Главная // Актуальные документы // МетодикаСПРАВКА
Источник публикации
В данном виде документ опубликован не был.
Первоначальный текст документа опубликован в издании
М., 2017.
Информацию о публикации документов, создающих данную редакцию, см. в справке к этим документам.
Примечание к документу
Документ включен в
Перечень документов в области стандартизации, в результате применения которых на добровольной основе обеспечивается соблюдение требований Федерального
закона от 30.12.2009 N 384-ФЗ "Технический регламент о безопасности зданий и сооружений" (
Приказ Росстандарта от 02.04.2020 N 687).
Документ включен в
Перечень документов в области стандартизации, в результате применения которых на добровольной основе обеспечивается соблюдение требований Федерального
закона от 30.12.2009 N 384-ФЗ "Технический регламент о безопасности зданий и сооружений" (
Приказ Росстандарта от 17.04.2019 N 831).
Название документа
"СП 345.1325800.2017. Свод правил. Здания жилые и общественные. Правила проектирования тепловой защиты"
(утв. и введен в действие Приказом Минстроя России от 14.11.2017 N 1539/пр)
(ред. от 23.12.2022)
"СП 345.1325800.2017. Свод правил. Здания жилые и общественные. Правила проектирования тепловой защиты"
(утв. и введен в действие Приказом Минстроя России от 14.11.2017 N 1539/пр)
(ред. от 23.12.2022)
Утвержден и введен в действие
и жилищно-коммунального хозяйства
Российской Федерации
от 14 ноября 2017 г. N 1539/пр
СВОД ПРАВИЛ
ЗДАНИЯ ЖИЛЫЕ И ОБЩЕСТВЕННЫЕ
ПРАВИЛА ПРОЕКТИРОВАНИЯ ТЕПЛОВОЙ ЗАЩИТЫ
Residential and public buildings. Thermal performance design
СП 345.1325800.2017
| | Список изменяющих документов Минстроя России от 31.10.2019 N 664/пр, Минстроя России от 23.12.2022 N 1117/пр) | |
Дата введения
15 мая 2018 года
1 ИСПОЛНИТЕЛЬ - Федеральное государственное бюджетное учреждение "Научно-исследовательский институт строительной физики Российской академии архитектуры и строительных наук" (НИИСФ РААСН)
2 ВНЕСЕН Техническим комитетом по стандартизации ТК 465 "Строительство"
3 ПОДГОТОВЛЕН к утверждению Департаментом градостроительной деятельности и архитектуры Министерства строительства и жилищно-коммунального хозяйства Российской Федерации (Минстрой России)
4 УТВЕРЖДЕН
Приказом Министерства строительства и жилищно-коммунального хозяйства Российской Федерации от 14 ноября 2017 г. N 1539/пр и введен в действие с 15 мая 2018 г.
5 ЗАРЕГИСТРИРОВАН Федеральным агентством по техническому регулированию и метрологии (Росстандарт)
В случае пересмотра (замены) или отмены настоящего свода правил соответствующее уведомление будет опубликовано в установленном порядке. Соответствующая информация, уведомление и тексты размещаются также в информационной системе общего пользования - на официальном сайте разработчика (Минстрой России) в сети Интернет
Настоящий свод правил разработан в соответствии с требованиями Федерального
закона от 30 декабря 2009 г. N 384-ФЗ "Технический регламент о безопасности зданий и сооружений" и в развитие
СП 50.13330.2012.
Настоящий свод правил разработан авторским коллективом Федерального государственного бюджетного учреждения "Научно-исследовательский институт строительной физики Российской академии архитектуры и строительных наук" (д-р техн. наук В.Г. Гагарин, канд. техн. наук В.В. Козлов, канд. техн. наук Е.В. Коркина, канд. техн. наук П.П. Пастушков, канд. техн. наук Н.П. Умнякова, канд. техн. наук И.А. Шмаров, инж. А.Ю. Неклюдов, инж. К.С. Андрейцева) при участии АО ЦНИИЭПжилища (канд. техн. наук В.С. Беляев), НИУ МГСУ (канд. техн. наук К.И. Лушин).
Изменение N 1 к СП 345.1325800.2017 подготовлено авторским коллективом НИИСФ РААСН (д-р техн. наук В.Г. Гагарин, канд. техн. наук В.В. Козлов, канд. техн. наук П.П. Пастушков, канд. техн. наук Д.Ю. Желдаков, канд. техн. наук Е.В. Коркина) при участии НИИ механики МГУ (канд. физ.-мат. наук С.В. Гувернюк).
(абзац введен
Изменением N 1, утв. Приказом Минстроя России от 31.10.2019 N 664/пр)
Изменение N 2 к СП 345.1325800.2017 выполнено авторским коллективом НИИСФ РААСН (д-р техн. наук В.Г. Гагарин, канд. техн. наук В.В. Козлов, канд. техн. наук П.П. Пастушков, канд. техн. наук Е.В. Коркина).
(абзац введен
Изменением N 2, утв. Приказом Минстроя России от 23.12.2022 N 1117/пр)
Настоящий свод правил распространяется на проектируемые, реконструируемые жилые и общественные здания и устанавливает правила проектирования тепловой защиты.
В настоящем своде правил использованы нормативные ссылки на следующие документы:
ГОСТ 7076-99 Материалы и изделия строительные. Метод определения теплопроводности и термического сопротивления при стационарном тепловом режиме
ГОСТ 24816-2014 Материалы строительные. Метод определения сорбционной влажности
ГОСТ 24866-2014. Межгосударственный стандарт. Стеклопакеты клееные. Технические условия
ГОСТ 25609-2015 Материалы полимерные рулонные и плиточные для полов. Метод определения показателя теплоусвоения
ГОСТ 25898-2020 Материалы и изделия строительные. Методы определения паропроницаемости и сопротивления паропроницанию
(в ред.
Изменения N 2, утв. Приказом Минстроя России от 23.12.2022 N 1117/пр)
ГОСТ 26602.4-2012 Блоки оконные и дверные. Метод определения общего коэффициента пропускания света
ГОСТ 30494-2011 Здания жилые и общественные. Параметры микроклимата в помещениях
ГОСТ 31167-2009 Здания и сооружения. Методы определения воздухопроницаемости ограждающих конструкций в натурных условиях
ГОСТ Р 56504-2015 Материалы строительные. Методы определения коэффициентов влагопроводности
ГОСТ Р 56505-2015 Материалы строительные. Методы определения показателей капиллярного всасывания воды
ГОСТ Р 56728-2015 Здания и сооружения. Методика определения ветровых нагрузок на ограждающие конструкции
(ссылка введена
Изменением N 1, утв. Приказом Минстроя России от 31.10.2019 N 664/пр)
ГОСТ Р 56733-2015 Здания и сооружения. Метод определения удельных потерь теплоты через неоднородности ограждающей конструкции
ГОСТ Р 56734-2015 Здания и сооружения. Расчет показателя теплозащиты ограждающих конструкций с отражательной теплоизоляцией
ГОСТ Р 57418-2017 Материалы и изделия минераловатные теплоизоляционные. Метод определения срока эффективной эксплуатации
(ссылка введена
Изменением N 1, утв. Приказом Минстроя России от 31.10.2019 N 664/пр)
ГОСТ Р 58950-2020 Конструкции ограждающие зданий. Метод определения срока эффективной эксплуатации полимерной теплоизоляции
(ссылка введена
Изменением N 2, утв. Приказом Минстроя России от 23.12.2022 N 1117/пр)
ГОСТ Р 59985-2022 Конструкции ограждающие зданий. Методы определения теплотехнических показателей теплоизоляционных материалов и изделий при эксплуатационных условиях
(ссылка введена
Изменением N 2, утв. Приказом Минстроя России от 23.12.2022 N 1117/пр)
СП 20.13330.2016 "СНиП 2.01.07-85* Нагрузки и воздействия" (с изменениями N 1, N 2, N 3, N 4)
(в ред.
Изменения N 2, утв. Приказом Минстроя России от 23.12.2022 N 1117/пр)
СП 50.13330.2012 "СНиП 23-02-2003 Тепловая защита зданий" (с изменениями N 1, N 2)
(в ред.
Изменения N 2, утв. Приказом Минстроя России от 23.12.2022 N 1117/пр)
(в ред.
Изменения N 2, утв. Приказом Минстроя России от 23.12.2022 N 1117/пр)
СП 60.13330.2020 "СНиП 41-01-2003 Отопление, вентиляция и кондиционирование воздуха" (с изменением N 1)
(в ред.
Изменения N 2, утв. Приказом Минстроя России от 23.12.2022 N 1117/пр)
СП 118.13330.2022 "СНиП 31-06-2009 Общественные здания и сооружения" (с изменением N 1)
(в ред.
Изменения N 2, утв. Приказом Минстроя России от 23.12.2022 N 1117/пр)
(в ред.
Изменения N 2, утв. Приказом Минстроя России от 23.12.2022 N 1117/пр)
СП 230.1325800.2015 Конструкции ограждающие зданий. Характеристики теплотехнических неоднородностей (с изменением N 1)
(в ред.
Изменения N 1, утв. Приказом Минстроя России от 31.10.2019 N 664/пр)
(ссылка введена
Изменением N 2, утв. Приказом Минстроя России от 23.12.2022 N 1117/пр)
Примечание - При пользовании настоящим сводом правил целесообразно проверить действие ссылочных документов в информационной системе общего пользования - на официальном сайте федерального органа в области стандартизации в сети Интернет или по ежегодному информационному указателю "Национальные стандарты", который опубликован по состоянию на 1 января текущего года, и по выпускам ежемесячного информационного указателя "Национальные стандарты" за текущий год. Если заменен ссылочный документ, на который дана недатированная ссылка, то рекомендуется использовать действующую версию этого документа с учетом всех внесенных в данную версию изменений. Если заменен ссылочный документ, на который дана датированная ссылка, то рекомендуется использовать версию этого документа с указанным выше годом утверждения (принятия). Если после утверждения настоящего стандарта в ссылочный документ, на который дана датированная ссылка, внесено изменение, затрагивающее положение, на которое дана ссылка, то это положение рекомендуется применять без учета данного изменения. Если ссылочный документ отменен без замены, то положение, в котором дана ссылка на него, рекомендуется применять в части, не затрагивающей эту ссылку. Сведения о действии сводов правил целесообразно проверить в Федеральном информационном фонде стандартов.
(раздел 3 в ред.
Изменения N 1, утв. Приказом Минстроя России от 31.10.2019 N 664/пр)
В настоящем своде правил применены термины по
СП 50.13330, а также следующие термины с соответствующими определениями:
3.1 гармонично утепленная оболочка здания: Оболочка здания, состоящая из гармонично утепленных ограждающих конструкций одного класса. Этот же класс теплозащитной эффективности является характеристикой всей оболочки здания.
3.2 гармонично утепленная ограждающая конструкция: Ограждающая конструкция, все элементы которой относятся к одному классу теплозащитной эффективности. Этот же класс теплозащитной эффективности является характеристикой всей конструкции.
3.3 класс теплозащитной эффективности элемента, мероприятия, здания: Характеристика теплозащитной эффективности, представленная интервалом значений удельных единовременных затрат на экономию энергетической единицы. Величина, математически обратная энергетической эффективности.
3.4
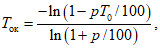
срок окупаемости Zок, лет: Срок, в течение которого оценивается экономический эффект от конструкции или мероприятия; назначается как половина срока службы элемента до замены или ремонта, но не более 12 лет.
3.5
удельные единовременные затраты на экономию 1 кВт·ч/год
, руб./(кВт·ч/год): Единовременные затраты на энергосберегающее мероприятие, отнесенные к величине экономии тепловой энергии от применения мероприятия за год эксплуатации при ГСОП = 1000 °C·сут/год.
3.6
удельная прибыль от экономии энергетической единицы 1 кВт·ч/год
, руб./(кВт·ч/год): Прибыль, получаемая за счет энергосберегающего мероприятия (совокупная стоимость сэкономленной энергии и оборудования за срок окупаемости), отнесенная к величине экономии тепловой энергии 1 кВт·ч/год при ГСОП = 1000 °C·сут/год.
3.7 удельные приведенные затраты на строительство и эксплуатацию конструкции П, руб./(м2·год): Сумма всех затрат как на возведение, так и на эксплуатацию 1 м2 ограждающей конструкции в течение установленного срока окупаемости.
4.1 При проектировании тепловой защиты жилых и общественных зданий (далее - зданий) следует руководствоваться нормативными требованиями, установленными
СП 50.13330, указаниями настоящего свода правил и других нормативных документов, утвержденных и согласованных в установленном порядке.
При наличии нескольких вариантов проектных решений тепловой защиты зданий следует выбрать тот вариант, который позволяет обеспечить нормативные требования с наименьшими энергетическими и материальными затратами.
4.2 Здание должно удовлетворять требованиям:
- к тепловой защите;
- воздухопроницаемости ограждающих конструкций;
- защите от переувлажнения ограждающих конструкций;
- теплоустойчивости ограждающих конструкций;
- теплоусвоению поверхности полов;
- расходу тепловой энергии на отопление и вентиляцию помещений;
- отдельным элементам зданий.
5.1 Требования к тепловой защите зданий
Требования к тепловой защите зданий устанавливаются в следующем порядке:
- принимаются средняя температура наружного воздуха, °C, и продолжительность отопительного периода, сут/год, по
СП 131.13330;
- принимается расчетная температура внутреннего воздуха здания по
ГОСТ 30494;
- рассчитываются градусо-сутки отопительного периода по
формуле (5.2) СП 50.13330.2012;
- находятся базовые значения сопротивления теплопередаче ограждающих конструкций здания

, (м
2·°C)/Вт, по
таблице 3 СП 50.13330.2012;
| | ИС МЕГАНОРМ: примечание. Текст дан в соответствии с официальным текстом документа. | |
- находятся нормируемые значения приведенного сопротивления теплопередаче ограждающих конструкций здания

, (м
2·°C)/Вт, по
пункту 5.2 СП 50.13330.2012 назначаются коэффициенты
mр и с помощью
формулы (5.1) СП 50.13330.2012;
- проводится проверка приведенных сопротивлений теплопередаче ограждающих конструкций здания

, (м
2·°C)/Вт;" на "- проводится проверка приведенных сопротивлений теплопередаче ограждающих конструкций здания с учетом теплотехнических неоднородностей согласно
приложению Е СП 50.13330.2012, (м
2·°C)/Вт;
(в ред.
Изменения N 1, утв. Приказом Минстроя России от 31.10.2019 N 664/пр)
- выполнить расчет температуры внутренней поверхности для узлов теплопроводных включений в соответствии с требованиями
пункта 5.1 СП 50.13330.2012, а также
раздела 5 СП 230.1325800.2015. Обеспечить нормируемый температурный перепад между температурой внутреннего воздуха и температурой внутренней поверхности ограждающей конструкции (
таблица 5 СП 50.13330.2012), а также выполнение санитарно-гигиенических требований
пункта 5.7 СП 50.13330.2012;
(перечисление введено
Изменением N 1, утв. Приказом Минстроя России от 31.10.2019 N 664/пр)
- проводится проверка удельной теплозащитной характеристики здания
kоб, Вт/(м
3·°C), по
пункту 5.5 СП 50.13330.2012;
- проводится проверка требований к расходу тепловой энергии на отопление и вентиляцию здания по
разделу 10 СП 50.13330.2012.
При реализации данных требований к тепловой защите зданий рекомендуется также учитывать положения
СП 54.13330 и
СП 118.13330.
5.2 Расчет приведенного сопротивления теплопередаче
Расчет приведенного сопротивления теплопередаче фрагмента теплозащитной оболочки здания или выделенной ограждающей конструкции без воздушных прослоек проводят в соответствии с
приложением Е СП 50.13330.2012.
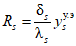
При расчете термического сопротивления слоя однородной части фрагмента Rs, (м2·°C)/Вт, для материальных слоев следует учитывать коэффициент условий эксплуатации слоя материала по формуле

, (5.1а)
где

- толщина слоя, м;

- теплопроводность материала слоя при условиях эксплуатации конструкции А или Б, Вт/(м
2·°C), принимаемая по
приложению Т СП 50.13330.2012 либо определяемая по
приложению Д настоящего свода правил;

- коэффициент условий эксплуатации слоя материала, доли ед., определяемый по результатам натурных или лабораторных испытаний либо принимаемый согласно
приложению Е. При отсутствии данных принимается равным 1.
(п. 5.2 в ред.
Изменения N 1, утв. Приказом Минстроя России от 31.10.2019 N 664/пр)
5.3 Упрощенный расчет приведенного сопротивления теплопередаче
Упрощенный расчет приведенного сопротивления теплопередаче фрагмента теплозащитной оболочки здания или выделенной ограждающей конструкции без вентилируемых воздушных прослоек

, (м
2·°C)/Вт, производится по
формуле (Е.1) СП 50.13330.2012. В эту формулу подставляются геометрические характеристики
ai,
lj,
nk, определяемые в соответствии с
приложением Е СП 50.13330.2012. Удельные потери теплоты через плоские элементы
Ui, Вт/(м
2·°C), определяются также в соответствии с
приложением Е СП 50.13330.2012. Удельные потери теплоты через линейные

, Вт/(м·°C), и точечные

, Вт/°C, неоднородности принимаются приближенно по таблицам
СП 230.1325800.2015 или рассчитываются по
ГОСТ Р 56733.
5.4 Расчет приведенного сопротивления теплопередаче ограждающих конструкций с замкнутыми воздушными прослойками
При использовании в ограждающих конструкциях замкнутых воздушных прослоек их необходимо учитывать при расчете сопротивления теплопередаче. Термическое сопротивление замкнутой воздушной прослойки рассчитывается по методике, приведенной в
ГОСТ Р 56734. Значения термических сопротивлений замкнутых воздушных прослоек для ряда их толщин приведены в
таблице Е.1 СП 50.13330.2012.
Для повышения теплозащитных свойств наружных ограждений используют отражательную теплоизоляцию (алюминиевую фольгу, офольгированные материалы, материалы с низким коэффициентом излучения).
Отражательную теплоизоляцию устанавливают в наружной ограждающей конструкции с устройством воздушной прослойки. Толщина воздушной прослойки должна быть не менее 20 - 50 мм, но не более 100 мм, высота - не более высоты этажа. Блестящая поверхность офольгированных материалов или поверхность с низким коэффициентом излучения должна быть обращена в сторону воздушной прослойки. При оклейке одной или обеих поверхностей воздушной прослойки алюминиевой фольгой термическое сопротивление следует увеличивать в 2 раза. При этом термическое сопротивление не должно превышать:
- 0,40 м2·°C/Вт - для воздушной прослойки толщиной 0,02 м;
- 0,45 м2·°C/Вт - для воздушной прослойки толщиной 0,03 м;
- 0,50 м2·°C/Вт - для воздушной прослойки толщиной 0,05 м.
Отражательную теплоизоляцию из офольгированных материалов с малым сопротивлением паропроницанию допускается использовать в качестве пароизоляции. В этом случае отражательную теплоизоляцию следует устанавливать в слоях конструкции, расположенных между утеплителем и внутренним воздухом. При этом воздушную прослойку следует рассматривать как дополнительный утеплитель.
Расчет температур на поверхностях и термического сопротивления вертикальной замкнутой воздушной прослойки с отражательной теплоизоляцией или с материалом с низким коэффициентом излучения следует проводить в соответствии с
ГОСТ Р 56734.
При расчете термического сопротивления замкнутых воздушных прослоек коэффициент излучения материалов на поверхностях воздушных прослоек следует принимать в соответствии с
приложением А настоящего свода правил. Термическое сопротивление замкнутых вертикальных воздушных прослоек с отражательной теплоизоляцией из алюминиевой фольги принимается в соответствии с
приложением Т СП 50.13330.2012.
5.5 Расчет приведенного сопротивления теплопередаче ограждающих конструкций с вентилируемыми воздушными прослойками
Характерной особенностью навесных фасадных систем (НФС) с вентилируемой воздушной прослойкой является наличие двух типов неоднородностей, зависящих от конструкции фасадной системы и не зависящих. Конструкции НФС и стен в целом проектируются (и монтируются) на разных этапах. Поэтому расчет приведенного сопротивления теплопередаче стен с НФС проводится в два этапа. На промежуточном этапе определяется приведенное сопротивление теплопередаче глухой (без проемов) стены с НФС. На конечном этапе определяется приведенное сопротивление теплопередаче стены в целом.
Приведенное сопротивление теплопередаче глухой (без проемов) стены с НФС

, (м
2·°C)/Вт, определяется по условному сопротивлению теплопередаче стены и удельным потерям теплоты через элементы крепежной системы НФС, при этом никакие неоднородности, кроме создаваемых подконструкцией системы и крепежом утеплителя, не учитываются. Это сопротивление используется в дальнейшем для расчета воздухообмена в воздушной прослойке НФС <1> в
формулах (8.4) -
(8.7).
--------------------------------
<1> Приведенное сопротивление теплопередаче глухой стены с НФС выполняет вспомогательные функции и не может использоваться для проверки нормативных требований к стене в целом.

(5.1)
где

- осредненное по площади условное сопротивление теплопередаче фрагмента теплозащитной оболочки здания либо выделенной ограждающей конструкции, м
2·°C/Вт;

- удельные потери теплоты через направляющие, проникающие в утеплитель (в случае их наличия), Вт/(м·°C);
lн - протяженность направляющих, проникающих в утеплитель, м/м2;

- удельные потери теплоты через кронштейны, Вт/°C;
nкр - среднее количество кронштейнов, приходящееся на 1 м2 стены, 1/м2;

- удельные потери теплоты через тарельчатые анкеры, Вт/°C (принимаются по
СП 230.1325800 или результатам расчета температурного поля);
(в ред.
Изменения N 1, утв. Приказом Минстроя России от 31.10.2019 N 664/пр)
nа - среднее количество тарельчатых анкеров с металлическим распорным элементом, приходящееся на 1 м2 стены, 1/м2.
При расчете условного сопротивления теплопередаче стены с НФС следует учитывать, что в воздушной прослойке

. После расчета воздухообмена в воздушной прослойке можно заменить

на

(см.
формулу (8.8)).
Приведенное сопротивление теплопередаче стены в целом

, (м
2·°C)/Вт, рассчитывается по формуле

(5.2)
где
Rн - термическое сопротивление стены от воздушной прослойки до наружного воздуха, (м
2·°C)/Вт; определяется по
формуле (8.8) настоящего свода правил.
В
формуле (5.2) при суммировании удельных потерь теплоты не учитывается влияние теплотехнических неоднородностей, создаваемых подконструкцией системы и крепежом утеплителя, учтенных для

в
формуле (5.1).
5.6 Расчет приведенного сопротивления теплопередаче полов по грунту и стен заглубленных помещений
Приведенное сопротивление теплопередаче ограждающих конструкций, контактирующих с грунтом, следует определять по методике
Е.7 приложения Е СП 50.13330.2012.
Нормируемое значение приведенного сопротивления теплопередаче части стены, расположенной ниже уровня грунта на глубину не менее 1 м, следует принимать таким же, как для стены, расположенной выше уровня грунта.
Требования к приведенному сопротивлению теплопередаче и минимальной температуре внутренней поверхности ограждающих конструкций здания принимают по
СП 50.13330.
Температура внутренней поверхности ограждающей конструкции должна определяться по результатам расчета температурных полей или табличным данным
СП 230.1325800 для всех фрагментов конструкции с теплотехнической неоднородностью и быть не ниже точки росы внутреннего воздуха заглубленного помещения при расчетной температуре наружного воздуха (наиболее холодной пятидневки с обеспеченностью 0,92 в соответствии с
пунктом 5.7 СП 50.13330.2012). Построение температурных полей узлов теплопроводных включений в целях определения температур внутренних поверхностей осуществляется с помощью программных комплексов.
(в ред.
Изменения N 2, утв. Приказом Минстроя России от 23.12.2022 N 1117/пр)
В случае соприкосновения конструкций с грунтом температурные поля следует рассчитывать нестационарным методом.
Исходными данными для выполнения нестационарных теплотехнических расчетов являются:
- данные для построения трех- или двухмерной геометрической модели рассматриваемой области моделирования:
а) инженерно-геологическое строение грунтов,
б) чертеж строительных объектов и расположение теплоизоляционных материалов;
- теплофизические свойства грунтов - теплопроводность и объемная теплоемкость в талом и мерзлом состоянии, плотность, влажность;
- теплофизические свойства (теплопроводность, теплоемкость), физические свойства (влажность и плотность) строительных материалов, включая теплоизоляционные материалы, их геометрические параметры и начальную температуру.
При теплотехническом расчете ограждающих конструкций жилых зданий следует принимать температуру внутреннего воздуха по проекту (из раздела ОВ).
(п. 5.6 в ред.
Изменения N 1, утв. Приказом Минстроя России от 31.10.2019 N 664/пр)
5.7 Методика выбора теплозащитных элементов для достижения целевого сопротивления теплопередаче фрагмента теплозащитной оболочки здания
В
разделе 7.2 СП 230.1325800.2015 приводится алгоритм действий для случая, когда имеется некое целевое сопротивление теплопередаче и требуется спроектировать ограждающую конструкцию с близким приведенным сопротивлением теплопередаче.
Здесь приводится алгоритм, содержащий оценочный расчет, позволяющий добиться максимальной точности подбора элементов конструкции для достижения целевого сопротивления теплопередаче.
Первичный подбор элементов проектируемой ограждающей конструкции, для достижения целевого сопротивления теплопередаче, соответствует алгоритму
раздела 7.2 СП 230.1325800.2015, но без итераций:
1. Определяется целевое сопротивление теплопередаче ограждающей конструкции здания. Оно должно быть не ниже требуемого
СП 50.13330.
2. Выбирается вид ограждающей конструкции.
3. Выбирается типовая разбивка на элементы, которая корректируется с учетом особенностей ограждающей конструкции (для стен типовую разбивку следует принимать по
приложению А СП 230.1325800.2015).
4. Для каждого элемента находится удельный геометрический показатель.
5. В случае отсутствия данных по удельным потерям теплоты какого-либо элемента, они устанавливаются путем расчета температурного поля. Для выполнения оценочного расчета допускается использование данных справочных материалов.
6. Для плоских элементов выбирается толщина утеплителя. Для этого целевое сопротивление теплопередаче конструкции умножается на 1,5 и подбирают конструкцию со значением

.
Примечание - При повторном расчете для конструкций с коэффициентом тепломеханической однородности 0,75 и выше значение коэффициента 1,5 заменяется на 1,3. Для конструкций с коэффициентом тепломеханической однородности 0,6 и ниже значение коэффициента 1,5 заменяется на 1,8.
7. Для выбранной толщины утеплителя определяются удельные потери теплоты всех элементов ограждающей конструкции.
8. По
таблице Е.2 и
формуле (Е.1) приложения Е СП 50.13330.2012 проводится расчет приведенного сопротивления теплопередаче

.
9. Приведенное сопротивление теплопередаче сравнивается с целевым сопротивлением теплопередаче.
По результатам расчета проводится оценка достижения целевого сопротивления теплопередаче.
Примечание - Как правило, целевое сопротивление теплопередаче может считаться достигнутым, если полученное расчетом приведенное сопротивление теплопередаче отличается от целевого сопротивления теплопередаче в большую сторону, не более чем:
на 10% - для

;
7% - для

;
5% - для

.
Если целевое сопротивление теплопередаче не достигнуто, проводится корректировка.
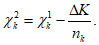
10. Находится разность полученного приведенного коэффициента теплопередачи и целевого коэффициента теплопередачи.

