Главная // Актуальные документы // ПравилаСПРАВКА
Источник публикации
М., 2017
Примечание к документу
Документ включен в
Перечень документов в области стандартизации, в результате применения которых на добровольной основе обеспечивается соблюдение требований Федерального
закона от 30.12.2009 N 384-ФЗ "Технический регламент о безопасности зданий и сооружений" (
Приказ Росстандарта от 02.04.2020 N 687).
Документ включен в
Перечень документов в области стандартизации, в результате применения которых на добровольной основе обеспечивается соблюдение требований Федерального
закона от 30.12.2009 N 384-ФЗ "Технический регламент о безопасности зданий и сооружений" (
Приказ Росстандарта от 17.04.2019 N 831).
Документ
введен в действие с 14 июня 2018 года.
Название документа
"СП 356.1325800.2017. Свод правил. Конструкции каркасные железобетонные сборные многоэтажных зданий. Правила проектирования"
(утв. и введен в действие Приказом Минстроя России от 13.12.2017 N 1661/пр)
"СП 356.1325800.2017. Свод правил. Конструкции каркасные железобетонные сборные многоэтажных зданий. Правила проектирования"
(утв. и введен в действие Приказом Минстроя России от 13.12.2017 N 1661/пр)
Утвержден и введен в действие
и жилищно-коммунального хозяйства
Российской Федерации
от 13 декабря 2017 г. N 1661/пр
СВОД ПРАВИЛ
КОНСТРУКЦИИ КАРКАСНЫЕ ЖЕЛЕЗОБЕТОННЫЕ СБОРНЫЕ
МНОГОЭТАЖНЫХ ЗДАНИЙ
ПРАВИЛА ПРОЕКТИРОВАНИЯ
Prefabricated reinforced concrete frame constructions
multi-storey buildings. Rules of design
СП 356.1325800.2017
Дата введения
14 июня 2018 года
Сведения о своде правил
1 ИСПОЛНИТЕЛЬ - Акционерное общество "Центральный научно-исследовательский и проектно-экспериментальный институт промышленных зданий и сооружений" (АО "ЦНИИПромзданий")
2 ВНЕСЕН Техническим комитетом по стандартизации ТК 465 "Строительство"
3 ПОДГОТОВЛЕН к утверждению Департаментом градостроительной деятельности и архитектуры Министерства строительства и жилищно-коммунального хозяйства Российской Федерации (Минстрой России)
4 УТВЕРЖДЕН
приказом Министерства строительства и жилищно-коммунального хозяйства Российской Федерации от 13 декабря 2017 г. N 1661/пр и введен в действие с 14 июня 2018 г.
5 ЗАРЕГИСТРИРОВАН Федеральным агентством по техническому регулированию и метрологии (Росстандарт)
6 ВВЕДЕН ВПЕРВЫЕ
В случае пересмотра (замены) или отмены настоящего свода правил соответствующее уведомление будет опубликовано в установленном порядке. Соответствующая информация, уведомление и тексты размещаются также в информационной системе общего пользования - на официальном сайте разработчика (Минстрой России) в сети Интернет
Настоящий свод правил разработан в соответствии с Федеральным
законом от 30 декабря 2009 г. N 384-ФЗ "Технический регламент о безопасности зданий и сооружений" и Федеральным
законом от 27 декабря 2002 г. N 184-ФЗ "О техническом регулировании" и содержит требования по расчету и конструированию несущих конструкций каркасных железобетонных сборных многоэтажных зданий.
Свод правил разработан авторским коллективом АО "ЦНИИПромзданий" (д-р техн. наук В.В. Гранев, д-р техн. наук Э.Н. Кодыш, д-р техн. наук Н.Н. Трекин, канд. техн. наук Н.Г. Келасьев, инженеры И.К. Никитин, И.А. Терехов).
1.1 Настоящий свод правил распространяется на проектирование каркасных балочных конструктивных систем, выполненных из сборного железобетона, элементы которых соединены в пространственную систему с помощью жестких (ограниченно податливых) или шарнирных узлов и омоноличивания швов между поверхностями стыкуемых сборных элементов для всех природно-климатических зон Российской Федерации, кроме площадок сейсмичностью 7 и более баллов и зон вечной мерзлоты.
1.2 Свод правил устанавливает требования к расчету и конструированию железобетонных конструкций из тяжелого, мелкозернистого и легкого конструкционного бетонов, для зданий высотой не более 75 м.
1.3 Свод правил не распространяется на конструкции технически сложных, уникальных многоэтажных зданий и зданий с особо опасным производством.
В настоящем своде правил использованы нормативные ссылки на следующие документы:
ГОСТ 12.1.012-2004 Система стандартов безопасности труда. Вибрационная безопасность. Общие требования
ГОСТ 5781-82 Сталь горячекатаная для армирования железобетонных конструкций. Технические условия
ГОСТ 6727-80 Проволока из низкоуглеродистой стали холоднотянутая для армирования железобетонных конструкций. Технические условия
ГОСТ 7348-81 Проволока из углеродистой стали для армирования предварительно напряженных железобетонных конструкций. Технические условия
ГОСТ 8829-94 Изделия строительные железобетонные и бетонные заводского изготовления. Методы испытаний нагружением. Правила оценки прочности, жесткости и трещиностойкости
ГОСТ 10884-94 Сталь арматурная термомеханически упрочненная для железобетонных конструкций. Технические условия
ГОСТ 10922-2012 Арматурные и закладные изделия, их сварные, вязаные механические соединения для железобетонных конструкций. Общие технические условия
ГОСТ 11024-2012 Панели стеновые наружные бетонные и железобетонные для жилых и общественных зданий. Общие технические условия
ГОСТ 13015-2012 Изделия бетонные и железобетонные для строительства. Общие технические требования. Правила приемки, маркировки, транспортирования и хранения
ГОСТ 13840-68 Канаты стальные арматурные 1 x 7. Технические условия
ГОСТ 18979-2014 Колонны железобетонные для многоэтажных зданий. Технические условия
ГОСТ 18980-2015 Ригели железобетонные для многоэтажных зданий. Технические условия
ГОСТ 21506-2013 Плиты перекрытий железобетонные ребристые высотой 300 мм для зданий и сооружений. Технические условия
ГОСТ 23009-2016 Конструкции и изделия бетонные и железобетонные сборные. Условные обозначения (марки)
ГОСТ 27215-2013 Плиты перекрытий железобетонные ребристые высотой 400 мм для промышленных зданий и сооружений. Технические условия
ГОСТ 27751-2014 Надежность строительных конструкций и оснований. Основные положения
ГОСТ 28042-2013 Плиты покрытий железобетонные для зданий и сооружений. Технические условия
ГОСТ 28984-2011 Модульная координация размеров в строительстве. Основные положения
ГОСТ 31310-2005 Панели стеновые трехслойные железобетонные с эффективным утеплителем. Общие технические условия
ГОСТ 32488-2013 Панели стеновые наружные железобетонные из керамзитобетона для жилых и общественных зданий. Технические условия
ГОСТ 32499-2013 Плиты перекрытий железобетонные многопустотные для зданий пролетом до 9 м стендового формования. Технические условия
ГОСТ Р 52544-2006 Прокат арматурный свариваемый периодического профиля классов А500С и В500С для армирования железобетонных конструкций
СП 14.13330.2014 "СНиП II-7-81* Строительство в сейсмических районах" (с изменением N 1)
СП 15.13330.2012 "СНиП II-22-81* Каменные и армокаменные конструкции" (с изменениями N 1, N 2)
СП 27.13330.2017 "СНиП 2.03.04-84 Бетонные и железобетонные конструкции, предназначенные для работы в условиях воздействия повышенных и высоких температур"
СП 44.13330.2011 "СНиП 2.09.04-87 Административные и бытовые здания" (с изменением N 1)
СП 63.13330.2012 "СНиП 52-01-2003 Бетонные и железобетонные конструкции. Основные положения" (с изменениями N 1, N 2, N 3)
СП 70.13330.2012 "СНиП 3.03.01-87 Несущие и ограждающие конструкции" (с изменениями N 1, N 3)
СП 118.13330.2012 "СНиП 31-06-2009 Общественные здания и сооружения" (с изменениями N 1, N 2)
Примечание - При пользовании настоящим сводом правил целесообразно проверить действие ссылочных документов в информационной системе общего пользования - на официальном сайте федерального органа исполнительной власти в сфере стандартизации в сети Интернет или по ежегодному информационному указателю "Национальные стандарты", который опубликован по состоянию на 1 января текущего года, и по выпускам ежемесячного информационного указателя "Национальные стандарты" за текущий год. Если заменен ссылочный документ, на который дана недатированная ссылка, то рекомендуется использовать действующую версию этого документа с учетом всех внесенных в данную версию изменений. Если заменен ссылочный документ, на который дана датированная ссылка, то рекомендуется использовать версию этого документа с указанным выше годом утверждения (принятия). Если после утверждения настоящего свода правил в ссылочный документ, на который дана датированная ссылка, внесено изменение, затрагивающее положение, на которое дана ссылка, то это положение рекомендуется применять без учета данного изменения. Если ссылочный документ отменен без замены, то положение, в котором дана ссылка на него, рекомендуется применять в части, не затрагивающей эту ссылку. Сведения о действии сводов правил целесообразно проверить в Федеральном информационном фонде стандартов.
В настоящем своде правил применены следующие термины с соответствующими определениями:
3.1 диафрагма жесткости: Плоский вертикальный несущий элемент консольного типа, предназначенный для обеспечения пространственной жесткости здания путем восприятия горизонтальных нагрузок и передачи усилий на фундамент.
3.2 диск перекрытия: Плоский составной несущий элемент оконтуренный планом здания, состоящий из ригелей и опертых на них плит перекрытия, предназначенный для восприятия вертикальных нагрузок и передачи их на колонны каркаса, горизонтальных нагрузок для передачи их диафрагмам жесткости и объединения всех вертикальных несущих элементов в единую пространственную систему.
3.3 габаритная схема: Графически изображаемые параметры объемно-планировочного решения здания.
3.4 конструктивная система: Совокупность взаимосвязанных несущих конструктивных элементов здания, обеспечивающих его прочность и устойчивость.
3.5 конструктивная схема: Схема взаимодействия несущих элементов здания, обеспечивающая требуемое распределение усилий в них для определения их несущей способности.
3.6 основание сооружения: Часть массива грунта, непосредственно воспринимающая нагрузку от сооружения.
3.7 продольная (поперечная) рама: Плоский элемент каркаса здания, состоящий из колонн, элементов жесткости и горизонтальных ригелей, применяемый для описания конструктивной схемы здания и выполнения приближенных расчетов.
3.8 расчетная схема (модель): Модель конструктивной системы, с указанием геометрических и физических параметров, характера взаимодействия между ее элементами и применяемая для проведения расчетов с целью получения значений внутренних усилий и деформаций.
3.9 ригель: Линейный несущий строительный элемент, расположенный горизонтально или наклонно, соединяющий вертикальные элементы и служащий опорой для плит перекрытия и покрытия.
3.10 связевая панель: Конструкция, состоящая из двух колонн, соединенных металлическими (треугольными, портальными или крестовыми) связями, предназначенная для восприятия и передачи на фундамент горизонтальной нагрузки.
3.11 температурный (деформационный) шов: Шов разделяющий несущие конструкции здания на блоки и исключающий передачу на соседний блок температурных, влажностных, силовых и вынужденных деформаций.
3.12 ядро жесткости: Вертикальная конструкция, выполненная в виде лестничной клетки, лифтовой шахты или вертикального коммуникационного канала из кирпича, монолитного или сборного железобетона, обладающая пространственной жесткостью и совместно с диском перекрытия повышающая (обеспечивающая) устойчивость здания.
4.1 Основные положения по проектированию жилых многоквартирных зданий, в том числе требования пожарной безопасности, следует принимать в соответствии с
СП 54.13330, общественных зданий и сооружений - в соответствии с
СП 118.13330, зданий и сооружений производственного назначения - в соответствии с
СП 56.13330, административных и бытовых - в соответствии с
СП 44.13330.
4.2 Для многоэтажных каркасных зданий следует устанавливать класс (КС-2, КС-3) и уровень ответственности в соответствии с
ГОСТ 27751 и
[1].
4.3 Объемно-планировочными и конструктивными решениями зданий должны быть исключены возможности получения травм при нахождении в них людей в процессе проживания, передвижения, работы, пользования передвижными устройствами, технологическим и инженерным оборудованием, а также снижения динамических воздействий на строительные конструкции, технологические процессы и работающих, вызываемых виброактивным оборудованием или внешними источниками колебаний.
4.4 Конструкции для зданий классов КС-3 и КС-2, в которых в пределах температурного блока могут находиться более 100 человек, должны обладать требуемой надежностью и долговечностью, а также устойчивостью к прогрессирующему обрушению.
4.5 Определение усилий и деформаций в сборных железобетонных конструкциях следует производить на основе расчетных схем (моделей), наиболее близко соответствующих реальному физическому характеру работы конструкций и материалов в рассматриваемом предельном состоянии, учитывая
5.1.2 СП 63.13330.2012.
4.6 При расчетах сборных железобетонных конструкций по предельным состояниям следует рассматривать различные расчетные ситуации в соответствии с
ГОСТ 27751, в том числе стадии изготовления, транспортирования, возведения, эксплуатации, аварийные ситуации и пожар.
5 Конструктивные решения многоэтажных каркасных зданий
5.1 Система унификации габаритных схем
5.1.1 Формирование габаритной схемы каркасной конструктивной системы рекомендуется начинать с привязки несущих вертикальных конструкций к координационным осям.
5.1.2 Основные размеры зданий в плане - как общие, так и отдельных ячеек - следует измерять между координационными осями. Система пересекающихся осей зданий в плане образует сетку координационных осей.
5.1.3 Координационные и конструктивные размеры элементов каркаса следует назначать в соответствии с
разделом 6 ГОСТ 28984-2011, а привязку к координатным осям - в соответствии с
разделом 7 ГОСТ 28984-2011 и настоящим сводом правил.
5.1.4 Привязка конструкций к координационным осям здания показана на
рисунке 5.1 на примере каркаса с сеткой колонн 6 x 6 м и размерами колонн 400 x 400.
Рисунок 5.1 - Привязка конструкций
к координационным осям здания
5.1.5 В каркасных зданиях оси колонн внутренних рядов следует совмещать с координационными осями (осевая привязка). В торцевых рядах колонн зданий возможны два варианта привязки: осевая или со смещением оси колонны внутрь зданий.
5.1.6 Для формирования ограждений в углах зданий следует применять стеновой угловой блок или удлиненные панели.
5.1.7 В местах расположения температурных швов следует устанавливать парные колонны с вертикальным разрезанием примыкающих несущих и ограждающих конструкций. Снаружи промежуток между колоннами в температурном шве следует закрывать с помощью удлиненных панелей или панелей-вставок. Оптимальным считается решение, при котором колонны смещены на 500 мм от разбивочной оси. Допускается устройство температурного шва на одной колонне с применением скользящих прокладок.
5.1.8 При проектировании конструкций массового применения рекомендуется применять шаги колонн 3; 6; 7,2; 9 и 12 м, а высоты этажей принимать 3,3; 3,6; 4,2; 4,8; и 6,0 м или их сочетания.
5.2 Классификация конструктивных схем зданий
5.2.1 По способу восприятия горизонтальных усилий каркасы делят на три конструктивные схемы
(таблица 5.1), в наименованиях которых содержатся две их основные характеристики - тип узлов сопряжения горизонтальных и вертикальных элементов каркаса и способ восприятия горизонтальных усилий:
- связевые;
- рамно-связевые;
- рамные.
В
таблице 5.2 приведены примеры расположения элементов жесткости в плане здания и их конструктивные решения.
Таблица 5.1
Расчетные схемы вертикальных рам
каркасно-балочных (ригельных) зданий
Типы рамы | Схемы каркасов |
Связевые | Рамно-связевые | Рамные |
Поперечные | | | |
Продольные | | | |
Обозначения: 1 - колонна; 2 - перекрытие; 3 - шарнирный узел; 4 - жесткий узел. |
Таблица 5.2
Расположение элементов жесткости в плане здания
и их конструктивные решения
Металлические связи | Диафрагмы жесткости | Ядра жесткости |
| | |
| | |
Обозначения: 1 - колонна; 2 - ригель перекрытия; 3 - металлическая связь (связевая панель); 4 - диафрагма жесткости; 5 - ядро жесткости. |
5.2.2 В каркасных (ригельных) зданиях усилия от вертикальных нагрузок и воздействий следует воспринимать плитами перекрытий и покрытий, а затем через ригели (балки) передавать на колонны. Горизонтальные нагрузки и воздействия (ветровые, температурные, силовые) следует передавать через жесткий диск перекрытия на рамы или вертикальные элементы жесткости (связевые панели, диафрагмы и ядра жесткости), обеспечивающие устойчивость здания в поперечном и продольном направлениях.
5.3.1 В связевом каркасе предусмотрено максимальное разделение несущих элементов по назначению и минимальное их взаимовлияние. Вертикальные несущие элементы колонны каркаса следует сопрягать с элементами перекрытия - ригелями и плитами, условно шарнирно
(рисунок 5.2).
5.3.2 Устойчивость каркаса следует обеспечивать вертикальными элементами жесткости, воспринимающими горизонтальные нагрузки, передаваемые диском перекрытия.
В качестве вертикальных элементов жесткости следует использовать:
- связевые панели с треугольной, портальной или крестовой решеткой
(рисунок 5.4);
5.3.3 На температурный блок в каждом направлении должно быть не менее двух вертикальных элементов жесткости (кроме ядер жесткости), т.е. не менее четырех на блок, за исключением двухпролетных зданий, где их число должно быть не менее трех. Минимально необходимое число элементов жесткости следует определять расчетом с учетом
6.1.9.
а - сопряжение ригеля с колонной со скрытой прямоугольной
консолью; б - сопряжение ригеля с колонной со скрытой
консолью и верхней монтажной соединительной пластиной
Рисунок 5.2 - Конструкции сопряжений ригеля
с колонной в связевом каркасе
а - с полкой для опирания плит; б - плоская
Рисунок 5.3 - Диафрагмы жесткости
а - треугольная решетка; б - портальная решетка;
в - крестовая решетка
Рисунок 5.4 - Связевые панели с металлической решеткой
а - сборные; б - монолитные
Рисунок 5.5 - Ядра жесткости
5.3.4 Геометрические оси всех связевых панелей, расположенных в одном температурном блоке, не должны пересекаться в одной точке.
5.3.5 В одном температурном блоке возможно применение разных вертикальных элементов жесткости в зависимости от объемно-планировочных решений. Наряду со связевыми панелями допускаются диафрагмы жесткости, образуемые конструктивными решениями стен (ограждений) вокруг лестниц и лифтов.
5.3.6 Для зданий с симметричным планом вертикальные элементы жесткости следует располагать симметрично. Для зданий с несимметричным планом вертикальные элементы жесткости следует располагать таким образом, чтобы линия действия результирующей ветровой нагрузки совпадала с центром жесткости зданий. При несовпадении горизонтальной нагрузки с центром жесткостей зданий дополнительно следует учитывать горизонтальные перемещения от неравномерных вертикальных деформаций и кручения зданий вокруг центра вращения. Допускается не учитывать дополнительно горизонтальные перемещения при несовпадении до 6 м.
5.3.7 Расстояние между вертикальными элементами жесткости на плане зданий следует определять с учетом возможности восприятия горизонтальных нагрузок связевыми плитами, ригелями и их узловыми сопряжениями в плоскости дисков перекрытий. При этом диски перекрытий и покрытия из сборных железобетонных плит допускается рассматривать как высокие изгибаемые составные элементы, опоры которых - вертикальные элементы жесткости.
5.3.8 Совокупность вертикальных и горизонтальных нагрузок вызывает в элементах диска перекрытий и в их соединениях усилия растяжения, сжатия и сдвига.
Сжимающие усилия воспринимаются всем поперечным сечением элементов диска, а на растяжение работает дополнительная арматура межколонных плит, ригели и сварные швы в узлах их крепления к колоннам и плит к ригелям.
Сдвигающие усилия в дисках перекрытия и покрытия воспринимаются плитами по площадкам опирания на ригели, межплитными боковыми и торцевыми швами, сварными соединениями в зонах опирания плит и ригелей. Для обеспечения восприятия сдвиговых усилий швами на стыкуемых поверхностях сборных элементов следует предусматривать углубления для образования растворных шпонок (рисунок 5.6).
а - замкнутые круглые; б - трапециевидные,
открытые к верху; в - сплошные продольные
Рисунок 5.6 - Пример боковой поверхности пустотных плит,
образующих после омоноличивания межплитные шпонки
5.3.9 Для обеспечения работы диска перекрытия и покрытия по
5.3.7 и
5.3.8 все сопряжения сборных железобетонных элементов каркаса (стыки колонн, горизонтальные стыки диафрагм жесткости, вертикальные швы составных диафрагм и между диафрагмами и колоннами, швы между элементами перекрытий) должны заделываться мелкозернистым бетоном (B15) или раствором (М50) с контролем качества выполненных работ.
5.3.10 В связевых панелях вертикальные стальные связи следует устанавливать в пролетах между колоннами на всю высоту здания. Соединения элементов связи с колоннами осуществляются их приваркой к закладным деталям.
Раскосы связевого блока на первом этаже, следует соединять непосредственно с фундаментами колонн.
Точки пересечения вертикальной оси колонны с осями элементов связи должны быть максимально сближены.
Примечание - Допускается, при соответствующем расчетном обосновании, не устанавливать связи на верхнем этаже здания.
5.3.11 Диафрагмы жесткости следует устанавливать в пролете между колоннами и соединять между собой и с колоннами жесткими соединениями - сваркой накладок с закладными деталями вдоль вертикальных граней, а также заделкой горизонтальных и вертикальных швов раствором.
5.3.12 Лестничные клетки, шахты лифтов и инженерно-технических коммуникаций (в промышленных зданиях - технических разводок), рекомендуется использовать в качестве элементов жесткости, обеспечивающих устойчивость зданий.
5.3.13 Для зданий длиной более 60 м с ядром жесткости рекомендуется установка дополнительных плоских вертикальных элементов жесткости, располагаемых в ортогональных плоскостях в несопрягаемых ячейках сетки колонн.
5.4.1 В рамном каркасе пространственную жесткость следует обеспечивать продольными и поперечными рамами с жесткими соединениями вертикальных (колонны), горизонтальных (ригели, балки) несущих конструкций и фундаментов
(рисунок 5.7).
5.4.2 Жесткое соединение ригеля с колонной следует обеспечивать сварным соединением закладных деталей ригеля и колонны, анкеровкой верхней арматуры ригеля в теле колонны или приваркой к закладной детали колонны с последующим омоноличиванием швов.
5.4.3 Момент воспринимаемый узлом сопряжения ригеля с колонной при заданном классе бетона омоноличивания следует определять площадью поперечного сечения выпусков верхней опорной арматуры ригеля и колонны и сечением накладок и сварных швов в нижней опорной зоне.
5.4.4 Жесткое сопряжение колонны с фундаментом следует обеспечивать глубиной заделки колонны и анкеровкой продольной арматуры колонн в стакане сборного фундамента.
5.4.5 При необходимости перераспределения горизонтальных нагрузок между рамами с различными жесткостными характеристиками следует учитывать усилия, которые возникают в основном в плоскости дисков перекрытий.
а - с опиранием на открытую консоль;
б - с опиранием на скрытую консоль
Рисунок 5.7 - Рамный узел сопряжения ригеля с колонной
5.5 Рамно-связевые каркасы
5.5.1 В рамно-связевом каркасе следует предусматривать жесткие узлы в поперечном и шарнирные в продольном направлениях (с установкой между колоннами в продольном направлении вертикальных элементов жесткости). Каркас представляет собой пространственную систему, состоящую из плоских поперечных рам с жесткими узлами сопряжения ригеля с колонной, объединенных между собой с помощью плит междуэтажных перекрытий и покрытия, образующих жесткий в своей плоскости диск и элементов жесткости по колоннам продольного направления.
5.5.2 Продольную устойчивость каркаса следует обеспечивать постановкой вертикальных элементов жесткости между колоннами в одном из шагов на всю высоту каркаса, не менее чем в двух продольных рядах колонн и жесткими дисками перекрытий. В двухпролетных зданиях допускается устанавливать элементы жесткости в одном среднем ряду.
5.5.3 Частный случай рамно-связевого каркаса - комбинированно-связевый каркас, в котором необходимо предусматривать установку жестких узлов по крайним колоннам поперечных рам. Число шарнирных и жестких узлов следует определять расчетом. Комбинированно-связевые каркасы рекомендуется применять при этажности не более пяти.
6 Расчет несущей системы здания
6.1 Нагрузки и воздействия
6.1.1 Нагрузки и воздействия на несущую систему многоэтажных каркасных зданий следует принимать в соответствии с
СП 20.13330.
Температурные воздействия следует учитывать при размерах температурного блока выше определенного расчетом в соответствии с
9.24 СП 27.13330.2017, для производственных зданий с повышенными технологическими температурами и в особых случаях, указанных в техническом задании на проектирование.
Нагрузки в стадии возведения рекомендуется учитывать при конструктивных схемах каркаса на период монтажа, отличных от схемы в стадии эксплуатации: установка временных фиксирующих устройств при монтаже, ветровые нагрузки на колонны, внутренние стены, диафрагмы жесткости, снеговые - на междуэтажные перекрытия. При этом ветровые и снеговые нагрузки, а также температурно-климатические воздействия принимаются сниженными на 20%.
6.1.2 При расчете многоэтажных каркасных зданий по пространственным расчетным схемам, в соответствии с заданием на проектирование, следует дополнительно учитывать:
- временную распределенную нагрузку на перекрытие и покрытие;
- технологическую нагрузку для производственных зданий.
6.1.3 Сочетания нагрузок следует принимать в соответствии с
разделом 6 СП 20.13330.2016.
6.1.4 При расчете отдельных элементов рамы по прочности, трещиностойкости и деформациям следует учитывать вероятность одновременного расположения временной нагрузки на всех этажах здания в соответствии с
разделом 8 СП 20.13330.2016.
6.1.5 При расчете на прочность и устойчивость все нагрузки следует принимать с учетом коэффициентов надежности

