следует применять для защиты территорий от эрозии взамен травосеяния и одерновки в случаях затрудненности или неэффективности посева многолетних трав, а также при отсутствии растительного грунта на территории.
7.2.4.3 Решетчатые конструкции представляют собой решетку с ячейками заданного размера, образованную сборными железобетонными элементами, объединенными стыками с забивкой металлических штырей или железобетонных сваек.
7.2.4.4 В качестве заполнителя ячеек решетчатых конструкций применяют растительный грунт, торфопесчаную смесь, местный непучинистый грунт с последующим механизированным посевом трав или гидропосевом.
8 Методы расчета противоэрозионных мероприятий и сооружений
8.1 Определение участков размыва поверхностными водами
8.1.1 Проектирование противоэрозионных сооружений и мероприятий на склонах (откосах) выполняют в целях предотвращения их размыва поверхностными водами.
8.1.2 Для определения мест возможного размыва склоны (откосы) следует разбивать на n участков.
Скорость воды на n-м участке устанавливают согласно выражению

(8.1)
где
mс - гидравлическая шероховатость склонов (откосов), принимаемая согласно
таблице 8.1;

- функция косого уклона поверхности, принимаемая по
таблице 8.2;
iст(n) - интенсивность стока на n-м участке, мм/мин.
Таблица 8.1
Гидравлическая шероховатость склонов (откосов)
Густота растительности | Значение mс |
Весьма редкая или отсутствует | 50 |
Обычная | 27 |
Густой травяной покров | 15 |
Таблица 8.2
Функции косого уклона поверхности
Косой уклон поверхности, % | | Косой уклон поверхности, % | | Косой уклон поверхности, % | | Косой уклон поверхности, % | | Косой уклон поверхности, % | |
2 и менее | 1,59 | 8 | 1,82 | 50 | 3,02 | 200 | 5,62 | 800 | 9,50 |
3 | 1,66 | 9 | 1,85 | 60 | 3,17 | 300 | 6,96 | 900 | 9,80 |
4 | 1,70 | 10 | 1,86 | 70 | 3,57 | 400 | 7,80 | 1000 и более | 10,0 |
5 | 1,74 | 20 | 2,14 | 80 | 3,59 | 500 | 8,40 |
6 | 1,78 | 30 | 2,40 | 90 | 3,80 | 600 | 9,00 |
7 | 1,80 | 40 | 2,75 | 100 | 3,98 | 700 | 9,20 |
8.1.3 Интенсивность стока определяют по формуле
iст(n) = iпв(n) - iвп(n), (8.2)
где iпв(n) - интенсивность поступления воды на n-м участке, мм/мин;
iвп(n) - интенсивность впитывания на n-м участке, мм/мин.
8.1.4 Интенсивность поступления воды на участок определяется непосредственным выпадением осадков и притоком воды с вышележащего участка.
8.1.5 Интенсивности поступления воды на водонепроницаемые типы покрытий (при пересечении дорог) определяют по формуле

(8.3)
где
iд - расчетная интенсивность дождя, мм/мин, принимаемая по
таблице 8.3;
a - витрина односкатной или половина двухскатной проезжей части по направлению косого уклона, м;
b - ширина обочин по направлению косого уклона, м.
Таблица 8.3
Расчетная интенсивность дождя
N района | Примерные географические границы района | Характеристика района |
Среднемноголетние значения интенсивности дождя продолжительностью 30 мин, мм/мин | Расчетная интенсивность дождя повторяемостью один раз в 50 лет, мм/мин |
1 | Северные области | 0,1 - 0,3 | 0,5 |
2 | Урал, Южная половина Сибири | 0,4 - 0,6 | 1,0 |
3 | Центральные области Европейской части | 0,7 - 0,9 | 1,5 |
8.1.6 Интенсивность поступления воды определяют по формулам:
- для участка n = 2:

(8.4)
- для участка n = 3:
iпв(n) = iд + iст(n-1), (8.5)
| | ИС МЕГАНОРМ: примечание. Текст дан в соответствии с официальным текстом документа. | |
где iпв(n), iпв(n-1) - интенсивность поступления воды на ниже- и вышележащие участки, мм/мин;
iст(n), iст(n-1) - интенсивность стока и впитывания на ниже- и вышележащем участке, мм/мин;
iст(1) - интенсивность стока с обочины, мм/мин.
8.1.7 Интенсивность впитывания воды определяют по формуле

(8.6)
где C - коэффициент впитывания, принимаемый по таблице 8.4.
Таблица 8.4
Значения коэффициента впитывания грунтов
Наименование грунта | Коэффициент впитывания |
Песок | 5,0 |
Супесь | 0,5 |
Суглинок | 0,02 |
Глина | 0,005 |
8.1.8 Для каждого участка определяют допускаемую (неразмывающую) скорость по формуле

(8.7)
где
V1 - допускаемая средняя скорость потока, принимаемая по
таблице 8.5;
hn - глубина слоя воды, м.
Таблица 8.5
Допускаемые (неразмывающие) скорости
Наименование грунта | Средние неразмывающие скорости при глубине потока 1,0 м, м/с |
Песок | 0,20 |
Супесь | 0,25 |
Суглинки и глины | 0,40 |
8.1.9 Глубину водного потока определяют по формуле

(8.8)
8.1.10 При свободном стоке поверхностных вод на склоны и откосы:

(8.9)
8.1.11 Для выемок:

(8.10)
8.1.12 При условии
V >
Vдоп допускается выполнение противоэрозионных мероприятий и сооружений (см.
разделы 7 и
9).
8.2 Расчет параметров упорных конструкций
8.2.1 Расчет параметров упорных конструкций включает:
- назначение массы упорной конструкции по условию устойчивости основной конструкции укрепления на откосе;
- определение силы пассивного сопротивления упорной конструкции сдвигу по основанию;
- определение значения заглубления подошвы упорных конструкций;
- назначение параметров упорных конструкций по условиям фильтрационной прочности основания и собственно упорной конструкции.
8.2.2 Устойчивость конструкции на сдвиг обеспечивается при соблюдении условия

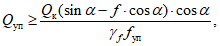
(8.11)
где Qуп - вес упорной конструкции, т;
Qк - расчетный вес конструкции укрепления откоса, т;

- угол наклона откоса к горизонту, градус;
f, fуп - коэффициенты трения конструкции укрепления по поверхности откоса и упора по основанию в плоскости сдвига соответственно;

- коэффициент перегрузки, принимаемый равным 0,9.
8.2.3 Пассивное сопротивление упорной конструкции сдвигу по основанию
Ed допускается учитывать при плотном контакте противоэрозионной конструкции с упором.
Значение пассивного сопротивления Ed определяют согласно условию