(5.3)
11. Выбирается элемент, за счет которого будет дорабатываться конструкция. Для выбранного элемента по
формулам (5.4) -
(5.6) рассчитываются удельные потери теплоты, при которых конструкция обеспечивает целевое сопротивление теплопередаче:

(5.4)

(5.5)

(5.6)
12. Подбирается конструкция выбранного элемента, с удельными потерями теплоты (не превышающими полученное на
шаге 11 значение).
13. Для плоского элемента рассчитывается необходимая толщина утеплителя dут по формуле

(5.7)
где

- сумма термических сопротивлений всех слоев конструкции кроме утеплителя.
Если толщина утеплителя была скорректирована более чем на 20%, следует пересмотреть удельные потери теплоты всех теплотехнических неоднородностей.
14. Проводится окончательный расчет приведенного сопротивления теплопередаче. Для этого заполняется
таблица Е.2 и применяется
формула (Е.1) приложения Е СП 50.13330.2012.
В случае, если в процессе иных расчетов возникла необходимость в изменении конструкции с целью достижения ею некоего сопротивления теплопередаче, можно использовать ранее проведенные расчеты по
СП 50.13330, в частности таблицу, аналогичную
таблице Е.2, и начать выполнение выше изложенного алгоритма с
шага 10.
Корректировку ограждающей конструкции описанным методом можно проводить как в сторону увеличения, так и в сторону уменьшения приведенного сопротивления теплопередаче.
5.8 Расчет удельной теплозащитной характеристики здания
Удельная теплозащитная характеристика здания рассчитывается в соответствии с
приложением Ж СП 50.13330.2012.
5.9 Методика выбора ограждающих конструкций для достижения целевой удельной теплозащитной характеристики здания
В
пункте 5.5 СП 50.13330.2012 даны нормируемые значения удельной теплозащитной характеристики здания, а в
приложении Ж СП 50.13330.2012 приведена методика расчета его удельной теплозащитной характеристики. В большинстве практических случаев требуется не просто расчет удельной теплозащитной характеристики, а подбор ограждающих конструкций для достижения целевой величины. Не имеет значения, определяется эта целевая величина непосредственно
пунктом 5.5 СП 50.13330.2012 или следует из требований к удельному расходу тепловой энергии на отопление и вентиляцию зданий.
Подбор ограждающих конструкций производится аналогично описанному в 5.7 выбору теплозащитных элементов с учетом специфики достигаемой величины.
На начальном этапе ограждающие конструкции выбираются так, чтобы их приведенные сопротивления теплопередаче удовлетворяли требованиям
СП 50.13330. Далее выполняется расчет в соответствии с алгоритмом:
1. Определяется целевая удельная теплозащитная характеристика здания. Она должна быть не ниже требуемой по
СП 50.13330.
2. Для каждой ограждающей конструкции находится ее площадь и приведенное сопротивление теплопередаче.
3. Проводится расчет удельной теплозащитной характеристики здания в соответствии с
приложением Ж СП 50.13330.2012.
4. По результатам расчета проводится оценка достижения целевой удельной теплозащитной характеристики здания.
Если целевая удельная теплозащитная характеристика здания не достигнута, проводится корректировка.
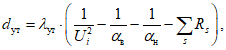
5. Находится разность полученной и целевой удельной теплозащитной характеристики здания по формуле

(5.8)
6. Выбирается ограждающая конструкция, за счет которой будет дорабатываться оболочка здания. Для выбранной ограждающей конструкции рассчитывается приращение коэффициента теплопередаче

, которое требуется для обеспечения целевой удельной теплозащитной характеристики здания, по формуле

(5.9)
где Vот - отапливаемый объем здания, м3;
Aф,i - площадь выбранной ограждающей конструкции, м2;
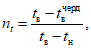
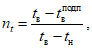
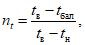
nt,i - коэффициент, учитывающий отличие внутренней или наружной температуры у конструкции от принятых в расчете ГСОП, определяется по
формуле (5.3) СП 50.13330.2012.
7. Проводится корректировка выбранной ограждающей конструкции по алгоритму, описанному в пункте 5.7, начиная с
шага 11.
8. Проводится окончательный расчет удельной теплозащитной характеристики здания. Для этого заполняют
таблицу Ж.1 приложения Ж СП 50.13330.2012.
В случае корректировки оболочки здания за счет нескольких ограждающих конструкций, для использования описанного алгоритма необходимо предварительно решить, в какой пропорции делятся изменения между выбранными ограждающими конструкциями.
5.10 Методика оптимизации теплозащитной оболочки здания по окупаемости энергосберегающих мероприятий
Экономическая оптимизация оболочки здания основана на сравнении альтернативных вариантов конструкций.
Методика содержит три уровня оптимизации:
1) выбор оптимальных теплозащитных характеристик отдельных элементов конструкции из условия окупаемости энергосбережения;
2) сравнение по эффективности энергосбережения конструкций с различной базовой комплектацией;
3) гармонизация отдельных конструкций и оболочки здания в целом.
5.10.1 Выбор оптимальных теплозащитных характеристик отдельных элементов
Данная методика заключается в поиске минимума приведенных затрат. Минимум ищется не дифференцированием, так как функция разрывная, а путем специально организованного перебора вариантов конструкции. В методике учтена зависимость потерь теплоты через ограждающую конструкцию от многих переменных (характеристик элементов, введенных в
приложении Е СП 50.13330.2012).
В соответствии с
приложением Е СП 50.13330.2012 в качестве теплозащитных характеристик элементов используются условное сопротивление теплопередаче (для плоских элементов) и удельные потери теплоты через неоднородности (для линейных и точечных элементов).
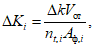
По экономическим и климатическим параметрам района строительства находится удельная прибыль от экономии энергетической единицы <1>

, соответствующая проекту здания, по формуле

(5.10)
где Степл - тарифная цена тепловой энергии в районе строительства проектируемого здания, руб./(кВт·ч);
Сот - удельная цена отопительного оборудования и подключения к тепловой сети в районе строительства проектируемого здания, руб./(кВт·ч/год);
mкл - климатический коэффициент района строительства, определяемый по формуле

(5.11)
где ГСОП - значение градусо-суток отопительного периода для района строительства, °C·сут/год, определяемое по
формуле (5.2) СП 50.13330.2012:
ГСОП(Э) - эталонное значение градусо-суток отопительного периода, °C·сут/год, принимаемое равным 1000 °C сут/год;
Zок - срок окупаемости, определяемый как половина срока службы элемента до замены или ремонта, но не более 12 лет.
--------------------------------
<1> В качестве энергетической единицы принят 1 кВт·ч/год сэкономленной энергии при значении ГСОП = 1000 °C·сут/год.
Требуемый класс теплозащитной эффективности элементов конструкции в зависимости по удельной прибыли от экономии энергетической единицы приведен в таблице 5.1.
Таблица 5.1
Классы теплозащитной эффективности элементов конструкции
Класс | 1 | 2 | 3 | 4 | 5 | 6 | 7 | 8 | 9 | 10 | 11 | 12 | 13 | 14 |
Границы  , руб./(кВт·ч/год) | До 2 включ. | От 2 до 4 включ. | От 4 до 8 включ. | От 8 до 14 включ. | От 14 до 24 включ. | От 24 до 40 включ. | От 40 до 65 включ. | От 65 до 100 включ. | От 100 до 160 включ. | От 160 до 250 включ. | От 250 до 380 включ. | От 380 до 570 включ. | От 570 до 850 включ. | От 850 |
Класс теплозащитной эффективности элемента конструкции определяется по удельным единовременным затратам на экономию энергетической единицы,

, руб./(кВт·ч/год), по
таблице 5.1.
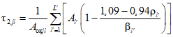
Удельные единовременные затраты на экономию энергетической единицы элементом конструкции рассчитываются по формулам:
для плоского элемента

(5.12)
для линейного элемента

(5.13)
для точечного элемента

(5.14)
где

- разница единовременных затрат вариантов 2 и 1 исследуемого элемента, руб. Для плоского элемента единовременные затраты вычисляются на квадратный метр, для линейного элемента - на погонный метр, для точечного элемента - на 1 шт.
Для использования
формул (5.12) -
(5.14) должен быть составлен ряд из экономически обоснованных вариантов исследуемого элемента, упорядоченный по его теплозащитной характеристике. В формулах варианты 1 и 2 - соседние варианты ряда (т.е. ближайшие по теплозащитной характеристике, экономически обоснованные варианты элемента). Причем вариант 2 дороже варианта 1 и обладает меньшими теплопотерями. Полученное по
формулам (5.12) -
(5.14) значение

соответствует варианту 2 элемента.
Конструкция должна формироваться таким образом, чтобы классы теплозащитной эффективности всех ее элементов были равны требуемому классу теплозащитной эффективности здания. В случае отсутствия варианта элемента с необходимым классом теплозащитной эффективности следует использовать вариант элемента с ближайшим классом теплозащитной эффективности.
5.10.2 Сравнение по эффективности энергосбережения конструкций с различной базовой комплектацией
Для вариантов конструкции, отличающихся по составу элементов или по базовой (не теплозащитной) части конструкции, более выгодным является вариант с меньшими удельными приведенными затратами.
Удельные приведенные затраты на строительство и эксплуатацию конструкции, П, руб./(м2·год), определяются по формуле

(5.15)
где

- полные единовременные затраты на производство 1 м
2 конструкции, руб./м
2, которые рассчитываются по формуле

(5.16)
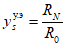
где ai - площадь плоского элемента конструкции i-го вида, приходящаяся на 1 м2 конструкции, м2/м2;
lj - протяженность линейной неоднородности j-го вида, приходящаяся на 1 м2 конструкции, м/м2;
nk - количество точечных неоднородностей k-го вида, приходящихся на 1 м2 конструкции, шт./м2;

- базовая стоимость 1 м
2 конструкции (наиболее холодный вариант всех элементов конструкции), руб./м
2.
5.10.3 Гармонизация отдельных конструкций и оболочки здания в целом
При равных теплозащитных свойствах, чем ближе значения удельных единовременных затрат на экономию энергетической единицы отдельных элементов конструкции друг к другу, тем эффективней конструкция.
Гармонично утепленная - ограждающая конструкция, все элементы которой относятся к одному классу теплозащитной эффективности. Этот же класс энергетической эффективности является характеристикой и всей конструкции.
Гармонично утепленная - оболочка здания, состоящая из гармонично утепленных ограждающих конструкций одного класса. Этот же класс теплозащитной эффективности является характеристикой и всей оболочки здания.
Модельный ряд строительных конструкций следует по возможности составлять из гармонично утепленных конструкций. Такие конструкции должны сопровождаться пометкой, указывающей на их гармоничность и класс теплозащитной эффективности. При выборе проектных решений предпочтение должно отдаваться гармонично утепленным конструкциям и оболочкам здания, как наиболее экономически эффективным.
5.10.4 Удельные единовременные затраты на экономию 1 кВт·ч/год энергосберегающего решения (не ограждающей конструкции), руб./(кВт·ч/год), в общем виде рассчитываются по формуле

(5.17)
где Cэн - тарифная цена энергии, экономящейся от применения энергосберегающего решения (тепловой, электрической или иной), руб./(кВт·ч);

- разница полных единовременных затрат на реализацию вариантов 2 и 1 энергосберегающего решения, руб., варианты должны быть соседними в упорядоченном ряду вариантов, причем вариант 1 дешевле;

- полная экономия энергии от применения энергосберегающего решения (разница между вариантом 1 и вариантом 2), кВт·ч/год;

- срок окупаемости энергосберегающего решения, определяемый, как указано в
3.4;
Zок - базовый срок окупаемости, принятый для ограждающих конструкций здания.
(п. 5.10.4 введен
Изменением N 1, утв. Приказом Минстроя России от 31.10.2019 N 664/пр)
5.10.5 Выбор источника теплоснабжения
Источник теплоснабжения полностью определяет оптимальный облик здания, влияя через удельную прибыль от экономии энергетической единицы на выбор как оболочки здания, так и энергосберегающих решений. Удельная прибыль от экономии энергетической единицы, определяемая по формуле (5.10), является прямой характеристикой эффективности источника энергоснабжения.
Оптимальным является источник энергоснабжения с наименьшей удельной прибылью от экономии энергетической единицы.
Причем для такого сравнения срок окупаемости Zок должен быть зафиксирован и равен 12 годам, если только само энергетическое оборудование не требует более частой замены, чем два срока окупаемости.
В ряде случаев источник теплоснабжения может приводить к дополнительным затратам электрической энергии, например на работу насосов и иного оборудования. Эти затраты должны быть учтены за счет введения поправки к цене тепловой энергии:
Cтепл = Cтепл0 + nсCэл, (5.18)
где nс - коэффициент сопутствующих трат электроэнергии, кВт·ч/кВт·ч, сколько кВт·ч электроэнергии необходимо потратить на доставку 1 кВт·ч тепловой энергии.
(п. 5.10.5 введен
Изменением N 1, утв. Приказом Минстроя России от 31.10.2019 N 664/пр)
5.11 Проектирование тепловой защиты зданий с внутренним утеплением с учетом долговечности многослойных ограждающих конструкций
(подраздел 5.11 введен
Изменением N 1, утв. Приказом Минстроя России от 31.10.2019 N 664/пр)
При проектировании ограждений с теплоизоляционным проницаемым слоем со стороны помещения (внутреннее утепление по таблице 8.2) необходимо проводить проверку конструкции по температурной знакопеременной нагрузке на наружный слой ограждения. Для проведения данной проверки наружный слой конструкции представляется в виде совокупности слоев равной толщины
j, мм, расположенных параллельно наружной поверхности конструкции. Параметр температурной нагрузки на материал наружного слоя ограждающей конструкции

численно равен количеству циклов замораживания - оттаивания во всех сечениях слоев толщиной
j мм стены здания в течение
i-го года (циклов/год). Данный показатель позволяет связать климатические характеристики наружного воздуха - изменение температуры в связи с изменением климата и изменение количества циклов перехода температуры через нуль с характеристиками ограждающей конструкции: толщиной и теплофизическими параметрами материала конструкции.
Общая формула для определения температуры
tn,z+1 в любой плоскости
n через интервал времени

по температурам в той же плоскости
tn,z и в двух соседних плоскостях
tn-1,z,
tn+1,z, определенных в предыдущий момент времени
z, имеет следующий вид:

, (5.19)
где

- коэффициент температуропроводности среды, м
2/с.
Рекомендуется расстояние между сечениями выбирать равным

. При этом необходимо проводить проверку на соответствие условию

. Минимальное расстояние между рассматриваемыми сечениями

определяют по формуле

, (5.20)

, (5.21)
где

- расчетная теплопроводность материала, Вт/(м
2·°C);
c - удельная теплоемкость материала, Дж/(кг·°C);

- плотность материала, кг/м
3;
t - температура, °C;
z - время, с;
x - координата по оси переноса теплоты, м.
В общем случае интервал времени

задан, так как данные гидрометеорологических центров представлены с интервалом 3 ч (
zmax = 3 ч = 10,8·10
3 с).
Если

, рассчитанное по формуле (5.20), больше выбранного

, следует уменьшить значение

. Для этого уменьшается временной интервал в климатических данных, а соответствующие значения температуры для уменьшенного интервала вычисляются методом интерполяции.
Начальное распределение температуры по сечению стены рассчитывают из условия установления на начало расчета в стене стационарного режима.
Для достоверной выборки необходимо построить графики распределения температуры в заданных сечениях не менее чем за сорок лет, при этом за последний год сорокалетия необходимо принимать год не ранее 2010 года. За расчетный годовой период следует принимать период, начиная с первого месяца, в котором температура наружного воздуха опустилась ниже 0 °C, и заканчивая месяцем следующего года, в котором не зафиксировано значений отрицательной температуры.
Значение параметра температурной нагрузки на материал ограждающей конструкции для данного года

определяется подсчетом суммы количества циклов замораживания - оттаивания в каждом сечении за каждый год базового периода.
Результаты расчетов за весь базовый период представляются в виде линейного графика изменения показателя температурной нагрузки на материал за годы базового периода. График аппроксимируется формулой

, (5.22)
где D - расчетный год базового периода (например, 1963 год).
Коэффициент k определяет, будет ли в дальнейшем, после проведения проектных мероприятий по внутреннему утеплению стены, увеличиваться или уменьшаться количество циклов замораживания - оттаивания по сечению проектируемой ограждающей конструкции. Проверку конструкции по температурной знакопеременной нагрузке на материал проводят по условию сохранности
k <= 0. (5.23)
При выполнении условия (5.23) ограждающая конструкция с внутренним утеплением удовлетворяет условиям сохранности материала конструкции, так как количество циклов замораживания - оттаивания с течением времени будет уменьшаться.
В отдельных случаях, при необходимости увеличения термического сопротивления ограждающей конструкции за счет внутреннего утепления, допускается в расчетах показателя температурной нагрузки на материал ограждающей конструкции использовать вместо перехода температуры материала конструкции через нуль принимать температуру замерзания влаги в материале конструкции. При отсутствии значения температуры замерзания влаги в материале ее значение принимают равным 0 °C.
6 Теплоустойчивость ограждающих конструкций
6.1 Требования к теплоустойчивости ограждающих конструкций
Требования к теплоустойчивости ограждающих конструкций устанавливаются в
разделе 6.1 СП 50.13330.2012.
В районах со среднемесячной температурой июля 21 °C и выше расчетная амплитуда колебаний температуры внутренней поверхности ограждающих конструкций (наружных стен и перекрытий/покрытий)

, °C, зданий жилых, больничных учреждений (больниц, клиник, стационаров и госпиталей), диспансеров, амбулаторно-поликлинических учреждений, родильных домов, домов ребенка, домов-интернатов для престарелых и инвалидов, детских садов, яслей, яслей-садов (комбинатов) и детских домов, а также производственных зданий, в которых необходимо соблюдать оптимальные параметры температуры и относительной влажности воздуха в рабочей зоне в теплый период года или по условиям технологии поддерживать постоянными температуру или температуру и относительную влажность воздуха, не должна быть более нормируемой амплитуды колебаний температуры внутренней поверхности ограждающей конструкции

, °C, определяемой по формуле

(6.1)
где
tн - средняя месячная температура наружного воздуха за июль, °C, принимаемая по
СП 131.13330.
Проверка теплоустойчивости ограждающих конструкций оценивает возможность перегрева помещений в летний период года и предназначена для наиболее теплых регионов.
6.2 Расчет теплоустойчивости ограждающей конструкции
Расчет теплоустойчивости ограждающей конструкции проводится в соответствии с
разделами 6.2 -
6.8 СП 50.13330.2012. При расчете могут использоваться данные
приложения И СП 50.13330.2012.
Амплитуду колебаний температуры внутренней поверхности ограждающих конструкций

, °C, следует определять по формуле

(6.2)
где

- расчетная амплитуда колебаний температуры наружного воздуха, °C, определяемая согласно
пункту 6.3 СП 50.13330.2012;
v - величина затухания расчетной амплитуды колебаний температуры наружного воздуха

в ограждающей конструкции, определяемая согласно
пункту 6.4 СП 50.13330.2012.
7 Воздухопроницаемость ограждающих конструкций
7.1 Требования к воздухопроницаемости ограждающих конструкций
Требования к воздухопроницаемости ограждающих конструкций устанавливаются в
разделе 7.3 СП 50.13330.2012.
7.2 Расчет сопротивления воздухопроницаемости ограждающих конструкций
Расчет сопротивления воздухопроницаемости ограждающих конструкций проводится в соответствии с
пунктами 7.2,
7.4 СП 50.13330.2012. При расчетах могут использоваться данные
приложения С СП 50.13330.2012.
В натурных условиях воздухопроницаемость ограждающих конструкций определяется по
ГОСТ 31167.
7.3 Методика расчета теплотехнических показателей наружных ограждающих конструкций с учетом их воздухопроницаемости
В зданиях, находящихся в условиях эксплуатации при отрицательных температурах наружного воздуха, может происходить фильтрация воздуха через наружные ограждающие конструкции.
При фильтрации холодного воздуха снаружи в помещение (инфильтрации) происходит понижение температуры ограждающих конструкций. При фильтрации воздуха из помещения наружу (эксфильтрации) происходит повышение температуры ограждающих конструкций.
При фильтрации воздуха температурное поле и теплообмен на поверхностях пористого ограждения заметно изменяются в результате переноса теплоты потоком воздуха. Расход воздуха, проникающего через ограждения, достаточно маленький. Воздух двигается по порам и капиллярам медленно (число Рейнольдса соответствует приблизительно 0,05), и его температура во всех сечениях ограждения близка температуре окружающего твердого материала.
Значение температуры внутренней поверхности ограждающей конструкции при фильтрации воздуха может быть рассчитано по формуле

(7.1)
где tв - температура внутреннего воздуха, °C;
tн - температура наружного воздуха, °C;
G - расход воздуха, кг/(м2·ч); для инфильтрации принимается с положительным знаком, для эксфильтрации - с отрицательным;
Rо - сопротивление теплопередаче ограждающей конструкции, (м2·°C)/Вт;
Rв - сопротивление теплоотдаче внутренней поверхности ограждающей конструкции, (м2·°C)/Вт.
В
формуле (7.1) предполагается, что удельная теплоемкость воздуха равна 1 кДж/(кг·°C).
Значение теплового потока, входящего через внутреннюю поверхность конструкции (только за счет теплообмена), рассчитывается по формуле

(7.2)
Значение теплового потока, выходящего через наружную поверхность конструкции (только за счет теплообмена), рассчитывается по формуле

(7.3)
7.4. Методика расчета воздухопроницаемости облицовки ограждающих конструкций с НФС с воздушной прослойкой
(подраздел 7.4 введен
Изменением N 1, утв. Приказом Минстроя России от 31.10.2019 N 664/пр)
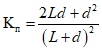
Инфильтрация атмосферного воздуха в прослойку НФС и эксфильтрация из воздушной прослойки НФС наружу через щели между прямоугольными непроницаемыми панелями облицовки НФС происходят под действием перепада внешнего и внутреннего давлений

, Па. Безразмерный коэффициент геометрической проницаемости K
п определяется как относительная доля суммарной площади щелей между панелями (плитками) облицовки НФС. Для случая квадратных плиток с длиной стороны
L и шириной щелей между ними
d геометрический коэффициент проницаемости равен

. (7.4)
Относительная площадь щелей в облицовке, как правило, не превышает 3% (0 < K
п < 0,03), в этом случае избыточное внешнее давление
Pe, формирующееся под действием ветра, практически не зависит от K
п и от течения внутри воздушной прослойки НФС, и его можно определять так же, как ветровую нагрузку для непроницаемого фасада в соответствии с
СП 20.13330 и
ГОСТ Р 56728. В противоположность этому, внутреннее давление
Pi существенно зависит от распределения внешнего давления и определяется из условия интегрального баланса массовых расходов инфильтрации и эксфильтрации воздуха через характерную площадь облицовки НФС (через площадь всего фасада или его частей в зависимости от наличия воздухонепроницаемых отсечек в воздушной прослойке НФС).
Массовый расход воздуха Qm, кг/(м2·с), в расчете на м2 облицовки НФС определяется по формуле, учитывающей особенности фильтрации воздуха через щели между плитками облицовки:

, (7.5)
где

- плотность воздуха;

- безразмерный параметр, учитывающий потери полного давления на втекание воздуха в щель;
b - параметр, учитывающий вязкие потери давления на трение при движении воздуха внутри щели между плитками (его размерность совпадает с размерностью Qm).
Параметры

,
b вычисляют по формулам:

, (7.6)
где

- динамический коэффициент вязкости воздуха, (Па·с);

- толщина плиток, м.
При

внешний холодный воздух поступает внутрь прослойки НФС (инфильтрация,
Qm > 0). При

более теплый воздух выходит из прослойки наружу (эксфильтрация,
Qm < 0). Соответственно в формуле
(7.5) плотность

зависит от знака

по формуле

, (7.7)
где

- плотность наружного воздуха;