, принимаемых согласно
разделу 7 СП 20.13330.2016.
6.1.6 В зависимости от причин ограничения прогибов и перемещений при их определении следует учитывать различные нагрузки.
Прогибы и перемещения ограничиваются следующими требованиями:
технологические - обеспечение условий нормальной эксплуатации технологического оборудования разного рода;
конструктивные - обеспечение целостности заполнения каркаса стенами, перегородками, оконными и дверными элементами;
физиологические - предотвращение вредных воздействий и ощущений дискомфорта при перемещениях и колебаниях;
эстетико-психологические - обеспечение благоприятных впечатлений от внешнего вида конструкций, исключение ощущений опасности и дискомфорта.
6.1.7 При наличии в зданиях технологического оборудования, вызывающего колебания строительных конструкций, предельные значения виброперемещений, виброскорости и виброускорения
[2] следует принимать в соответствии с
ГОСТ 12.1.012. При наличии высокоточного оборудования и приборов, чувствительных к колебаниям конструкций, на которых они установлены, предельные значения виброперемещений, виброскорости и виброускорения следует определять в соответствии с
[1]. При этом учитываются только нагрузки, вызывающие колебания при непродолжительном их действии.
| | ИС МЕГАНОРМ: примечание. В официальном тексте документа, видимо, допущена опечатка: таблица Е.4 в приложении Е СП 20.13330.2016 отсутствует. Возможно, имеется в виду таблица Д.4. | |
6.1.8 Предельные относительные перемещения перекрытий в пределах одного этажа определяются характером перегородок, стен и их креплений к каркасу и принимаются согласно
таблице Е.4 (приложение Е) СП 20.13330.2016.
6.1.9 Для зданий высотой более 40 м при определении перемещений следует учитывать крен фундаментов под элементами жесткости (связи, диафрагмы и т.п.).
| | ИС МЕГАНОРМ: примечание. В официальном тексте документа, видимо, допущена опечатка: пункт Е.2.4.5 в приложении Е СП 20.13330.2016 отсутствует. Возможно, имеется в виду пункт Д.2.4.5. | |
6.1.10 При температурных климатических и усадочных воздействиях предельные прогибы следует принимать согласно
Е.2.4.5 (приложение Е) СП 20.13330.2016.
6.1.11 Проверки перемещений перекрытий от ветровой нагрузки и от температурно-климатических воздействий следует проводить раздельно.
| | ИС МЕГАНОРМ: примечание. В официальном тексте документа, видимо, допущена опечатка: имеется в виду таблица Д.1, а не Е.1. | |
6.1.12 Для соблюдения эстетико-психологических требований следует учитывать продолжительное действие только постоянных и длительных нагрузок. Вертикальные предельные прогибы следует принимать в соответствии с
таблицей Е.1 (приложение Е) СП 20.13330.2016.
| | ИС МЕГАНОРМ: примечание. В официальном тексте документа, видимо, допущена опечатка: пункт Е.1.7 в приложении Е СП 20.13330.2016 отсутствует. Возможно, имеется в виду пункт Д.1.7. | |
6.1.13 При наличии между стенами капитальных перегородок необходимо учитывать
Е.1.7 (приложение Е) СП 20.13330.2016.
| | ИС МЕГАНОРМ: примечание. В официальном тексте документа, видимо, допущена опечатка: пункт Е.1.6 в приложении Е СП 20.13330.2016 отсутствует. имеется в виду пункт Д.1.6. | |
6.1.14 Прогибы, ограниченные исходя из конструктивных требований, следует принимать согласно
Е.1.6 (приложение Е) СП 20.13330.2016.
6.1.15 На стадии вариантного проектирования для расчетов связевых каркасов по плоской расчетной схеме следует учитывать воздействие на элементы жесткости моментов от неравномерного загружения прилегающих участков перекрытий временными нагрузками.
6.2 Расчет каркасной конструктивной системы
6.2.1 Расчет каркасной конструктивной системы включает:
- расчет несущей системы с определением усилий и деформаций;
- расчет элементов конструктивной системы (колонн, ригелей, плит перекрытий и покрытия, фундаментов, стен, элементов жесткости) по предельным состояниям первой и второй групп;
- расчет зданий на прогрессирующее обрушение для обеспечения прочности и устойчивости каркаса при возможной аварийной ситуации, которую следует предусматривать для зданий классов КС-3 и КС-2 с массовым нахождением людей согласно
5.2.6 ГОСТ 27751-2014;
- оценку несущей способности основания и деформации фундаментов.
6.2.2 Расчет несущей конструктивной системы следует производить в пространственной постановке с учетом совместной работы надземных и подземных конструкций, фундамента и основания под ним.
Рекомендуется учитывать работу стен в составе каркаса, которые воспринимают часть горизонтальной нагрузки, что заметно повышает жесткость системы "каркас-стена" и изменяет значение и распределение усилий в его элементах.
Распределение перемещений по высоте связевого и рамного каркасов, работающих совместно со стенами, допускается принимать линейным.
6.2.3 Расчет несущих конструктивных систем производят с применением фактических жесткостей железобетонных элементов.
Жесткости железобетонных элементов определяют по поперечному сечению с учетом образования трещин, а также учитывая развитие неупругих деформаций в бетоне и арматуре по диаграммам состояния, соответствующих кратковременному и длительному действиям нагрузки.
При применении упрощенных диаграмм состояния бетона и арматуры жесткость железобетонных элементов на ее начальном участке определяется как для упругого тела. На следующих участках необходимо учитывать напряженное состояние по принятой диаграмме в соответствии с
разделом 6 СП 63.13330.2012.
6.2.4 Для определения начального армирования (первый этап) железобетонных элементов конструктивной системы рекомендуется учитывать нелинейную работу снижением их жесткостей с помощью понижающих коэффициентов.
Учитывая, что распределение усилий в элементах конструктивных систем зависит, в основном, не от значения, а от соотношения жесткостей этих элементов, при расчете по предельным состояниям первой и второй групп в первом приближении рекомендуется принимать модуль упругости материала равным Eb с понижающими коэффициентами: 0,8 - для колонн, ригелей, плит перекрытий (покрытий) с учетом длительности действия нагрузки; 0,35 - для швов в узлах сопряжения конструкций.
6.2.5 На стадии уточнения расчета в конструктивной системе используются в качестве исходных данных значения сечений элементов и начального армирования, полученные на первом этапе.
6.2.6 При расчете на устойчивость конструктивной системы следует производить проверку устойчивости формы конструктивной системы, а также устойчивости положения конструктивной системы на опрокидывание и на сдвиг.
Запас по устойчивости должен быть не менее чем двукратным.
При расчете устойчивости положения конструктивные системы следует рассматривать как жесткое недеформированное тело. При расчете на опрокидывание удерживающий момент от вертикальной нагрузки должен превышать опрокидывающий момент от горизонтальной нагрузки с коэффициентом 1,5. При расчете на сдвиг удерживающая горизонтальная сила должна превышать действующую сдвигающую силу с коэффициентом 1,2. При этом следует учитывать наиболее неблагоприятные значения коэффициентов надежности по нагрузке.
6.2.7 Физическая модель многоэтажного каркасного здания из сборного железобетона должна представлять собой трехмерную систему, состоящую из фундаментов, расположенных на деформируемом основании, колонн, вертикальных элементов жесткости, объединенных сборными дисками перекрытий и покрытия, которые в свою очередь состоят из ригелей и опертых на них плит, узловых сопряжений и стыков всех сборных элементов, а также данных о физико-механических характеристиках применяемых материалов и узлов сопряжений.
6.2.8 Распределение внутренних усилий в несущих элементах системы и характер перераспределения между ними внешних силовых воздействий следует определять жесткостью самих элементов и податливостью сопряжений. Поскольку жесткость железобетонных элементов и податливость узловых сопряжений во многом зависят от их напряженно-деформированного состояния, характеристик применяемых материалов и других параметров, связанных с условиями эксплуатации, то для расчета должны быть заданы начальные данные по физической модели - геометрия здания и его элементов, их физико-механические характеристики.
6.2.9 Для расчета пространственных конструктивных систем рекомендуется применять дискретные расчетные модели, используя программные комплексы с методом конечных элементов (МКЭ), в инструкциях к которым содержатся детализированные указания по их применению, в том числе по разбивке на участки.
6.2.10 Ограждающие конструкции и внутренние перегородки в расчетной схеме представляются в виде внешних нагрузок. Их влияние на распределение усилий в несущей системе каркаса и обеспечение пространственной жесткости допускается не учитывать.
6.2.11 В связевых каркасах сопряжения ригелей с колоннами и плит с ригелями моделируются в виде неподвижных шарниров, обеспечивающих свободный поворот в плоскости рам.
6.2.12 В рамных балочных каркасах сопряжения ригелей с колоннами моделируются жесткими, а плит с ригелями в виде неподвижных шарниров, обеспечивающих свободный поворот в плоскости пролетов плит.
6.2.13 Сборные диски перекрытия и покрытия из плит сложных поперечных сечений моделируются в виде сплошных анизотропных пластин, работающих по балочной схеме, в направлении ортогонально расположению ригелей и объединенных связями сдвига в плоскости и из плоскости перекрытия. Продольные швы между плитами воспринимают только сжимающие и сдвигающие усилия.
6.2.14 Стержневые элементы каркаса (ригели и колонны), наряду с диском перекрытия (плиты) - гибкие элементы несущей системы. При изгибе их продольная ось получает кривизну и возникающие местные деформации отличаются по длине элементов. Для достаточной точности учета изменения жесткости по длине таких элементов, их следует разбивать на участки с шагом, равным высоте сечения элемента в направлении наибольшего изгибающего момента. При этом для прямоугольных колонн за высоту следует принимать больший размер сечения.
6.2.15 При моделировании плоских сборных железобетонных диафрагм следует учитывать, что в отличие от перекрытий, они не подвергаются неупругим деформациям из плоскости. Нелинейность деформирования в плоскости изменяется только по ширине диафрагмы и незначительно - по высоте, поэтому для ее учета требуется лишь дополнительная разбивка в вертикальном направлении.
6.2.16 Расчеты напряженно-деформированного состояния железобетонных линейных, плоскостных и объемных элементов и узловых сопряжений по нормальным сечениям следует производить в соответствии с
СП 63.13330.
Расчеты по наклонным и пространственным сечениям железобетонных элементов следует производить на основе полученных комбинаций усилий по схемам, приведенным в
СП 63.13330.
6.2.17 Расчеты по упрощенным схемам, приведенным в
приложении А, допускается производить на стадии вариантного проектирования для выбора рациональной конструктивной схемы каркаса, подбора типа и числа вертикальных элементов жесткости, их расположения, удовлетворяющих требованиям объемно-планировочных решений.
6.3 Уточненные расчетные схемы каркаса
6.3.1 В рамных каркасах рекомендуется учитывать повышенную деформативность в узлах сопряжения ригеля с колонной вследствие появления неупругих деформаций, образования и развития трещин.
6.3.2 В связевых каркасах в местах сопряжения колонн с перекрытием следует учитывать частичное защемление при действии горизонтальных нагрузок, что повышает пространственную жесткость каркаса. При этом, за счет конструктивной анизотропии, проявляющейся в большинстве конструкций узлов, имеет место одностороннее защемление.
6.3.3 При расчете элементов перекрытия - ригелей и плит, следует учитывать ограничения горизонтальных перемещений, из-за которых в конструкциях возникают распорные усилия, действующие, как правило, по линиям опирания сборных конструкций. Распор вызывает обжатие узла и, при наличии сварных соединений, изгибающий момент на опоре, обратный моменту от действия вертикальной нагрузки. Обжатие узла частично устраняет остаточные деформации от изгиба и повышает жесткость сопряжения.
6.3.4 В расчетной схеме рамного узла оси элементов следует принимать проходящими по линии центра тяжести сечения бетонного элемента. В узле жесткость приопорного участка элемента EI в пределах высоты сечения элемента другого направления следует принимать равной бесконечности, а за расчетное опорное сечение следует принимать сечение в начале участка - по грани элемента другого направления (рисунок 6.1). При наличии консоли колонны длины жестких участков, равные половине высоты сечения колонны hc/2, увеличиваются на длину этой консоли lк для ригеля и на среднюю высоту консоли для колонны (рисунок 6.1).
а - конструктивная; б - расчетная
Рисунок 6.1 - Схемы жестких узлов
6.3.5 При шарнирных узлах за центр шарнира следует принимать точку приложения опорной реакции ригеля. При отсутствии выступающей закладной детали эпюру давления ригеля, с длиной опирания lоп, на консоль следует принимать треугольной с максимальным давлением у свободного края консоли (рисунок 6.2, а). За жесткий участок опоры ригеля у шарнирного узла следует принимать участок от оси колонны до центра шарнира. При этом ось этого участка должна проходить на уровне верха консоли, т.е. может не совпадать с осью ригеля, что следует учитывать при назначении длин смежных колонн (рисунок 6.2, б). При наличии у колонны только шарнирных узлов жесткие участки колонны, примыкающие к этому узлу, отсутствуют.
а - конструктивная; б - расчетная
Рисунок 6.2 - Схемы шарнирных узлов
6.3.6 В стыках, по аналогии с сечениями железобетонных элементов, могут возникать три стадии напряженно-деформированного состояния: первая - условно-упругая; вторая - упруго-пластическая и третья - предельная по несущей способности.
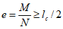
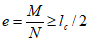
Критерием предельного состояния узлового сопряжения колонны с перекрытием рекомендуется принимать допустимый угол поворота опорного сечения ригеля или плиты перекрытия относительно оси колонны, который определяется:
- для предельных состояний первой группы - из условий достижения физического или условного предела текучести в растянутой или сжатой арматуре, временного сопротивления сжатию бетона шва или стыкуемых конструкций, предельного сдвига или отрыва закладных деталей;
- для предельных состояний второй группы - из условий предельных прогибов и горизонтальных перемещений, предельного раскрытия трещин.
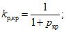
6.3.7 Коэффициент угловой жесткости узла сопряжения ригеля с колонной

