Главная // Актуальные документы // ГОСТ (Государственный стандарт)СПРАВКА
Источник публикации
М.: ЦИТП Госстроя СССР, 1990
Примечание к документу
Документ утратил силу на территории Российской Федерации с 01.01.2021 в связи с изданием
Приказа Росстандарта от 28.07.2020 N 414-ст. Взамен введен в действие
ГОСТ Р 58939-2020.
Документ включен в
Перечень документов в области стандартизации, в результате применения которых на добровольной основе обеспечивается соблюдение требований Федерального
закона от 30.12.2009 N 384-ФЗ "Технический регламент о безопасности зданий и сооружений" (
Приказ Росстандарта от 02.04.2020 N 687).
Документ включен в
Перечень документов в области стандартизации, в результате применения которых на добровольной основе обеспечивается соблюдение требований Федерального
закона от 30.12.2009 N 384-ФЗ "Технический регламент о безопасности зданий и сооружений" (
Приказ Росстандарта от 17.04.2019 N 831).
Документ включен в
Перечень документов в области стандартизации, в результате применения которых на добровольной основе обеспечивается соблюдение требований Федерального
закона от 30.12.2009 N 384-ФЗ "Технический регламент о безопасности зданий и сооружений" (
Приказ Росстандарта от 30.03.2015 N 365).
Документ включен в
Перечень национальных стандартов, в результате применения которых на добровольной основе обеспечивается соблюдение требований Федерального
закона от 30.12.2009 N 384-ФЗ "Технический регламент о безопасности зданий и сооружений" (
Приказ Ростехрегулирования от 01.06.2010 N 2079).
С 1 июля 2003 года до вступления в силу технических регламентов акты федеральных органов исполнительной власти в сфере технического регулирования носят рекомендательный характер и подлежат обязательному исполнению только в части, соответствующей целям, указанным в
пункте 1 статьи 46 Федерального закона от 27.12.2002 N 184-ФЗ.
Текст документа приведен с учетом
поправки, опубликованной в "ИУС", N 12, 1990.
Введен в действие с 01.01.1990 (
Постановление Госстроя СССР от 27.02.1989 N 32).
Взамен ГОСТ 13015-75 в части методов измерений железобетонных и бетонных изделий.
Название документа
"ГОСТ 26433.1-89. Государственный стандарт Союза ССР. Система обеспечения точности геометрических параметров в строительстве. Правила выполнения измерений. Элементы заводского изготовления"
(утв. Постановлением Госстроя СССР от 27.02.1989 N 32)
"ГОСТ 26433.1-89. Государственный стандарт Союза ССР. Система обеспечения точности геометрических параметров в строительстве. Правила выполнения измерений. Элементы заводского изготовления"
(утв. Постановлением Госстроя СССР от 27.02.1989 N 32)
Утвержден и введен в действие
от 27 февраля 1989 г. N 32
ГОСУДАРСТВЕННЫЙ СТАНДАРТ СОЮЗА ССР
СИСТЕМА ОБЕСПЕЧЕНИЯ ТОЧНОСТИ
ГЕОМЕТРИЧЕСКИХ ПАРАМЕТРОВ В СТРОИТЕЛЬСТВЕ
ПРАВИЛА ВЫПОЛНЕНИЯ ИЗМЕРЕНИЙ
ЭЛЕМЕНТЫ ЗАВОДСКОГО ИЗГОТОВЛЕНИЯ
System of ensuring geometrical parameters
accuracy in construction.
Rules of measurement. Prefabricated elements
ГОСТ 26433.1-89
Дата введения
1 января 1990 года
1. Разработан Зональным научно-исследовательским и проектным институтом типового и экспериментального проектирования жилых и общественных зданий (ЛенЗНИИЭП) Госкомархитектуры, Центральным ордена Трудового Красного Знамени научно-исследовательским и проектным институтом типового и экспериментального проектирования жилища (ЦНИИЭП жилища) Госкомархитектуры, Центральным научно-исследовательским институтом типового и экспериментального проектирования школ, дошкольных учреждений, средних и высших учебных заведений (ЦНИИЭП учебных зданий) Госкомархитектуры.
Внесен Зональным научно-исследовательским институтом типового и экспериментального проектирования жилых и общественных зданий (ЛенЗНИИЭП) Госкомархитектуры.
Исполнители: Л.Н. Ковалис (руководитель темы); Г.Б. Шойхет, канд. техн. наук; А.В. Цареградский; Л.А. Вассердам; Д.М. Лаковский; Г.С. Митник, канд. техн. наук; В.В. Тишенко.
2 Утвержден и введен в действие
Постановлением Государственного строительного комитета СССР от 27.02.1989 N 32.
3. Взамен ГОСТ 13015-75 в части методов измерений железобетонных и бетонных изделий.
4. В стандарте учтены все положения международных стандартов ИСО 7976/1 и ИСО 7976/2 в части измерений элементов заводского изготовления.
5. Ссылочные нормативно-технические документы
───────────────────────────────────────┬──────────────────────────
Обозначение НТД, на который дана ссылка│ Номер пункта, подпункта,
│ приложения
───────────────────────────────────────┼──────────────────────────
ИС МЕГАНОРМ: примечание.
Взамен ГОСТ 10-75 Постановлением Госстандарта СССР от 21.10.1988
N 3485 с 1 января 1990 года введен в действие ГОСТ 10-88.
ИС МЕГАНОРМ: примечание.
Взамен ГОСТ 162-80 Постановлением Госстандарта СССР от
25.01.1990 N 86 с 1 января 1991 года введен в действие
ИС МЕГАНОРМ: примечание.
Взамен ГОСТ 164-80 Постановлением Госстандарта СССР от
23.02.1990 N 266 с 1 января 1991 года введен в действие
ИС МЕГАНОРМ: примечание.
С 1 июля 2000 года Постановлением Госстандарта РФ от
ИС МЕГАНОРМ: примечание.
Взамен ГОСТ 8026-75 Постановлением Госстандарта РФ от