- средняя плотность воздуха внутри прослойки НФС.
Соотношение
(7.5) представляет закон щелевой проницаемости облицовки НФС, замыкающий задачу определения внутреннего давления
Pi и максимальной скорости продольного движения воздуха в воздушной прослойке НФС при заданном распределении избыточного внешнего давления, в частности
Pe =
wm, где
wm - стационарная составляющая ветрового давления, зависящая от высоты
z над поверхностью земли согласно
СП 20.13330. Для прямоугольных в плане зданий
Pi =
wm(
z1), где
z1 - эффективная высота, на которой расход воздуха через облицовку обращается в нуль (
Qm = 0 и достигается максимальная скорость внутреннего течения в воздушной прослойке НФС). При этом задача определения
z1 сводится к решению трансцендентного уравнения, содержащего интегральные члены.
8 Защита от переувлажнения ограждающих конструкций
8.1 Требования к сопротивлению паропроницанию слоев конструкции
Защита от переувлажнения ограждающих конструкций обеспечивается соблюдением требований к сопротивлению паропроницанию слоев конструкции, расположенных между внутренним воздухом и плоскостью максимального увлажнения. При расчетах значений сопротивления паропроницанию слоев конструкции могут использоваться данные
приложения М СП 50.13330.2012.
Требования к защите от переувлажнения ограждающих конструкций установлены в
разделе 8 СП 50.13330.2012.
8.2 Нахождение плоскости максимального увлажнения
Плоскость максимального увлажнения следует определять по
пункту 8.5 СП 50.13330.2012 и таблице 8.1.
Таблица 8.1
Зависимость комплекса f(tм.у) от температуры в плоскости
максимального увлажнения tм.у, °C
tм.у, °C | f(tм.у), К2/Па |
-40 | 2539 |
-39 | 2322 |
-38 | 2126 |
-37 | 1947 |
-36 | 1785 |
-35 | 1638 |
-34 | 1504 |
-33 | 1382 |
-32 | 1271 |
-31 | 1170 |
-30 | 1077 |
-29 | 992,7 |
-28 | 915,5 |
-27 | 844,8 |
-26 | 780,2 |
-25 | 721,0 |
-24 | 666,7 |
-23 | 616,9 |
-22 | 571,2 |
-21 | 529,2 |
-20 | 490,7 |
-19 | 455,2 |
-18 | 422,5 |
-17 | 392,5 |
-16 | 364,8 |
-15 | 339,2 |
-14 | 315,6 |
-13 | 293,9 |
-12 | 273,8 |
-11 | 255,2 |
-10 | 238,0 |
-9 | 222,1 |
-8 | 207,4 |
-7 | 193,7 |
-6 | 181,1 |
-5 | 169,3 |
-4 | 158,4 |
-3 | 148,3 |
-2 | 138,9 |
-1 | 130,2 |
0 | 122,1 |
1 | 114,5 |
2 | 107,5 |
3 | 100,9 |
4 | 94,8 |
5 | 89,1 |
6 | 83,8 |
7 | 78,8 |
8 | 74,2 |
9 | 69,9 |
10 | 65,8 |
11 | 62,0 |
12 | 58,5 |
13 | 55,2 |
14 | 52,1 |
15 | 49,1 |
16 | 46,4 |
17 | 43,9 |
18 | 41,5 |
19 | 39,2 |
20 | 37,1 |
21 | 35,1 |
22 | 33,2 |
23 | 31,5 |
24 | 29,8 |
25 | 28,3 |
26 | 26,8 |
27 | 25,4 |
8.3 Упрощенный метод нахождения плоскости максимального увлажнения
Допускается находить плоскость максимального увлажнения упрощенным методом, изложенным в настоящем разделе. В соответствии с
разделом 8 СП 50.13330.2012 нахождение проводится для климатических параметров, средних за период с отрицательными среднемесячными температурами.
8.3.1 Классификация ограждающих конструкций по взаимному расположению слоев
Классификация ограждающих конструкций для расчета влажностного режима проводится по количеству и взаимному расположению слоев конструкции.
Все слои ограждающих конструкций делятся на два типа - проницаемые и плотные. Для такого деления вводится особый критерий, численно равный отношению паропроницаемости материала слоя к его теплопроводности.
Устанавливается следующая граница между проницаемыми и плотными слоями:

- слой проницаемый;

- слой плотный,
Если несколько подряд расположенных слоев оказываются одинаковыми по данной классификации, то для определения, к какому классу принадлежит данная конструкция, их объединяют в один обобщенный проницаемый или плотный слой.
Ограждающие конструкции по количеству и взаимному расположению обобщенных слоев делятся на пять классов. Описание классов приведено в таблице 8.2.
Таблица 8.2
Классификация ограждающих конструкций
Класс | Схема |
Однослойная | |
Двухслойная с плотным слоем со стороны помещения (наружное утепление) | |  плотный слой  проницаемый слой |
Двухслойная с проницаемым слоем со стороны помещения (внутреннее утепление) | |  плотный слой  проницаемый слой |
Трехслойная с проницаемым слоем в середине | |  плотный слой  проницаемый слой |
Трехслойная с плотным слоем в середине | |  плотный слой  проницаемый слой |
Если различие между всеми слоями конструкции не превышает 30% по критерию

, то ее согласно данной классификации признают однослойной.
8.3.2 Нахождение слоя, содержащего плоскость максимального увлажнения
Определение места расположения плоскости максимального увлажнения в зависимости от класса конструкции приведено в таблице 8.3.
Таблица 8.3
Определение места расположения плоскости
максимального увлажнения
Класс конструкции | Расположение плоскости максимального увлажнения |
1 Однослойная | В наружной половине слоя |
2 Двухслойная с плотным слоем со стороны помещения (наружное утепление) | В наружной половине проницаемого слоя |
3 Двухслойная с проницаемым слоем со стороны помещения (внутреннее утепление) | На стыке проницаемого и плотного слоев или во внутренней половине плотного слоя |
4 Трехслойная с проницаемым слоем в середине | На стыке проницаемого и наружного плотного слоев Примечание - Для внутреннего плотного слоя из легких бетонов или поризованной керамики возможно смещение плоскости максимального увлажнения вглубь проницаемого слоя. |
5 Трехслойная с плотным слоем в середине | На наружной границе наружного проницаемого слоя Примечание - Для данной конструкции возможно возникновение второй плоскости максимального увлажнения, но ее следует игнорировать. |
Рассматриваемые методы защиты от переувлажнения ограждающих конструкций распространяются на рядовые конструкции, увлажняемые напором водяного пара из помещений в отапливаемый период.
В частях конструкций, подвергающихся постоянным воздействиям грунтовой, дождевой или технологической воды, а также с повышенным риском повреждения защитных оболочек (фундаменты, первые и цокольные этажи) рекомендуется применять теплоизоляционные материалы с минимальными показателями эксплуатационной влажности, паропроницаемости
(ГОСТ 25898), влагопроводности
(ГОСТ Р 56504) и капиллярного всасывания воды
(ГОСТ Р 56505), невосприимчивые к воздействию жидкой влаги.
8.3.3 Для упрощения нахождения плоскости максимального увлажнения в выбранном слое приведена таблица 8.4, в которой даны значения температур в плоскости максимального увлажнения в зависимости от климатического и конструкционного факторов.
Таблица 8.4
Температура в плоскости максимального увлажнения конструкции
в зависимости от климатического и конструкционного факторов
Конструкционный фактор  | Температура в плоскости максимального увлажнения конструкции при значениях климатического фактора  |
0,012 | 0,018 | 0,024 | 0,03 | 0,036 | 0,044 | 0,06 | 0,08 |
0,4 | - | | - | - | - | - | -0,7 | -5,1 |
0,55 | - | | - | - | - | -0,9 | -5,6 | -9,8 |
0,7 | - | | - | - | -1,5 | -4,6 | -9,1 | -13,2 |
0,95 | - | | - | -3,4 | -6,1 | -9,0 | -13,5 | -17,4 |
1,2 | - | - | -3,5 | -6,8 | -9,5 | -12,4 | -16,7 | -20,5 |
1,6 | - | -3,5 | -7,8 | -11,0 | -13,6 | -16,4 | -20,6 | -24,3 |
2,0 | -0,7 | -6,8 | -11 | -14,2 | -16,7 | -19,4 | -23,5 | - |
2,7 | -5,3 | -11,2 | -15,3 | -18,3 | -20,7 | -23,3 | - | - |
3,5 | -9,1 | -14,9 | -18,8 | -21,7 | -24,1 | - | - | - |
4,7 | -13,3 | -18,9 | -22,7 | -25,5 | - | - | - | - |
6,0 | -16,7 | -22,1 | -25,8 | - | - | - | - | - |
7,8 | -20,2 | -25,5 | - | - | - | - | - | - |
10,0 | -23,5 | - | - | - | - | - | - | - |
Примечание - В настоящей таблице применены следующие обозначения: Rо,п - общее сопротивление паропроницанию ограждающей конструкции, м 2·ч·Па/мг, определяемое согласно 8.7 СП 50.13330.2012;  ,  - расчетные коэффициенты теплопроводности, Вт/(м 2·°C), и паропроницаемости, мг/(м·ч·Па), материала соответствующего слоя; tн.отр - средняя температура наружного воздуха за период с отрицательными среднемесячными температурами, °C; eн.отр - среднее парциальное давление водяного пара наружного воздуха за период с отрицательными среднемесячными температурами, Па; eв - расчетное парциальное давление водяного пара внутреннего воздуха помещений здания, Па; tв - расчетная температура внутреннего воздуха помещений здания, °C, по ГОСТ 30494. |
8.3.4 Алгоритм упрощенного нахождения плоскости максимального увлажнения в ограждающей конструкции
Плоскость максимального увлажнения находится упрощенным методом в следующей последовательности:
Для все слоев ограждающей конструкции рассчитывается критерий

.
2. В соответствии с
8.3.1 проводится классификация конструкции.
3. По
таблице 8.3 определяется слой, где расположена плоскость максимального увлажнения.
4. Рассчитываются климатический и конструкционный факторы, и по
таблице 8.4 определяется температура в плоскости максимального увлажнения.
5. По формуле (8.1) определяется x координата плоскости максимального увлажнения, м, отсчитываемая от наружной границы слоя

(8.1)
где

- расчетный коэффициент теплопроводности, Вт/(м
2·°C), материала соответствующего слоя;

- термическое сопротивление от наружного воздуха до наружной границы рассматриваемого слоя, (м
2·°C))/Вт, определяемое по
формулам (Е.6),
(Е.7) приложения Е СП 50.13330.2012.
Если
формула (8.1) дает отрицательную координату, то это означает, что плоскость максимального увлажнения расположена на наружной границе слоя.
8.4 Расчет влажностного режима и сопутствующих характеристик стен с НФС
В навесных фасадных системах с вентилируемой прослойкой движение теплоты, воздуха и влаги в конструкции в значительной мере переплетаются, поэтому чаще всего их нельзя рассматривать в отдельности друг от друга. Важнейшим фактором для оценки удовлетворительности функционирования НФС оказывается подвижность воздуха в воздушной прослойке, которая рассчитывается по
формулам (8.2) -
(8.13). Приведенное сопротивление теплопередаче глухой стены с НФС рассчитывается по
формуле (5.1) настоящего свода правил.
8.4.1 Расчет воздухообмена в воздушной прослойке
Расчет воздухообмена в воздушной прослойке проводится для средних климатических параметров наиболее холодного месяца.
Движение воздуха в вентилируемой прослойке осуществляется за счет гравитационного (теплового) и ветрового напоров. В случае расположения приточных и вытяжных отверстий на разных стенах скорость движения воздуха в прослойке Vпр, м/с, рассчитывается по формуле

(8.2)
где
Kн,
Kз - аэродинамические коэффициенты на разных стенах здания, по
СП 20.13330;
Vн - скорость движения наружного воздуха, м/с;
K - коэффициент учета изменения скорости потока по высоте по
СП 20.13330;
h - разности высот от входа воздуха в прослойку до его выхода из нее, м;
tпр, tн - средняя температура воздуха в прослойке и температура наружного воздуха, °C;

- сумма коэффициентов местных сопротивлений, рассчитывается по формуле

(8.3)
где Sвх, Sвых - площади входного и выходного отверстий, приходящиеся на один погонный метр стены;
Sпр - площадь сечения воздушной прослойки, приходящейся на один погонный метр стены;

- толщина воздушной прослойки, м.
При расположении приточных и вытяжных отверстий воздушной прослойки на одной стороне здания принимается
Kн =
Kз и
формула (8.2) упрощается:

(8.4)
В
формулах (8.2) и
(8.4) используется средняя температура воздуха в прослойке
tпр, которая в свою очередь зависит от скорости движения воздуха в прослойке:

(8.5)
где

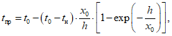
(8.6) - предельная температура воздуха в прослойке, °C;

(8.7) - условная высота, на которой температура воздуха в прослойке отличается от предельной температуры
t0 в
e раз

меньше, чем отличалась при входе в прослойку, м;
cв - удельная теплоемкость воздуха, равная 1005 Дж/(кг·°C);

- средняя плотность воздуха, равная 353/(273 +
tпр) кг/м
3;
Rн - термическое сопротивление стены от воздушной прослойки до наружного воздуха (м2·°C)/Вт,

(8.8)
где

- коэффициент теплоотдачи наружной поверхности ограждающей конструкции, Вт/(м
2·°C); принимается по
таблице 6 СП 50.13330.2012;
Rоб - термическое сопротивление облицовочной плитки НФС, (м2·°C)/Вт.
Для расчета в качестве
Rв берется приведенное сопротивление теплопередаче глухой стены с НФС

по
формуле (5.1) настоящего свода правил.
Коэффициент теплоотдачи

равен сумме конвективного и лучистого коэффициентов теплоотдачи

.
Конвективный коэффициент теплоотдачи

рассчитывается по формуле

(8.9)
Лучистый коэффициент теплоотдачи определяется по формуле

(8.10)
где C0 - коэффициент излучения абсолютно черного тела, Вт/(м2·К4), равный 5,77;
C1, C2 - коэффициент излучения поверхностей, Вт/(м2·К4), в случае отсутствия данных по применяемым материалам, принимаются равными 4,4 для минеральной ваты, 5,3 для неметаллической облицовки, 0,5 для облицовки полированным (со стороны прослойки) металлом;
m - температурный коэффициент, который рассчитывается по формуле

. (8.11)
В процессе расчетов температура прослойки изменяется, а температурный коэффициент изменяется слабо. Поэтому он находится один раз в начале расчетов для температуры tн + 1.
Температура и скорость движения воздуха в прослойке находятся методом итераций: по
формуле (8.5) определяется средняя температура воздуха в прослойке с коэффициентом теплоотдачи в прослойке

, затем по
формуле (8.2) или
(8.4) определяется средняя скорость движения воздуха в прослойке при полученной температуре, по
формулам (8.9) и
(8.10) пересчитывается коэффициент теплоотдачи в прослойке, по
формуле (8.8) пересчитывается термическое сопротивление стены от воздушной прослойки до наружного воздуха, по
формуле (8.5) определяется средняя температура воздуха в прослойке для скорости движения воздуха в прослойке, полученной на предыдущем шаге и т.д. На первом шаге средняя скорость движения воздуха в прослойке принимается равной 0 м/с. Шаги итерации продолжаются, пока разница между скоростями воздуха на соседних шагах не станет меньше 10%.
В результате расчета находятся температура и скорость движения воздуха в прослойке, а также коэффициент теплоотдачи в прослойке

.
Допускается находить приближенную скорость движения воздуха в прослойке

, м/с, без итераций по формуле

(8.12)
В этом случае допускается

принимать равным 12 Вт/(м
2·°C). Средняя температура воздуха в прослойке рассчитывается также по
формуле (8.5).
Использовать формулу (8.12) и упрощенный подход допускается только при выполнении условия:

(8.13)
В случае невыполнения условия (8.13) или, при необходимости более точных расчетов,
формулу (8.12) можно использовать для нахождения стартовой скорости для выполнения процесса итераций, описанного выше.
8.4.2 Расчет влажностного режима наружных стен с НФС с вентилируемой воздушной прослойкой
Для определения таких характеристик конструкции, как долговечность и расчетная теплопроводность, рассчитывают влажностный режим конструкции в многолетнем цикле эксплуатации (нестационарный влажностный режим) с применением специализированного программного комплекса. В наружных граничных условиях учитывают сопротивление паропроницанию ветрозащиты и наружной облицовки, а также воздухообмен в воздушной прослойке.
Результатом расчета является распределение влажности по толщине конструкции в любой момент времени ее эксплуатации, по которому определяют эксплуатационную влажность материалов конструкции.
По результатам расчета влажностного режима конструкции в многолетнем цикле эксплуатации проверяется соблюдение двух требований к конструкции:
1) максимальная влажность утеплителя не должна превышать критической величины, которую принимают равной сумме
wБ - расчетной влажности материала для условий эксплуатации Б для применяемого утеплителя и

- предельно допустимого приращения влажности материала по
таблице 10 СП 50.13330.2012;
2) средняя влажность утеплителя и основания в месяц наибольшего увлажнения не должна превышать расчетную влажность материала для условий эксплуатации.
Если для какого-либо из слоев конструкции требования к влажностному режиму стены не выполняются, рекомендуется усиливать внутреннюю штукатурку, или увеличивать воздухообмен в воздушной прослойке, или уменьшать сопротивление паропроницанию ветрозащиты.
Дополнительным результатом расчета нестационарного влажностного режима является величина потока водяного пара из конструкции в воздушную прослойку

, мг/(ч·м
2), в наиболее холодный месяц.
По потоку водяного пара рассчитывается коэффициент k, мг/(м2·ч·Па), используемый в дальнейших расчетах:

(8.14)
Допускается рассчитывать коэффициент k по приближенной формуле

(8.15)
где

- полное сопротивление паропроницанию стены, м
2·ч·Па/мг;

- сопротивление паропроницанию слоев от основания до воздушной прослойки, м
2·ч·Па/мг; (в общем случае это сумма сопротивлений паропроницанию слоев пароизоляции, утеплителя, ветрозащиты и сопротивления влагообмену в воздушной прослойке, который приближенно принимается равным 0,02 м
2·ч·Па/мг);

(8.16)
где

- значение производной кривой сорбции, определяемой по
ГОСТ 24816; для материала основания стены при

;

- паропроницаемость материала основания, мг/(м·ч·Па);

- плотность материала основания, кг/м
3;
Eос - давление насыщенного водяного пара при средней температуре основания в расчетных условиях (для средней температуры наиболее холодного месяца).
8.4.3 Расчет влажности воздуха на выходе из вентилируемой воздушной прослойки
Давление водяного пара в воздушной прослойке определяется балансом пришедшей из конструкции в прослойку и ушедшей из прослойки наружу влаги. Расчет проводится для наиболее холодного месяца. Парциальное давление водяного пара в воздушной прослойке eпр, Па, находится из уравнения баланса:

(8.17)
где

- предельное парциальное давление водяного пара в прослойке, Па;

- условная высота падения парциального давления водяного пара, м;
eн - парциальное давление водяного пара наружного воздуха, Па;

- сопротивление паропроницанию облицовки фасада, м
2·ч·Па/мг;
Величина eпр сравнивается с величиной давления насыщенного водяного пара при температуре воздуха, равной tн, и если eпр > Eн, то принимаются меры по улучшению влажностного режима воздушной прослойки: увеличивается ширина воздушной прослойки, уменьшается высота непрерывной воздушной прослойки (устанавливаются рассечки вентилируемой прослойки), увеличивается ширина зазора между плитками облицовки.
В случае разделения вентилируемой прослойки рассечками следует предусмотреть продухи для выхода воздуха из нижней части прослойки и забора воздуха в верхнюю часть прослойки. По возможности следует препятствовать смешиванию выбрасываемого и забираемого воздуха.
8.4.4 Расчет требуемой величины сопротивления воздухопроницанию стены с НФС с вентилируемой воздушной прослойкой
Требуемая воздухопроницаемость стены с облицовкой на относе Gтр, кг/(м2·ч), рассчитывается по формуле

(8.18)
где Г - параметр, приведенный в таблице 8.5;

- полное сопротивление паропроницанию стены, м
2·ч·Па/мг.
Таблица 8.5
Значения параметра Г, для различных значений
параметров
D и

| 0,005 | 0,01 | 0,015 | 0,02 | 0,03 | 0,04 | 0,06 | 0,08 | 0,1 | 0,12 |
0,02 | 3,96 | 1,61 | 0,62 | | | | | | | |
0,04 | 8,16 | 4 | 2,5 | 1,64 | 0,63 | | | | | |
0,06 | | 6,17 | 4,05 | 2,92 | 1,66 | 0,92 | | | | |
0,08 | 16,7 | | 5,54 | 4,1 | 2,55 | 1,68 | 0,65 | | | |
0,1 | | 10,5 | | 5,24 | 3,39 | 2,38 | 1,22 | 0,51 | | |
0,12 | 25,6 | | 8,52 | | 4,19 | 3,03 | 1,73 | 0,96 | 0,42 | |
0,14 | | 15,1 | | 7,54 | | 3,67 | 2,22 | 1,39 | 0,81 | |
0,16 | 34,9 | | 11,6 | | 5,8 | | 2,69 | 1,79 | 1,17 | 0,7 |
0,18 | | 19,8 | | 9,92 | | 4,92 | | 2,17 | 1,51 | 1,02 |
0,2 | 44,6 | | 14,9 | | 7,43 | | 3,61 | | 1,84 | 1,32 |
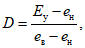
Параметр D рассчитывается по формуле

(8.19)
где Eу - давление насыщенного водяного пара на границе между утеплителем и вентилируемой воздушной прослойкой, Па.
Параметр

рассчитывается по формуле

(8.20)
где

- сопротивление влагообмену на наружной границе ограждающей конструкции, м
2·ч·Па/мг, рассчитывается по формуле

(8.21)
Полное сопротивление паропроницанию стены определяется как сумма сопротивлений паропроницанию всех слоев конструкции плюс сопротивления влагообмену на наружной и внутренней границах стены.
Воздухопроницаемость конструкции не должна превышать требуемую. Воздухопроницаемость конструкции определяется в соответствии с
разделом 7 СП 50.13330.2012 для условий наиболее холодного месяца.
8.5 Требование к наружному штукатурному слою стен с фасадами с тонким штукатурным слоем
Для фасадов с тонким штукатурным слоем при проверке защиты от переувлажнения допускается заменять методику, изложенную в
разделе 8 СП 50.13330.2012, методикой, изложенной в данном подразделе.
Проверка проводится для климатических параметров, средних за период с отрицательными среднемесячными температурами.
Сопротивление паропроницанию наружного штукатурного слоя

, м
2·ч·Па/мг, должно удовлетворять условию:

(8.22)
8.6 Определение влажности внутреннего воздуха помещения с учетом наличия солей
Наличие неорганических гигроскопических солей в материале наружных ограждающих конструкций зданий вызывает понижение парциального давления насыщенного водяного пара над растворами солей в поровом пространстве стенового материала.
Тогда в
формулах (8.1) -
(8.3) СП 50.13330.2012 вместо значения
Eв следует принимать
Eрi, (при наличии одной соли) и
Eр (при наличии смеси солей), вместо

- принимать

,
где Eрi, Eр - парциальное давление водяного пара, соответственно, над насыщенным раствором соли и смеси солей, Па, при температуре внутреннего воздуха tв;

- относительная влажность внутреннего воздуха, %, с учетом наличия солей, рассчитываемая по формуле

(8.23)
где

- относительная влажность внутреннего воздуха, %, в отсутствие солей;

- относительная влажность воздуха, %, над насыщенным водным раствором соли.
При превышении значением

, вычисленным по
формуле (8.23), 100% его следует принимать равным 100%.
При содержании в материале ограждающей конструкции одной соли значения
Eрi и

принимаются по интерполяции данных таблицы 8.6.
Таблица 8.6
Парциальное давление водяного пара Eрi, Па, и относительная
влажность воздуха

, %, над насыщенными растворами отдельных
солей при давлении B = 100,7 кПа
Химическая формула вещества | Парциальное давление водяного пара, Eрi, Па, при температуре t, °C | Относительная влажность над насыщенным раствором соли  , %, при температуре t, °C |
10 | 15 | 20 | 25 | 30 | 10 | 15 | 20 | 25 | 30 |
ZnBr2 | - | - | 230,6 | 286,6 | 305,3 | - | - | 9,9 | 9,0 | 7,2 |
MgCl2 | - | - | - | - | 1400 | - | - | - | - | 33,0 |
Na2S2O3 | 548 | 761,3 | 1051 | 1451 | 1895 | 44,6 | 44,7 | 45,0 | 45,8 | 44,6 |
Mg(NO3)2 | - | - | 1261 | 1659 | 2169 | - | - | 53,9 | 52,4 | 51,1 |
Ca(NO3)2 | 746,6 | 954,6 | 1288 | 1605 | 2005 | 60,8 | 56,0 | 55,1 | 50,7 | 47,2 |
NaBr | - | 959,9 | 1400 | 1787 | 2240 | - | 56,3 | 60,0 | 56,4 | 52,8 |
NH4NO3 | 917,3 | 1193 | 1566 | 1992 | 2524 | 74,7 | 70,0 | 67,0 | 62,9 | 59,4 |
NaNO3 | 950,6 | 1313 | 1804 | 2364 | 3076 | 77,4 | 77,0 | 77,2 | 74,6 | 72,4 |
NaCl | 923,6 | 1279 | 1807 | 2381 | 3253 | 75,2 | 75,0 | 77,3 | 75,2 | 76,6 |
NH4Cl | 969,3 | 1353 | 1856 | 2416 | 3281 | 78,9 | 79,4 | 79,4 | 76,3 | 77,3 |
Ca(NH2)2 | 997,2 | 1365 | 1873 | 2408 | 3078 | 81,2 | 80,1 | 80,1 | 76,0 | 72,5 |
(NH4)2SO4 | 971,9 | 1355 | 1896 | 2600 | 3362 | 79,1 | 79,5 | 81,1 | 82,1 | 79,2 |
Na2SO4 | 909,3 | 1333 | 1927 | 2748 | 3633 | 74,0 | 78,2 | 82,4 | 86,7 | 85,6 |
KCl | 1055 | 1445 | 1968 | 2636 | 3733 | 85,9 | 84,8 | 84,2 | 83,2 | 87,9 |
| | ИС МЕГАНОРМ: примечание. Формула дана в соответствии с официальным текстом документа. | |
|
NaSO3 | 1075 | 1487 | 2038 | 2762 | 3706 | 87,5 | 87,2 | 87,2 | 87,2 | 87,3 |
CdSO4 | 1099 | 1511 | 2077 | 2812 | 3768 | 89,5 | 88,6 | 88,8 | 88,8 | 88,7 |
Na2CO3 | - | 1601 | 2090 | 2704 | 3465 | - | 93,9 | 89,4 | 85,4 | 81,6 |
CdBr2 | - | - | 2120 | 2820 | 3678 | - | - | 90,7 | 89,0 | 86,6 |
ZnSO4 | 1189 | 1597 | 2126 | 2802 | 3661 | 96,8 | 93,7 | 90,9 | 88,4 | 86,2 |
NH4H2PO4 | 1192 | 1658 | 2146 | 2921 | 3890 | 97,1 | 97,2 | 91,8 | 92,2 | 91,6 |
KNO3 | 1183 | 1635 | 2161 | 2925 | 3845 | 96,3 | 95,9 | 92,4 | 92,3 | 90,6 |
CaH4(PO4)2 | 1193 | 1689 | 2202 | 3052 | 3980 | 97,1 | 99,1 | 94,2 | 96,3 | 93,7 |
KH2PO4 | 1195 | 1683 | 2251 | 3034 | 3946 | 97,3 | 98,7 | 96,3 | 95,8 | 92,9 |
MgSO4 | - | - | - | - | 4000 | - | - | - | - | 94,2 |
K2SO4 | 1208 | 1701 | 2306 | 3141 | 4112 | 98,4 | 99,8 | 98,6 | 99,2 | 96,8 |
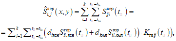
При наличии в материале наружных ограждающих конструкций солей, образующих разные виды кристаллогидратов одной соли при данной температуре, над раствором смеси кристаллогидратов давление Eр принимается равным давлению Eрi над раствором кристаллогидрата с наибольшим количеством молекул воды.
Для солей, которые не образуют кристаллогидраты, давление пара изотермически инвариантных смешанных растворов и смешанных растворов, насыщенных хотя бы одним компонентом или близких к насыщению, Eр рассчитывается по формуле

