Главная // Актуальные документы // ПравилаСПРАВКА
Источник публикации
В данном виде документ опубликован не был.
Первоначальный текст документа опубликован в издании
М.: Минстрой России, 2014.
Информацию о публикации документов, создающих данную редакцию, см. в справке к этим документам.
Примечание к документу
Документ включен в
Перечень документов в области стандартизации, в результате применения которых на добровольной основе обеспечивается соблюдение требований Федерального
закона от 30.12.2009 N 384-ФЗ "Технический регламент о безопасности зданий и сооружений" (
Приказ Росстандарта от 02.04.2020 N 687).
Документ включен в
Перечень документов в области стандартизации, в результате применения которых на добровольной основе обеспечивается соблюдение требований Федерального
закона от 30.12.2009 N 384-ФЗ "Технический регламент о безопасности зданий и сооружений" (
Приказ Росстандарта от 17.04.2019 N 831).
Документ включен в
Перечень документов в области стандартизации, в результате применения которых на добровольной основе обеспечивается соблюдение требований Федерального
закона от 30.12.2009 N 384-ФЗ "Технический регламент о безопасности зданий и сооружений" (
Приказ Росстандарта от 30.03.2015 N 365).
Название документа
"СП 164.1325800.2014. Свод правил. Усиление железобетонных конструкций композитными материалами. Правила проектирования"
(утв. и введен в действие Приказом Минстроя России от 08.08.2014 N 452/пр)
(ред. от 14.12.2020)
"СП 164.1325800.2014. Свод правил. Усиление железобетонных конструкций композитными материалами. Правила проектирования"
(утв. и введен в действие Приказом Минстроя России от 08.08.2014 N 452/пр)
(ред. от 14.12.2020)
Утвержден и введен в действие
и жилищно-коммунального хозяйства
Российской Федерации
от 8 августа 2014 г. N 452/пр
СВОД ПРАВИЛ
УСИЛЕНИЕ ЖЕЛЕЗОБЕТОННЫХ КОНСТРУКЦИЙ
КОМПОЗИТНЫМИ МАТЕРИАЛАМИ
ПРАВИЛА ПРОЕКТИРОВАНИЯ
Strengthening of reinforced concrete structures
by FRP composites. Regulation of design
СП 164.1325800.2014
| | Список изменяющих документов Минстроя России от 14.12.2020 N 781/пр) | |
ОКС 91.080.040
Дата введения
1 сентября 2014 года
1 ИСПОЛНИТЕЛИ - ОАО "НИЦ "Строительство" - НИИЖБ им. А.А. Гвоздева, ЗАО "Триада-Холдинг", ЗАО "ХК "Композит"
2 ВНЕСЕН Техническим комитетом по стандартизации ТК 465 "Строительство"
3 ПОДГОТОВЛЕН к утверждению Департаментом градостроительной деятельности и архитектуры Министерства строительства и жилищно-коммунального хозяйства Российской Федерации (Минстрой России)
4 УТВЕРЖДЕН
Приказом Министерства строительства и жилищно-коммунального хозяйства Российской Федерации от 8 августа 2014 г. N 452/пр и введен в действие с 1 сентября 2014 г.
5 ЗАРЕГИСТРИРОВАН Федеральным агентством по техническому регулированию и метрологии (Росстандарт)
6 ВВЕДЕН ВПЕРВЫЕ
В случае пересмотра (замены) или отмены настоящего свода правил соответствующее уведомление будет опубликовано в установленном порядке. Соответствующая информация, уведомление и тексты размещаются также в информационной системе общего пользования - на официальном сайте разработчика (Минстрой России) в сети Интернет
Настоящий свод правил разработан с учетом обязательных требований, установленных в Федеральных законах от 27 декабря 2002 г.
N 184-ФЗ "О техническом регулировании", от 30 декабря 2009 г.
N 384-ФЗ "Технический регламент о безопасности зданий и сооружений" и содержит требования к расчету и проектированию усиления или восстановления композитными материалами бетонных и железобетонных конструкций зданий и сооружений различного назначения.
Свод правил разработан авторским коллективом НИИЖБ им. А.А. Гвоздева - института ОАО "НИЦ "Строительство" (д-р техн. наук
Т.А. Мухамедиев, канд. техн. наук
Д.В. Кузеванов -
разделы 1 -
8; канд. техн. наук
С.И. Иванов, канд. хим. наук
В.Р. Фаликман, инж.
Н.В. Фаткуллин) и ЗАО "Триада-Холдинг" (д-р техн. наук
А.А. Шилин, кандидаты техн. наук
Д.В. Картузов,
В.А. Пшеничный), ЗАО "ХК "Композит" (инж.
Т.К. Лягуша), при участии ОАО Роснано (инж.
Ю.Г. Ткачук), ООО "Эм-Си Баухеми" (инж.
А.А. Мондрус), ООО "БАСФ Строительные системы" (инж.
С.А. Ветлов).
Изменение N 1 разработано авторским коллективом ОАО "НИЦ "Строительство" - НИИЖБ им. А.А. Гвоздева (д-р техн. наук Т.А. Мухамедиев, кандидаты техн. наук Д.В. Кузеванов, С.А. Зенин; инж. О.В. Кудинов).
(абзац введен
Изменением N 1, утв. Приказом Минстроя России от 14.12.2020 N 781/пр)
1.1. Настоящий свод правил распространяется на проектирование усиления или восстановления железобетонных конструкций зданий и сооружений различного назначения путем устройства системы внешнего армирования композитными материалами из термореактивных адгезивов, армированных углеродными или стеклянными волокнами.
1.2. Свод правил устанавливает требования к расчету железобетонных конструкций, усиленных или восстановленных системами внешнего армирования композитными материалами и проектированию указанных систем для усиления или восстановления железобетонных конструкций из тяжелого и мелкозернистого бетонов, на которые распространяются требования
СП 63.13330.
(раздел 2 в ред.
Изменения N 1, утв. Приказом Минстроя России от 14.12.2020 N 781/пр)
В настоящем своде правил использованы нормативные ссылки на следующие документы:
ГОСТ 25.601-80 Расчеты и испытания на прочность. Методы механических испытаний композиционных материалов с полимерной матрицей (композитов). Метод испытания плоских образцов на растяжение при нормальной, повышенной и пониженной температурах
ГОСТ 22690-2015 Бетоны. Определение прочности механическими методами неразрушающего контроля
ГОСТ 22904-93 Конструкции железобетонные. Магнитный метод определения толщины защитного слоя бетона и расположения арматуры
ГОСТ 26433.1-89 Система обеспечения точности геометрических параметров в строительстве. Правила выполнения измерений. Элементы заводского изготовления
ГОСТ 27751-2014 Надежность строительных конструкций и оснований. Основные положения
ГОСТ 28570-2019 Бетоны. Методы определения прочности по образцам, отобранным из конструкций
ГОСТ 31937-2011 Здания и сооружения. Правила обследования и мониторинга технического состояния
ГОСТ Р 54559-2011 Трубы и детали трубопроводов из реактопластов, армированных волокном. Термины и определения
СП 63.13330.2018 "СНиП 52-01-2003 Бетонные и железобетонные конструкции. Основные положения" (с изменением N 1)
Примечание - При пользовании настоящим сводом правил целесообразно проверить действие ссылочных документов в информационной системе общего пользования - на официальном сайте федерального органа исполнительной власти в сфере стандартизации в сети Интернет или по ежегодному информационному указателю "Национальные стандарты", который опубликован по состоянию на 1 января текущего года, и по выпускам ежемесячного информационного указателя "Национальные стандарты" за текущий год. Если заменен ссылочный документ, на который дана недатированная ссылка, то рекомендуется использовать действующую версию этого документа с учетом всех внесенных в данную версию изменений. Если заменен ссылочный документ, на который дана датированная ссылка, то рекомендуется использовать версию этого документа с указанным выше годом утверждения (принятия). Если после утверждения настоящего свода правил в ссылочный документ, на который дана датированная ссылка, внесено изменение, затрагивающее положение, на которое дана ссылка, то это положение рекомендуется применять без учета данного изменения. Если ссылочный документ отменен без замены, то положение, в котором дана ссылка на него, рекомендуется применять в части, не затрагивающей эту ссылку. Сведения о действии сводов правил целесообразно проверить в Федеральном информационном фонде стандартов.
В настоящем своде правил применены термины по
ГОСТ Р 54559, а также следующие термины с соответствующими определениями:
3.1 усиление железобетонной конструкции: Комплекс конструктивных мероприятий и технологических работ, направленных на повышение несущей способности и эксплуатационных свойств конструкции.
3.2 восстановление (ремонт) железобетонной конструкции: Комплекс конструктивных мероприятий и технологических работ, направленных на восстановление несущей способности и эксплуатационных свойств конструкции, нарушенных вследствие дефектов изготовления или в процессе ее эксплуатации.
3.3 внешнее армирование (железобетонной конструкции) композитными материалами: Установка наклеиванием на железобетонную конструкцию изделий заводского изготовления из композитных материалов (ламинатов) или послойное наклеивание термореактивными адгезивами изделий из непрерывного углеродного или стеклянного волокна (холстов, сеток и других тканых материалов) с последующим отверждением и образованием однослойного или многослойного композитного материала.
3.4 система внешнего армирования композитными материалами: Система, состоящая из клеевого слоя, образованного отвержденным термореактивным адгезивом, однослойного или многослойного композитного материала и, при необходимости, защитного слоя, обеспечивающего защиту системы от воздействия повышенных температур, открытого пламени, ультрафиолетового излучения и механических повреждений.
Примечание - Защитный слой наносят в соответствии с проектной документацией на усиление или восстановление железобетонной конструкции.
3.5 ламинаты: Готовые для устройства внешнего армирования конструкций многослойные полосы различной толщины и ширины, изготовленные в заводских условиях путем пропитки и горячего прессования.