(8.12)
где Ep,d - расчетное пассивное сопротивление;

- коэффициент условия работы, принимаемый в зависимости от соотношения модулей деформации материала упорной конструкции
Es и основания
Ef.
8.2.4 Коэффициент условий работы

принимают по соотношению

по зависимостям:
- при | | | (8.13) |
- при | | | (8.14) |
- при | | определяется линейной интерполяцией, | (8.15) |
где Es - модуль деформации материала упора;
Ef - модуль деформации грунта основания;
| | ИС МЕГАНОРМ: примечание. Обозначение дано в соответствии с официальным текстом документа. | |
Er - давление покоя;
Ep,d - расчетное пассивное сопротивление.
8.2.5 Пассивное сопротивление Ep,d определяют согласно выражению

(8.16)
где Qупф - фактический вес упорной конструкции, т;
S' - площадь поверхности сдвига упорной конструкции, м2;

- угол наклона поверхности сдвига (подошвы упорной конструкции) к горизонту, градус;

- угол внутреннего трения, градус;
cmin - удельное сцепление грунта по поверхности сдвига, кПа.
8.2.6 Давление покоя Er определяют по формуле

(8.17)
где

- удельный вес материала упорной конструкции, т/м
3;
hуп - высота упорной конструкции, м;

- коэффициент поперечной деформации материала упорной конструкции.
8.2.7 Значение заглубления подошвы упорной конструкции назначают конструктивно и проверяют по условию сопротивления упорной конструкции сдвигу по основанию.
8.2.8 При заложении склона (откоса) в пределах
m = 2 - 3 значение заглубления упора принимают равным

. При заложении склона (откоса) менее
m = 2 и заглублении упора на

размер грунтовой призмы под установку блока и дополнительная масса каменного материала для заполнения призмы определяются расчетом по условию обеспечения устойчивости конструкции укрепления и сопротивлению упорной конструкции сдвигу по основанию по
8.2.2 и
8.2.3.
8.3 Расчет параметров конструкций на основе георешеток
8.3.1 Параметры конструктивных решений допускается определять на основе расчетной оценки условий предельного равновесия поверхностной зоны склона (откоса), укрепленной георешеткой. Оценка выполняется исходя из коэффициента запаса местной устойчивости Kзап, определяемого по формуле

(8.18)
где

- сумма удерживающих сил, определяемая по формуле

(8.19)
здесь Tтр - удерживающее усилие, создаваемое трением и сцеплением по поверхности скольжения;

- дополнительное усилие сопротивления, возникающее в узлах с анкером;
Tосн - величина пассивного отпора при упоре конструкции укрепления в основание земляного полотна;
Tанк - удерживающее усилие за счет крепления конструкции с помощью дополнительных несущих анкеров;
Tвес - сдвигающее усилие от веса конструкции укрепления, определяемое по формуле

(8.20)
Здесь N - число модулей в конструкции укрепления, определяемое по формуле

(8.21)
где
L - высота склона (откоса), м (см.
8.3.2);
A - длина модуля в растянутом состоянии в направлении растяжения;
h' - высота заполнителя с учетом его избыточной толщины (30 - 50 мм) над георешеткой высотой h;

- объемный вес материала-заполнителя;
a - длина ячейки в растянутом состоянии в направлении растяжения;
b - ширина ячейки в растянутом состоянии;

- угол заложения склона (откоса), принимаемый по
таблице 8.6;
nяч - количество ячеек в каждом модуле, определяемое по формуле

(8.22)
здесь

- число ячеек по длине модуля в направлении растяжения (см.
8.3.3);

- число ячеек по ширине модуля (см.
8.3.4).
Таблица 8.6
Значения угла заложения склона (откоса) 
в зависимости от величины заложения 1:m
1:m | | 1:m | | 1:m | |
1:0,75 | 53° | 1:1,6 | 32° | 1:2,3 | 24° |
1:1 | 45° | 1:1,7 | 30° | 1:2,4 | 23° |
1:1,1 | 42° | 1:1,8 | 29° | 1:2,5 | 22° |
1:1,2 | 40° | 1:1,9 | 28° | 1:2,6 | 21° |
1:1,3 | 38° | 1:2 | 27° | 1:2,8 | 20° |
1:1,4 | 36° | 1:2,1 | 25° | 1:2,9 | 19° |
1:1,5 | 34° | 1:2,2 | 24° | 1:3 | 18° |
8.3.2 Высоту склона (откоса)
L определяют по графику на рисунке 8.1.
Рисунок 8.1 - Определение длины склона (откоса) L
в зависимости от высоты H и величины заложения
склона (откоса) 1:m
8.3.3 Число ячеек по длине модуля в направлении растяжения определяют по формуле

(8.23)
8.3.4 Число ячеек по ширине модуля определяют по формуле

(8.24)
8.3.5 При угле заложения откоса проектируемого земляного полотна большем, чем угол естественного откоса заполнителя

, следует уточнять принимаемую высоту решетки по формуле

(8.25)
где при hрасч > h следует принимать h >= hрасч;
dк - максимальная крупность зерен материала-заполнителя. Для песчаных, глинистых, растительных, торфяных грунтов dк = 2,5;

- угол естественного откоса материала-заполнителя. При отсутствии данных лабораторных испытаний может быть принят согласно таблице 8.7 или из условия

, где

- угол внутреннего трения материала-заполнителя.
Таблица 8.7
Ориентировочные значения угла естественного откоса 
для различных материалов - заполнителей решетки
Материал | Угол естественного откоса  материала |
сухого | влажного | мокрого |
Растительный грунт | 40° | 35° | 25° |
Песок крупный | 30° - 35° | 32° - 40° | 25° - 27° |
Песок средний | 28° - 30° | 35° | 25° |
Песок мелкий | 25° | 30° - 35° | 15° - 20° |
Суглинок | 40° - 50° | 35° - 40° | 25° - 30° |
Глина жирная | 40° - 45° | 35° | 12° - 20° |
Гравий | 35° - 40° | 35° | 30° |
Гравий керамзитовый | 30° - 40° | - | - |
Галька круглая сухая | 30° | - | - |
Гранитный щебень фр. 0 - 80 мм | 35° - 45° | - | - |
Известняковый щебень мелкокусковой | 35° - 40° | - | - |
Известняковый щебень средне- и крупнокусковой | 40° - 45° | - | - |
Щебень гранитный | 35° - 45° | - | - |
Камень мелко- и среднекусковой | 35° - 40° | - | - |
Песчано-гравийная смесь природная при влажности до 5% | 40° - 50° | - | - |
Шлак каменноугольный | 35° - 50° | - | - |
Шлак гранулированный | 45° - 55° | - | - |
Торф без корней | 40° | 25° | 15° |
8.3.6 По формулам (8.26) -
(8.31) определяют:

(8.26)
где

,
c" - значения угла внутреннего трения и сцепления грунта (материала-заполнителя) по поверхности скольжения (откоса) соответственно.

