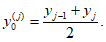
Главная // Актуальные документы // Методическое пособиеСПРАВКА
Источник публикации
М., 2018
Примечание к документу
Название документа
"Методическое пособие. Руководство по расчету и проектированию транспортных тоннелей для районов с повышенной сейсмичностью"
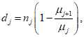
"Методическое пособие. Руководство по расчету и проектированию транспортных тоннелей для районов с повышенной сейсмичностью"
МИНИСТЕРСТВО СТРОИТЕЛЬСТВА И ЖИЛИЩНО-КОММУНАЛЬНОГО ХОЗЯЙСТВА
РОССИЙСКОЙ ФЕДЕРАЦИИ
ФЕДЕРАЛЬНОЕ АВТОНОМНОЕ УЧРЕЖДЕНИЕ
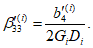
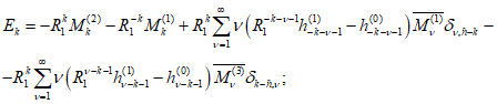
"ФЕДЕРАЛЬНЫЙ ЦЕНТР НОРМИРОВАНИЯ, СТАНДАРТИЗАЦИИ
И ОЦЕНКИ СООТВЕТСТВИЯ В СТРОИТЕЛЬСТВЕ"
МЕТОДИЧЕСКОЕ ПОСОБИЕ
РУКОВОДСТВО
ПО РАСЧЕТУ И ПРОЕКТИРОВАНИЮ ТРАНСПОРТНЫХ ТОННЕЛЕЙ
ДЛЯ РАЙОНОВ С ПОВЫШЕННОЙ СЕЙСМИЧНОСТЬЮ
Настоящее Руководство предназначено для специалистов в области проектирования и строительства тоннелей и других подземных сооружений в районах с повышенной сейсмичностью. Целью разработки руководства является обеспечение специалистов по сейсмической безопасности методическими материалами, позволяющими более эффективно реализовывать на практике положения и требования, содержащиеся в
разделе 9 "Транспортные тоннели и метрополитены" СП 268.1325800.2016 "Транспортные сооружения в сейсмических районах. Правила проектирования", касающиеся конкретных условий вновь строящихся, реконструируемых или расширяемых объектов транспортного назначения.
Включенные в руководство материалы на единой научно-методической основе обобщают накопленный отечественный и зарубежный опыт проектирования, строительства, эксплуатации и мониторинга тоннелей различного назначения в сейсмически активных районах.
При разработке руководства использованы положения действующих отраслевых материалов по сейсморайонированию, а также справочные материалы по характеристикам грунтов и материалов обделок тоннелей, по компоновочным и конструктивным решениям, выбору конструкций обделок и расчету их параметров.
Материалы, представленные в данном руководстве, предназначены для:
- детализации основных положений
раздела 9 "Транспортные тоннели и метрополитены" СП 268.1325800.2016 "Транспортные сооружения в сейсмических районах. Правила проектирования";
- разъяснения специальных требований к проектированию и расчету обделок транспортных тоннелей, сооружаемых в районах с повышенной сейсмичностью, основанных на оценке наиболее неблагоприятного напряженного состояния подземных конструкций, которое может возникнуть при произвольном сочетании и заранее неизвестном направлении совместного действия длинных сейсмических волн разного типа, распространяющихся в плоскости поперечного сечения сооружения;
- обобщения результатов научно-исследовательских и опытно-конструкторских работ, выполненных ведущими организациями в области транспортного тоннелестроения;
- обоснования выбора расчетных методик в зависимости от конструкции проектируемой обделки тоннеля, технологии строительства и горно-геологических условий;
- обеспечения специалистов справочными материалами, необходимыми при проектировании и расчете обделок транспортных тоннелей в районах с повышенной сейсмичностью.
Особое внимание в руководстве уделено нормативным требованиям
раздела 9 СП 268.1325800.2016, даны рекомендации по порядку их применения, приведены различные вспомогательные данные, необходимые при проектировании и расчете обделок.
Руководство содержит научно обоснованные, апробированные на практике положения по проектированию, расчету и мониторингу транспортных тоннелей, описания аналитических методов расчета обделок тоннелей глубокого и мелкого заложения, базирующихся на положениях механики сплошной среды.
Приведенные методы расчета подземных сооружений апробированы и нашли широкое применение при проектировании и строительстве важных народно-хозяйственных объектов, сооружаемых в сейсмически активных районах, в числе которых тоннели Байкало-Амурской магистрали, автодорожные тоннели на магистрали Ялта - Симферополь и на подъездной дороге к Ирганайскому гидроузлу, железнодорожные тоннели Мале Леднице и Полом (Республика Чехия), транспортные тоннели комплекса олимпийских объектов г. Сочи.
Основой приведенных методов расчета является определение наиболее неблагоприятного напряженного состояния обделок при действии длинных сейсмических волн разного характера и любого направления в плоскости поперечного сечения тоннелей.
В руководство включены рекомендации по оценке сейсмонапряженного состояния при распространении сейсмических волн вдоль оси тоннелей.
Применение настоящего руководства будет способствовать практической реализации заложенных в действующие нормативные документы требований по сейсмической безопасности транспортных тоннелей, повышению качества выполняемых проектных работ за счет использования единых научно-методологических подходов, обеспечению безопасности эксплуатации тоннелей в сейсмически активных районах.
Материалы руководства, включая вспомогательные данные, не вошедшие в
СП 268.1325800.2016, могут быть использованы наряду с действующими нормативными документами для проведения независимых экспертных оценок выполненных проектных работ.
Составители пособия: д.т.н., доц. Анциферов С.В., д.т.н., доц. Деев П.В., д.т.н., проф. Саммаль А.С. (ТулГУ); д.т.н., проф. Дорман И.Я. (ОАО "Метрогипротранс"); д.т.н., с.н.с. Безродный К.П., к.т.н. Лебедев М.О. ОАО НИПИИ "Ленметрогипротранс", д.т.н., проф. Шестоперов Г.С. (ООО "ПОИСК").
1.1 Настоящее Руководство предназначено для использования при проектировании транспортных тоннелей, расположенных в районах с повышенной сейсмичностью. Рекомендации Руководства распространяются на проектирование железнодорожных тоннелей на железных дорогах общей сети и автодорожных тоннелей на автомобильных дорогах общего пользования категорий I - IV, в том числе городских транспортных тоннелей и коротких железнодорожных и автодорожных тоннелей - путепроводов тоннельного типа, а также перегонных тоннелей метрополитенов, расположенных в районах с повышенной сейсмичностью. Настоящее Руководство не распространяется на проектирование тоннелей, сооружаемых на высокоскоростных железных дорогах (более 200 км/ч), на скоростных автомагистралях (более 150 км/ч), и уникальных автодорожных тоннелей или тоннелей для совмещенного движения безрельсового и рельсового транспорта в разных уровнях. Для этих тоннелей должны на основе специальных исследований разрабатываться специальные технические условия.
1.2 В Руководстве даны разъяснения положений
Свода Правил 268.1325800.2016 "Транспортные сооружения в сейсмических районах. Правила проектирования", касающиеся вопросов расчета и проектирования транспортных тоннелей и метрополитенов. Руководство разработано в соответствии с требованиями федеральных законов от 27 декабря 2002 г.
N 184-ФЗ "О техническом регулировании", от 30 декабря 2009 г.
N 384-ФЗ "Технический регламент о безопасности зданий и сооружений".
В настоящем Руководстве использованы нормативные ссылки на следующие документы:
ГОСТ 5781-82 "Сталь горячекатаная для армирования железобетонных конструкций. Технические условия";
ГОСТ 380-94 "Сталь углеродистая обыкновенного качества. Марки";
СП 16.13330.2017 "Стальные конструкции. Актуализированная редакция СНиП II-23-81*";
СП 63.13330.2012 "СНиП 52-01-2003 Бетонные и железобетонные конструкции. Основные положения"
СП 269.1325800.2016 "Транспортные сооружения в сейсмических районах. Правила уточнения исходной сейсмичности и сейсмического микрорайонирования"
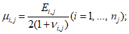
3.1 анкер: устройство, используемое при строительстве подземных сооружений для передачи усилий от конструкций на грунтовую толщу;
3.2 антисейсмические мероприятия: совокупность мер, выполняемых на всех этапах создания и эксплуатации сооружения (изыскания, проектирование, постройка, содержание) в целях обеспечения сейсмостойкости несущих конструкций при землетрясениях расчетной силы и безопасности движения в районе стихийного бедствия; |
3.3 антисейсмический деформационный шов (антисейсмический шов): конструктивный элемент, разделяющий обделку на отдельные блоки для повышения сейсмостойкости тоннеля;
3.4 карты общего сейсмического районирования (ОСР): комплект из трех карт, показывающих распределение в первом приближении сейсмической опасности по территории Российской Федерации с вероятностью превышения картируемой балльности 10%, 5% и 1% за интервал времени 50 лет или со средним интервалом времени между землетрясениями указанной на карте силы 500 лет (карта A), 1000 лет (карта B) и 5000 лет (карта C); |
3.5 квазистатическая задача: задача, в которой действие длинных волн моделируется соответствующими статическими напряжениями, зависящими от параметров волн;
3.6 классификация по сейсмостойкости: разделение сооружений на классы в зависимости от допустимой вероятности превышения расчетной сейсмической нагрузки за интервал времени 50 лет; 3.7 класс сейсмостойкости: системная единица, позволяющая упорядочить различные сооружения по свойству выдерживать без разрушения землетрясения, повторяющиеся с различной частотой в месте расположения объекта; |
3.8 методы строительной механики: инженерные методы расчета стержневых конструкций определенного вида (ферм, рам, балочных систем и арок), оболочек, упругих и неупругих оснований и т.д.;
3.9 методы теории упругости: аналитические или численные методы, разработанные с использованием теоретического аппарата механики сплошных сред, позволяющие определять напряженно-деформированное состояние упругих твердых тел при статических и динамических нагрузках;
3.10 преобладающий период колебаний частиц грунта: характеристика массива грунта на площадке строительства, связанная с сейсмическим воздействием и определяемая на основе инструментальных измерений в процессе изысканий;
3.11 расчетное землетрясение: принимаемое при разработке антисейсмических мероприятий землетрясение, характеристики которого определяются с учетом предельно допустимого сейсмического риска при проектировании сооружения, исследований по уточнению исходной сейсмичности и по сейсмическому микрорайонированию участка строительства, установленных нормами ограничений на расчетную сейсмичность; 3.12 сейсмостойкость: способность сооружения выдерживать без полной потери эксплуатационных свойств (наступления одного из предельных состояний первой группы) землетрясения расчетной силы (интенсивности); |
3.13 тектоническая дислокация: нарушение залегания горных пород как в осадочной оболочке, так и в более глубоких слоях земной коры под действием тектонических процессов.
4.1 Проекты тоннельных сооружений разрабатываются с учетом класса сейсмостойкости объектов, связанного с сейсмическим риском, в соответствии с
п. 4.5 СП 268.1325800.2016.
4.2 Класс сейсмостойкости сооружения учитывается при выборе карты общего сейсмического районирования; уточнении исходной сейсмичности (УИС) и сейсмическом микрорайонировании (СМР) участка строительства; разработке видов и объемов антисейсмических мероприятий; организации научно-технического сопровождения проектируемых сооружений; организации инструментального мониторинга на стадии эксплуатации сооружения.
4.3 Исходная сейсмичность района (пункта) строительства для сооружений классов сейсмостойкости I, II и III определяется по картам общего сейсмического районирования в целых баллах
шкалы MSK-64.
4.4 Уточнение сейсмичности площадки строительства в зависимости от местных инженерно-геологических условий рекомендуется производить на основании карт сейсмического микрорайонирования и вида сооружений в соответствии с
табл. 4.1 [
4,
8].
Таблица 4.1
Расчетная сейсмостойкость тоннельных конструкций в баллах
| Наименование тоннельных сооружений | Сейсмичность площадки строительства, баллы |
6 | 7 | 8 | 9 |
| Горные транспортные тоннели длиной 500 м и более: станционные, эскалаторные и перегонные тоннели метрополитена, совмещенные тягово-понизительные подстанции метрополитена | | 8 | 9 | |
| Горные транспортные тоннели длиной до 500 м: пешеходные тоннели, постоянные сооружения метрополитена, припортальные подпорные стены | - | 7 | 8 | 9 |
3. | Объекты горных тоннелей вне трассы, разрушение которых не отразится на целостности сооружений по пп. 1 и 2 данной таблицы | - | - | 7 | 8 |
--------------------------------
<*> Сейсмостойкость обеспечивается конструктивными антисейсмическими мероприятиями.
<**> При проектировании необходимо обязательное привлечение специализированной научно-исследовательской организации.
Результаты сейсмического микрорайонирования являются составной частью исходных данных для проектирования и расчета обделок тоннелей.
4.5 При сейсмическом микрорайонировании заглубленных участков тоннельного перехода в процессе изысканий инженерно-геологическая характеристика грунтов по трассе тоннеля должна учитывать:
а) мощность напластований грунтов, окружающих тоннель, а также сейсмическую жесткость основания;
б) статистические характеристики параметров колебаний массива - скорости распространения сейсмических волн разного характера, преобладающий период колебаний частиц грунта и пр.;
в) наличие и характеристика тектонических нарушений в районе строительства (протяженность, структура и др.);
г) активность и направленность тектонических движений (вязкий или хрупкий разрыв сдвигового типа, оползневый разрыв и т.п.);
д) крутизна и устойчивость склонов, косогоров и возможность возникновения в них оползневых явлений.
4.6 Сейсмическое микрорайонирование по трассе тоннеля или линии метрополитена выполняется в соответствии с "Методическими
рекомендациями по сейсмическому микрорайонированию участков строительства транспортных сооружений".
4.7 Расчетная сейсмостойкость конструкций тоннелей уточняется по согласованию с утверждающей проект инстанцией на основании специальных исследований и сравнения стоимости вариантов с учетом возможных последствий землетрясений.
4.8 При проектировании протяженных (более 500 м) транспортных тоннелей, расположенных в районах сейсмичностью более 9 баллов, следует разрабатывать дополнительные антисейсмические мероприятия с привлечением специализированных научно-исследовательских и проектно-изыскательских организаций.
4.9 Проектная документация на строительство протяженных (более 500 м) транспортных тоннелей, расположенных в районах сейсмичностью 8 и более баллов, должна включать раздел по мониторингу состояния конструкций во время строительства и эксплуатации.
5.1 Трассирование тоннелей в сейсмоопасных районах следует выполнять в соответствии с
подразделом 9.1 СП 268.1325800.2016.
5.2 При трассировании тоннелей должны учитываться особенности проектируемых транспортных тоннелей, применяемых объемно-планировочных и конструктивных решений, технологических мероприятий.
5.3 Выбор трассы транспортного тоннеля в плане и профиле должен осуществляться с учетом физико-механических свойств грунтов и сейсмичности площадки строительства на основе результатов сейсмического микрорайонирования.
5.4 Тоннель по возможности должен располагаться вне зон тектонической активности в наиболее благоприятных в сейсмическом отношении инженерно-геологических условиях с целью сокращения расходов на выполнение антисейсмических мероприятий.
5.5 При выборе трассы тоннеля в профиле следует отдавать предпочтение скальным крупноблочным породам и плотным маловлажным грунтам. Трассу тоннеля следует располагать в однородных по сейсмической жесткости грунтах.
5.6 При наличии по трассе тоннеля протяженных участков текучепластичных и текучих глинистых, сейсмически неустойчивых и просадочных грунтов, а также участков с повышенной трещиноватостью пород, резким изменением рельефа местности над тоннелем, перевальных седловин, оползневых участков или склонов, сложенных слабыми и несвязными грунтами, должны рассматриваться варианты их обхода.
5.7 При наличии по трассе тоннеля глинистых или песчаных, насыщенных водой, или просадочных грунтов рекомендуется при соответствующем технико-экономическом обосновании включение в проект мероприятий по улучшению физико-механических свойств таких грунтов или отделение участков тоннеля в слабых грунтах деформационными швами.
5.8 При прочих равных условиях следует отдавать предпочтение вариантам с более глубоким заложением тоннелей.
5.9 Пересечение трассы тоннеля действующих региональных тектонических дислокаций целесообразно осуществлять вкрест простирания с применением усиленных конструкций обделок.
6 Требования к конструкции обделок транспортных тоннелей
6.1 Предусмотренная проектом конструкция обделки транспортного тоннеля в сейсмоопасных районах должна обеспечить надежность работы объекта в целом при статических нагрузках и сейсмических воздействиях землетрясений.
6.2 При возведении обделки следует тщательно заполнять пустоты за обделкой и соблюдать технологию выполнения бетонных работ.
6.3 При сейсмичности площадки строительства 7 и более баллов обязательно применение обделки, конструкция которой должна выбираться в соответствии с инженерно-геологическими условиями площадки строительства и обосновываться расчетом.
6.4 При сооружении транспортных тоннелей в слабых грунтах целесообразно увеличивать жесткость основания путем закрепления (инъекция, уплотнение, использование анкеров и др.) на глубину, равную поперечному размеру сооружения.
6.5 В местах повышенной трещиноватости пород и возможности образования при проходке тоннеля вывалов рекомендуется конструктивно увеличивать несущую способность обделки.
6.6 При сейсмичности площадки строительства 8 и более баллов обязательно применение замкнутой обделки.
6.7 При устройстве бетонных или железобетонных обделок без обратного свода следует обеспечить конструктивную заделку нижней части стен.
6.8 При расчетной сейсмостойкости тоннеля 7 баллов в качестве постоянной обделки в скальных грунтах допускается применение набрызг-бетона в сочетании с анкерами, имеющими сцепление с грунтом по всей длине и достаточную долговечность. Применение анкеров замкового типа должно быть обосновано соответствующим расчетом.
6.9 При расчетной сейсмостойкости тоннеля 8 баллов применение набрызг-бетона в сочетании с анкерами допускается при соответствующем расчетном обосновании.
6.10 В районах сейсмичностью 8 и 9 баллов на припортальных участках тоннелей, где налегающая толща грунта менее трех наибольших размеров поперечного сечения выработки, следует применять железобетонные обделки. В особо сложных инженерно-геологических и гидрогеологических условиях при соответствующем обосновании допускается применение обделок из чугуна.
6.11 Элементы сборных обделок необходимо соединять между собой связями растяжения в плоскости поперечного сечения тоннеля (армирование стыков, сварка закладных частей в радиальных стыках железобетонной блочной обделки, установка болтовых или скобовых соединений и т.п.).
6.12 Для обеспечения сейсмостойкости транспортных сооружений целесообразно применение крупноразмерных элементов из материалов, способных воспринимать упругие и пластические деформации. Для снижения деформативности и повышения жесткости обделки в плоскости поперечного сечения тоннеля возможно применение цельносекционных обделок перегонных тоннелей метрополитенов, монолитных обделок горных транспортных тоннелей.
6.13 При проектировании обделок следует равномерно распределять массы и жесткости элементов по сечению тоннеля, что достигается при применении круговых либо подковообразных обделок с обратным сводом для транспортных тоннелей, сооружаемых закрытым способом; круговых обделок при закрытом и цельносекционные при открытом способе работ для перегонных тоннелей метрополитена; односводчатых станций и станций пилонного типа с использованием сборных элементов.
6.14 С целью снижения сейсмических нагрузок на обделку горных тоннелей в скальных грунтах возможно применение облегченных элементов обделки, например, выполненных из легких бетонов, а также замкнутых элементов (цельносекционных или объемных обделок для перегонных и станционных тоннелей) рациональных форм сечения, способствующих повышению несущей способности подземных конструкций, а также применением двухслойных обделок, в которых наружный слой отделяется от основного несущего внутреннего слоем из низкомодульного материала, уменьшающего передачу касательных и нормальных растягивающих сейсмических напряжений на внутренний несущий слой обделки.
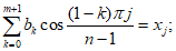
6.15 Для поглощения продольных деформаций вдоль оси тоннеля, возникающих при землетрясении, в бетонных и железобетонных обделках следует использовать антисейсмические деформационные швы, которые должны допускать взаимные продольные смещения смежных участков обделки при деформациях без силового воздействия элементов обделки друг на друга. Максимальные расстояния между антисейсмическими швами не должны превышать 40 м.
6.16 Ширину шва следует принимать из условия недопущения соударения разделяемых частей сооружения при землетрясении.
6.17 Расстояние между антисейсмическими швами определяется по формуле, приведенной в
ВСН 193-81 [2]

