Главная // Актуальные документы // ПНСТ (Предварительный национальный стандарт)СПРАВКА
Источник публикации
М.: Стандартинформ, 2016
Примечание к документу
Документ утратил силу с 1 июня 2019 года в связи с истечением срока действия, установленного
Приказом Росстандарта от 28.12.2015 N 46-пнст. Взамен введен в действие
ГОСТ Р 58402.1-2019, утв.
Приказом Росстандарта от 31.05.2019 N 259-ст.
Документ
введен в действие с 1 июня 2016 года на период по 1 июня 2019 года (
Приказ Росстандарта от 28.12.2015 N 46-пнст).
Название документа
"ПНСТ 71-2015. Предварительный национальный стандарт. Дороги автомобильные общего пользования. Материалы минеральные мелкозернистые для приготовления асфальтобетонных смесей. Метод определения плотности и абсорбции"
(утв. и введен в действие Приказом Росстандарта от 28.12.2015 N 46-пнст)
"ПНСТ 71-2015. Предварительный национальный стандарт. Дороги автомобильные общего пользования. Материалы минеральные мелкозернистые для приготовления асфальтобетонных смесей. Метод определения плотности и абсорбции"
(утв. и введен в действие Приказом Росстандарта от 28.12.2015 N 46-пнст)
Утвержден и введен в действие
агентства по техническому
регулированию и метрологии
от 28 декабря 2015 г. N 46-пнст
ПРЕДВАРИТЕЛЬНЫЙ НАЦИОНАЛЬНЫЙ СТАНДАРТ
ДОРОГИ АВТОМОБИЛЬНЫЕ ОБЩЕГО ПОЛЬЗОВАНИЯ
МАТЕРИАЛЫ МИНЕРАЛЬНЫЕ МЕЛКОЗЕРНИСТЫЕ
ДЛЯ ПРИГОТОВЛЕНИЯ АСФАЛЬТОБЕТОННЫХ СМЕСЕЙ
МЕТОД ОПРЕДЕЛЕНИЯ ПЛОТНОСТИ И АБСОРБЦИИ
Automobile roads of general use. Mineral materials
for preparing fine-grained asphalt concrete mixtures.
Method for determination of density and absorption
ПНСТ 71-2015
Срок действия
с 1 июня 2016 года
по 1 июня 2019 года
1 РАЗРАБОТАН Автономной некоммерческой организацией "Научно-исследовательский институт транспортно-строительного комплекса" (АНО "НИИ ТСК")
2 ВНЕСЕН Техническим комитетом по стандартизации ТК 418 "Дорожное хозяйство"
3 УТВЕРЖДЕН И ВВЕДЕН В ДЕЙСТВИЕ
Приказом Федерального агентства по техническому регулированию и метрологии от 28 декабря 2015 г. N 46-пнст
4 Настоящий стандарт разработан с учетом основных нормативных положений стандарта AASHTO T 84 "Стандартный метод испытаний. Удельный вес и абсорбция мелкозернистого минерального заполнителя" (AASHTO T 84 "Standard method of test for specific gravity and absorption of fine aggregate", NEQ)
5 ВВЕДЕН ВПЕРВЫЕ
Правила применения настоящего стандарта и проведения его мониторинга установлены в ГОСТ Р 1.16-2011 (
разделы 5 и
6).
Федеральное агентство по техническому регулированию и метрологии собирает сведения о практическом применении настоящего стандарта. Данные сведения, а также замечания и предложения по содержанию стандарта можно направить не позднее, чем за девять месяцев до истечения срока его действия, разработчику настоящего стандарта по адресу: tk418@bk.ru и в Федеральное агентство по техническому регулированию и метрологии по адресу: Ленинский просп., д. 9, Москва В-49, ГСП-1, 119991.
В случае отмены настоящего стандарта соответствующее уведомление будет опубликовано в ежемесячном информационном указателе "Национальные стандарты" и журнале "Вестник технического регулирования". Уведомление будет размещено также на официальном сайте Федерального агентства по техническому регулированию и метрологии в сети Интернет
Настоящий стандарт устанавливает метод определения объемной плотности, максимальной плотности и абсорбции мелкозернистых минеральных материалов.
Настоящий стандарт распространяется на мелкозернистые минеральные материалы, предназначенные в качестве составляющего материала при приготовлении асфальтобетонных смесей.
В настоящем стандарте использованы нормативные ссылки на следующие стандарты:
ГОСТ 12.4.252-2013 Система стандартов безопасности труда. Средства индивидуальной защиты рук. Перчатки. Общие технические требования. Методы испытаний