Примечания
1. Ламинаты изготавливают в виде полос или пластин различной длины, ширины и толщины, как правило, однонаправленно армированных.
2. В технической документации отдельных изготовителей вместо термина "ламинат" употребляют термин "ламель".
3.6 элементы усиления: Ламинаты или их части, или части изделий из непрерывного углеродного или стеклянного волокна (холсты, сетки и другие тканые материалы), различной длины и ширины, подготовленные для наклеивания на основание железобетонной конструкции.
3.7 адгезив (термореактивный): Клеящий состав из термореактивной смолы для наклейки ламинатов или пропитки и наклейки изделий из непрерывного углеродного или стеклянного волокна (холсты, сетки и другие тканые материалы) на основание железобетонной конструкции.
Примечание - Под термореактивным адгезивом в настоящем своде правил понимают адгезив на основе эпоксидных смол.
3.8 праймер: Материал, применяемый для предварительной подготовки основания железобетонной конструкции перед нанесением адгезива.
3.9 основание (железобетонной конструкции): Поверхность железобетонной конструкции, на которую наклеивают ламинаты или изделия из непрерывного углеродного или стеклянного волокна (холсты, сетки и другие тканые материалы) при ее усилении или восстановлении внешним армированием из композитных материалов.
4.1. Проектирование усиления или восстановления железобетонных конструкций следует проводить на основе результатов их натурного обследования и поверочного расчета.
4.2. В результате натурных обследований должно быть установлено: состояние конструкции, геометрические размеры конструкций, армирование конструкций, прочность бетона, вид и класс арматуры и ее состояние, прогибы конструкций, расположение трещин и ширина их раскрытия, размеры и характер дефектов и повреждений, действующие нагрузки, статическая схема конструкций.
4.3. Поверочные расчеты конструкции следует проводить на основе проектных материалов и результатов натурных обследований и с учетом требований
СП 63.13330 и
ГОСТ 54257.
4.4. Расчетные схемы при проведении поверочных расчетов следует принимать с учетом установленных фактических геометрических размеров и конструктивных отклонений от проекта в отдельных элементах конструкции и их соединениях.
4.5. При проведении поверочных расчетов должны быть учтены дефекты и повреждения конструкции, выявленные в процессе натурных обследований:
- снижение прочности;
- местные повреждения или разрушения бетона;
- обрыв арматуры;
- коррозия арматуры;
- нарушение анкеровки и сцепления арматуры с бетоном;
- образование и раскрытие трещин и другие.
4.6. Поверочные расчеты следует проводить по несущей способности, деформациям и трещиностойкости.
4.7. На основе поверочных расчетов следует установить пригодность конструкций к эксплуатации, необходимость их усиления или полную непригодность конструкции.
Для конструкций, не удовлетворяющих требованиям поверочных расчетов по эксплуатационной пригодности, допускается не предусматривать усиление, если фактические прогибы превышают допустимые значения, но не препятствуют нормальной эксплуатации, а также если фактическое раскрытие трещин превышает допустимые значения, но не создает опасности разрушения.
4.8. Допускается при восстановлении конструкции не проводить поверочные расчеты по эксплуатационной пригодности, если перемещения и ширина раскрытия трещин в существующих конструкциях при максимальных фактических нагрузках не превосходят допустимых значений, а усилия в сечениях элементов конструкции от проектных нагрузок не превышают значений усилий от фактически действующих нагрузок.
4.9. Система внешнего армирования композитными материалами должна обеспечивать включение в работу составных частей системы и их совместную работу с усиливаемой или восстанавливаемой конструкцией.
4.10. Минимально допустимый фактический класс бетона по прочности на сжатие существующей конструкции, усиливаемой или восстанавливаемой внешним армированием из композитных материалов, должен составлять не менее:
- В15 - при усилении изгибаемых конструкций;
- В10 - при усилении сжатых конструкций.
4.11. Не допускается проводить усиление элементов с корродированной стальной арматурой без устранения причин и продуктов коррозии.
Не рекомендуется проводить усиление внешним армированием из композитных материалов изгибаемых конструкций, для которых поверочными расчетами установлено, что высота сжатой зоны бетона при расчете прочности по нормальным сечениям усиливаемой конструкции превышает ее граничное значение, установленное в
СП 63.13330.
4.12. Максимальная температура эксплуатации железобетонной конструкции, усиленной или восстановленной системой внешнего армирования из композитных материалов без защитного слоя, не должна превышать температуру стеклования композитного материала и (или) термореактивного адгезива.
4.13. При проектировании системы внешнего армирования из композитных материалов необходимо исключить в процессе эксплуатации попадание на систему прямых солнечных лучей, в том числе путем устройства защитного слоя.
4.14. В случае необходимости обеспечения пожарной безопасности и защиты от повреждений композитных материалов системы внешнего армирования следует предусмотреть устройство защитного слоя из специальных огнеупорных составов, совместимых с адгезивами на основе эпоксидной смолы.
4.15. При проектировании системы внешнего армирования из композитных материалов для железобетонных конструкций, эксплуатируемых в условиях переменной влажности, следует предусмотреть возможность миграции паров влаги из тела бетона.
4.16. Расчет огнестойкости конструкций, усиление или восстановление которых выполнено без устройства противопожарной защиты системы внешнего армирования из композитных материалов, следует проводить без учета работы системы внешнего армирования.
4.17. Расчет конструкций, усиленных внешним армированием из композитных материалов, следует проводить по несущей способности, деформациям и трещиностойкости.
5.1 Требования к составным частям системы внешнего армирования из композитных материалов
5.1.1. Материалы, применяемые для усиления или восстановления железобетонных конструкций, должны соответствовать требованиям действующих нормативных документов, иметь сопроводительную документацию, подтверждающую их соответствие нормативным требованиям, включая паспорта качества и (или) протоколы испытаний, и должны подвергаться входному контролю по
ГОСТ 24297.
5.1.2. Характеристики материалов, составляющих систему внешнего армирования, должны соответствовать требованиям, приведенным в таблице 1.
Таблица 1
Характеристики материалов, составляющих
систему внешнего армирования
Наименование показателя | Значение показателя | Метод контроля |
Для холстов, сеток и других тканых материалов из углеволокна |
Прочность, МПа, не менее | 1000 | |
Модуль упругости, ГПа, не менее | 55 | |
Коэффициент линейного теплового расширения, °C-1: | | |
- продольный | (-1 - 0)·10-6 |
- поперечный | (22 - 50)·10-6 |
Для ламинатов, армированных углеволокном |
Прочность, МПа, не менее | 1600 | |
Модуль упругости, ГПа, не менее | 150 | |
Температура стеклования, °C, не менее | 40 | ГОСТ 32618.2 ГОСТ Р 55135 |
Коэффициент линейного теплового расширения, °C-1: | | |
- продольный | (-1 - 0)·10-6 |
- поперечный | (22 - 55)·10-6 |
Для холстов, сеток и других тканых материалов из стекловолокна |
Прочность, МПа, не менее | 520 | |
Модуль упругости, ГПа, не менее | 15 | |
Коэффициент линейного теплового расширения, °C-1: | | |
- продольный | (6 - 10)·10-6 |
- поперечный | (19 - 23)·10-6 |
Для ламинатов, армированных стекловолокном |
Прочность, МПа, не менее | 520 | |
Модуль упругости, ГПа, не менее | 15 | |
Температура стеклования, °C, не менее | 40 | ГОСТ 32618.2 ГОСТ Р 55135 |
Коэффициент линейного теплового расширения, °C-1: | | |
- продольный | (6 - 10)·10-6 |
- поперечный | (19 - 23)·10-6 |
Для адгезивов <*> |
Время открытой выдержки | Заявленное значение +/- 20% | |
Жизнеспособность | Заявленное значение +/- 20% | |
Модуль упругости при сжатии, Н/мм2, не менее | 2000 | |
Прочность при сдвиге, Н/мм2, не менее | 10 | |
Температура стеклования, °C, не менее | 40 | ГОСТ 32618.2 ГОСТ Р 55135 |
Коэффициент линейного теплового расширения, °C-1, не менее | 10·10-6 | |
Усадка, %, не более | 0,1 | ГОСТ 18616 |
|
5.1.3. Номинальные ширина и толщина холстов, сеток и других тканых материалов и ламинатов должны соответствовать требованиям, установленным в технологической документации на изготовление, и должны быть подтверждены при входном контроле материалов до установки системы внешнего армирования в соответствии с таблицей 2.
Таблица 2
Наименование показателя | Метод контроля |
Для холстов, сеток и других тканых материалов из углеволокна |
Ширина, мм | |
Толщина, мм | |
Для холстов, сеток и других тканых материалов из стекловолокна |
Ширина, мм | |
Толщина, мм | |
Для ламинатов, армированных углеволокном или стекловолокном |
Ширина, мм | |
Толщина, мм | |
5.2 Нормативные и расчетные характеристики композитных материалов
5.2.1. Основными прочностными и деформационными характеристиками композитных материалов для расчета железобетонных конструкций, усиленных внешним армированием из композитных материалов, являются нормативные значения:
- сопротивления растяжению Rf,n;
- модуля упругости при растяжении Ef,n;
- предельных относительных деформаций

