Главная // Актуальные документы // ГОСТ (Государственный стандарт)СПРАВКА
Источник публикации
В данном виде документ опубликован не был.
Первоначальный текст документа опубликован в издании
М.: Стандартинформ, 2013.
Информацию о публикации документов, создающих данную редакцию, см. в справке к этим документам.
Примечание к документу
Документ включен в
Перечень документов в области стандартизации, в результате применения которых на добровольной основе обеспечивается соблюдение требований Федерального
закона от 30.12.2009 N 384-ФЗ "Технический регламент о безопасности зданий и сооружений" (
Приказ Росстандарта от 02.04.2020 N 687).
Документ включен в
Перечень документов в области стандартизации, в результате применения которых на добровольной основе обеспечивается соблюдение требований Федерального
закона от 30.12.2009 N 384-ФЗ "Технический регламент о безопасности зданий и сооружений" (
Приказ Росстандарта от 17.04.2019 N 831).
Документ включен в
Перечень документов в области стандартизации, в результате применения которых на добровольной основе обеспечивается соблюдение требований Федерального
закона от 30.12.2009 N 384-ФЗ "Технический регламент о безопасности зданий и сооружений" (
Приказ Росстандарта от 30.03.2015 N 365).
Текст данного документа приведен с учетом
поправки, опубликованной в "ИУС", N 7, 2016.
Название документа
"ГОСТ 30494-2011. Межгосударственный стандарт. Здания жилые и общественные. Параметры микроклимата в помещениях"
(введен в действие Приказом Росстандарта от 12.07.2012 N 191-ст)
(ред. от 20.12.2022)
"ГОСТ 30494-2011. Межгосударственный стандарт. Здания жилые и общественные. Параметры микроклимата в помещениях"
(введен в действие Приказом Росстандарта от 12.07.2012 N 191-ст)
(ред. от 20.12.2022)
агентства по техническому
регулированию и метрологии
от 12 июля 2012 г. N 191-ст
МЕЖГОСУДАРСТВЕННЫЙ СТАНДАРТ
ЗДАНИЯ ЖИЛЫЕ И ОБЩЕСТВЕННЫЕ
ПАРАМЕТРЫ МИКРОКЛИМАТА В ПОМЕЩЕНИЯХ
Residential and public buildings.
Microclimate parameters for indoor enclosures
ГОСТ 30494-2011
| | Список изменяющих документов Приказом Росстандарта от 20.12.2022 N 1541-ст) | |
Дата введения
1 января 2013 года
Цели, основные принципы и основной порядок проведения работ по межгосударственной стандартизации установлены
ГОСТ 1.0-92 "Межгосударственная система стандартизации. Основные положения" и
ГОСТ 1.2-97 "Межгосударственная система стандартизации. Стандарты межгосударственные, правила и рекомендации по межгосударственной стандартизации. Порядок разработки, принятия, применения, обновления и отмены"
1 РАЗРАБОТАН ОАО "СантехНИИпроект", ОАО "ЦНИИПромзданий"
2 ВНЕСЕН Техническим комитетом по стандартизации ТК 465 "Строительство"
3 ПРИНЯТ Межгосударственной научно-технической комиссией по стандартизации, техническому нормированию и оценке соответствия в строительстве (МНТКС) (Протокол N 39 от 8 декабря 2011 г.)
За принятие проголосовали:
Краткое наименование страны по МК (ИСО 3166) 004-97 | Код страны по МК (ИСО 3166) 004-97 | Сокращенное наименование национального органа по стандартизации |
Азербайджан | AZ | Государственный комитет градостроительства и архитектуры |
Армения | AM | Министерство градостроительства |
Кыргызстан | KG | Госстрой |
Российская Федерация | RU | Министерство регионального развития |
Узбекистан | UZ | Узстандарт |
Украина | UA | Минрегион Украины |
Молдова | MD | Минрегионразвития |
4
Приказом Федерального агентства по техническому регулированию и метрологии от 12 июля 2012 г. N 191-ст межгосударственный стандарт ГОСТ 30494-2011 введен в действие в качестве национального стандарта Российской Федерации с 1 января 2013 г.