23.03.1992 N 233 с 1 января 1993 года введен в действие
ИС МЕГАНОРМ: примечание.
Взамен ГОСТ 10528-76 Постановлением Госстандарта СССР от
22.06.1990 N 1756 с 1 июля 1991 года введен в действие
ИС МЕГАНОРМ: примечание.
Взамен ГОСТ 10529-86 Постановлением Госстандарта РФ от
26.06.1997 N 232 с 1 июля 1998 года введен в действие
Настоящий стандарт устанавливает правила выполнения измерений линейных и угловых размеров, отклонений формы и взаимного положения поверхностей деталей, изделий, конструкций и технологической оснастки, изготавливаемых на заводах, строительных площадках и полигонах.
1. Общие требования к выбору методов и средств измерения, выполнению измерений и обработке их результатов следует принимать по
ГОСТ 26433.0.
| | ИС МЕГАНОРМ: примечание. Взамен ГОСТ 164-80 Постановлением Госстандарта СССР от 23.02.1990 N 266 с 1 января 1991 года введен в действие ГОСТ 164-90. | |
| | ИС МЕГАНОРМ: примечание. С 1 июля 2000 года Постановлением Госстандарта РФ от 27.07.1999 N 220-ст введен в действие ГОСТ 7502-98. | |
| | ИС МЕГАНОРМ: примечание. Взамен ГОСТ 10-75 Постановлением Госстандарта СССР от 21.10.1988 N 3485 с 1 января 1990 года введен в действие ГОСТ 10-88. | |
2. Для измерения линейных размеров и их отклонений применяют линейки по
ГОСТ 427 и
ГОСТ 17435, рулетки по ГОСТ 7502, нутромеры по ГОСТ 10, скобы по
ГОСТ 11098, штангенциркули по
ГОСТ 166, штангенглубиномеры по ГОСТ 164, индикаторы часового типа по
ГОСТ 577, щупы по ТУ 2-034-225 и микроскопы типа МПБ-2 по ТУ 3.824.
В необходимых случаях следует применять средства специального изготовления с отсчетными устройствами в виде индикаторов часового типа, микрометрических головок и линейных шкал: рулетки со встроенным динамометром, длиномеры, нутромеры, скобы и клиновые щупы.
| | ИС МЕГАНОРМ: примечание. Взамен ГОСТ 10528-76 Постановлением Госстандарта СССР от 22.06.1990 N 1756 с 1 июля 1991 года введен в действие ГОСТ 10528-90. | |
| | ИС МЕГАНОРМ: примечание. Взамен ГОСТ 10529-86 Постановлением Госстандарта РФ от 26.06.1997 N 232 с 1 июля 1998 года введен в действие ГОСТ 10529-96. | |
| | ИС МЕГАНОРМ: примечание. Взамен ГОСТ 8026-75 Постановлением Госстандарта РФ от 23.03.1992 N 233 с 1 января 1993 года введен в действие ГОСТ 8026-92. | |
3. Для измерения отклонений форм профиля поверхности применяют нивелиры по ГОСТ 10528, теодолиты по ГОСТ 10529 или поверочные линейки по ГОСТ 8026 совместно со средствами линейных измерений (линейками, индикаторами, штангенинструментом и т.д.), а также оптические струны, визирные трубы, оптические плоскомеры и гидростатические высотомеры по действующим техническим условиям. Могут применяться также средства специального изготовления: контрольные рейки, отвес-рейки, струны из стальной проволоки диаметром 0,2 - 0,5 мм или синтетической лески диаметром 0,8 - 1,0 мм.
4. Угловые размеры проверяют угломерами, а их отклонения, выраженные линейными единицами, - линейками и щупами с применением угольников, калибров, шаблонов.
5. В зависимости от материала, размеров и особенностей формы элементов могут применяться также не предусмотренные настоящим стандартом средства, обеспечивающие требуемую по
ГОСТ 26433.0 точность измерений.
6. Схемы измерений размеров и их отклонений, а также отклонений форм приведены в
Приложении 1.
При этом соответствие реального взаимного положения поверхностей элемента (линий, осей) установленным требованиям определяют измерением соответствующих линейных и угловых размеров и их отклонений. Положение проемов, выступов, вкладышей, закладных деталей и других характерных деталей элемента проверяют измерением указанных в рабочих чертежах размеров между этими деталями или между деталями и гранями (линиями, точками) элемента, принятыми за начало отсчета.
7. Если в стандартах, технических условиях или рабочих чертежах не установлены места измерений размеров элемента, то эти места определяют в соответствии с настоящим стандартом. Длину, ширину, толщину, диаметр, а также угловые размеры или их отклонения измеряют в двух крайних сечениях элемента на расстоянии 50 - 100 мм от краев, а при длине или ширине элемента более 2,5 м - и в соответствующем среднем его сечении.
Отклонения от прямолинейности на лицевой поверхности плоских элементов измеряют не менее чем в двух любых сечениях элемента, как правило, в направлении светового потока, падающего на эту поверхность в условиях эксплуатации.
Отклонения от прямолинейности боковых граней плоских элементов измеряют в одном из сечений вдоль каждой из граней, а для элементов цилиндрической формы - вдоль не менее двух образующих, расположенных во взаимно перпендикулярных сечениях.
Отклонения от прямолинейности ребра элемента измеряют в сечениях по обеим поверхностям, образующим это ребро, на расстоянии не более 50 мм от него или непосредственно в месте пересечения этих поверхностей.
8. Значения предельных погрешностей измерений, которые могут быть использованы при выборе методов и средств измерений, приведены в
Приложении 2.
9. Примеры определения отклонений от плоскостности приведены в
Приложении 3.
Рекомендуемое
Таблица 1