(6.1)
где

- допускаемое конструкцией шва продольное смещение смежных участков тоннеля относительно друг друга, мм;
c1 - скорость продольных сейсмических волн в грунте, м/с;
T0 - преобладающий период колебаний частиц грунта, с;
Amax - возможная максимальная амплитуда колебаний массива, мм, определяемая в процессе изысканий (для предварительных расчетов принимается по
рис. 6.1 в зависимости от
T0).
Рисунок 6.1 - Зависимости амплитуд максимальных смещений
от преобладающего периода колебаний частиц грунта
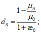
При отсутствии данных в слабых грунтах расстояние между антисейсмическими швами следует принимать равным 20 м, в скальных - 30 м.
6.18 Антисейсмические деформационные швы целесообразно совмещать с деформационно-усадочными и температурными швами. Если в результате расчета расстояние между антисейсмическими деформационными швами меньше, чем между деформационно-усадочными и температурными швами, то необходимо устраивать дополнительные антисейсмические деформационные швы.
6.19 Антисейсмические деформационные швы обязательно следует устраивать в местах соединения участков тоннеля, имеющих различные поперечные сечения.
6.20 В местах примыкания к тоннелю камер и других подземных выработок (дренажные и вентиляционные штольни и пр.) между сооружениями и тоннелем.
6.21 В тоннелях метрополитенов антисейсмические швы должны прорезать не только конструкцию обделки, но и путевой бетон.
6.22 В случае сложного взаимного пересечения подземных выработок ответственного назначения, когда по условиям эксплуатации требуется недопущение смещения одной выработки относительно другой во время землетрясения, необходимо проектировать усиленное жесткое сочленение конструкций.
6.23 В местах пересечения тоннелем границ тектонических зон должны предусматриваться дополнительные антисейсмические швы. Рекомендуемые схемы размещения и конструкции антисейсмических деформационных швов в обделках транспортных тоннелей приведены в
Приложении Д.
6.24 Обделки на участках тоннеля в зоне тектонических трещин, прилегающие к антисейсмическим деформационным швам, следует усиливать дополнительным конструктивным армированием.
6.25 Поперечное сечение обделок на участках, примыкающих к тектоническим трещинам с обеих сторон, следует увеличивать в среднем на 10%. Длина таких участков должна быть в пределах 5 наибольших поперечных размеров выработки. Предварительное количество участков назначают по данным инженерно-геологических изысканий и уточняют по их фактическому местоположению в процессе проходки опережающих разведочных штолен, скважин и т.п.
6.26 Общую длину участков усиления обделки определяют на основе анализа данных инженерно-геологических, гидрогеологических и сейсмотектонических изысканий и уточняют дополнительно в период строительства.
| | ИС МЕГАНОРМ: примечание. Текст дан в соответствии с официальным текстом документа. | |
6.27 В железобетонных конструкциях в качестве рабочей (расчетной) арматуры следует применять стержневую арматуру из стали класса Ас300 марки 10ГТ диаметром 10 - 32 мм по
ГОСТ 5781-82. Допускается применение арматурной стали класса А400 марки 25Г2С диаметром 6 - 40 мм по
ГОСТ 5781-82. В качестве нерасчетной арматуры возможно применение стали А240 и А300 по
ГОСТ 5781-82 и
ГОСТ 380-94, марок ВСт3сп2, ВСт3сп2, ВСт3Гпс2, ВСт5сп2 и ВСт5пс2.
6.28 Марки сталей для закладных элементов железобетонных конструкций следует принимать по нормам проектирования железобетонных конструкций.
7 Основные положения расчета тоннельных обделок на сейсмические воздействия землетрясений
7.1 Конструкции обделок транспортных тоннелей, располагаемых в сейсмоопасных районах, должны быть обоснованы расчетами на сейсмические воздействия.
7.2 Расчет тоннельных обделок следует проводить по первой группе предельных состояний.
7.3 Расчеты проводятся на основные сочетания нагрузок, особые сочетания нагрузок, состоящие из постоянных, длительных, возможных кратковременных и одной из особых (кроме сейсмических) нагрузок; особое сочетание, состоящее из постоянных, длительных нагрузок и сейсмического воздействия.
7.4 Рассчитывать конструкции обделок на сейсмические воздействия следует с учетом сейсмичности площадки строительства, расчетной сейсмостойкости тоннельных конструкций и физико-механических свойств окружающих обделку грунтов и материалов обделки, методами механики сплошной среды или строительной механики.
7.5 В соответствии с
СП 14.13330.2014 предусматриваются расчеты на действие проектного (ПЗ) и максимального расчетного землетрясений (МРЗ).
7.5.1 При расчете на действие проектного землетрясения используемые расчетные модели должны быть основаны на рассмотрении упругой области деформирования.
7.5.2 При расчете на действие максимального расчетного землетрясения формирование расчетных моделей подземных сооружений следует производить с учетом возможности развития в элементах конструкций неупругих деформаций и локальных хрупких разрушений.
7.6 Первым этапом расчета на воздействие МРЗ является рассмотрение упругой стадии деформирования конструкции.
7.6.1 Если расчет, производимый по упругой стадии, не выявил образование неупругих деформаций и локальных хрупких разрушений, необходимая несущая способность обделки тоннеля считается обеспеченной.
7.6.2 Если расчет, производимый по упругой стадии, выявил образование неупругих деформаций или локальных хрупких разрушений, дальнейшие вычисления производятся с использованием расчетных моделей, модифицированных с учетом положения, форм и размеров выявленных зон неупругих деформаций и локальных хрупких разрушений.
7.7 Расчет обделок тоннелей с учетом сейсмических воздействий предусматривает:
- уточнение сейсмичности площадки строительства тоннеля;
- выбор расчетной сейсмостойкости конструкций тоннеля согласно
таблице 4.1;
- разбиение тоннеля на отдельные участки в зависимости от инженерно-геологических и гидрогеологических условий и типов применяемой обделки;
- выбор методики расчета обделки на каждом участке на особое сочетание действующих нагрузок;
- определение расчетных усилий (напряжений) в обделках и порталах от статических и сейсмических воздействий;
- проверку несущей способности подземных конструкций.
7.8 Расчет обделок тоннелей на сейсмические воздействия выполняется на действие распространяющихся в массиве пород длинных сейсмических продольных волн (сжатия-растяжения), вызывающих смещения частиц пород в направлении своего распространения, и волн поперечных (сдвига), вызывающих смещения в направлении, перпендикулярном направлению распространения.
7.9 Сейсмические волны предполагаются упругими, гармоническими с плоским фронтом, либо нестационарные, но с незначительным отличием реального импульса по форме от синусоидального.
7.10 Скорости распространения сейсмических продольных и поперечных волн
c1 и
c2, а также преобладающий период колебаний грунта
T0 следует определять по данным инженерно-сейсмологических изысканий. При отсутствии данных допускается принимать
T0 = 0,5, а скорости
c1 и
c2 - согласно
Приложению Б настоящего пособия.
Также допускается определять скорости сейсмических волн по формулам
[6]

(7.1)
где

- объемный вес грунта, МН/м
3;
g = 9,81 м/с2 - ускорение свободного падения;
E0 - модуль деформации грунта, МПа;

- коэффициент Пуассона грунта.
7.11 Расчет обделок участков тоннелей, сооружаемых открытым способом, проводится методами строительной механики на действие инерционных сил от масс грунта и собственного веса конструкций при вертикальном и горизонтальном направлениях сейсмического воздействия.
7.12 Расчет обделок тоннелей мелкого заложения, сооружаемых закрытым способом в сейсмоопасных районах, предусматривает учет влияния земной поверхности.
7.13 Расчет портальных подпорных стен проводится методами строительной механики на действие горизонтальной составляющей инерционных сил от массы грунта и собственного веса конструкций.
7.14 Действие сейсмических волн, распространяющихся вдоль оси тоннеля, компенсируется устройством антисейсмических деформационных швов.
7.15 Обделки тоннелей, сооружаемых закрытым способом, рассчитывают на действие продольных и поперечных сейсмических волн с учетом всех возможных направлений их распространения в плоскости поперечного сечения сооружения.
7.16 Обделка рассчитывается как элемент единой деформируемой системы "обделка-массив грунта" в условиях плоской деформации при условии, что длина сооружения превосходит его поперечные размеры не менее чем в 5 раз.
7.17 Для расчета обделок тоннелей, сооружаемых закрытым способом, могут использоваться решения соответствующих квазистатических плоских контактных задач теории упругости, при выполнении условия
[2]

(7.2)
где D - наибольший поперечный размер тоннеля (комплекса близко расположенных тоннелей), м;
T0 - преобладающий период колебаний грунта, с, принимаемый при отсутствии результатов измерений равным 0,5 с.
Если
условие (7.2) не выполняется, применяются решения соответствующих динамических задач.
7.18 При постановке плоских квазистатических задач массив грунта моделируется бесконечной (полубесконечной) линейно-деформируемой однородной средой, ослабленной одним или несколькими подкрепленными отверстиями, испытывающей на бесконечности двухосное неравнокомпонентное растяжение (сжатие) и чистый сдвиг напряжениями, зависящими от параметров сейсмических волн.
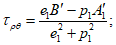
7.18.1 Действие продольных волн моделируется нормальными напряжениями на бесконечности по произвольным взаимно перпендикулярным направлениям
x' и
y', определяемыми по формулам

(7.3)
где

(7.4)
A - расчетное ускорение колебаний грунта в долях ускорения силы тяжести;
K1 - коэффициент, учитывающий допускаемые повреждения обделки, принимаемый согласно
СП 14.13330.2014;
K0 - коэффициент, принимаемый по
табл. 3 СП 14.13330.2014 в зависимости от назначения сооружения и вида выполняемого расчета.
При расчете на проектное землетрясение произведение AK1, как правило, принимается равным 0,025; 0,05; 0,1 для районов сейсмической активности 7, 8 и 9 баллов соответственно.
7.18.2 При использовании инструментальных или синтезированных акселерограмм коэффициент
A принимается равным пиковому ускорению, взятому в долях ускорения свободного падения
g.
7.18.3 В случае, если сейсмичность площадки строительства является дробной величиной, коэффициент A может быть найден по следующей формуле:

(7.5)
где K2 - коэффициент, учитывающий уточнение исходной сейсмичности площадки строительства;
W - амплитудное значение горизонтального ускорения грунта, см/с
2, принимаемое в соответствии с
СП 14.13330.2014 (см.
Приложение А настоящего пособия).
7.18.4 Действие поперечных волн моделируется касательными напряжениями на бесконечности по взаимно перпендикулярным направлениям x' и y', определяемыми по формулам

(7.6)

(7.7)
7.18.5 Если обделка не прианкерена к массиву пород или проектируется с допущением образования трещин, действие продольных волн в фазе растяжения не рассматривается.
7.19 При расчете обделок тоннелей с учетом анизотропных свойств массива грунта напряжения

,

,

следует определять в зависимости от направления распространения сейсмических волн относительно плоскости изотропии массива.
7.20 Обделки тоннелей, сооружаемых закрытым способом, моделируются кольцами заданной толщины и формы поперечного сечения из материала с соответствующими деформационными характеристиками, либо многослойными кольцами, работающими в упругой стадии в условиях полного контакта с массивом грунта.
7.21 Расчет обделок тоннелей должен выполняться на основе оценки наиболее неблагоприятного напряженного состояния подземных конструкций, которое может возникнуть при различных сочетаниях действия одновременно приходящих длинных сейсмических продольных и поперечных волн любого направления в плоскости поперечного сечения сооружения.
7.22 Оценка наиболее неблагоприятного напряженного состояния обделки тоннеля производится на основе построения огибающих эпюр по максимальным значениям сжимающих и растягивающих нормальных тангенциальных напряжений

, возникающих на внутреннем контуре поперечного сечения обделки и соответствующих им эпюр напряжений на наружном контуре.
7.23 Усилия в каждом нормальном (радиальном) сечении обделки определяются именно при тех сочетаниях действия волн и их направлении, при которых в этом сечении могут возникнуть максимальные нормальные тангенциальные напряжения.
7.24 Расчет шарнирных обделок тоннелей глубокого заложения допускается производить на действие контактных напряжений, определяемых методами теории упругости как для монолитных обделок, а определение усилий производить методами строительной механики.
7.25 В случае, если расчет обделок на статические усилия ведется методами строительной механики, нагрузку от сейсмического воздействия определяют методами механики сплошных сред, и суммируют ее со статической нагрузкой.
7.26 При расчете обделки на статические нагрузки методами механики сплошных сред, напряженное состояние от статических и сейсмических воздействий определяют раздельно, после чего отдельно суммируют усилия, соответствующие максимальным сжимающим (отрицательным) и растягивающим (положительным) нормальным тангенциальным напряжениям в каждом нормальном сечении обделки.
7.28 При расчете на прочность конструкций обделок помимо коэффициентов условий работы, принимаемых в соответствии с другими действующими нормативными документами, следует вводить дополнительно коэффициент условий работы в соответствии с
СП 14.13330.2014.
7.29 Проверка прочности сечений набрызг-бетонной крепи допускается проводить путем сравнения суммарных сжимающих и растягивающих нормальных тангенциальных напряжений от статических нагрузок и сейсмических воздействий соответственно с величинами расчетных сопротивлений набрызг-бетона сжатию и растяжению.
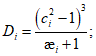
7.30 Проверка прочности бетона слоев многослойной обделки на сжатие производится с учетом объемного напряженного состояния по формуле
[3]
| | ИС МЕГАНОРМ: примечание. Нумерация формул дана в соответствии с официальным текстом документа. | |

(7.7)
где

,

- расчетные радиальные (нормальные) и нормальные тангенциальные напряжения соответственно (при

в формулу подставляется

);

- угол внутреннего трения бетона;
Rb - расчетное сопротивление бетона.
7.31 При проверке прочности бетона слоев многослойной обделки на растяжение допускается сравнивать расчетные напряжения в конструкции непосредственно с расчетным сопротивлением бетона растяжению.
8 Методика расчета круговых обделок тоннелей
8.1 Методика применима для расчета монолитных обделок, а также для приближенного расчета сборных обделок, сооружаемых с перевязкой стыков, тоннелей глубокого заложения, не испытывающих влияния других подземных сооружений.
8.2 Методика основана на теоретических предпосылках, содержащихся в
разделе 7, и предполагает рассмотрение замкнутых аналитических решений [
4,
11] двух плоских квазистатических контактных задач для кругового кольца
S1, подкрепляющего отверстие в линейно-деформируемой однородной изотропной среде
S0, испытывающей на бесконечности двухосное неравнокомпонентное сжатие
(рис. 8.1, а) и чистый сдвиг
(рис. 8.1, б).
Рисунок 8.1 - Расчетные схемы к определению
напряженного состояния обделки кругового поперечного сечения
при действии длинных сейсмических волн:
а - продольных, б - поперечных
В силу осевой симметрии задач направления напряжений совпадают с осями декартовой системы координат, центр которой помещен в центр кольца.
| | ИС МЕГАНОРМ: примечание. Нумерация пунктов дана в соответствии с официальным текстом документа. | |
8.4 При расчетах направление распространения волн принимается одинаковым для продольной и поперечной волны.
8.5 Обделка моделируется замкнутым круговым кольцом
S1 толщины

, материал которого обладает соответствующими деформационными характеристиками
E1,

.
8.6 Массив пород моделируется бесконечной однородной линейно-деформируемой средой
S0, деформационные свойства которой характеризуются средними значениями модуля деформации
E0 и коэффициента Пуассона

.
8.7 Граничные условия рассматриваемых задач на линии контакта L0 отражают условия непрерывности векторов напряжений и смещений; внутренний контур кольца L1 свободен от действия внешних сил.
8.8 Ввиду знакопеременности воздействий рассматриваются четыре сочетания действия одновременно приходящих продольных и поперечных волн:
где символом

обозначены все компоненты тензора напряжений.
8.9 Для оценки наиболее неблагоприятного напряженного состояния обделки в радиальных сечениях, положения которых определяются углом

, используются условия
В результате находятся углы

,

, соответствующие сечениям с экстремальными значениями нормальных тангенциальных (окружных) напряжений

.
8.10 В качестве расчетных принимаются напряжения и усилия, найденные в сечениях, в которых возникают максимальные сжимающие (отрицательные) и максимальные растягивающие (положительные) напряжения

. Ввиду того, что рассматриваемая конструкция является центрально-симметричной, полученные напряжения при землетрясении могут возникнуть в любом радиальном сечении обделки.
8.11 Если рассматривается воздействие МРЗ и проверка несущей способности конструкции выявила возможность образования зон неупругих деформаций (локальных хрупких разрушений), далее следует выполнить расчет с использованием модели многослойного кольца (см.
раздел 9), в котором указанные зоны моделируются слоями с приведенными значениями модуля деформации, определяемыми в соответствии с
СП 63.13330.2012.
Алгоритм расчета
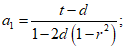
Исходными данными для расчета являются:
R0, R1 - наружный и внутренний радиусы обделки соответственно, м;
E0, E1 - модули деформации соответственно грунта и материала обделки, МПа;

,

- коэффициенты Пуассона грунта и материала обделки;

- объемный вес грунта, МН/м
3;
T0 - преобладающий период колебаний частиц пород, с;
A,
K0,
K1 - коэффициенты, принимаемые в соответствии с
п. 7.18.1.
Расчет состоит в выполнении следующих операций.
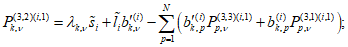
1) Вычисляются промежуточные величины:
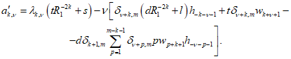
2) Вычисляются коэффициенты:
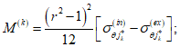
n = (t + sr2)(dr6 + l) + 3tdr2(r2 - 1)2;
а также величины
F =
d -
tbl + 3
a3.
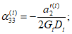
3) Определяются 4 значения экстремальных нормальных тангенциальных напряжений в обделке соответственно по два (
j = 1, 2) на внутреннем

и наружном

контурах от единичной нагрузки по формулам
4) Из 4 полученных в
п. 3 алгоритма значений напряжений выбираются:
- наибольшее отрицательное (сжимающее) напряжение
и фиксируется значение

, при котором получена величина

;
- наибольшее положительное (растягивающее) напряжение
и фиксируется соответствующее значение

, при котором получена величина

.
5) С применением значений

(
k = 1, 2) вычисляются нормальные напряжения на наружном контуре поперечного сечения обделки в долях нагрузки
и безразмерные величины усилий
соответствующие максимальным сжимающим (при
k = 1) и растягивающим (при
k = 2) напряжениям

.
6) Полученные в соответствии с
п.п. 3 -
5 алгоритма расчетные значения напряжений умножаются на величину
P, изгибающих моментов - на
Pbr2, продольных сил - на
Pbr, где
b = 1 м - единица длины в продольном направлении.
6.1) Если обделка не прианкерена к породе, то есть конструкция проектируется с возможностью "отлипания" от горного массива, при котором растягивающая нормальная нагрузка на крепь не передается, или в обделке допускается образование трещин растяжения, в результате расчета получают по два (
k = 1, 2) значения усилий (изгибающих моментов и продольных сил), соответствующих наибольшим сжимающим (
k = 1) и растягивающим (
k = 2) напряжениям

в каждом сечении обделки.
6.2) Если предполагается, что обделка работает совместно с массивом грунта и при наличии растяжения на контакте, а также трещинообразование в конструкции исключается, то в качестве расчетных выбираются наибольшие по абсолютной величине значения
M = max|M(k)|; N = max|N(k)|, (k = 1, 2),
которые принимаются со знаками "+" и "-".
Примеры расчета
В качестве примеров приведены результаты расчетов на воздействие ПЗ, выполненных для нескольких типов круговых обделок:
- обделка щитовой камеры диаметром 11,3 м
(пример 1);
- обделка железнодорожного тоннеля диаметром 8,5 м
(пример 2);
Исходные данные:
- внутренний радиус обделки R1 = 4,95 м;
- наружный радиус обделки R0 = 5,65 м;
- деформационные характеристики материала обделки
E1 = 31500 МПа;

;
- деформационные характеристики грунта
E0 = 700 МПа;

;
- объемный вес грунта

;
- коэффициент, учитывающий назначение сооружения K0 = 1;
- коэффициент, учитывающий допускаемые повреждения K1 = 0,25;
- коэффициент, учитывающий интенсивность землетрясения A = 0,4;
- преобладающий период колебаний грунта T0 = 0,5 с.
В результате расчетов получены усилия:
- соответствующие максимальным сжимающим напряжениям в обделке M(1) = -0,146 МН·м, N(1) = -1,244 МН;
- соответствующие максимальным растягивающим напряжениям
M(2) = 0,133 МН·м, N(2) = -0,0062 МН.
Исходные данные:
- внутренний радиус обделки R1 = 3,9 м;
- наружный радиус обделки R0 = 4,25 м;
- деформационные характеристики материала обделки
E1 = 100000 МПа;

;
- деформационные характеристики грунта
E0 = 150 МПа;

;
- объемный вес грунта

;
- коэффициент, учитывающий назначение сооружения K0 = 1;
- коэффициент, учитывающий допускаемые повреждения K1 = 0,25;
- коэффициент, учитывающий интенсивность землетрясения A = 0,4;
- преобладающий период колебаний грунта T0 = 0,5 с.
В результате расчета получены усилия:
- соответствующие максимальным сжимающим напряжениям
M(1) = -0,118 МН·м, N(1) = -0,509 МН;
- соответствующие максимальным растягивающим напряжениям
M(2) = 0,172 МН·м, N(2) = 0,049 МН.
Исходные данные:
- внутренний радиус обделки R1 = 2,55 м;
- наружный радиус обделки R0 = 2,75 м;
- деформационные характеристики материала обделки
E1 = 38000 МПа;