Информация о введении в действие (прекращении действия) настоящего стандарта публикуется в ежемесячно издаваемом указателе "Национальное стандарты".
Информация об изменениях к настоящему стандарту публикуется в ежегодно издаваемом информационном указателе "Национальные стандарты", а текст изменений - в ежемесячно издаваемых информационных указателях "Национальные стандарты". В случае пересмотра или отмены настоящего стандарта соответствующая информация будет опубликована в ежемесячно издаваемом информационном указателе "Национальные стандарты"
Настоящий стандарт устанавливает параметры микроклимата обслуживаемой зоны помещений жилых (в том числе общежитий), детских дошкольных учреждений, общественных, административных и бытовых зданий, а также качества воздуха в обслуживаемой зоне указанных помещений и устанавливает общие требования к оптимальным и допустимым показателям микроклимата и качеству воздуха.
Настоящий стандарт не распространяется на параметры микроклимата рабочей зоны производственных помещений.
В настоящем стандарте применяются следующие термины с соответствующими определениями:
2.1 допустимые параметры микроклимата: Сочетания значений показателей микроклимата, которые при длительном и систематическом воздействии на человека могут вызвать общее и локальное ощущение дискомфорта, ухудшение самочувствия и понижение работоспособности при усиленном напряжении механизмов терморегуляции и не вызывают повреждений или ухудшения состояния здоровья.
2.2 Качество воздуха
2.2.1 качество воздуха: Состав воздуха в помещении, при котором при длительном воздействии на человека обеспечивается оптимальное или допустимое состояние организма человека.
2.2.2 оптимальное качество воздуха: Состав воздуха в помещении, при котором при длительном и систематическом воздействии на человека обеспечивается комфортное (оптимальное) состояние организма человека.
2.2.3 допустимое качество воздуха: Состав воздуха в помещении, при котором при длительном и систематическом воздействии на человека обеспечивается допустимое состояние организма человека.
2.3 локальная асимметрия результирующей температуры: Разность результирующих температур в точке помещения, определенных шаровым термометром для двух противоположных направлений.
2.4 микроклимат помещения: Состояние внутренней среды помещения, оказывающее воздействие на человека, характеризуемое показателями температуры воздуха и ограждающих конструкций, влажностью и подвижностью воздуха.
2.5 обслуживаемая зона помещения (зона обитания): Пространство в помещении, ограниченное плоскостями, параллельными полу и стенам: на высоте 0,1 и 2,0 м над уровнем пола - для людей стоящих или двигающихся, на высоте 1,5 м над уровнем пола - для сидящих людей (но не ближе чем 1 м от потолка при потолочном отоплении), и на расстоянии 0,5 м от внутренних поверхностей наружных и внутренних стен, окон и отопительных приборов.
2.6 оптимальные параметры микроклимата: Сочетание значений показателей микроклимата, которые при длительном и систематическом воздействии на человека обеспечивают нормальное тепловое состояние организма при минимальном напряжении механизмов терморегуляции и ощущение комфорта не менее чем у 80% людей, находящихся в помещении.
2.7 помещение с постоянным пребыванием людей: Помещение, в котором люди находятся не менее 2 ч непрерывно или 6 ч суммарно в течение суток.
2.8 радиационная температура помещения: Осредненная по площади температура внутренних поверхностей ограждений помещения и отопительных приборов.
2.9
