Главная // Актуальные документы // ГОСТ Р (Государственный стандарт)СПРАВКА
Источник публикации
М.: Стандартинформ, 2015
Примечание к документу
Документ
введен в действие с 1 января 2016 года.
Название документа
"ГОСТ Р 56504-2015. Национальный стандарт Российской Федерации. Материалы строительные. Методы определения коэффициентов влагопроводности"
(утв. и введен в действие Приказом Росстандарта от 30.06.2015 N 838-ст)
"ГОСТ Р 56504-2015. Национальный стандарт Российской Федерации. Материалы строительные. Методы определения коэффициентов влагопроводности"
(утв. и введен в действие Приказом Росстандарта от 30.06.2015 N 838-ст)
Утвержден и введен в действие
агентства по техническому
регулированию и метрологии
от 30 июня 2015 г. N 838-ст
НАЦИОНАЛЬНЫЙ СТАНДАРТ РОССИЙСКОЙ ФЕДЕРАЦИИ
МАТЕРИАЛЫ СТРОИТЕЛЬНЫЕ
МЕТОДЫ ОПРЕДЕЛЕНИЯ КОЭФФИЦИЕНТОВ ВЛАГОПРОВОДНОСТИ
Building materials. Methods for moisture conductivity
coefficients determining
ГОСТ Р 56504-2015
Дата введения
1 января 2016 года
1 РАЗРАБОТАН Федеральным государственным бюджетным учреждением "Научно-исследовательский институт строительной физики Российской академии архитектуры и строительных наук" (НИИСФ РААСН)
2 ВНЕСЕН Техническим комитетом по стандартизации ТК 465 "Строительство"
3 УТВЕРЖДЕН И ВВЕДЕН В ДЕЙСТВИЕ
Приказом Федерального агентства по техническому регулированию и метрологии от 30 июня 2015 г. N 838-ст
4 ВВЕДЕН ВПЕРВЫЕ
Правила применения настоящего стандарта установлены в ГОСТ Р 1.0-2012
(раздел 8). Информация об изменениях к настоящему стандарту публикуется в годовом (по состоянию на 1 января текущего года) информационном указателе "Национальные стандарты", а официальный текст изменений и поправок - в ежемесячно издаваемом информационном указателе "Национальные стандарты". В случае пересмотра (замены) или отмены настоящего стандарта соответствующее уведомление будет опубликовано в ближайшем выпуске ежемесячного информационного указателя "Национальные стандарты". Соответствующая информация, уведомление и тексты размещаются также в информационной системе общего пользования - на официальном сайте Федерального агентства по техническому регулированию и метрологии в сети Интернет (www.gost.ru)
Настоящий стандарт распространяется на строительные материалы и изделия, изготовленные в заводских условиях, и устанавливает методы определения коэффициентов статической и динамической влагопроводности.
В настоящем стандарте использованы нормативные ссылки на следующие стандарты:
ГОСТ 166-89 (ИСО 3599-76) Штангенциркули. Технические условия
ГОСТ 427-75 Линейки измерительные металлические. Технические условия
ГОСТ 17177-94 Материалы и изделия строительные теплоизоляционные. Методы испытаний
ГОСТ Р 53228-2008 Весы неавтоматического действия. Часть 1. Метрологические и технические требования. Испытания
ГОСТ Р 56505-2015 Материалы строительные. Методы определения показателей капиллярного всасывания воды