ГОСТ 1770-74 Посуда мерная лабораторная. Цилиндры, мензурки, колбы, пробирки. Технические условия
ГОСТ 32722-2014 Дороги автомобильные общего пользования. Песок природный и дробленый. Определение истинной плотности
ГОСТ 32728-2014 Дороги автомобильные общего пользования. Песок природный и дробленый. Отбор проб
ГОСТ Р 12.1.019-2009 Система стандартов безопасности труда. Электробезопасность. Общие требования и номенклатура видов защиты
ГОСТ Р 53228-2008 Весы неавтоматического действия. Часть 1. Метрологические и технические требования. Испытания
ПНСТ 79-2015 Дороги автомобильные общего пользования. Материалы минеральные для приготовления асфальтобетонных смесей. Метод отбора проб
Примечание - При пользовании настоящим стандартом целесообразно проверить действие ссылочных стандартов в информационной системе общего пользования - на официальном сайте Федерального агентства по техническому регулированию и метрологии в сети Интернет или по ежегодному информационному указателю "Национальные стандарты", который опубликован по состоянию на 1 января текущего года, и по выпускам информационного указателя "Национальные стандарты" за текущий год. Если заменен ссылочный стандарт, на который дана недатированная ссылка, то рекомендуется использовать действующую версию этого стандарта с учетом всех внесенных в данную версию изменений. Если заменен ссылочный стандарт, на который дана датированная ссылка, то рекомендуется использовать версию этого стандарта с указанным выше годом утверждения (принятия). Если после утверждения национального стандарта в ссылочный стандарт, на который дана датированная ссылка, внесено изменение, затрагивающее положение, на которое дана ссылка, то это положение рекомендуется применять без учета данного изменения. Если ссылочный стандарт отменен без замены, то положение, в котором дана ссылка на него, рекомендуется применять в части, не затрагивающей эту ссылку.
В настоящем стандарте применены следующие термины с соответствующими определениями:
3.1 объемная плотность минерального заполнителя (bulk specific gravity of graded aggregate): Масса единицы объема минерального заполнителя с учетом пор минерального заполнителя, но без учета воздушных пустот между зернами минерального заполнителя.
3.2 максимальная плотность минерального заполнителя (maximum specific gravity of graded aggregate): Масса единицы объема минерального заполнителя без учета пор и воздушных пустот.
3.3 объемная плотность минерального заполнителя в водонасыщенном, поверхностно-сухом состоянии (bulk specific gravity SSD of graded aggregate): Масса единицы объема минерального заполнителя с учетом пор, насыщенных водой, но без учета воздушных пустот между зернами минерального заполнителя.
3.4 абсорбция (absorption): Поглощение одного тела (вещества, газа) другим телом (веществом).
3.5 минеральный заполнитель (graded aggregate): Минеральный материал, который входит в состав асфальтобетонной смеси.
3.6 мелкозернистый минеральный заполнитель (fine-graded aggregate): Минеральный материал с размером частиц менее 4,75 мм.
4. Требования к средствам измерений, вспомогательным
устройствам, материалам, реактивам
При выполнении испытаний применяют следующие средства измерений, вспомогательные устройства и реактивы:
4.1 Весы лабораторные по
ГОСТ Р 53228 класса точности II с наименьшим максимальным пределом взвешивания 1500 г и ценой деления не более 0,1 г.
4.2 Колба емкостью не менее 500 см
3 по
ГОСТ 1770 или колба Ле Шателье для определения истинной плотности по
ГОСТ 32722.
4.3 Шкаф сушильный для высушивания материала, способный нагревать и поддерживать температуру (110 +/- 5) °C.
4.4 Форма металлическая в виде усеченного конуса, приведенная на рисунке 1, с внутренним диаметром у вершины, равным (40 +/- 3) мм, и у основания - равным (90 +/- 3) мм, высотой - (75 +/- 3) мм, толщиной стенок - не менее 0,8 мм, для уплотнения материала.