(8.24)
где ci - концентрация i-й соли в растворе смеси солей, масс.%;

- содержание воды в насыщенном растворе
i-й соли, масс.%;

- концентрация
i-й соли в насыщенном растворе
i-й соли, масс.%;

- содержание воды в растворе смеси солей, масс.%.
Значения

,

принимаются по справочникам растворимости водно-солевых систем. Значения
ci и

принимаются по результатам исследований материала наружных ограждающих конструкций. Значения
Eр и

для многокомпонентных растворов NaCl + K
2SO
4 + KCl и NaCl + Na
2SO
4 принимаются по таблице 8.7, при наличии смесей других солей - по справочникам растворимости многокомпонентных систем.
Таблица 8.7
Парциальное давление водяного пара Eр, Па, и относительная
влажность воздуха

, %, над насыщенными растворами смесей
солей при давлении B = 100,7 кПа
t, °C | Состав смеси солей |
NaCl + K2SO4 + KCl | NaCl + Na2SO4 |
Eр, Па |  , % | Eр, Па |  , % |
10 | 908,0 | 73,9 | 896,2 | 70,78 |
15 | 1277,9 | 75,0 | 1131,3 | 66,35 |
20 | 1778,6 | 76,1 | 1637,8 | 70,05 |
25 | 2353,1 | 74,3 | 2449, 8 | 77,33 |
30 | 3155,3 | 74,3 | 3344,5 | 78,77 |
8.7 Влияние повреждений от крепежа на сопротивление паропроницанию металлического основания и пароизоляционного слоя в плоских кровлях
Для конструкций плоских кровель с основанием в виде металлического профлиста при проверке защиты от переувлажнения по методике
раздела 8 СП 50.13330.2012 сопротивление паропроницанию металлического основания не учитывается при расчетах. При этом сопротивление паропроницанию пароизоляционного слоя следует принимать с учетом влияния повреждения от крепежа. Для этого при нахождении общего сопротивления паропроницанию кровельной ограждающей конструкции
Rо.п, м
2·ч·Па/мг, сопротивление паропроницанию пароизоляционного слоя закладывается с учетом понижающего коэффициента:
(1 - k)·Rп.п, (8.25)
где Rп.п - сопротивление паропроницанию пароизоляционного слоя, м2·ч·Па/мг;
k - экспериментально установленное снижение сопротивления паропроницанию от точечного повреждения (с учетом масштабного коэффициента).
Примечание - При отсутствии других установленных экспериментальных данных следует принимать для полимерных пароизоляционных пленок k = 0,05, для битумизированных пароизоляционных материалов k = 0,005.
(п. 8.7 введен
Изменением N 2, утв. Приказом Минстроя России от 23.12.2022 N 1117/пр)
9 Теплоусвоение поверхности полов
9.1 Требования к теплоусвоению поверхности полов
Требования к теплоусвоению поверхности полов устанавливаются в
разделе 9.1 СП 50.13330.2012.
Согласно данному разделу поверхность пола жилых и общественных зданий, вспомогательных зданий и помещений промышленных предприятий и отапливаемых помещений производственных зданий (на участках с постоянными рабочими местами) должна иметь расчетный показатель теплоусвоения
Yпол, Вт/(м
2·°C), не более нормируемой величины

, приведенной в
таблице 12 СП 50.13330.2012.
9.2 Расчет теплоусвоения поверхности полов
Методические указания по расчету теплоусвоения поверхности полов приведены в
разделе 9.2 СП 50.13330.2012.
Согласно данному разделу расчетная величина показателя теплоусвоения поверхности пола Yпол, Вт/(м2·°C), определяется следующим образом:
а) если покрытие пола (первый слой конструкции пола) имеет тепловую инерцию D1 = R1s1 >= 0,5, то показатель теплоусвоения поверхности пола следует определять по формуле:
Yпол = 2s1; (9.1)
б) если первые n слоев конструкции пола (n >= 1) имеют суммарную тепловую инерцию D1 + D2 + ... + Dn < 0,5, но тепловая инерция (n + 1) слоев D1 + D2 + ... + Dn+1 >= 0,5, то показатель теплоусвоения поверхности пола Yпол следует определять последовательно расчетом показателей теплоусвоения поверхностей слоев конструкции, начиная с n-го до 1-го:
для n-го слоя - по формуле

(9.2)
для i-го слоя (i = n - 1; n - 2; ...; 1) - по формуле

(9.3)
Показатель теплоусвоения поверхности пола Yпол принимается равным показателю теплоусвоения поверхности 1-го слоя Y1.
Для полимерных рулонных и плиточных материалов показатель теплоусвоения определяется по
ГОСТ 25609.
10 Расход тепловой энергии и холода на отопление, вентиляцию и кондиционирование здания
(в ред.
Изменения N 2, утв. Приказом Минстроя России от 23.12.2022 N 1117/пр)
10.1 Требования к удельной характеристике расхода тепловой энергии на отопление и вентиляцию зданий
Требования к расходу тепловой энергии на отопление и вентиляцию зданий установлены в
разделе 10 СП 50.13330.2012.
10.2 Методика расчета удельной характеристики расхода тепловой энергии на отопление и вентиляцию зданий
Методика расчета удельной характеристики расхода тепловой энергии на отопление и вентиляцию жилых и общественных зданий представлена в
приложении Г СП 50.13330.2012.
10.3 Методика расчета удельной характеристики теплопоступлений в здание от проникающей солнечной радиации
Удельная характеристика теплопоступлений в здание от проникающей солнечной радиации
kрад, Вт/(м
3·°C), за отопительный период рассчитывается в соответствии с
приложением Г СП 50.13330.2012 по формуле

(10.1)
где Vот - отапливаемый объем здания, м3;
ГСОП - значение градусо-суток отопительного периода для района строительства, °C сут/год, определяемое по
формуле (5.2) СП 50.13330;

- суммарные теплопоступления через окна, расположенные на фасадах, ориентированных по направлениям
j, и фонари от солнечной радиации в течение отопительного периода, МДж/год, вычисляются по формуле

(10.2)
где

- суммарная радиация за отопительный период для вертикальной поверхности, ориентированной по направлению
j, МДж/год·м
2; принимается по климатологическим справочным данным;
Iгор - суммарная радиация за отопительный период для горизонтальной поверхности, МДж/год·м2; принимается по климатологическим справочным данным;
Ajl, Aфон - площадь окон, ориентированных по направлению j, и зенитных фонарей, соответственно, м2;
gjl,
gфон - коэффициенты общего пропускания солнечной энергии для окон (
l - индекс окна), ориентированных по направлению
j, и зенитных фонарей, соответственно, определяемые как сумма коэффициента прямого пропускания солнечной энергии и коэффициента вторичной теплопередачи внутрь помещения, отн. ед., определяемые экспериментально или по
приложению Б настоящего свода правил;

,

- коэффициенты, учитывающие затенение светового проема окон и зенитных фонарей непрозрачными элементами заполнения, отн. ед., рассчитываемые по формуле (см.
ГОСТ 26602.4)

, (10.3)
где

- индекс
l'-й светопрозрачной ячейки <1>; для светопрозрачной ячейки прямоугольной формы

, для светопрозрачной ячейки круглой формы

;
--------------------------------
<1> Светопрозрачная ячейка - часть оконного блока, ограниченная переплетами и заполненная только остеклением.
здесь dl' - толщина переплета l'-й ячейки, м;
rl' - радиус ячейки, м;
Aок - площадь оконного блока по наружному обмеру, м2;

- площадь
l'-й ячейки в свету, м
2;
al', bl' - ширина и высота l'-й ячейки в свету, м;

- коэффициент диффузного отражения внутренних граней переплета
l'-й ячейки, отн. ед.;
L' - общее количество светопрозрачных ячеек в оконном блоке.
(в ред.
Изменения N 1, утв. Приказом Минстроя России от 31.10.2019 N 664/пр)
Формула (10.4) исключена с 01.05.2020. -
Изменение N 1, утв. Приказом Минстроя России от 31.10.2019 N 664/пр.
Суммарная (прямая плюс рассеянная) солнечная радиация на горизонтальную поверхность (покрытие, зенитные фонари) Iгор, МДж/год·м2, при действительных условиях облачности за отопительный период для климатического района строительства рассчитывается по формуле

(10.5)
где

- суммарная солнечная радиация на горизонтальную поверхность при действительных условиях облачности для
i-го месяца отопительного периода, МДж/год·м
2;
m - число месяцев отопительного периода со среднесуточной температурой наружного воздуха, равной и ниже 8 °C, по
СП 131.13330.
Суммарная (прямая, рассеянная и отраженная) солнечная радиация на вертикальную поверхность (стены и окна)

, МДж/год·м
2, при действительных условиях облачности за отопительный период рассчитывается по формуле

(10.6)
где

- прямая солнечная радиация на вертикальную поверхность при действительных условиях облачности в
i-м месяце отопительного периода для
j-й ориентации, МДж/м
2;

,

- рассеянная и отраженная солнечная радиация на вертикальную поверхность при действительных условиях облачности в
i-м месяце отопительного периода, МДж/м
2;

,

- прямая и рассеянная солнечная радиация на горизонтальную поверхность при действительных условиях облачности в
i-м месяце отопительного периода, МДж/м
2, принимается по климатологическим справочным данным;
Aki - альбедо поверхности земли в i-м месяце отопительного периода, %, принимается по климатологическим справочным данным;
KГВji - коэффициент пересчета прямой солнечной радиации с горизонтальной поверхности на вертикальную
i-го месяца отопительного периода для
j-й ориентации, принимается по данным
приложения В настоящего свода правил.
10.4 Правила определения отапливаемых площадей и объемов зданий
Отапливаемую площадь здания Aот, м2, следует определять как площадь этажей (в том числе мансардного, отапливаемого цокольного и подвального) здания, измеряемую в пределах внутренних поверхностей наружных стен, включая площадь, занимаемую перегородками и внутренними стенами. При этом площадь лестничных клеток и лифтовых шахт включается в площадь этажа.
В отапливаемую площадь здания не включаются площади теплых чердаков и подвалов, неотапливаемых технических этажей, подвала (подполья), холодных неотапливаемых веранд, неотапливаемых лестничных клеток, а также холодного чердака или его части, не занятой под мансарду.
При определении площади мансардного этажа учитывается площадь с высотой до наклонного потолка 1,2 м при наклоне 30° к горизонту; 0,8 м - при 45° - 60°; при 60° и более - площадь измеряется до плинтуса.
Площадь жилых помещений здания Aж, м2, рассчитывается как сумма площадей всех общих комнат (гостиных) и спален.
Отапливаемый объем здания Vот, м3, рассчитывается как произведение отапливаемой площади этажа на внутреннюю высоту, измеряемую от поверхности пола первого этажа до поверхности потолка последнего этажа.
При сложных формах внутреннего объема здания отапливаемый объем определяется как объем пространства, ограниченного внутренними поверхностями наружных ограждений (стен, покрытия или чердачного перекрытия, цокольного перекрытия).
Площадь наружных ограждающих конструкций

, м
2, рассчитывается по внутренним размерам здания. Общая площадь наружных стен (с учетом оконных и дверных проемов) рассчитывается как произведение периметра наружных стен по внутренней поверхности на внутреннюю высоту здания, измеряемую от поверхности пола первого этажа до поверхности потолка последнего этажа с учетом площади оконных и дверных откосов глубиной от внутренней поверхности стены до внутренней поверхности оконного или дверного блока. Суммарная площадь окон определяется по размерам проемов в свету. Площадь наружных стен (непрозрачной части) рассчитывается как разность общей площади наружных стен и площади окон и наружных дверей.
Площадь горизонтальных наружных ограждений (покрытия, чердачного и цокольного перекрытий) рассчитывается как площадь этажа здания (в пределах внутренних поверхностей наружных стен).
При наклонных поверхностях потолков последнего этажа площадь покрытия, чердачного перекрытия определяется как площадь внутренней поверхности потолка.
10.5 Форма энергетического паспорта проекта здания
Форма энергетического паспорта проекта здания представлена в
приложении Д СП 50.13330.2012.
10.6 Методика расчета теплопоступлений от солнечной радиации в летний период с учетом противостоящего здания
(подраздел 10.6 введен
Изменением N 2, утв. Приказом Минстроя России от 23.12.2022 N 1117/пр)
В условиях городской застройки противостоящие здания перекрывают часть небосвода, ограничивая тем самым поступление солнечной радиации. Влияние противостоящих зданий на поступление солнечной радиации рассматривается в настоящем подразделе.
Суммарные теплопоступления через светопрозрачные оконные конструкции, расположенные на фасадах, ориентированных по направлениям j, с учетом противостоящего здания от солнечной радиации в течение летнего периода, МДж/год, определяются по формуле

, (10.7)
где
gjl,

,
Ajl - то же, что в формуле (10.2);

- суммарная солнечная радиация, поступающая на
j-й фасад с учетом противостоящего здания за летний период, МДж/(год·м
2), определяется по формуле

, (10.8)
где m1 - число месяцев летнего периода со среднесуточной температурой наружного воздуха, равной и превышающей 26 °C;
i - месяц летнего периода.
Расчет поступления прямой солнечной радиации на j-й фасад с учетом затенения противостоящим зданием для i-го месяца летнего периода проводится по формуле

(10.9)
где
k - количество временных интервалов облучения, определяется по
пункту 10.5 СП 370.1325800.2017;
l - номер временного интервала;
tlн, tlк - истинное солнечное время начала и окончания облучения фасада за l-й период;

- коэффициент пересчета прямой солнечной радиации с горизонтальной поверхности на вертикальную, для середины часового интервала для каждого часа облучения
i-го месяца для
j-го фасада, определяется по
приложению В;

- текущее истинное солнечное время, ч;
diясн,
diобл - число ясных и облачных дней в
i-ом месяце, принимается по климатологическим справочным данным
[1];

,

- прямая солнечная радиация, поступающая на горизонтальную поверхность в ясные дни и облачные дни
i-го месяца соответственно, за

интервал
l по истинному солнечному времени

, принимается по климатологическим справочным данным
[1], МДж/м
2.
Расчет поступления рассеянной солнечной радиации с учетом противостоящего здания на j-й фасад проводится по формуле

, (10.10)
где

,

- рассеянная солнечная радиация, поступающая на горизонтальную поверхность в ясные дни и облачные дни
i-го месяца соответственно, принимается по климатологическим справочным данным
[1], МДж/м
2;

- коэффициент перекрытия небосвода, определяется по таблице 10.1.
Таблица 10.1
Значения коэффициента перекрытия небосвода
противостоящим зданием 
HL | Значения  при значениях углового перекрытия противостоящим зданием середины фасада исследуемого здания |
| | | | | | | | |
1 | 0,012 | 0,048 | 0,104 | 0,175 | 0,252 | 0,323 | 0,374 | 0,393 |
2 | 0,014 | 0,057 | 0,126 | 0,216 | 0,321 | 0,429 | 0,517 | 0,554 |
3 | 0,015 | 0,059 | 0,13 | 0,225 | 0,338 | 0,461 | 0,573 | 0,625 |
4 | 0,015 | 0,059 | 0,131 | 0,228 | 0,344 | 0,473 | 0,598 | 0,663 |
5 | 0,015 | 0,06 | 0,132 | 0,229 | 0,346 | 0,478 | 0,611 | 0,687 |
Примечание - HL - отношение высоты превышения противостоящего здания над серединой фасада исследуемого здания к расстоянию между зданиями. |
Расчет солнечной радиации, отраженной от противостоящего здания, проводится по формуле

(10.11)
где

и

- прямая солнечная радиация, поступающая на фасад противостоящего здания, расположенный напротив исследуемого
j-го фасада, в ясные и облачные дни
i-го месяца соответственно, определяется по
формуле (10.9), МДж/м
2;

и

- рассеянная солнечная радиация, поступающая на фасад противостоящего здания в ясные и облачные дни
i-го месяца, определяется по
формуле (10.10), МДж/м
2;
rзд(
x,
y) - коэффициент поступления отраженной от фасада противостоящего здания солнечной радиации, определяется как

по
таблице 10.1 для верхней и нижней частей здания отдельно и суммируется; при этом для нижней части противостоящего здания
HL в
таблице 10.1 определяется как отношение высоты середины фасада исследуемого здания к расстоянию между зданиями;
Aзд - средневзвешенный альбедо фасада противостоящего здания, определяется по формуле

, (10.12)
где Ay и Sy - альбедо и площадь локальных поверхностей с y-м типом покрытия, % и м2, соответственно; Ay определяется по формуле

(10.13)
где

- коэффициент поглощения
y-го покрытия солнечной радиации, определяется по
таблице И.1 СП 50.13330.2012.
Расчет солнечной радиации, отраженной подстилающей поверхностью, для i-го месяца проводится по формуле

, (10.14)
где
Aki - альбедо подстилающей поверхности
i-го месяца, определяется по климатологическим справочным данным
[1], %;

,

- суммарная солнечная радиация, поступающая на горизонтальную поверхность в ясные и облачные дни
i-го месяца соответственно, определяется по климатологическим справочным данным
[1], МДж/м
2;
10.7 Расчет теплопоступлений от солнечной радиации в помещения при наличии солнцезащитных устройств
(подраздел 10.7 введен
Изменением N 2, утв. Приказом Минстроя России от 23.12.2022 N 1117/пр)
Расчет поступления теплоты солнечной радиации в помещения при наличии солнцезащитных устройств для расчета нагрузки на систему кондиционирования рассмотрен в
приложении И.
11 Теплофизические расчеты отдельных элементов зданий
11.1 Теплотехнический расчет ограждающих конструкций теплых чердаков
11.1.1 Требуемое сопротивление теплопередаче перекрытия теплого чердака

, (м
2·°C)/Вт, рассчитывается по формуле

(11.1)
где

- нормируемое сопротивление теплопередаче покрытия, определяемое по
формуле (5.1) СП 50.13330.2012 в зависимости от градусо-суток отопительного периода климатического района строительства;
nt - коэффициент, определяемый по
формуле (5.3) СП 50.13330.2012, которая применительно к теплому чердаку имеет вид:

(11.2)
где tв - расчетная температура внутреннего воздуха помещений верхнего этажа, °C;
tн - расчетная температура наружного воздуха, °C;

- расчетная температура воздуха в чердаке, °C; для расчета теплового баланса для 6 - 8-этажных зданий - 14 °C, для 9 - 12-этажных зданий - 15 - 16 °C, для 14 - 17-этажных зданий - 17 - 18 °C. Для зданий ниже 6 этажей чердак, как правило, выполняют холодным, а вытяжные каналы из каждой квартиры выводят на кровлю.
11.1.2 Проверяют условие

для перекрытия по формуле

(11.3)
где
tв,

- тоже, что и в
(11.2);

- приведенное сопротивление перекрытия, превышающее требуемое по
формуле (11.1), (м
2·°C)/Вт;

- коэффициент теплоотдачи поверхности перекрытия в помещении, Вт/(м
2·°C);

- нормируемый температурный перепад, принимаемый согласно
СП 50.13330.2012 равным 3 °C.
Если условие

не выполняется, то следует увеличить сопротивление теплопередаче перекрытия

до значения, обеспечивающего это условие.
11.1.3 Требуемое сопротивление теплопередаче покрытия

, (м
2·°C/Вт), рассчитывают по формуле

(11.4)
где
tв,
tн,

- то же, что и в
(11.2);
Gвент - приведенный (отнесенный к 1 м
2 пола чердака) расход воздуха в системе вентиляции, кг/(м
2·ч), определяемый по
таблице 11.1;
c - удельная теплоемкость воздуха, равная 1 кДж/(кг·°C);
tвент - температура воздуха, выходящего из вентиляционных канатов, принимаемая равной tв + 1,5, °C;

- требуемое сопротивление теплопередаче чердачного перекрытия теплого чердака, (м
2·°C)/Вт, устанавливаемое согласно
СП 50.13330;

- нормируемое сопротивление теплопередаче наружных стен теплого чердака, (м
2·°C)/Вт, определяемое согласно
11.1.4;
qтр,i - линейная плотность теплового потока через поверхность теплоизоляции, приходящаяся на 1 м длины трубопровода
i-го диаметра с учетом теплопотерь через изолированные опоры, фланцевые соединения и арматуру, Вт/м; для чердаков и подвалов значения
qpi приведены в
таблице 11.2;
lтр,i - длина трубопровода i-го диаметра, м, принимается по проекту;
aчерд.ст - приведенная (отнесенная к 1 м2 пола чердака) площадь наружных стен теплого чердака, м2/м2, определяемая по формуле
aчерд.ст = Aчерд.ст/Aчерд.т, (11.5)
где Aчерд.ст - площадь наружных стен чердака, м2;
Aчерд.т - площадь перекрытия теплого чердака, м2.
Таблица 11.1
Приведенный расход воздуха в системе вентиляции
Этажность здания | Приведенный расход воздуха Gвент, кг/(м2·ч), при наличии в квартирах |
газовых плит | электроплит |
5 | 12 | 9,6 |
9 | 19,5 | 15,6 |
12 | - | 20,4 |
16 | - | 26,4 |
22 | - | 35,2 |
25 | - | 39,5 |
Таблица 11.2
Нормируемая плотность теплового потока через поверхность
теплоизоляции трубопроводов на чердаках и в подвалах
Условный диаметр трубопровода, мм | Средняя температура теплоносителя, °C |
60 | 70 | 95 | 105 | 125 |
Линейная плотность теплового потока qmp,i, Вт/м |
10 | 7,7 | 9,4 | 13,6 | 15,1 | 18 |
15 | 9,1 | 11 | 15,8 | 17,8 | 21,6 |
20 | 10,6 | 12,7 | 18,1 | 20,4 | 25,2 |
25 | 12 | 14,4 | 20,4 | 22,8 | 27,6 |
32 | 13,3 | 15,8 | 22,2 | 24,7 | 30 |
40 | 14,6 | 17,3 | 23,9 | 26,6 | 32,4 |
50 | 14,9 | 17,7 | 25 | 28 | 34,2 |
70 | 17 | 20,3 | 28,3 | 31,7 | 38,4 |
80 | 19,2 | 22,8 | 31,8 | 35,4 | 42,6 |
100 | 20,9 | 25 | 35,2 | 39,2 | 47,4 |
125 | 24,7 | 29 | 39,8 | 44,2 | 52,8 |
150 | 27,6 | 32,4 | 44,4 | 49,1 | 58,2 |
Примечание - Плотность теплового потока в таблице определена при средней температуре окружающего воздуха 18 °C. При меньшей температуре воздуха плотность теплового потока возрастает с учетом следующей зависимости  (11.6) где q18 - линейная плотность теплового потока по таблице 11.2; tT - температура теплоносителя, циркулирующего в трубопроводе при расчетных условиях, °C; t - температура воздуха в помещении, где проложен трубопровод, °C. |
11.1.4 Нормируемое сопротивление теплопередаче наружных стен теплого чердака

, (м
2·°C)/Вт, определяют согласно
СП 50.13330 в зависимости от градусо-суток отопительного периода климатического района строительства при расчетной температуре воздуха в чердаке

.
11.1.5 Проверяют наружные ограждающие конструкции на невыпадение конденсата на их внутренних поверхностях. Температуру внутренней поверхности стен

, перекрытий

и покрытий

чердака следует определять по формуле

(11.7)

- коэффициент теплоотдачи внутренней поверхности наружного ограждения теплого чердака, Вт/(м
2·°C), принимаемый для стен - 8,7; для покрытий 7 - 9-этажных домов - 9,9; 10 - 12-этажных - 10,5; 13 - 16-этажных - 12 Вт/(м
2·°C);
Rо - приведенное сопротивление теплопередаче наружных стен

, перекрытий

и покрытий

теплого чердака, (м
2·°C)/Вт.
Температура точки росы tр вычисляется следующим образом:
а) рассчитывается влагосодержание воздуха чердака fчерд по формуле

(11.8)
где fн - влагосодержание наружного воздуха, г/м3, при расчетной температуре tн, рассчитываемое по формуле
fн = 0,00794·eн/(1 + tн/273), (11.9)
где
eн - среднее за январь парциальное давление водяного пара, Па, определяемое согласно
СП 131.13330;

- приращение влагосодержания за счет поступления влаги с воздухом из вентиляционных каналов, г/м
3, принимается: для домов с газовыми плитами - 4,0 г/м
3, для домов с электроплитами - 3,6 г/м
3;
б) рассчитывается парциальное давление водяного пара воздуха в теплом чердаке eчерд, Па, по формуле

(11.10)
в) по таблицам парциального давления насыщенного водяного пара определяется температура точки росы tр по значению E = eчерд.
Полученное значение
tр должно удовлетворять условию

(стен

, перекрытий

и покрытий

).
11.2 Теплотехнический расчет ограждающих конструкций технических подполий
11.2.1 Технические подполья (техподполья) - это подвалы с нижней разводкой труб систем отопления, горячего водоснабжения, а также труб системы водоснабжения и канализации.
11.2.2 Нормируемое сопротивление теплопередаче

, (м
2·°C)/Вт, части цокольной стены, расположенной выше уровня грунта, определяют
согласно 5.2 СП 50.13330.2012 для стен в зависимости от градусо-суток отопительного периода климатического района строительства. При этом в качестве расчетной температуры внутреннего воздуха принимают расчетную температуру воздуха в техподполье

, °C, равную не менее плюс 2 °C при расчетных условиях.
11.2.3 Определяют приведенное сопротивление теплопередаче