;
- деформационные характеристики грунта
E0 = 150 МПа;

;
- объемный вес грунта

;
- коэффициент, учитывающий назначение сооружения K0 = 1;
- коэффициент, учитывающий допускаемые повреждения K1 = 0,25;
- коэффициент, учитывающий интенсивность землетрясения A = 0,4;
- преобладающий период колебаний грунта T0 = 0,5 с.
В результате расчета получены усилия:
- соответствующие максимальным сжимающим напряжениям
M(1) = -0,0155 МН·м, N(1) = -0,289 МН;
- соответствующие максимальным растягивающим напряжениям
M(2) = 0,0151 МН·м, N(2) = -0,064 МН.
В
таблицах 8.1,
8.2 приведены расчетные значения напряжений и усилий в безразмерной форме (до умножения на интенсивность воздействия в соответствии с
п. 6 алгоритма) для ряда примеров. Значения коэффициентов Пуассона породы и материала крепи принимались соответственно

,

. Данные таблиц позволяют выполнить инженерную оценку того или иного варианта конструктивного решения обделки тоннеля без проведения расчетов.
Таблица 8.1
Величины максимальных сжимающих окружных напряжений,
соответствующих им контактных напряжений и усилий
Расчетные напряжения и усилия | | E0/E1 |
0,04 | 0,08 | 0,12 | 0,16 | 0,2 | 0,4 | 0,6 | 0,8 | 1 | 1,2 | 1,4 | 1,6 | 1,8 | 2 |
| 1,05 | -1,22 | -0,94 | -0,77 | -0,66 | -0,57 | -0,35 | -0,25 | -0,20 | -0,16 | -0,14 | -0,12 | -0,10 | -0,094 | -0,085 |
1,10 | -1,36 | -1,17 | -1,02 | -0,90 | -0,81 | -0,54 | -0,41 | -0,33 | -0,27 | -0,24 | -0,21 | -0,18 | -0,16 | -0,15 |
1,20 | -1,26 | -1,21 | -1,12 | -1,04 | -0,97 | -0,72 | -0,57 | -0,47 | -0,41 | -0,35 | -0,31 | -0,28 | -0,26 | -0,24 |
1,30 | -1,01 | -1,07 | -1,05 | -1,00 | -0,96 | -0,76 | -0,62 | -0,53 | -0,46 | -0,41 | -0,36 | -0,33 | -0,30 | -0,28 |
| 1,05 | -23,1 | -18,9 | -15,8 | -13,6 | -11,9 | -7,35 | -5,32 | -4,17 | -3,43 | -2,91 | -2,53 | -2,24 | -2,01 | -1,82 |
1,10 | -10,1 | -10,8 | -10,1 | -9,27 | -8,52 | -5,96 | -4,56 | -3,70 | -3,11 | -2,68 | -2,35 | -2,10 | -1,90 | -1,73 |
1,20 | -0,31 | -3,98 | -4,88 | -5,09 | -5,07 | -4,28 | -3,56 | -3,03 | -2,63 | -2,32 | -2,08 | -1,88 | -1,72 | -1,58 |
1,30 | +2,76 | -1,17 | -2,51 | -3,08 | -3,34 | -3,32 | -2,94 | -2,60 | -2,31 | -2,08 | -1,88 | -1,72 | -1,59 | -1,47 |
| 1,05 | -31,2 | -23,2 | -18,8 | -15,9 | -13,8 | -8,32 | -5,98 | -4,67 | -3,83 | -3,25 | -2,82 | -2,49 | -2,23 | -2,02 |
1,10 | -24,5 | -18,4 | -15,3 | -13,3 | -11,8 | -7,69 | -5,75 | -4,60 | -3,84 | -3,29 | -2,88 | -2,56 | -2,31 | -2,10 |
1,20 | -22,4 | -16,1 | -13,3 | -11,6 | -10,4 | -7,14 | -5,53 | -4,54 | -3,85 | -3,35 | -2,97 | -2,66 | -2,42 | -2,21 |
1,30 | -21,3 | -15,4 | -12,7 | -11,1 | -9,94 | -6,91 | -5,44 | -4,51 | -3,87 | -3,39 | -3,02 | -2,73 | -2,49 | -2,28 |
| 1,05 | -1,70 | -0,90 | -0,62 | -0,48 | -0,39 | -0,20 | -0,14 | -0,10 | -0,08 | -0,07 | -0,06 | -0,05 | -0,047 | -0,04 |
1,10 | -12,0 | -6,33 | -4,37 | -3,36 | -2,74 | -1,45 | -0,99 | -0,75 | -0,61 | -0,51 | -0,44 | -0,39 | -0,34 | -0,31 |
1,20 | -73,8 | -40,4 | -28,2 | -21,8 | -17,8 | -9,52 | -6,55 | -5,01 | -4,07 | -3,42 | -2,95 | -2,60 | -2,32 | -2,10 |
1,30 | -180,8 | -106,7 | -76,5 | -60,0 | -49,5 | -26,9 | -18,7 | -14,4 | -11,7 | -9,88 | -8,55 | -7,54 | -6,74 | -6,10 |
| 1,05 | -1,36 | -1,05 | -0,87 | -0,74 | -0,64 | -0,39 | -0,28 | -0,22 | -0,18 | -0,15 | -0,13 | -0,12 | -0,11 | -0,096 |
1,10 | -1,73 | -1,46 | -1,27 | -1,13 | -1,02 | -0,68 | -0,52 | -0,41 | -0,35 | -0,30 | -0,26 | -0,23 | -0,21 | -0,19 |
1,20 | -2,27 | -2,01 | -1,82 | -1,67 | -1,55 | -1,14 | -0,91 | -0,76 | -0,65 | -0,57 | -0,50 | -0,45 | -0,41 | -0,38 |
1,30 | -2,79 | -2,49 | -2,28 | -2,12 | -1,99 | -1,53 | -1,26 | -1,07 | -0,92 | -0,82 | -0,74 | -0,67 | -0,61 | -0,56 |
Таблица 8.2
Величины максимальных растягивающих окружных напряжений
и соответствующих им контактных напряжений и усилий
Расчетные напряжения и усилия | | E0/E1 |
0,04 | 0,08 | 0,12 | 0,16 | 0,2 | 0,4 | 0,6 | 0,8 | 1 | 1,2 | 1,4 | 1,6 | 1,8 | 2 |
| 1,05 | -0,005 | 0,064 | 0,087 | 0,094 | 0,094 | 0,077 | 0,062 | 0,051 | 0,043 | 0,037 | 0,033 | 0,029 | 0,027 | 0,024 |
1,10 | -0,14 | -0,048 | 0,001 | 0,030 | 0,046 | 0,070 | 0,067 | 0,061 | 0,054 | 0,049 | 0,045 | 0,041 | 0,037 | 0,035 |
1,20 | -0,45 | -0,29 | -0,21 | -0,16 | -0,12 | -0,03 | 0,002 | 0,015 | 0,021 | 0,023 | 0,024 | 0,024 | 0,024 | 0,023 |
1,30 | -0,78 | -0,55 | -0,43 | -0,36 | -0,31 | -0,16 | -0,10 | -0,071 | -0,051 | -0,038 | -0,029 | -0,023 | -0,018 | -0,015 |
| 1,05 | -2,01 | 0,86 | 1,71 | 2,01 | 2,08 | 1,77 | 1,43 | 1,18 | 1,00 | 0,87 | 0,76 | 0,69 | 0,62 | 0,57 |
1,10 | -5,77 | -1,96 | -0,58 | 0,10 | 0,48 | 0,99 | 0,97 | 0,88 | 0,79 | 0,71 | 0,65 | 0,59 | 0,54 | 0,50 |
1,20 | -9,19 | -4,32 | -2,49 | -1,54 | -0,96 | 0,14 | 0,41 | 0,49 | 0,50 | 0,49 | 0,47 | 0,44 | 0,42 | 0,40 |
1,30 | -9,75 | -5,15 | -3,26 | -2,23 | -1,59 | -0,28 | 0,10 | 0,25 | 0,32 | 0,34 | 0,35 | 0,34 | 0,34 | 0,33 |
| 1,05 | 4,92 | 4,30 | 4,01 | 3,73 | 3,46 | 2,47 | 1,90 | 1,53 | 1,29 | 1,11 | 0,97 | 0,87 | 0,78 | 0,71 |
1,10 | 7,09 | 4,43 | 3,65 | 3,27 | 3,01 | 2,25 | 1,81 | 1,51 | 1,30 | 1,14 | 1,01 | 0,91 | 0,83 | 0,76 |
1,20 | 11,2 | 6,32 | 4,64 | 3,81 | 3,31 | 2,25 | 1,81 | 1,53 | 1,33 | 1,18 | 1,06 | 0,97 | 0,89 | 0,82 |
1,30 | 12,6 | 7,46 | 5,45 | 4,40 | 3,75 | 2,39 | 1,87 | 1,57 | 1,37 | 1,21 | 1,09 | 1,00 | 0,91 | 0,85 |
| 1,05 | 1,44 | 0,72 | 0,48 | 0,36 | 0,29 | 0,15 | 0,098 | 0,073 | 0,059 | 0,049 | 0,042 | 0,037 | 0,033 | 0,030 |
1,10 | 10,7 | 5,32 | 3,53 | 2,64 | 2,10 | 1,05 | 0,70 | 0,53 | 0,42 | 0,35 | 0,30 | 0,27 | 0,24 | 0,21 |
1,20 | 68,1 | 35,4 | 23,8 | 17,8 | 14,2 | 7,03 | 4,66 | 3,48 | 2,78 | 2,32 | 1,99 | 1,74 | 1,54 | 1,39 |
1,30 | 167,4 | 94,6 | 65,4 | 49,7 | 40,0 | 20,0 | 13,2 | 9,88 | 7,87 | 6,54 | 5,60 | 4,89 | 4,34 | 3,90 |
| 1,05 | 0,073 | 0,13 | 0,14 | 0,14 | 0,14 | 0,11 | 0,083 | 0,068 | 0,057 | 0,049 | 0,043 | 0,039 | 0,035 | 0,032 |
1,10 | 0,066 | 0,12 | 0,15 | 0,17 | 0,17 | 0,16 | 0,14 | 0,12 | 0,10 | 0,093 | 0,083 | 0,075 | 0,069 | 0,063 |
1,20 | 0,20 | 0,20 | 0,21 | 0,23 | 0,23 | 0,24 | 0,22 | 0,20 | 0,18 | 0,17 | 0,15 | 0,14 | 0,13 | 0,12 |
1,30 | 0,42 | 0,35 | 0,33 | 0,32 | 0,32 | 0,32 | 0,30 | 0,27 | 0,25 | 0,23 | 0,22 | 0,20 | 0,19 | 0,18 |
В случае, если обделка тоннеля не прианкерена к породе или проектируется с допущением образования трещин, напряжения и усилия определяются из
таблиц 8.1 и
8.2. В противном случае в качестве расчетных должны быть приняты напряжения и усилия из
табл. 8.1, взятые со знаками "+" и "-".
9 Методика расчета некруговых обделок тоннелей глубокого заложения
9.1 Методика предназначена для расчета замкнутых монолитных бетонных и железобетонных обделок тоннелей некругового очертания на сейсмические воздействия землетрясений.
9.2 Методика применима для расчета обделок тоннелей, расположенных на глубине, превосходящей максимальный размер поперечного сечения выработки не менее, чем в три раза.
9.3 Обделка рассматривается как замкнутая конструкция заданной толщины и конфигурации, работающая в упругой стадии деформирования в условиях полного контакта с массивом грунта по всему периметру выработки.
9.4 Методика позволяет определять напряжения и усилия в обделках тоннелей глубокого заложения при действии длинных продольных и поперечных сейсмических волн заданного направления, а также выполнять расчет на сейсмические воздействия землетрясения заданной интенсивности в соответствии с положениями
раздела 7.
9.5 Методика применима к расчету монолитных обделок кругового очертания при соответствующем описании геометрии поперечного сечения.
9.6 Напряженное состояние обделки тоннеля при действии продольной или поперечной волн, направленных под произвольным углом

к вертикали, определяют из решений квазистатических плоских контактных задач теории упругости для кольца произвольной формы, подкрепляющего отверстие в линейно-деформируемой среде, при действии на бесконечности напряжений, определяемых
формулами (7.4), либо
формулами (7.7). Соответствующие расчетные схемы представлены на
рисунках 9.1 а,
б [11].
Рисунок 9.1 - Расчетные схемы к определению напряженного
состояния некруговой обделки тоннеля глубокого заложения
при действии сейсмических волн:
а - продольных; б - поперечных
Массив грунта моделируется бесконечной однородной линейно-деформируемой средой
S0, деформационные свойства которой характеризуются средними значениями модуля деформации
E0 и коэффициента Пуассона

. Обделка моделируется замкнутым круговым кольцом
S1 толщиной

, материал которого обладает деформационными характеристиками
E1,

. Граничные условия рассматриваемых задач на линии контакта
L0 отражают условия непрерывности векторов напряжений и смещений; внутренний контур кольца
L1 свободен от действия внешних сил.
Алгоритм расчета
Исходными данными для расчета являются:

- толщина обделки в своде, м;
E0 - модуль деформации грунта, МПа;

- коэффициент Пуассона грунта;
E1 - модуль деформации материала обделки, МПа;

- коэффициент Пуассона материала обделки;

- объемный вес грунта, МН/м
3;
A,
K0,
K1 - коэффициенты, принимаемые в соответствии с
п. 7.18.1;
T0 - преобладающий период колебаний грунта;
N - число членов, удерживаемых в рядах разложения комплексных потенциалов, при практических расчетах достаточно N = 30;
- форма и размеры внутреннего контура поперечного сечения обделки.
1) Производится конформное отображение внешности единичного круга на внешность внутреннего контура поперечного сечения обделки и определяется массив коэффициентов

отображающей функции в соответствии с
Приложением Г.
2) Определяется величина R*, представляющая собой радиус окружности с центром в начале координат, переходящей при конформном отображении во внешний контур поперечного сечения обделки. Для определения величины R* численно решается уравнение

(9.1)
где
l0 - расстояние от начала координат до свода обделки. В качестве величины
R* принимается действительный корень
уравнения (9.1), больший единицы.
3) Определяются величины
l = 1 -
d;
s = 1 -
t.
4) Вычисляются коэффициенты
R = b0/R1;
где R1 = 1/R*.
5) По рекуррентным формулам определяются величины
hk,

(
k =
-m, ..., 2
N)
где используются обозначения
и коэффициенты wk (k = -2N, ..., m)
6) Составляется матрица системы линейных уравнений (I) вида
коэффициенты которой определяются по формулам
7) Система (I) решается дважды со свободными членами групп Ia и Ib, определяемыми по приведенным ниже формулам:
- группа свободных членов Ia
- группа свободных членов Ib
dk =
dw2-k;

8) Решается система (I) и определяются две группы корней - коэффициенты ck(Ia), an(Ia), ck(Ib), an(Ib) (k = 1,..., N; n = 1, ..., N + 2).
9) Составляется система уравнений (II), коэффициенты матрицы которой получаются из соответствующих коэффициентов матрицы системы (I) по формулам:
Остальные коэффициенты матриц систем (I) и (II) совпадают.
10) Система уравнений (II) решается со свободными членами группы Ib, при этом для определения члена

используется формула
В результате решения системы (II) определяются корни ck(II), an(II) (k = 1, ..., 4; n = 1, ..., 6).
11) Полученные три группы корней Ia, Ib, II используются для определения напряжений и усилий в обделке тоннеля. Полярный угол

изменяется в диапазоне от 0 до 180° с определенным шагом.
12) Для каждой группы корней и каждого значения угла

вычисляются значения
A1 = a1 + 2a2h4; A2 = a1h4;
13) При значениях r = 1 и r = R1 вычисляются величины
14) При значениях r = 1 и r = R1 для каждой группы корней определяются значения коэффициентов
15) Определяются напряжения в обделке, соответствующие группам решений Ia, Ib, II
- при r = R1
- при r = 1
16) Вычисляются величины
17) Определяются экстремальные значения нормальных тангенциальных напряжений на внутреннем и внешнем контурах поперечного сечения обделки
18) Из значений A, B, C, D выбираются наибольшее отрицательное и наибольшее положительное.
Если наибольшим отрицательным или положительным окажется одно из чисел
A или
C, определяется соответствующий ему угол падения волн

по формуле
в которой полагается

, если наибольшим оказалось значение
A, и

, если наибольшим оказалось значение
C.
Если наибольшим отрицательным или положительным окажется одно из чисел
B или
D, соответствующий ему угол падения волн

определяется по формуле
в которой полагается

, если наибольшим оказалось значение
B, и

, если наибольшим оказалось значение
D.
19) Определяются напряжения, соответствующие наиболее неблагоприятному напряженному состоянию, которое может возникнуть в рассматриваемом нормальном сечении при землетрясении заданной интенсивности
Здесь под символом

понимается любое из отыскиваемых напряжений

,

,

,

. В результате получаются две эпюры напряжений, соответствующие наибольшим сжимающим и наибольшим растягивающим нормальным тангенциальным напряжениям в обделке тоннеля, которые могут возникнуть при одновременном действии волны сжатия и волны сдвига.
20) Определяются координаты точек внутреннего и внешнего контуров поперечного сечения обделки тоннеля по формулам
где при вычислении x1, y1 принимается r = R1, при вычислении x2, y2 - r = 1.
21) Вычисляется относительная толщина обделки
22) На основе полученных эпюр нормальных тангенциальных напряжений определяются величины усилий по формулам
23) Полученные усилия соответствуют наибольшим сжимающим и растягивающим напряжениям

в обделке тоннеля, вычисленным в предположении, что растягивающая нормальная нагрузка на конструкцию не передается. Полученные значения усилий рекомендуется использовать для проверки прочности обделки, проектируемой с допущением образования трещин.
Если предполагается, что обделка работает совместно с окружающим массивом грунта, и нормальное растягивающее напряжение может передаваться на подземную конструкцию (например, обделка прианкерена к породе, выполнена из набрызг-бетона, или проектируется без допущения образования трещин с максимальным запасом прочности), то из полученных двух пар значений усилий выбирается та пара, которая соответствует напряжениям

в обделке, большим по абсолютной величине. В качестве расчетных принимаются соответствующие эпюры усилий, взятые со знаками "+" и "-".
24) Расчетные значения напряжений умножаются на величину
P, определяемую по
формуле (7.4). Расчетные значения продольных сил умножаются на величину
PRb, расчетные значения изгибающих моментов умножаются на величину
PR2b, где
b - длина рассматриваемого элемента тоннеля в продольном направлении. Как правило, принимается
b = 1 м.
Пример расчета
Ниже приведены результаты расчета бетонной обделки тоннеля, поперечное сечение которой представлено на
рисунке 9.2.
Рисунок 9.2 - Поперечное сечение рассматриваемой обделки
тоннеля глубокого заложения
Исходные данные:
- деформационные характеристики грунта
E0 = 17600 МПа;

;
- деформационные характеристики бетона обделки
E1 = 22000 МПа;

;
- толщина обделки в своде

;
- объемный вес пород

;
- преобладающий период колебаний частиц пород T0 = 0,5 с;
- коэффициент, учитывающий назначение сооружения K0 = 1;
- коэффициент, учитывающий допускаемые повреждения K1 = 0,25;
- коэффициент, учитывающий интенсивность землетрясения A = 0,4.
Расчет выполнен в предположении, что растягивающие нормальные напряжения не передаются через линию контакта "обделка-массив".
Коэффициенты функции, отображающей внешность единичной окружности на внешность внутреннего контура поперечного сечения обделки, принимают значения
b0 = 6,900833, b1 = 0,149705, b2 = 1,171667,
b3 = 0,221667, b4 = -0,688333, b5 = 0,253628.
Корни основных систем уравнений:
- система Ia
c1 = -1,137784, c2 = 0,001849, c3 = 0,008114, c4 = 0,002202,
a1 = 0,102209, a2 = 0,026556, a3 = 0,047366, a4 = 0,014277,
a5 = 0,000293, a6 = 0,000036;
- система Ib

;
- система II
c1 = 0,003572, c2 = 0,000964, c3 = 0,024711, c4 = 0,000692,
a1 = 0,750104, a2 = 0,025530, a3 = 0,001124, a4 = 0,000314,
a5 = 0,001077, a6 = 0,000412.
Расчетные эпюры усилий представлены на
рис. 9.3. Сплошными и пунктирными линиями показаны усилия, соответствующие максимальным сжимающим и растягивающим напряжениям, которые могут возникнуть в нормальных сечениях обделки тоннеля при землетрясении.
Рисунок 9.3 - Расчетные эпюры усилий в обделке тоннеля:
а - продольные силы; б - изгибающие моменты
10 Методика расчета многослойных обделок круговых тоннелей
10.1 Методика применима для расчета многослойных обделок тоннелей кругового очертания.
10.2 Методика может быть использована при расчете обделок тоннелей на воздействие МРЗ с целью учета зон неупругих деформаций (хрупких разрушений), которые моделируются слоями с приведенным модулем деформации
(п. 7.6.2).
10.3 Методика позволяет определять максимальные напряжения, которые могут возникать на наружном и внутреннем контурах каждого слоя при различных сочетаниях совокупного действия одновременно приходящих (худший случай) длинных продольных и поперечных сейсмических волн, распространяющихся в любом направлении в плоскости поперечного сечения тоннеля
[3].
10.4 В основу методики положено аналитическое решение плоской квазистатической контактной задачи теории упругости, расчетная схема которой приведена на
рис. 10.1.
Рисунок 10.1 - Расчетная схема к определению напряженного
состояния многослойной обделки кругового поперечного сечения
10.5 Обделка и массив грунта моделируются кольцом, составленным из
n концентрических слоев, при этом внешний слой бесконечной толщины моделирует массив, а внутренние - многослойную обделку. Принимаются следующие обозначения:
R0 - радиус внутреннего контура поперечного сечения обделки, м;
Ri - радиусы контуров сечения слоев (
i = 1, 2, ...,
n - 1);
Rn-1 - радиус наружного контура обделки;