Рисунок 1 - Металлическая форма
4.5 Пестик металлический массой (340 +/- 15) г с круглой плоской ударной поверхностью диаметром (25 +/- 3) мм, для уплотнения материала.
4.6 Термометр с возможностью измерять температуру в диапазоне от 20 °C до 30 °C с ценой деления не более 0,1 °C.
4.7 Фен электрический для создания теплого потока воздуха.
4.8 Совок металлический или шпатель для перемешивания материала.
4.9 Спирт этиловый ректификованный.
4.10 Противни металлические.
Сущность метода заключается в том, что приводят мелкозернистый минеральный заполнитель в водонасыщенное, поверхностно-сухое состояние, помещают его в колбу, регистрируют массу колбы с пробой и водой, далее массу колбы с водой, затем высыпают содержимое колбы и высушивают до постоянной массы.
6. Требования безопасности, охраны окружающей среды
| | ИС МЕГАНОРМ: примечание. В официальном тексте документа, видимо, допущена опечатка: имеется в виду ГОСТ 12.4.252, а не ГОСТ Р 12.4.252. | |
При выполнении измерений соблюдают правила по электробезопасности по
ГОСТ Р 12.1.019 и инструкции по эксплуатации оборудования.
7. Требования к условиям измерений
При выполнении измерений соблюдают следующие условия для помещений, в которых испытывают образцы:
- температура - (22 +/- 3) °C;
- относительная влажность - (55 +/- 15)%.
8.1 Производят отбор пробы мелкозернистого минерального заполнителя в соответствии с ПНСТ 79.
8.2 Подготавливают пробу минерального заполнителя методом квартования в соответствии с принципами, изложенными в
ГОСТ 32728, массой (1000 +/- 50) г.
8.3 Высушивают минеральный заполнитель до постоянной массы в сушильном шкафу при температуре (110 +/- 5) °C.
8.4 Охлаждают минеральный заполнитель на воздухе при температуре (22 +/- 3) °C в течение (2 +/- 1) ч.
8.5 Добавляют в минеральный заполнитель воду в количестве не менее 6% от массы пробы и перемешивают. Оставляют пробу в покое на промежуток времени (17 +/- 2) ч.
8.6 Помещают пробу равномерным слоем на плоской поверхности, которая не поглощает воду.
Примечание - Перед 8.6 в том случае, если имеется избыток воды, ее сливают, избегая потери пылевидного материала.
8.7 Создают над пробой циркулирующий поток теплого воздуха и перемешивают материал металлическим совком (шпателем).
Примечание - Допускается применять механический смеситель для перемешивания и фен для создания потока воздуха.
Продолжают операцию просушивания до тех пор, пока проба не приблизится к водонасыщенному, поверхностно-сухому состоянию. Для определения водонасыщенного, поверхностно-сухого состояния минерального заполнителя выполняют испытание осадкой конуса по 8.8.
8.8 Для проведения определения осадки конуса устанавливают металлическую форму на ровную водонепоглощающую поверхность большим диаметром вниз. Засыпают минеральный заполнитель в форму порциями до тех пор, пока над верхним диаметром формы не образуется его излишек. Берут пестик и уплотняют им минеральный заполнитель, находящийся в форме. Уплотнение производят вертикальным опусканием пестика с высоты от 5 до 10 мм 25 раз под тяжестью веса пестика. Уплотнение пестиком производят равномерно по всей площади, соответственно корректируют высоту после каждого опускания. Убирают рассыпанный минеральный заполнитель и поднимают металлическую форму вертикально.
Если минеральный заполнитель еще не достиг водонасыщенного, поверхностно-сухого состояния, то конусовидная форма пробы сохранится. Если конусовидная форма пробы начнет осыпаться, это значит, что проба достигла водонасыщенного, поверхностно-сухого состояния.
