Главная // Актуальные документы // ГОСТ Р (Государственный стандарт)СПРАВКА
Источник публикации
М.: Стандартинформ, 2019
Примечание к документу
Текст данного документа приведен с учетом
поправки, опубликованной в "ИУС", N 6, 2021.
Документ
введен в действие с 01.06.2019.
Название документа
"ГОСТ Р 58402.1-2019. Национальный стандарт Российской Федерации. Дороги автомобильные общего пользования. Материалы минеральные для приготовления асфальтобетонных смесей. Система объемно-функционального проектирования. Методы определения плотности и абсорбции песка"
(утв. и введен в действие Приказом Росстандарта от 31.05.2019 N 259-ст)
"ГОСТ Р 58402.1-2019. Национальный стандарт Российской Федерации. Дороги автомобильные общего пользования. Материалы минеральные для приготовления асфальтобетонных смесей. Система объемно-функционального проектирования. Методы определения плотности и абсорбции песка"
(утв. и введен в действие Приказом Росстандарта от 31.05.2019 N 259-ст)
Утвержден и введен в действие
агентства по техническому
регулированию и метрологии
от 31 мая 2019 г. N 259-ст
НАЦИОНАЛЬНЫЙ СТАНДАРТ РОССИЙСКОЙ ФЕДЕРАЦИИ
ДОРОГИ АВТОМОБИЛЬНЫЕ ОБЩЕГО ПОЛЬЗОВАНИЯ
МАТЕРИАЛЫ МИНЕРАЛЬНЫЕ
ДЛЯ ПРИГОТОВЛЕНИЯ АСФАЛЬТОБЕТОННЫХ СМЕСЕЙ.
СИСТЕМА ОБЪЕМНО-ФУНКЦИОНАЛЬНОГО ПРОЕКТИРОВАНИЯ
МЕТОДЫ ОПРЕДЕЛЕНИЯ ПЛОТНОСТИ И АБСОРБЦИИ ПЕСКА
Automobile roads of general use.
Mineral materials for preparing asphalt mixtures.
Volumetric-functional design system.
Methods for determination of density
and absorption of fine aggregate
ГОСТ Р 58402.1-2019
Дата введения
1 июня 2019 года
1 РАЗРАБОТАН Автономной некоммерческой организацией "Научно-исследовательский институт транспортно-строительного комплекса" (АНО "НИИ ТСК")
2 ВНЕСЕН Техническим комитетом по стандартизации ТК 418 "Дорожное хозяйство"
3 УТВЕРЖДЕН И ВВЕДЕН В ДЕЙСТВИЕ
Приказом Федерального агентства по техническому регулированию и метрологии от 31 мая 2019 г. N 259-ст
4 ВВЕДЕН ВПЕРВЫЕ
Правила применения настоящего стандарта установлены в статье 26 Федерального закона от 29 июня 2015 г. N 162-ФЗ "О стандартизации в Российской Федерации". Информация об изменениях к настоящему стандарту публикуется в ежегодном (по состоянию на 1 января текущего года) информационном указателе "Национальные стандарты", а официальный текст изменений и поправок - в ежемесячном информационном указателе "Национальные стандарты". В случае пересмотра (замены) или отмены настоящего стандарта соответствующее уведомление будет опубликовано в ближайшем выпуске ежемесячного информационного указателя "Национальные стандарты". Соответствующая информация, уведомление и тексты размещаются также в информационной системе общего пользования - на официальном сайте Федерального агентства по техническому регулированию и метрологии (www.gost.ru)
Настоящий стандарт распространяется на природный и дробленый песок, применяемый для приготовления асфальтобетонных смесей, запроектированных по системе объемно-функционального проектирования.
Настоящий стандарт устанавливает методы определения объемной плотности, максимальной плотности и абсорбции песка.