- наружный радиус рассматриваемой системы "обделка-массив";

- угловая координата радиальных сечений обделки, в которых определяются напряжения. Деформационные свойства каждого слоя
i = 1, ...,
n характеризуются соответствующими значениями модуля деформации
Ei и коэффициента Пуассона

.
10.6 Принимая во внимание равнозначный характер радиальных направлений для крепи круглого поперечного сечения и общие положения расчета, изложенные в
разделе 7, наиболее неблагоприятное напряженное состояние, возникающее при различных сочетаниях совокупного действия одновременно приходящих (худший случай) длинных продольных и поперечных сейсмических волн, моделируется действием на внешнем контуре наружного слоя, моделирующего массив грунта, расчетных радиальных напряжений
(рис. 10.1), изменяющихся по закону
где P0 и P2 - параметры, определяемые в зависимости от балльности землетрясения по формулам
P - напряжения, вычисляемые согласно
п. 7.18.1;
c1 - скорость распространения продольных волн.
10.7 Экстремальные значения нормальных тангенциальных напряжений

на наружном и внутреннем контурах каждого слоя обделки определяются при значениях

.
10.8 Слои обделки могут содержать кольцевые периодические неоднородности из более жесткого и прочного материала. Общий случай подземной конструкции со слоями, которые могут быть выделены в составе многослойной обделки, состоящей из двух слоев тюбингов с бетонным заполнением, показан на
рисунке 10.2.
Рисунок 10.2 - Схема к расчету многослойной обделки
с периодически неоднородными слоями:
1 - слой, моделирующий ребра тюбингов; 2, 5 - слои,
моделирующие спинки тюбингов; 3 - слой бетона;
4 - комбинированный слой (ребра тюбингов
и бетонное заполнение)
10.9 Неоднородные слои в составе многослойной конструкции рассматриваются как квазиоднородные с приведенными деформационными характеристиками
(п. 10.9); учитываются только кольцевые ребра, изменяющие жесткость конструкции в целом, при этом радиальные ребра во внимание не принимаются.
10.10 При наличии в обделке слоев из армированного бетона (с гибкой или жесткой арматурой) эти слои моделируются как неоднородные, в которых арматурные стержни рассматриваются как ребра жесткости.
10.11 Приведенный модуль сдвига неоднородного i-го слоя определяется по формуле
где

,

- модули сдвига материалов соответственно ребер и заполнения неоднородного
i-го слоя;
ai,
bi - размеры (ширина) ребер и пространства между ребрами соответственно
(рис. 10.2).
Допускается для каждого неоднородного i-го слоя задавать степень (коэффициент) армирования слоя более жесткими ребрами (параметр fi), определяемую по формуле
где

,

- площади соответственно основного материала (заполнения)
i-го слоя и ребер жесткости.
В этом случае формула для вычисления приведенного модуля сдвига неоднородного i-го слоя принимает вид
10.12 По окончании расчета многослойной обделки, в результате которого определяются напряжения во всех выделенных слоях, вычисляются напряжения в ребрах и заполнении неоднородных слоев по формулам
Здесь символом

обозначены все компоненты тензора напряжений;

,

- напряжения в ребрах и заполнении
i-го неоднородного слоя;

- расчетные напряжения в
i-м слое, который рассматривался как квазиоднородный с приведенным модулем сдвига

.
10.13 Для учета влияния упрочнения грунта (пород) в результате применения тампонажа на напряженное состояние обделки в расчетной схеме многослойного кольца
(рис. 10.1) дополнительно выделяются слои массива с соответствующими деформационными характеристиками. Аналогичный подход применяется при учете разупрочнения массива вследствие буровзрывных работ, а также деформаций грунта за пределом прочности.
10.14 Монолитная бетонная крепь может быть рассмотрена с применением общей расчетной схемы
рисунка 10.1 как частный случай двухслойного кольца при
n = 2.
Алгоритм расчета
Исходными данными для расчета являются:
n - количество слоев в обделке;
Ri - радиусы слоев крепи (i = 0, 1, ..., n - 1), начиная с внутреннего, м;

,

(
i = 1, ...,
n - 1) - модули деформации материалов соответственно основного материала (заполнителя) и ребер в слоях обделки, начиная с внутреннего, МПа;

(
i = 1, ...,
n - 1) - коэффициенты Пуассона слоев крепи, начиная с внутреннего;
fi (i = 1, ..., n - 1) - коэффициент (степень) армирования каждого слоя (если i-й слой является однородным, для этого слоя задается fi = 0);
En - модуль деформации грунта, МПа;

- коэффициент Пуассона грунта;

- объемный вес пород, МН/м
3;
T0 - преобладающий период колебаний частиц пород, с;

- приращение угла, определяющего направление распространения сейсмических волн, рад (обычно задается

);
A,
K0,
K1 - коэффициенты, принимаемые в соответствии с
п. 7.18.1.
Расчет состоит в выполнении следующих операций:
1) Вычисляются параметры нагрузки
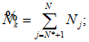
2) При изменении i = 1, ..., n вычисляются промежуточные величины:
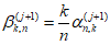
3) При изменении i = 1, ..., n определяются массивы значений:
а также массивы
4) Формируются матрицы
5) Задается исходная матрица
и при изменении i = 2, ..., n решаются матричные уравнения по рекуррентным формулам
и задается матрица-столбец нагрузок на n-й слой
7) Решаются матричные уравнения по рекуррентным формулам
{Pi-1} = [Ki]{Pi}(i = n, n - 1, n - 2, ..., 2),
где {Pi} - матрица-столбец искомых нагрузок на i-й слой.
8) При изменении i = 1, 2, ..., n - 1 вычисляются массивы коэффициентов
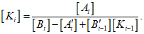
из которых формируются матрицы коэффициентов влияния
9) Решаются матричные уравнения по рекуррентным формулам
(i = 1, 2, ..., n - 1, j = 1, 2),
где

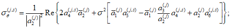
- матрица-столбец экстремальных расчетных напряжений, которая имеет вид:
Здесь индексы "внутр", "нар" указывают на контур сечения слоя; индексы x и y - положение радиального сечения (по оси x или y), в котором определяются напряжения; индекс j = 1 - основной материал слоя (заполнителя), j = 2 - периодические кольцевые включения (ребра).
10) Если проектируемая многослойная обделка прианкерена к грунту (породе), то за расчетное принимают максимальные по абсолютной величине напряжения

, взятые со знаками "+" и "-".
Пример расчета
Рассматривается обделка, состоящая из двух слоев чугунных тюбингов с бетонным заполнением межтюбингового пространства (см.
рис. 9.2).
Исходные данные:
- общее число слоев в системе "обделка-массив" n = 6;
- деформационные характеристики грунта
En = 700 МПа,

;
- объемный вес пород

;
- коэффициент, учитывающий назначение сооружения K0 = 1;
- коэффициент, учитывающий допускаемые повреждения K1 = 0,25;
- коэффициент, учитывающий интенсивность землетрясения A = 0,2;
- преобладающий период колебаний грунта T0 = 0,5 с;
| | ИС МЕГАНОРМ: примечание. В официальном тексте документа, видимо, допущена опечатка: таблица 9.1 отсутствует. Возможно, имеется в виду таблица 10.1. | |
Таблица 10.1
Расчетные параметры обделки
N п\п | Радиус, м | Коэффициент (степень) армирования слоя fi | Модули деформации, МПа | Коэффициент Пуассона  |
| |
5 | 4,74 | 0 | 100 000 | 100 000 | 0,25 |
4 | 4,71 | 0,1 | 24000 | 100 000 | 0,15 |
3 | 4,47 | 0 | 24000 | 24000 | 0,25 |
2 | 3,77 | 0 | 100 000 | 100 000 | 0,25 |
1 | 3,74 | 0,1 | 0 | 100 000 | 0,15 |
0 | 3,50 | - | - | - | - |
| | ИС МЕГАНОРМ: примечание. В официальном тексте документа, видимо, допущена опечатка: таблица 9.2 отсутствует. Возможно, имеется в виду таблица 10.2. | |
Промежуточные результаты расчета - параметры нагрузок на слои обделки, вычисленные в соответствии с
п. 6 алгоритма, приведены в
таблице 9.2.
Таблица 10.2
Расчетные параметры нагрузок на слои обделки
N слоя, i | Параметры нагрузок, МПа | Примечание |
| | |
5 | -0,11656 | -0,01663 | 0,15841 | внешняя нагрузка |
4 | -0,10722 | 0,00789 | 0,2059 |
3 | -0,08873 | 0,07343 | 0,30466 |
2 | -0,02691 | 0,09499 | 0,20446 |
1 | -0,01208 | 0,04559 | 0,10206 |
| | ИС МЕГАНОРМ: примечание. В официальном тексте документа, видимо, допущена опечатка: рисунок 9.3 отсутствует. Возможно, имеется в виду рисунок 10.3. | |
Эпюры напряжений на горизонтальном и вертикальном диаметрах сечения обделки по ребрам и межреберному заполнению показаны на
рисунке 9.3.
Рисунок 10.3 - Эпюры напряжений в сечениях по ребрам (а, в)
и межреберному заполнению (б, г)
Полученные напряжения, взятые со знаками "+" и "-", суммируются со статическими нагрузками, после чего выполняется проверка прочности слоев в соответствии с
пп. 7.30,
7.31.
11 Методика расчета анкерной крепи круговых тоннелей
11.1 Методика предназначена для расчета анкерной крепи замкового типа тоннелей кругового очертания на сейсмические воздействия землетрясений.
11.2 Методика позволяет определять максимальные продольные силы в анкерных стержнях, которые могут возникать при различных сочетаниях совокупного действия одновременно приходящих (худший случай) длинных продольных и поперечных сейсмических волн, распространяющихся в любом направлении в плоскости поперечного сечения тоннеля.
11.3 В основу методики положены аналитические решения двух плоских квазистатических задач, расчетные схемы которых приведены на
рис. 11.1 [
3,
10].
Рисунок 11.1 - Расчетные схемы к определению усилий
в анкерах при действии сейсмических волн:
а - продольных; б - поперечных
Массив пород рассматривается как однородная изотропная среда
S0, ослабленная круговым отверстием, испытывающая на бесконечности под произвольным углом

к вертикали и горизонтали двухосное неравнокомпонентное сжатие
(рис. 11.1 а) и чистый сдвиг
(рис. 11.1 б) напряжениями, зависящими от параметров волн. Деформационные свойства массива (среды
S0) характеризуются усредненными значениями модуля деформации
E0 и коэффициента Пуассона

.
Анкерная крепь замкового типа рассматривается как система произвольного числа стержней с параметрами la, ra, Ea (la - длина анкера, ra - радиус поперечного сечения анкера, Ea - модуль упругости материала анкера), радиально расположенных в массиве вокруг выработки круглого сечения.
11.4 Анкерная крепь рассчитывается как элемент единой деформируемой системы "крепь-массив" с учетом усилий натяжения в замках анкеров, взаимного влияния анкерных стержней и условий совместности смещений концов (замков и опорных шайб) анкеров и соответствующих точек массива вследствие сейсмических воздействий.
11.5 При заведомо неизвестном направлении сейсмических волн максимальное растягивающее усилие рассматривается как равновероятное для всех анкерных стержней.
Алгоритм расчета
Исходными данными для расчета являются:
R0 - радиус выработки, м;
n - число анкеров;
Ni (i = 1, ..., n) - усилия предварительного натяжения в i-м анкере, МН;
la - длина анкеров, м;
ra - радиус поперечного сечения анкера, м;
a - шаг установки анкеров вдоль выработки, м;
Ea - модуль упругости материала анкера, МПа;
E0 - модуль деформации массива пород, МПа;

- коэффициент Пуассона пород;

- объемный вес пород, МН/м
3;
T0 - преобладающий период колебаний частиц пород, с;

- приращение угла, определяющего направление распространения сейсмических волн, рад (обычно задается

);
A,
K0,
K1 - коэффициенты, принимаемые в соответствии с
п. 7.18.1.
Расчет состоит в выполнении следующих операций.
1) Вычисляются промежуточные величины:
r1 =
R0;
r0 =
R0 +
la;

2) Для (i = 1, ..., n) вычисляются массивы коэффициентов
и формируются функции двух переменных
r,

:
с применением которых определяются функции
3) Для
i = 1, ...,
n,
j = 1, ...,
n формируется матрица значений

по формулам:
- при
i =
j 
,
- при

.
При формировании матрицы следует учесть соотношение

.
4) Формируется квадратная матрица действительных коэффициентов размерностью n x n, симметричная относительно главной диагонали
5) Положив угол

при изменении
j = 1, 2;
i = 1, ...,
n, формируются массивы значений
| | ИС МЕГАНОРМ: примечание. Формула дана в соответствии с официальным текстом документа. | |
6) Составляется система линейных алгебраических уравнений, которая в матричной форме записывается в виде
где {Q} - матрица-столбец искомых неизвестных, представляющих собой усилия в анкерах,
| | ИС МЕГАНОРМ: примечание. Текст дан в соответствии с официальным текстом документа. | |
Система решается 4 раза с правыми частями, изменяемыми при j = 1, 2; k = 1, 2, и из четырех групп найденных корней при каждом значении i = 1, ..., n определяются максимальные по абсолютные значения
7) Далее угол

изменяется

с шагом

и расчет повторяется, начиная с
п. 5 алгоритма. В результате определяются значения

при всех углах

.
Пример расчета
Исходные данные:
- деформационные характеристики грунта
E0 = 0,6·10
4 МПа,

;
- радиус выработки R0 = 3,0 м;
- число анкеров n = 18;
- модуль упругости материала анкера Ea = 2,1·105 МПа;
- длина анкеров la = 3,0 м;
- радиус анкера ra = 1,5·10-2 м;
- шаг установки анкеров вдоль выработки a = 1 м;
- анкера устанавливаются без предварительного натяжения, т.е. Ni = 0 (i = 1, ..., n);
- коэффициент, учитывающий назначение сооружения K0 = 1;
- коэффициент, учитывающий допускаемые повреждения K1 = 0,25;
- коэффициент, учитывающий интенсивность землетрясения A = 0,2;
- преобладающий период колебаний грунта T0 = 0,5 с.
В результате расчетов получены усилия, равные для всех анкеров Q = 1,9 кН.
12 Методика расчета набрызг-бетонных обделок круговых тоннелей, сооружаемых с применением укрепления грунта
12.1 Набрызг-бетонная обделка рассматривается как наносимое на породное обнажение тонкое покрытие из другого материала, составляющее с окружающим массивом грунта единую деформируемую систему.
12.2 Зона укрепленных грунтов рассматривается как слой заданной толщины вокруг выработки, материал которого имеет деформационные характеристики, существенно отличающиеся от свойств массива [
9,
11].
12.3 Набрызг-бетонная обделка повторяет форму поверхности выработки и имеет неровности, соизмеримые с толщиной.
12.4 Методика расчета основывается на исходных предпосылках и положениях, указанных в
разделе 7.
12.5 Набрызг-бетонная обделка и зона укрепленных грунтов моделируются двухслойным кольцом, слои которого выполнены из различных материалов, подкрепляющим отверстие в бесконечной линейно-деформируемой среде, моделирующей массив грунта. Контуры слоев кольца имеют неровности, аппроксимируемые гипотрохоидальной кривой, параметры которой - число неровностей

и амплитуда

(среднее отклонение от проектного кругового гладкого контура) задаются на основе статистической обработки данных натурных измерений.
12.6 При отсутствии данных число неровностей определяется как половина отношения длины контура поперечного сечения к расстоянию между контурными шпурами. В этом случае амплитуда неровностей принимается как половина допустимой нормы перебора.
12.7 Ограничением для применения методики является требование выполнения условия

, где
R - средний радиус выработки.
12.8 Методика может использоваться для расчета обделок тоннелей, сооружаемых с применением анкеров контактного типа. В этом случае для определения модуля деформации укрепленных грунтов вводится повышающий коэффициент

, величина которого определяется в зависимости от несущей способности применяемых анкеров
Pa и плотности их установки
ns (число анкеров на 1 м
2 выработки) по графику, построенному на основании обработки экспериментальных данных
(рис. 12.1). Цифры на графике соответствуют следующим случаям: 1 -
Pa = 50 кН; 2 -
Pa = 100 кН; 3 -
Pa = 150 кН; 4 -
Pa = 200 кН.
Рисунок 12.1 - Зависимости коэффициента

от несущей
способности анкеров Pa и плотности установки анкеров ns
12.9 Расчет набрызг-бетонной обделки на сейсмические воздействия землетрясений состоит в определении для каждой точки внутренней поверхности конструкции максимальных по абсолютной величине нормальных тангенциальных напряжений, которые могут возникнуть при различных сочетаниях совместного действия длинных продольных и поперечных волн, распространяющихся в плоскости поперечного сечения сооружения.
12.10 Напряженное состояние обделки тоннеля кругового очертания при действии продольной и поперечных волн, направленных под произвольным углом

к вертикали, определяют из решения двух плоских квазистатических задач в соответствии с расчетными схемами, представленными на
рисунке 12.2.
Рисунок 12.2 - Расчетные схемы к определению
напряженного состояния набрызг-бетонной обделки тоннеля
кругового очертания при действии сейсмических волн:
а - продольных, б - поперечных
12.11 Массив грунта, моделируемый бесконечной линейно-деформируемой однородной изотропной средой
S1, механические свойства которой характеризуются средними значениями модуля деформации
E1 и коэффициента Пуассона

, испытывает на бесконечности двухосное неравнокомпонентное сжатие
(рис. 12.2 а) и чистый сдвиг
(рис. 12.2 б) напряжениями, зависящими от параметров волн.
12.12 Зона укрепленного грунта (наружный слой двухслойной обделки) моделируется слоем
S2 с деформационными характеристиками
E2,

.
12.13 При использовании анкеров контактного типа укрепленная зона моделируется квазиоднородным слоем
S2 с приведенным модулем деформации, вычисляемым по формуле

, где

- коэффициент, определяемый в соответствии с
п. 12.8.
12.14 Набрызг-бетонная обделка моделируется внутренним слоем кольца
S3 с соответствующими деформационными характеристиками
E3,

.
12.15 Для обеспечения внутреннего габарита тоннеля вводятся параметры: средняя величина перебора

, под которой понимается

, и проектный радиус обделки

- радиус внутреннего контура обделки, проведенного таким образом, чтобы все неровности располагались вне него.
12.16 Найденные усилия - изгибающие моменты M и продольные силы N, соответствующие максимальным по абсолютной величине расчетным напряжениям, принимаются со знаками "+" и "-" и суммируются с усилиями от статических нагрузок.
12.17 Методика применима для расчета обделок, усиливаемых в процессе эксплуатации, и двухслойных конструкций.
12.18 Методика позволяет рассчитывать монолитные обделки (двухслойные) кругового очертания как частный случай при задании амплитуды неровностей

или средней величины переборов

.
Алгоритм расчета
Исходными данными для расчета являются:

- проектный внутренний радиус обделки (задается таким образом, чтобы все неровности располагались вне него), м;

- число неровностей контура поперечного сечения выработки;

- средняя величина переборов, м;

,

- толщины соответственно укрепленной зоны и обделки (набрызг-бетонного покрытия), м;
Ei (i = 1, 2, 3) - модули деформации, МПа, соответственно массива (i = 1), укрепленной зоны грунта (i = 2) и материала обделки (i = 3);

(
i = 1, 2, 3) - коэффициенты Пуассона соответственно массива (
i = 1), укрепленной зоны грунта (
i = 2) и материала обделки (
i = 3);

- объемный вес грунта, МН/м
3;
A,
K0,
K1 - коэффициенты, принимаемые в соответствии с
п. 7.18.1;
T0 - преобладающий период колебаний частиц грунта;
N - число членов рядов (для достижения удовлетворительной точности достаточно принять N = 10).
Расчет состоит в выполнении следующих операций:
1) Определяются величины

(
i = 1, 2, 3);
2) Решаются два алгебраических уравнения (n + 1)-й степени
В качестве Ri (i = 1, 2) каждый раз берется единственный действительный корень уравнения, больший единицы.
3) Определяются комбинации деформационных характеристик материалов обделки, слоя укрепленного грунта и массива в естественном состоянии (i = 1, 2)
4) С учетом обозначений
вычисляются величины (
k,