Примечание - В том случае, если во время первого определения осадки конуса конусовидная форма минерального материала осыпется, то в пробу добавляют (30 +/- 5) мл воды и тщательно перемешивают. Дают отстояться смеси в закрытом контейнере (30 +/- 5) мин. Затем возобновляют просушивание и тесты для определения водонасыщенного, поверхностно-сухого состояния.
9. Порядок выполнения измерения
9.1 Пикнометрический метод
9.1.1 Наполняют колбу водой, температура которой должна находиться в пределах (23,0 +/- 1,7) °C, ориентировочно объемом 0,3 от ее емкости.
9.1.2 Засыпают в колбу (500 +/- 10) г минерального заполнителя, находящегося в водонасыщенном, поверхностно-сухом состоянии (регистрируют массу засыпанного минерального заполнителя с точностью до 0,1 г и записывают как S), добавляют воды, температура которой должна находиться в пределах (23,0 +/- 1,7) °C, до объема, равного примерно 90% от ее емкости.
9.1.3 Встряхивают колбу для удаления воздуха, образовавшегося в колбе, таким образом, чтобы исключить потерю минерального заполнителя. Встряхивание выполняют руками в течение (17 +/- 3) мин. Допускается удалять воздух механическим встряхиванием, избегая разрушения зерен минерального заполнителя.
Для удаления пены, образовавшейся в процессе встряхивания, используют бумажное полотенце, погружая его кончик в колбу.
9.1.4 Аккуратно доливают в колбу воды, температура которой должна находиться в пределах (23,0 +/- 1,7) °C, до мерной риски.
9.1.5 Определяют массу колбы с материалом и водой с точностью до 0,1 г и записывают ее как C.
9.1.6 Извлекают минеральный заполнитель из колбы и высушивают в сушильном шкафу при температуре (110 +/- 5) °C до получения постоянной массы.
Примечание - Для определения массы сухого материала, вместо высушивания и определения массы материала, извлеченного из колбы, допускается использовать часть того же материала, находящегося в водонасыщенном, поверхностно-сухом состоянии. Масса минерального заполнителя в этом случае не должна отличаться от массы материала, засыпаемого в пикнометр, более чем на 0,2 г, а формирование обеих порций необходимо производить одновременно.
9.1.7 Достают минеральный заполнитель из сушильного шкафа и охлаждают его при температуре (22 +/- 3) °C в течение (1,0 +/- 0,5) ч. Определяют массу минерального заполнителя с точностью до 0,1 г и записывают как A.
9.1.8 Определяют массу колбы, наполненной водой до мерной риски, температура которой (23,0 +/- 1,7) °C, с точностью до 0,1 г и записывают как B.
9.2 Метод с использованием колбы Ле Шателье
9.2.1 Наполняют колбу Ле Шателье водой, имеющей температуру (23,0 +/- 1,7) °C, до отметки в диапазоне от 0 до 1 мл. Фиксируют замер как R1.
9.2.2 Засыпают в колбу (55 +/- 5) г минерального заполнителя, находящегося в водонасыщенном, поверхностно-сухом состоянии (регистрируют массу засыпанного минерального заполнителя с точностью до 0,1 г и записывают как S1).
9.2.3 Одновременно с этим навешивают минеральный заполнитель в водонасыщенном, поверхностно-сухом состоянии массой (500 +/- 10) г с точностью до 0,1 г и записывают как S.
Этот минеральный заполнитель высушивают в сушильном шкафу при температуре (110 +/- 5) °C до постоянной массы, охлаждают при температуре (22 +/- 3) °C в течение (1,0 +/- 0,5) ч, взвешивают с точностью до 0,1 г и записывают его массу как A.
9.2.4 Вращают колбу в наклонном или вертикальном положении до момента, пока на поверхности не прекратится образование пузырьков воздуха.
9.2.5 Для того чтобы убрать пену, возникающую при удалении пузырьков, рекомендуется сразу после удаления пузырьков добавить в колбу 1 мл этилового спирта. В этом случае объем добавленного спирта не учитывают.
9.2.6 Фиксируют окончательный замер R2. Температура воды между начальным и окончательным замерами не должна отличаться более чем на 1 °C.
10. Обработка результатов испытаний
10.1 Объемную плотность Sd, г/см3, определяемую пикнометрическим методом, вычисляют по формуле