равен отношению изгибающего момента
M к соответствующему углу поворота

опорного сечения ригеля относительно оси колонны:

(6.1)
Для рассматриваемых узлов типовых конструкций сопряжения ригеля с колонной коэффициент угловой жесткости стыка рекомендуется определять по формуле

(6.2)
где

и

приращения смещений от единичных усилий соответственно в сжатой и растянутой зонах сечения стыка;
h0 - расстояние между линиями измерения перемещений (расстояние от линии опирания ригеля или плиты перекрытия на консоль до центра тяжести растянутой или сжатой арматуры).
6.3.8 Деформативность связевых панелей в виде железобетонных колонн, соединенных решеткой из стальных элементов, следует определять из рассмотрения панели как фермы со всеми шарнирными узлами сопряжения стальных элементов друг с другом и с колонной (рисунок 6.3).
h1, h2, h3 - высота этажа; c1, c2, c3 - высота связевой
панели; a1, a2, a3 - расстояние от оси ригеля
до элемента связевой панели; а - конструктивная схема
панели; б - расчетные схемы фермы и колонны
в виде неразрезной балки
Рисунок 6.3 - Связевая панель
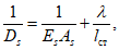
Стальные элементы соединяются с колонной через закладные детали, обладающие, как правило, некоторой податливостью. Поэтому осевую жесткость стальных элементов связей, соединенных с колонной Ds, следует определять по формуле

(6.3)
где Es и As - модуль упругости и площадь сечения стального элемента;

- проекция смещения закладной детали на ось стального элемента от действия единичной силы по этой оси;
lст - длина стального элемента.
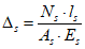
6.3.9 Жесткость диафрагмы в общем случае переменна по высоте, т.к. проемы в стенках на разных этажах могут быть различными (рисунок 6.4).
Рисунок 6.4 - Сборная железобетонная диафрагма жесткости
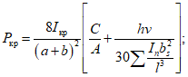
6.3.10 Для отдельного этажа изгибную жесткость диафрагмы Dизг следует определять по формуле
Dизг = kпkаkшkрEbI, (6.4)
где I - момент инерции всего ослабленного проемами сечения диафрагмы;
Eb - модуль деформации бетона;
kп - коэффициент ползучести бетона, принимаемый равным: 0,85 при непродолжительном действии нагрузок и

- при продолжительном действии нагрузок, где

- коэффициент ползучести, значение которого принимают согласно
6.1.16 СП 63.13330.2012;
kа = 1,02 - коэффициент, учитывающий наличие арматуры;
kш - коэффициент, учитывающий податливость сварных соединений и определяемый по формуле

(6.5)
здесь H и b - высота и ширина диафрагмы;
kр - коэффициент, учитывающий влияние перемычек над проемами и равный
kр = 1/(p + 1); (6.6)
для этажа с одним проемом коэффициент p определяется по формуле

(6.7)
здесь h - высота этажа;
l - ширина проема;
Iп - момент инерции сечения перемычки над проемом;
A1 и A2 - площадь сечения "столбов" диафрагмы у обеих сторон проема;
I1 и I2 - моменты инерции сечения столбов.
При наличии в диафрагме на одном этаже нескольких проемов значение
p принимается равным сумме значений
pi, определенных по
формуле (6.7) для каждого
i-го проема.
Сдвиговую жесткость диаграммы допускается определять по формуле
где G - модуль сдвига бетона стенки равный 0,4Eb;
A - площадь диафрагмы без учета проемов.
6.3.11 Податливость связей оказывает влияние на распределение усилий между элементами диафрагм и на перемещения здания, поэтому следует также учитывать податливость горизонтальных растворных швов сборных диафрагм жесткости, снижающих жесткость стеновых панелей.
6.3.12 При формировании расчетной схемы рекомендуется каждый конструктивный элемент - колонну, входящую в состав сборной диафрагмы жесткости, вертикальный ряд стен жесткости или простенков с проемом - рассматривать как самостоятельный столб.
6.3.13 В плоских диафрагмах жесткости изгибную и сдвиговую жесткости стены в плоскости следует определять как для упругого материала, т.е. по формулам:
Dsh =
bhG, (6.9)
где b и h - толщина и ширина стены;
E - для бетонной стены
E =
Eb, для кирпичной стены
E = 0,8
E0, где
E0 - модуль деформации кладки, следует принимать согласно
СП 15.13330;
G - модуль сдвига; для кирпичной стены G = 0,4E0.
При наличии проемов ширину стены
h в
формуле (6.9) следует принимать за вычетом ширины проемов на участках высотой равной высоте проемов.
6.3.14 Жесткость ядра следует определять аналогично жесткости диафрагмы, если стены выполнены из сборного железобетона, при этом определяются жесткости в направлении обеих главных осей.
Аналогично следует определять жесткость ядра из монолитного железобетона и из кирпича. При этом для стен из железобетона принимается kш = 1,0, а для стен из кирпича kпkаkш = 1,0, Eb = 0,8E0, G = 0,4E0.
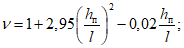
6.3.15 Жесткость ядра при кручении следует определять по формуле
D = kпkаkшkр,крGbIкр, (6.10)
где kр,кр - коэффициент, учитывающий влияние перемычек над проемами в стенах ядра, равный

(6.11)

(6.12)
Iкр - момент инерции свободного кручения, определяемый по формуле

(6.13)
здесь

- удвоенная площадь, ограниченная средней линией контура поперечного сечения ядра;
sw - длина
w-го участка ядра постоянной толщины

(включая проемы);
a и b - размеры ядра в плане по осям стен;
C = hпр/h - отношение высоты проема к высоте этажа;

- коэффициент, зависящий от отношения высоты перемычки
hп к ширине проема
l и определяемый по формуле