, ..., 2
N - 1;
i = 1, 2, 3)
5) Вычисляются коэффициенты (
k,

, ...,
N)
при j = 2, 3

(
s = 2, 3, 4);

(
s = 2, 3);

(
s = 1, 2, 4);
6) Вычисляются коэффициенты (
i = 1, 2;
k,

)

(
j = 1, 2);

(
j = 3, 4);

(
j = 2, 3, 4);

(
j = 2, 3, 4);

(
j = 2, 3, 4);

(
j = 2, 3, 4);

(
j = 3, 4);

(
j = 1, 2);

(
j = 3, 4);

(
j = 1, 2, 4);


(
j = 1, 2, 3, 4);

(
j = 1, 3, 4);


(
j = 1, 2, 3, 4);

(
j = 1, 2);

(
j = 3, 4).
7) Вычисляются коэффициенты (
i = 1, 2;
l = 1, 2, 3, 4;
k,

)
при s = 2, 3
8) Вычисляются коэффициенты (k = 1, ..., N)

(
s = 2, 3),
с использованием которых формируются массивы (k = 1, ..., N)
9) Вводятся обозначения
10) При
i = 1, 2,
fs и

составляются три (
s = 1, 2, 3) системы линейных алгебраических уравнений вида
коэффициенты матриц и свободные члены которых определяются с учетом следующих величин (q = 1, 2, 3):
при q = 1
при q = 2, 3
11) В результате решения систем (
п. 10 алгоритма) определяются три группы корней (
s = 1, 2, 3)

(
l = 1, 2;

).
12) Вычисляются коэффициенты

(
i = 2, 3;
l = 1, 2;
s = 1, 2, 3;

) по рекуррентным формулам:
13) Для каждой точки внешнего и внутреннего контуров поперечного сечения обделки при значениях

(
j = 2, 3) при изменении

с шагом

вычисляются:

(
s = 2, 3)

(
s = 2, 3)
из которых формируются массивы чисел
14) Вычисляются составляющие напряжений соответствующих групп (s = 1, 2, 3):
15) Вычисляются два значения (
j = 1, 2) экстремальных нормальных тангенциальных напряжений

внутреннем контуре поперечного сечения обделки
Из полученных двух значений выбирается расчетное значение напряжения

, которое является максимальным по абсолютной величине, и фиксируется параметр
j* =
j, соответствующий этому значению.
Определяется соответствующее значение нормальных тангенциальных напряжений на наружном контуре
Полученные значения напряжений умножаются на величину P и определяются усилия - изгибающие моменты M и продольные силы N, соответствующие максимальным напряжениям
где
Для проверки возможного отрыва набрызг-бетона от породы определяются нормальные контактные напряжения по формуле
Пример расчета
Исходные данные:
- радиус проектного внутреннего контура поперечного сечения обделки R = 3 м;
- толщина зоны пород, укрепленной анкерами

;
- толщина набрызг-бетонного покрытия

;
- модуль деформации пород варьируется, принимая значения E1 = 9000, 18000, 36000 МПа;
- коэффициенты Пуассона массива пород в естественном состоянии и в зоне укрепления

;
- деформационные характеристики набрызг-бетонной обделки
E3 = 30000 МПа,

;
- удельный вес пород

;
- коэффициент, учитывающий назначение сооружения, K0 = 1;
- коэффициент, учитывающий допускаемые повреждения, K1 = 0,25;
- число неровностей поверхности выработки

; средняя амплитуда неровностей варьируется и принимает значения

(неровности отсутствуют); 0,05; 0,1; 0,15 м.
Анкера имеют несущую способность
Pa = 100 кН и установлены с плотностью
ns = 1 анкер/м
3 (отношение приведенного модуля деформации грунта укрепленной зоны к модулю деформации окружающего массива в соответствии с
рис. 12.1 
).
Результаты расчета представлены на
рис. 12.3 в виде зависимостей максимальных нормальных тангенциальных напряжений

, которые могут возникать в набрызг-бетонной обделке при сейсмических воздействиях, от амплитуды неровностей

при различных отношениях модулей деформации пород и набрызг-бетона. Кривыми 1, 2, 3 на
рис. 12.3 показаны зависимости, полученные соответственно при значениях
E1/
E3 = 0,3; 0,6; 1,2.
Рисунок 12.3 - Зависимости максимальных нормальных
тангенциальных напряжений, которые могут возникать
в набрызг-бетонной обделке при сейсмических воздействиях,
от амплитуды неровностей
13 Методика расчета монолитных обделок тоннелей, сооружаемых с применением инъекционного укрепления грунта
13.1 Методика предназначена для расчета монолитной бетонной (железобетонной) обделки тоннеля произвольного поперечного сечения (с одной осью симметрии), сооруженного с применением инъекционного укрепления массива грунта.
13.2 Методика применима для расчета двухслойных обделок тоннелей произвольного поперечного сечения.
13.3 Зона укрепленного грунта рассматривается как слой заданной толщины вокруг выработки, материал которого имеет деформационные характеристики, существенно отличающиеся от свойств массива.
13.4 Обделка, зона грунта, подверженная инъекционному укреплению, и массив грунта в естественном состоянии рассматриваются как единая геомеханическая система, элементы которой, взаимодействуя друг с другом, обуславливают взаимные деформации.
13.5 Методика расчета основывается на исходных предпосылках и положениях
раздела 7.
13.6 Обделка тоннеля и зона укрепления рассматриваются как двухслойное кольцо со слоями заданной толщины, подкрепляющее отверстие некругового очертания в бесконечной линейно-деформируемой среде, моделирующей массив грунта.
13.7 В качестве наружного слоя может также рассматриваться зона укрепленного грунта, создаваемая путем установки анкеров контактного типа. В этом случае для определения модуля деформации укрепленных грунтов вводится повышающий коэффициент

, величина которого определяется в зависимости от характеристик применяемых анкеров (см.
п. 12.8).
13.8 Напряженное состояние обделки определяется из решения двух плоских квазистатических задач в соответствии с расчетными схемами, представленными на
рис. 13.1 [8].
Рисунок 13.1 - Расчетные схемы к определению напряженного
состояния обделки тоннеля некругового очертания,
сооружаемого с применением инъекционного укрепления грунта,
при действии сейсмических волн:
а - продольных; б - поперечных
Среда
S0, моделирующая массив грунта, имеет деформационные характеристики
E0,

(соответственно модуль деформации и коэффициент Пуассона) и испытывает на бесконечности двухосное неравнокомпонентное сжатие
(рис. 13.1 а) и чистый сдвиг
(рис. 13.1 б) напряжениями, принимаемыми в зависимости от параметров сейсмических волн, вида расчета и типа тоннеля согласно положениям
раздела 7.
Слой
S1 с деформационными характеристиками
E1,

моделирует зону укрепленного грунта. Внутренний слой кольца
S2 с деформационными характеристиками
E2,

моделирует монолитную бетонную (железобетонную) обделку тоннеля. Слои кольца и среда деформируются совместно, то есть на линиях контакта
L0,
L1 выполняются условия непрерывности векторов напряжений и перемещений. Внутренний контур
L2 свободен от действия внешних сил.
13.9 Если укрепленная зона создается путем установки анкеров контактного типа, приведенный модуль деформации области
S1 вычисляется по формуле

, где

- коэффициент, определяемый в соответствии с
п. 12.8.
13.10 Методика позволяет рассчитывать монолитные (двухслойные) обделки кругового очертания как частный случай.
Алгоритм расчета
Исходными данными для расчета являются:
- заданные форма и размеры внутреннего контура поперечного сечения обделки;

,

- толщины соответственно укрепленной зоны и обделки в своде, м;
E0 - модуль деформации грунта, МПа;

- коэффициент Пуассона грунта;
E1,

- соответственно модуль деформации (МПа) и коэффициент Пуассона грунта в укрепленной зоне;
E2,

- соответственно модуль деформации (МПа) и коэффициент Пуассона материала обделки;

- объемный вес грунта, МН/м
3;
A,
K0,
K1 - коэффициенты, принимаемые в соответствии с
п. 7.18.1;
T0 - преобладающий период колебаний частиц грунта, с;
n - число коэффициентов отображающей функции;
N - число членов, удерживаемых в рядах разложения комплексных потенциалов.
Значения n, N задаются в зависимости от сложности очертания поперечного сечения обделки тоннеля. Для практических расчетов обделок тоннелей сводчатого очертания вытянутых вдоль оси x или вдоль оси y следует принять равными n = 4, N = 30. При рассмотрении обделок, форма поперечного сечения которых приближается к круговой, величина N может быть уменьшена, например, до N = 20.
1) Производится конформное отображение внешности единичного круга на внешность внутреннего контура поперечного сечения обделки и определяется массив коэффициентов

отображающей функции в соответствии с
Приложением Г. В практических расчетах можно ограничиться

.
2) Решаются уравнения (j = 0, 1)
где

,
l0 - расстояние от начала координат до свода обделки.
В качестве

каждый раз принимается единственный действительный корень, больший единицы.

(
j = 0, 1, 2),
R =
q0.
4) Определяются величины (j = 0, 1, 2)
а при изменении j = 0, 1 - следующие величины
sj = 1 - tj, lj = 1 - dj.
5) С учетом обозначений
вычисляются комплексные величины (j = 0, 1, 2):
(k = n, n - 1, ..., 0, -1, -2, ..., -2N);
6) Определяются массивы чисел
и коэффициенты (
j = 0,1;
k,

)
Здесь операторы "Re" и "Im" обозначают выделение соответственно действительной и мнимой частей комплексного числа.
7) Вычисляются коэффициенты (l = 1, ..., 4; s = 1, 2)
8) Вычисляются массивы чисел (
l,
p = 1, ..., 4;
s, r = 1, 2;
k,

;
j = 0, 1)
9) Вычисляются коэффициенты (
k,

, j = 0, 1)
10) Формируется матрица коэффициентов по формулам (
t,
l = 1, 2;
r = 1, ..., 4;
k,

)
11) Вычисляются три группы комплексных величин

(
j = 0, 1;

),

(
j = 0, 1;

) по формулам, приведенным в
таблице 13.1.
Таблица 13.1
Формулы для вычисления групп величин

Величины | Номер группы |
I | II | III |
| | | |
| | | |
12) Определяются три группы действительных величин (k = +/- 1, +/- 2, ..., +/- N)

,

и соответственно три группы величин (j = 0, 1, 2, s = 1, 2; k = 1, ..., N)
из которых формируются массивы
13) С подстановкой соответственно трех групп значений

и величин

из
таблицы 13.1 вычисляются три группы величин с помощью соотношений
а также три группы коэффициентов
14) Составляется система 4N линейных алгебраических уравнений вида:

(
r = 1, ..., 4;
k = 1, ...,
N),
которая решается три раза относительно

(
t,
l = 1, 2;
v = 1, ...,
N) с соответствующими группами свободных членов, в результате чего получаются три группы корней

,

,

.
15) Вычисляются соответствующие коэффициенты

(
r = 1, 2;
p = 1, ..., 4;
k = 1, ...,
N;
j = 1, 2) каждой группы I, II и III по рекуррентным формулам
и определяются три группы комплексных величин

,

,

(
l = 1, 2;
j = 0, 1, 2;
k = 1, 2, ...,
N)
16) При изменении

с шагом

вычисляются комплексные величины (
j = 1, 2)
а также величины (j = 0, 1, 2; s = j - 1, j; s >= 0)
с использованием которых определяются три группы комплексных величин по формулам, приведенным в
таблице 13.2.
Таблица 13.2
Формулы для определения групп величин

,

,

17) Вычисляются три группы нормальных, нормальных тангенциальных и касательных напряжений в массиве (области
S0) на границе
L0 (при
s =
j = 0) и в моделирующей укрепленный слой грунта области
S1 на контурах
Ls (при
s = 1 - на внутреннем; при
s = 0 - на внешнем), обозначаемые

,

,

,

,

,

,

,

,

, в результате подстановки соответствующих групп величин

,

,

.
18) Определяется наиболее неблагоприятное напряженное состояние в каждом нормальном сечении обделки при совокупном действии волн сжатия - растяжения (продольных) и сдвига (поперечных) любого направления в плоскости поперечного сечения сооружения. С этой целью вычисляются значения экстремальных нормальных тангенциальных напряжений на внутреннем контуре обделки по формуле:
19) Вычисляются нормальные тангенциальные напряжения на внешнем контуре обделки

и контактные напряжения

,

причем знак перед вторым слагаемым соответствует знаку в формуле
п. 18 алгоритма, при котором получены максимальные по абсолютной величине нормальные тангенциальные напряжения на внутреннем контуре.
Если проектируется с допущением образования трещин, то в результате расчета с использованием формул
пп. 18,
19 алгоритма получаются по две эпюры напряжений, соответствующие наибольшим сжимающим (отрицательным) и растягивающим (положительным) нормальным тангенциальным напряжениям

в конструкции, которые могут возникать при совокупном действии продольных волн в фазе сжатия и поперечных волн.
20) Вычисляются координаты точек внутреннего (s = 2) и внешнего (s = 1) контуров обделки, в которых производились вычисления напряжений
и определяются координаты точек средней линии внутреннего слоя, моделирующего обделку, в которых вычисляются усилия
21) Вычисляются усилия - изгибающие моменты
M и продольные силы
N в подземной конструкции
где
b = 1 м,

- толщина обделки, определяемая по формуле
22) Если рассматривается двухслойная обделка, дополнительно определяется наиболее неблагоприятное напряженное состояние в точках наружного слоя в соответствии с
пп. 18 -
21 алгоритма, принимая во внимание обозначения, использованные в
п. 17 алгоритма.
Пример расчета
Исходные данные:
- деформационные характеристики грунта
E0 = 3000 МПа;

;
- деформационные характеристики укрепленного грунта
E1 = 4500 МПа;

;
- деформационные характеристики бетона обделки
E2 = 20000 МПа;

;
- толщина зоны укрепленного грунта в своде

;
- толщина обделки в своде

;
- объемный вес пород

;
- преобладающий период колебаний частиц пород T0 = 0,5 с;
- коэффициент, учитывающий назначение сооружения K0 = 1;
- коэффициент, учитывающий допускаемые повреждения K1 = 0,25;
- коэффициент, учитывающий интенсивность землетрясения A = 0,4.
Форма и размеры поперечного сечения обделки и зоны укрепленного грунта показаны на
рис. 13.2.
Рисунок 13.2 - Форма и размеры поперечного сечения
обделки и зоны укрепленного грунта
Результаты расчета обделки представлены на
рисунке 13.3, на котором приведены сплошными линиями эпюры усилий
M, кН·м;
N кН, соответствующих максимальным сжимающим, а пунктирными линиями - максимальным растягивающим нормальным тангенциальным напряжениям. Показанные эпюры используются при проектировании обделки с допущением образования трещин. Если трещины не допускаются, то в качестве расчетных принимаются усилия, соответствующие максимальным сжимающим напряжениям (сплошные линии), которые перед суммированием с соответствующими усилиями от статических нагрузок должны приниматься со знаками "+" и "-".
Рисунок 13.3 - Расчетные эпюры усилий, соответствующих
максимальным сжимающим (сплошные) и максимальным
растягивающим (пунктирные) нормальным тангенциальным
напряжениям в обделке
14 Методика расчета набрызг-бетонных обделок некруговых тоннелей, сооружаемых с применением укрепления грунта
14.1 Методика предназначена для расчета набрызг-бетонной обделки тоннеля некругового поперечного сечения, сооружаемого с применением укрепления грунта.
14.2 Методика расчета основывается на исходных предпосылках и положениях, указанных в
пп. 12.1 -
12.9 раздела 12.
14.3 Напряженное состояние обделки тоннеля некругового очертания при действии продольной и поперечных волн, направленных под произвольным углом

к вертикали, определяют из решения двух плоских квазистатических задач в соответствии с расчетными схемами, представленными на
рис. 14.1 [8].
Рисунок 14.1 - Расчетные схемы к определению напряженного
состояния набрызг-бетонной обделки тоннеля некругового
очертания при действии сейсмических волн:
а - продольных, б - поперечных
| | ИС МЕГАНОРМ: примечание. В официальном тексте документа, видимо, допущена опечатка: имеется в виду рисунки 14.1 а) и 14.1 б), а не (рис. 14.2 а) и (рис. 14.2 б). | |
14.4 Массив грунта, моделируемый бесконечной линейно-деформируемой однородной изотропной средой
S0, механические свойства которой характеризуются средними значениями модуля деформации
E0 и коэффициента Пуассона

, испытывает на бесконечности двухосное неравнокомпонентное сжатие (
рис. 14.2 а) и чистый сдвиг (
рис. 14.2 б) напряжениями, зависящими от параметров волн.
Зона укрепленного грунта (наружный слой двухслойной обделки) моделируется слоем
S1 заданной толщины

с деформационными характеристиками
E1,

.
Набрызг-бетонная обделка моделируется внутренним слоем кольца
S2 толщиной

с соответствующими деформационными характеристиками
E2,

.
14.5 При использовании анкеров контактного типа укрепленная зона моделируется квазиоднородным слоем
S2 с приведенным модулем деформации, вычисляемым по формуле

, где

- коэффициент, определяемый в соответствии с
п. 12.8.
14.6 Для учета случайного характера распределения неровностей в набрызг-бетонной обделке расчет производится два раза: при положительном значении амплитуды неровностей

, соответствующем наличию впадины в верхней точке свода; при отрицательном значении

, соответствующем наличию выступа в своде. Результатом расчета является огибающая двух полученных эпюр напряжений.
14.7 Для обеспечения внутреннего габарита тоннеля вводится параметр

- средняя величина перебора, задаваемого таким образом, чтобы все неровности располагались вне проектного (гладкого) внутреннего контура поперечного сечения обделки.
14.8 Найденные усилия - изгибающие моменты M и продольные силы N, соответствующие максимальным по абсолютной величине расчетным напряжениям, принимаются со знаками "+" и "-" и суммируются с усилиями от статических нагрузок.
14.9 Методика применима для расчета обделок, усиливаемых в процессе эксплуатации нанесением внутреннего слоя из другого материала, и двухслойных конструкций.
14.10 Методика позволяет рассчитывать монолитные обделки (двухслойные) кругового и некругового очертаний как частные случаи при задании амплитуды неровностей

или средней величины переборов

. Для расчета набрызг-бетонной обделки в тоннелях кругового очертания следует применять методику, изложенную в
разделе 12.
Алгоритм расчета
Исходными данными для расчета являются:
- заданные форма и размеры внутреннего контура поперечного сечения обделки;

,

- толщины соответственно укрепленной зоны и обделки в своде, м;

- число неровностей поверхности выработки

;

- средняя величина перебора, м (

- отклонение от проектного контура
<*>).
--------------------------------
<*> На значения

,

накладывается ограничение
. (
- средний радиус выработки).
E0 - модуль деформации грунта, МПа;

- коэффициент Пуассона грунта;
E1,

- соответственно модуль деформации (МПа) и коэффициент Пуассона грунта в укрепленной зоне;
E2,

- соответственно модуль деформации (МПа) и коэффициент Пуассона материала обделки;

- объемный вес грунта, МН/м
3;
A,
K0,
K1 - коэффициенты, принимаемые в соответствии с
п. 7.18.1;
T0 - преобладающий период колебаний частиц грунта, с;
n - число коэффициентов отображающей функции;
N - число членов, удерживаемых в рядах разложения комплексных потенциалов.
1) Производится конформное отображение внешности единичного круга на внешность проектного (гладкого) внутреннего контура поперечного сечения обделки и определяется массив коэффициентов

отображающей функции в соответствии с
Приложением Г.
2) Вводится обозначение
Определяются коэффициенты:
- при

- при

3) Решаются уравнения (j = 0, 1)
где

,
l0 - расстояние от начала координат до свода обделки.
В качестве

каждый раз принимается единственный действительный корень, больший единицы.
Далее расчеты производятся в соответствии с
пп. 3 -
22 алгоритма, приведенного в разделе 13.
Пример расчета
Рассматривается набрызг-бетонная обделка транспортного тоннеля, форма и размеры проектного (гладкого) внутреннего контура поперечного сечения которой представлены на
рисунке 14.2. Тоннель сооружается с применением анкерного крепления.
Рисунок 14.2 - Форма и размеры поперечного сечения
проектного контура тоннеля
Исходные данные:
- деформационные характеристики грунта
E0 = 8000 МПа;

;
- деформационные характеристики укрепленного грунта
E1 = 14000 МПа (что соответствует параметрам анкеров
Pа = 100 кН,
ns = 0,75),

;
- деформационные характеристики бетона обделки
E2 = 33000 МПа;

;
- толщина зоны укрепленного грунта в своде

;
- толщина обделки в своде

;
- объемный вес пород

;
- преобладающий период колебаний частиц пород T0 = 0,5 с;
- коэффициент, учитывающий назначение сооружения K0 = 1;
- коэффициент, учитывающий допускаемые повреждения K1 = 0,25;
- коэффициент, учитывающий интенсивность землетрясения A = 0,4.
На
рисунке 14.3 представлены в развертке эпюры максимальных нормальных тангенциальных напряжений