(1)
где A - масса пробы минерального заполнителя, высушенного до постоянной массы, г;
B - масса колбы с водой, г;
S - масса пробы минерального заполнителя в водонасыщенном, поверхностно-сухом состоянии, которой заполняли колбы, г;
C - масса колбы с минеральным заполнителем и водой, наполненной до отметки, г;

- плотность воды при температуре 23 °C, равная 0,997 г/см
3.
За результат испытания принимают среднеарифметическое значение двух параллельных определений с точностью до третьего знака после запятой. Разница результатов между ними не должна превышать 0,032 г/см3.
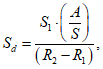
10.2 Объемную плотность Sd, г/см3, определяемую методом с использованием колбы Ле Шателье, вычисляют по формуле

(2)
где S1 - масса пробы минерального заполнителя в водонасыщенном, поверхностно-сухом состоянии для засыпки в колбу Ле Шателье, г;
A - масса пробы минерального заполнителя, высушенного до постоянной массы, г;
S - масса пробы минерального заполнителя в водонасыщенном, поверхностно-сухом состоянии до высушивания, г;
R2 - окончательный замер уровня воды в колбе Ле Шателье, мл;
R1 - начальный замер уровня воды в колбе Ле Шателье, мл.
За результат испытания принимают среднеарифметическое значение двух параллельных определений с точностью до третьего знака после запятой. Разница результатов между ними не должна превышать 0,032 г/см3.
10.3 Объемную плотность в водонасыщенном, поверхностно-сухом состоянии Ss, г/см3, определяемую пикнометрическим методом, вычисляют по формуле