, (м
2·°C)/Вт, ограждающих конструкций заглубленной части техподполья, расположенных ниже уровня земли, согласно
подразделу 5.6 настоящего свода правил.
11.2.4 Нормируемое сопротивление теплопередаче цокольного перекрытия над техподпольем

, м
2·°C/Вт, рассчитывают по формуле

(11.11)
где

- нормируемое сопротивление теплопередаче перекрытий над техподпольем, определяемое в зависимости от градусо-суток отопительного периода климатического района строительства;
nt - коэффициент, определяемый по
формуле (5.3) СП 50.13330.2012, которая в данном случае имеет вид:

(11.12)
где tв - расчетная температура внутреннего воздуха помещений нижнего этажа, °C;
11.2.5 Температуру воздуха в техподполье

, °C, рассчитывают по формуле

(11.13)
где tв - расчетная температура воздуха в помещении над техподпольем, °C;
qтр,i,
lтр,i,
c - то же, что и в
(11.4);
Aцок.1 - площадь техподполья (цокольного перекрытия), м2;

- нормируемое сопротивление теплопередаче цокольного перекрытия, (м
2·°C)/Вт, устанавливаемое согласно
п. 11.2.4;
Vподп - объем воздуха, заполняющего пространство техподполья, м3;
nв - кратность воздухообмена в подвале, ч-1: при прокладке в подвале газовых труб nв = 1,0 ч-1, в остальных случаях nв = 0,5 ч-1;

- плотность воздуха в техподполье, кг/м
3, принимаемая равной

;
Aцок.3 - площадь пола и стен техподполья, контактирующих с грунтом, м2;
Aцок.ст - площадь наружных стен техподполья над уровнем земли, м2;
Если

отличается от первоначально заданной температуры более чем на 0,1 °C, расчет повторяют, принимая температуру в подполье равной полученной

по
11.2.4 -
11.2.5, до получения равенства величин в предыдущем и последующем шагах.
11.2.6 Рассчитывают

по формуле

(11.14)
где
tв - то же, что и в
11.2.4;
Проверяют полученное значение

на соблюдение требования по нормируемому температурному перепаду для пола первого этажа, не более

(
таблица 5 СП 50.13330.2012).
(в ред.
Изменения N 1, утв. Приказом Минстроя России от 31.10.2019 N 664/пр)
11.3 Расчет сопротивлений теплопередаче участков стен и окон, расположенных за остекленными лоджиями и балконами
11.3.1 При остеклении лоджий и балконов образуется замкнутое пространство, температура которого формируется в результате воздействия ограждающих конструкций этого пространства, среды помещения здания и наружных условий. Температура внутри этого пространства определяется на основе решения уравнения теплового баланса остекленной лоджии или балкона (далее - лоджии)

(11.15)
где tв - расчетная температура внутреннего воздуха помещения, °C;
tн - расчетная температура наружного воздуха, °C;
tбал - температура воздуха пространства остекленной лоджии, °C;

,

- соответственно площадь, м
2, и приведенное сопротивление теплопередаче, (м
2·°C)/Вт,
i-го участка ограждения между помещением здания и лоджией;
n - число участков ограждений между помещением здания и лоджией;

,

- соответственно площадь, м
2, и приведенное сопротивление теплопередаче, (м
2·°C)/Вт,
j-го участка ограждения между лоджией и наружным воздухом;
m - число участков ограждений между лоджией и наружным воздухом.
11.3.2 Температуру воздуха внутри остекленной лоджии tбал, °C, следует рассчитывать по формуле

(11.16)
11.3.3 При определении нормируемых значений приведенных сопротивлений теплопередаче ограждающих конструкций остекленной лоджии

и

, разделяющих внутреннюю и наружную среды, согласно
пункту 5.2 СП 50.13330.2012 базовые значения требуемых сопротивлений теплопередаче стен и окон по
таблице 3 СП 50.13330.2012 следует умножать на коэффициент
nt, рассчитанный по
формуле (5.3) СП 50.13330.2012, которая в данном случае будет иметь вид:

(11.17)
где nt - коэффициент, зависящий от положения наружной поверхности ограждающих конструкций здания по отношению к наружному воздуху; для наружных стен и окон остекленной лоджии;

- приведенное сопротивление теплопередаче наружной стены в пределах остекленной лоджии, (м
2·°C)/Вт;

- приведенное сопротивление теплопередаче заполнений оконных проемов и проемов лоджии, расположенных в наружной стене в пределах остекленной лоджии, (м
2·°C)/Вт.
11.4 Расчет приведенного сопротивления теплопередаче светопрозрачных ограждающих конструкций
Приближенный расчет приведенного сопротивления теплопередаче светопрозрачных ограждающих конструкций (в том числе в случае непрозрачного стеклопакета) проводится в соответствии с методикой, изложенной в
приложении Е СП 50.13330.2012. При этом в качестве плоского элемента выступает стеклопакет в своей центральной (однородной) части, в качестве линейных элементов принимаются узлы стыка стеклопакета с рамой, включая раму, в качестве точечных элементов принимаются узлы, образованные механизмами для открывания/закрывания проемов и конструктивными элементами, обеспечивающими сброс конструкций при избыточном давлении.
(в ред.
Изменения N 2, утв. Приказом Минстроя России от 23.12.2022 N 1117/пр)
11.4.1 Сопротивление теплопередаче центральной части стеклопакета принимается по результатам испытаний в лаборатории, допущенной к проведению таких испытаний в порядке, установленном действующим законодательством Российской Федерации. В случае отсутствия данных испытаний допускается принимать значения сопротивления теплопередаче центральной части стеклопакета по
таблице 11.3. В случае заполнения рамной конструкции утепленной панелью вместо стеклопакета характеристики панели (без узлов примыкания к рамам) рассчитывают по
приложению Е СП 50.13330.2012. В остальном расчет проводят в соответствии с настоящим пунктом.
(в ред.
Изменения N 2, утв. Приказом Минстроя России от 23.12.2022 N 1117/пр)
11.4.2 Количество линейных элементов должно соответствовать числу различающихся по размерам (толщине или ширине) или составу участков рамы, окружающих стеклопакет. Например, для двухстворчатого оконного блока в наиболее простом случае можно выделить три линейных элемента: 1 - боковую и верхнюю границу, 2 - нижнюю границу, 3 - границу между створками.
Расчет удельных потерь теплоты через линейные элементы производится в соответствии с
приложением Е СП 50.13330.2012. При расчете потери теплоты, как через стык, так и через раму, относятся к линейному элементу. Принимается, что вся площадь оконного блока заполнена однородным стеклопакетом. Потери через линейные элементы служат добавками к потерям через стеклопакет.
При расчете температурных полей для нахождения удельных потерь теплоты через линейные элементы следует учитывать внутреннюю структуру профиля и дистанционную рамку в стеклопакете. Стеклопакет заменяется панелью из стекол и эквивалентного материала на месте прослоек с сохранением размеров. Коэффициент теплопроводности эквивалентного материала находится из равенства сопротивления теплопередаче стеклопакета и вводимой в расчет панели. Коэффициент теплопроводности стекла принимается равным 1 Вт/(м·°C).
11.4.3 В случае расчета светопрозрачных конструкций для конкретного здания и наличия данных о способе их монтажа, допускается в расчетах температурных полей для линейных элементов учитывать детали заделки. В частности, допускается учитывать в расчетах нахлест утеплителя или внутренней отделки на раму.
В случае расчета светопрозрачных конструкций вне проекта здания (для изделия) расчет проводится для стандартного стыка со стеной без нахлестов на конструкцию и слоем ППУ, отделяющим стену от изделия, толщиной не менее 20 мм.
Сопротивление теплопередаче центральной части стеклопакета рассчитывают по
таблице 11.3 с поправочным коэффициентом на перепад температуры между внутренним и наружным воздухом по формуле
Rс.пак = Rос.пак·(1 - 0,02·(tв - tн - 25)). (11.17а)
(абзац введен
Изменением N 2, утв. Приказом Минстроя России от 23.12.2022 N 1117/пр)
Таблица 11.3
Сопротивления теплопередаче центральной части стеклопакета
(оценочные)
Вид стеклопакета | Сопротивление теплопередаче центральной части стеклопакета, Rо с.пак, (м2·°C)/Вт |
Однокамерные стеклопакеты |
| Расстояние между стеклами 12 мм | Расстояние между стеклами 16 мм | Расстояние между стеклами 20 мм |
Из стекла без покрытий с заполнением воздухом | 0,34 | 0,35 | 0,35 |
Из стекла без покрытий с заполнением аргоном | 0,36 | 0,37 | 0,37 |
С одним стеклом с низкоэмиссионным мягким покрытием с заполнением воздухом | 0,59 | 0,65 | 0,64 |
С одним стеклом с низкоэмиссионным мягким покрытием с заполнением аргоном | 0,76 | 0,81 | 0,79 |
С одним стеклом с низкоэмиссионным мягким покрытием с заполнением криптоном | 0,86 | 0,84 | 0,82 |
Двухкамерные стеклопакеты |
| Расстояние между стеклами 10 мм и 10 мм | Расстояние между стеклами 14 мм и 14 мм | Расстояние между стеклами 18 мм и 18 мм |
Из стекла без покрытий с заполнением воздухом | 0,46 | 0,5 | 0,53 |
С одним стеклом с низкоэмиссионным мягким покрытием с заполнением воздухом | 0,64 | 0,78 | 0,9 |
С одним стеклом с низкоэмиссионным мягким покрытием с заполнением аргоном | 0,78 | 0,95 | 1,05 |
С двумя стеклами с низкоэмиссионным мягким покрытием с заполнением воздухом | 0,82 | 1,06 | 1,27 |
С двумя стеклами с низкоэмиссионным мягким покрытием с заполнением аргоном | 1,1 | 1,4 | 1,55 |
С двумя стеклами с низкоэмиссионным мягким покрытием с заполнением криптоном | 1,73 | 1,71 | 1,67 |
Примечания 1 Не рекомендуется заменять в стеклопакетах воздух инертными газами без использования низкоэмиссионных покрытий, так как это мероприятие практически не дает эффекта. 2 Рекомендуется комбинировать стекла с низкоэмиссионным покрытием с заполнением межстекольного пространства инертными газами, так как в этом случае достигается максимальный эффект от каждого мероприятия. 3 Промежуточные значения расстояний между стеклами принимаются интерполяцией. 4 Данные в таблице приведены по расчету для средних за отопительный период температурных перепадов. |
11.5 Критерии подбора стеклопакетов в оконном блоке в целях энергосбережения
(подраздел 11.5 введен
Изменением N 1, утв. Приказом Минстроя России от 31.10.2019 N 664/пр)
В настоящем подразделе предлагается алгоритм подбора остекления в оконном блоке, обладающего энергосберегающими свойствами, обусловленными низкоэмиссионными покрытиями, с использованием критериев, определяющих допустимое снижение естественной освещенности и теплопоступлений от солнечной радиации с учетом климатических особенностей местности. Применение указанных критериев должно быть направлено на оптимизацию выбора остекления с низкоэмиссионными покрытиями. Для подбора остекления с низкоэмиссионными покрытиями необходимо выполнить следующие действия по
11.5.1 -
11.5.5.
11.5.1 Выбирают стеклопакет со стеклами с низкоэмиссионными покрытиями и стеклопакет с таким же количеством камер, но со стеклами без низкоэмиссионных покрытий по
таблице Б.1.
11.5.2 Проводят расчет приведенного сопротивления теплопередаче оконного блока согласно
11.4 с двумя вариантами остекления: без покрытия (индекс "бп")

, м
2·°C/Вт, и с низкоэмиссионным (энергосберегающим) покрытием (индекс "эп")

, м
2·°C/Вт.
11.5.3 Проводят проверку стеклопакета на соответствие критериям по энергосбережению
(11.5.4) и по светотехническим характеристикам
(11.5.5). Стеклопакет следует выбирать при совместном выполнении критериев.
11.5.4 Критерий энергосбережения для всего здания
Рассчитывают значение критерия M по формуле

, (11.18)
где J - количество фасадов в здании, шт.;
Lj - количество окон на j-м фасаде, шт.;

- солнечная радиация, поступающая на
j-й фасад за отопительный период, МДж/(год·м
2), рассчитывается согласно формуле
(10.6);
ГСОП - градусо-сутки отопительного периода, °C·сут/год.
Ajl - площадь l-го окна на j-м фасаде, м2;

- коэффициент, учитывающий затенение светового проема
l-го окна на
j-м фасаде непрозрачными элементами заполнения, отн. ед., рассчитывается по формуле
(10.3);
gбпjl,
gэпjl - коэффициент общего пропускания солнечной энергии стеклопакетом, установленным в
l-е окно на
j-м фасаде, определяется по
таблице Б.1 для выбранных в
11.5.1 стеклопакетов без покрытий (индекс "бп") и с энергосберегающими покрытиями (индекс "эп") соответственно.
Значение критерия M должно быть больше единицы:
M > 1. (11.19)
Чем больше значение критерия M, тем выгоднее применение в данном климате оконного блока с остеклением, обладающим энергосберегающими свойствами.
11.5.5 Критерий подбора по светотехническим характеристикам
Рассчитывают значение критерия P для каждого варианта оконного блока в здании:

(11.20)
где

- общий коэффициент светопропускания оконного блока (рассчитывается по
формуле (3.15) СП 52.13330.2016) при использовании остекления с низкоэмиссионными покрытиями (индекс "эп") и без низкоэмиссионных покрытий (индекс "бп"):

, (11.21)
здесь

- коэффициент светопропускания стеклопакетов со стеклами с низкоэмиссионными покрытиями (индекс "эп") и без низкоэмиссионных покрытий (индекс "бп"), определяемый для выбранных стеклопакетов по таблице Б.1;

,

- коэффициент, учитывающий потери света в несущих конструкциях (при боковом освещении