Наименование измеряемого параметра, метода и средства измерения | Схема | Формулы для вычисления измеряемого параметра |
1. Линейные размеры и их отклонения | | |
1.1. Длина, ширина, толщина элементов и их частей измеряются: | | |
а) между двумя фиксированными точками | | |
б) между точкой и прямой или плоскостью (между двумя прямыми или плоскостями) методом покачивания | а2 - минимальный отсчет | |
в) между точкой и прямой или плоскостью методом построения перпендикуляра при помощи угольника | | |
1.1.1. Прямое измерение размера: | | xi = a2i - a1i; (1)  , (2) где xi - значение искомого размера, определяемого в результате измерения (действительный размер); xnom - номинальный размер;  - действительное отклонение; a1i, a2i - начальный и конечный отсчеты по шкале средства измерения |
а) линейкой |
б) рулеткой с натяжением вручную (при расстоянии не более 10 м) или динамометром. При наличии в местах измерений дефектов, мешающих снятию отсчетов, применяют выравнивающие приспособления | |
в) штангенциркулем | | xi = a2i (a1i = 0) |
г) длиномером с устройством для установки и закрепления на изделии конца рулетки с начальным отсчетом Примечание. Разнотолщинность определяют как разность между наибольшим и наименьшим из измеренных значений толщины одного изделия. | | То же |
1.1.2. Прямое измерение отклонения средствами измерения, настроенными на номинальный размер: | | при a1i = 0,  ;  , (3) где a1i - начальный отсчет, соответствующий номинальному размеру; устанавливается равным нулю или другому значению при настройке прибора на измерение |
а) нутромером |
б) скобой | |
в) длиномером с определением отклонения по шкале с нониусом | |
г) индикатором часового типа, установленным на стенде | |
1.2. Диаметр | | xi = a2i - a1i  , где a2i - максимальный отсчет из возможных отсчетов (a2i, a3i, a4i) |
1.2.1. Прямое измерение диаметра методом покачивания рулеткой, линейкой, штангенциркулем |
1.2.2. Прямое измерение отклонения методом покачивания скобой, нутромером, настроенными на номинальный размер | | |
1.2.3. Косвенное измерение диаметра: | |  (4) |
а) методом опоясывания рулеткой |
б) методом измерения хорды и высоты сегмента штангенциркулем с пределами измерения 320 - 1000 мм | |  , (5) где L - длина хорды, L = a2i; h - высота сегмента (известна или измеряют при известном L) |
Примечание. Овальность определяют как разность между наибольшим и наименьшим из измеренных значений диаметра в одном поперечном сечении. |
1.3. Расстояния между точками (осями), расположенными на различных гранях элемента | | |
1.3.1. Прямое измерение размера рулетками, линейками: | | |
а) методом проектирования одной из точек (осей) на линию измерения при помощи разметки | xi = a2i - a1i |
б) методом проектирования двух точек на линию измерения при помощи угольников, отвесов или оптических центриров | 1 - линия измерения | |
1.3.2. Косвенное измерение отклонения точки от оси линейкой методом проектирования точки на линию измерения при помощи угольника или разметки | |  (6)  , (7) где l1 и l2 - размеры, полученные прямым измерением |
1.4. Межосевое расстояние | | |
1.4.1. Косвенное измерение при помощи линейки, штангенциркуля, рулетки | | а)  , (8) б)  , (9) где L, L1, L2 и d1, d2 - размеры, получаемые прямым измерением |
1.5. Длина, ширина и глубина (высота) трещин, зазоров, раковин, околов, наплывов | | |
1.5.1. Прямое измерение длины, ширины: | | |
а) линейкой | x1i = a2i - a1i x2i = a4i - a3i |
б) микроскопом | | x1i = a2i - a1i |
в) палеткой (прозрачная пластина размером 200 х 200 мм с сеткой квадратов 5 х 5 мм) | | K - число раковин в квадрате K = 3, xi = 7,5 мм |
г) щупом | | xi = ai |
1.5.2. Прямое измерение глубины, высоты штангенциркулем ШЦ-1 | | xi = ai |
1.5.3. Косвенное измерение линейкой | | xi = a1i - a2i |
2. Угловые размеры и их отклонения | | |
2.1. Прямое измерение углового размера угломерами | | |
2.2. Прямое измерение отклонения углового размера в линейной мере на длине L угольником с линейкой или щупом (отклонения от перпендикулярности, косины реза и т.п.) | 1 - проверяемое изделие; 2 - угольник; 3 - щуп, концевая мера, линейка | |
3. Отклонения формы профиля или поверхности <*> (прямолинейности и плоскостности, в т.ч. волнистость, прогиб, выпуклость, вогнутость и т.п.) | | |
----------------------------------- <*> Полученные измерениями по настоящему стандарту значения отклонений от прямолинейности и плоскостности сравнивают с соответствующим допуском. |
3.1. Отклонения от прямолинейности | | |
3.1.1. Определение отклонения от прямолинейности на всей длине элемента при помощи струны на опорах равной высоты, задающей линию отсчета, и линейки. Масса подвешиваемого груза для металлической струны диаметром 0,2 - 0,5 мм на длине до 20 м - не менее 10 кг; для капроновой струны диаметром 0,8 - 1,0 мм на длине до 20 м - не менее 2 кг | 1 - проверяемая поверхность; 2 - струна; 3 - опоры для натяжения струны; 4 - условная прямая; 5 - линейка для снятия отсчета | Отклонение от прямолинейности  принимают равным: сумме абсолютных значений наибольшего из всех положительных и наибольшего из всех отрицательных измеренных в различных точках отклонений  , если они имеют разные знаки; наибольшему по абсолютной величине из всех измеренных отклонений  , если они имеют одинаковые знаки |