(6.14)
bs - расстояние между центрами тяжести столбов по обе стороны проема.
Суммирование в знаменателе
формулы (6.12) распространяется на все проемы.
6.3.16 Горизонтальные несущие подсистемы - диски перекрытий в многоэтажных зданиях, наряду с восприятием полезной нагрузки и передачей ее на вертикальные элементы, деформируясь в своей плоскости выполняют роль горизонтальных диафрагм, связывающих вертикальные несущие конструкции в единую пространственную систему, перераспределяя между ними внешние нагрузки.
Из-за податливости многочисленных швов жесткость дисков перекрытия и покрытия существенно снижается по сравнению со сплошным монолитным перекрытием. Снижение допускается учитывать введением пониженного значения модуля упругости при постоянном соотношении между приведенными модулями сдвига и упругости, принимаемом для сборных перекрытий при качественной заделке швов в соответствии с
6.2.4.
6.3.17 При определении жесткости дисков перекрытий из сборных железобетонных плит по сборным ригелям в своей плоскости следует учитывать податливость, вызванную за счет повышенной деформативности соединений на опорах и межплитных швов (рисунок 6.5).
Рисунок 6.5 - Фрагмент сборного перекрытия
из многопустотных плит
6.3.18 В сборных перекрытиях применяются следующие типы стыков:
- вертикальные стыки торцов плит через бетонные швы с опорными конструкциями - ригелями;
- продольные стыки между плитами;
- горизонтальные стыки (швы) плит по опорным площадкам с поддерживающими конструкциями (стенами, балками или ригелями).
Совместная работа многопустотных плит обеспечивается замоноличенными швами и сварными соединениями (для связевых и пристенных плит). Для увеличения сцепления бетона швов с конструкциями на их боковой поверхности устраиваются углубления для образования шпонок.
6.3.19 При моделировании взаимодействия рядовых многопустотных плит с поддерживающими конструкциями (ригели, балки и несущие стены) при горизонтальных нагрузках следует учитывать силы трения и сцепления подстилающего растворного слоя по опорным площадкам.
Торцевые швы между плитами и поддерживающими конструкциями работают только на сжатие и сдвиг перпендикулярно к пролету плит.
6.3.20 Взаимодействие ребристых плит с ригелями и балками при горизонтальных нагрузках следует обеспечивать сварными соединениями опорных закладных деталей. Совместная работа плит при вертикальных нагрузках обеспечивается продольными бетонными швами, выполняемыми, как правило, со шпонками.
6.3.21 Расчетные схемы сборных балочных дисков перекрытий для расчета на горизонтальные нагрузки, фрагмент которой показан на рисунке 6.6, зависят в основном от типа плиты перекрытия, конструкции продольных швов и условий опирания.
Концентрация деформаций происходит в зонах сопряжений сборных конструкций, на основании этого расчетную модель ячейки перекрытия рекомендуется представлять в виде (рисунок 6.6) плоскостных 1 и стержневых 2 элементов, соединенных деформируемыми связями 3. Учет работы перекрытия из своей плоскости производится путем применения в расчетной модели пластин и связей как пространственных элементов.
а - расчетная модель ячейки перекрытия;
б - схемы деформирования при наличии связей
Рисунок 6.6 - Расчетная модель ячейки перекрытия
и схемы деформирования
6.3.22 Жесткость бетонного межплитного шва на изгиб следует принимать равной нулю, то есть шов рассматривается как цилиндрический шарнир. Однако сжимающая шов сила прикладывается не по оси боковой грани плит (рисунок 6.7) - возникает внецентренное сжатие. Поэтому цилиндрический шарнир следует располагать по оси действия сжимающего усилия или в уровне сжатой грани плиты.
а - схема межплитного шва; б - поворот
вдоль продольной оси; в - сдвиг плит
Рисунок 6.7 - Схема работы продольного межплитного шва
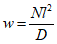
6.3.23 Жесткость межплитного шва на сдвиг равна соответствующему усилию
Qjt, вызывающему единичные перемещения

, определяемому по формуле

(6.15)
Для участка шва, толщиной tjt, высотой hjt и длиной вдоль оси плиты ljt:

(6.16)
где

- коэффициент, учитывающий неравномерность касательных напряжений по площади поперечного сечения элемента.
Влияние сдвиговой жесткости шва на совместную работу плит следует учитывать для Dsh = 300 кН/м, что существенно меньше реальной жесткости. Для швов между типовыми многопустотными плитами значение сдвиговой жесткости Csh на 1 м шва составляет 308·105 кН/м.
6.3.24 Растягивающие усилия в плоскости диска перекрытия из многопустотных плит воспринимаются в одном направлении связевыми межколонными плитами, в другом - ригелями.
Линейную податливость связевых плит следует определять, согласно схеме на рисунке 6.8 по формуле

(6.17)
1 - плиты; 2 - ригели; 3 - колонны; 4 - арматурные связи
Рисунок 6.8 - Расчетная схема к определению жесткости
связевой плиты при растяжении в плоскости диска перекрытия
6.3.25 Жесткость на растяжение по зоне опирания связевой многопустотной или сплошной плиты на ригель (балку) следует определять по формуле

(6.18)
где

- усилие в связевой арматуре;

- усилие для преодоления трения по площадкам опирания плит на поддерживающие конструкции;
здесь
Asup и

- площадь опирания и опорное давление плиты на ригель;
ftr - коэффициент трения плиты об опорную конструкцию;

- деформации связевой арматуры;

- деформации закладной детали, определяемые по расчету и принимаемые не более 2 мм.
6.3.26 Жесткость трения пустотной плиты рекомендуется определять при деформациях сдвига равных

.
6.3.27 В перекрытиях из ребристых плит при воздействии горизонтальной нагрузки на перекрытие опорное соединение воспринимает сдвигающее усилие, изгиб и кручение в своей плоскости. Суммарные линейные перемещения в сопряжении в общем случае следует определять сложением деформаций закладных деталей ригеля

и ребра

плиты

(6.19)
Опорное сопряжение ребристой плиты с ригелем рекомендуется представлять в виде стержня, сечение и длина которого определяется из условия равенства линейных и угловых деформаций.
Жесткость элемента связи при растяжении-сжатии в этом случае определяется по формуле

(6.20)
где Nx - горизонтальное усилие на соединение вдоль оси X.
6.3.28 При омоноличенных швах жесткость сопряжения ребра плиты с полкой ригеля при сжимающих бетонный шов напряжениях определяется по формуле

(6.21)
где Eb, Ab,red и ab - модуль упругости бетона, площадь и толщина шва замоноличивания соответственно.
При действии горизонтальной силы, растягивающей бетонный шов, жесткость соединения определяется по формуле (6.21).
6.3.29 Учет влияния вертикальной нагрузки на жесткость диска перекрытия при расчете на горизонтальные нагрузки рекомендуется производить путем изменения жесткостных характеристик опорных соединений. Конструктивную анизотропию деформирования связевых элементов следует учитывать определением жесткостных характеристик в зависимости от направления действия усилий в соответствии со схемой деформирования модели ячейки перекрытия.
6.4 Учет физической и геометрической нелинейности
6.4.1 Расчет многоэтажных каркасных зданий следует производить по пространственным расчетным схемам с учетом физической, геометрической и конструктивной нелинейностей и взаимодействия с грунтом основания.
6.4.2 Для железобетонных конструкций физическая нелинейность вызывается неупругими деформациями бетона и арматуры в элементах и узловых сопряжениях, а также возникающими в них трещинами. Значение физической нелинейности деформирования материалов зависит от уровня и знака возникающих в них напряжений.
6.4.3 Под геометрической нелинейностью понимают нарушение линейной зависимости между нагрузкой и перемещениями, вызванное возникновением дополнительных усилий при деформировании конструкции или отдельных ее элементов. Учет геометрической нелинейности допускается осуществлять с помощью уравнений, связывающих перемещения с деформациями или уравнений равновесия.
6.4.4 Для узловых сопряжений сборных железобетонных элементов характерен особый вид нелинейности - конструктивной. Она заключается в том, что омоноличенные части узлов, при отсутствии в них металлических связей, сопротивляются сжатию, но не сопротивляются растяжению. Это приводит к различной деформативности таких узлов при действии на них знакопеременных усилий.
6.4.5 При анализе зданий по дискретно-континуальной модели и в практических методах расчета нелинейность деформирования элементов и связей следует учитывать введением обобщенных коэффициентов, корректирующих их жесткостные характеристики или перемещения.
6.4.6 Численные методы, в том числе метод конечных элементов (МКЭ), позволяют задавать деформационные свойства отдельным частям конструкции независимо от остальных элементов. Это дает возможность описывать физическую нелинейность каждого элемента на основании его диаграммы деформирования и уровня напряжений. При этом следует учитывать, что МКЭ предусматривает постоянство жесткостных характеристик в пределах конечного элемента. Поэтому учет физической нелинейности требует увеличения частоты разбивки конструкции на конечные элементы.
7 Проектирование железобетонных конструкций
7.1.1 Для обеспечения несущей способности, пригодности к нормальной эксплуатации и долговечности бетонных и железобетонных конструкций необходимо выполнять требования:
- по расчету железобетонных конструкций без предварительного напряжения по предельным состояниям первой и второй групп согласно
разделу 8 СП 63.13330.2012;
- по расчету железобетонных предварительно напряженных конструкций по предельным состояниям первой и второй групп согласно
разделу 9 СП 63.13330.2012;
- по геометрическим размерам элементов конструкций согласно
подразделу 10.2 СП 63.13330.2012;
- по армированию (содержанию и расположению арматуры, толщине защитного слоя бетона, анкеровке и соединениям арматуры) согласно
подразделу 10.3 СП 63.13330.2012;
- по защите конструкций от неблагоприятного влияния воздействий среды согласно
СП 28.13330.
| | ИС МЕГАНОРМ: примечание. Нумерация пунктов дана в соответствии с официальным текстом документа. | |
7.1.3 В конструкциях зданий и сооружений следует предусматривать их разрезку постоянными и временными температурно-усадочными швами, расстояния между которыми определяются расчетом в соответствии с
СП 27.13330.
При возможности неравномерной осадки фундаментов следует предусматривать разделение конструкций осадочными швами.
7.1.4 Для армирования конструкций применяют арматуру следующих видов и классов:
- в качестве напрягаемой арматуры - стержневую горячекатаную периодического профиля классов А600, А800 и А1000 по
ГОСТ 5781 и стержневую термомеханически упрочненную периодического профиля классов Ат600С, Ат800, Ат1000 по
ГОСТ 10884; арматурные канаты классов К1400 и К1500 по
ГОСТ 13840; высокопрочную проволоку периодического профиля классов от Вр1200 до Вр1600 по
ГОСТ 7348; стержневую горячекатаную периодического профиля класса А400 по
ГОСТ 5781 упрочненную вытяжкой, с контролем значений напряжения и предельного удлинения;
- в качестве ненапрягаемой арматуры - стержневую горячекатаную периодического профиля класса А400 и гладкую класса А240 по
ГОСТ 5781; стержневую термомеханически упрочненную класса Ат400С по
ГОСТ 10884; стержневую горячекатаную или термомеханически упрочненную класса А500С по
ГОСТ Р 52544; арматурную проволоку периодического профиля классов В500 и Вр500 по
ГОСТ 6727 и В500С по
ГОСТ Р 52544.
7.1.5 Испытания конструкций и оценку их прочности, жесткости и трещиностойкости следует проводить в соответствии с
ГОСТ 8829 и рабочими чертежами на эти конструкции.
7.1.7 Арматурные и закладные изделия, их сварные, вязаные и механические соединения для железобетонных конструкций должны соответствовать
ГОСТ 10922.
7.2.1 Для многоэтажных каркасных зданий применяют фундаменты следующих типов:
- столбчатые на естественном основании;
- ленточные на естественном основании;
- сплошные (плитные) на естественном основании;
- свайные.
Расчет оснований
7.2.2 Расчет оснований по деформациям и по несущей способности следует выполнять на сочетания нагрузок, которые приведены в
5.2.3 СП 22.13330.2016, с коэффициентами надежности по нагрузке - в соответствии с
5.2.2 СП 22.13330.2016.
7.2.3 Усилия в конструкциях, вызываемые климатическими температурными воздействиями, при расчете оснований по деформациям допускается не учитывать, если расстояние между температурно-осадочными швами не превышает значений, указанных в строительных нормах и правилах по проектированию соответствующих конструкций, в соответствии с
5.2.7 СП 22.13330.2016.
7.2.4 Расчет оснований по несущей способности следует выполнять в соответствии с
5.7 СП 22.13330.2016, по деформациям - в соответствии с
5.6 СП 22.13330.2016. В процессе расчета получают размеры подошвы фундамента.
Общие данные
7.2.5 Под колонны многоэтажных каркасных зданий проектируют столбчатые фундаменты, в том числе стаканного типа, которые состоят из подколонника и одно-, двух- или трехступенчатой плитной части.
7.2.6 При устройстве фундамента на естественном основании следует предусматривать бетонную подготовку толщиной 100 мм из тяжелого бетона по
ГОСТ 26633 класса по прочности на сжатие не ниже B7,5.
7.2.7 Сопряжение фундамента с колонной выполняется стаканного типа под сборные колонны.
7.2.8 Требования к изготовлению, маркировке, приемке, транспортированию и хранению сборных железобетонных столбчатых фундаментов следует принимать в соответствии с
ГОСТ 13015.
7.2.9 Обрез фундамента рекомендуется располагать на отметке минус 0,15 м для обеспечения условий устройства полов после завершения нулевого цикла. При значительной глубине заложения фундамента над его плитной частью устраивают монолитно связанный с плитой подколонник.
7.2.10 С целью унификации применяемой для устройства форм инвентарной опалубки, все размеры в плане следует принимать кратными 300 мм или 450 мм. Требования к инвентарной опалубке приведены в
ГОСТ Р 52085.
7.2.11 Площадь сечения подошвы фундамента следует принимать по расчету, исходя из усилий, передаваемых колонной, и допускаемым удельным давлением грунта, определенным в соответствии с
5.6.26 -
5.6.30 СП 22.13330.2016.
7.2.12 Для обеспечения прочности при монтажных и постоянных нагрузках минимальную толщину стенки стаканной части по верху следует принимать не менее 175 мм.
7.2.13 Фундамент следует изготавливать из тяжелого бетона по
ГОСТ 26633 класса по прочности на сжатие не ниже B15. Заливку стаканной части после установки колонн следует производить тяжелым бетоном по
ГОСТ 26633 класса по прочности на сжатие не ниже B15 на мелком гравии.
7.2.14 Высоту фундамента следует принимать исходя из условий:
а) обеспечения жесткой заделки колонны в фундаменте -
Hф.з >=
hз + 0,25 м,
где для сплошной колонны hз >= h (h - больший размер сечения колонны);
б) обеспечения анкеровки рабочей арматуры колонн -
Hф.ан >=
hан + 0,25 м, где
hан следует определять в соответствии с
10.3.25 СП 63.13330.2012;
в) устройства фундамента ниже глубины промерзания грунта
df, которую следует определять в соответствии с
5.5.4 СП 22.13330.2016.
В
перечислениях а) и б) в формулах
Hф.з и
Hф.ан 0,25 м - минимальная толщина дна части стакана 0,2 м с учетом подливки под колонну 0,05 м.
7.2.15 Фундамент под спаренные колонны (в температурных швах) следует устраивать общим.
7.2.16 Зазор между гранями колонн и стенками стаканной части рекомендуется принимать по верху 75 мм и по низу 50 мм, а между низом колонн и дном подколонника 50 мм (рисунок 7.1). Вылет ступеней фундамента следует определять расчетом и принимать не более двойной высоты ступени фундамента.
1 - подколонник; 2 - плитная часть фундамента
Рисунок 7.1 - Сопряжение столбчатого фундамента с колонной
Расчет фундаментов
Расчет плитной части фундамента на продавливание
7.2.17 На продавливание рассчитывается плитная часть фундамента от низа колонны или подколонника. При этом рассматривается расчетное поперечное сечение плиты, расположенное вокруг колонны (подколонника) на расстояниях
h0/2, по поверхности которого действуют касательные усилия от продольной силы и момента колонны
(рисунок 7.2).
7.2.18 Расчет на продавливание центрально и внецентренно нагруженных стаканных фундаментов квадратных и прямоугольных в плане следует выполнять в соответствии с
8.1.46 -
8.1.50 СП 63.13330.2012. Момент, учитываемый при продавливании, определяют по формуле

(7.1)
Момент сопротивления контура расчетного поперечного сечения Wb определяют по формуле

(7.2)
где lc и bc - рисунок 7.2;
h0 - рабочая высота плитной части фундамента, равная среднеарифметическому значению рабочих высот для арматуры плиты в направлении размеров l и b.
Рисунок 7.2 - Схема для расчета фундамента на продавливание
7.2.19 Если плитная часть фундамента состоит из нескольких ступеней, то следует проверять на продавливание плиту из меньшего числа ступеней, принимая за bc и lc размеры вышерасположенной ступени, а за h0 - рабочую высоту рассматриваемой части плиты.
7.2.20 При стаканном сопряжении сборной колонны с низким фундаментом, когда высота подколонника
hcf < 0,5(
lcf -
lc) +
dp (рисунок 7.3), рассчитывают дно стакана на продавливание колонной, принимая за
bc и
lc размеры сечения колонны, а за
h0 - рабочую высоту плиты от дна стакана. При этом значение силы
N умножается на значение коэффициента