которые могут возникать на внутреннем контуре поперечного сечения обделки. Номера точек на
рис. 14.3 соответствуют показанным на
рис. 14.2.
Рисунок 14.3 - Результаты расчета набрызг-бетонной крепи
Сплошной линией на
рис. 14.3 показаны напряжения, вычисленные при

(наличие перебора в верхней точке свода выработки, как показано на
рис. 14.4 а), пунктирной - при

(отсутствие перебора в верхней точке свода выработки, как показано на
рис. 14.4 б), штрихпунктирной - при

(отсутствие неровностей поверхности выработки). В качестве расчетной принимается эпюра, огибающая три построенные эпюры и учитывающая случайный характер распределения неровностей поверхности выработки.
Полученные расчетные напряжения

принимаются со знаками "+" и "-" и суммируются с напряжениями от других видов нагрузок.
Рисунок 14.4 - Формы поперечного сечения выработки:
а - с наличием перебора в верхней точке выработки;
б - при отсутствии перебора в верхней точке
15 Методика расчета многослойных обделок переменной толщины тоннелей произвольного поперечного сечения с учетом технологической неоднородности грунта
15.1 Методика предназначена для расчета многослойных обделок переменной толщины тоннелей произвольного очертания (с одной осью симметрии) глубокого заложения на сейсмические воздействия землетрясений.
15.2 Методика позволяет определять максимальные напряжения, которые могут возникать на наружном и внутреннем контурах каждого слоя обделки при различных сочетаниях совокупного действия одновременно приходящих (худший случай) длинных продольных и поперечных сейсмических волн, распространяющихся в произвольном направлении в плоскости поперечного сечения тоннеля.
15.3 Методика может быть использована при расчете обделок тоннелей на воздействие МРЗ с целью учета зон неупругих деформаций (хрупких разрушений), которые моделируются слоями с приведенным модулем деформации
(п. 7.6.2).
15.4 В основу методики положены аналитические решения двух плоских квазистатических контактных задач, расчетные схемы которых приведены на
рисунках 15.1 а, б [
12,
16].
Рисунок 15.1 - Расчетные схемы к определению напряженного
состояния многослойной обделки тоннеля глубокого заложения
при действии сейсмических волн:
а - продольных; б - поперечных
15.5 Подземная конструкция моделируется многослойным кольцом, границы слоев которого представляют собой гладкие замкнутые кривые.
15.6 Если окружающий выработку массив подвержен влиянию технологических факторов, в результате которых механические характеристики грунта изменяются, в расчетной схеме многослойного кольца
(рис. 15.1) дополнительно выделяются слои массива
Sj (
j = 1, ...,
N*) с соответствующими деформационными характеристиками, моделирующие зону технологической неоднородности.
15.7 Многослойная обделка моделируется внутренними кольцами
Sj (
j =
N* + 1, ...,
N) общей системы "обделка - массив". Материалы этих колец обладают соответствующими деформационными характеристиками
Ej,

, (
j =
N* + 1, ...,
N).
15.8 В расчетной схеме обделки могут быть выделены неоднородные слои, например, при рассмотрении рамной крепи, крепи из железобетонных блоков с ребрами жесткости, которые моделируются квазиоднородными слоями на основе допущений и принципов, изложенных в
разделе 9, с тем отличием, что в рамках настоящей методики эти слои могут иметь как круговое, так некруговое очертания, а также изменяющуюся по периметру толщину.
15.9 Использование настоящей методики позволяет рассматривать как частные случаи монолитные обделки кругового и некругового поперечных сечений, а также многослойные обделки кругового очертания одиночных тоннелей глубокого заложения при задании соответствующих данных.
Алгоритм расчета
Исходными данными для расчета являются:
Nk, Nm - число слоев, моделирующих соответственно обделку и зону технологической неоднородности массива;
E(m),

- соответственно модуль деформации (МПа) и коэффициент Пуассона ненарушенного массива грунта;

,

(
j = 1, ...,
Nm)
- соответственно модули деформации (МПа) и коэффициенты Пуассона слоев технологически неоднородной части массива;

,

(
j = 1, ...,
Nk) - соответственно модули деформации (МПа) и коэффициенты Пуассона слоев обделки;
- число удерживаемых членов рядов, входящих в решение задач, и обеспечивающие точность вычислений (рекомендуется задавать

);

- шаг по углу

, отсчитываемому от оси
OX против часовой стрелки;

- удельный вес пород, МН/м
3;
A,
K0,
K1 - коэффициенты, принимаемые в соответствии с
п. 7.18.1;
T0 - преобладающий период колебаний частиц породы, с.
1) Определяются вспомогательные величины
N = Nk + Nm;
и параметры сейсмического воздействия
2) Производится конформное отображение внешности единичных окружностей

(
j = 0, 1, ...,
N) в плоскостях

(
j = 0, 1, ...,
N) на внешности соответствующих контуров слоев
Lj (
j = 0, 1, ...,
N). Конформное отображение строится численным образом на основе компьютерной реализации алгоритма, приведенного в
Приложении Г. В результате для каждого контура
Lj (
j = 0, 1, ...,
N) определяются коэффициенты
bk, из которых формируется массив

(
j = 0, 1, ...,
N; k = 0, 1, ...,

). Здесь параметр

соответствует количеству коэффициентов в отображающей функции.
3) Определяются коэффициенты:
4) Вычисляются комбинации упругих постоянных материалов слоев по формулам:

(
j = 0, ...,
N),
sj = 1 - tj, lj = 1 - dj, (j = 0, ..., N).
5) С учетом обозначений
вычисляются вспомогательные комплексные величины (j = 0, ..., N):
и коэффициенты
6) Определяются комплексные величины
а также коэффициенты

:
- при s = 1, 2
- при s = 3, 4
7) Определяются массивы действительных чисел
и с учетом обозначения
вычисляются вспомогательные действительные величины

и коэффициенты

,

(
r = 1, 2) по формулам:

(
j = 1, ..., 4;
k = 1, ...,
N),
а затем коэффициенты (l = 1, ..., 4; s = 1, 2)
8) Вычисляются массивы чисел (
p,
r = 1, 2;
l,
s = 1, ..., 4;

)
и коэффициенты

(
l,
p = 1, ..., 4;
s,
r = 1, 2;

j = 0, ...,
N - 1) с помощью рекуррентных соотношений
9) Определяются коэффициенты

и формируется матрица коэффициентов (
t,
l = 1, 2;
r = 1, ..., 4;

)
10) Определяются три группы массивов комплексных величин

(
j = 0, ...,
N;

),

(
j = 0, ...,
N - 1;

)
, по формулам, приведенным в
табл. 15.1, из которых формируются массивы действительных чисел
Здесь операторы "Re" и "Im" обозначают выделение действительной и мнимой частей комплексного числа соответственно.
Таблица 15.1
Формулы для вычисления групп величин

Величины | Номер группы |
I | II | III |
| | | |
| | | |
11) Вычисляются величины (
j = 0, ...,
N,
s = 1, 2;

)
| | ИС МЕГАНОРМ: примечание. Нумерация пунктов дана в соответствии с официальным текстом документа. | |
13) Вычисляются коэффициенты (
j = 0, ...,
N;

)
14) Вычисляется массив чисел (
p,
r = 1, 2;
l,
s = 1, ..., 4;

):
15) Вычисляются три группы величин

,

,

,

,

,

,

,

,

(
p = 1, ..., 4;
r = 1, 2;

;
j = 0, ...,
N - 1) с подстановкой соответственно трех групп значений величин

из
табл. 15.1 в рекуррентные соотношения
а также в выражения
16) Составляется система

линейных алгебраических уравнений вида:

(
r = 1, ..., 4;

),
которая решается относительно

(
t,
l = 1, 2;

) трижды с соответствующими группами свободных членов, в результате чего получаются три группы корней

,

,

.
17) Вычисляются три группы коэффициентов

,

(
s = 1, ..., 4;
r = 1, 2;
j = 0, ...,
N - 1;

) по рекуррентным формулам
18) Определяются три группы комплексных величин

,

,

(
s = 1, 2;
l = 1, 2;
j = 0, ...,
N;
l =
j,
j + 1;

)
(

;
j = 0, ...,
N - 1;
l =
j,
j + 1)
19) При изменении

с шагом

вычисляются комплексные величины (
s = 1, ...,
N)
а также величины (j = 0, ..., N; s = j, j + 1; s >= 0)
20) Определяются три группы величин

,

,

(
j = 0, ...,
N,
s =
j, j + 1,
s <=
N) по формулам, приведенным в
табл. 15.2.
Таблица 15.2
Формулы для определения групп величин

,

,

21) Вычисляются три группы (в результате подстановки соответствующих величин

,

,

) нормальных, нормальных тангенциальных и касательных напряжений, обозначаемых

,

,

,

,

,

,

,

(
j = 1, 2, 3;

,

в массиве (области
S0) на границе
L0 (при
s =
j = 0) и в моделирующих неоднородный массив и конструкцию областях
Sj (
j = 1, ...,
N) на контурах
Ls (при
s =
j - на внутреннем; при
s =
j - на внешнем); при
s =
j + 1 - на внутреннем:
22) Определяется наиболее неблагоприятное напряженное состояние в каждом нормальном сечении каждого слоя крепи при совокупном действии продольных и поперечных волн любого направления в плоскости поперечного сечения сооружения. Если обделка прианкерена к породе, или образование трещин в обделке не допускается, вычисляются значения экстремальных нормальных тангенциальных напряжений на внутреннем контуре каждого
j-го слоя
(j = N* + 1, ...,
N) по формулам:
Нормальные тангенциальные напряжения на внешних контурах слоев

и контактные напряжения

,

находятся по формуле
здесь символом

обозначены все компоненты напряжений.
Знак перед вторым слагаемым соответствует знаку в формуле для максимальных по абсолютной величине нормальных тангенциальных напряжений на внутреннем контуре.
23) Если обделка не прианкерена к породе и проектируется с допущением образования трещин, то в результате расчета с использованием формулы в
п. 22 алгоритма получаются по две эпюры напряжений, соответствующие наибольшим сжимающим (отрицательным) и растягивающим (положительным) нормальным тангенциальным напряжениям

в конструкции, которые могут возникать при совокупном действии продольных волн в фазе сжатия и поперечных волн.
24) В каждом j-м слое (j = N* + 1, ..., N) вычисляются координаты точек внутреннего (при s = j - 1) и внешнего (при s = j) контуров, в которых производились вычисления напряжений
и определяются координаты точек средней линии каждого j-того слоя (j = N* + 1, ..., N) поперечного сечения обделки, в которых вычисляются усилия
25) Вычисляются усилия - изгибающие моменты Mj и продольные силы Nj в каждом j-том слое (j = N* + 1, ..., N) обделки
где
b = 1 м,

- толщина
j-того слоя, определяемая по формуле
и находятся усилия в нормальных сечениях многослойной обделки
где

(
j =
N* + 1, ...,
N).
Пример расчета
Ниже приводятся результаты расчета монолитной бетонной обделки транспортного тоннеля. Форма и размеры поперечного сечения обделки показаны на
рисунке 15.2 (средний радиус выработки

).
Рисунок 15.2 - Проектное поперечное сечение обделки
Расчеты производились с учетом ослабления окружающего выработку массива после буровзрывных работ. Изменение модуля деформации грунта с удалением от поверхности выработки описывалось формулой
где E0 - модуль деформации массива в естественном состоянии, МПа;
r - расстояние от центра выработки, м. В соответствии с описанной методикой непрерывное изменение указанной характеристики заменялось ступенчатым, приведенным на
рисунке 15.3.
Рисунок 15.3 - Выделение слоев
в ослабленной зоне массива
В массиве грунта вокруг выработки выделялись
N* = 10 слоев, относительные толщины которых

(
j = 1, ..., 10) приведены в
табл. 15.3. Там же даны безразмерные значения модулей деформации
Ej/
E0 (
j = 1, ..., 10), принятые постоянными в пределах одного слоя.
Таблица 15.3
Значения

,
Ej/
E0, принимаемые для расчета
Параметры | Номер слоя, j |
1 | 2 | 3 | 4 | 5 | 6 | 7 | 8 | 9 | 10 |
| 0,60 | 0,60 | 0,50 | 0,50 | 0,20 | 0,10 | 0,10 | 0,10 | 0,10 | 0,09 |
Ej/E0 | 0,90 | 0,85 | 0,78 | 0,70 | 0,61 | 0,55 | 0,49 | 0,43 | 0,34 | 0,25 |
Исходные данные:
- общее число слоев N = 11;
- относительная толщина обделки

- отношение модулей деформации материала обделки и пород ненарушенного массива E11/E0 = 6;
- коэффициент Пуассона материала обделки

- коэффициент, соответствующий баллу землетрясения A = 0,4;
- коэффициент, учитывающий допускаемые повреждения K1 = 0,25;
- коэффициент, учитывающий назначение сооружения K0 = 1;
- удельный вес пород

- модуль деформации пород нетронутого массива E0 = 4000 МПа;
- преобладающий период колебаний частиц породы T0 = 0,5 с.
Коэффициенты Пуассона принимались одинаковыми для всех слоев, т.е.

(
j = 0, 1, ..., 10).
Расчетные эпюры нормальных тангенциальных напряжений на внешнем

и внутреннем

контурах обделки, а также эпюры усилий - изгибающих моментов
M и продольных сил
N в конструкции, учитывающие всю возможную совокупность воздействий одновременно приходящих (худший случай) продольных и поперечных волн различных направлений в плоскости поперечного сечения сооружения в самом неблагоприятном их сочетании для каждого нормального сечения конструкции, представлены на
рис. 15.4 а, б.
Рисунок 15.4 - Расчетные эпюры:
а - нормальных тангенциальных напряжений на наружном

и внутреннем

контурах обделки;
б - изгибающих моментов M и продольных сил N
В силу симметрии эпюры даны для половины сечения. Сплошными линиями показаны напряжения и усилия, соответствующие максимальным сжимающим, пунктирными - максимальным растягивающим нормальным тангенциальным напряжениям.
16 Методика учета действия сейсмических волн, распространяющихся вдоль оси тоннеля
16.1 Воздействие сейсмических сил, направленных вдоль продольной оси тоннеля, компенсируется устройством сейсмических деформационных швов
(раздел 6) и при расчете обделок тоннелей, как правило, не учитывается.
16.2 При необходимости обоснования количества антисейсмических деформационных швов выполняется расчет обделок тоннелей на продольную составляющую сейсмического воздействия с использованием сейсмодинамической теории колебаний [
4,
7].
16.3 Расчет выполняется для тоннелей, длины которых соизмеримы с длинами сейсмических волн.
16.4 Целью расчета обделок тоннелей на продольную составляющую сейсмического воздействия является определение напряжений, а также продольных деформаций в элементах обделки тоннеля, которые должны быть компенсированы антисейсмическими швами.
16.5 Транспортный тоннель рассматривается как труба с заданной продольной жесткостью
B, состоящая из отдельных секций, которые соединены различными способами
(рисунок 16.1).
Рисунок 16.1 - Схемы соединения колец (секций) обделки
транспортного тоннеля:
а - полностью омоноличенная конструкция;
б - конструкция обделки из отдельных элементов, жестких
в поперечном направлении по отношению к оси тоннеля;
в - обделка с антисейсмическими швами
16.6 При расчете полагается, что все секции тоннеля имеют равные длины и каждая секция обладает одной степенью свободы. Секции объединяются в единую конструкцию узлами, которые могут иметь различную жесткость.
16.7 При определении продольных усилий, возникающих в узлах, учитываются силы сопротивления окружающего грунта (в предположении того, что материал обделки тоннеля и грунт являются однородными в продольном направлении), а также упругие деформации рассматриваемых секций.
16.8 Составляется система n дифференциальных уравнений, каждое из которых описывает продольные колебания соответствующей секции обделки тоннеля. Решение системы дифференциальных уравнений выполняется численным методом.
16.9 С использованием продольных усилий, найденных для каждой секции обделки, определяются относительные перемещения узлов.
16.10 Определяется минимальное число секций тоннеля n, при котором значения продольных перемещений средней секции не зависят от числа уравнений n.
16.11 По найденным значениям продольных (осевых) сил определяются нормальные напряжения и проверяется прочность конструкции. Если прочность обделки не обеспечена, предусматривается устройство дополнительных антисейсмических деформационных швов. Далее расчет обделки повторяется с учетом того обстоятельства, что отдельные участки тоннеля соединены между собой антисейсмическими швами (демпфирующими устройствами) с узлами различной жесткости (см.
рис. 16.1 в).
17 Методика расчета многослойных обделок параллельных круговых тоннелей
17.1 Методика предназначена для расчета многослойных обделок параллельных близкорасположенных круговых тоннелей, испытывающих взаимное влияние.
17.3 Методика основана на рассмотрении каждой из многослойных конструкций как составной части всего комплекса сооружений, составляющего единую деформируемую систему с окружающим массивом грунта.
17.4 Методика применима при расчете обделок тоннелей на воздействие МРЗ для учета зон неупругих деформаций (хрупких разрушений), которые моделируются слоями с приведенным модулем деформации (см.
п. 7.6.2).
17.5 Напряженное состояние многослойных обделок кругового очертания при действии продольной и поперечных волн, направленных под произвольным углом

к вертикали, определяется из решения двух плоских квазистатических задач в соответствии с расчетными схемами, представленными на
рис. 17.1 [
13,
15].
Рисунок 17.1 - Расчетные схемы задач о действии
длинных продольной (а) и поперечной (б) сейсмических волн
Среда
S0, моделирующая массив грунта с деформационными характеристиками - модулем деформации
E0 и коэффициентом Пуассона

, ослаблена произвольным числом
N отверстий с контурами
L0,j радиусами
R0,j, центры которых расположены произвольным образом в точках с координатами
zj =
xj + i
yj (
j = 1, ...,
N). Здесь и далее символом "i" обозначается мнимая единица в отличие от "
i" - номера контура.
Многослойные концентрические кольца, составленные слоями
Si,j с внутренними контурами
Li,j радиусами соответственно
Ri,j (
i = 1, ...,
nj,
nj - число выделенных слоев в обделке,
j = 1, ...,
N), моделируют обделки тоннелей. Среда
S0 и слои
Si,j (
i = 1, ...,
nj,
j = 1, ...,
N) деформируются совместно, внутренние контуры

(
j = 1, ...,
N) свободны от действия внешних сил.
17.6 При расчете обделок тоннелей, сооружаемых с применением инъекционного укрепления грунта, наружные слои S1,j (j = 1, ..., N) моделируют слои укрепленного грунта вокруг обделок тоннелей, а кольца Si,j (i = 2, ..., nj, j = 1, ..., N) моделируют обделки тоннелей.
17.7 Каждый слой
Si,j колец выполнен из материалов с деформационными характеристиками
Ei,j,

(
i = 1, ...,
nj,
j = 1, ...,
N)
.
17.8 Методика позволяет выполнять расчет обделок тоннелей, сооружаемых с применением анкеров контактного типа, используя положения
п. 12.8.
Алгоритм расчета
Исходными данными для расчета являются:
N - число тоннелей;
nj (j = 1, ..., N) - число выделенных слоев в обделке j-го тоннеля;
xj, yj (j = 1, ..., N) - координаты центров поперечных сечений обделок тоннелей, м;
Ri,j (i = 0, 1, ..., nj; j = 1, ..., N) - радиусы слоев поперечного сечения обделок, м;
E0 - модуль деформации грунта, МПа;

- коэффициент Пуассона грунта;
Ei,j (i = 1, ..., nj; j = 1, ..., N) - модуль деформации материала слоя Si,j (i = 1, ..., nj; j = 1, ..., N) обделки, МПа;

- коэффициент Пуассона материала слоя
Si,j (
i = 1,
...,
nj;
j = 1, ...,
N) обделки;

- объемный вес грунта, МН/м
3;
A,
K0,
K1 - коэффициенты, принимаемые в соответствии с
п. 7.18.1;
T0 - преобладающий период колебаний частиц породы, с.
Дополнительно задается n - число членов в рядах, используемых при решении задач, как правило, n = 20.
Расчет сводится к выполнению следующих операций:
1) Вычисляется массив чисел с помощью рекуррентного соотношения
2) Определяются величины (j = 1, ..., N)
li,j = 1 -
di,j,
si,j = 1 -
ti,j (
i = 0, 1,
...,
nj - 1).
3) Определяются величины (m = 1, ..., N, j = 1, ..., N)
и коэффициенты

,

(
k = 1,
...,
n + 2;

).
4) Вычисляются коэффициенты (k = 1, ..., n; j = 1, ..., N)

,

,

,

,

,

,

,

.
5) С учетом переменной
вычисляются коэффициенты (
p = 1, 2;
l = 1, ..., 4;
j = 1, ...,
N;
m = 1, ...,
N;
k = 1, ...,
n + 2;

)

,

,

;

,

,

,

;

,

,

,

;

,

;

,

,

;

,

,

,

;

,

,

,

;

,

,

,

.
6) Определяются три группы величин

,

(
l = 1, ..., 4;
j = 1, ...,
N;
k = 1, ...,
n) по формулам, приведенным в
табл. 17.1.
Таблица 17.1
Формулы для вычисления групп величин