Измерения проводят в размеченных на поверхности элемента точках в количестве, определяемом в зависимости от длины изделия | |  , (10) где h1 = hn - расстояние от линии отсчета до проверяемой поверхности в точках опоры; hi - то же, в промежуточных точках разметки |
3.1.2. Определение отклонения от прямолинейности на участке элемента при помощи поверочной линейки или контрольной рейки на опорах равной высоты, задающих линию отсчета, и линейки, индикатора или щупа | 1 - проверяемая поверхность; 2 - поверочная линейка, рейка; 3 - опорная призма; 4 - условная прямая; 5 - линия отсчета; 6 - индикатор | То же При установке контрольной рейки непосредственно на поверхность изделия |
3.1.3. Определение отклонения от прямолинейности на всей длине элемента при помощи нивелира или теодолита, задающего линию отсчета, и линейки. Точность положения проверяемой поверхности относительно линии отсчета не регламентируется | 1 - проверяемая поверхность; 2 - нивелир; 3 - линия отсчета; 4 - условная прямая; 5 - линейка |  , (11)  , где ln, li - расстояния между начальной и конечной и начальной и промежуточной точками разметки, соответственно; при равном шаге разметки ln и li равны соответствующему числу шагов |
3.2. Отклонения от плоскостности | | |
3.2.1. Определение отклонения в угловой точке прямоугольного элемента относительно условной плоскости, проведенной через три другие угловые точки (пропеллерность или скручивание): | | |
а) методом прямого измерения линейкой или клиновым щупом отклонения в угловой точке элемента, установленного на четыре опоры, расположенные в одной плоскости (условной) | | |
б) методом измерений линейкой расстояний от каждой из четырех угловых точек элемента до плоскости отсчета с последующим вычислением отклонения от условной плоскости. В зависимости от положения элемента плоскость отсчета задается горизонтально нивелиром или вертикально теодолитом или двумя отвесами (отвес-рейками). Точность положения элемента относительно плоскости отсчета не регламентируется и определяется длиной измерительной линейки | 1 - отвес; 2 - шкала для отсчета |  (12) При h3 = h4 = h0  (13) |
3.2.2. Определение отклонения от условной плоскости по всей поверхности элемента: а) методом прямого измерения индикатором часового типа или щупом отклонения поверхности от условной плоскости, проведенной через три точки | 1 - объект измерения; 2 - поверочная плита; 3 - щуп, индикатор | Отклонение от плоскостности принимают равным наибольшему результату из измерений в четвертой угловой точке и в точке пересечения диагоналей. Индикаторы настраивают на нулевой отсчет по поверочной плите |
б) методом измерения линейкой расстояния от размеченных на поверхности элемента точек до линии отсчета, заданной струной, поверочной линейкой или контрольной рейкой на опорах равной высоты, устанавливаемых в размеченных точках по краям элемента. Точки, в которых производят измерения, располагают на контролируемой поверхности в местах пересечения продольных и поперечных сечений элемента из расчета 4 - 10 сечений на каждой его стороне в зависимости от размеров элемента, а также в местах пересечения проекций диагоналей на поверхности элемента | 1 - проверяемая поверхность; 2 - струна; 3 - линейка; 4 - опоры для натяжения струны | Отклонение от плоскостности  принимают равным: сумме абсолютных значений наибольшего из всех положительных и наибольшего из всех отрицательных отклонений  в размеченных точках, если они имеют разные знаки; наибольшему по абсолютной величине из всех отклонений  , если они имеют одинаковые знаки. Формулы и пример вычисления отклонений  в каждой из размеченных точек от условной плоскости, проведенной через одну из диагоналей параллельно другой диагонали, приведены в Приложении 3 |
в) методом измерения линейкой расстояний от размеченных на поверхности элемента точек до плоскости отсчета, заданной горизонтально нивелиром или вертикально теодолитом. Точки, в которых производят измерения, располагают на контролируемой поверхности в местах пересечения продольных и поперечных сечений элемента из расчета 4 - 10 сечений на каждой его стороне в зависимости от размеров элемента. Точность положения элемента относительно плоскости отсчета не регламентируется и определяется длиной измерительной линейки | 1 - проверяемая поверхность; 2 - линейка; 3 - нивелир | Отклонение от плоскостности  принимают равным: сумме абсолютных значений наибольшего из всех положительных и наибольшего из всех отрицательных отклонений  в размеченных точках, если они имеют разные знаки; наибольшему по абсолютной величине из всех отклонений  , если они имеют одинаковые знаки. Формулы и пример вычисления отклонений  в каждой из размеченных точек от условной плоскости, проведенной через одну из диагоналей параллельно другой диагонали, приведены в Приложении 3 |