;
- коэффициента поперечной деформации

.
5.2.2. Значения сопротивления растяжению, модуля упругости при растяжении и коэффициента поперечной деформации определяют по
ГОСТ 25.601.
5.2.3. Нормативные значения сопротивления растяжению, модуля упругости при растяжении, предельных относительных деформаций и коэффициента поперечной деформации следует принимать равными значениям, установленным по результатам испытаний образцов по
ГОСТ 25.601 с обеспеченностью 0,95.
5.2.4. Расчетные значения модуля упругости и коэффициента поперечной деформации следует принимать равными их нормативным значениям.
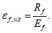
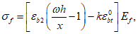
5.2.5. Расчетное значение сопротивления растяжению Rf следует определять по формуле

(5.1)
где

- коэффициент надежности по композитному материалу, принимаемый при расчете по предельным состояниям второй группы равным 1,0, а при расчете по предельным состояниям первой группы равным:
1,2 - для углекомпозита,
1,8 - для стеклокомпозита;

- коэффициент условий работы композитного материала, принимаемый по
таблице 3 в зависимости от типа композитного материала и условий эксплуатации конструкции;

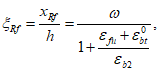
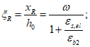
- коэффициент условий работы композитного материала, учитывающий сцепление композитного материала с бетоном, определяемый по формуле

(5.2)
где

- значение предельных относительных деформаций композитного материала, определяемое по
формуле (5.4) при значении
Rf, вычисленном по
формуле (5.1), при

;
n - число слоев композитного материала;
tf - безразмерный параметр, численно равный значению толщины одного слоя композитного материала, мм;
Ef - модуль упругости композитного материала, МПа;
Rb - расчетное значение сопротивления бетона осевому сжатию, МПа.
Допускается при расчете по предельным состояниям первой группы значение коэффициента надежности

для ламинатов принимать по данным изготовителя, но не менее чем 1,1.
При расчете железобетонных конструкций, усиленных внешним армированием из композитных материалов, по предельным состояниям первой группы на действие только постоянных и длительных нагрузок расчетное значение сопротивления растяжению композитного материала следует принимать равным:

(5.3)
где

- коэффициент снижения сопротивления растяжению композитного материала при длительном действии нагрузки, принимаемый равным:
0,8 - для углекомпозита,
0,3 - для стеклокомпозита.
(в ред.
Изменения N 1, утв. Приказом Минстроя России от 14.12.2020 N 781/пр)
Таблица 3
Коэффициенты условий работы
композитного материала
Условия эксплуатации конструкции | Тип композитного материала | Значение коэффициента  для |
ламинатов | холстов, сеток и других тканых материалов |
Во внутренних помещениях | Углекомпозит | 0,95 | 0,9 |
Стеклокомпозит | 0,75 | 0,7 |
На открытом воздухе | Углекомпозит | 0,85 | 0,8 |
Стеклокомпозит | 0,65 | 0,6 |
В агрессивной среде | Углекомпозит | 0,85 | 0,8 |
Стеклокомпозит | 0,5 | 0,5 |
5.2.6. Расчетное значение предельных относительных деформаций композитного материала

следует вычислять по формуле

(5.4)
5.2.7. Расчетное значение сопротивления композитного материала растяжению при расчете прочности сечений, наклонных к продольной оси элемента, следует принимать согласно
6.4.3.
5.2.8. Расчетные диаграммы состояния (деформирования) композитного материала, устанавливающие связь между напряжениями и относительными деформациями при растяжении, следует принимать линейными.
5.3 Нормативные и расчетные характеристики бетона и стальной арматуры
5.3.1. Нормативные и расчетные значения характеристик бетона существующей конструкции следует принимать по
СП 63.13330 в зависимости от фактического (условного) класса бетона.
Фактический класс бетона следует определять с помощью переводных коэффициентов, обеспечивающих прочность бетона, эквивалентную его фактической средней прочности, установленной по данным испытаний бетона неразрушающими методами или по данным испытаний отобранных из конструкции образцов.
5.3.2. Нормативные и расчетные значения характеристик существующей стальной арматуры следует принимать по
СП 63.13330 в зависимости от класса арматуры, указанного в проекте, или условного класса арматуры.
Условный класс арматуры следует определять с помощью переводных коэффициентов, обеспечивающих прочность арматуры, эквивалентную ее фактической средней прочности, установленной по данным испытаний образцов арматуры, отобранных из обследуемых конструкций.
При отсутствии проектных данных и невозможности отбора образцов допускается устанавливать класс стальной арматуры по виду ее профиля, а расчетные сопротивления принимать на 20% ниже соответствующих значений, установленных в действующих нормативных документах для данного класса.
6 Железобетонные конструкции без предварительно напряженной арматуры, усиленные внешним армированием из композитных материалов
Расчет по предельным состояниям первой группы
6.1.1. Расчет по прочности железобетонных конструкций без предварительно напряженной арматуры, усиленных внешним армированием из композитных материалов, следует проводить:
- при действии изгибающих моментов и продольных сил - по нормальным сечениям;
- при действии поперечных сил - по наклонным сечениям.
6.1.2. Расчет по прочности нормальных сечений следует проводить на основе нелинейной деформационной модели.
Допускается проводить расчет прочности нормальных сечений на основе предельных усилий:
- изгибаемых железобетонных элементов прямоугольного, таврового и двутаврового сечений с расположенными у перпендикулярных плоскости изгиба граней элемента существующей арматурой и системой внешнего армирования, при действии усилий в плоскости симметрии нормальных сечений;
- сжатых элементов прямоугольного, круглого и кольцевого поперечных сечений.
6.1.3. При расчете железобетонных конструкций следует учитывать несущую способность усиливаемой конструкции. Для сильно поврежденных конструкций (при разрушении 50% и более сечения бетона или 50% и более площади сечения рабочей арматуры) несущую способность усиливаемой конструкции не учитывают.
6.1.4. При расчете сжатых железобетонных элементов следует учитывать случайный эксцентриситет и влияние продольного изгиба.
6.1.5. При проектировании усиливаемых конструкций следует, как правило, предусматривать, чтобы нагрузка во время усиления не превышала 65% расчетной величины. В случае усиления под

нагрузкой расчетные характеристики бетона и существующей арматуры следует умножать на коэффициенты условий работы: бетона

; арматуры -

.
6.1.6. Расчет железобетонной конструкции, усиленной внешним армированием из композитных материалов, следует проводить с учетом начального напряженно-деформированного состояния конструкции перед ее усилением.
Расчет начального напряженно-деформированного состояния конструкции следует проводить на действие фактической нагрузки без учета коэффициентов надежности по нагрузке.
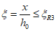
6.2 Расчет по прочности нормальных сечений по предельным усилиям
6.2.1. Предельные усилия в усиленном сечении, нормальном к продольной оси элемента, следует принимать исходя из указаний
СП 63.13330 и следующих дополнительных условий:
- деформации сдвига в клеевом слое не учитывают;
- при расчете усиленной конструкции с учетом существующей стальной арматуры должно выполняться условие

(6.1)
где

- предельное значение относительной деформации стальной арматуры, принимаемое равным 0,025 - для арматуры с физическим пределом текучести и 0,015 - для арматуры с условным пределом текучести;

- начальное значение относительной деформации существующей стальной арматуры конструкции, определяемое с учетом наличия трещин в растянутой зоне конструкции согласно указаниям пункта
6.2.4 или
6.2.13.
(в ред.
Изменения N 1, утв. Приказом Минстроя России от 14.12.2020 N 781/пр)
6.2.2. Расчет по прочности нормальных сечений следует проводить в зависимости от соотношения между значением относительной высоты сжатой зоны бетона

, определяемой из соответствующих условий равновесия, и значением граничной относительной высоты сжатой зоны

, при котором предельное состояние элемента наступает одновременно с достижением в композитном материале значения напряжения, равного расчетному значению сопротивления
Rf.
6.2.3. Значение

следует определять по формуле

(6.2)
Минстроя России от 14.12.2020 N 781/пр)
где

- характеристика сжатой зоны бетона, принимаемая для тяжелого бетона классов до В60 включительно равной 0,8, а для тяжелого бетона классов В70 - В100 и для мелкозернистого бетона - равной 0,7;

- расчетное значение предельных относительных деформаций, вычисляемое по
формуле (5.4);

- относительные деформации сжатого бетона при напряжениях R
b, принимаемые по
СП 63.13330;

- значение начальной относительной деформации растянутой грани элемента при его усилении, определяемое согласно указаниям
6.2.4 или
6.2.13.
(в ред.
Изменения N 1, утв. Приказом Минстроя России от 14.12.2020 N 781/пр)
Изгибаемые элементы
6.2.4. При учете начального напряженно-деформированного состояния изгибаемых элементов, полученного ими до усиления, в
формулах (6.1) и
(6.2) значения начальной относительной деформации существующей стальной арматуры

и начальной относительной деформации растянутой грани элемента

вычисляют по формулам:
(в ред.
Изменения N 1, утв. Приказом Минстроя России от 14.12.2020 N 781/пр)

(6.3)

(6.4)
Минстроя России от 14.12.2020 N 781/пр)
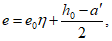
где M0 - изгибающий момент от фактической нагрузки, действующей на конструкцию при ее усилении;
(в ред.
Изменения N 1, утв. Приказом Минстроя России от 14.12.2020 N 781/пр)
Eb1 - модуль деформации сжатого бетона;
Ired - момент инерции приведенного поперечного сечения относительно его центра тяжести;
x0 - высота сжатой зоны бетона.
6.2.5. Параметры
Eb1,
Ired и
x0 в
формулах (6.3) и
(6.4) следует определять по
СП 63.13330 с учетом отсутствия или наличия трещин в растянутой зоне сечения конструкции.
6.2.6. Расчет по прочности сечений изгибаемых элементов, усиленных внешним армированием из композитных материалов, следует проводить из условия
M <= Mult, (6.5)
где M - изгибающий момент от внешней нагрузки;
Mult - предельный изгибающий момент, который может быть воспринят усиленным сечением элемента.
6.2.7. Значение
Mult для изгибаемых элементов прямоугольного сечения
(рисунок 1) при

следует определять по формуле

(6.6)
при этом высоту сжатой зоны x определяют по формуле

(6.7)
Рисунок 1 - Схема усилий и эпюра напряжений в сечении,
нормальном к продольной оси изгибаемого железобетонного
элемента с внешним армированием из композитных
материалов, при его расчете по прочности
6.2.8. Значение
Mult для изгибаемых элементов таврового и двутаврового сечений, имеющих полку в сжатой зоне при

, определяют в зависимости от положения границы сжатой зоны:
а) если граница проходит в полке (
рисунок 2 а), т.е. соблюдают условие

(6.8)
то значение
Mult определяют по
6.2.7 как для прямоугольного сечения шириной

;
б) если граница проходит в ребре (
рисунок 2 б), т.е.
условие (6.8) не соблюдают, значение
Mult определяют по формуле