Примечание - При пользовании настоящим стандартом целесообразно проверить действие ссылочных стандартов в информационной системе общего пользования - на официальном сайте Федерального агентства по техническому регулированию и метрологии в сети Интернет или по ежегодному информационному указателю "Национальные стандарты", который опубликован по состоянию на 1 января текущего года, и по выпускам ежемесячного информационного указателя "Национальные стандарты" за текущий год. Если заменен ссылочный стандарт, на который дана недатированная ссылка, то рекомендуется использовать действующую версию этого стандарта с учетом всех внесенных в данную версию изменений. Если заменен ссылочный стандарт, на который дана датированная ссылка, то рекомендуется использовать версию этого стандарта с указанным выше годом утверждения (принятия). Если после утверждения настоящего стандарта в ссылочный стандарт, на который дана датированная ссылка, внесено изменение, затрагивающее положение, на которое дана ссылка, то это положение рекомендуется применять без учета данного изменения. Если ссылочный стандарт отменен без замены, то положение, в котором дана ссылка на него, рекомендуется применять в части, не затрагивающей эту ссылку.
3. Термины, определения, обозначения и единицы измерения
3.1 Термины и определения
В настоящем стандарте применены следующие термины с соответствующими определениями:
3.1.1 влагопроводность: Изотермический процесс переноса жидкой влаги в материале.
Примечание - Влагопроводность материала обусловлена в основном влагопереносом под действием градиента капиллярного давления и градиента расклинивающего давления в пленках воды, а также капиллярной диффузией пара.
3.1.2 коэффициент статической влагопроводности: Коэффициент, характеризующий квазистационарные явления влагопереноса (сезонное движение влаги внутри строительных материалов в составе ограждающих конструкций).
3.1.3 коэффициент динамической влагопроводности: Коэффициент, характеризующий нестационарный перенос влаги внутри строительных материалов (увлажнение косыми дождями, технологическая мойка фасадов здания и т.д.).
3.2 Обозначения и единицы измерения
В настоящем стандарте применены обозначения и единицы измерения характеристик влагопереноса, приведенные в таблице 1.
Таблица 1
Обозначения и единицы измерения
Характеристика | Обозначение | Единица измерения |
Плотность потока влаги | g | кг/(м2·с) |
Площадь поперечного сечения образца | F0 | м2 |
Поток влаги | j | кг/м2 |
Влажность по массе | w | % |
Пространственная координата | x | м |
Время | z | с |
Коэффициент статической влагопроводности | | кг/(м·ч·%) |
Коэффициент динамической влагопроводности | | кг/(м·ч·%) |
Плотность материала | | кг/м3 |
Контейнер для воды.
Часы.
Пила.
Сушильный электрошкаф.
Для определения коэффициентов влагопроводности строительных материалов изготовляют образцы материала в виде призмы высотой от 100 до 250 мм, размерами поперечного сечения 50 x 50 мм или цилиндра диаметром 50 мм, высотой от 100 до 250 мм. Боковые грани образцов влагоизолируют (например, парафином или силиконовым герметиком). Число образцов для каждого метода испытаний должно быть не менее трех.
6.1 Определение коэффициента статической влагопроводности (метод А)
6.1.1 Образцы устанавливают вертикально в контейнер с водой так, чтобы нижняя невлагоизолированная грань соприкасалась с поверхностью воды. Не допускается касание нижней грани образца дна контейнера. Зазор между стенками контейнера и боковой поверхностью образца герметизируют (например, парафином или силиконовым герметиком) (см. рисунок 1).
1 - контейнер с водой; 2 - крышка контейнера;
3 - образец; 4 - герметик
Рисунок 1 - Схема испытания образцов
на статическую влагопроводность
6.1.2 При проведении испытаний контейнер с образцом периодически взвешивают с точностью до 0,01 г и определяют плотность потока влаги через образец по формуле