3.3. Отклонения от заданного профиля или поверхности сложной формы Измерения производят в размеченных на поверхности элемента точках и местах пересечения, характерных для контролируемой поверхности продольных и поперечных (радиальных и круговых и т.п.) сечений | | Отклонение  реального профиля от проектного принимают равным наибольшему по величине из всех измеренных значений зазора в контролируемом сечении |
3.3.1. Прямое измерение линейкой, индикатором или щупом отклонений реального профиля от шаблона | 1 - проверяемая поверхность; 2 - шаблон; 3 - линия отсчета; 4 - щуп; 5 - сечения, в которых устанавливают шаблон; 6 - точки разметки на шаблоне, в которых проводят измерение зазора | |
3.3.2. Определение отклонений от проектных значений действительных координат характерных точек реальной поверхности элемента, установленного в рабочее положение. Измерения выполняют прямыми или косвенными методами с использованием нивелира и рейки или струны и линейки, гидростатического высотомера и т.д. | |  , (19) где hi - действительное значение координаты; hinom - номинальное значение координаты; l1, ..., n - расстояния, соответствующие номинальным значениям координаты, размечаются от точки, принятой за начало координат по горизонтальной оси |
Справочное
ПРЕДЕЛЬНЫЕ ПОГРЕШНОСТИ ИЗМЕРЕНИЙ
Предельные погрешности измерений с применением рекомендуемых средств измерений приведены в табл. 2 -
4 и рассчитаны для температуры воздуха t = (20 +/- 8) °С и разности температур объекта и средства измерения, равной 2 °С. Натяжение рулетки осуществляется вручную.
Таблица 2
Предельные погрешности измерения линейных размеров
───────────────┬──────────────────────────────────────────────────
Интервалы │ Предельные погрешности измерения, мм
номинальных ├────────┬──────────┬───────┬──────┬────────┬──────
размеров, мм │Штанген-│Нутромеры,│Линейки│Штан- │Рулетки │Длино-
│инстру- │скобы, │метал- │ген- │3-го │меры,
│мент, │величина │личес- │цир- │класса, │вели-
│величина│отсчета по│кие, │куль, │цена де-│чина
│отсчета │индикато- │цена │метод │ления │от-
│по но- │ру, микро-│деления│хорды │1,0 мм │сче-
│ниусу │метру, │1,0 мм │и вы- │ │та по
│0,1 мм │нониусу │ │соты │ │нониу-
│ │0,01 мм │ │сег- │ │су
│ │ │ │мента │ │0,1 мм
───────────────┼────────┼──────────┼───────┼──────┼────────┼──────
Св. 1 до 50 │0,1 │- │0,4 │ │ │
" 50 " 200 │0,2 │0,02 │0,4 │ │ │
" 200 " 500 │0,2 │0,03 │0,5 │0,6 │0,5 <*> │
" 500 " 1000│0,3 │0,05 │0,5 │1,0 │0,5 <*>;│
│ │ │ │ │0,5 <**>│
" 1000 " 4000│0,5 │0,2 │ │1,4 │1,5 <*>;│0,8
│ │ │ │ │1,0 <**>│
" 4000 " 6000│ │0,3 │ │2,5 │2,0 <*>;│1,0
│ │ │ │ │1,5 <**>│
" 6000 " 10000│ │0,4 │ │4,0 │2,5 <*>;│1,5
│ │ │ │ │2,0 <**>│
" 10000 " 16000│ │ │ │ │3,5 <*> │2,5
" 16000 " 25000│ │ │ │ │4,5 <*> │3,0
-----------------------------------
<*> Приведены погрешности измерения длин и диаметров.
<**> Погрешности измерения диаметров методом опоясывания.
Таблица 3
Предельные погрешности измерения параметров формы
и взаимного положения поверхностей
───────────────┬────────────────────────────────────────────────────────────
Интервалы номи-│ Предельные погрешности измерений, мм
нальных разме- ├──────────┬────┬─────────┬────────┬────────┬────┬───────────
ров, мм │Поверочная│Рей-│Струна │Оптичес-│Нивелир │Тео-│Средства
│ линейка │ка │металли- │кая │ │до- │измерения
│ │ │ческая │струна, │ │лит │специально-
│ │ │или кап- │плоско- │ │ │го изготов-
│ │ │роновая │мер, │ │ │ления
├──────────┴────┴─────────┤зритель-├───┬────┼────┤
│ с отсчетом по │ные тру-│Н05│Н-3,│Т-2,│
├─────┬────┬────┬────┬────┤бы типа │ │НЗК │Т-5 ├─────┬─────
│инди-│ли- │ли- │мик-│ли- │ППС, ги-│ │ │ │НПЛ-1│НПР-1
│като-│ней-│ней-│ро- │ней-│дроста- ├───┴────┴────┤ │
│ру │ке │ке │ско-│ке │тический│ Отсчет по │ │
│ │ │ │пу │ │уровень,│ линейке с │ │
├─────┴────┴────┴────┴────┤микрони-│ценой деления│ │
│ с ценой деления, мм │велир, │ 1,0 мм │ │
├─────┬────┬────┬────┬────┤уровень │ │ │
│0,01 │1,0 │1,0 │0,01│1,0 │ │ │ │
───────────────┼─────┼────┼────┼────┼────┼────────┼───┬────┬────┼─────┼─────
До 100 │- │- │- │- │- │ │ │ │ │0,02 │0,02
Св. 100 до 200│- │- │- │- │- │ │ │ │ │ │
" 200 " 1000│0,08 │0,4 │0,4 │- │- │0,01 │ │ │ │ │
" 1000 " 2000│0,08 │0,4 │0,4 │0,05│0,3 │0,02 │ │ │ │ │
" 2000 " 3000│0,15 │0,4 │ │0,1 │0,4 │0,03 │ │0,5 │1,0 │ │
" 3000 " 5000│ │ │ │0,1 │0,4 │0,05 │ │0,5 │1,0 │ │
" 5000 " 8000│ │ │ │0,2 │0,4 │0,06 │0,2│0,8 │1,0 │ │
" 8000 " 10000│ │ │ │0,2 │0,5 │0,1 │0,2│0,8 │1,0 │ │
" 10000 " 20000│ │ │ │0,3 │0,5 │0,2 │0,4│1,0 │2,0 │ │
" 20000 " 30000│ │ │ │0,3 │1,0 │0,2 │0,4│1,0 │2,0 │ │
Таблица 4
Предельные погрешности измерения угловых размеров
─────────────────────────────────────┬────────────────────────────
Средство измерения │ Погрешность измерения
─────────────────────────────────────┼────────────────────────────
1. Угломер механический │+/- (2 - 10)
2. Угломер оптический │+/- 20'
3. Квадрант оптический │+/- 10''
4. Угольник │+/- 30''
5. Уровни брусковые, уровни рамные │Равна цене деления уровня
6. Уровни микрометрические │То же
Справочное
ОПРЕДЕЛЕНИЕ ОТКЛОНЕНИЙ ОТ ПЛОСКОСТНОСТИ
ПО ВСЕЙ ПОВЕРХНОСТИ ЭЛЕМЕНТА
1. Линию отсчета задают струной, линейкой или рейкой на опорах равной высоты, устанавливаемых в размеченных точках по краям элемента.
1.1. Отклонения от условной плоскости