(6.9)
при этом высоту сжатой зоны бетона x определяют по формуле

(6.10)
Рисунок 2 - Положение границы сжатой зоны
в сечении изгибаемого железобетонного элемента
с внешним армированием из композитных материалов
6.2.9. Значение

, вводимое в расчет, принимают из условия, что ширина свеса полки в каждую сторону от ребра должна быть не более 1/6 пролета элемента и не более:
а) при наличии поперечных ребер или при

- 1/2 расстояния в свету между продольными ребрами;
б) при отсутствии поперечных ребер (или при расстояниях между ними,

, чем расстояния между продольными ребрами) и

;
в) при консольных свесах полки:
при

;
при

;
при

- свесы не учитывают.
6.2.10. При расчете по прочности изгибаемых элементов рекомендуется соблюдать условие

.
При

предельный изгибающий момент
Mult допускается определять по формулам:
- для элементов прямоугольных сечений, а также тавровых и двутавровых сечений, имеющих полку в сжатой зоне, при соблюдении
условия (6.8):
(в ред.
Изменения N 1, утв. Приказом Минстроя России от 14.12.2020 N 781/пр)

(6.11)
Минстроя России от 14.12.2020 N 781/пр)
- для элементов таврового и двутаврового сечений при нарушении
условия (6.8):

(6.12)
Минстроя России от 14.12.2020 N 781/пр)
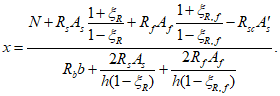
где

- напряжение во внешней арматуре из композитного материала, определяемое по формуле

(6.13)
где

- принимают по
6.2.3;

- начальные деформации растянутой грани сечения, вычисляемые по
формуле (6.4).
(в ред.
Изменения N 1, утв. Приказом Минстроя России от 14.12.2020 N 781/пр)
Формула (6.14) исключена с 15.06.2021. -
Изменение N 1, утв. Приказом Минстроя России от 14.12.2020 N 781/пр.
- при

:
k = 0;
- при

:
k = 1,
где

вычисляют по формуле

(6.15)

- относительная деформация существующей стальной растянутой арматуры, определяемая по
СП 63.13330.
Сжатые элементы
6.2.11. Усиление сжатых железобетонных элементов проводится путем устройства внешнего армирования из композитных материалов в продольном направлении или путем устройства обоймы из композитных материалов в поперечном направлении - для создания объемного напряженного состояния.
Усиление путем устройства обоймы сжатых элементов рекомендуется проводить при следующих условиях:
- расчетное значение эксцентриситета приложения сжимающей силы должно быть менее 0,1D (для круглых сечений диаметром D) или менее 0,1h (для прямоугольных сечений);
- соотношение сторон элементов прямоугольного сечения h/b не должно превышать значение 1,5;
- размер стороны элементов прямоугольного сечения h не должен превышать 900 мм;
- гибкость элементов не должна превышать значение l/i = 50.
6.2.12. При расчете сжатых железобетонных элементов в начальном эксцентриситете приложения продольной силы следует учитывать случайный эксцентриситет, принимаемый по
СП 63.13330.
6.2.13. При учете начального напряженно-деформированного состояния внецентренно сжатого элемента, полученного им до усиления, в
формулах (6.1) и
(6.2) значения начальных относительной деформации стальной арматуры

и относительной деформации сжатого бетона

допускается определять по формулам:

(6.16)
Минстроя России от 14.12.2020 N 781/пр)

(6.17)
Минстроя России от 14.12.2020 N 781/пр)
где N0 - продольная сила от внешней нагрузки, действующей при усилении элемента;
(в ред.
Изменения N 1, утв. Приказом Минстроя России от 14.12.2020 N 781/пр)
e - расстояние от точки приложения силы N0 до центра тяжести сечения растянутой или наименее сжатой (при полностью сжатом сечении элемента) арматуры, равное

(6.18)
где

- коэффициент, учитывающий влияние продольного изгиба (прогиба) элемента на его несущую способность;
e0 - начальный эксцентриситет приложения продольной силы;
Ared и Ired - площадь и момент инерции приведенного поперечного сечения относительно его центра тяжести.
Параметры

,
e0,
yc,
Ared и
Ired определяют по
СП 63.13330 (без учета внешнего армирования композитными материалами).
(в ред.
Изменения N 1, утв. Приказом Минстроя России от 14.12.2020 N 781/пр)
Усиление внешним армированием в продольном направлении
6.2.14. Расчет по прочности прямоугольных сечений внецентренно сжатых элементов, усиленных внешним армированием из композитных материалов в продольном направлении
(рисунок 3) при

следует проводить из условия

(6.19)
где N - продольная сила от внешней нагрузки;
x - высота сжатой зоны, определяемая по формуле

(6.20)
Рисунок 3 - Схема усилий и эпюра напряжений в сечении,
нормальном к продольной оси внецентренно сжатого
железобетонного элемента с внешним армированием
из композитных материалов, при расчете по прочности
При

и

значение высоты сжатой зоны
x в
формуле (6.19) следует вычислять по формуле

(6.21)
При

значение высоты сжатой зоны
x в
формуле (6.19) следует вычислять по формуле

(6.22)
Усиление внешним армированием в поперечном направлении
6.2.15. Расчет по прочности сечений внецентренно сжатых элементов, усиленных внешним армированием из композитных материалов в поперечном направлении, следует проводить с учетом повышения прочности бетона при объемном напряженном состоянии.
Расчетные значения сопротивления бетона сжатию в осевом направлении следует определять по формуле

(6.23)
где kef - коэффициент эффективности обоймы, принимаемый равным:
- для элементов круглого сечения kef = 1,0;
- для элементов прямоугольного сечения с соотношением сторон
h/
b <= 1,5 (см.
рисунок 4) по формуле

(6.24)
где r - радиус закругления граней сечения:
- для элементов прямоугольного сечения с соотношением сторон
h/
b > 1,5 или при
h > 900 мм, а также при эксцентриситете приложения сжимающей силы

более 0,1
D (для круглых сечений диаметром
D) или более 0,1
h (для прямоугольных сечений) следует принимать
kef = 0;
ke - коэффициент, учитывающий наличие разрывов по высоте обоймы, принимаемый равным:
- для сплошных обойм (при sw = 0) - 1,0;
- для обойм с разрывами для элементов круглого сечения (см.
рисунок 4), вычисляемый по формуле

(6.25)
где sw - расстояние между отдельными витками обоймы;

- коэффициент армирования, вычисляемый по формуле

(6.26)
A и Rb - площадь охваченного обоймой поперечного сечения бетона и нормативное сопротивление бетона осевому сжатию при однородном напряженном состоянии;
Af - площадь поперечного сечения обоймы из композитных материалов;
Rf - расчетное сопротивление растяжению композитных материалов, определяемое по
формуле (5.1), в которой значение коэффициента

следует принять равным 1,0.
Рисунок 4 - Усиление внешним армированием
из композитных материалов в поперечном направлении
Для обойм с разрывами для элементов прямоугольного сечения значение коэффициента
ke допускается определять по
формуле (6.25), подставляя в нее вместо
D значение

.
Для элементов прямоугольного сечения в
формуле (6.23) следует принимать
kefke <= 0,5;
6.2.16. Расчет по прочности внецентренно сжатых элементов прямоугольного сечения, усиленных внешним армированием из композитных материалов в поперечном направлении
(рисунок 4), следует проводить из условия

(6.27)
при этом значение высоты сжатой зоны x следует определять
при

- по формуле

(6.28)
при

- по формуле

(6.29)
где

- граничное значение относительной высоты сжатой зоны, вычисляемое с учетом объемного напряженного состояния бетона

(6.30)

(6.31)
6.2.17. Расчет по прочности круглых сечений внецентренно сжатых элементов, усиленных внешним армированием из композитных материалов в поперечном направлении
(рисунок 5) со стальной арматурой, равномерно распределенной по окружности (при числе продольных стержней не менее семи), при классе арматуры не выше А400 следует проводить из условия

(6.32)
где r - радиус поперечного сечения;

- относительная площадь сжатой зоны бетона, определяемая:
а) при выполнении условия
N <= 0,77
Rb3A + 0,645
RsAs,tot (6.33)
по формуле

(6.34)

(6.35)

- коэффициент, учитывающий работу растянутой арматуры и принимаемый равным:
As,tot - площадь сечения всей продольной арматуры;
rs - радиус окружности, проходящей через центры тяжести стержней продольной арматуры.
Рисунок 5 - Схема усилий и эпюра напряжений в сечении,
нормальном к продольной оси сжатого элемента
круглого сечения с внешним армированием
из композитных материалов в поперечном направлении
6.3 Расчет по прочности нормальных сечений на основе нелинейной деформационной модели
6.3.1. Расчет по прочности нормальных сечений на основе нелинейной деформационной модели проводят с учетом положений, принятых в
СП 63.13330, и следующих дополнительных положений:
- связь между продольными напряжениями и относительными деформациями внешней продольной арматуры из композитных материалов принимают линейной;
- для сжатых элементов с обоймами из композитных материалов связь между продольными напряжениями и относительными деформациями бетона принимают с учетом неодноосного напряженного состояния.
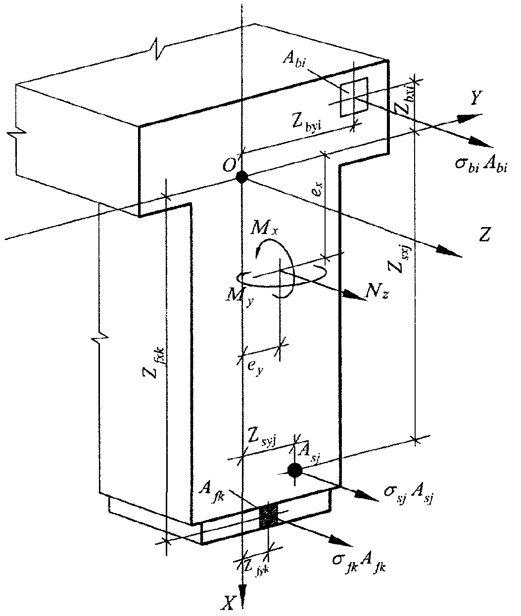
6.3.2. Переход от эпюры напряжений в бетоне к обобщенным внутренним усилиям проводят с применением процедуры численного интегрирования напряжений по нормальному сечению. Для этого нормальное сечение условно разбивают на малые участки площадями Abi, Afk, Asj (рисунок 6), в пределах которых напряжения принимают равномерно распределенными (усредненными).
Рисунок 6 - Расчетная схема нормального сечения
железобетонного элемента с внешним
армированием из композитных материалов
6.3.3. При расчете принимают:
- значения сжимающей продольной силы, а также сжимающих напряжений и деформаций укорочения бетона и продольной стальной арматуры со знаком "минус";
- значения растягивающих напряжений и деформаций бетона и арматуры со знаком "плюс";
- знаки координат центров тяжести арматурных стержней и выделенных условных участков бетона и внешней арматуры из композитных материалов, а также точки приложения продольной силы - в соответствии с принятой системой координат.
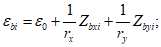
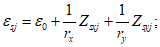
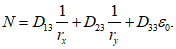
6.3.4. Общую систему физических соотношений для расчета нормальных сечений по прочности получают из совместного рассмотрения:
- уравнений равновесия усилий от внешних сил и внутренних усилий в нормальном сечении элемента:

(6.36)

(6.37)

(6.38)
- уравнений, определяющих распределение деформаций по сечению:

(6.39)

(6.40)

(6.41)
- зависимостей, связывающих напряжения и относительные продольные деформации бетона, стальной арматуры и внешней арматуры из композитных материалов:

(6.42)

(6.43)

(6.44)
Минстроя России от 14.12.2020 N 781/пр)
Mx, My - изгибающие моменты от внешней нагрузки, действующие в плоскостях соответственно XOZ и YOZ или параллельно им, определяемые по формулам:
Mx = Mxd + Nzex; (6.45)
My = Myd + Nzey, (6.46)
где Mxd, Myd - изгибающие моменты в соответствующих плоскостях, определяемые из статического расчета конструкций;
Nz - продольная сила от внешней нагрузки;
ex, ey - расстояния от точки приложения продольной силы до соответствующих координатных осей;
Abi,
Zbxi,
Zbyi,

- площадь, координаты центра тяжести
i-го участка бетона и напряжение продольного направления на уровне его центра тяжести;
Asj,
Zsxj,
Zsyj,

- площадь, координаты центра тяжести
j-го стержня стальной арматуры и напряжение в нем;
Afk,
Zfxk,
Zfyk,

- площадь, координаты центра тяжести
k-го участка внешнего армирования из композитных материалов в продольном направлении и напряжение на уровне его центра тяжести;

- относительная деформация продольного направления волокна, расположенного на пересечении осей
X и
Y;

,

,

- относительные деформации продольного направления соответственно на уровне центра тяжести
i-го участка бетона,
j-го арматурного стержня и
k-го участка внешнего армирования из композитных материалов;

- начальные относительные деформации растянутой грани сечения (до усиления элемента);

,

- кривизна продольной оси
Z в плоскостях действия изгибающих моментов
Mx,
My;
Eb - начальный модуль упругости бетона;
Esj - модуль упругости j-го стержня арматуры;

- коэффициент упругости бетона
i-го участка;

- коэффициент упругости
j-го стержня арматуры.
Значения коэффициентов изменения секущего модуля упругости бетона

и стальной арматуры

принимают по диаграммам деформирования бетона и арматуры.
6.3.5. Для железобетонных элементов, на которые действуют изгибающие моменты двух направлений и продольная сила
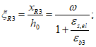
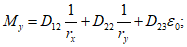
(рисунок 6), общую систему физических соотношений для расчета нормальных сечений по прочности следует принимать в виде:

(6.47)

(6.48)

(6.49)
Жесткостные характеристики
Dij (
i,
j - 1, 2, 3) в
уравнениях (6.47) - (6.49) определяют по формулам:

(6.50)

(6.51)

(6.52)

(6.53)

(6.54)

(6.55)
6.3.6. Для железобетонных элементов, на которые действуют только изгибающие моменты двух направлений
Mx и
My (косой изгиб), в
уравнении (6.49) принимают
N = 0.
6.3.7. Для внецентренно сжатых в плоскости симметрии поперечного сечения железобетонных элементов и расположении оси X в этой плоскости принимают My = 0 и D12 = D22 = D23 = 0. В этом случае уравнения равновесия принимают вид:

(6.56)

(6.57)
6.3.8. Для изгибаемых в плоскости симметрии поперечного сечения железобетонных элементов и расположении оси X в этой плоскости принимают
N = 0,
My = 0,
D12 =
D22 =
D23 = 0 и уравнения равновесия имеют вид:

(6.58)
| | ИС МЕГАНОРМ: примечание. Формула дана в соответствии с официальным текстом документа. | |

(6.59)
6.3.9. Расчет по прочности нормальных сечений усиленных элементов следует проводить в два этапа.
На первом этапе проводят расчет напряженно-деформированного состояния конструкции без учета системы усиления на нагрузки, действующие на нее до усиления. Для этого в физических соотношениях принимают
Afk = 0. В результате расчета определяют значение начальной относительной деформации растянутой грани сечения

, которое учитывают на втором этапе расчета.
На втором этапе проводят расчет по прочности нормальных сечений элементов с учетом системы усиления и начального напряженно-деформированного состояния конструкции.
6.3.10. При использовании криволинейных диаграмм деформирования бетона и стальной арматуры расчет нормальных сечений железобетонных элементов по прочности проводят из обеспечения условий равновесия
(6.47) -
(6.49) при максимальных значениях усилий от внешних нагрузок.
При применении двухлинейных или трехлинейных диаграмм деформирования бетона и стальной арматуры расчет нормальных сечений по прочности проводят из условий

(6.60)

(6.61)

(6.62)
Минстроя России от 14.12.2020 N 781/пр)
где

- относительная деформация наиболее сжатого волокна бетона в нормальном сечении элемента от действия внешней нагрузки;

- относительная деформация наиболее растянутого стержня арматуры в нормальном сечении элемента от действия внешней нагрузки;

- предельное значение относительной деформации бетона при сжатии, принимаемое согласно
6.3.11;

- предельное значение относительной деформации удлинения арматуры, принимаемое согласно
6.3.11;

- предельное значение относительной деформации композитных материалов системы внешнего армирования, вычисляемое по
формуле (5.4);

- относительная деформация наиболее растянутого участка системы внешнего армирования в нормальном сечении элемента от действия внешней нагрузки.
(абзац введен
Изменением N 1, утв. Приказом Минстроя России от 14.12.2020 N 781/пр)
6.3.11. Предельные значения относительных деформаций бетона

принимают при двузначной эпюре деформаций (сжатие и растяжение) в поперечном сечении бетона элемента (изгиб, внецентренное сжатие или растяжение с большими эксцентриситетами) равными

.
При внецентренном сжатии элементов и распределении в поперечном сечении бетона элемента деформаций только одного знака предельные значения относительных деформаций бетона

определяют в зависимости от соотношения деформаций бетона на противоположных гранях сечения элемента

и

формулам:

(6.63)

(6.64)
где

,

,

и

- деформационные параметры расчетных диаграмм состояния бетона, принимаемые по
СП 63.13330; для элементов, усиленных внешним армированием из композитных материалов в поперечном направлении, следует учитывать указания
6.3.15 и
6.3.16.
Предельное значение относительной деформации арматуры

принимают равным:
0,025 - для арматуры с физическим пределом текучести;
0,015 - для арматуры с условным пределом текучести.
6.3.12. При расчете элементов с применением криволинейных диаграмм деформирования бетона и стержневой высокопрочной арматуры значения коэффициентов упругости

и

принимают равными

(6.65)
где m - индекс материала (для бетона m = b, bt; для арматуры m = s);

- значение коэффициента в вершине диаграммы (при

);

- начальный коэффициент изменения секущего модуля;

,

- коэффициенты, характеризующие полноту диаграммы материала,

;

- уровень напряжений, вычисляемый по формуле

(6.66)

- напряжения, отвечающие пределу упругости материала.
В
формуле (6.65) знак плюс принимают для диаграммы деформирования арматуры и для восходящей ветви диаграммы деформирования бетона, а знак минус - для нисходящей ветви диаграммы деформирования бетона. Нисходящую ветвь диаграммы деформирования бетона допускается применять до уровня напряжений

.
Диаграммы деформирования арматуры при сжатии и растяжении следует принимать одинаковыми.
6.3.13. Параметры криволинейной диаграммы деформирования арматуры с физической (без учета участка упрочнения за площадкой текучести) и с условной площадкой текучести при вычислении коэффициентов упругости

следует вычислять по формулам:
где значения коэффициентов

и

следует принимать по таблице 4.
Таблица 4
Вид и класс арматуры | | |
А240 | 0,97 | 1,01 |
А400 | 0,90 | 1,05 |
А500 | 0,8 | 1,1 |
Горячекатаная класса: | | |
А600 | 0,7 | 1,35 |
А800 | 0,7 | 1,45 |
А1000 | 0,7 | 1,25 |
Термомеханически упрочненная классов Ат1000 и Ат1200 диаметром, мм: | | |
10 - 14 | 0,8 | 1,23 |
16 - 32 | 0,8 | 1,15 |
Холоднодеформированная класса В500 диаметром, мм: | | |
3 | 0,7 | 1,09 |
4 | 0,7 | 1,08 |
5 и более | 0,7 | 1,05 |
класса Вр1200 диаметром, мм, 8 | 0,85 | 1,05 |
" Вр1300 " 7 | 0,85 | 1,05 |
" Вр1400 " 6; 5 | 0,85 | 1,1 |
" Вр1460 " 4 | 0,85 | 1,2 |
" В1500 " 3 | 0,85 | 1,2 |
6.3.14. При расчете элементов, усиленных внешним армированием в продольном направлении, параметры криволинейной диаграммы деформирования бетона
(рисунок 7) при вычислении коэффициентов упругости