, учитывающего частичную передачу силы
N на стенки стакана и равное

, но не менее 0,85,
где Ac = 2(bc + lc)dc - площадь боковой поверхности колонны, заделанной в стакан фундамента.
Рисунок 7.3 - К расчету фундамента
стаканного типа на продавливание
Расчет фундамента на раскалывание
7.2.21 На силу

проверяют прочность фундамента на раскалывание из условий
при bc/lc <= Ab/AlNc <= (l + bc/lc)AlRbt;
при bc/lc > Ab/AlNc <= (l + bc/lc)AbRbt,
где Al и Ab - площади вертикальных сечений фундамента в плоскостях, проходящих по оси колонны параллельно сторонам l и b подошвы фундамента соответственно, за вычетом площади стакана (рисунок 7.4).
Рисунок 7.4 - К расчету фундамента
стаканного типа на раскалывание
Расчет фундамента на местное сжатие
7.2.22 Бетон под торцом колонны проверяют на местное сжатие согласно
8.1.43 -
8.1.45 СП 63.13330.2012.
Расчет стаканной части подколонника
7.2.23 Расчет продольной арматуры железобетонного подколонника производится в соответствии с
разделом 8 СП 63.13330.2012 на внецентренное сжатие коробчатого сечения стаканной части в плоскости заделанного торца колонны (сечение I-I
рисунка 7.5) и на внецентренное сжатие прямоугольного сечения подколонника в сечении II-II
(рисунок 7.5).
В железобетонных внецентренно сжатых подколонниках площадь сечения арматуры с каждой стороны (A и A') должна быть не менее 0,05% площади поперечного сечения подколонника.
Железобетонные подколонники армируются продольной и поперечной арматурой по
рисунку 7.5.
Минимальный процент содержания арматуры A и A' во внецентренно сжатых подколонниках, несущая способность которых при расчетном эксцентриситете используется менее чем на 50%, независимо от гибкости принимается равным 0,05%.
Рисунок 7.5 - Армирование подколонника
и его стаканной части
7.2.24 В фундаментах стаканного типа стенки стаканной части подколонника допускается не армировать при их толщине по верху более 200 мм и более 0,75 высоты верхней ступени (при глубине стакана большей, чем высота подколонника) или 0,75 глубины стакана (при глубине стакана меньшей, чем высота подколонника). При несоблюдении этих условий стенки стаканов следует армировать поперечной арматурой в соответствии с расчетом.
7.2.25 Стаканная часть подколонника рассчитывается как изгибаемый элемент коробчатого сечения на уровне торца колонны при действии момента, равного
при

Mn = 0,8(M + Qdp - 0,5Nlc); (7.3)
при lc/2 > e > lc/6
Mn1 = 0,3M + Qdp, (7.4)
при M, N и Q - усилия в сечении колонны по верху подколонника.
При одинаковых диаметрах поперечной арматуры и одинаковой марке стали площадь сечения поперечной рабочей арматуры каждой сварной сетки равна
при


(7.5)
при при lc/2 > e > lc/6

(7.6)
В случае заглубления стакана в плитную часть фундамента сечение поперечной рабочей арматуры сеток так же определяется по
формулам (7.5), (7.6); сетки поперечного армирования устанавливаются в пределах подколонника.
В случае действия нормальной силы в пределах ядра сечения

поперечное армирование подколонника назначается конструктивно.
Конструирование фундаментов
7.2.26 Армирование подошвы отдельных фундаментов рекомендуется осуществлять сварными сетками. Расстояние между осями стержней сеток рекомендуется принимать от 150 до 300 мм, но не более указанного в
10.3.8 СП 63.13330.2012.
Диаметр рабочих стержней, укладываемых вдоль стороны фундамента размером 3 м и менее, должен быть не менее 10 мм; диаметр рабочих стержней, укладываемых вдоль стороны размером более 3 м, - не менее 12 мм.
Арматурные сетки должны быть сварены во всех точках пересечения стержней. Допускается часть пересечений связывать проволокой при условии обязательной сварки всех точек пересечения в двух крайних рядах по периметру сеток.
7.2.27 Подошвы фундаментов рекомендуется армировать сварными сетками шириной не более 3000 мм, укладываемыми в двух плоскостях таким образом, чтобы рабочая арматура верхних и нижних сеток проходила в двух взаимно перпендикулярных направлениях. Сетки в каждой плоскости укладываются рядом друг с другом без нахлестки (рисунок 7.6).
При возможности изготовления и транспортировании сеток больших размеров с требуемым диаметром допускается армировать подошвы фундаментов цельными сетками.
Рисунок 7.6 - Армирование подошвы фундамента сетками
7.2.28 Подколонники фундаментов, если это необходимо по расчету, должны армироваться продольной и поперечной арматурой по принципу армирования колонн.
Диаметр продольных рабочих стержней подколонников должен быть не менее 12 мм.
7.2.29 Армирование подколонников рекомендуется осуществлять пространственными самонесущими каркасами, собираемыми из плоских сеток.
7.2.30 Армирование стенок стакана производится поперечной и продольной арматурой.
Поперечное армирование стенок стакана следует выполнять в виде сварных плоских сеток с расположением стержней у наружных и внутренних поверхностей стенок.
Диаметр стержней сеток следует принимать по расчету, но не менее 8 мм и не менее четверти диаметра продольных стержней подколонника.
Расстояние между сетками следует назначать не более четверти глубины стакана и не более 200 мм.
Подколонник ниже дна стакана армируется по общему принципу армирования подколонников. Продольная рабочая арматура подколонника, устанавливаемая по расчету, должна проходить внутри ячеек сеток поперечного армирования.
7.2.31 В случае, если требуемые по расчету подошвы фундаментов соседних колонн близко подходят друг к другу, применяют ленточные фундаменты под рядами колонн в виде отдельных или перекрестных лент
(рисунок 7.7). Ленточные фундаменты также применяют при неоднородных грунтах или резко различных нагрузках, поскольку они выравнивают осадки основания. Фундаменты под колонны связевых панелей часто делают ленточными, поскольку такие фундаменты увеличивают жесткость основания панели, что существенно уменьшает деформативность всего каркаса. Еще больше можно увеличить жесткость основания связевой панели, распространив ленточный фундамент на соседние с панелью колонны
(рисунок 7.8).
а - отдельные ленты; б - перекрестные ленты
Рисунок 7.7 - Ленточные монолитные фундаменты под колонны
Рисунок 7.8 - Пример ленточного фундамента
под связевой панелью
7.2.32 Для зданий значительной высоты площади ленточных фундаментов может оказаться недостаточно. В этом случае устраивают сплошные фундаменты. Такие фундаменты в большей мере выравнивают осадки, чем ленточные, поэтому они применяются также при слабых и неоднородных грунтах или резко неравномерных нагрузках.
Сплошные фундаменты выполняют: плитными безбалочными, плитно-балочными и коробчатыми (рисунок 7.9). Наибольшей жесткостью обладают коробчатые фундаменты.
а - плитный безбалочный; б - плитно-балочный;
в - коробчатый
Рисунок 7.9 - Сплошные фундаменты под колонны
7.2.33 Конфигурацию и размеры сплошного фундамента устанавливают так, чтобы равнодействующая основных нагрузок от колонн и стен проходила в центре подошвы.
Плитные и свайные фундаменты
7.2.34 Расчет плитных фундаментов приведен в
[3].
7.2.35 Проектирование свайных фундаментов под колонны следует выполнять согласно
разделам 7 и
8 СП 24.13330.2011.
Общие данные
7.3.1 Требования к изготовлению, маркировке, приемке, транспортированию и хранению сборных железобетонных колонн приведены в
ГОСТ 18979.
7.3.2 Колонны подразделяют на типы и условно обозначают в зависимости:
- от числа этажей в пределах высоты колонны:
1 - одноэтажные;
2 - двухэтажные;
3 - трехэтажные;
- от расположения колонны в каркасе здания по высоте:
КВ - верхние;
КС - средние;
КН - нижние;
КБ - на всю высоту здания (бесстыковые);
- от числа консолей в пределах этажа:
О - одноконсольные;
Д - двухконсольные.
Двухконсольные колонны устанавливаются по средним осям здания, одноконсольные - по крайним осям. Кроме того, одноконсольные колонны могут устанавливаться по средним осям при одностороннем примыкании диафрагм жесткости поперечного направления в лестничных клетках.
Бесконсольные колонны устанавливаются по средним осям зданий (при двухстороннем примыкании к ним диафрагм жесткости поперечного направления) и в лестничной клетке (при использовании диафрагм жесткости поперечного направления).
7.3.3 Форма и основные размеры наиболее часто применяемых колонн приведены в
приложении А ГОСТ 18979-2004.
7.3.4 Колонны следует изготовлять из тяжелого бетона по
ГОСТ 26633 классов по прочности на сжатие не ниже B15.
7.3.5 Колонны многоэтажных каркасных зданий чаще всего квадратного или прямоугольного сечения, развитого в плоскости действия изгибающего момента.
7.3.6 Гибкость

колонн рекомендуется принимать не более 120 (
l <= 30
h).
7.3.7 Стыки колонн рекомендуется располагать вблизи нулевых значений изгибающих моментов.
7.3.8 Назначаемые размеры сечения колонн должны соответствовать требованиям унификации и обеспечения необходимой поперечной жесткости конструкций, условиям опирания панелей и ригелей.
7.3.9 Колонны следует проектировать со строповочными отверстиями для подъема и монтажа. Допускается вместо строповочных отверстий предусматривать монтажные петли, с учетом требований
6.2.6 СП 63.13330.2012.
Расчет колонн
7.3.10 В связи со знакопеременной эпюрой моментов в колоннах каркасных зданий устраивают симметричное армирование (рисунок 7.10).
Рисунок 7.10 - Сечение с сосредоточенной
симметричной арматурой
7.3.11 Расчет колонн прямоугольного сечения по прочности выполняют как для внецентренно сжатого элемента.
7.3.12 Если необходимую арматуру площадью
As =
As' невозможно разместить в виде одного ряда стержней у каждой грани шириной
b, приходится размещать дополнительные стержни между этими рядами арматуры. При этом, если

, дополнительные стержни рекомендуется размещать в пределах крайних третей расстояния между крайними рядами арматуры
h0 -
a' (рисунок 7.11). В этом случае можно применять
условие (8.10) СП 63.13330.2012, корректируя соответствующим образом значения
h0 и
a'.
Рисунок 7.11 - Сечение с распределенной арматурой

7.3.13 При

, сечение с промежуточными стержнями рекомендуется рассчитывать, принимая линейную зависимость предельного момента от силы
N в промежутке между 0 и
Mгр - предельным моментом, соответствующим достижению деформации в крайнем ряду растянутой арматуры, равной
Rs/
Es. Предельные продольные силы в этом промежутке меняются от
Nц - предельной силы при центральном сжатии до
Nгр - предельной силы, соответствующей
Mгр (рисунок 7.12). Значения
Mгр и
Nгр следует определять исходя из нелинейной деформационной модели, приведенной в
8.1.20 -
8.1.30 СП 63.13330.2012.
а - сечение с распределенной арматурой;
б - эпюры деформаций; в - эпюры напряжений
при действии усилий Nгр и Mгр
Рисунок 7.12 - Сечение с распределенной арматурой при

7.3.14 В общем случае расчет сечения на косое внецентренное сжатие производится исходя из нелинейной деформационной модели приведенной в
СП 63.13330. С некоторым запасом этот расчет допускается производить из условия

(7.7)
где Mx и My - моменты внешней силы N в плоскостях симметрии x и y относительно центра тяжести сечения;