(1)
где m2 и m1 - массы образца при двух последовательных взвешиваниях, кг;

- интервал времени между взвешиваниями, с;
F0 - площадь поперечного сечения образца, м2.
6.1.3 После установления стационарного потока влаги образцы материала разрезают на несколько частей по высоте. Толщина каждой части должна быть не менее 10 мм. Поток влаги считают стационарным, если разность между значениями плотности потока влаги, рассчитанными по
формуле (1) по результатам двух последовательных взвешиваний, не выше чем 3%.
6.1.4 Влажность по массе каждой части образца определяют по
ГОСТ 17177.
6.1.5 По результатам определения влажности частей образца на плоскость координат x-w наносят точки 1, 2, ..., n. Точки соединяют, получая кривую распределения влажности w, %, по высоте образца x, м. Координату x, соответствующую высоте части образца, отсчитывают от нижней грани образца, которая в процессе испытания находилась в соприкосновении с поверхностью воды.
6.2 Определение коэффициента динамической влагопроводности (метод Б)
6.2.1 Образцы устанавливают в контейнер с водой на металлическую сетку, так чтобы нижняя невлагоизолированная грань соприкасалась с поверхностью воды. Не допускается касание нижней грани образца дна контейнера (см. рисунок 2).
1 - контейнер с водой; 2 - образец материала;
3 - металлическая сетка; 4 - влагоизолированные
грани образца
Рисунок 2 - Схема испытания образцов
на динамическую влагопроводность
6.2.2 Через время
z образцы разрезают на части по высоте. Толщина каждой части должна быть не менее 10 мм. Момент времени
z устанавливают по результатам анализа кривой капиллярного всасывания по
ГОСТ Р 56505 Материалы строительные. Методы определения показателей капиллярного всасывания воды до момента первого перелома на ней (при отсутствии перелома - через 3 сут от начала испытания). Определяют влажность по массе каждой части образца в соответствии с
ГОСТ 17177.
6.2.3 По результатам определения влажности частей образца на плоскость координат x-w наносят точки 1, 2, ..., n. Точки соединяют, получая кривую распределения влажности w, %, по высоте образца x, м. Координату x, соответствующую высоте части образца, отсчитывают от нижней грани образца, которая в процессе испытания находилась в соприкосновении с поверхностью воды.
7. Обработка результатов испытаний
7.1 Коэффициент статической влагопроводности
На графике распределения влажности выделяют две точки:
точку i, в которой wi-1 = wi > wi+1 > wi+2;
точку j, в которой wj-1 > wj = wj+1.
Кривую распределения влажности аппроксимируют параболой с вершиной в точке (xi; wi):
w = ax2 + bx + c. (2)
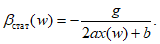
Коэффициент статической влагопроводности материала влажностью от wj до wi рассчитывают по формуле

(3)
За результат испытания принимают среднеарифметическое значение результатов испытания трех образцов.
7.2 Коэффициент динамической влагопроводности
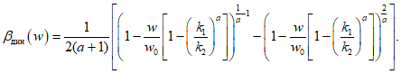
По графику распределения влажности по высоте образца рассчитывают параметры перемещения жидкой влаги в материале w0, k1 k2, a, по которым вычисляют значение коэффициента динамической влагопроводности.
Влажность материала при максимальном капиллярном увлажнении w0 определяют по графику распределения влажности.
Для расчета параметра k1 рассматривают начальный участок графика распределения влажности по высоте образца. Выбирают точку с наибольшей координатой, в которой влажность материала отличается от влажности при максимальном увлажнении образца w0 не более чем на 5%. Координату указанной точки обозначают xmin. Параметр k1 рассчитывают по формуле

(4)
Для расчета параметра k2 рассматривают конечный участок кривой распределения влажности. Кривую на этом участке линейно экстраполируют по двум последним точкам, влажность в которых отличается от начальной, до пересечения с осью абсцисс. Координату точки пересечения обозначают xmax. Параметр k2 рассчитывают по формуле

(5)
Параметр a определяют, исходя из уравнения

(6)
Значения влажности, соответствующие высоте образца, наносят на плоскость в логарифмических координатах

и аппроксимируют прямой, проходящей через начало координат. Угловой коэффициент указанной прямой является значением параметра
a.
Коэффициент динамической влагопроводности материала с влажностью от 0 до w0 вычисляют по формуле