следует принимать равными:
а) для диаграммы сжатия
для обеих ветвей диаграммы
для восходящей ветви

(6.69)
для нисходящей ветви

(6.70)
б) для диаграммы растяжения
для восходящей ветви

(6.72)
для нисходящей ветви

(6.73)
где

- относительная деформация в вершине диаграммы сжатия бетона, принимаемая:
при непродолжительном действии нагрузки - равной 0,002, при продолжительном действии нагрузки - по
СП 63.13330 в зависимости от относительной влажности окружающей среды.
Рисунок 7 - Криволинейные диаграммы деформирования бетона
6.3.15. При расчете элементов с применением двухлинейных и трехлинейных диаграмм деформирования бетона и стержневой арматуры параметры диаграммы для вычисления значений коэффициентов упругости

и

следует принимать согласно
СП 63.13330, принимая в них для сжатых элементов с внешним армированием в поперечном направлении вместо характеристик бетона
Rb и

характеристики
Rb3 и

, определяемые по
формулам (6.23) и (6.74) соответственно, а значение

принимать с учетом корректирующего коэффициента, равного отношению


(6.74)
6.3.16. При расчете элементов, усиленных внешним армированием в поперечном направлении, параметры криволинейной диаграммы сжатия бетона при вычислении коэффициентов упругости

следует принимать по
6.3.14, в зависимостях
(6.68) которого вместо характеристик бетона
Rb и

следует подставлять характеристики
Rb3 и

.
6.4 Расчет по прочности сечений, наклонных к продольной оси элемента
6.4.1. Расчет по прочности наклонных сечений железобетонных элементов, усиленных внешним армированием из композитных материалов в виде двухсторонних, трехсторонних или замкнутых хомутов (рисунок 8), следует проводить по прочности бетонной полосы между наклонными трещинами, по наклонным сечениям на действие поперечных сил и по наклонным сечениям на действие моментов.
Рисунок 8 - Схемы усиления наклонных сечений элементов
6.4.2. Расчет изгибаемых элементов по прочности бетонной полосы между наклонными трещинами следует проводить по
СП 63.13330 без учета работы внешнего армирования из композитных материалов.
6.4.3. Расчет изгибаемых элементов по наклонным сечениям на действие поперечных сил следует проводить из условия
(рисунок 9)
Q <=
Qb +
Qsw +
Qfw, (6.75)
где Q - поперечная сила в наклонном сечении с длиной проекции C на продольную ось элемента, определяемая от всех внешних сил, расположенных по одну сторону от рассматриваемого наклонного сечения; при этом учитывают наиболее опасное загружение в пределах наклонного сечения;
Qb - поперечная сила, воспринимаемая бетоном в наклонном сечении, определяемая по
СП 63.13330;
Qsw - поперечная сила, воспринимаемая стальной поперечной арматурой, установленной в наклонном сечении с шагом
sw, определяемая по
СП 63.13330;
Qfw - поперечная сила, воспринимаемая поперечной арматурой из композитных материалов в наклонном сечении
(рисунок 9), определяемая по формуле

(6.76)
где

- коэффициент, зависящий от принятой схемы наклейки, равный:
0,95 - для замкнутых хомутов;
0,85 - для двух- и трехсторонних хомутов;

(6.77)
C - длина проекции наклонного сечения, принимаемая по
СП 63.13330;
hfw - высота наклейки поперечного хомута;
Afw - площадь сечения поперечного хомута из композитного материала;
Rfw - расчетное значение сопротивления растяжению композитного материала при расчете прочности сечений, наклонных к продольной оси элемента, принимаемое равным
Rfw = 0,75Rf <= 0,004Ef, (6.78)
а при усилении в виде двух- или трехсторонних хомутов - с учетом дополнительного условия

(6.79)

- коэффициент надежности по сцеплению, принимаемый равным:

(6.80)
Lf - эффективная длина анкеровки, мм

(6.81)
n - число слоев полос поперечного хомута;
k1 - коэффициент, учитывающий прочность бетона

(
Rb - в МПа); (6.82)
k2 - коэффициент, учитывающий схему усиления, принимаемый равным:
- для трехсторонних хомутов

(6.83)
- для двухсторонних

(6.84)
Рисунок 9 - Схема усилий при расчете железобетонных
элементов с внешним армированием из композитных материалов
по наклонному сечению на действие поперечных сил
Параметры
формул (6.80) -
(6.82) следует принимать как безразмерные величины, а их числовые значения: в мм - геометрические характеристики и в МПа - прочностные и деформационные характеристики.
6.4.4. При расчете изгибаемых элементов по наклонным сечениям на действие поперечных сил в
условии (6.75) следует принимать
Qsw + Qfw <= 2,5Rbtbh0. (6.85)
6.4.5. При проектировании усиления наклонных сечений следует обеспечивать соблюдение условия
Qsw + Qfw >= 0,5Rbtbh0. (6.86)
6.4.6. Расчет железобетонных элементов по наклонным сечениям на действие изгибающих моментов следует проводить из условия
M <= Ms + Msw + Mf, (6.87)
где M - момент в наклонном сечении с длиной проекции C на продольную ось элемента, определяемый от всех внешних сил, расположенных по одну сторону от рассматриваемого наклонного сечения;
Ms - момент, воспринимаемый продольной стальной арматурой, пересекающей наклонное сечение;
Msw - момент, воспринимаемый поперечной стальной арматурой, пересекающей наклонное сечение;
Mf - момент, воспринимаемый поперечной арматурой из композитных материалов, пересекающей наклонное сечение.
Значения моментов
Ms и
Msw следует определять по
СП 63.13330, а значение момента
Mf по формуле
Mf = 0,5QfwC. (6.88)
Расчет по предельным состояниям второй группы
6.5 Расчет по образованию трещин
6.5.1. Расчет усиленных изгибаемых железобетонных элементов по образованию трещин следует проводить из условия
M > Mcrc, (6.89)
где M - изгибающий момент от внешней нагрузки относительно оси, нормальной к плоскости действия момента и проходящей через центр тяжести приведенного поперечного сечения элемента;
Mcrc - изгибающий момент, воспринимаемый нормальным сечением элемента в момент образования трещин.
6.5.2. Изгибающий момент
Mcrc при образовании трещин следует определять по деформационной модели - из решения приведенных в
6.3.5 -
6.3.8 систем уравнений при относительных деформациях бетона

у растянутой грани элемента от действия внешней нагрузки, равных предельному значению при растяжении

. При этом расчетные характеристики материалов принимают для предельных состояний второй группы, а значение

при непродолжительном действии нагрузки равным 0,00015.
6.5.3. Для элементов прямоугольного, таврового или двутаврового сечения с арматурой, расположенной у верхней и нижней граней, момент образования трещин с учетом неупругих деформаций растянутого бетона допускается определять по упрощенной методике
СП 63.13330 - по формуле
Mcrc =
Rbt,serWpl +/-
Nex, (6.90)
где Wpl - упругопластический момент сопротивления сечения для крайнего растянутого волокна бетона;
ex - расстояние от точки приложения продольной силы N (расположенной в центре тяжести приведенного сечения элемента) до ядровой точки, наиболее удаленной от растянутой зоны, трещинообразование которой проверяют.
В
формуле (6.90) знак "плюс" принимают при сжимающей продольной силе
N, "минус" - при растягивающей силе.
Для конструкций с прямоугольной формой поперечного сечения значение Wpl при действии момента в плоскости оси симметрии допускается принимать равным

(6.91)
где
Wred - упругий момент сопротивления приведенного сечения по растянутой зоне сечения, определяемый в соответствии с
6.5.4;

- коэффициент, учитывающий неупругие свойства бетона растянутой зоны сечения;

(6.91а)
B - числовая характеристика фактического (условного) класса бетона по прочности на осевое сжатие.
(в ред.
Изменения N 1, утв. Приказом Минстроя России от 14.12.2020 N 781/пр)
Таблица 5 исключена с 15.06.2021. -
Изменение N 1, утв. Приказом Минстроя России от 14.12.2020 N 781/пр.
6.5.4. Момент сопротивления
Wred и расстояние
ex определяют по формулам:

(6.92)

(6.93)
где Ired - момент инерции приведенного поперечного сечения относительно его центра тяжести, определяемый с учетом внешней арматуры из композитных материалов

(6.94)
I,
Is,

и
If - моменты инерции сечений соответственно бетона, растянутой стальной арматуры, сжатой стальной арматуры и внешней арматуры из композитных материалов относительно центра тяжести приведенного поперечного сечения;
Ared - площадь сечения приведенного поперечного сечения элемента, определяемая по формуле

(6.95)

и

- коэффициенты приведения стальной арматуры и внешней арматуры из композитных материалов к бетону

(6.96)
A,
As,

и
Af - площади поперечного сечения соответственно бетона, растянутой стальной арматуры, сжатой стальной арматуры и внешней арматуры из композитных материалов;
yt - расстояние от наиболее растянутого волокна бетона до центра тяжести приведенного поперечного сечения элемента

(6.97)
где St,red - статический момент площади приведенного поперечного сечения элемента относительно наиболее растянутого волокна бетона.
Допускается момент сопротивления Wred определять без учета стальной арматуры и внешней арматуры из композитных материалов.
6.6 Расчет ширины раскрытия трещин, нормальных к продольной оси элемента
6.6.1. Расчет ширины раскрытия трещин, нормальных к продольной оси элемента, следует проводить по
СП 63.13330, принимая в расчетных формулах геометрические характеристики сечения элемента с учетом внешнего армирования композитными материалами.
6.7 Расчет по деформациям
6.7.1. Расчет железобетонных элементов по прогибам следует проводить по
СП 63.13330 и дополнительно по 6.7.2 и
6.7.3.
6.7.2. При расчете усиленных элементов по прогибам упрощенным способом в расчетных формулах геометрические характеристики сечения элемента следует определять с учетом внешнего армирования композитными материалами, а значение коэффициента приведения внешней арматуры к бетону