результирующая температура помещения: Комплексный показатель радиационной температуры помещения и температуры воздуха помещения, определяемый по
приложению А.
2.10 скорость движения воздуха: Осредненная по объему обслуживаемой зоны скорость движения воздуха.
2.11 температура шарового термометра: Температура в центре тонкостенной полой сферы, характеризующая совместное влияние температуры воздуха, радиационной температуры и скорости движения воздуха.
2.12 теплый период года: Период года, характеризующийся среднесуточной температурой наружного воздуха выше 8 °C.
2.13 холодный период года: Период года, характеризующийся среднесуточной температурой наружного воздуха, равной 8 °C и ниже.
3 Классификация помещений
В настоящем стандарте принята следующая классификация помещений общественного и административного назначения:
- помещения 1-й категории: помещения, в которых люди в положении лежа или сидя находятся в состоянии покоя и отдыха;
- помещения 2-й категории: помещения, в которых люди заняты умственным трудом, учебой;
- помещения 3а категории: помещения с массовым пребыванием людей, в которых люди находятся преимущественно в положении сидя без уличной одежды;
- помещения 3б категории: помещения с массовым пребыванием людей, в которых люди находятся преимущественно в положении сидя в уличной одежде;
- помещения 3в категории: помещения с массовым пребыванием людей, в которых люди находятся преимущественно в положении стоя без уличной одежды;
- помещения 4-й категории: помещения для занятий подвижными видами спорта;
- помещения 5-й категории: помещения, в которых люди находятся в полураздетом виде (раздевалки, процедурные кабинеты, кабинеты врачей и т.п.);
- помещения 6-й категории: помещения с временным пребыванием людей (вестибюли, гардеробные, коридоры, лестницы, санузлы, курительные, кладовые).
4.1 В помещениях жилых и общественных зданий следует обеспечивать оптимальные или допустимые параметры микроклимата в обслуживаемой зоне.
4.2 Параметры, характеризующие микроклимат в жилых и общественных помещениях:
- температура воздуха;
- скорость движения воздуха;
- относительная влажность воздуха;
- результирующая температура помещения;
- локальная асимметрия результирующей температуры.
4.3 Требуемые параметры микроклимата: оптимальные, допустимые или их сочетания следует устанавливать в зависимости от назначения помещения и периода года с учетом требований соответствующих нормативных документов <*>.
--------------------------------
<*> В Российской Федерации действуют
СП 60.13330.2020 "СНиП 41-01-2003 Отопление, вентиляция и кондиционирование воздуха" и
СанПиН 1.2.3685-21 "Гигиенические нормативы и требования к обеспечению безопасности и (или) безвредности для человека факторов среды обитания".
(в ред.
Изменения N 1, введенного в действие Приказом Росстандарта от 20.12.2022 N 1541-ст)
4.4 Оптимальные и допустимые параметры микроклимата в обслуживаемой зоне помещений жилых (в том числе общежитий), детских дошкольных учреждений, общественных, административных и бытовых зданий следует принимать для соответствующего периода года в пределах значений параметров, приведенных в таблицах 1 -
3.
Таблица 1
Оптимальные и допустимые нормы температуры,
относительной влажности и скорости движения воздуха
в обслуживаемой зоне помещений жилых зданий и общежитий
Период года | Наименование помещения | Температура воздуха, °C | Результирующая температура, °C | Относительная влажность, % | Скорость движения воздуха, м/с |
оптимальная | допустимая | оптимальная | допустимая | оптимальная | допустимая, не более | оптимальная, не более | допустимая, не более |