,
c" =
c'; (8.27)
при

; (8.28)
при

; (8.29)
при cзп < cзап c' = cзп; (8.30)
при
cзп >=
cзап c' =
cзап, (8.31)
здесь

,
cзп,

,
cзап - значения угла внутреннего трения и сцепления грунта (материала) склона (откоса) и материала - заполнителя георешетки соответственно.
8.3.7 При укладке георешетки на геотекстильный материал принимают пониженные значения прочностных параметров для поверхности скольжения, принимаемые по формулам:

;
c" = 0,1
c', (8.32)

(8.33)
где Rш - прочность шва георешетки;
Kш - коэффициент, учитывающий возможные повреждения при строительстве и длительное воздействие нагрузок (рекомендуемое значение Kш = 4);

- минимальное количество заанкеренных узлов в каждом модуле, назначаемое по технологическим соображениям.
8.3.8 При отсутствии упора у подошвы насыпи минимальное значение пассивного давления естественного основания может быть определено по формуле

(8.34)
где

- угол внутреннего трения грунта основания в естественном состоянии, градус.
8.3.9 При наличии упора у подошвы насыпи, выполненного с использованием решетки без заглубления в подошву, Tосн может быть определено по формуле

(8.35)
8.3.10 При наличии упора, заглубленного в подошву и выполненного в виде решетки с заполнителем, бетонного блока или каменной засыпки, Tосн может быть определено по формуле

(8.36)
где Bуп - суммарная ширина упора, приходящаяся на длину одного модуля георешетки;
hзагл - глубина заглубления упора в грунт земляного полотна;

- объемный вес материала упора;
Sуп - площадь поперечного сечения упора;

- объемный вес грунта основания земляного полотна;

- угол внутреннего трения грунта основания.
8.3.11 При оценке местной устойчивости конструкции укрепления на склоне (откосе) за счет дополнительных несущих анкеров, располагаемых по площади склона (откоса) или на его бровке, расчет проводят по формулам (8.37) -
(8.44) в такой последовательности:
- определяют нагрузку, воспринимаемую несущими анкерами, по формуле

(8.37)
- определяют несущую способность единичного анкера
T'анк по условиям прочности материала анкера на разрушающую нагрузку при сдвиге (срезе) по формуле (8.38) или по условию прочности шва георешетки по
формуле (8.39):

(8.38)

(8.39)
Принимают:

(8.40)
где

- сопротивление материала анкера разрушению при сдвиге (срезе);
1,4 - коэффициент запаса по материалу анкера;
Tанк - площадь поперечного сечения анкера.
8.3.12 При отсутствии данных в первом приближении ориентировочное значение несущей способности для анкеров различных материалов может быть определено по таблице 8.8.
Таблица 8.8
Ориентировочные значения несущей способности
одиночных стальных анкеров по материалу 
Диаметр арматуры, мм | 10 | 12 | 14 | 16 | 18 | 20 | 22 | 25 |
Несущая способность одиночного стального анкера, кН | 30,9 | 44,4 | 60,5 | 79,0 | 100,0 | 123,4 | 149,3 | 192,8 |
Максимальную требуемую глубину забивки анкера lанк следует определять по формуле

(8.41)
где dанк - ширина (диаметр) анкера;
qsk - касательное сопротивление грунта. Для крупнообломочных грунтов qsk = 200 кПа; для песчаных и гравелистых грунтов qsk = 150 кПа; для супесчаных, суглинистых и глинистых грунтов qsk = 100 кПа.
Определяют усилие от нагрузки, воспринимаемое грунтом земляного полотна от единичного анкера. Для анкеров, равномерно расположенных по плоскости откоса, усилие
Pанк определяется по формуле (8.42), для анкера на бровке земляного полотна - по
формуле (8.43):

(8.42)

(8.43)
где

- угол наклона анкера от нормали к плоскости скольжения откоса.
8.3.13 По формуле (8.44) определяют предельную критическую силу, которую может выдержать анкер перед разрушением грунта:

(8.44)
где a1, a2, a3 - коэффициенты, определяемые по таблице 8.9 по значению коэффициента внутреннего трения грунта земляного полотна.
Таблица 8.9
Значения коэффициентов a1, a2, a3 в зависимости от угла
внутреннего трения и вида грунта земляного полотна
Угол внутреннего трения  | a1 | a2 | a3 |
Крупнообломочный грунт | Песок | Супесь | Суглинок | Глина |
15 | 1,70 | 0,08 | 0,19 | 0,25 | 0,30 | 0,39 | 2,06 |
17 | 1,82 | 0,10 | 0,23 | 0,30 | 0,36 | 0,46 | 2,17 |
19 | 1,93 | 0,12 | 0,27 | 0,35 | 0,43 | 0,55 | 2,28 |
21 | 2,11 | 0,14 | 0,32 | 0,41 | 0,51 | 0,64 | 2,39 |
23 | 2,28 | 0,16 | 0,37 | 0,48 | 0,59 | 0,75 | 2,52 |
25 | 2,46 | 0,18 | 0,43 | 0,55 | 0,68 | 0,86 | 2,64 |
27 | 2,66 | 0,21 | 0,50 | 0,64 | 0,78 | 0,99 | 2,78 |
29 | 2,88 | 0,24 | 0,57 | 0,73 | 0,89 | 1,13 | 2,92 |
31 | 3,12 | 0,28 | 0,65 | 0,83 | 1,01 | 1,29 | 3,07 |
33 | 3,38 | 0,31 | 0,73 | 0,94 | 1,15 | 1,47 | 3,23 |
35 | 3,68 | 0,36 | 0,83 | 1,07 | 1,31 | 1,67 | 3,40 |
37 | 4,01 | 0,40 | 0,94 | 1,21 | 1,48 | 1,89 | 3,58 |
39 | 4,38 | 0,46 | 1,07 | 1,37 | 1,68 | 2,14 | 3,78 |
41 | 4,80 | 0,52 | 1,21 | 1,56 | 1,90 | 2,42 | 3,98 |
43 | 5,27 | 0,59 | 1,37 | 1,76 | 2,16 | 2,74 | 4,21 |
45 | 5,81 | 0,67 | 1,56 | 2,00 | 2,44 | 3,11 | 4,45 |
Примечание - При промежуточных значениях коэффициенты принимают по интерполяции. |
8.3.14 При Pанк > Pкр следует увеличить глубину или угол забивки несущего анкера. Требуемое число несущих анкеров определяют по формуле