В настоящем стандарте использованы нормативные ссылки на следующие стандарты:
ГОСТ 12.1.019 Система стандартов безопасности труда. Электробезопасность. Общие требования и номенклатура видов защиты
ГОСТ 12.4.252 Система стандартов безопасности труда. Средства индивидуальной защиты рук. Перчатки. Общие технические требования. Методы испытаний
ГОСТ 1770 (ИСО 1042-83, ИСО 4788-80) Посуда мерная лабораторная стеклянная. Цилиндры, мензурки, колбы, пробирки. Технические условия
ГОСТ 32722 Дороги автомобильные общего пользования. Песок природный и дробленый. Определение истинной плотности
ГОСТ 33029 Дороги автомобильные общего пользования. Щебень и гравий из горных пород. Определение гранулометрического состава
ГОСТ Р 58401.5-2019 Дороги автомобильные общего пользования. Смеси асфальтобетонные дорожные и асфальтобетон. Система объемно-функционального проектирования. Правила приемки
ГОСТ Р 58402.6 Дороги автомобильные общего пользования. Материалы минеральные для приготовления асфальтобетонных смесей. Система объемно-функционального проектирования. Метод определения плотности и абсорбции щебня
ГОСТ Р 58407.1 Дороги автомобильные общего пользования. Материалы минеральные. Методы отбора проб песка
Примечание - При пользовании настоящим стандартом целесообразно проверить действие ссылочных стандартов в информационной системе общего пользования - на официальном сайте Федерального агентства по техническому регулированию и метрологии в сети Интернет или по ежегодному информационному указателю "Национальные стандарты", который опубликован по состоянию на 1 января текущего года, и по выпускам ежемесячного информационного указателя "Национальные стандарты" за текущий год. Если заменен ссылочный стандарт, на который дана недатированная ссылка, то рекомендуется использовать действующую версию этого стандарта с учетом всех внесенных в данную версию изменений. Если заменен ссылочный стандарт, на который дана датированная ссылка, то рекомендуется использовать версию этого стандарта с указанным выше годом утверждения (принятия). Если после утверждения национального стандарта в ссылочный стандарт, на который дана датированная ссылка, внесено изменение, затрагивающее положение, на которое дана ссылка, то это положение рекомендуется применять без учета данного изменения. Если ссылочный стандарт отменен без замены, то положение, в котором дана ссылка на него, рекомендуется применять в части, не затрагивающей эту ссылку.
В настоящем стандарте применены следующие термины с соответствующими определениями:
3.1 песок: Неорганический сыпучий материал с крупностью зерен до 4,0 мм.
3.2
лабораторная проба: Проба материала, полученная методом сокращения из объединенной пробы и предназначенная для всех лабораторных испытаний. |
3.3 единичная проба: Проба материала, полученная методом сужения из лабораторной пробы и предназначенная для сокращения до требуемого количества мерных проб для проведения испытания.
3.4 мерная проба: Количество материала, используемое для получения одного результата в одном испытании.
3.5 постоянная масса: Масса материала, высушиваемого в сушильном шкафу, различающаяся не более чем на 0,1% по результатам двух последних последовательно проводимых взвешиваний через промежутки времени, составляющие не менее 1 ч.
3.6 объемная плотность песка: Масса единицы объема песка с учетом пор песка, но без учета воздушных пустот между зернами песка.
3.7 максимальная плотность песка: Масса единицы объема песка без учета пор и воздушных пустот.
3.8 объемная плотность песка в водонасыщенном, поверхностно-сухом состоянии: Масса единицы объема песка с учетом пор, насыщенных водой, но без учета воздушных пустот между зернами песка.
3.9 абсорбция: Поглощение одного тела (вещества, газа) другим телом (веществом).
4 Требования к средствам измерений, вспомогательным устройствам, материалам и реактивам
При выполнении испытаний применяют следующие средства измерений, вспомогательные устройства, материалы и реактивы.
4.1 Весы, обеспечивающие измерение массы пробы с относительной погрешностью 0,1% от определяемой величины.
4.2 Колба емкостью не менее 500 см
3 по
ГОСТ 1770 или колба Ле Шателье для определения истинной плотности по
ГОСТ 32722.
4.3 Шкаф сушильный для высушивания материала, обеспечивающий поддержание температуры в интервале (110 +/- 5) °C.
4.4 Форма металлическая в виде усеченного конуса, приведенная на рисунке 1, с внутренним диаметром у вершины, равным (40 +/- 3) мм, у основания, равным (90 +/- 3) мм, высотой (75 +/- 3) мм, толщиной стенок не менее 0,8 мм.
Рисунок 1 - Металлическая форма
4.5 Пестик металлический массой (340 +/- 15) г с плоской ударной поверхностью диаметром (25 +/- 3) мм, для уплотнения материала.