Холодный | Жилая комната | 20 - 22 | 18 - 24 (20 - 24) | 19 - 20 | 17 - 23 (19 - 23) | 45 - 30 | 60 | 0,15 | 0,2 |
Жилая комната в районах с температурой наиболее холодной пятидневки (обеспеченностью 0,92) минус 31 °C и ниже | 21 - 23 | 20 - 24 (22 - 24) | 20 - 22 | 19 - 23 (21 - 23) | 45 - 30 | 60 | 0,15 | 0,2 |
Кухня | 19 - 21 | 18 - 26 | 18 - 20 | 17 - 25 | Не нормируется | Не нормируется | 0,15 | 0,2 |
Туалет | 19 - 21 | 18 - 26 | 18 - 20 | 17 - 25 | Не нормируется | Не нормируется | 0,15 | 0,2 |
Ванная, совмещенный санузел | 24 - 26 | 18 - 26 | 23 - 27 | 17 - 26 | Не нормируется | Не нормируется | 0,15 | 0,2 |
Помещения для отдыха и учебных занятий | 20 - 22 | 18 - 24 | 19 - 21 | 17 - 23 | 45 - 30 | 60 | 0,15 | 0,2 |
Межквартирный коридор | 18 - 20 | 16 - 22 | 17 - 19 | 15 - 21 | 45 - 30 | 60 | Не нормируется | Не нормируется |
Вестибюль, лестничная клетка | 16 - 18 | 14 - 20 | 15 - 17 | 13 - 19 | Не нормируется | Не нормируется | Не нормируется | Не нормируется |
Кладовые | 16 - 18 | 12 - 22 | 15 - 17 | 11 - 21 | Не нормируется | Не нормируется | Не нормируется | Не нормируется |
Теплый | Жилая комната | 22 - 25 | 20 - 28 | 22 - 24 | 18 - 27 | 60 - 30 | 65 | 0,2 | 0,3 |
Примечание - Значения в скобках относятся к домам для престарелых и инвалидов. |
Таблица 2
Оптимальные и допустимые нормы температуры,
относительной влажности и скорости движения воздуха
в обслуживаемой зоне детских дошкольных учреждений
Период года | Наименование помещения | Температура воздуха, °C | Результирующая температура, °C | Относительная влажность, % | Скорость движения воздуха, м/с |
оптимальная | допустимая | оптимальная | допустимая | оптимальная | допустимая, не более | оптимальная, не более | допустимая, не более |
Холодный | Групповая раздевальная и туалет: | | | | | | | | |
для ясельных и младших групп | 21 - 23 | 20 - 24 | 20 - 22 | 19 - 23 | 45 - 30 | 60 | 0,1 | 0,15 |
для средних и дошкольных групп | 19 - 21 | 18 - 25 | 18 - 20 | 17 - 24 | 45 - 30 | 60 | 0,1 | 0,15 |
Спальня: | | | | | | | | |
для ясельных и младших групп | 20 - 22 | 19 - 23 | 19 - 21 | 18 - 22 | 45 - 30 | 60 | 0,1 | 0,15 |
для средних и дошкольных групп | 19 - 21 | 18 - 23 | 18 - 22 | 17 - 22 | 45 - 30 | 60 | 0,1 | 0,15 |
Вестибюль, лестничная клетка | 18 - 20 | 16 - 22 | 17 - 19 | 15 - 21 | Не нормируется | Не нормируется | Не нормируется | Не нормируется |
Теплый | Групповые спальни | 23 - 25 | 18 - 28 | 22 - 24 | 19 - 27 | 60 - 30 | 65 | 0,15 | 0,25 |
Примечания 1 В помещениях кухни, ванной и кладовой параметры воздуха следует принимать по таблице 1. 2 Для детских дошкольных учреждений, расположенных в районах с температурой наиболее холодной пятидневки (обеспеченностью 0,92) минус 31 °C и ниже, допустимую расчетную температуру воздуха в помещении следует принимать на 1 °C выше указанной в таблице 2. |
Таблица 3
Оптимальные и допустимые нормы температуры,
относительной влажности и скорости движения воздуха
в обслуживаемой зоне общественных
и административных зданий
Период года | Наименование помещения или категория | Температура воздуха, °C | Результирующая температура, °C | Относительная влажность, % | Скорость движения воздуха, м/с |
оптимальная | допустимая | оптимальная | допустимая | оптимальная | допустимая, не более | оптимальная, не более | допустимая, не более |
Холодный | 1 | 20 - 22 | 18 - 24 | 19 - 20 | 17 - 23 | 45 - 30 | 60 | 0,2 | 0,3 |
2 | 19 - 21 | 18 - 23 | 18 - 20 | 17 - 22 | 45 - 30 | 60 | 0,2 | 0,3 |
3а | 20 - 21 | 19 - 23 | 19 - 20 | 19 - 22 | 45 - 30 | 60 | 0,2 | 0,3 |
3б | 14 - 16 | 12 - 17 | 13 - 15 | 13 - 16 | 45 - 30 | 60 | 0,3 | 0,5 |