и

- предельные моменты в плоскостях симметрии
x и
y относительно центра тяжести сечения при действии внешней продольной силы, приложенной в центре тяжести сечения.
7.3.15 Расчеты колонн круглого и кольцевого сечений рекомендуется проводить согласно
приложению Д СП 63.13330.
7.3.16 Поперечное армирование колонн нижних этажей следует подбирать из расчета наклонного сечения на действие поперечной и продольной сил.
7.3.17 Арматура сборных колонн, спроектированных для двух и более этажей, должна быть проверена на усилия, возникающие при подъеме, транспортировании и монтаже. При этом нагрузку от веса колонн следует принимать с учетом коэффициента динамичности, равного 1,6 при транспортировании и 1,4 - при подъеме и монтаже, а также с учетом коэффициента надежности по нагрузке. Расчет по раскрытию трещин в этом случае допускается не производить.
Места строповки колонны и места опирания колонн при транспортировании рекомендуется устанавливать так, чтобы эти расчеты не приводили к увеличению армирования.
Конструирование колонн
7.3.18 Расстояния между стержнями арматуры следует принимать в соответствии с
10.3.8 СП 63.13330.2012. По граням колонн, перпендикулярным к плоскости изгиба, при ширине этих граней до 400 мм устанавливается не менее двух продольных рабочих стержней арматуры; при большей ширине рабочие стержни устанавливаются на расстояниях не более 400 мм. По граням колонны, параллельным плоскости изгиба, при ширине этих граней более 500 мм устанавливается конструктивная продольная арматура (если эта арматура не поставлена по расчету) диаметром не менее 12 мм, так чтобы расстояние между продольными стержнями было не более 500 мм. Диаметр продольных рабочих стержней колонн принимается не менее 16 мм и не более 40 мм, диаметр продольных стержней конструктивной арматуры - 12 мм.
В одном плоском каркасе продольные рабочие стержни рекомендуется принимать, как правило, одного диаметра. При применении двух различных диаметров они должны отличаться не менее чем на два номера.
При необходимости продольные стержни можно выполнять спаренными, без зазора между ними в соответствии с
10.3.5 СП 63.13330.2012.
7.3.19 При стыковании рабочей арматуры внахлестку длину перепуска следует определять в соответствии с
10.3.30 СП 63.13330.2012.
В местах стыкования продольной рабочей арматуры внахлестку без сварки поперечные стержни устанавливаются на расстоянии не более 10d и не более 300 мм.
7.3.20 Если площадь сечения требуемой по расчету сжатой продольной арматуры составляет с одной стороны более 1,5%, то поперечные стержни и хомуты устанавливаются на расстоянии не более 10d.
При назначении расстояния между поперечными стержнями и хомутами не принимаются во внимание сжатые продольные стержни конструктивной арматуры диаметром 12 мм, не учитываемые в расчете.
7.3.21 Колонны рекомендуется армировать пространственными сварными каркасами. При отсутствии соответствующего сварочного оборудования каркасы допускается изготовлять вязаными.
7.3.22 При размерах сечения колонн, не превышающих 500 мм, наиболее простое и чаще всего применяемое армирование состоит из четырех продольных стержней, расположенных по углам прямоугольного сечения и объединенных в пространственный каркас хомутами. Хомуты представляют собой либо заранее согнутые стержни из арматуры класса А240, сваренные по концам точечной сваркой, или, если арматура А240 поставляется в мотках, в виде спиральной арматуры прямоугольного контура (рисунок 7.13). Эти хомуты нанизываются на продольные стержни и связываются с ними вязальной проволокой.
а - из ранее согнутых и сваренных хомутов;
б - со спиральной арматурой
Рисунок 7.13 - Пространственные арматурные каркасы
без промежуточных стержней
7.3.23 В случае нехватки по расчету четырех стержней устанавливают промежуточные стержни у граней, нормальных плоскости изгиба. При этом их число и расстановка должны быть увязаны с конструкцией узла сопряжения ригеля с колонной.
7.3.24 Пространственные сварные каркасы образуются путем соединения плоских каркасов с помощью соединительных стержней или непосредственно друг с другом
(рисунок 7.14). На этом рисунке для колонн, внецентренно сжатых в одной плоскости,
h - ширина грани, параллельной плоскости изгиба,
b - ширина грани, перпендикулярной к плоскости изгиба; для колонн, внецентренно сжатых в обеих плоскостях,
b - меньший размер сечения,
h - больший размер сечения.
Если крайние плоские сварные каркасы, расположенные у противоположных граней, с промежуточными продольными стержнями, то они, по крайней связываются с продольными стержнями противоположной грани с помощью поперечных стержней или шпилек, устанавливаемых по длине каркаса на том же расстоянии, что и поперечные стержни плоских каркасов. Такие соединительные стержни не ставят при ширине грани до 500 мм, если число продольных стержней у этой грани не более четырех.
Плоские каркасы рекомендуется объединять в пространственный каркас приваркой соединительных поперечных стержней.
а - колонны, внецентренно сжатые в одной плоскости;
б - колонны, внецентренно сжатые в обеих плоскостях;
1 - плоский каркас; 2 - соединительный стержень
(поперечный привариваемый стержень или шпилька)
Рисунок 7.14 - Примеры конструкций пространственных
каркасов сварных колонн (в скобках приведены размеры граней
при толщине защитного слоя до продольной арматуры
не менее 25 мм)
7.3.25 При диаметрах продольных стержней не более 25 мм и расстоянии в свету между продольными крайними стержнями не менее 70 мм
(рисунок 7.15) соединительные поперечные стержни приваривают к продольным стержням плоских каркасов контактной точечной сваркой с помощью сварочных клещей. Соединительные стержни приваривают клещами к поперечным стержням плоских каркасов
(рисунок 7.16), при этом расстояние между осями продольного и соединительного стержней принимается 25 мм, т.е. минимальным из условия применения клещей, и размер
c (рисунок 7.17) соответственно увеличивается.
При образовании общего пространственного сварного каркаса колонны отдельные поперечные стержни плоских каркасов при пересечении их другим плоским каркасом или закладной деталью (например, в месте сопряжения сварных каркасов распорки и ветви в двухветвевой колонне) можно вырезать, при этом вместо вырезанных поперечных стержней должны быть предусмотрены шпильки.
1 - плоские сварные каркасы; 2 - поперечные отдельные
стержни, привариваемые точечной сваркой
к продольным стержням плоских каркасов
Рисунок 7.15 - Конструкции сварного
пространственного каркаса
1 - поперечный стержень плоского каркаса;
2 - соединительный стержень
Рисунок 7.16 - Деталь сварки пространственного каркаса
1 - продольные стержни; 2 - поперечные стержни
Рисунок 7.17 - Схема плоского сварного арматурного каркаса
Если на заводе-изготовителе отсутствуют сварочные клещи, то плоские сварные каркасы объединяют в пространственные с помощью шпилек и скоб, которые привариваются к поперечным стержням протяженными швами (рисунок 7.18) длиной не менее 6dw (здесь dw - диаметр хомута).
При наличии соответствующих гибочных машин пространственные каркасы допускается изготовлять из плоских арматурных сеток.
1 - сварная сетка; 2 - скоба
Рисунок 7.18 - Соединение сварных каркасов скобами
7.3.26 Пространственные вязаные каркасы состоят из продольных стержней и хомутов или шпилек
(рисунок 7.19). Длины хомутов и шпилек назначаются с учетом устройства крюков для охвата продольных стержней. Для этого, при составлении спецификации арматуры, к периметру хомутов или к длине шпилек прибавляется 150 мм - при диаметре рабочей арматуры
d = 25 мм, 180 мм - при
d = 28 и 32 мм, 210 мм - при
d = 36 и 40 мм. Длины крюков подсчитаны при диаметре поперечной арматуры от 6 до 10 мм.
Конструкция хомутов в вязаных каркасах должна быть такой, чтобы продольные стержни (по крайней мере через один) располагались в местах перегиба хомутов, а эти перегибы - на расстояниях не более 400 мм по ширине грани колонны, перпендикулярной к плоскости изгиба, и не более 500 мм по ширине грани, параллельной плоскости изгиба. При ширине грани не более 400 мм и не более четырех продольных стержнях у этой грани охват всех продольных стержней производится одним хомутом.
7.3.27 При проектировании пространственных каркасов предусматриваются крестовые связи для придания каркасу необходимой жесткости при транспортировании. Связи устраиваются не реже чем через 6 м и не менее двух на каркас.
Длину продольных стержней каркасов рекомендуется назначать так, чтобы исключить устройство стыков. В случае необходимости соединения по длине заготовок арматурных стержней применяется контактная стыковая сварка.
7.3.28 Продольная рабочая арматура колонн заводится за верхнюю грань стаканной части фундамента на длину не менее
lan, которую следует определять в соответствии с
10.3.25 СП 63.13330.2012.
7.3.29 Армирование консоли выполняется из двух или трех металлических "фермочек"
(рисунок 7.20). Стык колонн осуществляется с помощью ванной сварки четырех угловых стержней. Стык рекомендуется располагать на 1050 мм выше верха консоли. В колоннах рамно-связевого и рамного каркасов для соединения с ригелями предусмотрены выпуски арматуры.
а - колонны, внецентренно сжатые в одной плоскости;
б - колонны, внецентренно сжатые в обеих плоскостях
Рисунок 7.19 - Примеры конструкций вязаных каркасов колонн,
внецентренно сжатых в обеих плоскостях (в скобках приведены
размеры граней при толщине защитного слоя до продольной
арматуры не менее 25 мм)
Рисунок 7.20 - Армирование консоли колонн
при шарнирном опирании ригеля
Общие данные
7.4.1 Требования к изготовлению, маркировке, приемке, транспортированию и хранению сборных железобетонных ригелей приведены в
ГОСТ 18980.
7.4.2 Ригели подразделяют на типы и условно обозначают:
- двухполочные - для опирания многопустотных и ребристых плит;
- однополочные - для опирания многопустотных и ребристых плит;
- однополочные, применяемые только в лестничных клетках;
- консольные - для опирания многопустотных плит балконов;
- бесполочные, применяемые на торцах зданий в лестничных клетках при перекрытии из многопустных и ребристых плит;
- прямоугольного сечения.
Ригели, в зависимости от их местоположения, подразделяются на три группы: рядовые, торцевые и у температурных швов, лестничные. Ригели перекрытий массового применения из ребристых плит выполняют высотой сечения 600 мм для пролетов 9, 6 и 3 м и высотой сечения 800 мм - для пролетов 6 и 9 м. Ригели перекрытий массового применения из многопустотных плит выполняют высотой 450 мм для пролетов 3, 6 и 7,2 м, высотой 600 мм - для пролета 9 м.
7.4.3 Форма и основные размеры наиболее часто применяемых ригелей приведены в
приложении А ГОСТ 18980-2005.
7.4.4 Сборные ригели пролетами 6 м и более, рекомендуется проектировать с напрягаемой нижней арматурой, а при меньших пролетах - с ненапрягаемой арматурой. При небольших нагрузках, характерных для общественных и жилых зданий, ригели пролетом 6 - 7 м также могут быть с ненапрягаемой арматурой.
7.4.5 Класс бетона по прочности на сжатие для предварительно напряженных ригелей следует принимать не ниже B20, для ригелей без предварительного напряжения арматуры - не ниже B15.
7.4.6 Назначаемые размеры сечения ригелей должны соответствовать требованиям унификации и обеспечения необходимой поперечной жесткости конструкций, условиям опирания плит перекрытия и покрытия.
7.4.7 Ригели следует проектировать со строповочными отверстиями для подъема и монтажа. Допускается вместо строповочных отверстий предусматривать монтажные петли в соответствии с
6.2.6 СП 63.13330.2012.
7.4.8 Высоту ребра и ширину полки тавровых ригелей принимают в зависимости от высоты плит и надежного опирания.
Расчет ригелей
7.4.9 Для ригелей с жесткими узлами помимо площади сечения с максимальным пролетным моментом рассчитывают опорные сечения.
7.4.10 При расчете площади каждого опорного сечения учитываются значения моментов от постоянных и ветровых нагрузок, а также момент от временных нагрузок при невыгоднейшем их расположении на ригелях рамы.
7.4.11 Сжатая арматура в опорных сечениях обычно принимается из конструктивных соображений, но при этом рекомендуется, чтобы значение

не превосходило

. Для сборных ригелей, опираемых на консоли колонн, за сжатую арматуру принимается площадь среза сварных швов приварки ригеля к консоли, а за
Rsc - расчетное значение сопротивления срезу сварных швов
Rwf, т.е.

, где
lw - длина сварного шва, мм,
kf - катет углового шва, мм,
Rwf, МПа, - согласно
таблице Г.2 (приложение Г) СП 16.13330.2012. Расчетное значение сопротивления бетона
Rb следует принимать по бетону замоноличивания.
7.4.12 При расчете пролетного сечения учитываются загружения временной нагрузкой отдельных ригелей, вызывающие в середине пролета рассматриваемого ригеля моменты, растягивающие нижнюю арматуру, а также загружения всех ригелей постоянной нагрузкой. Моменты от ветровой нагрузки чаще всего учитывать нецелесообразно, поскольку они в пролетных сечениях весьма малы, но при этом моменты от временных нагрузок следует учитывать с понижающими коэффициентами сочетаний.
7.4.13 Отдельные стержни верхней опорной арматуры целесообразно обрывать в пролете, так чтобы была обеспечена прочность по моменту наклонных сечений, начинающихся от конца оборванного стержня. В любом случае для выполнения условия прочности необходимо завести стержень за точку теоретического обрыва на длину w не менее, определяемую по формуле

(7.8)
где Q - поперечная сила в сечении, проходящем через точку теоретического обрыва;

- усилие в поперечной арматуре на единицу длины элемента.
За точку теоретического обрыва принимается нормальное сечение, в котором внешний момент равен предельному моменту без учета обрываемой арматуры Mult (рисунок 7.21).
1 - точки теоретического обрыва; 2 - эпюра моментов
Рисунок 7.21 - Обрыв растянутых стержней
на опоре и в пролете
7.4.14 Отдельные стержни ненапрягаемой нижней арматуры, полученной из расчета на действие максимального пролетного момента
Mпр.max, целесообразно не доводить до опоры. Длину заведения их за точку теоретического обрыва
w также можно определять по
формуле (7.8).
7.4.15 Во всех случаях расстояние от мест обрыва стержней до сечения, где арматура используется с полным расчетным сопротивлением, должно быть не менее длины анкеровки арматуры
lan, определяемой согласно
10.3.25 СП 63.13330.2012.
7.4.16 Определение мест обрыва верхней и нижней арматуры допускается производить при действии комбинации нагрузок, принятой при расчете соответственно опорного и пролетного сечений.
7.4.17 Торцевые ригели, лестничные и расположенные у температурного шва следует рассчитывать на кручение согласно
8.1.36 -
8.1.42 СП 63.13330.2012.
7.4.18 Полки ригелей следует рассчитывать на нагрузку от плит. Несущая способность полок ригеля должна учитывать возможность приложения местных нагрузок от плит перекрытия. При этом сумма равномерно распределенных нагрузок, отнесенная к погонному метру длины полки ригеля, не должна превышать полной расчетной нагрузки на ригель.
7.4.19 Для сборных ригелей, с полками в нижней или средней по высоте зоне, интенсивность хомутов Asw/sw, требуемая из расчета наклонных сечений, должна быть увеличена для восприятия отрывающей нагрузки от плит или балок, опертых на эти полки.
7.4.20 Если верхняя грань ригеля покрыта бетонной подготовкой или цементной стяжкой, то допускается увеличивать на 0,1 мм допустимую ширину продолжительного и непродолжительного раскрытий верхних трещин.
7.4.21 Ригели следует проверять по деформациям при комбинации нормативных нагрузок, принятых при расчете пролетного сечения.
Конструирование ригелей
| | ИС МЕГАНОРМ: примечание. Нумерация пунктов дана в соответствии с официальным текстом документа. | |
7.3.22 Принципиальная схема армирования опорной зоны ригеля показана на
рисунке 7.22.
1 - сетка с рабочей арматурой; 2 - пространственный
арматурный каркас; 3, 4, 6 - закладное изделие; 5 - отгиб
Рисунок 7.22 - Схема армирования опорной зоны ригеля
с шарнирным опиранием
7.4.23 Ригели должны быть с закладными изделиями для приварки ребристых или связевых многопустотных плит. В верхней части ригеля на боковых поверхностях следует предусматривать шпонки (рисунок 7.23) для обеспечения совместной работы ригеля с плитами перекрытий.
Рисунок 7.23 - Пример боковой поверхности ригеля,
образующей после омоноличивания растворные шпонки
7.4.24 Шаг на отдельных участках рекомендуется принимать разный с увеличением от опоры к середине пролета (с изменением поперечной силы).
7.4.25 У концов предварительно напряженных ригелей необходимо устанавливать дополнительную поперечную или косвенную арматуру согласно
10.3.20 СП 63.13330.2012.
7.4.26 Хомуты принимаются в виде 2 - 3 плоских сварных каркасов, связанных поверху и понизу горизонтальными стержнями. При этом, если возникают заметные крутящие моменты, эти стержни привариваются к продольным стержням точечной сваркой сварочными клещами или с помощью скоб, привариваемых к хомутам дуговой сваркой протяженными швами длиной не менее 6dw. При отсутствии условий для сварки, а также при вязанных пространственных каркасах, вертикальные и горизонтальные хомуты должны быть загнуты с перепуском не менее 30dw.
7.4.27 При отсутствии заметного кручения горизонтальные соединительные стержни могут привариваться точечной сваркой к вертикальным стержням или в виде шпилек привязываться к продольным стержням (рисунок 7.24). В последнем случае следует обеспечивать монтажную жесткость каркаса приваркой косых стержней, планок и т.п.
а - пространственный арматурный каркас при соединительных
стержнях, привариваемых к вертикальным стержням;
б - пространственный арматурный каркас при шпильках,
привязываемых к продольным стержням; 1 - шпилька
(соединительный стержень)
Рисунок 7.24 - Пространственные арматурные каркасы
при отсутствии кручения
7.4.28 Шаг соединительных стержней может превышать шаг хомутов, но должен быть не более 600 мм.
7.4.29 Если при расчете пролетных сечений ригелей учитывается верхняя сжатая арматура, то для предотвращения ее выпучивания хомуты и верхние соединительные горизонтальные стержни должны быть с шагом не более 15d, где d - диаметр сжатых стержней.
7.5 Ребристые плиты перекрытий и покрытий
Общие данные
7.5.1 Ребристые плиты представляют собой ребристые панели с плоской полкой, опирающейся на продольные ребра, расположенные по краям плит, и на систему поперечных ребер. Плиты опираются поверху или на полку ригелей.
7.5.2 Требования к изготовлению, маркировке, приемке, транспортированию и хранению, основные размеры наиболее часто применяемых ребристых плит приведены в
ГОСТ 21506,
ГОСТ 27215 и
ГОСТ 28042.
7.5.3 Железобетонные ребристые плиты рекомендуется проектировать предварительно напряженными.
7.5.4 Плиты следует проектировать из тяжелого бетона по
ГОСТ 26633 и легкого конструкционного бетона по
ГОСТ 25820 класса по прочности на сжатие не ниже B20.
7.5.5 В случаях, предусмотренных технологическим заданием, ребристые плиты могут быть с дополнительными отверстиями, вырезами в полках, углублениями на наружных гранях продольных ребер для устройства бетонных шпонок между смежными плитами, а также дополнительными закладными изделиями.
7.5.6 Высоту плит стандартного применения рекомендуется принимать 300 или 400 мм.
7.5.7 Высоту промежуточных поперечных ребер для плит стандартного применения принимают 150 мм для плит высотой 300 мм и 250 мм для плит высотой 400 мм.
7.5.8 Толщина полки плиты для плит стандартного применения составляет 50 мм.
7.5.9 Во внутренних углах сопряжений торцевых и продольных ребер плит следует предусматривать уширения - вуты, которыми обеспечивается пространственная работа плит, улучшаются условия изготовления и облегчается распалубка.
7.5.10 Для улучшения качества бетонирования продольных швов между плитами размеры уступов на продольных гранях следует принимать в соответствии с
ГОСТ 21506,
ГОСТ 27215 и
ГОСТ 28042.
7.5.11 Пример опалубочной формы для плиты размерами 5,65 x 1,485 м приведен на рисунке 7.25.
Рисунок 7.25 - Опалубочный чертеж ребристой плиты
размерами 5,65 x 1,485 м
Расчет ребристых плит
7.5.12 Расчет ребристых перекрытий производится как пространственной системы, допускается производить упрощенный расчет каждого составляющего элемента по отдельности, т.е. продольных ребер, поперечных или торцевых ребер и полок плиты.
7.5.13 При расчете плит в составе диска покрытия необходимо учитывать горизонтальные усилия, возникающие в пространственной системе каркаса.
7.5.14 Ширину ребра следует назначать из условия размещения сварных каркасов, напрягаемой арматуры, обеспечения прочности ребер панелей по наклонному сечению.
7.5.15 Продольные ребра плиты при упрощенном расчете рассматриваются как однопролетные шарнирно опертые балки таврового сечения.
7.5.16 При проверке трещиностойкости в верхних зонах концевых участков продольных ребер плит в стадиях изготовления, транспортирования и складирования допускается образование трещин; эти трещины не должны раскрываться на стадии эксплуатации плиты при постоянной нагрузке. При этом в сечениях, отстоящих от торца на расстоянии, не превышающем рабочей высоты ребра, расчет трещиностойкости не производится.
7.5.17 Для плит с полкой в сжатой зоне ширина свесов полки в каждую сторону от ребра принимается в соответствии с
8.1.11 СП 63.13330.2012.
7.5.18 При проектировании плит шириной 1,5 м поперечные ребра допускается рассчитывать по упрощенному расчету с учетом частичного защемления в продольных ребрах, которое создается благодаря работе продольных ребер на кручение и заливке швов между плитами с обеих сторон или с одной стороны. Расчетный пролет
l0 принимают равным расстоянию в свету между продольными ребрами. Изгибающий момент в поперечном направлении в этом случае допускается принимать равным