4.6 Термометр с диапазоном измерения от 20 °C до 30 °C с ценой деления не более 1 °C и с пределом допускаемой погрешностью не более 1 °C.
4.7 Сито с квадратными ячейками размером 4,0 мм (см.
[1] или
[2]).
4.8 Фен электрический для создания теплого потока воздуха или иное подобное оборудование, способное создавать умеренный поток теплого воздуха.
4.9 Совок металлический или шпатель для перемешивания материала.
4.10 Спирт этиловый ректификованный (при применении колбы Ле Шателье).
4.11 Противни металлические лабораторные.
4.12 Допускается применять иные средства измерения, вспомогательные устройства и материалы с аналогичными или лучшими метрологическими и техническими характеристиками.
Сущность методов заключается в насыщении пробы песка водой и определение его массы в водонасыщенном поверхностно-сухом состоянии на воздухе и в воде.
6 Требования безопасности и охраны окружающей среды
6.2 При проведении испытаний соблюдают правила по электробезопасности по
ГОСТ 12.1.019 и инструкции по эксплуатации оборудования.
7 Требования к условиям испытаний
При выполнении испытаний соблюдают следующие условия для помещений, в которых испытывают образцы:
- температура (21 +/- 4) °C;
- относительная влажность не более 80%.
8 Подготовка к проведению испытаний
8.1 При подготовке к проведению испытаний проводят следующие работы:
- подготовка проб;
- подготовка к испытаниям.
8.2 Подготовка проб
8.2.2 Для подготовки к испытанию единичную пробу песка высушивают до постоянной массы при температуре (110 +/- 5) °C и просеивают в соответствии с
ГОСТ 33029 через сито с размером ячеек 4,0 мм. Для проведения испытания применяют материал, прошедший сквозь сито с размером ячеек 4,0 мм.
В том случае, если содержание в песке зерен крупнее 4,0 мм составляет более 15%, то их испытывают в соответствии с
ГОСТ Р 58402.6.
Примечание - Содержание в составе песка частиц менее 0,063 мм в количестве более 8%, может привести к искажению результатов, в связи с этим рекомендуется предварительно удалить из пробы песка частицы менее 0,063 мм, чтобы их количество было не более 8%.
8.2.3 Из пробы песка, прошедшего сквозь сито с размером ячеек 4,0 мм, готовят мерную пробу песка методом квартования в соответствии с
ГОСТ Р 58407.1 массой (1000 +/- 50) г. Для проведения двух параллельных испытаний готовят две мерные пробы песка.
8.3 Подготовка к испытаниям
8.3.1 В мерную пробу песка добавляют воду в количестве не менее 6% массы пробы, перемешивают, помещают ее в контейнер и выдерживают в таком состоянии в течение (17 +/- 2) ч, не допуская потери влаги.
8.3.2 После этого помещают мерную пробу песка равномерным слоем на металлические лабораторные противни.
Примечание - В случае наличия избытка воды, перед выполнением требований 8.3.2 допускается ее слить, избегая потери пылевидного материала.
8.3.3 Создают над мерной пробой песка циркулирующий поток теплого воздуха и перемешивают материал металлическим совком (шпателем).
Примечание - Допускается применять механический смеситель для перемешивания и фен для создания потока воздуха.
Продолжают операцию просушивания до тех пор, пока мерная проба песка не приблизится к водонасыщенному поверхностно-сухому состоянию. Для определения водонасыщенного поверхностно-сухого состояния песка выполняют испытание осадкой конуса по 8.3.4.
8.3.4 Для проведения определения осадки конуса устанавливают металлическую форму на ровную водонепоглощающую поверхность большим диаметром вниз. Засыпают песок в форму порциями до тех пор, пока над верхним диаметром формы не образуется его излишек. Берут пестик и уплотняют им песок, находящийся в форме. Уплотнение проводят вертикальным опусканием пестика с высоты от 5 до 10 мм 25 раз под тяжестью веса пестика. Уплотнение пестиком проводят равномерно по всей площади, корректируя высоту после каждого опускания. Убирают рассыпанный песок и поднимают металлическую форму вертикально. Если песок еще не достиг водонасыщенного поверхностно-сухого состояния, то конусовидная форма уплотненного песка сохранится. Если конусовидная форма уплотненного песка начнет осыпаться, это значит, что песок достиг водонасыщенного поверхностно-сухого состояния.