3в | 18 - 20 | 16 - 22 | 17 - 20 | 15 - 21 | 45 - 30 | 60 | 0,2 | 0,3 |
4 | 17 - 19 | 15 - 21 | 16 - 18 | 14 - 20 | 45 - 30 | 60 | 0,2 | 0,3 |
5 | 20 - 22 | 20 - 24 | 19 - 21 | 19 - 23 | 45 - 30 | 60 | 0,15 | 0,2 |
6 | 16 - 18 | 14 - 20 | 15 - 17 | 13 - 19 | Не нормируется | Не нормируется | Не нормируется | Не нормируется |
Ванные, душевые | 24 - 26 | 18 - 28 | 23 - 25 | 17 - 27 | Не нормируется | Не нормируется | 0,15 | 0,2 |
Теплый | Помещения с постоянным пребыванием людей | 23 - 25 | 18 - 28 | 22 - 24 | 19 - 27 | 60 - 30 | 65 | 0,15 | 0,25 |
Локальная асимметрия результирующей температуры должна быть не более 2,5 °C для оптимальных и не более 3,5 °C для допустимых показателей.
4.5 Расчет результирующей температуры приведен в
приложении А.
4.6 При обеспечении показателей микроклимата в различных точках обслуживаемой зоны допускается:
- перепад температуры воздуха не более 2 °C для оптимальных показателей и 3 °C - для допустимых;
- перепад результирующей температуры помещения по высоте обслуживаемой зоны - не более 2 °C;
- изменение скорости движения воздуха - не более 0,1 м/с для оптимальных показателей и 0,2 м/с - для допустимых;
(в ред.
Изменения N 1, введенного в действие Приказом Росстандарта от 20.12.2022 N 1541-ст)
- изменение относительной влажности воздуха - не более 7% для оптимальных показателей и 15% - для допустимых.
4.7 В жилых и общественных зданиях согласно нормативно-техническим документам <*> в холодный период года в нерабочее время допускается снижать показатели микроклимата, принимая температуру воздуха ниже нормируемой, но не ниже:
15 °C - в жилых помещениях;
12 °C - в помещениях общественных, административных и бытовых.
--------------------------------
<*> В Российской Федерации действует
СП 60.13330.2020 "СНиП 41-01-2003 Отопление, вентиляция и кондиционирование воздуха".
(в ред.
Изменения N 1, введенного в действие Приказом Росстандарта от 20.12.2022 N 1541-ст)
Нормируемая температура должна быть обеспечена к началу использования.
5.1 Качество воздуха в помещениях жилых и общественных зданий обеспечивается согласно действующим нормативно-техническим документам <**> необходимым уровнем вентиляции (величиной воздухообмена в помещениях), обеспечивающим допустимые значения содержания углекислого газа в помещении. При сокращении воздухообмена обеспечивается снижение энергозатрат системой вентиляции, а также повышение энергоэффективности систем вентиляции.
(в ред.
Изменения N 1, введенного в действие Приказом Росстандарта от 20.12.2022 N 1541-ст)
--------------------------------
<**> В Российской Федерации действует
ГОСТ Р 59972-2021 "Системы вентиляции и кондиционирования воздуха общественных зданий. Технические требования".
(в ред.
Изменения N 1, введенного в действие Приказом Росстандарта от 20.12.2022 N 1541-ст)
Необходимый воздухообмен в помещении может быть определен двумя способами:
- на основе удельных норм воздухообмена;
- на основе расчета воздухообмена, необходимого для обеспечения допустимых концентраций загрязняющих веществ.
Расходы воздуха систем вентиляции, принимаемые для обеспечения качества воздуха, зависят от количества людей в помещении, их деятельности, технологических процессов (выделений загрязняющих веществ от бытовой и оргтехники, из строительных материалов, мебели и др.), а также от систем отопления и вентиляции.
Применение второго способа, основанного на балансе вредностей в помещении, позволяет определить воздухообмен с учетом загрязнений наружного воздуха и заданного уровня качества воздуха (комфорта) в помещении.
При этом определяющим вредным веществом является углекислый газ