(8.45)
9 Конструирование противоэрозионных мероприятий и сооружений
9.1 Противоэрозионные мероприятия
9.1.1 Биологические типы укрепления
9.1.1.1 Биологические типы следует применять для укрепления территорий крутизной не более 45°, сложенных дисперсными и полускальными (легковыветривающимися) грунтами и подверженных воздействию эрозионных процессов. Биологические типы укрепления обеспечивают защиту от эрозионных процессов за счет укрепления грунта и отведения излишней влаги корневой системой растений.
9.1.1.2 Подбор растений, их размещение в плане, типы и схемы посадок следует назначать в соответствии с почвенно-климатическими условиями, особенностями рельефа и эксплуатации откоса (склона), а также с учетом требований к охране окружающей среды и эстетичности.
9.1.1.3 В районах с отрицательными зимними температурами воздуха откосы выемок должны быть укреплены боярышником, можжевельником, шиповником и другими морозоустойчивыми растениями. В южных районах в качестве покровной растительности рекомендуется применять лианы (ломонос, пуэрарию) и вегетативно размножающиеся кустарники с широкой кроной, в качестве барьерной - посадки кустарников и деревьев с большой степенью кущения; на избыточно увлажненных склонах целесообразно применять эвкалипт и бамбук. Посадку кустарников или деревьев, обладающих развитой корневой системой, необходимо комбинировать с посевом многолетних трав.
9.1.1.4 Биологические типы включают в себя следующие варианты укрепления:
- создание задернения поверхности откоса методом посева многолетних трав по слою растительного грунта или торфогрунтовой смеси;
- создание задернения поверхности откоса методом гидропосева многолетних трав;
- создание задернения поверхности откоса методом укладки готового дерна (одерновка);
- посадка кустарника и лесопосадка;
- плетневые прорастающие укрепления и прорастающая выстилка.
9.1.1.5 Посев многолетних трав на откосах (склонах) крутизной до 35° допускается без других вспомогательных средств защиты, а при большей крутизне - с пропиткой грунта вяжущими материалами или с использованием биоматов.
9.1.1.6 Посев многолетних трав должен осуществляться по слою растительного грунта толщиной не менее 100 мм. При недостатке растительного грунта допускается покрывать выветрившиеся скальные склоны (откосы) местным делювиальным грунтом.
9.1.1.7 Укрепление территорий методом посева многолетних трав включает:
- слой растительного грунта или торфогрунтовой смеси (при содержании гумуса не менее 15% по массе с толщиной слоя грунта с данными характеристиками не менее 0,5 м);
- семена многолетних трав.
9.1.1.8 Для посева следует использовать семена многолетних трав районированных и перспективных сортов, удовлетворяющих требованиям
ГОСТ Р 52325,
ГОСТ 12038 по чистоте, содержанию семян сорняков, всхожести, наличию посторонних запахов и целостности упаковки. Смеси трав должны быть допущены к применению в порядке, установленном действующим законодательством Российской Федерации, по отдельным компонентам (видам семян), входящим в смесь.
9.1.1.9 Для укрепления склонов (откосов) используют смеси семян многолетних (от двух до восьми лет и более) трав подобранного состава, самовозобновление которых позволяет получить постоянный травяной покров на поверхности эрозионно-опасных территорий. При составлении смесей трав необходимо комбинировать семена трав нескольких видов, дающих всходы в минимальные сроки, и видов, образующих впоследствии прочный дерн.
9.1.1.10 При составлении трехкомпонентной смеси допускается следующее соотношение трав:
- корневищно-злаковые травы - 35% - 55%;
- рыхлокустовые злаковые травы - 30% - 50% (меньшие значения для грунтов растительного слоя, большие значения - для тяжелых связных грунтов);
- стержнекорневые бобовые травы - 5% - 20% (5% - 10% - регионы с достаточным увлажнением, 10% - 20% - регионы с недостаточным увлажнением).
9.1.1.11 Грунты растительного слоя (торфогрунтовые смеси) по составу, степени пригодности для землевания, экологической чистоте и содержанию семян сорных растений должны соответствовать требованиям
ГОСТ 17.4.2.01,
ГОСТ 17.4.2.02. Содержание органических веществ в грунте растительного слоя (при посеве на откос без применения растительного грунта) не должно быть менее 1,5%. Торфогрунт (с зольностью торфа до 50%) по объему в рыхлом состоянии должен содержать 40% торфа и 60% песка или 30% торфа и 70% суглинка.
9.1.1.12 При дисбалансе содержания основных питательных веществ (менее 1,5% гумуса, фосфора менее 15 - 30 мг/100 г почвы, калия менее 7 - 10 мг/100 г почвы) требуемое недостающее количество питательных веществ вводится в виде минеральных
(ГОСТ Р 51520) или соответствующих органических удобрений
(ГОСТ 26712). Допускается вносить фосфорные и калийные удобрения; суперфосфат с содержанием 14% - 20% питательных веществ (норма 300 - 400 кг на 1 га) и калийную соль или хлористый калий (по 150 - 200 и 100 - 120 кг на 1 га соответственно).
9.1.1.13 Укрепление эрозионно-опасных территорий методом гидропосева с мульчированием включает механизированную обработку поверхности смесью (семена, эмульсия, мульчирующая смесь, удобрения, биостимулянты, вода), распределяемой по разрыхленному поверхностному слою грунта или в растительный грунт и образующей временный слой, обеспечивающий прорастание, рост и защиту травяного покрова.
9.1.1.14 В качестве мульчирующих компонентов допускается применение термически обработанных волокон древесины, целлюлозы, смесей с синтетическими волокнами и закрепителями, древесных опилок, торфяной крошки и т.д.
9.1.1.15 Одерновку следует различать:
- сплошную с применением штучного или рулонного дерна;
- в клетку или в ленту с посевом трав, без посева трав с заполнением клеток строительными материалами.