Примечание - В том случае, если во время первого определения осадки конуса конусовидная форма уплотненного песка осыпается, то в мерную пробу песка добавляют (30 +/- 5) мл воды и тщательно перемешивают. Дают отстояться мерной пробе песка в закрытом контейнере (30 +/- 5) мин. Затем возобновляют просушивание и тесты для определения водонасыщенного поверхностно-сухого состояния.
9 Порядок проведения испытаний
9.1 Пикнометрический метод (основной)
9.1.1 Наполняют колбу водой, температура которой должна находиться в пределах (23 +/- 2) °C, ориентировочно на 30% ее емкости.
9.1.2 Из мерной пробы песка, находящегося в водонасыщенном поверхностно-сухом состоянии, берут (500 +/- 10) г песка и засыпают в колбу, (регистрируют массу засыпанного песка с точностью до 0,1 г и записывают как S), добавляют воду, температура которой должна находиться в пределах (23 +/- 2) °C, до объема, равного примерно 90% ее емкости.
9.1.3 Встряхивают или вращают колбу в наклонном или вертикальном положении для удаления воздуха, образовавшегося в колбе, таким образом, чтобы исключить потерю зерен песка. Встряхивание или вращения выполняют руками в течение (17 +/- 3) мин. Допускается удалять воздух механическим встряхиванием, избегая разрушения зерен песка.
Для удаления пены, образовавшейся в процессе встряхивания, используют бумажное полотенце, погружая его кончик в колбу.
9.1.4 Аккуратно доливают в колбу воду, температура которой должна находиться в пределах (23 +/- 2) °C, до мерной риски.
9.1.5 Определяют массу колбы с песком и водой с точностью до 0,1 г и записывают ее как C.
9.1.6 Извлекают песок из колбы и высушивают в сушильном шкафу при температуре (110 +/- 5) °C до получения постоянной массы.
Примечание - Для определения массы сухого песка, вместо высушивания и определения массы песка, извлеченного из колбы, допускается использовать часть оставшейся мерной пробы песка, находящегося в водонасыщенном поверхностно-сухом состоянии. Масса песка в этом случае не должна отличаться от массы песка, засыпаемой в пикнометр, более чем на 0,2 г, а формирование обеих порций необходимо проводить одновременно.
9.1.7 Достают песок из сушильного шкафа и охлаждают его при температуре (21 +/- 4) °C в течение (1,0 +/- 0,5) ч. Определяют массу песка с точностью до 0,1 г и записывают как A.
9.1.8 Определяют массу колбы, наполненной водой до мерной риски, температура которой (23 +/- 2) °C, с точностью до 0,1 г и записывают как B.
9.1.9 Проводят испытание второй мерной пробы песка, начиная с
9.1.1.
9.2 Метод с использованием колбы Ле Шателье (альтернативный)
9.2.1 Наполняют колбу Ле Шателье водой, имеющей температуру (23 +/- 2) °C, до отметки в диапазоне от 0 до 1 мл. Фиксируют замер уровня воды в колбе Ле Шателье как
R1.
9.2.2 Засыпают в колбу (55 +/- 5) г песка, находящегося в водонасыщенном поверхностно-сухом состоянии (регистрируют массу засыпанного песка с точностью до 0,1 г и записывают как S1).
9.2.3 Сразу после этого навешивают песок в водонасыщенном поверхностно-сухом состоянии массой (500 +/- 10) г с точностью до 0,1 г и записывают как S.
Этот песок высушивают в сушильном шкафу при температуре (110 +/- 5) °C до постоянной массы, охлаждают при температуре (21 +/- 4) °C в течение (1,0 +/- 0,5) ч, взвешивают с точностью до 0,1 г и записывают его массу как A.
9.2.4 Вращают колбу в наклонном или вертикальном положении до момента, пока на поверхности не прекратится образование пузырьков воздуха.
9.2.5 Для того чтобы убрать пену, возникающую при удалении пузырьков, рекомендуется сразу после удаления пузырьков добавить в колбу 1 мл этилового спирта. В этом случае объем добавленного спирта не учитывают.
9.2.6 Фиксируют окончательный замер уровня воды в колбе Ле Шателье как R2. Температура воды между начальным и окончательным замерами не должна отличаться более чем на 1 °C.