, выдыхаемый людьми. Эквивалентом вредных веществ, выделяемых ограждениями, мебелью, коврами и др., принимается также углекислый газ в соответствии с нормативными документами
<**>, действующими на территории государства - участника Соглашения, принявшего настоящий стандарт.
(в ред.
Изменения N 1, введенного в действие Приказом Росстандарта от 20.12.2022 N 1541-ст)
Требования к качеству воздуха в помещениях следует принимать по заданию на проектирование согласно таблице 4.
Таблица 4
Классификация воздуха в помещениях
Класс | Качество воздуха в помещении | Допустимое содержание CO 2 <*>, см 3/м 3 |
Оптимальное | Допустимое |
1 | Высокое | - | 400 и менее |
2 | Среднее | - | 400 - 600 |
3 | - | Допустимое | 600 - 1000 |
4 | - | Низкое | 1000 и более |
<*> Допустимое содержание CO 2 в помещениях принимают сверх содержания CO 2 в наружном воздухе, см 3/м 3. |
Примерное содержание загрязнений в наружном воздухе приведено в таблице 5.
Таблица 5
Примеры содержания загрязнений в наружном воздухе
Местность | Концентрация в воздухе |
CO2, см3/м3 | CO, мг/м3 | NO2, кг/м3 | SO2, мкг/м3 |
Сельская местность, существенные источники отсутствуют | 350 | 1 | 5 - 35 | 5 |
Небольшой город | 375 | 1 - 3 | 15 - 40 | 5 - 15 |
Загрязненный центр большого города | 400 | 2 - 6 | 30 - 80 | 10 - 50 |
Примечание - Приведенные значения являются среднегодовыми. Их не следует использовать при проектировании, поскольку максимальные концентрации будут выше. Для более подробной информации следует выполнить оценку загрязнений на месте. |
5.2 Количество наружного воздуха, подаваемого в помещение системой вентиляции в расчете на одного человека для обеспечения заданного качества воздуха, зависит от концентрации углекислого газа в наружном воздухе и эффективности воздухораспределения в помещении.
Базовое количество наружного воздуха в расчете на одного человека приведено в
таблице 4.
В зависимости от эффективности системы воздухораспределения необходимый расход наружного воздуха L, м3/ч, в системе вентиляции следует определять по формуле