9.1.1.16 Конструкцию укрепления по способу сплошной одерновки применяют для создания травяного покрова на небольших площадях. Покрытие формируют путем плотной сплошной укладки штучного (или раскаткой рулонного) дерна по шахматной схеме по грунту склона (слою растительного грунта или торфогрунтовой смеси) с последующим креплением дерна, заполнением швов между дернинами растительным грунтом и дополнительным засевом швов семенами трав.
9.1.1.17 Укрепление по способу одерновки в клетку (ленту) применяется как альтернатива сплошной одерновки в целях экономии расхода дерна, а также в случае опасности оползания сплошного растительного слоя. Покрытие формируется путем раскладки полос или карт дерна по поверхности склона в виде сетки (клетки) с ячейками 1,5 x 1,5 м (1,0 x 1,0 м) и сплошных полос дерна, укладываемых в три ряда и более по подошве склона, и одной полосой по бровке.
9.1.1.18 Площадь склона и швы между дернинами заполняют растительным грунтом (торфогрунтовой смесью) и засевают семенами многолетних трав. При укреплении по способу одерновки в клетку без посева трав задернение грунта внутри ячеек происходит в процессе последующего осеменения трав уложенного дерна.
9.1.1.19 Наиболее устойчивый газон дает смесь из трех-четырех видов трав. Площади, подлежащие задернению, выравнивают и вспахивают на глубину 250 - 270 мм. В них должны быть внесены удобрения, а также должны быть проведены мероприятия по борьбе с сорняками. На участки, лишенные питательного слоя, следует уложить плодородную почву (толщиной не менее 100 мм). Глубину заделки, в зависимости от крупности семян, принимают 5 - 20 мм.
9.1.1.20 Посадка кустарников и лесопосадка формируется путем одиночной или гнездовой посадки свежезаготовленных черенков, кольев, прутьев двух- или трехлетних побегов, а также саженцев кустарников или деревьев с густой наземной порослью, мощной корневой системой, вегетативным размножением, не требовательных к условиям плодородия. При выборе породы предпочтение следует отдавать местным видам. Характеристики и требования к посадочному материалу определены в
ГОСТ 24909,
ГОСТ 25769,
ГОСТ 26869, ГОСТ 28055.
9.1.1.21 Одиночную посадку черенков проводят в лунки или щели, которые располагаются по склону в шахматном порядке наклонными рядами под углом 35° - 40° к горизонту. Минимальное расстояние между рядами должно составлять 0,8 м, между лунками в ряду - 0,4 м. Глубина посадки допускается 0,45 - 0,60 м. Головка черенка должна возвышаться над поверхностью грунта на 0,1 - 0,2 м.
9.1.1.22 Гнездовую посадку черенков проводят в лунки по пять-шесть черенков, располагаемые по склону рядами в шахматном порядке при минимальном расстоянии между рядами 0,8 м и 0,5 м между лунками.
9.1.1.23 Расстояние между деревьями при посадке зависит от формы и размера кроны взрослого дерева и составляет в зависимости от породы 3 - 8 м.
9.1.1.24 На склонах со смытыми и слабо развитыми почвами деревья и кустарники следует высаживать рядами в лунки или ямы глубиной 0,15 - 0,35 м. Расстояние между рядами следует принимать 1,0 - 2,0 м для деревьев и кустарников, 2,0 x 2,0 м - для лиан.
9.1.1.25 При посадке лесных полос ширину междурядий принимают равной 1,5 - 2,5 м, а расстояние в ряду - 0,5 - 0,7 м. Лесные полосы допускается размещать вдоль границ оврагов и балок на расстоянии не менее 5 м от бровок. В зависимости от рельефа, а также от направления и концентрации поверхностного стока ширину приовражных (прибалочных) лесных полос принимают равной от 20 до 50 м. Ширину междурядий принимают равной 2,5 - 3,0 м, а расстояния в ряду - 0,5 - 0,7 м.
9.1.1.26 Полезащитные лесные полосы следует располагать в двух взаимно перпендикулярных направлениях:
- продольном (основные) - поперек преобладающих в данной местности ветров (суховейных, вызывающих пыльные бури, метелистых);
- поперечном (вспомогательные) - перпендикулярно продольным.
9.1.1.27 Расстояние между лесополосами необходимо принимать в зависимости от следующих факторов:
- тип почв (черноземные, каштановые, сероземные, полупустынные, пустынные) и степень подверженности их эрозии;
- расчетная высота древесных пород H и дальность их эффективного влияния на ветровой режим 30H;
- способы и техника полива.
При этом расстояние между продольными лесными полосами не должно превышать 800 м, поперечными - 2000 м, а на песчаных почвах - 1000 м.
Продольные полезащитные лесополосы следует предусматривать трехрядными, а поперечные - двухрядными.
9.1.1.28 Водоохранные лесные насаждения для защиты магистральных каналов и их ветвей необходимо проектировать трехрядными с одной стороны канала и двухрядными с каждой стороны. Вдоль одной стороны открытых коллекторов следует предусматривать лесные полосы из трех рядов. Вдоль крупных магистральных каналов и коллекторов лесные полосы следует принимать из четырех-пяти рядов с одной или обеих сторон.
9.1.1.29 Площадь лесополос вдоль магистральных и распределительных каналов следует устанавливать в зависимости от длины каналов и ширины лесополосы с учетом создания свободного доступа к каналам для очистки и ремонта. Длину лесополосы необходимо принимать не менее 60% длины канала.
9.1.1.30 Крайний ряд насаждений вдоль каналов следует размещать на расстоянии не менее 3 м от подошвы дамбы или откоса выемки. При высоте дамбы (глубине выемки) более 3 м данное расстояние следует увеличивать до 4 - 5 м. Ряд лесных насаждений следует предусматривать на расстоянии от края лотков 2,5 - 3,0 м, от трубопроводов - 2 м.
9.1.1.31 Защитные лесные полосы по границам орошаемых земель с участками интенсивной эрозии почвы следует предусматривать многорядными (четыре-пять рядов).