.
7.5.19 Полки плит при соотношении длины сторон l2:l1 <= 2, работающих в двух направлениях, рассчитываются, при упрощенном расчете, как защемленные по контуру плиты. Армировать их рекомендуется сетками с рабочей арматурой, одинаковой в обоих направлениях.
Полки плит при соотношении l2:l1 > 2, работающие преимущественно в одном направлении, рассчитываются как неразрезные балочные и армируются сетками с рабочей арматурой в одном направлении.
7.5.20 Полки плит, в отдельных случаях, могут рассчитываться на более высокие (как правило, на ступень выше) нагрузки, которые могут быть приложены в пределах полки на части площади плиты, т.е. местные нагрузки, суммарные усилия от которых (Mmax, Qmax) в продольном ребре не должны превышать соответствующих усилий, возникающих от равномерно распределенной нагрузки, расположенной по всей площади плиты.
Армирование ребристых плит
7.5.21 Напрягаемую арматуру в плитах следует располагать в продольных ребрах. При армировании ребер следует предусматривать стержни одинакового диаметра. При обосновании допускается применять стержни двух диаметров.
7.5.22 Для предотвращения образования продольных трещин у торцов предварительно-напряженных плит вследствие передачи усилий напрягаемой арматуры на бетон на опорных участках плиты следует предусматривать ненапрягаемую поперечную арматуру, которая должна быть надежно заанкерена по концам приваркой к закладным деталям. Сечение этой арматуры должно быть в состоянии воспринимать не менее 20% усилия в продольной напрягаемой арматуре нижней зоны опорного сечения, определяемого расчетом по прочности.
7.5.23 Для подъема плит следует предусматривать стационарные подъемные петли, выполняемые из горячекатаной стали А240. Их следует совмещать с анкерами опорных закладных деталей.
7.5.24 Поперечные стержни объединяют с продольной монтажной или рабочей ненапрягаемой арматурой в плоские сварные каркасы, которые размещают в ребрах плит. К концам продольной ненапрягаемой арматуры ребристых плит приваривают анкеры из уголков или пластин для закрепления стержней на опоре.
7.5.25 При необходимости в полках плит могут устраиваться отверстия размерами 200 - 300 мм, которые следует окаймлять дополнительной арматурой сечением не менее площади арматуры, требуемой на ширине отверстия, если бы плита рассчитывалась как сплошная. Дополнительная арматура должна быть заведена за края отверстия на длину
lan, которую следует определять в соответствии с
10.3.25 СП 63.13330.2012. При большем диаметре отверстий прочность полки и плиты необходимо проверять расчетом.
7.5.26 Монтажные соединения плит всех типов выполняют сваркой стальных закладных деталей и заполнением бетоном швов между плитами. В продольных боковых гранях плит предусматривают впадины, предназначенные для образования (после замоноличивания швов) прерывистых шпонок, обеспечивающих совместную работу плит на сдвиг в вертикальном и горизонтальном направлениях.
| | ИС МЕГАНОРМ: примечание. Нумерация пунктов дана в соответствии с официальным текстом документа. | |
7.6.27 Пример армирования ребристой плиты перекрытия приведен на
рисунке 7.26.
1, 2, 3 - арматурный каркас; 4, 5, 6 - арматурная сетка;
7 - монтажная петля
Рисунок 7.26 - Армирование ребристой плиты размерами
5,65 x 1,485 м (напрягаемая арматура условно не показана)
7.6 Многопустотные плиты перекрытий и покрытий
Общие данные
7.6.1 Наиболее распространенные многопустотные плиты толщиной 220 мм с круглыми пустотами основным размером 159 мм предназначены для опирания по двум сторонам.
| | ИС МЕГАНОРМ: примечание. В официальном тексте документа, видимо, допущена опечатка: имеется в виду ГОСТ 32499, а не ГОСТ ГОСТ 32449. | |
7.6.2 Требования к изготовлению, маркировке, приемке, транспортированию и хранению, основные размеры наиболее часто применяемых многопустотных плит приведены в
ГОСТ 32449.
7.6.3 Железобетонные многопустотные плиты проектируют без предварительного напряжения и предварительно напряженными.
7.6.4 Плиты следует проектировать из тяжелого бетона по
ГОСТ 26633 и легкого конструкционного бетона по
ГОСТ 25820 класса по прочности на сжатие не ниже B20.
7.6.5 Конструктивные длину и ширину плит следует принимать равными соответствующему номинальному (координационному) размеру, уменьшенному на значение a1 (зазор между смежными плитами) или a2 (расстояние между смежными плитами при наличии между ними разделяющего элемента, например, антисейсмического пояса, вентиляционных каналов, гребня ригеля) или увеличенному на значение a3 (например, для плит, опираемых на всю толщину стен лестничной клетки зданий с поперечными несущими стенами).
Номинальное расстояние между центрами пустот в плитах следует принимать не менее 185 мм (расстояние между пустотами - не менее 26 мм).
7.6.6 В случаях, предусмотренных технологическим заданием, плиты могут быть с закладными изделиями, выпусками арматуры, местными вырезами, отверстиями и другими конструктивными деталями.
7.6.7 Пример опалубочной формы рядовой многопустотной плиты перекрытия размерами 5,65 x 1,49 м приведен на рисунке 7.27.
Рисунок 7.27 - Опалубочный чертеж рядовой
многопустотной плиты размерами 5,65 x 1,49 м
Расчет многопустотных плит
7.6.8 Расчетное сечение плиты допускается рассматривать как тавровое высотой, равной высоте плиты. Ширина верхней полки тавра должна быть принята с учетом боковых подрезок - шпонок. Ширина ребра расчетного сечения равняется сумме толщин всех ребер.
7.6.9 Для расчета по предельным состояниям второй группы допускается принимать расчетное сечение двутавровым, заменяя пустоты различной формы эквивалентными прямоугольными.
7.6.10 Расчет плит без предварительного напряжения по образованию и раскрытию трещин следует выполнять согласно
8.2.4 -
8.2.18 СП 63.13330.2012, а для предварительно напряженных плит - согласно
9.3.5 -
9.3.11 СП 63.13330.2012.
Конструирование многопустотных плит
7.6.11 Заделка пустот в торцах плит бетонными цилиндрами выполняется для узлов опирания на торцевые зоны плит вышерасположенных стен, нагрузка от которых может вызывать смятие бетона в опорных зонах плит.
Заделка пустот в торцах плит, если это предусмотрено в рабочих чертежах, должна быть выполнена бетонными цилиндрами заводом-изготовителем, а при их отсутствии - на строительной площадке раствором марки не ниже 100.
7.6.12 У концов предварительно напряженных плит необходимо устанавливать дополнительную поперечную или косвенную арматуру согласно
10.3.20 СП 63.13330.2012.
7.6.13 Пример армирования рядовой многопустотной плиты перекрытия размерами 5,65 x 1,49 м приведен на
рисунке 7.28.
7.7.1 Классификация элементов жесткости и правила их расположения и установки приведены в
подразделе 5.3. Расчетные схемы и правила определения жесткости элементов жесткости приведены в
подразделе 6.3.
7.7.2 Расчет и конструирование стальных элементов связевых панелей следует выполнять с учетом требований
4.2.5 -
4.2.6 и
15.4 СП 16.13330.2017.
7.7.3 Сборные железобетонные диафрагмы жесткости с полками для опирания плит представляют собой железобетонные стенки толщиной 12 - 18 см, устанавливаемые в каждом этаже и привариваемые к колоннам через закладные детали. При больших расстояниях между колоннами применяют две и более стенки, свариваемые друг с другом. В стенках могут устраиваться дверные и иные проемы.
1 - рабочая растянутая арматура; 2 - арматурный каркас;
3, 4, 5 - арматурная сетка; 6 - монтажная петля
Рисунок 7.28 - Армирование рядовой многопустотной
плиты размерами 5,65 x 1,49 м
7.7.4 В элементах жесткости, состоящих из колонн, ригелей и заполнения в виде плоских диафрагм жесткости, соединенных с друг другом с помощью сварки и омоноличивания зазоров в их вертикальных и горизонтальных швах, при формировании расчетной модели диафрагм принимается, что нормальные напряжения в поперечном сечении диафрагмы воспринимаются только колоннами, а функция заполнения - передача вертикальных сдвигающих усилий.
7.7.5 Ядра жесткости, как правило, представляют собой стены лестничных клеток, лифтовых шахт и т.п. Они способны сопротивляться горизонтальным воздействиям обоих главных направлений.
Стены ядер жесткости могут выполняться из сборного железобетона аналогично сборным диафрагмам жесткости, из монолитного бетона или из кирпича.
Конструкция сборного ядра жесткости состоит из колонн, объединенных плоскими диафрагмами жесткости.
7.7.6 Проверку прочности диафрагм выполняют по нормальным сечениям при внецентренном сжатии и на сдвиг по поперечным силам, а также для закладных изделий и перемычек на действие сдвигающих усилий в вертикальных швах.
7.7.7 Для плоских двухколонных диафрагм проверяется прочность нормальных сечений при внецентренном сжатии, при этом в составе диафрагмы сложного поперечного сечения выделяются все расчетные плоские диафрагмы.
7.7.8 Конструкция узла примыкания диафрагмы жесткости к колонне приведена на рисунке 7.29, а пример армирования - на
рисунке 7.30.
1 - диафрагма жесткости; 2 - закладная деталь;
3 - закладная деталь (хомут) в колонне; 4 - колонна
Рисунок 7.29 - Узел примыкания диафрагмы
жесткости к колонне
1 - монтажная петля; 2 - закладная деталь;
3 - арматурный блок; 4 - арматурная сетка
Рисунок 7.30 - Пример армирования диафрагмы жесткости
7.8 Наружные стеновые панели
7.8.1 Стеновые панели следует разрабатывать в соответствии с параметрами унифицированных габаритных схем.
7.8.2 По статической схеме работы панели подразделяют на:
- несущие;
- самонесущие;
- ненесущие.
7.8.3 По числу основных слоев панели подразделяют на:
- однослойные;
- двухслойные;
- трехслойные.
7.8.4 Подробная классификация, материалы, форма и основные размеры наиболее часто применяемых панелей, требования к методам контроля, правила приемки, транспортирования и хранения приведены в
ГОСТ 11024,
ГОСТ 31310 и
ГОСТ 32488.
8 Указания по монтажу каркаса
8.1 Порядок монтажа конструкций следует определять необходимостью вовлечения в работу элементов жесткости верхнего монтируемого этажа. Монтаж колонн производится после полной сборки и омоноличивания перекрытий нижерасположенных этажей. Замоноличивание стыков колонн может производиться одновременно с устройством первого над стыком перекрытия. В период выполнения работ по замоноличиванию этого перекрытия может монтироваться следующее. При ведении опережающего на один этаж монтажа прочность нижерасположенного диска, связывающего элементы жесткости воедино, обеспечивается сваркой связевых плит перекрытия и силами трения.
8.2 В первую очередь должны устанавливаться и закрепляться с помощью сварки межколонные (связевые) плиты; затем устанавливаются рядовые плиты. Ребристые рядовые плиты также привариваются к закладным деталям в полках ригелей.
8.3 Каркас здания с вертикальными элементами жесткости из связевых панелей со стальными связями и перекрытиями из ребристых плит может возводиться, на основании расчета, без поэтажного омоноличивания перекрытий. Указанные выше мероприятия по созданию жесткого диска в этом случае должны быть выполнены после монтажа каркаса.
8.4 При отсутствии поэтажного замоноличивания изменится расчетная схема здания. В результате расчета может быть выявлена необходимость в инвентарных стальных связях, устанавливаемых на время монтажа.
УПРОЩЕННЫЕ СХЕМЫ РАСЧЕТА КАРКАСОВ
А.1 На стадии вариантного проектирования для выбора рациональной конструктивной схемы каркаса, подбора типа и числа вертикальных элементов жесткости, их расположения, удовлетворяющих требованиям объемно-планировочных решений, допускается производить раздельно расчеты на вертикальные и горизонтальные нагрузки. Для расчета на вертикальные нагрузки рама разделяется на три одноэтажные рамы: для верхнего, среднего и нижнего этажей (рисунок А.1).
а - фактическая расчетная схема рамы;
б - упрощенные расчетные схемы рамы
Рисунок А.1 - Схемы рамы
При этом число пролетов принимается не более трех, примыкающие стойки кроме стоек первого этажа - длиной, равной половине высоты этажа, и шарнирами по концам. Влиянием жестких приопорных участков, а также горизонтальными смещениями пренебрегают. При учете этих допущений, для рам с равными пролетами, опорные моменты ригелей
Mij при разных схемах загружения допускается определять с помощью
таблицы А.1.