в каждой из размеченных точек по продольным или поперечным сечениям элемента вычисляют по формуле

, (1)
где

- расстояния от поверхности элемента до линии отсчета в первой и последней точках рассматриваемого сечения, равные высоте опор;

- измеренное расстояние от поверхности элемента до линии отсчета в i-й точке рассматриваемого сечения;

- расстояние от первой точки рассматриваемого сечения до i-й точки;

- расстояние от первой точки рассматриваемого сечения до последней (n-й);

и

- отклонения от условной поверхности в первой и последней точках рассматриваемого сечения.
1.2. За отклонения

и

для сечений, расположенных по периметру разметки, по формуле (1) принимают соответствующие отклонения

,

,

,

в угловых точках разметки I, II, III, IV.
При проведении условной плоскости через диагональ I - III параллельно диагонали II - IV принимают

(2)
и

,

вычисляют по формуле

, (3)
где

,

- измеренные расстояния от точки пересечения проекций диагоналей на поверхность элемента до линий отсчета в диагональных сечениях I - III, II - IV.
1.3. За отклонения

и

для всех промежуточных (поперечных и продольных) сечений разметки в
формуле (1) принимают соответствующие значения

, вычисленные по
формуле (1) для сечений, расположенных по периметру разметки.
Пример. Стандартом установлено, что для панели перекрытия отклонение от плоскостности лицевой поверхности не должно превышать 10 мм, т.е.