9.1.1.32 Защитные лесные насаждения вокруг прудов и водоемов следует проектировать из одного, двух или трех поясов. Первый пояс (берегоукрепительный) необходимо располагать в зоне расчетного подпорного уровня из двух рядов и более кустарников ив. Второй пояс посадок (ветроломные и дренирующие) из тополей и древовидных ив следует размещать между отметками расчетного и форсированного подпорных уровней. Третий пояс (противоэрозионный) из засухоустойчивых пород деревьев следует предусматривать выше форсированного уровня.
9.1.1.33 Лесополосы вдоль дорог необходимо размещать на расстоянии 2,5 - 3,0 м от бровки кювета. Размещение лесополос вдоль линий электропередачи и связи следует выполнять в соответствии с действующими нормативными документами по их строительству и эксплуатации.
9.1.1.34 Плетневые прорастающие конструкции укрепления представляют собой плетни в виде рядов или клеток, сформированных посадкой в канавку посадочных кольев (часть стебля или одревесневшего побега длиной не менее 1 м, толщиной в комле 50 мм, старше двухлетнего возраста) с заполнением или без заполнения клеток грунтом, каменным материалом, хворостяными выстилками, фашинами.
9.1.1.35 Укрепление хлыстами представляет собой посадку, выполненную очищенными от сучьев и ветвей ивовыми хлыстами (целые побеги длиной более 2 м при толщине в комле более 40 мм), уложенными плашмя комлями к урезу воды в борозды глубиной до 100 мм и засыпанными грунтом заподлицо с откосом. Такая посадка способствует развитию мощной корневой системы по всей высоте склона. Приживание хлыстов даже в условиях жарких районов является более благоприятным, чем у черенков, что обеспечивает их быстрое развитие.
9.1.1.36 Укрепление хворостяной прорастающей выстилкой состоит из ивовых прутьев, уложенных вдоль склона комлями вниз по слою соломы, сена, камыша. Слои хвороста укладывают снизу вверх внахлестку с перекрытием каждого предыдущего слоя на длину не менее 1/3 средней длины хворостины.
9.1.1.37 На склоне хворостяную выстилку фиксируют с применением поперечных тонких длинных жердей или прутяных жгутов с креплением забиваемыми в шахматном порядке кольями. В процессе формирования покрытия из хворостяной выстилки через каждые 50 м необходимо предусматривать противопожарные разрывы длиной 2,0 м.
9.1.2 Планировка территорий и водоотводные мероприятия
9.1.2.1 К простейшим методам закрепления размывов относятся:
- отсыпка слоя обломочного грунта (щебня, гравия);
- укладка мешков с песком, геотекстиля (с надежным закреплением краев);
- гидрофобизация жидким битумом, эмульсиями и т.п.
9.1.2.2 Для прекращения процесса оврагообразования вследствие длительного воздействия сосредоточенного размыва в первую очередь должен быть выполнен отвод воды с организацией ее сбора в укрепленный водоток с устройством в необходимых случаях быстротоков. Образовавшиеся овраги и промоины засыпают грунтом и уплотняют с укреплением в необходимых случаях анкерными устройствами, посадкой саженцев кустарников и деревьев с развитой корневой системой.
9.1.2.3 К основным мероприятиям относятся планировка эрозионно-опасных территорий и выполнение водоотводных мероприятий (валы-террасы, водозадерживающие валы, канавы, распылители стока и т.д.).
9.1.2.4 При возведении валов-террас выполняют выполаживание склона эрозионно-опасных территорий, в связи с чем происходит снижение скорости водных потоков. Валы-террасы допускается применять на склонах крутизной не более 6°.
9.1.2.5 Водозадерживающие валы допускается применять для предотвращения развития оврагов. Водозадерживающие валы следует сооружать на приовражном участке выше растущей вершины оврага.
9.1.2.6 Также водозадерживающие валы следует сооружать на небольших водосборах площадью не более 150 000 м2 при крутизне склонов не более 3°. При устройстве водозадерживающих валов на ложбинном рельефе площадь водосбора не должна превышать 50 000 - 80 000 м2, а крутизна склонов - 6°.
9.1.2.7 Водозадерживающие валы устраивают параллельно горизонталям местности. Для предотвращения стока временных водотоков допускается применять шпоры, располагаемые вверх по склону под углом 100° - 120° от оси водозадерживающего вала. В целях повышения удержания валом водных потоков со стороны верхней части склона под прямым углом допускается устройство перемычек с шагом 50 - 100 м.
9.1.2.8 Распылители стока допускается располагать в местах концентрации временных водотоков: разъемных бороздах, ложбинах, колеях дорог и т.д. Основным назначением распылителей стока является сокращение объема и скорости водного потока по мелким отрицательным формам рельефа путем отвода воды на прилежащий склон. Данные сооружения выполняют функцию защиты основания склона от размывов и предотвращения развития оврагов.
9.1.2.9 Распылители стока допускается выполнять в виде валика с расположенной рядом выемкой, которая перегораживает ложбины под углом 45° к направлению стока. Допускаемая высота валиков определяется в зависимости от глубины ложбины и обычно составляет 300 - 500 мм. Ширина валика по дну ложбины обычно составляет 1,5 - 3,0 м. Распылители стока допускается размещать по ложбине с шагом 75 - 100 м.
9.1.2.10 Нагорные канавы следует располагать с нагорной стороны для перехвата поверхностных вод и отвода к ближайшему водопропускному сооружению. Нижние концы нагорных канав подводят к специально предусмотренному водоприемнику или задернованной ложбине. При большой крутизне склона допускается устройство перепадов, быстротоков, а также водобойных колодцев в случае возможности размыва грунтов и элементов укрепления нагорной канавы. При проектировании перепадов, быстротоков и водобойных колодцев следует руководствоваться
СП 23.13330,
СП 34.13330,
СП 35.13330.
9.1.2.11 В зависимости от скорости временных водотоков откосы и дно нагорной канавы может быть выполнено:
- каменно-щебеночными материалами;
- геотекстилем;
- торфо-дерновыми коврами, армированными капроновой сеткой или стеклохолстом;
- бетоном или железобетонными плитками на щебеночной подготовке.
9.1.2.12 На прямолинейных участках при продольном уклоне до