(А.1)
где Mij - опорный момент в i точке ригеля;
j - точка другого конца ригеля;
Bриг и Bкол - жесткости ригеля и колонны соответственно.
А.2 Изгибающие моменты в стойках для каждой схемы загружения рамы определяют по разности опорных моментов ригелей в узле, распределяя их пропорционально погонным жесткостям стоек Bкол/lк.
Расчет на горизонтальные (ветровые) нагрузки производят, принимая нулевую точку эпюры моментов стоек всех этажей, кроме первого, в середине высоты этажа, а для первого этажа на расстоянии 2/3 высоты от низа
(рисунок А.2).
Таблица А.1
Коэффициенты

для определения опорных моментов ригелей
при различных схемах расположения нагрузки q
Схемы расположения нагрузки q от эпюры моментов | k | Коэффициенты  для опорных моментов |
М12 | М21 | М23 | М32 |
| 0,5 | -0,072 | -0,090 | -0,083 | -0,083 |
1 | -0,063 | -0,091 | -0,085 | -0,085 |
2 | -0,054 | -0,093 | -0,087 | -0,087 |
3 | -0,046 | -0,095 | -0,088 | -0,088 |
4 | -0,039 | -0,097 | -0,089 | -0,089 |
5 | -0,033 | -0,099 | -0,090 | -0,090 |
6 | -0,027 | -0,100 | -0,091 | -0,091 |
| 0,5 | -0,077 | -0,079 | -0,006 | -0,006 |
1 | -0,070 | -0,074 | -0,012 | -0,012 |
2 | -0,062 | -0,068 | -0,018 | -0,018 |
3 | -0,055 | -0,065 | -0,022 | -0,022 |
4 | -0,048 | -0,063 | -0,026 | -0,026 |
5 | -0,042 | -0,063 | -0,028 | -0,028 |
6 | -0,036 | -0,062 | -0,030 | -0,030 |
| 0,5 | 0,005 | -0,011 | -0,077 | -0,077 |
1 | 0,007 | -0,017 | -0,073 | -0,073 |
2 | 0,008 | -0,025 | -0,069 | -0,069 |
3 | 0,009 | -0,030 | -0,066 | -0,066 |
4 | 0,009 | -0,034 | -0,063 | -0,063 |
5 | 0,009 | -0,036 | -0,062 | -0,062 |
6 | 0,009 | -0,038 | -0,061 | -0,061 |
| 0,5 | -0,071 | -0,092 | -0,088 | -0,072 |
1 | -0,062 | -0,095 | -0,094 | -0,066 |
2 | -0,052 | -0,101 | -0,098 | -0,059 |
3 | -0,045 | -0,107 | -0,100 | -0,054 |
4 | -0,037 | -0,112 | -0,102 | -0,050 |
5 | -0,032 | -0,115 | -0,104 | -0,046 |
6 | -0,026 | -0,117 | -0,105 | -0,043 |
Рисунок А.2 - К упрощенному способу определения усилий
А.3 Ярусные поперечные силы, равные сумме ветровых сил, приложенных к вышележащим перекрытиям определяют по формуле

, а затем распределяют эти силы между отдельными стойками пропорционально их жесткостям

.
А.4 По найденным поперечным силам определяют моменты в стойках всех этажей, кроме первого, по формуле M = Qkl/2.
Для первого этажа моменты в верхнем и нижнем сечениях равны соответственно Mв = Qkl/3 и Mн = 2Qkl/3.
При определении опорных моментов ригелей у средних узлов суммарный момент в узле от выше и ниже расположенных стоек распределяется между ригелями пропорционально их погонным жесткостям. В крайнем узле опорный момент ригеля равен сумме моментов стоек.
Расчет каркаса рамной конструктивной системы
А.5 При каркасе, состоящем из примерно одинаковых поперечных рам, можно ограничиться расчетом одной наиболее нагруженной рамы на действие вертикальных и ветровых нагрузок. Для сокращения расхода арматуры рассчитывают также торцевую раму на действие приходящихся на нее вертикальных нагрузок с учетом веса наружных ограждающих конструкций. В обоих случаях ветровая нагрузка на раму определяется путем деления ветровой нагрузки, собранной со всей длины каркаса на число рам, т.к. перекрытия, объединяющие рамы каркаса, считаются бесконечно жесткими, поскольку деформации сдвига перекрытий в пределах между рамами весьма малы.
А.6 Для каркаса с рамной схемой в продольном направлении, состоящем из примерно одинаковых продольных рам допускается рассчитывать одну продольную раму на действие ветровых нагрузок, собранных со всей ширины каркаса и деленных на число продольных рам. Кроме того, следует учитывать собственный вес продольных ригелей и нагрузки с участка перекрытий, опирающихся на эти ригели.
А.7 При безбалочной схеме перекрытий поперечные и продольные рамы по характеру работы не отличаются друг от друга.
А.8 Расчет на ветровую нагрузку в продольном направлении при связевой схеме этого направления производится аналогично расчету каркаса связевой конструктивной схемы
(6.3).
А.9 Если каркас состоит из поперечных рам, резко отличающихся друг от друга схемой или сечениями элементов, то ветровая нагрузка, приходящаяся на более жесткую раму, будет превышать среднюю. Чтобы определить это увеличение, следует учесть поворот перекрытий.
А.10 При наличии в крайних продольных рамах жестких связевых элементов поворотом перекрытий можно пренебречь, и тогда ветровая нагрузка определяется исходя из одинаковых смещений перекрытий всех рам, определяемых из расчета каркаса в целом.
Расчет каркасов связевой конструктивной схемы
А.11 Расчетные схемы связевых каркасов могут быть двух видов: дискретные и дискретно-континуальные.
А.12 Дискретная схема представляет элементы жесткости как консольные стержни, соединенные друг с другом и с каркасной частью здания горизонтальными стержнями на уровне всех перекрытий. Перекрытия, за исключением некоторых оговоренных случаев, считаются абсолютно жесткими в своей плоскости и поэтому горизонтальные смещения элементов жесткости и каркасной части одинаковые.
А.13 Если конструкция и расположение элементов жесткости симметричны, а узлы каркасной части шарнирные, расчетную схему удобно представить в виде одного элемента жесткости и одной колонны с жесткостями, равными сумме жесткостей соответственно всех устоев и всех колонн, соединенные на уровне каждого перекрытия жесткими стержнями
(рисунок А.3).
а - конструктивная схема; б - расчетная схема;
в - основная система расчета каркаса методом сил
Рисунок А.3 - Схемы связевого каркаса с шарнирными узлами
и одинаковыми элементами жесткости
Такую систему, в общем случае рассчитывают методом сил, принимая за неизвестные
Xj усилия в жестких стержнях, а за коэффициенты при неизвестных

сумму смещений элемента жесткости и каркаса как свободных консолей на уровне перекрытия
j от действия единичных сил, приложенных к элементу жесткости и каркасу на уровне перекрытия
i. Грузовые члены представляют собой смещения устоя как свободной консоли от действия внешней нагрузки.
В результате определяются горизонтальные усилия, приложенные отдельно к обобщенному устою и к обобщенной колонне. Эти усилия затем распределяются между отдельными элементами жесткости и колоннами пропорционально их жесткостям.
А.14 Если узлы каркасной части жесткие, то расчет допускается производить по аналогичной расчетной схеме, принимая обобщенную колонну в виде, показанном на
рисунке А.3, где жесткости примыкающих ригелей равны суммам жесткостей ригелей этажа. При этом рекомендуется учитывать жесткие опорные участки ригелей и колонн и податливость жестких узлов. Смещения

такой колонны определяют методом деформаций, где за неизвестные принимаются углы поворота узлов.
а - конструктивная схема; б - расчетная схема
Рисунок А.4 - Схемы связевого каркаса с жесткими узлами
и одинаковыми элементами жесткости
А.15 Если элементы жесткости имеют различную конструкцию с различными долями сдвиговой и изгибной деформации, например стены с проемами и без проемов или связевые панели с различными решетками, между такими элементами жесткости устанавливаются жесткие стержни и число неизвестных увеличивается на число этих стержней. При этом элементы жесткости, расположенные в разных плоскостях, рассматриваются в одной плоскости вместе с обобщенной колонной
(рисунок А.5).
а - конструктивная схема; б - расчетная схема
Рисунок А.5 - Схемы связевого каркаса с различными
симметрично расположенными элементами жесткости
А.16 Расчет может также производиться методом деформаций
(рисунок А.6), когда за неизвестные принимаются смещения каждого перекрытия от внешней нагрузки. При этом за коэффициенты
rij при неизвестных принимаются реакции в фиктивных горизонтальных опорах каждого перекрытия
j от единичных смещений каждого перекрытия
i. Грузовые члены представляют собой внешние горизонтальные силы, приложенные к каждому перекрытию. Такой расчет более трудоемкий (особенно по сравнению с расчетом каркаса с шарнирными узлами), поскольку определение реакций от единичных смещений требует отдельных расчетов методом деформаций. Однако, в некоторых случаях такой расчет бывает необходим. В частности, когда при расчете методом сил с учетом деформированной схемы может быть невозможно определение смещений

от единичных сил каркасной части из-за потери ею устойчивости.
а - расчетная схема; б - основная система
Рисунок А.6 - Расчетная схема и основная система расчета
методом деформаций связевого каркаса
А.17 При несимметричном расположении элементов жесткости или при различных их конструкциях перекрытия под действием горизонтальных нагрузок, кроме поступательных смещений, будут поворачиваться, увеличивая смещения некоторых рам. В общем случае правильно учесть эти повороты можно только методом деформаций, при котором в основной системе кроме горизонтальных фиктивных опор, препятствующих поступательным смещениям перекрытий в направлении нагрузки, устанавливаются в каждом перекрытии две дополнительные опоры, препятствующие поворотам, но не препятствующие поступательным смещениям. Эти опоры удобней всего устанавливать по краям в углах перекрытий (рисунок А.7).
1 - опора, препятствующая поступательному
смещению перекрытия; 2, 3 - опоры,
препятствующие повороту перекрытия
Рисунок А.7 - Фиктивные горизонтальные опоры перекрытия
при расчете связевого каркаса методом деформаций
с несимметрично расположенными или неодинаковыми
элементами жесткости
А.18 Учет поворотов перекрытий методом сил основан на фиксации центра жесткости, при приложении к которому внешняя нагрузка не вызывает поворота. Между тем этот центр жесткости в общем случае зависит не только от жесткостей рам каркаса, но и от комбинации усилий, действующих на выше- и нижерасположенные перекрытия, до расчета неизвестных. Поэтому, учитывая большое разнообразие конструкций элементов жесткости и их расположений, такой расчет может приводить к серьезным погрешностям.
А.19 Дискретная расчетная схема - универсальна. Она может применяться при расчете каркасов с любыми комбинациями элементов жесткости, с любым распределением жесткостей элементов жесткости и колонн по высоте, с любым сочетанием высот этажей. Такой расчет, требующий решения систем канонических уравнений высокого порядка, может выполняться только с помощью сертифицированных программных комплексов.
А.20 Дискретно-континуальная расчетная схема отличается от дискретной схемы тем, что горизонтальные нагрузки в виде сосредоточенных сил, а также стержни-связи между элементом жесткости и каркасной частью заменяются на распределенные по высоте нагрузки и усилия, а каркасная часть заменяется на стержень с изгибной и сдвиговой жесткостями, аналогичными каркасной части. Функции распределения усилий и смещений по высоте определяются решением системы дифференциальных уравнений.
Расчет по этой схеме дает результаты, близкие к результатам расчета по дискретной схеме при следующих условиях:
- число этажей более шести;
- высоты этажей одинаковы;
- жесткости элементов жесткости и каркасной части постоянны по высоте.
Расчетные усилия в отдельных колоннах каркасной части от вертикальных нагрузок определяются при полном загружении временными нагрузками всех пролетов. Кроме того, для средних колонн следует дополнительно провести расчет с учетом отсутствия временной нагрузки на ригеле, примыкающем к нижнему узлу рассматриваемой колонны, а для колонны первого этажа - на ригеле, примыкающем к ее верхнему узлу.
Упрощенный учет деформированной схемы
А.21 Учет влияния деформированной схемы при расчете рамных каркасов на действие горизонтальных нагрузок выполняется путем добавления к этим нагрузкам так называемых "отклоняющих сил", равных

, где

- смещение перекрытия этажа относительно его низа, определенное с учетом деформированной схемы,

- сумма продольных сил во всех колоннах этажа,
l - высота этажа (рисунок А.8). Таким образом, расчет ведется по недеформированной схеме на действие суммарных горизонтальных нагрузок.
Рисунок А.8 - К учету деформированной схемы
с помощью отклоняющих сил
А.22 Поскольку силы, действующие на элементы жесткости выше рассматриваемого этажа, прямо пропорциональны относительному смещению перекрытия этого этажа, эти силы, определенные по недеформированной схеме, допускается умножать на коэффициент

определяемый по формуле

(А.2)
где

- относительное смещение перекрытий этажа, определенное по недеформированной схеме при действии сил

;

- сумма продольных сил во всех колоннах при данном элементе жесткости;

- сумма вышерасположенных горизонтальных нагрузок, приложенных к части каркаса, относящейся к данному элементу жесткости.
Сопоставительные расчеты различных связевых каркасов по деформированной схеме и с учетом коэффициентов

показали, что силы, действующие на элемент жесткости и определенные с учетом коэффициента

, как правило, несколько больше сил, полученных из точного расчета, но не более, чем на 10% - 15%.
А.23 Коэффициент увеличения относительных смещений перекрытий каждого этажа от действия моментов

выражается формулой

(А.3)
где

- сумма реакции от моментов, приложенных к вышележащим ярусам элемента жесткости;

- относительное смещение перекрытия этажа, определенное по недеформированной схеме при действии всех моментов

, приложенных к элементу жесткости.
Сопоставительные расчеты различных связевых каркасов по деформированной схеме и с учетом коэффициента

показали, что при определении относительных смещений для всех этажей кроме первого и верхнего, коэффициент 1,2 в
формуле (А.3) можно заменить на 1,0. Кроме того, при коэффициентах

превышающих 1,4, предлагаемый учет деформированной схемы может привести к завышению смещений по сравнению с точным расчетом тем большему, чем больше коэффициент

превышает 1,4. Поэтому, при применении этого метода во избежание излишних запасов рекомендуется проектировать связевые каркасы так, чтобы значения коэффициентов

не превышали 1,4.
При учете поворотов фундаментов под элементами жесткости
формулы (А.2) и
(А.3) не изменяются, так как эти повороты должны учитываться в значении

.
А.24 При учете поворотов перекрытий деформированная схема для смещений
fj учитывается путем умножения относительных смещений

на коэффициенты

, определяемые по
формулам (А.2) или
(А.3), где величины

,

,

относятся ко всему каркасу, а для углов поворота

- путем умножения относительных углов поворота на коэффициент

(А.4)
где

- сумма моментов усилий
Wj или
Rсв.м, приложенных ко всем вышележащим перекрытиям каркаса, относительно вертикальной оси, пересекающей ось
x;

- сумма относительных углов поворота вышележащих перекрытий, равная

(А.5)
где

- угол поворота покрытия (
j = 1);

- угол поворота перекрытия по низу рассматриваемого этажа;

- сумма высот этажей, рассматриваемого и всех вышерасположенных.
При этом под углом

понимается выражение

.
А.25 Моменты в рядовых колоннах от смещений перекрытий при переходе на расчет по деформированной схеме могут возрастать сильнее, чем при умножении их на коэффициент

. Но поскольку эти моменты, как правило, весьма малы, то их при учете деформированной схемы также можно умножить на коэффициент

.
Исключение составляют моменты колонн у заделки их в фундамент. Эти моменты существенно больше прочих моментов, но их возрастание при учете деформированной схемы существенно меньше, чем при умножении их на коэффициент

, поскольку, как было отмечено выше, при заданном смещении моменты, определенные по деформированной схеме, всегда меньше моментов, определенных по недеформированной схеме. Для учета этого обстоятельства, моменты рядовых колонн у заделки в фундамент наряду с умножением их на коэффициент

рекомендуется умножать на понижающий коэффициент, определяемый по формуле
k = 1 - w/35, (А.6)
где

, а
N,
l,
D - продольная сила, длина и жесткость рассматриваемой колонны.
[1] Федеральный
закон от 30 декабря 2009 г. N 384-ФЗ "Технический регламент о безопасности зданий и сооружений"
[2]
СН 2.2.4/2.1.8.566-96 Санитарные нормы. Производственная вибрация, вибрация в помещениях жилых и общественных зданий
[3]
СП 50-101-2004 Проектирование и устройство оснований и фундаментов зданий и сооружений