) и коэффициент, учитывающий потери света в солнцезащитных устройствах, определяемые по
СП 52.13330;
Rст - приведенное сопротивление теплопередаче стены, в которой установлен оконный блок, м
2·°C/Вт, определяется согласно
приложению Е СП 50.13330.2012.
Значение критерия P должно быть больше единицы:
P > 1. (11.22)
Чем больше значение критерия P, тем эффективнее будет оконный блок со стеклопакетом с энергосберегающими покрытиями при установке его в систему "стена - окно".
КОЭФФИЦИЕНТЫ ИЗЛУЧЕНИЯ РАЗЛИЧНЫХ МАТЕРИАЛОВ
Таблица А.1
Материал | Коэффициент излучения, C, Вт/(м2·К4) |
Алюминий полированный | 0,23 - 0,34 |
Алюминий с шероховатой поверхностью | 0,34 - 0,4 |
Алюминиевая фольга с зеркальной полированной поверхностью (класс обработки не менее 14) | 0,3 |
Алюминиевая фольга в строительных конструкциях | 0,5 |
Алюминий окисленный | 0,63 - 1,09 |
Алюминиевая окраска | 2,88 |
Алюминиевый лак на шероховатой пластине | 2,25 |
Лак черный блестящий, распыленный на пластине | 4,95 |
Лак белый | 4,6 |
Лак черный матовый | 5,52 |
Медь тщательно полированная электролитная | 0,1 |
Медь полированная | 0,13 |
Медь, окисленная при нагревании до 600 °C, покрытая толстым слоем окиси | 4,49 |
Бумага белая | 4,08 |
Бумага желтая | 4,14 |
Бумага красная | 4,37 |
Бумага зеленая | 4,95 |
Бумага синяя | 4,83 |
Гипсокартон | 4,14 |
Эмалевая краска | 5,18 |
Бетон с шероховатой поверхностью | 3,61 |
Хризотилцемент шероховатый | 5,52 |
Ель строганая | 4,44 |
Дуб строганый | 5,16 |
Кирпич глиняный обыкновенный шероховатый | 5,1 - 5,3 |
Пенополистирол | 4,9 |
Стекло оконное гладкое | 5,41 |
Стекло матовое | 5,52 |
Штукатурка известковая шероховатая | 5,23 |
Плитка метлахская гладкая | 4,69 |
КОЭФФИЦИЕНТЫ СВЕТОПРОПУСКАНИЯ, ОБЩЕГО ПРОПУСКАНИЯ
СОЛНЕЧНОЙ ЭНЕРГИИ И ТЕПЛОПЕРЕДАЧИ ПО ЦЕНТРУ
НАИБОЛЕЕ ПРИМЕНЯЕМЫХ СТЕКЛОПАКЕТОВ
Минстроя России от 31.10.2019 N 664/пр)
|  , отн. ед. | g, отн. ед | U0, Вт/(м2·°C) |
4М1-16Ar-4М1 | 0,81 | 0,76 | 2,6 |
4М1-16Ar-К4 | 0,75 | 0,72 | 1,5 |
0,74 | 0,73 | 1,5 |
4М1-16Ar-И4 | 0,80 | 0,61 | 1,1 |
0,80 | 0,64 | 1,1 |
0,81 | 0,74 | 1,3 |
6СИ-16Ar-4М1 | 0,70 | 0,43 | 1,1 |
0,74 | 0,44 | 1,0 |
4СИ-16Ar-4М1 | 0,67 | 0,42 | 1,0 |
6СК-16Ar-4М1 | 0,60 | 0,55 | 1,6 |
4М1-16Ar-4М1-16Ar-4М1 | 0,74 | 0,68 | 1,7 |
4К-16Ar-4М1-16Ar-К4 | 0,63 | 0,58 | 0,8 |
4И-16Ar-4М1-16Ar-И4 | 0,71 | 0,50 | 0,6 |
0,74 | 0,63 | 0,7 |
0,73 | 0,62 | 0,7 |
Примечание - В настоящей таблице в формулах стеклопакетов использованы следующие условные обозначения: СИ - солнцезащитное и низкоэмиссионное И-стекло; СК - солнцезащитное и низкоэмиссионное К-стекло. |
КОЭФФИЦИЕНТЫ
KГВji ПЕРЕСЧЕТА ПРЯМОЙ СОЛНЕЧНОЙ РАДИАЦИИ
С ГОРИЗОНТАЛЬНОЙ ПОВЕРХНОСТИ НА ВЕРТИКАЛЬНУЮ
Таблица В.1
Градусы с.ш. | Месяцы |
I | II | III | IV | V | VI | VII | VIII | IX | X | XI | XII |
Южная ориентация |
37 | 1,97 | 1,37 | 0,85 | 0,46 | 0,24 | 0,16 | 0,19 | 0,34 | 0,65 | 1,14 | 1,71 | 2,13 |
38 | 2,00 | 1,40 | 0,88 | 0,47 | 0,26 | 0,17 | 0,20 | 0,35 | 0,67 | 1,16 | 1,73 | 2,23 |
40 | 2,15 | 1,50 | 0,92 | 0,51 | 0,28 | 0,19 | 0,23 | 0,39 | 0,71 | 1,20 | 1,85 | 2,40 |
42 | 2,25 | 1,60 | 1,00 | 0,54 | 0,30 | 0,22 | 0,26 | 0,43 | 0,75 | 1,30 | 2,05 | 2,60 |
44 | 2,50 | 1,70 | 1,03 | 0,60 | 0,33 | 0,24 | 0,28 | 0,47 | 0,80 | 1,45 | 2,20 | 2,80 |
46 | 2,85 | 1,85 | 1,08 | 0,63 | 0,36 | 0,28 | 0,32 | 0,51 | 0,86 | 1,50 | 2,40 | 3,10 |
48 | 3,20 | 2,00 | 1,20 | 0,68 | 0,40 | 0,30 | 0,35 | 0,54 | 0,93 | 1,60 | 2,60 | 3,60 |
50 | 3,50 | 2,20 | 1,30 | 0,73 | 0,44 | 0,34 | 0,38 | 0,60 | 1,00 | 1,75 | 2,90 | 4,10 |
52 | 4,0 | 2,35 | 1,40 | 0,78 | 0,48 | 0,37 | 0,41 | 0,64 | 1,08 | 1,85 | 3,20 | 4,70 |
54 | 4,50 | 2,55 | 1,50 | 0,84 | 0,52 | 0,40 | 0,44 | 0,68 | 1,17 | 2,00 | 3,70 | 5,40 |
56 | 5,15 | 2,80 | 1,55 | 0,90 | 0,55 | 0,44 | 0,48 | 0,74 | 1,26 | 2,20 | 4,20 | 6,10 |
58 | 6,00 | 3,10 | 1,75 | 0,97 | 0,60 | 0,48 | 0,52 | 0,78 | 1,33 | 2,40 | 4,80 | 7,20 |
60 | 7,20 | 3,50 | 1,85 | 1,03 | 0,64 | 0,50 | 0,56 | 0,83 | 1,44 | 2,60 | 5,50 | |
62 | | 4,00 | 2,00 | 1,10 | 0,67 | 0,54 | 0,59 | 0,88 | 1,56 | 3,00 | 6,65 | |
64 | | 4,90 | 2,30 | 1,19 | 0,71 | 0,57 | 0,61 | 0,94 | 1,68 | 3,40 | | |
66 | | 6,00 | 2,50 | 1,26 | 0,76 | 0,60 | 0,66 | 1,00 | 1,84 | 4,00 | | |
68 | | 7,30 | 2,85 | 1,35 | 0,82 | 0,62 | 0,69 | 1,04 | 2,02 | 4,50 | | |
70 | | | 3,20 | 1,44 | 0,86 | 0,64 | 0,72 | 1,10 | 2,20 | 5,35 | | |
72 | | | 3,55 | 1,55 | 0,92 | 0,66 | 0,73 | 1,16 | 2,40 | | | |
74 | | | 4,00 | 1,65 | 0,98 | 0,70 | 0,77 | 1,22 | 2,60 | | | |
76 | | | 4,65 | 1,74 | 1,04 | 0,71 | 0,79 | 1,33 | 2,74 | | | |
78 | | | 5,25 | 1,81 | 1,08 | 0,72 | 0,82 | 1,44 | 2,86 | | | |
Юго-восточная ориентация |
37 | 1,35 | 1,00 | 0,70 | 0,55 | 0,40 | 0,34 | 0,30 | 0,42 | 0,66 | 0,90 | 1,35 | 1,70 |
38 | 1,35 | 1,00 | 0,70 | 0,55 | 0,40 | 0,34 | 0,31 | 0,43 | 0,66 | 0,92 | 1,35 | 1,70 |
40 | 1,40 | 1,05 | 0,75 | 0,56 | 0,41 | 0,35 | 0,34 | 0,45 | 0,70 | 0,97 | 1,40 | 1,70 |
42 | 1,50 | 1,15 | 0,80 | 0,58 | 0,44 | 0,36 | 0,37 | 0,49 | 0,72 | 1,01 | 1,45 | 1,75 |
44 | 1,70 | 1,20 | 0,85 | 0,62 | 0,45 | 0,37 | 0,40 | 0,52 | 0,75 | 1,08 | 1,55 | 1,90 |
46 | 1,85 | 1,30 | 0,90 | 0,65 | 0,49 | 0,39 | 0,42 | 0,55 | 0,79 | 1,17 | 1,65 | 2,15 |
48 | 2,05 | 1,40 | 0,95 | 0,70 | 0,50 | 0,41 | 0,46 | 0,59 | 0,81 | 1,25 | 1,80 | 2,50 |
50 | 2,30 | 1,55 | 1,00 | 0,75 | 0,53 | 0,45 | 0,49 | 0,62 | 0,86 | 1,35 | 2,00 | 2,90 |
52 | 2,65 | 1,70 | 1,10 | 0,79 | 0,55 | 0,49 | 0,51 | 0,65 | 0,93 | 1,47 | 2,25 | 3,30 |
54 | 3,10 | 1,80 | 1,20 | 0,84 | 0,60 | 0,52 | 0,54 | 0,69 | 1,01 | 1,59 | 2,55 | 3,75 |
56 | 3,60 | 2,00 | 1,25 | 0,88 | 0,61 | 0,56 | 0,57 | 0,72 | 1,10 | 1,72 | 2,90 | 4,30 |
58 | 4,20 | 2,20 | 1,35 | 0,93 | 0,65 | 0,58 | 0,59 | 0,77 | 1,19 | 1,87 | 3,40 | 5,00 |
60 | 5,10 | 2,45 | 1,45 | 0,97 | 0,69 | 0,60 | 0,60 | 0,80 | 1,26 | 2,08 | 3,95 | |
62 | | 2,80 | 1,60 | 1,02 | 0,71 | 0,62 | 0,62 | 0,84 | 1,35 | 2,34 | 4,75 | |
64 | | 3,30 | 1,70 | 1,06 | 0,75 | 0,63 | 0,65 | 0,87 | 1,44 | 2,64 | | |
66 | | 4,00 | 1,85 | 1,12 | 0,78 | 0,64 | 0,67 | 0,91 | 1,55 | 3,00 | | |
68 | | 4,95 | 2,10 | 1,18 | 0,80 | 0,65 | 0,69 | 0,95 | 1,65 | 3,39 | | |
70 | | | 2,30 | 1,26 | 0,84 | 0,66 | 0,71 | 1,00 | 1,77 | 3,85 | | |
72 | | | 2,60 | 1,35 | 0,87 | 0,69 | 0,72 | 1,04 | 1,90 | | | |
74 | | | 2,95 | 1,45 | 0,90 | 0,70 | 0,75 | 1,10 | 2,00 | | | |
76 | | | 3,45 | 1,58 | 0,94 | 0,70 | 0,77 | 1,15 | 2,12 | | | |
78 | | | 4,20 | 1,75 | 0,96 | 0,71 | 0,78 | 1,24 | 2,25 | | | |
Юго-западная ориентация |
37 | 1,50 | 1,05 | 0,75 | 0,47 | 0,30 | 0,30 | 0,35 | 0,45 | 0,60 | 0,79 | 1,10 | 1,45 |
38 | 1,50 | 1,05 | 0,80 | 0,50 | 0,35 | 0,31 | 0,35 | 0,46 | 0,64 | 0,81 | 1,15 | 1,50 |
40 | 1,60 | 1,10 | 0,80 | 0,53 | 0,40 | 0,33 | 0,36 | 0,49 | 0,65 | 0,90 | 1,30 | 1,63 |
42 | 1,70 | 1,20 | 0,81 | 0,55 | 0,40 | 0,36 | 0,39 | 0,50 | 0,70 | 0,99 | 1,50 | 1,75 |
44 | 1,80 | 1,30 | 0,90 | 0,59 | 0,45 | 0,38 | 0,40 | 0,52 | 0,75 | 1,07 | 1,60 | 1,90 |
46 | 2,05 | 1,40 | 0,92 | 0,62 | 0,47 | 0,40 | 0,41 | 0,55 | 0,78 | 1,15 | 1,75 | 2,15 |
48 | 2,35 | 1,60 | 1,03 | 0,65 | 0,47 | 0,41 | 0,43 | 0,59 | 0,83 | 1,23 | 1,90 | 2,55 |
50 | 2,50 | 1,70 | 1,10 | 0,69 | 0,50 | 0,42 | 0,45 | 0,61 | 0,84 | 1,30 | 2,10 | 2,95 |
52 | 2,85 | 1,85 | 1,20 | 0,72 | 0,50 | 0,46 | 0,49 | 0,63 | 0,95 | 1,40 | 2,30 | 3,40 |
54 | 3,30 | 2,00 | 1,25 | 0,77 | 0,55 | 0,48 | 0,50 | 0,68 | 1,00 | 1,52 | 2,65 | 3,95 |
56 | 3,80 | 2,20 | 1,30 | 0,81 | 0,58 | 0,50 | 0,53 | 0,72 | 1,05 | 1,65 | 3,00 | 4,45 |
58 | 4,50 | 2,45 | 1,40 | 0,86 | 0,60 | 0,52 | 0,56 | 0,77 | 1,13 | 1,79 | 3,35 | 5,35 |
60 | 5,20 | 2,80 | 1,50 | 0,90 | 0,63 | 0,54 | 0,58 | 0,81 | 1,20 | 1,95 | 3,80 | |
62 | | 3,25 | 1,70 | 0,97 | 0,65 | 0,56 | 0,61 | 0,86 | 1,25 | 2,15 | 4,55 | |
64 | | 3,90 | 1,90 | 1,04 | 0,68 | 0,60 | 0,65 | 0,90 | 1,39 | 2,45 | | |
66 | | 4,75 | 2,10 | 1,11 | 0,76 | 0,64 | 0,70 | 0,97 | 1,50 | 2,85 | | |
68 | | 5,60 | 2,30 | 1,21 | 0,82 | 0,67 | 0,73 | 1,02 | 1,65 | 3,33 | | |
70 | | | 2,55 | 1,30 | 0,88 | 0,71 | 0,75 | 1,09 | 1,80 | 3,85 | | |
72 | | | 2,80 | 1,42 | 0,90 | 0,73 | 0,78 | 1,16 | 1,95 | | | |
74 | | | 3,10 | 1,52 | 0,95 | 0,75 | 0,79 | 1,26 | 2,12 | | | |
76 | | | 3,40 | 1,62 | 0,97 | 0,76 | 0,80 | 1,37 | 2,30 | | | |
78 | | | 4,00 | 1,73 | 1,00 | 0,77 | 0,82 | 1,50 | 2,45 | | | |
|
37 | 0,52 | 0,46 | 0,40 | 0,42 | 0,42 | 0,39 | 0,44 | 0,40 | 0,45 | 0,50 | 0,42 | 0,54 |
38 | 0,52 | 0,48 | 0,42 | 0,43 | 0,42 | 0,39 | 0,44 | 0,40 | 0,45 | 0,50 | 0,44 | 0,54 |
40 | 0,55 | 0,50 | 0,46 | 0,44 | 0,42 | 0,40 | 0,44 | 0,41 | 0,46 | 0,50 | 0,48 | 0,54 |
42 | 0,58 | 0,52 | 0,50 | 0,45 | 0,42 | 0,40 | 0,44 | 0,42 | 0,46 | 0,50 | 0,54 | 0,55 |
44 | 0,60 | 0,54 | 0,53 | 0,47 | 0,42 | 0,42 | 0,44 | 0,43 | 0,48 | 0,52 | 0,59 | 0,62 |
46 | 0,63 | 0,57 | 0,58 | 0,48 | 0,44 | 0,43 | 0,44 | 0,45 | 0,50 | 0,56 | 0,61 | 0,72 |
48 | 0,65 | 0,62 | 0,60 | 0,50 | 0,46 | 0,44 | 0,46 | 0,48 | 0,54 | 0,58 | 0,64 | 0,80 |
50 | 0,68 | 0,65 | 0,61 | 0,53 | 0,48 | 0,46 | 0,47 | 0,49 | 0,56 | 0,62 | 0,66 | 0,86 |
52 | 0,70 | 0,67 | 0,62 | 0,55 | 0,50 | 0,47 | 0,48 | 0,51 | 0,60 | 0,64 | 0,69 | 0,90 |
54 | 0,71 | 0,70 | 0,63 | 0,56 | 0,52 | 0,50 | 0,50 | 0,53 | 0,62 | 0,67 | 0,72 | 0,92 |
56 | 0,72 | 0,73 | 0,64 | 0,58 | 0,54 | 0,52 | 0,53 | 0,56 | 0,64 | 0,68 | 0,76 | 0,94 |
58 | 0,74 | 0,78 | 0,64 | 0,61 | 0,57 | 0,54 | 0,54 | 0,57 | 0,66 | 0,70 | 0,80 | 0,96 |
60 | 0,76 | 0,87 | 0,66 | 0,64 | 0,59 | 0,56 | 0,56 | 0,58 | 0,68 | 0,72 | 0,86 | |
62 | | 0,96 | 0,70 | 0,66 | 0,60 | 0,58 | 0,57 | 0,60 | 0,72 | 0,78 | 0,91 | |
64 | | 1,04 | 0,76 | 0,69 | 0,62 | 0,59 | 0,58 | 0,62 | 0,76 | 0,88 | | |
66 | | 1,14 | 0,84 | 0,72 | 0,64 | 0,60 | 0,59 | 0,64 | 0,80 | 1,00 | | |
68 | | 1,20 | 0,92 | 0,74 | 0,65 | 0,61 | 0,60 | 0,66 | 0,84 | 1,15 | | |
70 | | | 1,00 | 0,78 | 0,66 | 0,62 | 0,60 | 0,70 | 0,88 | 1,32 | | |
72 | | | 1,10 | 0,84 | 0,69 | 0,63 | 0,62 | 0,74 | 0,92 | 1,52 | | |
74 | | | 1,25 | 0,91 | 0,72 | 0,64 | 0,64 | 0,78 | 0,94 | 1,76 | | |
76 | | | 1,44 | 1,02 | 0,76 | 0,65 | 0,66 | 0,82 | 0,96 | | | |
78 | | | 1,66 | 1,15 | 0,78 | 0,66 | 0,68 | 0,86 | 1,00 | | | |
<1> В период с ноября по март коэффициенты KГВji приведены для Западной Сибири и Средней Азии, а для Европейской территории России и Восточной Сибири за этот же период коэффициенты KГВji приведены в таблицах В.3 и В.4. |
(в ред. Изменения N 1, утв. Приказом Минстроя России от 31.10.2019 N 664/пр) |
Таблица В.2
Градусы с.ш. | Месяцы |
I | II | III | IV | V | VI | VII | VIII | IX | X | XI | XII |
Дальний Восток (восточная ориентация) |
44 | 0,54 | 0,57 | 0,43 | 0,44 | 0,40 | 0,31 | 0,29 | 0,38 | 0,50 | 0,52 | 0,58 | 0,61 |
46 | 0,60 | 0,60 | 0,49 | 0,46 | 0,42 | 0,36 | 0,35 | 0,43 | 0,52 | 0,56 | 0,65 | 0,66 |
48 | 0,64 | 0,62 | 0,55 | 0,49 | 0,44 | 0,40 | 0,40 | 0,47 | 0,53 | 0,60 | 0,70 | 0,76 |
50 | 0,70 | 0,66 | 0,62 | 0,52 | 0,47 | 0,44 | 0,42 | 0,48 | 0,55 | 0,63 | 0,80 | 0,88 |
52 | 0,74 | 0,68 | 0,68 | 0,54 | 0,50 | 0,45 | 0,43 | 0,49 | 0,57 | 0,68 | 0,91 | 1,00 |
54 | 0,78 | 0,71 | 0,74 | 0,56 | 0,51 | 0,46 | 0,42 | 0,50 | 0,58 | 0,72 | 1,06 | 1,42 |
56 | 0,84 | 0,74 | 0,80 | 0,58 | 0,52 | 0,46 | 0,40 | 0,50 | 0,60 | 0,78 | 1,22 | 1,24 |
58 | 0,88 | 0,77 | 0,86 | 0,60 | 0,54 | 0,46 | 0,47 | 0,50 | 0,62 | 0,88 | 1,48 | 1,36 |
60 | 0,93 | 0,80 | 0,92 | 0,63 | 0,55 | 0,46 | 0,47 | 0,51 | 0,66 | 1,04 | | |
|
37 | 0,54 | 0,50 | 0,46 | 0,36 | 0,34 | 0,34 | 0,40 | 0,40 | 0,42 | 0,38 | 0,42 | 0,54 |
38 | 0,54 | 0,50 | 0,47 | 0,38 | 0,34 | 0,34 | 0,40 | 0,40 | 0,42 | 0,40 | 0,44 | 0,54 |
40 | 0,56 | 0,51 | 0,48 | 0,40 | 0,35 | 0,34 | 0,40 | 0,42 | 0,43 | 0,42 | 0,48 | 0,54 |
42 | 0,58 | 0,52 | 0,50 | 0,42 | 0,36 | 0,35 | 0,40 | 0,42 | 0,44 | 0,46 | 0,54 | 0,55 |
44 | 0,60 | 0,52 | 0,53 | 0,43 | 0,38 | 0,36 | 0,40 | 0,42 | 0,45 | 0,48 | 0,59 | 0,62 |
46 | 0,64 | 0,57 | 0,58 | 0,44 | 0,39 | 0,37 | 0,42 | 0,42 | 0,46 | 0,52 | 0,61 | 0,72 |
48 | 0,70 | 0,62 | 0,60 | 0,46 | 0,40 | 0,38 | 0,42 | 0,42 | 0,48 | 0,55 | 0,64 | 0,80 |
50 | 0,75 | 0,69 | 0,61 | 0,47 | 0,42 | 0,40 | 0,43 | 0,44 | 0,50 | 0,58 | 0,66 | 0,86 |
52 | 0,80 | 0,77 | 0,62 | 0,48 | 0,43 | 0,42 | 0,44 | 0,46 | 0,53 | 0,60 | 0,69 | 0,90 |
54 | 0,86 | 0,86 | 0,63 | 0,50 | 0,45 | 0,44 | 0,45 | 0,48 | 0,56 | 0,64 | 0,72 | 0,92 |
56 | 0,94 | 0,98 | 0,64 | 0,52 | 0,46 | 0,46 | 0,47 | 0,52 | 0,58 | 0,68 | 0,76 | 0,94 |
58 | 1,06 | 1,08 | 0,64 | 0,54 | 0,48 | 0,47 | 0,48 | 0,54 | 0,60 | 0,70 | 0,80 | 0,96 |
60 | 1,19 | 1,18 | 0,66 | 0,56 | 0,50 | 0,49 | 0,52 | 0,56 | 0,62 | 0,74 | 0,86 | |
62 | | 1,29 | 0,70 | 0,59 | 0,54 | 0,54 | 0,54 | 0,58 | 0,66 | 0,78 | 0,91 | |
64 | | 1,40 | 0,76 | 0,64 | 0,58 | 0,56 | 0,56 | 0,62 | 0,72 | 0,86 | | |
66 | | 1,52 | 0,84 | 0,70 | 0,60 | 0,60 | 0,60 | 0,68 | 0,78 | 0,94 | | |
68 | | 1,62 | 0,92 | 0,78 | 0,66 | 0,64 | 0,64 | 0,72 | 0,84 | 1,08 | | |
70 | | | 1,00 | 0,86 | 0,70 | 0,67 | 0,68 | 0,80 | 0,88 | 1,30 | | |
72 | | | 1,10 | 0,92 | 0,76 | 0,71 | 0,72 | 0,88 | 0,92 | 1,66 | | |
74 | | | 1,25 | 1,00 | 0,80 | 0,74 | 0,76 | 0,95 | 0,96 | | | |
76 | | | 1,44 | 1,09 | 0,80 | 0,76 | 0,77 | 1,02 | 1,00 | | | |
78 | | | 1,66 | 1,15 | 0,80 | 0,76 | 0,77 | 1,04 | 1,01 | | | |
Дальний Восток (западная ориентация) |
44 | 0,56 | 0,54 | 0,49 | 0,44 | 0,40 | 0,49 | 0,49 | 0,46 | 0,50 | 0,55 | 0,56 | 0,62 |
46 | 0,63 | 0,60 | 0,53 | 0,46 | 0,42 | 0,48 | 0,48 | 0,50 | 0,52 | 0,56 | 0,58 | 0,64 |
48 | 0,69 | 0,66 | 0,57 | 0,49 | 0,44 | 0,48 | 0,48 | 0,53 | 0,53 | 0,56 | 0,59 | 0,68 |
50 | 0,75 | 0,71 | 0,62 | 0,52 | 0,47 | 0,48 | 0,48 | 0,55 | 0,55 | 0,57 | 0,60 | 0,74 |
52 | 0,81 | 0,77 | 0,66 | 0,54 | 0,50 | 0,48 | 0,48 | 0,56 | 0,57 | 0,58 | 0,62 | 0,80 |
54 | 0,87 | 0,83 | 0,70 | 0,56 | 0,51 | 0,48 | 0,48 | 0,57 | 0,58 | 0,59 | 0,66 | 0,86 |
56 | 0,94 | 0,89 | 0,74 | 0,58 | 0,52 | 0,48 | 0,49 | 0,58 | 0,60 | 0,60 | 0,70 | 0,92 |
58 | 1,00 | 0,95 | 0,78 | 0,60 | 0,54 | 0,48 | 0,50 | 0,59 | 0,62 | 0,60 | 0,75 | 1,00 |
60 | 1,06 | 1,04 | 0,82 | 0,63 | 0,55 | 0,48 | 0,52 | 0,60 | 0,66 | 0,61 | | |
Северо-восточная ориентация <2> |
37 | 0,04 | 0,06 | 0,12 | 0,19 | 0,22 | 0,26 | 0,23 | 0,21 | 0,16 | 0,11 | 0,07 | 0,03 |
38 | 0,04 | 0,06 | 0,12 | 0,19 | 0,22 | 0,26 | 0,23 | 0,21 | 0,16 | 0,11 | 0,07 | 0,03 |
40 | 0,03 | 0,06 | 0,12 | 0,19 | 0,22 | 0,26 | 0,24 | 0,21 | 0,16 | 0,10 | 0,06 | 0,02 |
42 | 0,02 | 0,06 | 0,12 | 0,19 | 0,23 | 0,26 | 0,24 | 0,21 | 0,16 | 0,10 | 0,05 | 0,01 |
44 | 0,02 | 0,06 | 0,12 | 0,20 | 0,23 | 0,27 | 0,25 | 0,21 | 0,16 | 0,09 | 0,04 | 0,01 |
46 | 0,02 | 0,06 | 0,13 | 0,20 | 0,24 | 0,27 | 0,25 | 0,22 | 0,16 | 0,09 | 0,04 | 0,01 |
48 | 0,01 | 0,06 | 0,13 | 0,20 | 0,25 | 0,28 | 0,26 | 0,22 | 0,16 | 0,09 | 0,03 | 0,01 |
50 | 0,01 | 0,06 | 0,13 | 0,20 | 0,26 | 0,28 | 0,27 | 0,23 | 0,16 | 0,09 | 0,03 | 0,01 |
52 | 0,01 | 0,06 | 0,13 | 0,21 | 0,27 | 0,29 | 0,28 | 0,24 | 0,16 | 0,09 | 0,02 | 0,01 |
54 | 0,01 | 0,06 | 0,14 | 0,21 | 0,28 | 0,30 | 0,29 | 0,25 | 0,16 | 0,09 | 0,02 | 0,01 |
56 | 0,01 | 0,05 | 0,14 | 0,22 | 0,29 | 0,31 | 0,30 | 0,25 | 0,17 | 0,09 | 0,02 | |
58 | | 0,05 | 0,14 | 0,23 | 0,31 | 0,32 | 0,31 | 0,26 | 0,18 | 0,09 | 0,02 | |
60 | | 0,04 | 0,14 | 0,24 | 0,32 | 0,33 | 0,32 | 0,27 | 0,18 | 0,09 | 0,02 | |
62 | | 0,04 | 0,15 | 0,25 | 0,34 | 0,35 | 0,33 | 0,28 | 0,19 | 0,09 | | |
64 | | 0,03 | 0,15 | 0,26 | 0,36 | 0,37 | 0,35 | 0,29 | 0,20 | 0,09 | | |
66 | | 0,03 | 0,16 | 0,27 | 0,38 | 0,39 | 0,37 | 0,30 | 0,21 | 0,09 | | |
68 | | 0,03 | 0,17 | 0,29 | 0,40 | 0,42 | 0,41 | 0,32 | 0,23 | 0,09 | | |
70 | | | 0,18 | 0,31 | 0,42 | 0,46 | 0,46 | 0,35 | 0,25 | 0,10 | | |
72 | | | 0,19 | 0,34 | 0,44 | 0,50 | 0,52 | 0,38 | 0,27 | 0,10 | | |
74 | | | 0,20 | 0,38 | 0,46 | 0,55 | 0,57 | 0,42 | 0,29 | | | |
76 | | | 0,22 | 0,44 | 0,48 | 0,60 | 0,62 | 0,45 | | | | |
78 | | | 0,23 | 0,48 | 0,50 | 0,65 | 0,67 | 0,48 | | | | |
Северо-западная ориентация <3> |
37 | 0,06 | 0,06 | 0,12 | 0,17 | 0,20 | 0,22 | 0,25 | 0,20 | 0,14 | 0,07 | 0,05 | 0,03 |
38 | 0,05 | 0,06 | 0,12 | 0,17 | 0,20 | 0,22 | 0,25 | 0,20 | 0,14 | 0,07 | 0,05 | 0,02 |
40 | 0,04 | 0,06 | 0,12 | 0,17 | 0,21 | 0,23 | 0,25 | 0,20 | 0,15 | 0,08 | 0,04 | 0,02 |
42 | 0,03 | 0,06 | 0,13 | 0,18 | 0,21 | 0,23 | 0,25 | 0,20 | 0,15 | 0,08 | 0,04 | 0,01 |
44 | 0,02 | 0,06 | 0,13 | 0,18 | 0,22 | 0,24 | 0,25 | 0,21 | 0,15 | 0,08 | 0,04 | 0,01 |
46 | 0,02 | 0,06 | 0,13 | 0,18 | 0,22 | 0,25 | 0,25 | 0,21 | 0,15 | 0,08 | 0,04 | 0,01 |
48 | 0,02 | 0,06 | 0,14 | 0,19 | 0,23 | 0,25 | 0,25 | 0,21 | 0,16 | 0,08 | 0,03 | 0,01 |
50 | 0,02 | 0,06 | 0,14 | 0,19 | 0,23 | 0,26 | 0,25 | 0,21 | 0,16 | 0,08 | 0,03 | 0,01 |
52 | 0,02 | 0,06 | 0,15 | 0,19 | 0,23 | 0,26 | 0,25 | 0,22 | 0,16 | 0,08 | 0,03 | 0,01 |
54 | 0,02 | 0,06 | 0,15 | 0,20 | 0,24 | 0,27 | 0,25 | 0,22 | 0,16 | 0,08 | 0,02 | 0,01 |
56 | 0,02 | 0,06 | 0,16 | 0,20 | 0,25 | 0,28 | 0,26 | 0,23 | 0,16 | 0,08 | 0,02 | |
58 | 0,02 | 0,06 | 0,16 | 0,21 | 0,26 | 0,29 | 0,27 | 0,24 | 0,16 | 0,08 | 0,01 | |
60 | | 0,05 | 0,17 | 0,22 | 0,27 | 0,31 | 0,29 | 0,26 | 0,17 | 0,07 | 0,01 | |
62 | | 0,05 | 0,17 | 0,23 | 0,29 | 0,33 | 0,32 | 0,27 | 0,18 | 0,07 | | |
64 | | 0,05 | 0,18 | 0,25 | 0,31 | 0,37 | 0,35 | 0,29 | 0,19 | 0,07 | | |
66 | | 0,05 | 0,19 | 0,27 | 0,35 | 0,42 | 0,39 | 0,32 | 0,20 | 0,07 | | |
68 | | 0,05 | 0,20 | 0,30 | 0,39 | 0,47 | 0,44 | 0,35 | 0,22 | 0,07 | | |
70 | | | 0,21 | 0,33 | 0,44 | 0,52 | 0,49 | 0,39 | 0,24 | 0,07 | | |
72 | | | 0,23 | 0,37 | 0,49 | 0,57 | 0,55 | 0,43 | 0,27 | 0,07 | | |
74 | | | 0,24 | 0,43 | 0,54 | 0,62 | 0,61 | 0,48 | 0,29 | | | |
76 | | | 0,26 | 0,52 | 0,60 | 0,67 | 0,66 | 0,52 | | | | |
78 | | | 0,28 | 0,63 | 0,66 | 0,71 | 0,70 | 0,57 | | | | |
Северная ориентация |
37 | | | | 0,01 | 0,04 | 0,08 | 0,06 | 0,02 | | | | |
38 | | | | 0,01 | 0,04 | 0,08 | 0,06 | 0,02 | | | | |
40 | | | | 0,01 | 0,04 | 0,08 | 0,06 | 0,02 | | | | |
42 | | | | 0,01 | 0,04 | 0,08 | 0,06 | 0,02 | | | | |
44 | | | | 0,02 | 0,05 | 0,08 | 0,07 | 0,02 | | | | |
46 | | | | 0,02 | 0,05 | 0,09 | 0,07 | 0,02 | | | | |
48 | | | | 0,02 | 0,05 | 0,09 | 0,08 | 0,03 | | | | |
50 | | | | 0,02 | 0,06 | 0,10 | 0,08 | 0,03 | | | | |
52 | | | | 0,02 | 0,06 | 0,11 | 0,09 | 0,03 | | | | |
54 | | | | 0,02 | 0,07 | 0,12 | 0,09 | 0,04 | | | | |
56 | | | | 0,02 | 0,08 | 0,12 | 0,10 | 0,04 | | | | |
58 | | | | 0,02 | 0,09 | 0,13 | 0,11 | 0,05 | | | | |
60 | | | | 0,02 | 0,09 | 0,14 | 0,12 | 0,06 | | | | |
62 | | | | 0,03 | 0,11 | 0,18 | 0,14 | 0,07 | | | | |
64 | | | | 0,03 | 0,14 | 0,23 | 0,18 | 0,08 | | | | |
66 | | | | 0,04 | 0,17 | 0,28 | 0,22 | 0,09 | | | | |
68 | | | | 0,06 | 0,20 | 0,34 | 0,28 | 0,11 | | | | |
70 | | | | 0,07 | 0,24 | 0,40 | 0,35 | 0,15 | | | | |
72 | | | | 0,09 | 0,30 | 0,47 | 0,41 | 0,19 | | | | |
74 | | | | 0,13 | 0,38 | 0,54 | 0,47 | 0,23 | | | | |
76 | | | | 0,22 | 0,48 | 0,58 | 0,53 | 0,27 | | | | |
78 | | | | 0,30 | 0,55 | 0,61 | 0,57 | 0,29 | | | | |
<1> В период с ноября по март коэффициенты KГВji приведены для Западной Сибири и Средней Азии, а для Европейской территории России и Восточной Сибири за этот же период коэффициенты KГВji приведены в таблицах В.3 и В.4. <2> Для района Дальнего Востока коэффициенты KГВji, с июня по август приведены в таблице В.5. <3> Для южных районов Дальнего Востока коэффициенты KГВji с июня по июль приведены в таблице В.5. |
Градусы с.ш. | Восточная ориентация | Градусы с.ш. | Западная ориентация |
Месяцы | Месяцы |
I | II | III | XI | XII | I | II | III | XI | XII |
Европейская территория России |
42 | 0,46 | 0,40 | 0,38 | 0,51 | 0,46 | 42 | 0,56 | 0,54 | 0,48 | 0,51 | 0,46 |
44 | 0,52 | 0,44 | 0,42 | 0,54 | 0,50 | 44 | 0,62 | 0,56 | 0,52 | 0,54 | 0,54 |
46 | 0,57 | 0,47 | 0,44 | 0,56 | 0,56 | 46 | 0,69 | 0,60 | 0,56 | 0,56 | 0,64 |
48 | 0,62 | 0,51 | 0,48 | 0,59 | 0,64 | 48 | 0,76 | 0,64 | 0,59 | 0,59 | 0,75 |
50 | 0,68 | 0,54 | 0,52 | 0,64 | 0,72 | 50 | 0,83 | 0,66 | 0,62 | 0,64 | 0,85 |
52 | 0,74 | 0,58 | 0,56 | 0,69 | 0,83 | 52 | 0,88 | 0,70 | 0,66 | 0,69 | 0,93 |
54 | 0,79 | 0,62 | 0,60 | 0,76 | 0,92 | 54 | 0,92 | 0,76 | 0,70 | 0,76 | 0,96 |
56 | 0,84 | 0,66 | 0,64 | 0,83 | 0,90 | 56 | 0,94 | 0,84 | 0,72 | 0,83 | 0,94 |
58 | 0,90 | 0,70 | 0,66 | 0,92 | 0,90 | 58 | 0,96 | 0,94 | 0,76 | 0,92 | 0,94 |
60 | 0,96 | 0,74 | 0,66 | 1,03 | | 60 | 1,00 | 1,06 | 0,81 | 1,03 | |
62 | | 0,78 | 0,66 | | | 62 | | 1,20 | 0,88 | | |
64 | | 0,84 | 0,66 | | | 64 | | 1,38 | 1,00 | | |
66 | | | 0,66 | | | 66 | | | 1,06 | | |
Градусы с.ш. | Восточная ориентация | Градусы с.ш. | Западная ориентация |
Месяцы | Месяцы |
I | II | III | XI | XII | I | II | III | XI | XII |
Восточная Сибирь |
52 | 0,54 | 0,53 | 0,53 | 0,48 | 0,41 | 52 | 0,72 | 0,56 | 0,53 | 0,70 | 0,71 |
54 | 0,58 | 0,54 | 0,54 | 0,53 | 0,50 | 54 | 0,79 | 0,62 | 0,54 | 0,74 | 0,74 |
56 | 0,62 | 0,58 | 0,56 | 0,58 | 0,58 | 56 | 0,87 | 0,68 | 0,56 | 0,78 | 0,78 |
58 | 0,66 | 0,60 | 0,58 | 0,64 | 0,66 | 58 | 0,97 | 0,74 | 0,58 | 0,82 | 0,82 |
60 | 0,74 | 0,63 | 0,63 | 0,68 | | 60 | 1,12 | 0,82 | 0,63 | 0,87 | |
62 | | 0,70 | 0,70 | 0,70 | | 62 | | 0,94 | 0,70 | 0,90 | |
64 | | 0,72 | 0,80 | | | 64 | | 1,08 | 0,80 | | |
66 | | 0,96 | 0,89 | | | 66 | | 1,26 | 0,89 | | |
68 | | 1,14 | 0,97 | | | 68 | | 1,54 | 0,97 | | |
70 | | | 1,05 | | | 70 | | | 1,05 | | |
72 | | | 1,16 | | | 72 | | | 1,16 | | |
Градусы с.ш. | Северо-восточная ориентация | Градусы с.ш. | Северо-западная ориентация |
Месяцы | Месяцы |
VI | VII | VIII | VI | VII |
Дальний Восток |
42 | 0,18 | 0,19 | 0,17 | 42 | 0,36 | 0,30 |
44 | 0,18 | 0,19 | 0,17 | 44 | 0,36 | 0,30 |
46 | 0,18 | 0,18 | 0,18 | 46 | 0,29 | 0,30 |
48 | 0,18 | 0,18 | 0,18 | | | |
50 | 0,19 | 0,19 | 0,19 | | | |
52 | 0,19 | 0,19 | 0,20 | | | |
54 | 0,21 | 0,20 | 0,21 | | | |
56 | 0,23 | 0,21 | 0,21 | | | |
58 | 0,25 | 0,22 | 0,22 | | | |
60 | 0,28 | 0,23 | 0,23 | | | |
МЕТОДИКА
РАСЧЕТА СРОКА ОКУПАЕМОСТИ МЕРОПРИЯТИЙ ПО УТЕПЛЕНИЮ
ОГРАЖДАЮЩЕЙ КОНСТРУКЦИИ
Г.1 Расчет с дисконтированием промежуточных доходов
Если промежуточные доходы, образовавшиеся вследствие снижения годовых эксплуатационных издержек в результате применения ограждений с повышенной теплозащитой, участвуют в обороте денежных средств (тратятся на зарплату, погашение кредитов и т.д.), величина суммарных дисконтированных затрат, СДЗ, руб., приведенная к концу расчетного срока T, лет, для каждого варианта ограждающей конструкции рассчитывается по формуле