, (1)
где

- коэффициент эффективности системы воздухораспределения, определяемый расчетом или принимаемый по таблице 6;

- расчетное минимальное количество наружного воздуха, м
3/ч.
Таблица 6
Коэффициенты эффективности систем воздухораспределения
Системы воздухораспределения | Коэффициент эффективности системы воздухораспределения |
Системы естественной вентиляции с периодическим проветриванием | 1,0 |
Системы механической авторегулируемой вытяжной вентиляции с приточными клапанами в наружных ограждениях | 0,9 |
Системы приточной вентиляции с подачей воздуха в обслуживаемую зону, в том числе системы вытесняющей вентиляции | 0,6 - 0,8 |
Системы персональной вентиляции с подачей приточного воздуха в зону дыхания | 0,3 - 0,5 |
Ориентировочные значения коэффициента эффективности приведены в
таблице 6.
5.3 Для детских учреждений, больниц и поликлиник следует принимать показатели качества воздуха 1-го класса.
Для жилых и общественных зданий следует принимать, как правило, 2-й класс качества воздуха; оптимальные показатели воздуха для указанных зданий допускается принимать по заданию на проектирование с учетом загрязнения наружного воздуха, источника загрязнения воздуха в помещении.
(в ред.
Изменения N 1, введенного в действие Приказом Росстандарта от 20.12.2022 N 1541-ст)
6.1 В холодный период года измерение показателей микроклимата следует выполнять при температуре наружного воздуха не выше минус 5 °C. Не допускается проведение измерений при безоблачном небе в светлое время суток.
6.2 В теплый период года измерение показателей микроклимата следует выполнять при температуре наружного воздуха не ниже 15 °C. Не допускается проведение измерений при безоблачном небе в светлое время суток.
6.3 Измерение температуры, влажности и скорости движения воздуха следует проводить в обслуживаемой зоне на высоте:
0,1; 0,4 и 1,7 м от поверхности пола - для детских дошкольных учреждений;
0,1; 0,6 и 1,7 м от поверхности пола - при пребывании людей в помещении преимущественно в сидячем положении;
0,1; 1,1 и 1,7 м от поверхности пола - в помещениях, где люди преимущественно стоят или ходят;
в центре обслуживаемой зоны и на расстоянии 0,5 м от внутренней поверхности наружных стен и стационарных отопительных приборов - в помещениях, указанных в таблице 7.
Таблица 7
Места проведения измерений
Здания | Выбор помещения | Место измерения |
Одноквартирные | Не менее чем в двух комнатах площадью более 5 м2 каждая, имеющая две наружные стены или комнаты с большими окнами, площадь которых составляет 30% и более площади наружных стен | В центре плоскостей, отстоящих от внутренней поверхности наружной стены и отопительного прибора на 0,5 м, и в центре помещения (точке пересечения диагональных линий помещения) на высоте, указанной в 5.3 |
Многоквартирные | Не менее чем в двух комнатах площадью более 5 м2 каждая в квартирах на первом и последнем этажах |
Гостиницы, мотели, больницы, детские учреждения, школы | В одной угловой комнате первого или последнего этажа |
Другие общественные и административно-бытовые | В каждом представительском помещении | В центре плоскостей, отстоящих от внутренней поверхности наружной стены и отопительного прибора на 0,5 м в помещениях площадью 100 м 2 и более, измерения осуществляются на участках, размеры которых регламентированы в 5.3 |
Примечание - Измерения дополнительно проводятся в помещениях, независимо от их расположения и назначения, в которых выявлены грубые нарушения установленных параметров микроклимата. |
(примечание введено Изменением N 1, введенным в действие Приказом Росстандарта от 20.12.2022 N 1541-ст) |
В помещениях площадью более 100 м2 измерение температуры, влажности и скорости движения воздуха следует проводить на равновеликих участках, площадь которых должна быть не более 100 м2.
6.4 Температуру внутренней поверхности стен, перегородок, пола, потолка следует измерять в центре соответствующей поверхности.
Для наружных стен со световыми проемами и отопительными приборами температуру на внутренней поверхности следует измерять в центрах участков, образованных линиями, продолжающими грани откосов светового проема, а также в центре остекления и отопительного прибора.
6.5 Результирующую температуру помещения следует вычислять по формулам, указанным в
приложении А. Измерения температуры воздуха проводят в центре помещения на высоте 0,6 м от поверхности пола для помещений с пребыванием людей в положении сидя и на высоте 1,1 м в помещениях с пребыванием людей в положении стоя либо по температурам окружающих поверхностей ограждений (см.
приложение А), либо по данным измерений шаровым термометром (см.
приложение Б).
6.6 Локальную асимметрию результирующей температуры

, °C, следует вычислять для точек, указанных в
6.4, по формуле
(в ред.
Изменения N 1, введенного в действие Приказом Росстандарта от 20.12.2022 N 1541-ст)