(3)
За результат испытания принимают среднеарифметическое значение двух параллельных определений. Разница результатов между ними не должна превышать 0,027 г/см3.
10.4 Объемную плотность в водонасыщенном поверхностно-сухом состоянии Ss, г/см3, определяемую методом с использованием колбы Ле Шателье, вычисляют по формуле

(4)
где S1 - масса пробы минерального заполнителя в водонасыщенном, поверхностно-сухом состоянии для засыпки в колбу Ле Шателье, г;
R2 - окончательный замер уровня воды в колбе Ле Шателье, мл;
R1 - начальный замер уровня воды в колбе Ле Шателье, мл.
За результат испытания принимают среднеарифметическое значение двух параллельных определений с точностью до третьего знака после запятой. Разница результатов между ними не должна превышать 0,027 г/см3.
10.5 Максимальную плотность Sa, г/см3, вычисляют по формуле

(5)
За результат испытания принимают среднеарифметическое значение двух параллельных определений. Разница результатов между ними не должна превышать 0,027 г/см3.
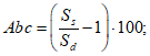
10.6 Процент абсорбции Абс, %, вычисляют по формуле

(6)
За результат испытания принимают среднеарифметическое значение двух параллельных определений с точностью до второго знака после запятой. Разница результатов между ними не должна превышать 0,31%.
11. Оформление результата испытания
Результат испытания оформляют в виде протокола, который должен содержать:
- обозначение настоящего стандарта;
- дату проведения испытания;
- название организации, проводившей испытание;
- значение объемной плотности с точностью до 0,001 г/см3;
- значение абсорбции с точностью до 0,1%.
12. Контроль точности результата испытания
Точность результата испытания обеспечивают:
- соблюдением требований настоящего стандарта;
- проведением периодической оценки метрологических характеристик средств измерений;
- проведением периодической аттестации оборудования.
Лицо, проводящее измерения, должно быть ознакомлено с требованиями настоящего стандарта.
(справочное)
ДОПОЛНИТЕЛЬНЫЕ КРИТЕРИИ ДЛЯ ОПРЕДЕЛЕНИЯ ВОДОНАСЫЩЕННОГО,
ПОВЕРХНОСТНО-СУХОГО СОСТОЯНИЯ
А.1 Альтернативное определение осадкой конуса
Засыпают пробу минерального заполнителя в металлическую форму в соответствии с
8.8, но совершают лишь 10 опусканий пестика, добавляют минеральный заполнитель и совершают еще 10 опусканий пестика, добавляют минеральный заполнитель и совершают еще три опускания пестика, добавляют минеральный заполнитель и совершают еще два опускания пестика. Срезают излишек пробы металлической линейкой или ножом над конусообразной формой. Осторожно вертикально поднимают форму.
Если минеральный заполнитель еще не достиг водонасыщенного, поверхностно-сухого состояния, то конусовидная форма пробы сохранится. Если конусовидная форма пробы начнет осыпаться, это значит, что проба достигла водонасыщенного, поверхностно-сухого состояния.
А.2 Метод определения водонасыщенного, поверхностно-сухого состояния фракционированного мелкозернистого минерального заполнителя
Для достижения водонасыщенного, поверхностно-сухого состояния фракционированного минерального заполнителя, который находится во влажном состоянии, его обтирают бумажными полотенцами до тех пор, пока полотенца не перестанут впитывать влагу с поверхности пробы.
(справочное)
РАЗЛИЧИЕ В ЗНАЧЕНИЯХ ПЛОТНОСТЕЙ И ЗНАЧЕНИЯХ АБСОРБЦИИ
ЗА СЧЕТ ПРИСУТСТВИЯ В МИНЕРАЛЬНОМ ЗАПОЛНИТЕЛЕ ЧАСТИЦ
РАЗМЕРОМ МЕНЕЕ 0,075 мм
Б.1 Статистически установлено, что имеется существенное различие в значениях плотностей и абсорбции при проведении испытаний с минеральными заполнителями, которые имеют частицы менее 0,075 мм, и минеральными заполнителями, в которых отсутствуют частицы менее 0,075 мм. Испытуемые пробы, из которых частицы менее 0,075 мм не удалены, обычно имеют больший процент абсорбции и более низкую объемную плотность по сравнению с пробами такого же материала, в котором удалены частицы размером менее 0,075 мм. Если в пробе количество частиц размером менее 0,075 мм составляет менее 4%, то разница в значениях плотности промытого и непромытого материала менее 0,03 г/см3. Если в пробе количество частиц размером менее 0,075 мм составляет более 8%, то разница в значениях плотности промытого и непромытого материала может достигать 0,13 г/см3.
Б.2 Плотность удаленного из пробы минерального заполнителя размером менее 0,075 мм следует рассматривать как равную плотности оставшейся пробы.
(справочное)
ВЗАИМОСВЯЗЬ МЕЖДУ ПЛОТНОСТЯМИ И АБСОРБЦИЕЙ
В.1 Обозначение:
- Sd - объемная плотность;
- Ss - объемная плотность в водонасыщенном, поверхностно-сухом состоянии;
- Sa - максимальная плотность;
| | ИС МЕГАНОРМ: примечание. Текст дан в соответствии с официальным текстом документа. | |
- Abc - процент абсорбции.
В.2 Взаимосвязь между плотностями и абсорбцией представлена в следующих формулах:

(В.1)

(В.2)

(В.3)

(В.4)

(В.5)