,

Величины | Номер группы |
I | II | III |
| 0 | | 0 |
| | 0 | 0 |
| | 0 | 0 |
| 0 | | 0 |
| 0 | 0 | |
| 0 | 0 | 0 |
| 0 | 0 | 0 |
| 0 | 0 | |
7) Вычисляются коэффициенты

,

(
p = 1, ..., 4;
l = 1, ..., 4;
i = 1,
...,
nj - 1;
j = 1,
...,
N;
k = 1
, ..., n + 2;

) по формулам

,

,

,

,

;

,

,

,

;

,

;

,

;

,

,

,

,

,

;

,

,

;

,

,

.
8) Определяются массивы коэффициентов

,

(
p = 1, ..., 4;
l = 1, ..., 4;
i = 1, ...,
nj - 2;
j = 1,
...,
N;
k = 1, ...,
n + 2;

)
9) Вычисляются коэффициенты

,

(
p = 1, ..., 4;
l = 1, ..., 4;
j = 1,
...,
N;
k = 1, ...,
n + 2;

) с помощью рекуррентных соотношений

,

(
i = 2, ...,
nj - 2);

,

(
i = 2, ...,
nj - 2),
где
10) Определяются коэффициенты

(
p = 1, ..., 4;
l = 1, 2;
k = 1, 2;

);

(
p = 1, ..., 4;
l = 1, ..., 4;
k = 1, ...,
n;

)

,

,

,

,
11) Вычисляются массивы чисел

,

,

,

(
p = 1, ..., 2;
l = 1, ..., 4;
m = 1, ...,
N;
j = 1, ...,
N) по формулам

,

,

,

.
12) Определяются три группы величин

,

,

и

,

,


,
13) Составляется система из 4
Nn линейных алгебраических уравнений относительно неизвестных

,

(
p = 1, 2;
; m = 1,
...,
N;
j = 1,
...,
N

,

,
где
14) Определяются три группы свободных членов
с подстановкой соответственно

,

,

и

,

,

.
15) Система уравнений (
п. 13 алгоритм) решается трижды с соответствующими группами свободных членов, в результате чего получаются три группы корней

,

,

,

,

,

(
p = 1, 2;
m = 1, ...,
N;

).
16) Определяются по три группы действительных и мнимых частей коэффициентов

,

,

,

,

,

(
i = 1, ...,
nj;
j = 1, ...,
N) по формулам (
l = 1, ..., 4;
k = 1, ...,
n;
j = 1, ...,
N)

,
i = 2, ...,
nj;

,
i = 2, ...,
nj.
17) Для точек внешнего

и внутреннего

контуров поперечного сечения
i-го слоя (
i = 1, ...,
nj)
j-ой обделки (
j = 1
, ...,
N) при изменении

с шагом

, например,

, вычисляются контактные и нормальные тангенциальные напряжения по формулам
18) Вычисления по формулам
п. 17 алгоритма производятся трижды с подстановкой соответственно трех групп коэффициентов

(
l = 1, ..., 4;
i = 1
, ...,
nj;
j = 1, ...,
N) и определяются составляющие напряжений

,

,

(
i = 1, ...,
nj;
j = 1, ...,
N) (символом

обозначены все компоненты тензора напряжений).
19) Вычисляются величины
и определяются значения экстремальных нормальных тангенциальных напряжений на внутренних и внешних контурах поперечного сечения каждого слоя каждой конструкции по формулам

,

,

,

.
Из значений A, B, C, D выбираются наибольшее по абсолютной величине отрицательное и наибольшее положительное. Если наибольшим того или иного знака окажется число A или B, то все напряжения определяются соответственно по формуле
Если наибольшим окажется число
C или
D, то все напряжения определяются по приведенной выше формуле с заменой в них

на

. В результате получаются по две эпюры напряжений

,

,

,

,

,

(
i = 1,
..., nj;
j = 1, ...,
N), соответствующие наибольшим сжимающим и растягивающим нормальным тангенциальным напряжениям, возникающим в точках наружного и внутреннего контуров поперечного сечения слоев обделки, которые могут возникнуть при совокупном действии продольной волны в фазе сжатия и поперечной волны.
20) Значения напряжений умножаются на величину
P (см.
п. 7.18.1).
Пример расчета обделок двух параллельных тоннелей
Ниже приведены результаты расчета обделок из железобетона двух параллельных тоннелей, поперечные сечения которых представлены на
рисунке 17.2.
Рисунок 17.2 - Поперечное сечение обделок
параллельных тоннелей
Расчет выполнен при следующих исходных данных:
- наружные радиусы сечения обделок R0,1 = R0,2 = 2,75 м;
- внутренние радиусы сечения обделок R1,1 = R1,2 = 2,55 м;
- расстояние между центрами сечений тоннелей l = 11 м;
- деформационные характеристики грунта
E0 = 3000 МПа,

;
- деформационные характеристики материала обделок
E1,1 =
E1,2 = 33000
МПа,

;
- объемный вес грунта

;
- коэффициент, учитывающий назначение сооружения K0 = 1;
- коэффициент, учитывающий допускаемые повреждения K1 = 0,25;
- коэффициент, учитывающий интенсивность землетрясения A = 0,4;
- преобладающий период колебания грунта T0 = 0,5 с.
На
рисунке 17.3 приведены результаты расчета для обделки левого тоннеля - эпюры изгибающих моментов
M и продольных сил
N в радиальных сечениях конструкции, соответствующих максимальным сжимающим (сплошные линии) и максимальным растягивающим (штриховые линии) нормальным тангенциальным напряжениям (эпюры справедливы для правого тоннеля с учетом осевой симметрии).
Рисунок 17.3 - Напряжения и усилия в обделке левого тоннеля,
соответствующие максимальным сжимающим (сплошные линии)
и растягивающим (пунктирные линии) напряжениям
в радиальных сечениях
Приведенные на
рисунке 17.3 эпюры усилий следует использовать при проектировании обделок тоннелей с допущением образования трещин. Если трещины не допускаются, то для проверки прочности сечений на сжатие и растяжение используются эпюры усилий, соответствующие максимальным сжимающим напряжениям (сплошные линии), значения с которых берутся со знаками "+" и "-".
18 Методика расчета обделок параллельных тоннелей некругового поперечного сечения
18.1 Методика предназначена для расчета замкнутых монолитных обделок близкорасположенных тоннелей, сооружаемых закрытым способом.
18.2 Обделки тоннелей рассматриваются как замкнутые конструкции заданной толщины и конфигурации, работающие в упругой стадии деформирования в условиях полного контакта с массивом грунта.
18.3 Методика позволяет определять напряжения и усилия в обделках взаимовлияющих тоннелей произвольного поперечного сечения, имеющих вертикальную ось симметрии, в случаях, когда окружности, описанные вокруг поперечных сечений обделок, не пересекаются.
18.4 Методика расчета базируется на исходных предпосылках и положениях, указанных в
разделе 7.
| | ИС МЕГАНОРМ: примечание. В официальном тексте документа, видимо, допущена опечатка: формулы (7.18.1) и (7.18.2) отсутствуют. Возможно, имеются в виду формулы пунктов 7.18.1 и 7.18.2. | |
18.5 Напряженное состояние обделок взаимовлияющих тоннелей при действии продольной и поперечной волн, направленных под произвольным углом

к вертикали, определяют из решений плоских квазистатических задач теории упругости для колец произвольной формы, подкрепляющих отверстия в линейно-деформируемой среде при действии на бесконечности напряжений, определяемых
формулами (7.18.1) и
(7.18.2), в соответствии с расчетными схемами, представленными на
рисунке 18.1 а, б
[14].
Рисунок 18.1 - Расчетные схемы к определению напряженного
состояния обделок взаимовлияющих тоннелей произвольного
поперечного сечения при действии сейсмических волн:
а - продольных; б - поперечных
Массив грунта моделируется бесконечной однородной линейно-деформируемой средой
S0, деформационные свойства которой характеризуются средними значениями модуля деформации
E0 и коэффициента Пуассона

. Обделки тоннелей моделируются замкнутыми кольцами
Sn из материалов с деформационными характеристиками
En,
, центры которых расположены в точках с координатами
zj =
xj +
iyj (
j = 1, ...,
N).
Граничные условия рассматриваемых задач на линиях контакта Ln отражают условия непрерывности векторов напряжений и смещений; внутренние контуры колец Ln свободны от действия внешних сил.
Алгоритм расчета
Исходными данными для расчета являются:
N - количество рассчитываемых тоннелей;
xn, yn (n = 1, ..., N) - координаты центров поперечных сечений тоннелей в принятой системе координат, м;
- заданные форма и размеры внутреннего контура поперечного сечения каждой n-й обделки;

- толщины обделок в своде, м;
E0 - модуль деформации грунта, МПа;

- коэффициент Пуассона грунта;
En (n = 1, ..., N) - модули деформации материала обделок, МПа;

- коэффициенты Пуассона материала обделок;

- объемный вес грунта, МН/м
3;
A,
K0,
K1 - коэффициенты, принимаемые в соответствии с
п. 7.18.1;
T0 - преобладающий период колебаний частиц грунта, с.
Задается число членов K, удерживаемых в рядах разложения комплексных потенциалов в зависимости от очертания обделки тоннеля, для практических расчетов достаточно принять K = 30.
1) Производится конформное отображение внешности единичного круга на внешность внутреннего контура поперечного сечения каждой
n-й обделки и определяется массив коэффициентов
bk,n (
n = 1, ...,
N;
k = 0, 1, ...,
m + 1) отображающей функции в соответствии с
Приложением Г.
2) Определяются величины

, представляющие собой радиусы окружностей с центром в начале координат, переходящие при конформном отображении во внешний контур поперечного сечения соответствующей обделки. С этой целью численно решаются уравнения

(
n = 1, ...,
N),
где
l0,n - расстояние от центра поперечного сечения
n-й обделки до верхней точки ее внутреннего контура. В качестве величин

принимаются действительные корни уравнений, превышающие единицу.
3) Определяются комплексные коэффициенты zn, соответствующие координатам центров тоннелей
zn = xn + iyn
и комплексные коэффициенты

(
j, n = 1,
...,
N;

;

;
k = 1, ..., 2
K + 2) по рекуррентным формулам
4) Определяются величины (j = 0, 1; n = 1, ..., N)
sn = 1 -
tn;
ln = 1 -
dn;
5) Определяются комплексные коэффициенты

,

(
n = 1, ...,
N;
k = 1, ..., 2
K + 2;

) по рекуррентным формулам

;

;

;

;

.
6) Находятся действительные коэффициенты

(
j = 0, 1;
n = 1, ...,
K,
k = -
n, ..., 2
K + 2)

.
7) Определяются значения коэффициентов

,

(
j = 1, 2, 3;
n = 1, ...,
N;

)

;

;

;

;
9) Определяются действительные коэффициенты

(
j = 1, 2;
n = 1, ...,
N;

)

;

;

;

.
10) Вычисляются значения трех групп коэффициентов

(
j = 1, ..., 4;
k = 1, ..., 2
K)
- группа Ia

;

;

;

;
- группа Ib

;

;

;

;
- группа II

;

;

;

.
Далее реализуется итерационный процесс, состоящий в последовательном выполнении
пп. 10 -
16 алгоритма.
11) Определяются действительные коэффициенты
Ek,n,
Qk,n (
k = 1,
...,
K), при этом в первом приближении принимается

12) Определяются коэффициенты (
n = 1, ...,
N;
k = 1, ...,
K)

;

;

;

.
Здесь операторы "Re" и "Im" обозначают выделение действительной и мнимой частей комплексного числа соответственно.
13) Для каждой группы коэффициентов

(Ia, Ib, II) решается система уравнений

(
j = 1, 2;
n = 1, ...,
N;
k = 1, ..., 2
K)
и вычисляются комплексные коэффициенты (j = 1, ..., N)
14) Начиная со второго приближения, отличие каждого коэффициента

, вычисленного в
п. 13 алгоритма, от соответствующего коэффициента

, полученного на предыдущем шаге итерационного процесса, взятое по абсолютной величине, сравнивается с заранее заданной малой величиной

. Таким образом, проверяется условие

(
j = 1, 2;
n = 1, ...,
N;
k = 1, ...,
K).
В случае, если это условие выполняется для всех коэффициентов

, итерационный процесс считается законченным и следующим выполняется
п. 18 алгоритма. В случае, если условие не выполняется, итерационный процесс продолжается, и следующим выполняется
п. 15 алгоритма.
15) Вычисляются коэффициенты

(
j = 1, 2;
n = 1, ...,
N;
k = 1, ...,
K)

;

(
s = 1, ...,
N;

).
16) Находятся значения коэффициентов

,

(
j = 1, 2;
n, s = 1, ...,
N;

;
k = 1
, ...,
K)
17) Определяются коэффициенты

(
j = 1, ..., 4;
n = 1, ...,
N;
k = 1, ...,
K)

;

;

;
и осуществляется переход на
п. 12 алгоритма.
18) Задаются значения полярной координаты в отображаемой области

(
j = 0, ...,
n1 - 1),
где

;
n1 - число точек на контуре выработки, в которых определяются напряжения.
Далее определяются комплексные координаты (j = 0, ..., n1 - 1):
- точек единичной окружности
- точек окружности радиусом R1
- соответствующих точек наружных (s = 0) и внутренних (s = 1) контуров обделок тоннелей
19) Для каждого значения угла

определяются значения отображающих функций и их производных (
s = 0,1;
n = 1, ...,
N;
j = 0, ...,
n1)
20) Для каждой группы коэффициентов

(
j = 1, ..., 4;
k = 1, ...,
N) (Ia, Ib, II) определяются значения производных комплексных потенциалов при каждом рассматриваемом значении угла

(
s = 0, 1;
n = 1, ...,
N;
j = 0, ...,
n1)
21) Для каждого тоннеля определяются напряжения в соответствующих точках внутреннего (s = 1) и наружного (s = 0) контуров поперечного сечения обделки

.
22) В каждом нормальном сечении обделки определяются экстремальные значения нормальных тангенциальных напряжений на внутреннем и наружном контурах поперечного сечения (j = 0, ..., n1 - 1)

;

;

;

.
23) Из значений Aj, Bj, Cj, Dj выбираются наибольшее отрицательное и наибольшее положительное.
Если наибольшим отрицательным или положительным окажется одно из чисел
Aj или
Cj, определяется соответствующий ему угол падения волн

по формуле

(
j = 0, ...,
n1 - 1),
в которой полагается

, если наибольшим оказалось значение
Aj, и

, если наибольшим оказалось значение
Cj.
Если наибольшим отрицательным или положительным окажется одно из чисел
Bj или
Dj, соответствующий ему угол падения волн

определяется по формуле

(
j = 0, ...,
n1 - 1),
в которой полагается

, если наибольшим оказалось значение
Bj, и

, если наибольшим оказалось значение
Dj.
24) Для каждой обделки определяются напряжения, соответствующие максимальному сжимающему и максимальному растягивающему напряжениям, которые могут возникнуть в рассматриваемом нормальном сечении при землетрясении заданной интенсивности
Здесь под символом "

" понимается любое из отыскиваемых напряжений

,

,

,

(
j = 0, ...,
n1 - 1).
25) Для обоих полученных вариантов определяются величины усилий в рассматриваемых нормальных сечениях каждой обделки по формулам
(j = 0, ..., n1 - 1),
где

.
26) Полученные усилия соответствуют наибольшим сжимающим и растягивающим напряжениям

в нормальных сечениях обделки, полученным в предположении, что растягивающая нормальная нагрузка на конструкцию не передается. Рекомендуется использовать полученные значения усилий для проверки прочности обделок, проектируемых с допущением образования трещин.
Если предполагается, что обделка работает совместно с окружающим массивом пород, и нормальное растягивающее напряжение может передаваться на подземную конструкцию (например, обделка прианкерена к породе, выполнена из набрыз-гбетона, или проектируется без допущения образования трещин с максимальным запасом прочности), то из полученных двух пар значений усилий выбирается та пара, которая соответствует напряжениям

в обделке, большим по абсолютной величине. В качестве расчетных принимаются соответствующие эпюры усилий, взятые со знаками "+" и "-".
| | ИС МЕГАНОРМ: примечание. Нумерация пунктов дана в соответствии с официальным текстом документа. | |
| | ИС МЕГАНОРМ: примечание. Текст дан в соответствии с официальным текстом документа. | |
28) Расчетные значения напряжений умножаются на величину
P, определяемую по
формуле (7.4). Расчетные значения продольных сил умножаются на величину
PRnb, расчетные значения изгибающих моментов умножаются на величину
, где - длина рассматриваемого элемента тоннеля в продольном направлении. Как правило, принимается
b = 1 м.
Пример расчета
Ниже приведены результаты расчета бетонных обделок двух параллельных тоннелей, поперечные сечения которых показаны на
рисунке 18.2.
Рисунок 18.2 - Поперечные сечения обделок
двух параллельных тоннелей
Расчет выполнен при следующих исходных данных:
- деформационные характеристики грунта
E0 = 3000 МПа,

;
- деформационные характеристики бетона обделки
E1 =
E2 = 30000 МПа,

;
- объемный вес грунта

;
- коэффициент, учитывающий назначение сооружения K0 = 1;
- коэффициент, учитывающий допускаемые повреждения K1 = 0,25;
- коэффициент, учитывающий интенсивность землетрясения A = 0,4;
- преобладающий период колебания грунта T0 = 0,5 с.
Число членов, удерживаемых в рядах разложения комплексных потенциалов, N = 40.
Коэффициенты отображающей функции, полученные по алгоритму
Приложения Г, одинаковые для внутренних контуров обделок рассматриваемых тоннелей, равны
b0 = 2,711504; b1 = -0,141401;
b2 = 0,145695; b3 = 0,090228;
b4 = -0,092452; b5 = 0,063711;
b6 = -0,024823.
На
рисунках 18.3,
18.4 приводятся результаты расчета обделки левого тоннеля - эпюры нормальных тангенциальных напряжений на внутреннем

и

контурах поперечного сечения обделки, изгибающих моментов
M и продольных сил
N, соответствующих максимальным растягивающим и сжимающим напряжениям в нормальных сечения конструкции.
Рисунок 18.3 - Напряжения и усилия в обделке левого тоннеля,
соответствующие максимальным растягивающим напряжениям
в нормальных сечениях конструкции
Рисунок 18.4 - Напряжения и усилия в обделке левого тоннеля,
соответствующие максимальным сжимающим напряжениям
в нормальных сечениях конструкции
Представленные на
рисунках 18.3,
18.4 результаты справедливы для обделки правого тоннеля (с учетом симметрии расчетной схемы).
19 Рекомендации по применению численных методов при расчете обделок тоннелей на сейсмические воздействия землетрясений
19.1 Численные методы компьютерного моделирования напряженного состояния обделок тоннелей, сооружаемых закрытым способом в сейсмоопасных районах, рекомендуется использовать при расчете сложных подземных конструкций, при известном состоянии и строении массива, в том числе с целью уточнения результатов, полученных с применением методик, представленных в
разделах 8 -
18.
19.2 Если параметры сейсмического воздействия не известны, моделирование следует производить в квазистатической постановке при загружении границ плоской компьютерной модели напряжениями, определяемыми в соответствии с
п. 7.18.
19.3 В случае отсутствия данных о положении очага землетрясения в процессе моделирования сейсмического воздействия следует рассматривать различные геомеханические ситуации и в качестве расчетных принимать огибающие эпюр максимальных напряжений и усилий, которые могут возникать в подземной конструкции при всех возможных сочетаниях одновременно приходящих сейсмических волн разного характера любого направления в плоскости поперечного сечения сооружения.
19.4 Следует рассматривать достаточно большие области моделирования геомеханической системы "обделка - массив грунта" с тем, чтобы размер компьютерной модели по возможности превышал пять максимальных поперечных размеров сооружения или комплекса сооружений.
19.5 При моделировании воздействия ПЗ в линейно-упругой постановке следует рассматривать три варианта нагружения компьютерной модели (три задачи), расчетные схемы которых показаны на
рис. 19.1 и для каждой модели определять напряженное состояние

,

,

. Здесь символом

обозначены все компоненты тензора напряжений в заданной точке модели, величина
P определяется по формуле
п. 7.18.1.
Рисунок 19.1 - Расчетные схемы к определению компонент
тензора напряжений:
а - в задаче I; б - в задаче II; в - в задаче III
Экстремальные напряжения в обделке находятся с использованием выражения

(19.1)
где

- нормальные тангенциальные (окружные) напряжения в рассматриваемой точке обделки;

;

- коэффициент Пуассона массива грунта.
Одно из полученных значений напряжений (с тем или иным знаком перед вторым слагаемым) дает

, другое -

.
Для оценки наиболее неблагоприятных напряжений

в обделке необходимо для каждого сечения произвести вычисления по формуле (1), беря в качестве