, (2)
где

и

- температуры, °C, измеренные в двух противоположных направлениях шаровым термометром по
приложению Б.
6.7 Исключен с 01.02.2023. -
Изменение N 1, введенное в действие Приказом Росстандарта от 20.12.2022 N 1541-ст.
6.8 При ручной регистрации показателей микроклимата следует выполнять не менее трех измерений с интервалом не менее 5 мин, при автоматической регистрации следует проводить измерения в течение 2 ч. При сравнении с нормативными показателями принимают среднее значение измеренных величин.
Измерение результирующей температуры следует начинать через 20 мин после установки шарового термометра в точке измерения.
6.9 Показатели микроклимата в помещениях следует измерять приборами, прошедшими регистрацию и имеющими соответствующий сертификат.
Диапазон измерения и допустимая погрешность измерительных приборов должны соответствовать требованиям таблицы 8.
Таблица 8
Требования к измерительным приборам
Приказом Росстандарта от 20.12.2022 N 1541-ст)
Наименование показателя | Диапазон измерений | Допустимая погрешность |
Температура внутреннего воздуха, °C | От 5 до 40 | +/- 0,5 |
Температура внутренней поверхности ограждений, °C | От 0 до 50 | +/- 0,5 |
Температура поверхности отопительного прибора, °C | От 5 до 90 | +/- 1,0 |
Результирующая температура помещения, °C | От 5 до 40 | +/- 0,5 |
Относительная влажность воздуха, % | От 10 до 90 | +/- 5,0 |
Скорость движения воздуха, м/с | От 0,1 до 1,0 | 0,05 + 10% измеренного значения |
Концентрация углекислого газа, см3/м3 | От 350 до 2000 | 30 + 5% измеренного значения |
6.10 Содержание углекислого газа в помещении следует измерять в воздуховоде механической вытяжной вентиляции либо в помещении на расстоянии 0,1 - 0,3 м от вытяжных вентиляционных отверстий. Содержание углекислого газа в наружном воздухе следует измерять в воздуховоде механической приточной вентиляции либо в помещении на расстоянии 0,05 - 0,2 м от приточных вентиляционных отверстий. Измерения проводят при расчетном заполнении помещения людьми.
(п. 6.10 введен
Изменением N 1, введенным в действие Приказом Росстандарта от 20.12.2022 N 1541-ст)
(обязательное)
РАСЧЕТ РЕЗУЛЬТИРУЮЩЕЙ ТЕМПЕРАТУРЫ ПОМЕЩЕНИЯ
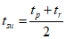
Результирующую температуру помещения следует принимать при скорости движения воздуха до 0,2 м/с равной температуре шарового термометра при диаметре сферы 150 мм.
Результирующую температуру помещения

, °C, при скорости движения воздуха до 0,2 м/с следует определять по формуле

, (А.1)
где

- температура воздуха в помещении, °C;

- радиационная температура помещения, °C.
При скорости движения воздуха от 0,2 до 0,6 м/с

, °C, следует определять по формуле

. (А.2)
Радиационную температуру

, °C, следует вычислять:
- по температуре шарового термометра по формуле

, (А.3)
где

- температура по шаровому термометру, °C;
m - константа, равная 2,2 при диаметре сферы до 150 мм;
V - скорость движения воздуха, м/с;
- по температурам внутренних поверхностей ограждений и отопительных приборов по формуле

, (А.4)
где

- площадь внутренней поверхности ограждений и отопительных приборов, м
2;

- температура внутренней поверхности ограждений и отопительных приборов, °C.
(обязательное)
УСТРОЙСТВО ШАРОВОГО ТЕРМОМЕТРА
Шаровой термометр для определения результирующей температуры представляет собой зачерненную снаружи (степень черноты поверхности не ниже 0,95) полую сферу, изготовленную из меди или другого теплопроводного материала, внутри которой помещен либо стеклянный термометр, либо термоэлектрический преобразователь.
Шаровой термометр для определения локальной асимметрии результирующей температуры представляет собой полую сферу, у которой одна половина шара имеет зеркальную поверхность (степень черноты поверхности не выше 0,05), а другая - зачерненную поверхность (степень черноты поверхности не ниже 0,95).
Измеряемая в центре шара температура шарового термометра является равновесной температурой от радиационного и конвективного теплообмена между шаром и окружающей средой.
Рекомендуемый диаметр сферы 150 мм. Толщина стенок сферы минимальная, например, из меди - 0,4 мм. Зеркальную поверхность образуют гальваническим методом путем нанесения хромового покрытия. Допускаются наклеивание полированной фольги и другие способы. Диапазон измерений от 10 °C до 50 °C. Время нахождения шарового термометра в точке замера перед измерением не менее 20 мин. Точность измерений при температуре от 10 °C до 50 °C - 0,1 °C.
При использовании сферы другого диаметра константу m следует определять по формуле

, (Б.1)
где d - диаметр сферы, м.
Раздел исключен с 01.02.2023. -
Изменение N 1, введенное в действие Приказом Росстандарта от 20.12.2022 N 1541-ст.
УДК [69+699.8](083.74):006.354 | |
Ключевые слова: микроклимат помещения, оптимальные параметры, допустимые параметры, температура воздуха, скорость движения воздуха, относительная влажность воздуха, результатирующая температура помещения, локальная асимметрия результатирующей температуры, качество воды |