9.2.7 Проводят испытание второй мерной пробы песка, начиная с
9.2.1.
10 Обработка результатов испытаний
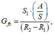
10.1 Объемную плотность Gfb, г/см3, определяемую пикнометрическим методом, вычисляют по формуле

(1)
где A - масса пробы песка, высушенного до постоянной массы, г;
B - масса колбы с водой, г;
S - масса пробы песка в водонасыщенном поверхностно-сухом состоянии, которой заполняли колбы, г;
C - масса колбы с песком и водой, наполненной до мерной риски, г;

- плотность воды при температуре 23 °C, равная 0,997 г/см
3.
За результат испытания принимают среднеарифметическое значение двух параллельных определений. Результат испытания указывают с точностью до третьего знака после запятой. Разница результатов между ними не должна превышать 0,032 г/см3.
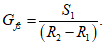
10.2 Объемную плотность Gfb, г/см3, определяемую методом с использованием колбы Ле Шателье, вычисляют по формуле

(2)
где S1 - масса пробы песка в водонасыщенном поверхностно-сухом состоянии для засыпки в колбу Ле Шателье, г;
A - масса пробы песка, высушенного до постоянной массы, г;
S - масса пробы песка в водонасыщенном поверхностно-сухом состоянии до высушивания, г;
R2 - окончательный замер уровня воды в колбе Ле Шателье, мл;
R1 - начальный замер уровня воды в колбе Ле Шателье, мл.
За результат испытания принимают среднеарифметическое значение двух параллельных определений. Результат испытания указывают с точностью до третьего знака после запятой. Разница результатов между ними не должна превышать 0,032 г/см3.
10.3 Объемную плотность в водонасыщенном поверхностно-сухом состоянии Gfs, г/см3, определяемую пикнометрическим методом, вычисляют по формуле

(3)
За результат испытания принимают среднеарифметическое значение двух параллельных определений. Результат испытания указывают с точностью до третьего знака после запятой. Разница результатов между ними не должна превышать 0,027 г/см3.
10.4 Объемную плотность в водонасыщенном поверхностно-сухом состоянии Gfs, г/см3, определяемую методом с использованием колбы Ле Шателье, вычисляют по формуле

(4)
За результат испытания принимают среднеарифметическое значение двух параллельных определений. Результат испытания указывают с точностью до третьего знака после запятой. Разница результатов между ними не должна превышать 0,027 г/см3.
10.5 Максимальную плотность песка Gfa, г/см3, определяемую пикнометрическим методом, вычисляют по формуле

(5)
За результат испытания принимают среднеарифметическое значение двух параллельных определений. Результат испытания указывают с точностью до третьего знака после запятой. Разница результатов между ними не должна превышать 0,027 г/см3.
10.6 Абсорбцию Wf, %, вычисляют по формуле

(6)
За результат испытания принимают среднеарифметическое значение двух параллельных определений. Результат испытания указывают с точностью до второго знака после запятой. Разница результатов между ними не должна превышать 0,31%.
11 Оформление результатов испытаний
Результаты оформляют соответствующим образом с указанием следующей информации:
- обозначение настоящего стандарта;
- дата проведения испытания;
- наименование организации, проводившей испытание;
- значение максимальной и объемной плотности с точностью до 0,001 г/см3;
- значение абсорбции с точностью до 0,1%.
12 Контроль точности результатов испытаний
Точность результатов испытаний обеспечивается:
- соблюдением требований настоящего стандарта;
- проведением периодической оценки метрологических характеристик средств измерений. Весы, применяемые при испытаниях по настоящему стандарту, должны иметь действующие знак поверки и/или свидетельство о поверке;
- проведением периодической аттестации оборудования.
Лицо, проводящее испытания, должно быть ознакомлено с требованиями настоящего стандарта.
| ИСО 3310-1:2016 | Сита лабораторные. Технические требования и испытания. Часть 1. Лабораторные сита из проволочной ткани (Test sieves - Technical requirements and testing - Part 1: Test sieves of metal wire cloth) |
| ИСО 3310-2:2013 | Сита лабораторные. Технические требования и испытания. Часть 2. Лабораторные сита с перфорированной металлической пластиной (Test sieves - Technical requirements and testing - Part 2: Test sieves of perforated metal plat) |