= 10 мм.
Решение. Для выполнения измерений определяем (по
ГОСТ 26433.0) предельную погрешность измерений

мм.
В соответствии с
Приложением 2 принимаем метод измерения струной со снятием отсчетов по линейке с миллиметровыми делениями.
Размечаем проверяемую поверхность, приняв шаг между точками равным 1000 мм. Натягивая вручную рулетку, наносим на поверхности мелом риски через 1000 мм по периметру, в центре пересечения диагоналей, в продольных и поперечных сечениях; нумеруем в соответствии с разметкой точки поверхности на схеме (черт. 1).
Черт. 1
Устанавливаем струну по поперечным и продольным сечениям и снимаем отсчеты в каждой точке в прямом и обратном направлениях.
Результаты наблюдений записываем в протокол (табл. 5) и вычисляем в каждой точке средние значения из отсчетов, снятых в прямом и обратном направлениях.
────────────┬─────────┬───────────────────────────────┬───────────
Обозначение │ Номер │Расстояние от линии отсчета до │Отклонения
сечения │ точки i │ поверхности, мм │от условной
│ ├──────┬────────┬───────────────┤плоскости,
│ │прямо │обратно │ среднее │ мм,
│ │ h' │ h" │ значение │ дельта h
│ │ i │ i │ h' + h" │ i
│ │ │ │ i i │
│ │ │ │ h = ------- │
│ │ │ │ i 2 │
────────────┼─────────┼──────┼────────┼───────────────┼───────────
I - III │1 │50 │50 │50 │0
│0 (21) │56 │56 │56 │-
│III │50 │50 │50 │0
II - IV │II │50 │50 │50 │3,0
│0 (21) │52 │54 │53 │-
│IV │50 │50 │50 │3,0
I - II │1 │50 │50 │50 │0
│2 │46 │46 │46 │4,8
│3 │50 │48 │49 │2,5
│4 │50 │52 │51 │1,2
│5 (II) │50 │50 │50 │3,0
II - III │5 │50 │50 │50 │3,0
│6 │52 │52 │52 │0,2
│7 │55 │52 │54 │-2,5
│8 │53 │53 │53 │-2,2
│9 │50 │50 │50 │0
III - IV │9 │50 │50 │50 │0
│10 │48 │48 │48 │2,8
│11 │47 │45 │46 │5,5
│12 │47 │47 │47 │5,2
│13 │50 │50 │50 │3,0
IV - I │13 │50 │50 │50 │3,0
│14 │49 │49 │49 │3,2
│15 │53 │53 │53 │-1,5
│16 │51 │50 │51 │-0,2
│1 │50 │50 │50 │0
16 - 6 │16 │50 │50 │50 │-0,2
│17 │46 │46 │46 │3,9
│18 │46 │48 │47 │3,0
│19 │49 │49 │49 │0,9
│6 │50 │50 │50 │+0,2
7 - 15 │7 │50 │50 │50 │-2,5
│20 │52 │52 │52 │-4,2
│21 │57 │57 │57 │-4,0
│22 │55 │55 │55 │-1,7
│15 │50 │50 │50 │-1,5
14 - 8 │14 │50 │50 │50 │3,2
│23 │48 │49 │48 │3,8
│24 │48 │48 │48 │2,5
│25 │49 │49 │49 │0,2
│8 │50 │50 │50 │-2,2

;


.
Вычисляем отклонения от условной плоскости по формулам
(1),
(2),
(3).
По результатам наблюдений в диагональных сечениях определяем отклонения в угловых точках II (5) и IV (13)

.
Отклонения в угловых точках I и II принимаем равными нулю

.
Вычисляем отклонения от условной плоскости в сечениях, расположенных по периметру, по формуле

.
Результаты вычислений записываем в гр. 6
табл. 5.
Сечение I - II, точки 1 (I), 2, 3, 4, 5 (II).

;

;

;

.
Аналогично выполняем вычисления в сечениях II - III, III - IV, IV - I.
Вычисляем отклонения от условной плоскости в поперечных сечениях. Например, рассмотрим сечение 16 - 6.
Сечение 16 - 6, точки 16, 17, 18, 19, 6.

;

;

;

.
Определяем точки, имеющие наибольшие положительное и отрицательное значения:

мм;

мм.
Сравниваем с допуском сумму абсолютных значений наибольших положительного и отрицательного отклонений

;
9,7 < 10.
Вывод. Плоскостность контролируемой поверхности соответствует установленным требованиям.
2. Плоскость отсчета задают горизонтально нивелиром или вертикально теодолитом.
2.1. Условную плоскость проводят через одну из диагоналей параллельно другой диагонали, например, через диагональ I - III параллельно диагонали II - IV, где I, II, III, IV - угловые точки разметки.
2.2. Отклонения от условной плоскости

в каждой из размеченных точек вычисляют по формуле

, (4)
где

- приведенный отсчет, вычисляемый по формуле

, (5)
где

,

- отсчеты по рейке, установленной в угловой I и i-й точках;

,

- расстояния от i-й точки до прямых, соединяющих угловые точки разметки в направлениях I - II к I - IV;

,

- коэффициенты, вычисляемые по формулам:

; (6)

; (7)

, (8)
где

,

,

- приведенные отсчеты, вычисленные по формулам (5) для угловых точек II, III, IV;

,

- расстояния между угловыми точками разметки I и II к I и IV.
Пример. Определить отклонение от плоскостности поддона металлической формы. Допуск плоскостности установлен в нормативно-технической документации (НТД) и составляет

= 6 мм.
Решение. Определяем предельную погрешность измерения по
ГОСТ 26433.0

мм.
В соответствии с Приложением 2 принимаем метод измерения геометрическим нивелированием с использованием нивелира НЗ и линейки с ценой деления 1,0 мм.
Размечаем на контролируемой поверхности сетку квадратов со сторонами, равными 1 м, и нумеруем точки разметки, подлежащие нивелированию (черт. 2).
Черт. 2
Выполняем нивелировку при двух установках (горизонтах) прибора. Пример записи отсчетов по рейкам приведен в табл. 6, графы 4 и 6.
──────┬────────┬──────────────────────────────────────────────────────────┬───────────
Номер │Разметка│ Нивелирование │Отклонения
точки ├───┬────┼──────────────────────────────────────────────┬───────────┤от условной
i │l │l │ Отсчет по рейке │ h' + h"│плоскости,
│ 1i│ 2i ├────────────────┬────────────────┬────────────┤ i i│проходящей
│ │ │ 1-я установка │ 2-я установка │d = h' - h"│h = -------│через
│ │ ├───┬────────────┼───┬────────────┤ i i i│ i 2 │диагональ
│ │ │a' │h' = a' - a'│a" │h" = a" - a"│ │ │I - III
│ │ │ i │ i 1 i│ i │ i 1 i│ │ │
──────┼───┼────┼───┼────────────┼───┼────────────┼────────────┼───────────┼───────────
1 │ 2 │ 3 │ 4 │ 5 │ 6 │ 7 │ 8 │ 9 │ 10
──────┼───┼────┼───┼────────────┼───┼────────────┼────────────┼───────────┼───────────
I(1) │0 │0 │348│0 │373│0 │0 │0 │0
II(5) │4 │0 │345│3 │370│3 │0 │3 │3,5
III(8)│4 │3 │355│-7 │379│-6 │-1 │-6 │0
IV(12)│0 │3 │349│-1 │375│-2 │+1 │-2 │3,5
2 │1 │0 │346│2 │372│1 │+1 │2 │2,1
3 │2 │0 │345│3 │370│3 │0 │3 │3,2
4 │3 │0 │348│0 │372│1 │-1 │0 │0,4
6 │4 │1 │345│3 │371│2 │1 │2 │4,3
7 │4 │2 │348│0 │372│1 │-1 │0 │4,2
9 │3 │3 │353│-5 │378│-5 │0 │-5 │0,9
10 │2 │3 │353│-5 │379│-6 │+1 │-6 │-0,2
11 │1 │3 │356│-8 │380│-7 │-1 │-8 │-2,4
13 │0 │2 │353│-5 │377│-4 │-1 │-4 │-0,3
14 │0 │1 │352│-4 │378│-5 │+1 │-4 │-2,2
15 │1 │1 │351│-3 │376│-3 │0 │-3 │-1,0
16 │2 │1 │349│-1 │374│-1 │0 │-1 │1,1
17 │3 │1 │345│-3 │371│-2 │-1 │-2 │0,2
18 │3 │2 │352│-4 │378│-5 │1 │-4 │0
19 │2 │2 │349│-1 │374│-1 │0 │-1 │2,9
20 │1 │2 │352│-4 │377│-4 │0 │-4 │-0,3
──────┴───┴────┴───┴────────────┴───┴────────────┴────────────┴───────────┴────────
a' = 348; a" = 373; Сигма d = 0; дельта h = 2,4;
1 1 i min
дельта h = 4,3
max
──────────────────────────────────────────────────────────────────────────────────────
дельта x = |дельта h | + |дельта h | = 6,7
i min max
Оцениваем точность по разностям двойных измерений в соответствии с
ГОСТ 26433.0.
Вычисляем приведенные отсчеты по формуле
(5) настоящего Приложения.
Определяем разности

в каждой паре наблюдений

и сумму этих разностей

(графы 8 и 9 табл. 6).
Оцениваем среднюю квадратическую погрешность среднего из двух отсчетов по рейке (гр. 9 табл. 6).

.
Остаточную систематическую погрешность не учитываем, так как

.
Вычисляем действительную предельную погрешность измерения

мм.
Сравниваем действительную предельную погрешность измерения

с

0,98 < 1,2.
Действительная предельная погрешность измерения не превышает допустимого значения.
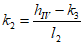
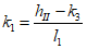
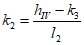
Вычисляем отклонения

от условной плоскости по формулам
(4),
(6),
(7),
(8).
Например, отклонение от условной плоскости для точки 6 (см.
табл. 6)

;

;

;

;

.
Сравниваем с допуском на плоскостность сумму абсолютных значений положительного и отрицательного отклонений

; 6,7 > 6.
Вывод. Плоскостность поверхности не соответствует установленному в НТД допуску

= 6 мм.