(Г.1)
где

- суммарные капитальные затраты на дополнительное утепление ограждений, руб.;
Cти - стоимость теплоизоляционного материала в деле, руб./м3;
Vти - общий объем теплоизоляции в ограждающих конструкциях, м3;
Э - суммарные годовые эксплуатационные издержки, руб./год, в ценах на момент начала эксплуатации здания;
p - норма дисконта, %, принимаемая в размере не менее действующей ключевой ставки Центрального банка Российской Федерации.
Для окончательно принимаемого варианта ограждающей конструкции значение СДЗ должно быть наименьшим.
Если известно, что значения суммарных годовых эксплуатационных издержек Э для разных лет в течение предполагаемого срока эксплуатации здания, выраженные в ценах на момент начала эксплуатации здания, могут не совпадать, для расчета СДЗ следует использовать формулу

(Г.2)
где Эi - величина Э для i-го года с момента начала эксплуатации здания.
Максимальный дисконтированный срок окупаемости Tmax мероприятий по утеплению устанавливается по согласованию с заказчиком, но не более 10 лет. Фактический дисконтированный срок окупаемости рассчитывается по формуле

(Г.3)
где T0 - бездисконтный срок окупаемости, лет, рассчитываемый по формуле

(Г.4)
где

- снижение годовых эксплуатационных расходов Э на тепловую энергию за счет энергосбережения, руб./год, рассчитываемое по формуле

(Г.5)
где

.
Здесь 0,86 = 3,6/4,19 - коэффициент пересчета из МВт·ч в Гкал;
Cтепл - действующий тариф на тепловую энергию, руб./Гкал; I и II - индексы, обозначающие значения Э и

, которые определены по I и II вариантам устройства здания по результатам оценки удельной теплозащитной характеристики. В варианте I дополнительное повышение теплозащиты не предусматривается; вариант II предусматривает наличие такого повышения.

- годовые теплопотери через ограждения здания, МВт·ч/год; вычисляются для каждого варианта по формуле

(Г.6)
где Vот - отапливаемый объем здания, м3;
ГСОП - значение градусо-суток отопительного периода для района строительства, °C·сут/год, определяемое по
формуле (5.2) СП 50.13330.2012;
kоб - удельная теплозащитная характеристика здания, определяемая в соответствии с
разделом 5.8, Вт/(м
3·°C);
24 - количество часов в сутках.
Решение считается экономически обоснованным при выполнении условия Tок <= Tmax. Для получения наглядной иллюстрации результатов технико-экономического обоснования рекомендуется построить графики СДЗ в зависимости от T для сравниваемых вариантов. В этом случае значение T в точке пересечения графиков (при ее наличии) дает приближенную величину Tок.
Г.2 Расчет с наращением (капитализацией) промежуточных доходов
Если промежуточные доходы, образовавшиеся вследствие снижения годовых эксплуатационных издержек в результате повышения теплозащиты ограждений, капитализируются, т.е. соответствующие суммы размещаются на банковском депозите под процент, значения СДЗ целесообразнее приводить к моменту ввода здания в эксплуатацию. Тогда величина СДЗ для каждого варианта рассчитывается по формуле

(Г.7)
Если известно, что значения Э для разных лет в течение предполагаемого срока эксплуатации здания, выраженные в ценах на момент начала эксплуатации здания, могут не совпадать, то для расчета СДЗ следует использовать формулу

(Г.8)
Фактический дисконтированный срок окупаемости в этом случае вычисляется по формуле

(Г.9)
Дальнейшие расчеты проводятся аналогично
Г.1. Величина
Tок при капитализации промежуточных доходов всегда меньше, чем при дисконтировании, поэтому область технико-экономической целесообразности реализации энергосберегающих мероприятий в этом случае расширяется.
МЕТОДИКА ОПРЕДЕЛЕНИЯ ТЕПЛОПРОВОДНОСТИ СТРОИТЕЛЬНЫХ
МАТЕРИАЛОВ ПРИ УСЛОВИЯХ ЭКСПЛУАТАЦИИ КОНСТРУКЦИИ А ИЛИ Б
Минстроя России от 31.10.2019 N 664/пр)
При расчете термического сопротивления слоя однородной части фрагмента
Rs, м
2·°C/Вт, теплопроводность материала слоя

, Вт/(м·°C), при условиях эксплуатации конструкции А или Б -

и

соответственно принимают по
приложению Т СП 50.13330.2012 либо рассчитывают по формулам:

, (Д.1)

, (Д.2)
где

- теплопроводность материала в сухом состоянии, Вт/(м·°C), определяемая по
ГОСТ 7076;

- коэффициент теплотехнического качества, 1/%, принимаемый для теплоизоляционных материалов по
таблице Д.1 либо определяемый по
ГОСТ Р 59985;
wА,
wБ - расчетные влажности материалов для условий эксплуатации конструкции А и Б, %, соответственно, принимаемые по
приложению Т СП 50.13330.2012 для данного типа материала либо определяемые по результатам серии натурных экспериментов, если такой тип материала отсутствует в
приложении Т СП 50.13330.2012.
(в ред.
Изменения N 2, утв. Приказом Минстроя России от 23.12.2022 N 1117/пр)
Вид теплоизоляционного материала | Коэффициент теплотехнического качества,  , 1/% |
Минеральная вата (из каменного или стеклянного волокна) | 0,04 |
Ячеистый бетон | 0,04 |
Экструдированный пенополистирол | 0,035 |
Пенополистирол | 0,03 |
Пенополиизоцианурат/пенополиуретан | 0,03 |
ОПРЕДЕЛЕНИЕ КОЭФФИЦИЕНТОВ УСЛОВИЙ ЭКСПЛУАТАЦИИ
ДЛЯ ТЕПЛОИЗОЛЯЦИОННЫХ СЛОЕВ В РАЗЛИЧНЫХ КОНСТРУКЦИЯХ
Минстроя России от 31.10.2019 N 664/пр)
Е.1 Коэффициенты условий эксплуатации слоя материала

, доли ед., определяются по результатам натурных или лабораторных испытаний.
Для приведенных ниже основных типов теплоизоляционных материалов в составе различных частей ограждающих конструкций коэффициенты условий эксплуатации определяются по методикам, приведенным в
Е.2 -
Е.4.
Е.2 Минераловатные и полимерные теплоизоляционные материалы в кровлях, системах фасадных теплоизоляционных композиционных (СФТК) и слоистых кладках
Коэффициент условий эксплуатации теплоизоляционного слоя в кровельных конструкциях, СФТК и слоистых кладках определяется согласно показателям, найденным по методике
ГОСТ Р 57418 для минераловатных теплоизоляционных материалов либо по методике
ГОСТ Р 58950 для полимерных теплоизоляционных материалов:
(в ред.
Изменения N 2, утв. Приказом Минстроя России от 23.12.2022 N 1117/пр)

, (Е.1)
где R0 - термическое сопротивление после контрольных испытаний (до проведения циклов замораживания - оттаивания), (м2·°C)/Вт;
RN - термическое сопротивление, (м2·°C)/Вт, после N условных годовых циклов.
Примечание -
N соответствует определенному по
ГОСТ Р 57418 сроку эффективной эксплуатации материала слоя теплоизоляции и максимально может быть равен 50 лет.
В случае если срок эффективной эксплуатации минераловатных или полимерных теплоизоляционных материалов в кровлях, СФТК или слоистых кладках равен 50 годам, коэффициент условий эксплуатации теплоизоляционного слоя в таких конструкциях можно приближенно принять равным 0,9.
Е.3 Минераловатные теплоизоляционные материалы в НФС
Коэффициент условий эксплуатации теплоизоляционного слоя в навесных фасадных системах, обусловленный изменением толщины слоя вследствие эмиссии волокон из минеральной ваты, определяется согласно найденному по методике
ГОСТ Р 56732 изменению термического сопротивления

, м
2·°C/Вт:

. (Е.2)
В случае если срок эффективной эксплуатации минераловатных изделий в составе НФС равен 50 годам, коэффициент условий эксплуатации теплоизоляционного слоя, обусловленный изменением толщины слоя вследствие эмиссии волокон из минеральной ваты, в НФС допускается принять приближенно равным 0,95.
Примечание - При расчетах коэффициента условий эксплуатации теплоизоляционного слоя в НФС возможно дополнительно учитывать и изменение термического сопротивления за счет изменения расчетной теплопроводности минеральной ваты по
Е.2.
(п. Е.3 в ред.
Изменения N 2, утв. Приказом Минстроя России от 23.12.2022 N 1117/пр)
Е.4 Полимерные теплоизоляционные материалы в заглубленных конструкциях и конструкциях, контактирующих с грунтом
Коэффициент условий эксплуатации для слоя из полимерных теплоизоляционных материалов в заглубленных конструкциях и конструкциях, контактирующих с грунтом, определяется согласно показателям, найденным по методике
ГОСТ Р 58950 и по
формуле (Е.1).
(в ред.
Изменения N 2, утв. Приказом Минстроя России от 23.12.2022 N 1117/пр)
В случае если срок эффективной эксплуатации полимерной теплоизоляции в заглубленных конструкциях и конструкциях, контактирующих с грунтом, равен 50 годам, коэффициент условий эксплуатации теплоизоляционного слоя в таких конструкциях можно приближенно принять равным 0,9.
МЕТОДИКА РАСЧЕТА ВНУТРЕННЕГО ДАВЛЕНИЯ
В ОТАПЛИВАЕМЫХ ПОМЕЩЕНИЯХ С УЧЕТОМ ВЕТРОВЫХ ВОЗДЕЙСТВИЙ
НА ВОЗДУХОПРОНИЦАЕМЫЕ ОГРАЖДАЮЩИЕ КОНСТРУКЦИИ
Минстроя России от 23.12.2022 N 1117/пр)
Расчет внутреннего давления Pi в отапливаемых жилых и производственных помещениях (далее - объект) с учетом ветровых воздействий на воздухопроницаемые ограждающие конструкции в виде постоянных или открывающихся сквозных проемов (вентиляционных отверстий, дверей, щелевой проницаемости в области заделки оконных рам и т.п.) осуществляется по следующему алгоритму:
а) Определяют распределение внешней ветровой нагрузки, Па, на фасадах эквивалентного объекта с непроницаемым ограждением в соответствии с правилами
ГОСТ Р 56728 и
СП 20.13330.
б) Задают значения

,

плотности внешнего атмосферного воздуха и внутреннего подогретого воздуха, соответствующие нормативным значениям температуры внутри и снаружи подогреваемого помещения (как правило, минус 20 °C и минус 2 °C) и составляют обобщенную функцию плотности фильтрующегося воздуха в виде

. (Ж.1)
в) Используя полученные значения wmj составляют балансовую функцию

, (Ж.2)
где j - порядковый номер сквозного протока в ограждении сооружения;
Sj - площадь живого сечения протока;

- "эффективный" коэффициент сжатия струи, истекающей внутрь или наружу через
j-е отверстие;
wmj - среднее значение внешней ветровой нагрузки на геометрически эквивалентном объекте с непроницаемым ограждением.
г) Учитывая свойство непрерывности и монотонности балансовой функции
(Ж.2) и изменение ее знака на интервале

, (Ж.3)
определяют единственное значение P = Pi, при котором B(Pi) обращается в нуль.
МЕТОДИКА РАСЧЕТА ТЕПЛОПОСТУПЛЕНИЙ
ОТ СОЛНЕЧНОЙ РАДИАЦИИ В ПОМЕЩЕНИЯ ДЛЯ ОПРЕДЕЛЕНИЯ НАГРУЗКИ
НА СИСТЕМУ КОНДИЦИОНИРОВАНИЯ
Минстроя России от 23.12.2022 N 1117/пр)
Поступления теплоты Q, Вт, в помещение от солнечной радиации через остекленные световые проемы и ограждающие конструкции зданий различного назначения для наиболее жаркого месяца года (июля) и заданного или каждого часа суток следует рассчитывать по формуле

, (И.1)
где Qi - тепловой поток через i-й световой проем, Вт;
Qi,к - тепловой поток через
i-е ограждение, Вт, определяется по
СП 50.13330;
a, b - число световых проемов и ограждающих конструкций соответственно.
Тепловой поток прямой и рассеянной солнечной радиации (далее - солнечная радиация) через i-й световой остекленный проем (далее - световой проем), Вт, следует определять по формуле
Qi = Qос,i·aп, (И.2)
где
Qос,i - тепловой поток от солнечной радиации, поступающий на световой проем, определяемый по
формуле (И.3), Вт;
aп - показатель поглощения теплового потока солнечной радиации, определяемый ниже.
Тепловой поток от солнечной радиации, поступающий на световой проем, рассчитывают по формуле
Qос,i = (
qпK1 +
qрK2)
K3K4Aос, (И.3)
где
qп,
qр - поверхностная плотность теплового потока, Вт/м
2, в июле в данный час суток, от прямой (
qп) и рассеянной (
qр) солнечной радиации соответственно, для вертикального и горизонтального остекления, принимаемая по
таблице И.1, а для наклонного остекления рассчитываемая по
формулам (И.4) -
(И.7);
K1 =
Kп,г·
Kп,в - коэффициенты облученности прямой солнечной радиацией для учета площади светового проема, незатененной горизонтальной
Kп,г и вертикальной
Kп,в плоскостями в строительном исполнении, определяемые по
формулам (И.8) и
(И.9) соответственно;
K2 = Kг·Kв - коэффициенты облученности для учета поступления рассеянной солнечной радиации через световые проемы, незатененные горизонтальной и вертикальной наружными солнцезащитными плоскостями в строительном исполнении;
K3 - коэффициенты теплопропускания солнцезащитных устройств (шторы, карнизы, жалюзи и другие изделия заводского изготовления), принимаемые по
таблице 8 СП 50.13330.2012;
K4 - коэффициент теплопропускания остеклением световых проемов, принимаемый по
таблице Б.1 как коэффициент
g;
Aос - площадь светового проема (остекления), м2.
В
формуле (И.3) поверхностная плотность тепловых потоков, Вт/м
2, поступающих в помещение в данный час суток через наклонное остекление
(рисунок И.1) от прямой и рассеянной солнечной радиации
qп и
qр соответственно, определяется по формулам:
- для остекления "а" (
рисунок И.1,
а) - при 0° <=
As,ос <= 90° или 270° <=
As,ос <= 360°:

; (И.4)

; (И.5)
- для остекления "б" (рисунок И.1,б) - при 90° <= As,ос <= 270°:

; (И.6)

, (И.7)
где
qп,г,
qп,в,
qр,г,
qр,в - поверхностная плотность тепловых потоков, Вт/м
2, поступающих от прямой и рассеянной солнечной радиации соответственно, через горизонтальное и вертикальное остекления той же ориентации, что и наклонное остекление "а", принимается по
таблице И.1;

,

- поверхностная плотность тепловых потоков, Вт/м
2, поступающих от прямой и рассеянной солнечной радиации через вертикальное остекление, ориентация которого соответствует остеклению "б" и противоположна ориентации наклонного остекления "а", принимается по
таблице И.1;

- угол наклона остекления к горизонтальной плоскости, градусы.
Примечание - Если при вычислении по
формулам (И.4) и
(И.6) величина
qп окажется отрицательной, то следует считать
qп = 0, так как в этом случае остекление находится в тени.
Коэффициенты Kп,г и Kп,в определяются по формулам:

; (И.8)

, (И.9)
где H, B - высота и ширина светового проема, м;
l1,
l2 - ширина горизонтальных и вертикальных строительных солнцезащитных плоскостей, см.
рисунок И.1,
а; при отсутствии солнцезащитных плоскостей, но при расстоянии кромки стен от остекления 150 мм и более рекомендуется их учитывать как плоскость, затеняющую оконный проем;
hs - высота Солнца, градусы, между направлением солнечного луча и его проекцией на горизонтальную плоскость, принимаемая по
таблице И.2,
рисунку И.1,
в;
As,ос - солнечный азимут остекления светового проема, градусы, определяемый по
формуле (И.12);
r,
s - расстояние, м, от солнцезащитных плоскостей соответственно до вертикального или горизонтального края светового проема (
рисунки И.1,
а и
И.1,
б).
Примечания
1 При отсутствии солнцезащитных устройств (СЗУ) в
формулах (И.8) и
(И.9) следует принимать
r =
s = 0.
2 Если при вычислениях по
формулам (И.8) и
(И.9): а)
Kп,г < 0 или
Kп,в < 0, то следует принять
K1 = 0, т.е. световой проем полностью затенен; б)
Kп,г > 1 или
Kп,в > 1, то следует принять
K1 = 1 или
Kп,в = 1, так как тень от солнцезащитного устройства не доходит до светового проема.
Коэффициенты
Kг,
Kв принимаются по
таблице И.3 в зависимости от солнцезащитных углов плоскостей
l1 и
l2 по
рисункам И.1,
а и
И.1,
б, определяемых по формулам:

, (И.10)

, (И.11)
Солнечный азимут светового проема
As,ос, градусы, определяется разностью углов азимута Солнца и азимута светового проема (
рисунок И.1,
в):
As,ос = |
As -
Aос|, (И.12)
As - азимут Солнца, градусы - угол между направлением на юг и горизонтальной проекцией солнечного луча;
Aос - азимут светового проема, градусы - угол между перпендикуляром к остеклению и направлением на юг;
Для восточной половины небосклона значения As, Aос отрицательные, а для западной половины положительные.
Азимуты световых проемов, ориентированные по основным странам света, имеют следующие значения: ЮВ - 45°, В - 90°, СВ - 135°, С - 180°, Ю - 0°, ЮЗ - 45°, З - 90°, СЗ - 135°.
Показатель
aп поглощения ограждениями теплового потока прямой и рассеянной солнечной радиации, передаваемого воздуху помещения конвективными потоками, определяется по
таблице И.4 в зависимости от отношения

, в котором

показатель суммарного усвоения теплоты ограждениями помещения, Вт/°C:

, (И.13)

- показатель интенсивности конвективного теплообмена в помещении, м;

, (И.14)
Y1,
Y2...
Yn - коэффициенты теплоусвоения, Вт/(м
2·°C), для стен, покрытий и пола, определяемые согласно
пункту 6.6 СП 50.13330.2012, причем в расчете учитываются только один-два активных внутренних слоя конструкции ограждения со стороны помещения;
A1, A2...An - внутренние поверхности ограждений помещения и поверхности оборудования, м2.
Для определения почасовых поступлений теплоты, расходуемой на нагревание приточного воздуха, следует по
таблице И.1 найти время начала прямой радиации
Zn и продолжительность прямой радиации через остекленные поверхности помещения