(7)
За результат испытания принимают среднеарифметическое значение результатов испытания трех образцов.
(справочное)
ПРИМЕР ОБРАБОТКИ РЕЗУЛЬТАТОВ ИСПЫТАНИЯ
ПО ОПРЕДЕЛЕНИЮ КОЭФФИЦИЕНТА СТАТИЧЕСКОЙ ВЛАГОПРОВОДНОСТИ
В настоящем приложении приведен пример обработки результатов испытаний по определению коэффициента статической влагопроводности образца автоклавного газобетона размерами сечения 5 x 5 см (площадь поперечного сечения образца F0 = 2,5·10-3 м2), марки по средней плотности D500.
Результаты взвешиваний образца приведены в таблице А.1.
Таблица А.1
Номер части образца | Высота (координата части образца) x, см | Масса части образца до высушивания, г | Масса части образца после высушивания, г | Влажность, % |
1 | 1,0 | 29,553 | 16,314 | 44,80 |
2 | 2,5 | 13,378 | 7,896 | 40,98 |
3 | 3,5 | 19,961 | 12,247 | 38,65 |
4 | 4,5 | 15,907 | 10,002 | 37,12 |
5 | 5,5 | 20,736 | 13,174 | 36,47 |
6 | 6,5 | 17,364 | 11,048 | 36,37 |
7 | 7,5 | 13,715 | 8,760 | 36,13 |
8 | 8,5 | 20,961 | 13,452 | 35,82 |
9 | 9,5 | 18,356 | 11,800 | 35,72 |
10 | 10,5 | 22,130 | 14,253 | 35,59 |
11 | 11,5 | 16,314 | 10,634 | 34,82 |
12 | 12,5 | 20,828 | 13,559 | 34,90 |
13 | 13,5 | 16,668 | 10,899 | 34,61 |
14 | 14,5 | 19,673 | 12,956 | 34,14 |
15 | 15,5 | 17,189 | 11,375 | 33,82 |
16 | 16,5 | 13,818 | 9,173 | 33,62 |
17 | 17,5 | 19,501 | 13,039 | 33,14 |
18 | 18,5 | 17,596 | 11,783 | 33,04 |
19 | 19,5 | 14,184 | 9,618 | 32,19 |
20 | 20,5 | 19,829 | 13,586 | 31,48 |
21 | 21,5 | 16,326 | 11,440 | 29,93 |
22 | 22,5 | 15,824 | 11,531 | 27,13 |
23 | 24 | 25,766 | 20,370 | 20,94 |
Кривая распределения влажности по высоте образца приведена на рисунке А.1.
Рисунок А.1 - Распределение влажности по высоте образца
Точки распределения влажности по высоте образца, а также график функции, аппроксимирующей данные точки, представлен на рисунке А.2.
Рисунок А.2 - Аппроксимация квадратичной функцией точек
распределения влажности по высоте образца
Функция зависимости влажности от высоты частей образца описывается уравнением
w(x) = -62,6x2 + 23,5x - 1,9.
Установившееся изменение массы контейнера с образцом составило 2,4 г/сут. Плотность потока через образец, рассчитанная по
формуле (1), равна
По
формуле (3) строят график зависимости коэффициента статической влагопроводности газобетона (см. рисунок А.3).
Рисунок А.3 - Зависимость коэффициента статической
влагопроводности газобетона марки по средней плотности
D500 от влажности
По
формуле (7) строят график зависимости коэффициента динамической влагопроводности от влажности газобетона.
(справочное)
ПРИМЕР ОБРАБОТКИ РЕЗУЛЬТАТОВ ИСПЫТАНИЯ ПО ОПРЕДЕЛЕНИЮ
КОЭФФИЦИЕНТА ДИНАМИЧЕСКОЙ ВЛАГОПРОВОДНОСТИ
В настоящем приложении приведен пример обработки результатов испытаний по определению коэффициента динамической влагопроводности образца штукатурного состава сечением размерами 5 x 5 см, средней плотностью

. Для определения коэффициента динамической влагопроводности образцы были разрезаны на части после 4 ч соприкосновения нижней грани образцов с поверхностью воды.
Результаты взвешиваний образца приведены в таблице Б.1.
Таблица Б.1
Номер части образца | Высота (координата части образца) x, см | Масса части образца до высушивания, г | Масса части образца после высушивания, г | Влажность, % |
1 | 0,25 | 26,851 | 25,988 | 6,93 |
2 | 1,00 | 37,924 | 37,493 | 1,82 |
3 | 2,00 | 38,779 | 38,393 | 1,57 |
4 | 3,25 | 49,759 | 49,205 | 1,55 |
Необходимые для нахождения коэффициента динамической влагопроводности параметры перемещения жидкой влаги
k1,
k2 и
a, рассчитанные по
формулам (4),
(5) и
(6) соответственно, равны:
k1 = 2·10
-3 м/ч
1/2;
k2 = 6,25·10
-3 м/ч
1/2;
a = 1,36. По
формуле (7) строят график зависимости коэффициента динамической влагопроводности штукатурного состава от влажности (см. рисунок Б.1).
Рисунок Б.1 - Зависимость коэффициента динамической
влагопроводности штукатурного состава от влажности