при расчете высоты сжатой зоны элемента принимать равным

(6.98)
6.7.3. Кривизну усиленных элементов на основе нелинейной деформационной модели следует определять из решения приведенных в
6.3.5 -
6.3.8 систем уравнений. При этом для элементов с нормальными трещинами в растянутой зоне напряжение в арматуре, пересекающей трещины, определяют по формулам:
- для стальной арматуры

(6.99)

(6.100)
где

- относительная деформация растянутой арматуры в сечении с трещиной сразу после образования нормальных трещин;

- усредненная относительная деформация растянутой арматуры, пересекающей трещины, в рассматриваемой стадии расчета;
- для внешней арматуры из композитных материалов

(6.101)

(6.102)
где

- относительная деформация внешней арматуры в сечении с трещиной сразу после образования нормальных трещин;

- усредненная относительная деформация внешней арматуры из композитных материалов.
7 Железобетонные конструкции с предварительно напряженной арматурой, усиленные внешним армированием из композитных материалов
7.1.1. Значение предварительного напряжения в арматуре, расположенной в растянутой при эксплуатации зоне сечения элемента (основной рабочей арматуры), следует принимать равным проектному значению начального напряжения, сниженному на значение полных суммарных потерь, определяемое по
СП 63.13330.
7.1.2. При определении предварительного напряжения в арматуре полные суммарные потери следует принимать не менее 100 МПа.
7.1.3. При отсутствии проектных данных предварительное напряжение в арматуре не учитывают.
Расчет по предельным состояниям первой группы
7.2 Расчет по прочности нормальных сечений по предельным усилиям
7.2.1. При учете начального напряженно-деформированного состояния предварительно напряженных изгибаемых элементов в
формулах (6.1) и
(6.2) начальные значения относительной деформации стальной арматуры

и относительной деформации растянутой грани элемента

допускается определять по формулам:
(в ред.
Изменения N 1, утв. Приказом Минстроя России от 14.12.2020 N 781/пр)

(7.1)

(7.2)
Минстроя России от 14.12.2020 N 781/пр)
где Np и e0p - усилие предварительного обжатия и его эксцентриситет относительно центра тяжести приведенного поперечного сечения элемента;

- относительная деформация предварительного напряжения арматуры;
(в ред.
Изменения N 1, утв. Приказом Минстроя России от 14.12.2020 N 781/пр)
M0 - изгибающий момент от фактической нагрузки, действующей на конструкцию при ее усилении.
(абзац введен
Изменением N 1, утв. Приказом Минстроя России от 14.12.2020 N 781/пр)
7.2.2. Расчет по прочности нормальных сечений при действии изгибающих моментов следует проводить по требованиям
раздела 6.2. При этом в формулах
раздела 6.2 обозначения площадей сечения
As и

следует относить как к напрягаемой, так и к ненапрягаемой арматуре, а значения относительной деформации предварительно напряженной арматуры растянутой зоны
(формула (6.15)) при вычислении значения граничной высоты сжатой зоны бетона

следует определять по формуле

(7.3)
где

- предварительное напряжение в арматуре с учетом всех потерь и

; 400 - в МПа.
7.3 Расчет по прочности нормальных сечений на основе нелинейной деформационной модели
7.3.1. При расчете по прочности на основе нелинейной деформационной модели усилия и деформации в сечении, нормальном к продольной оси элемента, определяют по
разделу 6.3 и дополнительно по
7.2.2 (рисунок 10).
Рисунок 10 - Расчетная схема нормального сечения
предварительно напряженного железобетонного элемента
с внешним армированием из композитных материалов
7.3.2. Для железобетонных элементов с предварительно напряженной арматурой жесткостные характеристики
Di,j (
i,
j - 1, 2, 3) в
уравнениях (6.47) -
(6.49) следует определять по формулам:

(7.4)

(7.5)

(7.6)

(7.7)

(7.8)

(7.9)
где
Asi,
Zsxi,
Zsyi,

- площадь, координаты центра тяжести i-го стержня напрягаемой арматуры и напряжение в нем;

- относительная деформация
i-го стержня напрягаемой арматуры от действия внешней нагрузки;
Esi - модуль упругости i-го стержня напрягаемой арматуры.
7.3.3. Зависимость, связывающую напряжения и относительные деформации предварительно напряженной арматуры, следует принимать в виде:

(7.10)
где

- относительная деформация предварительного напряжения арматуры, определяемая с учетом потерь предварительного напряжения.
Расчет по предельным состояниям второй группы
7.4 Расчет по образованию трещин
7.4.1. Расчет предварительно напряженных изгибаемых элементов по образованию трещин следует проводить по
разделу 6.5 и дополнительно по 7.4.2 и
7.4.3.
7.4.2. Изгибающий момент
Mcrc при образовании трещин следует определять по деформационной модели - из решения системы
уравнений (6.47) -
(6.49) с определением жесткостных коэффициентов по
формулам (7.4) -
(7.9) при относительных деформациях бетона

у растянутой грани элемента от действия внешней нагрузки, равных предельному значению при растяжении

. При этом расчетные характеристики материалов принимают для предельных состояний второй группы.
7.4.3. Для элементов прямоугольного, таврового или двутаврового сечения с арматурой, расположенной у верхней и нижней граней, момент образования трещин с учетом неупругих деформаций растянутого бетона допускается определять по упрощенной методике по формуле
Mcrc =
Rbt,serWpl +/-
Peяp, (7.11)
где eяp = e0p + r - расстояние от точки приложения усилия предварительного обжатия P до ядровой точки, наиболее удаленной от растянутой зоны, трещинообразование которой проверяют;
e0p - то же, до центра тяжести приведенного сечения;
r - расстояние от центра тяжести приведенного сечения до ядровой точки

(7.12)
В
формуле (7.11) знак "плюс" принимают, когда направления вращения моментов
Peяp и внешнего изгибающего момента
M противоположны; "минус" - когда направления совпадают.
Для прямоугольных сечений и тавровых сечений с полкой, расположенной в сжатой зоне, значение
Wpl при действии момента в плоскости оси симметрии допускается определять по
формуле (6.91).
(в ред.
Изменения N 1, утв. Приказом Минстроя России от 14.12.2020 N 781/пр)
7.5 Расчет ширины раскрытия трещин, нормальных к продольной оси элемента
7.5.1. Расчет ширины раскрытия трещин, нормальных к продольной оси элемента, следует проводить по
СП 63.13330, принимая в расчетных зависимостях геометрические характеристики сечения элемента с учетом внешнего армирования композитными материалами.
7.6 Расчет по деформациям
7.6.1. Расчет железобетонных элементов с предварительно напряженной арматурой по прогибам следует проводить по
СП 63.13330 с учетом указаний
раздела 6.7 настоящего свода правил.
8 Конструктивные требования
8.1. Для обеспечения безопасности и эксплуатационной пригодности конструкций, усиленных внешним армированием из композитных материалов, необходимо выполнять конструктивные требования, изложенные в настоящем разделе.
8.2. Не допускается прямой контакт углеволокна элементов усиления и стальных элементов железобетонных конструкций.
8.3. Не допускается наклеивать элементы усиления на внутренних углах (в местах пересечения балок, стыков стенок и полок балок и др.).
8.4. Наклейка элементов усиления на основание с трещинами шириной раскрытия более 0,2 мм не допускается.
Примечание - В этом случае трещины должны быть заинъектированы в соответствии с указаниями
8.27.
8.5. Пересечение элементов усиления допускается только при обеспечении их взаимного сцепления путем склеивания.
8.6. Устройство системы внешнего армирования из многослойных композитных материалов на горизонтальных поверхностях в продольном и поперечном направлениях следует производить путем последовательного послойного наклеивания элементов усиления поочередно в двух направлениях.
8.7. При устройстве обойм и хомутов из сеток, холстов и других тканых материалов в поперечном направлении и при их загибе через углы конструкции на углах необходимо выполнить фаски с длиной катета не менее 20 мм либо галтель с радиусом не менее 20 мм (рисунок 11).
Рисунок 11 - Подготовка углов конструкции перед наклеиванием
сеток, холстов и других тканых материалов
8.8. Допустимое значение радиуса загиба при наклейке ламинатов при усилении криволинейной поверхности элементов следует принимать по данным предприятия-изготовителя.
8.9. Число слоев многослойного композитного материала системы внешнего армирования следует ограничивать в зависимости от силы сцепления композитного материала с поверхностью бетонного основания. Рекомендуемое число слоев следует принимать: для ламината - не более трех; для сеток, холстов и других тканых материалов - не более пяти.
8.10. Ширину элементов усиления внешнего поперечного армирования wf следует принимать не менее 50 мм и не более 600 мм, шаг наклейки в свету элементов усиления поперечного армирования sf - не менее wf и не более меньшего значения из: h0/2; 3wf.
8.11. Максимальное расстояние в свету между элементами усиления внешнего продольного армирования изгибаемого элемента sf max следует принимать не более меньшего значения из: 0,2L; 5h, где L - пролет изгибаемого элемента или удвоенный вылет консоли, h - высота сечения изгибаемого элемента.
8.12. Расстояние от края элемента усиления внешнего продольного армирования до боковой грани изгибаемого элемента следует принимать равным значению защитного слоя стальной арматуры усиливаемого элемента, но не более 20 мм.
8.13. При усилении растянутой зоны изгибаемого элемента первый слой элемента усиления в продольном направлении следует заводить в сжатую зону (неразрезные элементы) или в зону, где действующие усилия не приводят к образованию трещин (свободно опертые элементы), а каждый последующий слой следует обрезать не ближе 150 мм обреза предыдущего слоя (рисунок 12).
а - свободно опертый элемент; б - неразрезной элемент
Рисунок 12 - Усиление растянутой зоны элемента
Элементы усиления должны быть заведены за нормальное к продольной оси усиливаемого элемента сечение, в котором их учитывают с расчетным сопротивлением Rf, на длину, мм, не меньшую, чем:

(8.1)
но не менее чем на 100 мм - при прочности бетона основания на сжатие более 25 МПа и на 150 мм - при прочности бетона менее 25 МПа.
Параметры
формулы (8.1) - безразмерные величины, кроме числового значения
tf - в мм.
8.14. Для обеспечения анкеровки элементов усиления допускается устройство дополнительных механических креплений стальными пластинами, заведение ламинатов, холстов, сеток и других тканых материалов в пазы в бетоне, устройство химических анкеров.
8.15. При усилении нормальных сечений из расчета по изгибающим моментам зоны, где действующая расчетная поперечная сила превышает 2/3Qb, концы элементов усиления в продольном направлении для предотвращения отслоения следует анкеровать приклеиванием трехсторонних хомутов или сплошным обертыванием в поперечном направлении.
8.16. Длину нахлестки при сращивании элементов усиления по длине в продольном направлении или при устройстве обойм следует принимать по указаниям предприятия-изготовителя или определять испытаниями. При этом при устройстве обойм длину нахлестки рекомендуется принимать не менее чем 150 мм.
Для однонаправленно армированных элементов усиления сращивание следует проводить только в направлении армирования элемента усиления.
Нахлестки следует располагать "вразбежку" и, кроме того, для элементов усиления в продольном направлении - в зонах с наименьшими усилиями в композитном материале.
Испытания образцов с участком стыка элементов усиления по длине следует выполнять по
ГОСТ 25.601.
Длина нахлестки должна обеспечивать прочность сечения элементов усиления со стыком не ниже прочности сечения без стыка.
8.17. Поперечные хомуты следует наклеивать поверх продольного элемента усиления. Вертикальные поперечные хомуты следует выполнять из цельного отрезка элемента усиления (рисунок 13), наклонные поперечные хомуты - из двух отрезков, стыкуемых на нижней поверхности балки (ребра балки)
(рисунок 14).
Рисунок 13 - Схема установки вертикальных
хомутов в балочных конструкциях
Рисунок 14 - Схема установки наклонных
хомутов в балочных конструкциях
8.18. При усилении нормальных сечений изгибаемых балочных конструкций и ребристых плит сетки, холсты и другие тканые материалы для улучшения их анкеровки и предотвращения отслаивания защитного слоя бетона рекомендуется загибать на боковые поверхности балки на 100 мм (рисунок 15).
Рисунок 15 - Схема установки холстов, сеток
и других тканых материалов на балочные конструкции
8.19. Схему усиления жестких узлов конструкций рекомендуется принимать согласно рисунку 16.
Рисунок 16 - Схема анкеровки сеток,
холстов и других тканых материалов
8.20. При усилении плит, изгибаемых в двух направлениях, вначале следует приклеивать элементы усиления вдоль длинной стороны плиты (рисунок 17). Элементы усиления следует принимать из однонаправленных ламинатов, сеток, холстов и других тканых материалов.
Рисунок 17 - Схема расположения элементов усиления,
изгибаемых в двух направлениях плит
8.21. Для конструкций, эксплуатируемых в условиях переменной влажности, элементы внешнего армирования должны быть выполнены таким образом, чтобы обеспечить возможность миграции паров влаги из тела бетона.
8.22. При усилении конструкций, эксплуатируемых в условиях постоянной влажности (внутри помещения), допускается наклеивание ламинатов, сеток, холстов и других тканых материалов по всей поверхности основания.
При этом обоймы колонн следует располагать не ближе 20 мм до перекрытия.
8.23. При усилении сжатых конструкций путем устройства обойм в поперечном направлении обоймы следует устанавливать по всей высоте конструкций.
Обоймы колонн рекомендуется устраивать непрерывно по всей длине колонн (рисунок 18 а) или с разрывами по высоте (рисунок 18 б).
Рисунок 18 - Способы усиления колонн обоймами
8.24. Основание усиливаемой конструкции должно соответствовать требованиям по плоскостности (неровность поверхности не должна превышать 5 мм на базе 2 м или 1 мм на базе 0,3 м), не иметь дефектов и загрязнений.
8.25. Очистку поверхности основания следует проводить пескоструйной обработкой или обработкой металлическими щетками с последующей высоконапорной промывкой водой (под давлением не менее 1,0 МПа).
8.26. При наличии разрушения (отслоения) защитного слоя бетона обнаженную арматуру следует очистить от продуктов коррозии, обработать ее преобразователем ржавчины и праймерным составом и после этого восстановить защитный слой бетона ремонтными смесями.
8.27. Трещины с раскрытием более 0,2 мм следует заинъектировать низковязким составом на основе эпоксидных смол, трещины с меньшим раскрытием допускается затирать ремонтными смесями.
8.28. В случае несоответствия поверхности основания требованиям
8.24 по плоскостности участки поверхности следует выровнять с применением ремонтных смесей.
8.29. Мелкие дефекты (сколы, раковины, углубления до 5 мм) следует устранять с применением ремонтных смесей либо составов на основе эпоксидных смол с наполнителем (молотым кварцевым песком), крупные дефекты - с применением ремонтных смесей.
8.30. Перед нанесением на основание первого слоя адгезива поверхность основания следует продуть сжатым воздухом.
Запрещается наносить адгезивы на замерзшие или мокрые поверхности основания.
8.31. Установку системы внешнего армирования из композитных материалов следует выполнять при температуре окружающей среды в диапазоне от 5 °C до 35 °C при температуре бетона основания выше 5 °C и выше температуры точки росы на 3 °C.
8.32. После укладки последнего слоя элементов усиления на их поверхность должен быть нанесен слой адгезива.
8.33. Время выдержки для отверждения адгезивов следует принимать не менее 24 часов при температуре выше 20 °C и не менее 36 часов при температуре от 5 °C до 20 °C.
8.34. Алгоритм выполнения работ по усилению или восстановлению железобетонных конструкций внешним армированием из композитных материалов приведен в
Приложении Б.
ОСНОВНЫЕ БУКВЕННЫЕ ОБОЗНАЧЕНИЯ
Усилия от внешних нагрузок и воздействий
в поперечном сечении элемента
M - изгибающий момент;
N - продольная сила;
Q - поперечная сила.
Характеристики материалов
Rb,n - нормативное сопротивление бетона осевому сжатию;
Rb, Rb,ser - расчетные сопротивления бетона осевому сжатию для предельных состояний соответственно первой и второй групп;
Rbt,n - нормативное сопротивление бетона осевому растяжению;
Rbt, Rbt,ser - расчетные сопротивления бетона осевому растяжению для предельных состояний соответственно первой и второй групп;
Rs, Rs,ser - расчетные сопротивления стальной арматуры растяжению для предельных состояний соответственно первой и второй групп;
Rsw - расчетное сопротивление поперечной стальной арматуры растяжению;
Rsc - расчетное сопротивление стальной арматуры сжатию для предельных состояний первой группы;
Eb - начальный модуль упругости бетона при сжатии и растяжении;
Es - модуль упругости стальной арматуры;

,

- предельные относительные деформации бетона соответственно при равномерном осевом сжатии и осевом растяжении;

- относительные деформации стальной арматуры при напряжении, равном R
s;
Ef,n, Ef - нормативное и расчетное значения модуля упругости композитного материала;
Rf,n, Rf - нормативное и расчетное сопротивления растяжению композитного материала;
Rfw - расчетное значение сопротивления композитного материала растяжению при расчете прочности сечений, наклонных к продольной оси элемента;

- расчетное значение предельных относительных деформаций композитного материала при растяжении.
Геометрические характеристики
b - ширина прямоугольного сечения; ширина ребра таврового и двутаврового сечений;
bf,

- ширина полки таврового и двутаврового сечений соответственно в растянутой и сжатой зонах;
h - высота прямоугольного, таврового и двутаврового сечений;
hf,

- высота полки таврового и двутаврового сечений соответственно в растянутой и сжатой зонах;
a, a' - расстояние от равнодействующей усилий в продольной стальной арматуре до ближайшей грани сечения;
h0,

- рабочая высота сечения, равная соответственно
h -
a и
h -
a';
x - высота сжатой зоны бетона;

- относительная высота сжатой зоны бетона, равная

;
sw - расстояние между хомутами, измеренное по длине элемента;
| | ИС МЕГАНОРМ: примечание. В официальном тексте документа, видимо, допущена опечатка: пункт 4.2.6 отсутствует. | |
e0 - эксцентриситет продольной силы N относительно центра тяжести приведенного сечения, определяемый с учетом указаний 4.2.6;
e, e' - расстояния от точки приложения продольной силы N до равнодействующей усилий в арматуре соответственно S и S';
As,

- площади сечения продольной стальной арматуры соответственно
S и
S';
A - площадь всего бетона в поперечном сечении;
Ab - площадь сечения бетона сжатой зоны;
Abt - площадь сечения бетона растянутой зоны;
Ared - площадь приведенного сечения элемента;
Ired - момент инерции приведенного сечения элемента относительно его центра тяжести;
Af - площадь сечения продольной арматуры из композитного материала;
Afw - площадь сечения поперечного хомута из композитного материала;
W - момент сопротивления сечения элемента для крайнего растянутого волокна;
hfw - высота наклейки поперечного хомута из композитного материала.
АЛГОРИТМ ВЫПОЛНЕНИЯ РАБОТ ПО УСИЛЕНИЮ ИЛИ ВОССТАНОВЛЕНИЮ
ЖЕЛЕЗОБЕТОННЫХ КОНСТРУКЦИЙ ВНЕШНИМ АРМИРОВАНИЕМ
ИЗ КОМПОЗИТНЫХ МАТЕРИАЛОВ
УДК 624.012.45:678-419.8 | ОКС 91.080.040 |
Ключевые слова: конструкции, усиление, композитные материалы, расчет по прочности, расчет по трещиностойкости |
(в ред.
Изменения N 1, утв. Приказом Минстроя России от 14.12.2020 N 781/пр)