, а затем по
таблице И.4, руководствуясь найденными значениями

, по строке, соответствующей отношению

, находят значения показателя
aп для начала радиации
Z и затем для всех часов суток
Z + 1,
Z + 2 и т.д.
Умножая значение максимального теплового потока солнечной радиации
Qос,i, полученного по
формуле (И.3), на полученный показатель
aп, определяют почасовые поступления теплоты, Вт, в помещение, расходуемые на нагревание воздуха.
H - высота проема; B - ширина проема;
Гп - горизонтальная солнцезащитная плоскость;
Вп - вертикальная солнцезащитная плоскость; 1 - высота
Солнца hs, градусы; 2 - плоскость светового проема;
3 - перпендикулярная плоскость к световому проему;
4 - перпендикуляр к плоскости светового проема; 5 - проекция
солнечного луча на плоскость 3; 6 - азимут Солнца As,
градусы; 7 - солнечный азимут остекления светового проема
As,ос, градусы; 8 - азимут светового проема Aос
Рисунок И.1 - Световой проем с солнцезащитными плоскостями
Таблица И.1
Поверхностная плотность теплового потока (прямой/рассеянной)
солнечной радиации в июле, прошедшего через вертикальное
или горизонтальное остекление световых проемов,
с указанием времени начала и окончания прямой радиации
В ваттах на квадратный метр
Географическая широта, градусы | Часы до полудня | Ориентация вертикального светового проема (до полудня) | Горизонтальный световой проем | Часы после полудня |
С | СВ | В | ЮВ | Ю | ЮЗ | 3 | СЗ |
36 | 5 - 6 | 56 ---- 35 | 140 ----- 27 | 157 ----- 35 | 42 ---- 24 | ---- 17 | ---- 17 | ---- 17 | ---- 17 | 13 ---- 23 | 18 - 19 |
6 - 7 | 62 ---- 69 | 333 ----- 76 | 388 ----- 108 | 170 ----- 80 | ---- 51 | ---- 35 | ---- 38 | 46 | 22 ---- 57 | 17 - 18 |
7 - 8 | 8 ---- 79 | 369 ----- 108 | 465 ----- 130 | 279 ----- 128 | ---- 79 | ---- 56 | ---- 53 | ---- 57 | 279 ----- 78 | 16 - 17 |
8 - 9 | ---- 73 | 274 ----- 104 | 443 ----- 129 | 335 ----- 129 | 3 ---- 81 | ---- 60 | ---- 63 | ---- 60 | 465 ----- 93 | 15 - 16 |
9 - 10 | ---- 69 | 149 ----- 34 | 356 ----- 108 | 321 ----- 98 | 52 ---- 83 | ---- 63 | ---- 64 | ---- 62 | 626 ----- 100 | 14 - 15 |
10 - 11 | ---- 67 | 38 ---- 71 | 104 ----- 88 | 237 ----- 86 | 110 ----- 83 | ---- 71 | ---- 65 | ---- 65 | 715 ----- 105 | 13 - 14 |
11 - 12 | ---- 67 | ---- 67 | 31 ---- 80 | 126 ----- 83 | 151 ----- 83 | 3 ---- 77 | ---- 72 | ---- 65 | 747 ----- 105 | 12 - 13 |
Ориентация вертикального светового проема (после полудня) |
40 | 5 - 6 | 71 ---- 38 | 170 ----- 46 | 214 ----- 46 | 50 ---- 35 | ---- 20 | ---- 20 | ---- 21 | ---- 22 | 19 ---- 31 | 18 - 19 |
6 - 7 | 51 ---- 71 | 350 ----- 96 | 410 ----- 112 | 183 ----- 86 | ---- 55 | ---- 42 | ---- 44 | ---- 46 | 114 ----- 62 | 17 - 18 |
7 - 8 | 6 ---- 78 | 345 ----- 114 | 493 ----- 133 | 302 ----- 100 | ---- 71 | ---- 56 | ---- 55 | ---- 57 | 281 ----- 78 | 16 - 17 |
8 - 9 | ---- 71 | 258 ----- 104 | 471 ----- 121 | 354 ----- 108 | 60 ---- 73 | ---- 60 | ---- 60 | ---- 60 | 431 ----- 87 | 15 - 16 |
9 - 10 | ---- 64 | 116 ----- 80 | 363 ----- 99 | 342 ----- 95 | 150 ----- 79 | ---- 63 | ---- 62 | ---- 62 | 558 ----- 93 | 14 - 15 |
10 - 11 | 62 | 6 ---- 71 | 191 ----- 81 | 274 ----- 86 | 222 ----- 83 | ---- 67 | ---- 62 | ---- 65 | 651 ----- 100 | 13 - 14 |
11 - 12 | ---- 60 | ---- 67 | 35 ---- 73 | 172 ----- 77 | 257 ----- 83 | 45 ---- 77 | ---- 65 | ---- 65 | 695 ----- 104 | 12 - 13 |
Ориентация вертикального светового проема (после полудня) |
44 | 5 - 6 | 84 ---- 42 | 222 ----- 53 | 292 ----- 58 | 72 ---- 40 | ---- 23 | ---- 22 | ---- 22 | ---- 23 | 31 ---- 36 | 18 - 19 |
6 - 7 | 42 ---- 70 | 369 ----- 98 | 452 ----- 112 | 209 ----- 86 | ---- 55 | ---- 44 | ---- 44 | ---- 44 | 126 ----- 62 | 17 - 18 |
7 - 8 | ---- 77 | 357 ----- 110 | 500 ----- 130 | 333 ----- 109 | ---- 71 | ---- 55 | ---- 55 | ---- 55 | 283 ----- 76 | 16 - 17 |
8 - 9 | ---- 71 | 256 ----- 101 | 490 ----- 121 | 398 ----- 108 | 66 ---- 79 | ---- 60 | ---- 59 | ---- 60 | 481 ----- 83 | 15 - 16 |
9 - 10 | ---- 64 | 84 ---- 80 | 371 ----- 100 | 387 ----- 101 | 162 ----- 81 | ---- 63 | ---- 60 | ---- 62 | 543 ----- 93 | 14 - 15 |
10 - 11 | ---- 60 | ---- 71 | ---- 81 | ---- 86 | ---- 84 | ---- 67 | ---- 60 | ---- 64 | ---- 98 | 13 - 14 |
11 - 12 | ---- 59 | ---- 67 | 37 ---- 72 | 214 ----- 79 | 288 ----- 85 | 73 ---- 77 | ---- 65 | ---- 65 | 668 ----- 98 | 12 - 13 |
Ориентация вертикального светового проема (после полудня) |
48 | 5 - 6 | 93 ---- 45 | 356 ----- 60 | 327 ----- 65 | 95 ---- 45 | ---- 27 | ---- 26 | ---- 24 | ---- 26 | 37 ---- 42 | 18 - 19 |
6 - 7 | 35 ---- 69 | 385 ----- 98 | 472 ----- 114 | 237 ----- 87 | ---- 55 | ---- 43 | ---- 44 | ---- 44 | 145 ----- 62 | 17 - 18 |
7 - 8 | ---- 74 | 348 ----- 107 | 542 ----- 129 | 363 ----- 109 | 3 ---- 73 | ---- 53 | ---- 53 | ---- 53 | 285 ----- 73 | 16 - 17 |
8 - 9 | ---- 70 | 222 ----- 99 | 497 ----- 121 | 427 ----- 112 | 80 ---- 81 | ---- 60 | ---- 58 | ---- 59 | 420 ----- 82 | 15 - 16 |
9 - 10 | ---- 64 | 60 ---- 81 | 372 ----- 100 | 419 ----- 107 | 186 ----- 86 | ---- 65 | ---- 58 | ---- 62 | 519 ----- 93 | 14 - 15 |
10 - 11 | ---- 60 | ---- 71 | 193 ----- 81 | 352 ----- 94 | 271 ----- 87 | 7 ---- 70 | ---- 60 | ---- 64 | 601 ----- 95 | 13 - 14 |
11 - 12 | ---- 59 | ---- 67 | 37 ---- 72 | 251 ----- 84 | 317 ----- 88 | 106 78 | ---- 65 | ---- 65 | 643 ----- 98 | 12 - 13 |
Ориентация вертикального светового проема (после полудня) |
52 | 5 - 6 | 102 ----- 55 | 301 ----- 69 | 371 ----- 73 | 116 ----- 52 | ---- 31 | ---- 28 | ---- 28 | ---- 28 | 57 ---- 42 | 18 - 19 |
6 - 7 | 26 ---- 69 | 391 ----- 98 | 497 ----- 119 | 272 ----- 91 | ---- 59 | ---- 43 | ---- 44 | ---- 44 | 158 ----- 62 | 17 - 18 |
7 - 8 | ---- 71 | 342 ----- 106 | 545 ----- 129 | 328 ----- 110 | 13 ---- 76 | ---- 55 | ---- 53 | ---- 53 | 291 ----- 73 | 16 - 17 |
8 - 9 | ---- 67 | 196 ----- 96 | 498 ----- 123 | 448 ----- 114 | 94 ---- 85 | ---- 63 | ---- 57 | ---- 58 | 419 ----- 82 | 15 - 16 |
9 - 10 | ---- 63 | 42 ---- 79 | 374 ----- 100 | 429 ----- 110 | 206 ----- 87 | ---- 67 | ---- 59 | ---- 60 | 508 87 | 14 - 15 |
10 - 11 | ---- 60 | ---- 69 | 193 ----- 84 | 333 ----- 96 | 299 ----- 90 | 14 ---- 72 | ---- 60 | ---- 62 | 585 93 | 13 - 14 |
11 - 12 | ---- 59 | ---- 65 | 37 ---- 72 | 272 ----- 86 | 344 ----- 91 | 150 ----- 78 | ---- 65 | ---- 63 | 630 ----- 98 | 12 - 13 |
Ориентация вертикального светового проема (после полудня) |
56 | 5 - 6 | 103 ----- 56 | 344 ----- 74 | 433 ----- 74 | 140 ----- 57 | ---- 35 | ---- 28 | ---- 30 | ---- 30 | 76 ---- 42 | 18 - 19 |
6 - 7 | 17 ---- 66 | 401 ----- 93 | 523 ----- 115 | 287 ----- 90 | ---- 58 | ---- 42 | ---- 43 | 44 | 169 ----- 57 | 17 - 18 |
7 - 8 | ---- 65 | 339 ----- 98 | 547 ----- 122 | 424 ----- 105 | 22 ---- 74 | ---- 53 | ---- 48 | ---- 53 | 287 ----- 71 | 16 - 17 |
8 - 9 | ---- 62 | 174 ----- 87 | 504 ----- 114 | 479 ----- 108 | 128 ----- 85 | ---- 64 | ---- 55 | ---- 56 | 405 ----- 78 | 15 - 16 |
9 - 10 | ---- 58 | 26 ---- 71 | 378 ----- 91 | 479 ----- 102 | 245 ----- 88 | ---- 67 | ---- 56 | ---- 57 | 493 ----- 87 | 14 - 15 |
10 - 11 | ---- 57 | ---- 62 | 193 ----- 76 | 427 ----- 92 | 347 ----- 91 | 21 72 | ---- 58 | ---- 58 | 566 ----- 91 | 13 - 14 |
11 - 12 | ---- 55 | ---- 59 | 37 ---- 67 | 330 ----- 79 | 398 ----- 92 | 176 ----- 76 | ---- 63 | ---- 53 | 606 ----- 93 | 12 - 13 |
Ориентация вертикального светового проема (после полудня) |
60 | 5 - 6 | 107 ----- 51 | 387 ----- 71 | 448 ----- 78 | 152 ----- 58 | ---- 35 | ---- 28 | ---- 30 | ---- 33 | 92 ---- 42 | 18 - 19 |
6 - 7 | 15 ---- 59 | 404 ----- 86 | 542 ----- 107 | 313 ----- 85 | ---- 53 | ---- 40 | ---- 40 | ---- 43 | 178 ----- 57 | 17 - 18 |
7 - 8 | ---- 57 | 331 ----- 83 | 556 ----- 110 | 441 ----- 96 | 37 ---- 10 | ---- 49 | ---- 45 | ---- 50 | 284 ----- 65 | 16 - 17 |
8 - 9 | ---- 55 | 146 ----- 77 | 509 ----- 99 | 501 ----- 98 | 166 ----- 81 | ---- 60 | ---- 50 | ---- 52 | 391 ----- 70 | 15 - 16 |
9 - 10 | ---- 51 | 19 ---- 62 | 378 ----- 77 | 501 ----- 92 | 287 ----- 86 | ---- 65 | ---- 51 | ---- 53 | 466 ----- 78 | 14 - 15 |
10 - 11 | ---- 51 | ---- 55 | 193 ----- 65 | 452 ----- 84 | 380 ----- 91 | 70 ---- 69 | ---- 53 | ---- 53 | 534 ----- 80 | 13 - 14 |
11 - 12 | ---- 50 | ---- 55 | 37 ---- 60 | 363 ----- 74 | 449 ----- 91 | 215 ----- 71 | ---- 56 | ---- 53 | 578 ----- 78 | 12 - 13 |
Ориентация вертикального светового проема (после полудня) |
64 | 5 - 6 | 109 ----- 52 | 429 ----- 74 | 471 ----- 85 | 208 ----- 62 | ---- 36 | ---- 28 | ---- 31 | ---- 35 | 105 ----- 42 | 18 - 19 |
6 - 7 | 12 ---- 55 | 408 ----- 83 | 558 ----- 105 | 362 ----- 85 | ---- 52 | ---- 38 | ---- 37 | ---- 44 | 187 ----- 57 | 17 - 18 |
7 - 8 | ---- 52 | 316 ----- 83 | 576 ----- 106 | 423 ----- 95 | 57 ---- 69 | ---- 46 | ---- 42 | ---- 48 | 287 ----- 62 | 16 - 17 |
8 - 9 | ---- 51 | 133 ----- 73 | 519 ----- 95 | 543 ----- 95 | 194 ----- 79 | ---- 58 | ---- 46 | ---- 50 | 386 ----- 62 | 15 - 16 |
9 - 10 | ---- 49 | 12 ---- 58 | 379 ----- 74 | 544 ----- 91 | 331 ----- 85 | ---- 64 | ---- 48 | ---- 50 | 443 ----- 72 | 14 - 15 |
10 - 11 | ---- 48 | ---- 51 | 193 ----- 62 | 488 ----- 82 | 435 ----- 90 | 116 ----- 67 | ---- 49 | ---- 51 | 507 ----- 67 | 13 - 14 |
11 - 12 | ---- 48 | ---- 51 | 37 ---- 57 | 395 ----- 74 | 495 ----- 90 | 256 ----- 70 | ---- 51 | ---- 51 | 544 ----- 65 | 12 - 13 |
Ориентация вертикального светового проема (после полудня) |
68 | 5 - 6 | 113 ----- 52 | 475 ----- 78 | 504 ----- 95 | 245 ----- 66 | ---- 38 | ---- 28 | ---- 31 | ---- 38 | 134 ----- 46 | 18 - 19 |
6 - 7 | 9 ---- 55 | 412 ----- 83 | 534 ----- 106 | 336 ----- 88 | 7 ---- 55 | ---- 38 | ---- 37 | ---- 44 | 198 ----- 57 | 17 - 18 |
7 - 8 | ---- 51 | 297 ----- 83 | 588 ----- 106 | 499 ----- 99 | 79 ---- 69 | ---- 46 | ---- 42 | ---- 48 | 283 ----- 62 | 16 - 17 |
8 - 9 | ---- 51 | 135 ----- 74 | 531 ----- 98 | 578 ----- 99 | 231 ----- 102 | ---- 58 | ---- 46 | ---- 49 | 376 ----- 62 | 15 - 16 |
9 - 10 | ---- 48 | 5 ---- 57 | 394 ----- 74 | 583 ----- 91 | 369 ----- 85 | ---- 65 | ---- 48 | ---- 49 | 440 ----- 67 | 14 - 15 |
10 - 11 | ---- 48 | ---- 51 | 193 ----- 62 | 531 ----- 85 | 463 ----- 90 | 174 ----- 65 | ---- 49 | ---- 50 | 483 ----- 67 | 13 - 14 |
11 - 12 | ---- 48 | ---- 51 | 37 ---- 57 | 442 ----- 74 | 523 ----- 90 | 302 ----- 71 | ---- 51 | ---- 51 | 520 ----- 67 | 12 - 13 |
Таблица И.2
Высота и азимут Солнца на различных широтах в июле
В градусах
Истинное солнечное время | Географическая широта, градусы |
30 | 40 | 44 | 48 | 52 | 56 | 60 | 64 | 68 |
hs | As | hs | As | hs | As | hs | As | hs | As | hs | As | hs | As | hs | As | hs | As |
2 - 3 | 21 - 22 | | | | | | | | | | | | | | | | | 4 | 145 |
3 - 4 | 20 - 21 | | | | | | | | | | | | | 1 | 130 | 3 | 131 | 6 | 131 |
4 - 5 | 19 - 20 | | | | | | | | | 3 | 119 | 5 | 120 | 7 | 120 | 9 | 119 | 10 | 118 |
5 - 6 | 18 - 19 | 6 | 111 | 8 | 111 | 9 | 111 | 10 | 110 | 12 | 109 | 13 | 108 | 14 | 107 | 15 | 106 | 16 | 104 |
6 - 7 | 17 - 18 | 18 | 104 | 19 | 100 | 19 | 100 | 20 | 99 | 21 | 97 | 21 | 25 | 21 | 94 | 21 | 92 | 21 | 91 |
7 - 8 | 16 - 17 | 30 | 94 | 29 | 90 | 29 | 90 | 30 | 87 | 30 | 85 | 29 | 82 | 28 | 81 | 27 | 79 | 27 | 77 |
8 - 9 | 15 - 16 | 42 | 86 | 41 | 78 | 40 | 78 | 40 | 76 | 38 | 72 | 37 | 69 | 36 | 67 | 34 | 64 | 32 | 61 |
9 - 10 | 14 - 15 | 54 | 75 | 52 | 65 | 50 | 65 | 49 | 60 | 47 | 56 | 45 | 53 | 43 | 50 | 40 | 49 | 37 | 45 |
10 - 11 | 13 - 14 | 65 | 56 | 62 | 45 | 59 | 45 | 56 | 40 | 54 | 36 | 51 | 33 | 48 | 31 | 44 | 29 | 40 | 28 |
11 - 12 | 12 - 13 | 73 | 24 | 69 | 18 | 65 | 18 | 61 | 16 | 58 | 13 | 54 | 12 | 50 | 11 | 46 | 10 | 42 | 9 |
12 | 74 | 0 | 70 | 0 | 66 | 0 | 62 | 0 | 58 | 0 | 54 | 0 | 50 | 0 | 46 | 0 | 42 | 0 |
Таблица И.3
Коэффициенты облученности
Тип солнцезащитной конструкции | Солнцезащитные углы  и  , градусы (по рисункам И.1, а и И.1, б) |
10 | 20 | 30 | 40 | 50 | 60 |
Горизонтальная Kг | 0,84 | 0,70 | 0,58 | 0,47 | 0,36 | 0,27 |
Вертикальная Kв | 0,92 | 0,85 | 0,79 | 0,73 | 0,68 | 0,63 |
Таблица И.4
Показатель поглощения теплового потока солнечной радиации aп
| Часы суток |
Z | Z + 1 | Z + 2 | Z + 3 | Z + 4 | Z + 5 | Z + 6 | Z + 7 | Z + 8 | Z + 9 | Z + 10 | Z + 11 | Z + 12 | Z + 13 | Z + 14 | Z + 15 | Z + 16 | Z + 17 | Z + 18 | Z + 19 | Z + 20 | Z + 21 | Z + 22 | Z + 23 | Z + 24 |
Продолжительность солнечной радиации  |
0,5 | 0,01 | 0,33 | 0,61 | 0,58 | 0,25 | 0,12 | 0,08 | 0,06 | 0,05 | 0,04 | 0,04 | 0,04 | 0,03 | 0,03 | 0,03 | 0,03 | 0,02 | 0,02 | 0,02 | 0,02 | 0,02 | 0,02 | 0,02 | 0,01 | 0,01 |
1,5 | 0,04 | 0,16 | 0,33 | 0,38 | 0,26 | 0,16 | 0,12 | 0,10 | 0,09 | 0,08 | 0,07 | 0,07 | 0,07 | 0,06 | 0,06 | 0,06 | 0,05 | 0,05 | 0,05 | 0,05 | 0,05 | 0,04 | 0,04 | 0,04 | 0,04 |
2,5 | 0,05 | 0,12 | 0,24 | 0,29 | 0,23 | 0,15 | 0,13 | 0,11 | 0,10 | 0,09 | 0,09 | 0,05 | 0,05 | 0,05 | 0,07 | 0,07 | 0,07 | 0,07 | 0,06 | 0,06 | 0,06 | 0,06 | 0,06 | 0,06 | 0,05 |
3,5 | 0,06 | 0,10 | 0,20 | 0,24 | 0,21 | 0,14 | 0,12 | 0,11 | 0,10 | 0,10 | 0,09 | 0,09 | 0,09 | 0,09 | 0,05 | 0,08 | 0,08 | 0,08 | 0,07 | 0,07 | 0,07 | 0,07 | 0,06 | 0,06 | 0,06 |
4,5 | 0,07 | 0,10 | 0,17 | 0,21 | 0,19 | 0,14 | 0,12 | 0,11 | 0,11 | 0,10 | 0,10 | 0,10 | 0,09 | 0,09 | 0,09 | 0,09 | 0,08 | 0,08 | 0,08 | 0,08 | 0,08 | 0,07 | 0,07 | 0,07 | 0,07 |
5,5 | 0,07 | 0,09 | 0,15 | 0,19 | 0,18 | 0,13 | 0,12 | 0,11 | 0,11 | 0,10 | 0,10 | 0,10 | 0,10 | 0,09 | 0,09 | 0,09 | 0,08 | 0,08 | 0,08 | 0,08 | 0,08 | 0,08 | 0,07 | 0,07 | 0,07 |
Продолжительность солнечной радиации  |
0,5 | 0,02 | 0,24 | 0,50 | 0,66 | 0,68 | 0,52 | 0,25 | 0,13 | 0,10 | 0,08 | 0,07 | 0,06 | 0,05 | 0,05 | 0,05 | 0,04 | 0,04 | 0,04 | 0,08 | 0,03 | 0,03 | 0,03 | 0,02 | 0,02 | 0,02 |
1,5 | 0,06 | 0,15 | 0,29 | 0,40 | 0,45 | 0,41 | 0,25 | 0,19 | 0,16 | 0,14 | 0,12 | 0,11 | 0,11 | 0,10 | 0,09 | 0,09 | 0,09 | 0,03 | 0,08 | 0,07 | 0,07 | 0,07 | 0,07 | 0,06 | 0,06 |
2,5 | 0,08 | 0,13 | 0,22 | 0,31 | 0,35 | 0,34 | 0,26 | 0,20 | 0,17 | 0,15 | 0,14 | 0,13 | 0,13 | 0,12 | 0,12 | 0,11 | 0,11 | 0,10 | 0,10 | 0,10 | 0,09 | 0,09 | 0,09 | 0,09 | 0,08 |
3,5 | 0,09 | 0,12 | 0,19 | 0,26 | 0,30 | 0,28 | 0,25 | 0,19 | 0,17 | 0,16 | 0,15 | 0,14 | 0,14 | 0,13 | 0,13 | 0,12 | 0,12 | 0,11 | 0,11 | 0,11 | 0,10 | 0,10 | 0,10 | 0,10 | 0,09 |
4,5 | 0,10 | 0,12 | 0,18 | 0,23 | 0,27 | 0,27 | 0,23 | 0,19 | 0,17 | 0,16 | 0,15 | 0,15 | 0,14 | 0,14 | 0,13 | 0,13 | 0,13 | 0,12 | 0,12 | 0,12 | 0,11 | 0,11 | 0,11 | 0,11 | 0,11 |
5,5 | 0,11 | 0,12 | 0,17 | 0,21 | 0,25 | 0,25 | 0,22 | 0,18 | 0,17 | 0,16 | 0,16 | 0,15 | 0,15 | 0,15 | 0,14 | 0,14 | 0,13 | 0,13 | 0,13 | 0,12 | 0,12 | 0,12 | 0,12 | 0,11 | 0,11 |
Продолжительность солнечной радиации  |
0,5 | 0,06 | 0,20 | 0,41 | 0,60 | 0,71 | 0,72 | 0,64 | 0,50 | 0,24 | 0,15 | 0,11 | 0,09 | 0,08 | 0,07 | 0,07 | 0,06 | 0,06 | 0,05 | 0,05 | 0,05 | 0,04 | 0,04 | 0,04 | 0,03 | 0,03 |
1,5 | 0,08 | 0,15 | 0,26 | 0,38 | 0,46 | 0,50 | 0,49 | 0,42 | 0,30 | 0,22 | 0,19 | 0,17 | 0,15 | 0,14 | 0,13 | 0,13 | 0,13 | 0,11 | 0,11 | 0,10 | 0,10 | 0,10 | 0,09 | 0,09 | 0,08 |
2,5 | 0,11 | 0,15 | 0,22 | 0,30 | 0,37 | 0,40 | 0,40 | 0,37 | 0,29 | 0,23 | 0,21 | 0,19 | 0,18 | 0,17 | 0,16 | 0,16 | 0,15 | 0,14 | 0,14 | 0,14 | 0,13 | 0,13 | 0,12 | 0,12 | 0,11 |
3,5 | 0,13 | 0,15 | 0,20 | 0,27 | 0,32 | 0,35 | 0,36 | 0,33 | 0,29 | 0,24 | 0,21 | 0,20 | 0,19 | 0,18 | 0,18 | 0,17 | 0,17 | 0,16 | 0,16 | 0,15 | 0,15 | 0,14 | 0,14 | 0,13 | 0,13 |
4,5 | 0,14 | 0,15 | 0,20 | 0,25 | 0,29 | 0,32 | 0,32 | 0,31 | 0,27 | 0,23 | 0,22 | 0,21 | 0,20 | 0,19 | 0,18 | 0,18 | 0,18 | 0,17 | 0,17 | 0,16 | 0,16 | 0,16 | 0,15 | 0,15 | 0,14 |
5,5 | 0,15 | 0,16 | 0,19 | 0,23 | 0,27 | 0,29 | 0,30 | 0,29 | 0,26 | 0,23 | 0,22 | 0,21 | 0,20 | 0,20 | 0,19 | 0,19 | 0,18 | 0,18 | 0,17 | 0,17 | 0,17 | 0,16 | 0,16 | 0,15 | 0,15 |
Продолжительность солнечной радиации  |
0,5 | 0,04 | 0,17 | 0,35 | 0,52 | 0,66 | 0,74 | 0,76 | 0,71 | 0,60 | 0,44 | 0,24 | 0,16 | 0,13 | 0,11 | 0,09 | 0,09 | 0,08 | 0,07 | 0,07 | 0,06 | 0,06 | 0,05 | 0,05 | 0,05 | 0,04 |
1,5 | 0,11 | 0,16 | 0,25 | 0,35 | 0,44 | 0,51 | 0,54 | 0,54 | 0,50 | 0,43 | 0,32 | 0,25 | 0,22 | 0,20 | 0,18 | 0,17 | 0,16 | 0,15 | 0,14 | 0,14 | 0,13 | 0,13 | 0,12 | 0,12 | 0,11 |
2,5 | 0,15 | 1,17 | 0,23 | 0,30 | 0,37 | 0,42 | 0,45 | 0,46 | 0,44 | 0,39 | 0,32 | 0,27 | 0,25 | 0,23 | 0,21 | 0,20 | 0,20 | 0,19 | 0,18 | 0,18 | 0,17 | 0,16 | 0,16 | 0,15 | 0,15 |
3,5 | 0,17 | 0,18 | 0,22 | 0,28 | 0,33 | 0,37 | 0,40 | 0,41 | 0,40 | 0,37 | 0,32 | 0,28 | 0,26 | 0,24 | 0,23 | 0,22 | 0,22 | 0,21 | 0,20 | 0,20 | 0,19 | 0,18 | 0,18 | 0,17 | 0,17 |
4,5 | 0,18 | 0,19 | 0,22 | 0,27 | 0,21 | 0,34 | 0,37 | 0,37 | 0,37 | 0,35 | 0,31 | 0,28 | 0,26 | 0,25 | 0,24 | 0,23 | 0,23 | 0,22 | 0,22 | 0,21 | 0,21 | 0,20 | 0,19 | 0,19 | 0,18 |
5,5 | 0,19 | 0,20 | 0,22 | 0,26 | 0,29 | 0,32 | 0,34 | 0,35 | 0,35 | 0,35 | 0,31 | 0,28 | 0,27 | 0,26 | 0,25 | 0,24 | 0,23 | 0,23 | 0,23 | 0,22 | 0,22 | 0,21 | 0,21 | 0,20 | 0,19 |
Продолжительность солнечной радиации  |
0,5 | 0,06 | 0,16 | 0,32 | 0,47 | 0,50 | 0,70 | 0,77 | 0,78 | 0,75 | 0,68 | 0,56 | 0,41 | 0,24 | 0,16 | 0,14 | 0,12 | 0,11 | 0,10 | 0,09 | 0,08 | 0,08 | 0,07 | 0,06 | 0,06 | 0,06 |
1,5 | 0,14 | 0,18 | 0,26 | 0,34 | 0,43 | 0,50 | 0,55 | 0,58 | 0,59 | 0,56 | 0,51 | 0,43 | 0,34 | 0,27 | 0,24 | 0,22 | 0,21 | 0,19 | 0,18 | 0,17 | 0,17 | 0,16 | 0,15 | 0,15 | 0,14 |
2,5 | 0,18 | 0,20 | 0,25 | 0,31 | 0,37 | 0,42 | 0,46 | 0,49 | 0,50 | 0,49 | 0,46 | 0,41 | 0,35 | 0,30 | 0,28 | 0,26 | 0,25 | 0,24 | 0,23 | 0,22 | 0,21 | 0,20 | 0,20 | 0,19 | 0,18 |
3,5 | 0,21 | 0,22 | 0,25 | 0,30 | 0,34 | 0,38 | 0,42 | 0,44 | 0,45 | 0,45 | 0,40 | 0,40 | 0,38 | 0,32 | 0,30 | 0,28 | 0,27 | 0,25 | 0,25 | 0,24 | 0,23 | 0,23 | 0,22 | 0,22 | 0,21 |
4,5 | 0,23 | 0,23 | 0,26 | 0,29 | 0,36 | 0,36 | 0,39 | 0,41 | 0,42 | 0,42 | 0,41 | 0,38 | 0,35 | 0,32 | 0,30 | 0,29 | 0,28 | 0,27 | 0,27 | 0,26 | 0,25 | 0,25 | 0,24 | 0,23 | 0,23 |
5,5 | 0,24 | 0,24 | 0,26 | 0,29 | 0,32 | 0,34 | 0,37 | 0,39 | 0,40 | 0,40 | 0,39 | 0,38 | 0,35 | 0,32 | 0,32 | 0,30 | 0,30 | 0,29 | 0,28 | 0,28 | 0,27 | 0,26 | 0,26 | 0,25 | 0,24 |
Минстроя России от 23.12.2022 N 1117/пр)
[1] Научно-прикладной справочник по климату СССР. Серия 3. Многолетние данные. Части 1 - 6, вып. 1 - 34. - СПб: Гидрометеоиздат, 1989 - 1998.