допускается применение покрытий нагорных канав из геотекстильного материала. Для повышения жесткости допускается нанесение на поверхность геотекстильного полотна покрытия из пневмонабрызга.
9.1.2.13 Для укрепления в первую очередь следует использовать местные материалы. Откосы нагорных канав должны быть укреплены на 100 - 150 мм выше расчетного уровня, что проводят путем посева трав или применения одерновки.
9.1.2.14 Особое внимание следует уделять предупреждению превращения плоскостной эрозии в линейную. Наибольший продольный уклон дна водоотводных канав следует назначать с учетом вида грунта, типа укрепления откосов и дна канавы, а также допускаемых скоростей течения воды.
9.1.2.15 Заложение откосов водоотводных канав и их укрепление назначают по условиям устойчивости и пропуска расчетных расходов с допустимыми скоростями.
9.1.2.16 В период снеготаяния допускается устраивать или углублять существующие водоотводные канавы. Для гашения скорости временных водотоков при длине склонов более 10 - 12 м допускается устраивать террасы и бермы. В местах концентрированного стока следует устраивать лотки и быстротоки.
9.2 Противоэрозионные сооружения
9.2.1 Защитные покрытия и закрепление грунтов
9.2.1.1 В зависимости от типа вяжущего выделяют пневмонабрызг из торкрет-бетона, набрызг-бетона, аэрированных цементно-песчаных растворов.
9.2.1.2 Покрытие из торкрет-бетона следует выполнять толщиной не менее 30 мм по металлической сетке с ячейками размерами от 30 x 30 до 200 x 200 мм. В качестве заполнителя для торкрет-бетона следует применять песок.
9.2.1.3 Покрытие из набрызг-бетона следует выполнять толщиной не менее 50 мм по металлической сетке с ячейками размерами не менее 50 x 50 мм. В качестве заполнителя для набрызг-бетона помимо песка следует применять щебень.
9.2.1.4 Аэрированные цементно-песчаные растворы представляют собой смесь из цемента, песка, воды и вспенивающей добавки. Количество вспенивающей добавки целесообразно принимать на основании предварительных испытаний раствора путем опытного подбора.
9.2.1.5 Торкрет-бетон и набрызг-бетон получают на основе транспортируемой под давлением сухой смеси, а аэрированный цементно-песчаный раствор - готового раствора.
9.2.1.6 Анкеры для крепления сетки (несущие и монтажные) следует проектировать из арматуры периодического профиля диаметром 10 - 40 мм. При этом несущие анкеры необходимо располагать за верхней бровкой откоса на расстоянии от нее не менее 2 м. Монтажные анкеры размещаются исходя из условия обеспечения плотного прилегания сетки к откосу и из конструктивных соображений. Диаметр их следует принимать равным 10 - 20 мм. Расстояние между анкерами не должно превышать 2 м, а глубина их заделки должна быть не менее 0,4 - 0,5 м, при этом высота над поверхностью откоса - 40 - 50 мм.
9.2.1.7 Следует применять гибкие сетки промышленного изготовления из проволоки диаметром от 2 до 4 мм. Допускается плетение сетки на участке производства работ.
9.2.1.8 Растворы для пневмонабрызга должны соответствовать
ГОСТ 26633. Для приготовления сухих смесей и растворов для пневмонабрызга в зависимости от наличия выхода и агрессивности грунтовых вод рекомендуется применять портландцементы. В качестве заполнителя следует применять чистый песок и щебень фракций до 20 мм.
9.2.1.9 При инъекцировании трещин в качестве вяжущих веществ следует применять цементные и коллоидные химические растворы, эпоксидные смолы. Вид и состав вяжущих следует назначать в зависимости от местных условий и ширины трещин.
Для заделки мелких трещин инъектированием следует применять глиноземистый цемент или осуществлять нагнетание химических растворов. Для повышения проникания цементного раствора в мелкие трещины в него добавляют водные растворы жидкого стекла, кремнекислого натрия или сульфата аммония. При инъекции раствора крупность зерен песка должна быть не более 0,1 мм.
9.2.1.10 При значительной ширине трещин (40 - 50 мм) нагнетание следует проводить цементно-песчаными растворами состава 1:3, при меньшей ширине - раствором состава 1:1. Для инъекции в породы, содержащие напорные подземные воды, применяют быстросхватывающиеся цементы. В качестве ускорителей схватывания могут быть использованы специальные добавки. В качестве заполнителя следует использовать чистый речной или морской песок с зернами крупностью не более 1 мм.
9.2.1.11 Расстояние между нагнетательными скважинами следует принимать от 3 до 6 м в зависимости от характера и интенсивности трещиноватости. Давление инъектирования выбирают с таким расчетом, чтобы не создать сил, которые могут привести к разуплотнению массивов. Объем подаваемого вяжущего следует принимать в размере 4 - 5 объемов ствола нагнетательной скважины.
9.2.1.12 Заделку крупных (размером 200 мм и более) трещин (углублений) следует осуществлять бетоном. Заделку углублений также допускается выполнять каменной кладкой. При заделке крупных углублений с водопроявлениями следует предусматривать дренажные отверстия.
9.2.2 Комбинированные конструкции
9.2.2.1 Комбинированные конструкции противоэрозионной защиты имеют следующие основные варианты конструктивных решений:
- укладка геополотен (георешеток, геосеток, биоматов и т.д.) на поверхность склона под растительный слой с высевом семян по нему или без высева семян;
- укладка геополотен на поверхность растительного грунта с предварительным высевом семян или без него и созданием замыкающего слоя из растительного грунта толщиной 30 - 50 мм или гидропосевом с мульчированием непосредственно по поверхности геополотен;
- комбинированная укладка геополотен при возможности подтопления склонов (откосов) в паводковые периоды (для защиты оврагов).
9.2.2.2 Основным вариантом является поперечное расположение геополотен с перекрытием (нахлестом) смежных геополотен не менее чем на 150 мм. При склонах высотой до 0,6 м и крутизной не более 1:2 допускается расположение геополотен вдоль склона с перекрытием смежных геополотен не менее чем на 200 мм.
9.2.2.3 Закрепление геополотен выполняется несущими анкерами. Длина несущих анкеров при устройстве в дисперсных грунтах определяется расчетом и зависит от следующих факторов:
- свойства грунтов, слагающих эрозионный склон;
- геометрические параметры, в частности крутизна;
- погодно-климатические и гидрометеорологические воздействия;
- характеристики материала для заполнения ячеек.
Допускается применение несущих анкеров из стальной арматуры с антикоррозионным покрытием.
9.2.2.4 Геополотна (георешетки, геосетки, биоматы и т.д.) крепятся к поверхности откоса анкерами из арматуры диаметром 6 - 8 мм, длиной не менее 0,25 м (при расположении под геополотном растительного слоя длина анкера должна превышать толщину этого слоя не менее чем на 0,1 м). Рекомендуемое число анкеров указано в таблице 9.1.
Таблица 9.1
Рекомендуемое число нагелей крепления
в зависимости от угла заложения откоса
Показатель | Угол заложения откоса |
1:3 | 1:2 | 1:1,5 | 1:1 |
18° | 26° | 34° | 45° |
Число анкеров, шт./м2 | 1 | 2 | 3 | 4 |
Длина анкера, м | 0,25 | 0,30 | 0,35 | 0,35 |
9.2.2.5 Монтажные анкеры допускается устанавливать по контуру модулей георешеток для соединения между собой и закрепления на склоне. Число монтажных анкеров, необходимых для соединения модулей, зависит от типа георешетки и геометрических параметров склона. Допускается Г-образная форма монтажного анкера. Также допускается соединять смежные пакеты путем сшивки механическими степлерами. Возможны варианты совместного использования монтажных анкеров и механического скрепления смежных модулей.
9.2.2.6 В качестве материала для заполнения георешеток допускается применять растительный грунт с посевом многолетних трав, щебень, песчано-гравийные смеси и т.д.
9.2.2.7 Заполнение ячеек георешеток каменным материалом допускается применять при укреплении оврагов и балок, а также при защите территорий, на которых нецелесообразно растить устойчивый дерновый покров.
9.2.2.8 Каменные материалы должны иметь морозостойкость не менее F200, а размеры их фракций не должны превышать 40 мм.
9.2.2.9 При высоте склона более 3 м и наличии связных переувлажненных грунтов допускается предусматривать строительство противоэрозионного сооружения на основе георешеток (геосеток) с устройством упорной конструкции в основании.
9.2.2.10 В качестве материала для устройства дренирующей прослойки применяют нетканый геотекстильный материал с плотностью не менее 250 г/м2, имеющий высокий коэффициент фильтрации.
9.2.3 Конструкции из габионов матрацно-тюфячного типа
9.2.3.1 Конструкция противоэрозионной защиты включает покрытие из габионов матрацно-тюфячного типа на слое из геосинтетических, каменных или крупнозернистых материалов, а также упорной конструкции. Для повышения устойчивости конструкции допускается применять несущие анкеры. Для соединения граней габионных сетчатых изделий между собой применяют проволоку обвязки и стяжки при расходе проволоки не более 3% - 5% общего веса каркасов.
9.2.3.2 Габионные конструкции матрацно-тюфячного типа согласно
ГОСТ Р 52132 изготовляют из сетки с ячейкой N 60 из проволоки диаметром 2,2 и 2,4 мм или из сетки с ячейкой N 80 из проволоки диаметром 2,4; 2,7 и 3,0 мм.
9.2.3.3 Временное сопротивление проволоки разрыву должно составлять от 340 до 540 Н/мм, а минимальное удлинение - 12% на базовой длине образца 100 мм.
9.2.3.4 Проволока сетки должна иметь плотное антикоррозионное покрытие, тип которого определяется в зависимости от степени ответственности сооружения и ожидаемой интенсивности коррозии проволоки в период эксплуатации. По виду покрытия проволоки сетки подразделяются:
- на покрытые цинком;
- покрытые цинком и полимером;
- покрытые сплавом цинка с алюминием и мишметаллом (гальфан);
- покрытые сплавом цинка с алюминием, мишметаллом и полимером.
9.2.3.5 Для соединения граней габионных конструкций (торцевых стенок и диафрагм) между собой используется проволока обвязки и стяжки диаметром 2,2 мм. Марка и покрытие проволоки обвязки и стяжки должны соответствовать марке и покрытию проволоки сетки.
9.2.3.6 В габионных конструкциях не допускается разрыв проволоки обвязки и стяжки. В случае необходимости концы проволоки допускается сращивать надставкой, скруткой или сваркой.
9.2.3.7 При разработке проектных решений сооружений из габионных конструкций следует учитывать:
- гибкость объемных сетчатых каркасов;
- проницаемый ячеистый тип конструкций.
9.2.3.8 Гибкость сооружений из габионных конструкций позволяет им без разрушения следовать за деформациями, вызванными неравномерными осадками и размывом основания, температурными напряжениями, что исключает необходимость устройства температурно-осадочных швов. Гибкость габионных конструкций также улучшает работу всего сооружения в условиях действия динамических воздействий, в том числе и сейсмических.
9.2.3.9 Минимальный размер камня должен быть не менее 1,3 размера ячейки сетки. Максимальный размер камня должен быть не более 2/3 высоты матраца. Прочность на сжатие каменного материала должна составлять, МПа, не менее:
90 - для изверженных пород;
60 - метаморфических;
50 - осадочных.
9.2.3.10 Морозостойкость каменных материалов, используемых в габионных конструкциях, для изверженных горных пород должна приниматься не ниже F100, для метаморфических и осадочных пород - не ниже F50.
9.2.4 Решетчатые конструкции
9.2.4.1 Решетчатые конструкции состоят из сборных железобетонных или армированных цементогрунтовых элементов, которые после объединения в стыках образуют на поверхности склона (откоса) решетку с ячейками заданного размера.
9.2.4.2 Ячейки решетчатых конструкций допускается заполнять:
- посевом многолетних трав по растительному грунту методом гидропосева или механизированным методом;
- местным морозостойким (непучинистым) грунтом с последующим засевом трав методом гидропосева;
- гравийно-песчаными смесями;
- торфо-песчаными смесями;
- щебнем размером 40 - 70 мм;
- каменной наброской с размером камня 50 - 100 мм;
- грунтами, обработанными минеральными или органическими вяжущими;
- песчаным асфальтобетоном;
- монолитным цементобетоном, в том числе тощим и песчаным.
9.2.4.3 Крепление решетчатых конструкций к поверхности склона следует выполнять металлическими штырями или железобетонными свайками. Длину крепления (штырей и сваек) допускается принимать 0,5 - 1,5 м в зависимости от глубины промерзания, уровня грунтовых вод и т.д.
9.2.4.4 Металлические штыри обычно выполняют из арматуры периодического профиля диаметром 20 - 30 мм, а железобетонные свайки - диаметром 30 - 80 мм.
9.2.4.5 Стыки объединения сборных элементов могут иметь жесткое замковое соединение или гибкое соединение арматурными петлями.
9.2.4.6 При укреплении склонов (откосов), сложенных глинистыми грунтами, которые при водонасыщении склонны к быстрому переходу в текучее состояние с образованием сплывов и оплывин мощностью до 0,5 м, длину металлических штырей допускается назначать не менее 0,8 м при размерах ячеек решетки 1,0 x 1,0 м. В случае применения железобетонных сваек их длина должна составлять не менее 1,0 м.
9.2.4.7 Склоны (откосы), сложенные глинистыми грунтами, на которых наблюдается развитие деформаций локального скольжения или пластического течения, длину металлических штырей принимают равной не менее 1,0 - 1,5 м, при этом ячейки следует заполнять местным морозостойким (непучинистым) и ненабухающим грунтом с последующим посевом трав методом гидропосева.
9.2.4.8 В случае выклинивающихся горизонтов грунтовых вод периодического действия с незначительным дебитом (менее 0,1 л/с на 1 м водоносного горизонта) длину штырей принимают равной не менее 1,0 м, при этом ячейки решетчатой конструкции допускается заполнять щебнем или гравием размером 40 - 70 мм.
9.2.4.9 При этом конструкцию целесообразно устраивать от подошвы выемки выше на 0,5 м границы выхода горизонтов грунтовых вод. Верхнюю оставшуюся часть склона (откоса) допускается укреплять посевом многолетних трав по растительному грунту.
9.2.4.10 Для укрепления откосов насыпей и выемок из глинистых грунтов при увеличении их крутизны в стесненных условиях длину штырей следует принимать не менее 1,0 м, ячейки решетчатой конструкции допускается заполнять местным камнем или грунтом, обработанными вяжущими материалами.
9.2.4.11 В основании сооружения из решетчатых конструкций допускается устройство упорной конструкции в виде сплошной ленты, отдельных блоков, устанавливаемых перед стыками нижних элементов по типу отдельных упорных зубьев и т.д. При устройстве гибких упорных конструкций из габионов в виде сплошной ленты деформационные швы допускается не устраивать.
[1]
СП 11-105-97 Инженерно-геологические изыскания для строительства. Часть I. Общие правила производства работ
[2]
СП 11-105-97 Инженерно-геологические изыскания для строительства. Часть II. Правила производства работ в районах развития опасных геологических и инженерно-геологических процессов