его значения на внешнем и внутреннем контурах поперечного сечения -

,

и из четырех полученных значений выбрать большее по абсолютной величине. Как правило, оно получается на внутреннем контуре и имеет знак "-" (при рассмотрении сочетания воздействий, показанных на
рисунке 19.1).
Полученные напряжения принимаются со знаками "+" и "-" и суммируются с напряжениями от других видов воздействий в самом неблагоприятном сочетании (см.
п. 7.26).
20 Методика расчета обделок тоннелей мелкого заложения, сооружаемых закрытым способом
20.1 Методика предназначена для расчета замкнутых монолитных обделок тоннелей, сооружаемых закрытым способом вблизи земной поверхности.
20.2 Методика применима для приближенного расчета сборных обделок, монтируемых с перевязкой стыков.
20.3 Обделка рассматривается как замкнутая конструкция заданной толщины и конфигурации, работающая в упругой стадии деформирования в условиях полного контакта с массивом грунта.
20.4 Методика позволяет определять напряжения и усилия в обделках тоннелей с учетом влияния земной поверхности при действии длинных продольных и поперечных сейсмических волн заданного направления, а также напряжения и усилия в конструкции, соответствующие наиболее неблагоприятному напряженному состоянию, которое может возникнуть в нормальных сечениях подземных конструкций при землетрясении заданной интенсивности.
20.5 Напряженное состояние обделки тоннеля при действии продольной волны, направленной под произвольным углом

к вертикали, определяют из решения плоской квазистатической задачи теории упругости для кольца произвольной формы, подкрепляющего отверстие в линейно-деформируемой среде при действии на бесконечности напряжений, определяемых
формулами (7.4), в соответствии с расчетными схемами, представленными на
рисунке 20.1 а, б
[17].
Рисунок 20.1 - Расчетные схемы к определению напряженного
состояния обделки тоннеля мелкого заложения кругового (а)
и некругового (б) поперечных сечений
при действии продольной волны
Напряженное состояние обделки тоннеля при действии поперечной волны, направленной под произвольным углом

к вертикали, определяют из решения плоской квазистатической задачи теории упругости для кольца, подкрепляющего отверстие в линейно-деформируемой среде при действии на бесконечности напряжений, определяемых
формулами (7.6), в соответствии с расчетными схемами, представленными на
рисунке 20.2 а, б.
Рисунок 20.2 - Расчетные схемы к определению напряженного
состояния обделки тоннеля мелкого заложения
кругового (а) и некругового (б) поперечных
сечений при действии поперечной волны
20.6 Массив грунта моделируется полубесконечной однородной линейно-деформируемой средой
S0, деформационные свойства которой характеризуются средними значениями модуля деформации
E0 и коэффициента Пуассона

. Обделка моделируется замкнутым круговым (см.
рис. 20.1 а,
20.2 а) или некруговым (см.
рис. 20.1 б,
20.2 б) кольцом
S1, материал которого обладает деформационными характеристиками
E1,
. Граничные условия рассматриваемых задач на линии контакта
L0 отражают условия непрерывности векторов напряжений и смещений; внутренний контур кольца
L1 свободен от действия внешних сил.
20.7 Расчет на сейсмические воздействия землетрясения заданной интенсивности производится на основе положений
раздела 7 в соответствии с алгоритмами, представленными ниже.
20.8 Методика применима к расчету тоннелей глубокого заложения.
Алгоритм расчета круговых обделок тоннелей мелкого заложения
Исходными данными для расчета являются:
R0, R1 - наружный и внутренний радиусы обделки тоннеля, м;
H - глубина заложения тоннеля;
E0 - модуль деформации грунта, МПа;

- коэффициент Пуассона грунта;
E1 - модуль деформации материала обделки, МПа;

- коэффициент Пуассона материала обделки;

- объемный вес грунта, МН/м
3;
A, K0,
K1 - коэффициенты, принимаемые в соответствии с
п. 7.18.1;
T0 - преобладающий период колебаний частиц грунта, с.
Задается число членов N, удерживаемых в рядах разложения комплексных потенциалов. Для практических расчетов достаточно принять N = 20.
Расчет состоит в выполнении следующих операций.
1) Определяются величины

(
j = 0, 1);
h = H/R0; r1 = R1/R0;
s = 1 -
t;
l = 1 -
d.
2) Определяются комплексные коэффициенты In,k (n = 0, 1, ..., 2N + 3; k = 1, ..., 2N + 3) по рекуррентным формулам
3) Определяются действительные коэффициенты

(
j, s, p = 1, 2;
k, n =
-N, ...,
N)
4) Определяются действительные коэффициенты

(
j = 1, 2;
k, n = 1, ...,
N)
5) Вычисляются значения трех групп коэффициентов

(
j, p = 1, 2;
k =
-N - 2, ...,
N + 2)
- группа Ia
- группа Ib
- группа II
Далее реализуется итерационный процесс, состоящий в последовательном выполнении
пп. 6 -
11 алгоритма.
6) Для каждой группы (Ia, Ib, II) коэффициентов

(
p, j = 1, 2) определяются коэффициенты

(
j = 1, 2;
k = 1, ...,
N) по следующим формулам
при этом в первом приближении принимается
.
7) Решаются две независимые системы линейных алгебраических уравнений вида

(
k = 1, ..., 2
N;
j = 1, 2)
, правые части которых определяются для каждой из трех групп (Ia, Ib, II) величин
.
8) Вычисляются комплексные коэффициенты (
k = 1, ...,
N) для каждой группы Ia, Ib, II свободных членов
9) Начиная со второго приближения для каждой группы Ia, Ib, II отличие каждого коэффициента

, вычисленного в
п. 8 алгоритма, от соответствующего коэффициента

, полученного на предыдущем шаге итерационного процесса, взятое по абсолютной величине, сравнивается с заранее заданной малой величиной

. Таким образом, проверяется условие

(
j = 1, 2;
k = 1, ...,
N)
.
В случае, если условие выполняется для всех коэффициентов

, то итерационный процесс считается законченным и следующим выполняется
п. 12 алгоритма. В случае, если условие не выполняется хотя бы для одного из коэффициентов, итерационный процесс продолжается, и следующим выполняется
п. 10 алгоритма.
10) Вычисляются действительные коэффициенты
(j, p = 1, 2;
k = 1, ...,
N) для каждой группы Ia, Ib, II
11) Для каждой группы Ia, Ib, II определяются действительные коэффициенты

(
j,
p = 1, 2;
k =
-N - 2,
...,
N + 2)
Затем снова определяются правые части систем уравнений в
п. 6 алгоритма.
12) Для каждой группы (Ia, Ib, II) полученных решений системы уравнений вычисляются действительные коэффициенты
и соответствующие им комплексные коэффициенты
13) Задаются значения углов, определяющих положения расчетных радиальных сечений (j = 0, ..., n1 - 1)

(
j = 0, ...,
n1 - 1),
где

;
n1 - число точек на контуре выработки, в которых определяются напряжения.
Далее определяются комплексные координаты:
- точек единичной окружности
- точек окружности радиусом r1
- соответствующих точек наружного (s = 0) и внутреннего (s = 1) контуров обделки
14) Для каждой группы (Ia, Ib, II) коэффициентов

(
p = 1
, 2;
k = 1, ...,
N) определяются значения производных комплексных потенциалов при каждом рассматриваемом значении угла


(
s = 0, 1;
j = 0, ...,
n1 - 1).
15) Для каждой группы (Ia, Ib, II) производных, полученных в
п. 14 алгоритма, определяются окружные напряжения в соответствующих точках внутреннего (
s = 1) и наружного (
s = 0) контуров поперечного сечения обделки
16) В каждом радиальном сечении обделки определяются экстремальные значения окружных напряжений на внутреннем и наружном контурах поперечного сечения (j = 0, ..., n1 - 1)
17) Из значений Aj, Bj, Cj, Dj выбираются наибольшее отрицательное и наибольшее положительное.
Если наибольшим отрицательным или положительным окажется одно из чисел
Aj или
Cj, определяется соответствующий ему угол падения волн

по формуле

(
j = 0, ...,
n1 - 1),
в которой полагается

, если наибольшим оказалось значение
Aj, и

, если наибольшим оказалось значение
Cj.
Если наибольшим отрицательным или положительным окажется одно из чисел
Bj или
Dj, соответствующий ему угол падения волн

определяется по формуле

(
j = 0, ...,
n1 - 1),
в которой полагается

, если наибольшим оказалось значение
Bj, и

, если наибольшим оказалось значение
Dj.
18) Определяются напряжения, соответствующие наиболее неблагоприятному напряженному состоянию, которое может возникнуть в рассматриваемом радиальном сечении обделки при землетрясении заданной интенсивности
Здесь под символом

понимается любое из отыскиваемых напряжений

,

,

,

(
j = 0, ...,
n1 - 1).
В результате получаются две эпюры напряжений, соответствующие наибольшим сжимающим и наибольшим растягивающим нормальным тангенциальным напряжениям в обделке тоннеля, которые могут возникнуть при одновременном действии волны сжатия и волны сдвига.
19) Для обоих полученных вариантов определяются величины усилий и по формулам

(
j = 0, ...,
n1 - 1),
где
.
20) Полученные усилия соответствуют наибольшим сжимающим и растягивающим напряжениям

в обделке тоннеля, вычисленным в предположении, что растягивающая нормальная нагрузка на конструкцию не передается. Рекомендуется использовать полученные значения усилий для проверки прочности обделки, проектируемой с допущением образования трещин.
Если предполагается, что обделка работает совместно с окружающим массивом пород, и нормальное растягивающее напряжение может передаваться на подземную конструкцию (например, обделка прианкерена к породе, выполнена из набрызг-бетона, или проектируется без допущения образования трещин с максимальным запасом прочности), то из полученных двух пар значений усилий выбирается та пара, которая соответствует напряжениям

в обделке, большим по абсолютной величине. В качестве расчетных принимаются соответствующие эпюры усилий, взятые со знаками "+" и "-".
21) Расчетные значения напряжений умножаются на величину
P, определяемую по
формуле (7.4). Расчетные значения продольных сил умножаются на величину
PR0b, расчетные значения изгибающих моментов умножаются на величину

, где
b - длина рассматриваемого элемента тоннеля в продольном направлении. Как правило, принимается
b = 1 м.
Пример расчета круговых обделок тоннелей мелкого заложения
Исходные данные:
- глубина заложения тоннеля H = 6 м;
- наружный радиус обделки R0 = 4,25 м;
- внутренний радиус обделки R1 = 3,9 м;
- деформационные характеристики грунта
E0 = 500 МПа;

;
- деформационные характеристики бетона обделки
E1 = 20000 МПа;

;
- объемный вес грунта

;
- коэффициент, учитывающий назначение сооружения K0 = 1;
- коэффициент, учитывающий допускаемые повреждения K1 = 0,25;
- коэффициент, учитывающий интенсивность землетрясения A = 0,4;
- преобладающий период колебания грунта T0 = 0,5 с.
На
рисунке 20.3 а, б приводятся результаты расчета обделки кругового тоннеля мелкого заложения - эпюры окружных напряжений на внутреннем

и

контурах поперечного сечения обделки, изгибающих моментов
M и продольных сил
N, соответствующих максимальным растягивающим и сжимающим напряжениям в радиальных сечениях конструкции.
Рисунок 20.3 - Напряжения и усилия в обделке кругового
тоннеля, соответствующие максимальным растягивающим (а)
и максимальным сжимающим (б) напряжениям в радиальных
сечениях конструкции
Алгоритм расчета некруговых обделок тоннелей мелкого заложения
Исходными данными для расчета являются:
- форма и размеры внутреннего контура поперечного сечения обделки.
E0 - модуль деформации грунта, МПа;

- коэффициент Пуассона грунта;
E1 - модуль деформации материала обделки, МПа;

- коэффициент Пуассона материала обделки;

- толщина обделки в своде, м;
H - глубина заложения тоннеля, м;

- объемный вес грунта, МН/м
3;
A, K0,
K1 - коэффициенты, принимаемые в соответствии с
п. 7.18.1;
T0 - преобладающий период колебаний частиц грунта, с.
Задается число членов N, удерживаемых в рядах разложения комплексных потенциалов в зависимости от очертания обделки тоннеля, для практических расчетов достаточно принять N = 30.
1) Производится конформное отображение внешности единичного круга на внешность внутреннего контура поперечного сечения обделки и определяется массив коэффициентов
bk (
k = 0, 1, ...,
m + 1) отображающей функции в соответствии с
Приложением Г.
Определяются комплексные коэффициенты
2) Численно решается уравнение
где h* - расстояние от начала координат до верхней точки пересечения внутреннего контура поперечного сечения обделки с вертикалью.
В качестве величины R* принимается действительный корень решаемого уравнения, больший единицы.
3) Определяются комплексные коэффициенты

,

(
k = 1, ..., 2
N + 2;

) по рекуррентным формулам
4) Определяются величины

(
j = 0, 1);
s = 1 -
t;
l = 1 -
d.
5) Находятся комплексные коэффициенты

(
j = 0, 1;
k =
-n, ..., 2
N + 2)
6) Определяются комплексные коэффициенты In,k (n = 0, ..., 2N + 3; k = 1, ..., 2N + 3)
где
h =
H/
R;

.
7) Определяются значения комплексных коэффициентов

,

(
j = 1, 2, 3;

)
8) Определяются коэффициенты систем линейных алгебраических уравнений

Здесь операторы "Re" и "Im" обозначают выделение соответственно действительной и мнимой частей комплексного числа.
9) Вычисляются значения трех групп комплексных коэффициентов

(
j = 1, ..., 4;
k = 1, ..., 2
N)
- группа Ia
- группа Ib
- группа II
Далее реализуется итерационный процесс, состоящий в последовательном выполнении
пп. 10 -
16 алгоритма.
10) Определяются комплексные коэффициенты
Ek, Qk (
k = 1, ...,
N), при этом в первом приближении принимается

11) Определяются действительные коэффициенты (k = 1, ..., N)
Bk = ReEk; Bk+N = ImEk;
Bk+2N = ReQk; Bk+3N = ImQk.
12) Для каждой группы коэффициентов

(Ia, Ib, II) решается система уравнений

(
k = 1, ..., 4
N)
и вычисляются комплексные коэффициенты (j = 1, ..., N)
13) Начиная со второго приближения, отличие каждого коэффициента

, вычисленного в
п. 12 алгоритма, от соответствующего коэффициента

, полученного на предыдущем шаге итерационного процесса, взятое по абсолютной величине, сравнивается с заранее заданной малой величиной

. Таким образом, проверяется условие

(
j = 1, 2;
k = 1, ...,
N).
В случае, если это условие выполняется для всех коэффициентов

, итерационный заканчивается, и следующим выполняется
п. 17 алгоритма. В противном случае итерационный процесс продолжается, и следующим выполняется
п. 14 алгоритма.
14) Вычисляются коэффициенты

(
j = 1, ..., 4;
k = 1, ...,
N)
15) Находятся значения коэффициентов

,

(
j = 1, 2;
k = 1, ...,
N)
16) Определяются коэффициенты

(
j = 1, ..., 4;
k = 1, ..., 2
N)
и осуществляется переход на
п. 12 алгоритма.
17) Задаются значения углов, определяющих положения расчетных радиальных сечений (
j = 0, ...,
n1 - 1)

(
j = 0, ...,
n1 - 1),
где

;
n1 - число точек на контуре выработки, в которых определяются напряжения.
Далее определяются комплексные координаты (j = 0, ..., n1 - 1):
- точек единичной окружности
- точек окружности радиусом r1
- соответствующих точек наружного (s = 0) и внутреннего (s = 1) контуров обделки
18) Для каждого значения угла

(
j = 0, ...,
n1 - 1) определяются следующие комплексные величины
19) Для каждой группы коэффициентов

,

(
k = 1, ...,
N) (Ia, Ib, II) определяются комплексные величины при каждом рассматриваемом значении угла

(
j = 0, ...,
n1 - 1)
20) Определяются напряжения в соответствующих точках внутреннего (s = 1) и наружного (s = 0) контуров поперечного сечения обделки
21) В каждом нормальном сечении обделки определяются экстремальные значения нормальных тангенциальных напряжений на внутреннем и наружном контурах поперечного сечения (j = 0, ..., n1 - 1)
22) Из значений Aj, Bj, Cj, Dj выбираются наибольшее отрицательное и наибольшее положительное.
Если наибольшим отрицательным или положительным окажется одно из чисел
Aj или
Cj, определяется соответствующий ему угол падения волн

по формуле

(
j = 0, ...,
n1 - 1),
в которой полагается

, если наибольшим оказалось значение
Aj, и

, если наибольшим оказалось значение
Cj.
Если наибольшим отрицательным или положительным окажется одно из чисел
Bj или
Dj, соответствующий ему угол падения волн

определяется по формуле
в которой полагается

, если наибольшим оказалось значение
Bj, и

, если наибольшим оказалось значение
Dj.
23) Определяются напряжения, соответствующие наиболее неблагоприятному напряженному состоянию, которое может возникнуть в рассматриваемом нормальном сечении обделки при землетрясении заданной интенсивности
Здесь под символом "

" понимается любое из отыскиваемых напряжений

,

,

,

(
j = 0, ...,
n1 - 1).
В результате получаются две эпюры напряжений, соответствующие наибольшим сжимающим и наибольшим растягивающим нормальным тангенциальным напряжениям в обделке тоннеля, которые могут возникнуть при одновременном действии волны сжатия и волны сдвига.
24) Для обоих полученных вариантов определяются величины усилий в рассматриваемых нормальных сечениях каждой обделки по формулам
(j = 0, ..., n1 - 1),
где

.
25) Полученные усилия соответствуют наибольшим сжимающим и растягивающим напряжениям

в обделке тоннеля, вычисленным в предположении, что растягивающая нормальная нагрузка на конструкцию не передается. Рекомендуется использовать полученные значения усилий для проверки прочности обделки, проектируемой с допущением образования трещин.
Если предполагается, что обделка работает совместно с окружающим массивом пород, и нормальное растягивающее напряжение может передаваться на подземную конструкцию (например, обделка прианкерена к породе, выполнена из набрызг-бетона, или проектируется без допущения образования трещин с максимальным запасом прочности), то из полученных двух пар значений усилий выбирается та пара, которая соответствует напряжениям

в обделке, большим по абсолютной величине. В качестве расчетных принимаются соответствующие эпюры усилий, взятые со знаками "+" и "-".
| | ИС МЕГАНОРМ: примечание. Текст дан в соответствии с официальным текстом документа. | |
26) Расчетные значения напряжений умножаются на величину
P, определяемую по
формуле (7.4). Расчетные значения продольных сил умножаются на величину
PRb, расчетные значения изгибающих моментов умножаются на величину
PR2b, где - длина рассматриваемого элемента тоннеля в продольном направлении. Как правило, принимается
b = 1 м.
Пример расчета обделки тоннеля некругового поперечного сечения
Ниже приведены результаты расчета бетонной обделки тоннеля, поперечное сечение которого представлено на
рисунке 20.4.
Рисунок 20.4 - Поперечное сечение обделки тоннеля
мелкого заложения
Расчет выполнен при следующих исходных данных:
- деформационные характеристики грунта
E0 = 5000 МПа,

;
- деформационные характеристики бетона обделки
E1 = 25000 МПа,

;
- объемный вес грунта

;
- глубина заложения тоннеля H = 10 м;
- коэффициент, учитывающий назначение сооружения K0 = 1;
- коэффициент, учитывающий допускаемые повреждения K1 = 0,25;
- коэффициент, учитывающий интенсивность землетрясения A = 0,4;
- преобладающий период колебания грунта T0 = 0,5 с.
Расчет выполнен в предположении, что растягивающие нормальные напряжения не передаются через линию контакта. Число членов, удерживаемых в рядах разложения комплексных потенциалов, N = 40.
Коэффициенты отображающей функции, определенные с помощью методики, описанной в
Приложении Г:
b0 = 4,930356; b1 = 0,355534;
b2 = -0,654742; b3 = 0,430812;
b4 = -0,228998; b5 = 0,079971;
b6 = 0,006938.
Величина R* равна 1,0987.
На
рисунке 20.5 а, б приводятся результаты расчета обделки тоннеля некругового поперечного сечения - эпюры нормальных тангенциальных напряжений на внутреннем

и наружном

контурах поперечного сечения обделки, изгибающих моментов
M и продольных сил
N, соответствующих максимальным растягивающим и сжимающим напряжениям в нормальных сечениях конструкции.
Рисунок 20.5 - Напряжения и усилия в обделке тоннеля,
соответствующие максимальным растягивающим (а)
и максимальным сжимающим (б) напряжения
в нормальных сечениях конструкции
21 Рекомендации по расчету обделок тоннелей, сооружаемых открытым способом
21.1 Расчет должен учитывать особенности технологии строительства тоннелей открытым способом, размеры котлована и способы крепления его откосов, конструктивные решения обделок, в том числе - сборных, различие физико-механических свойств грунтов в естественном состоянии и в засыпке, отсутствие полного контакта подземных конструкций с грунтовым массивом.
21.2 Расчет обделки производится на сейсмические нагрузки, действующие в плоскости поперечного сечения подземного сооружения, с учетом сил инерции, возникающих в элементах конструкции, и сил динамического давления масс грунта.
21.3 При расчете обделок тоннелей, сооружаемых в котловане с последующей засыпкой грунтом толщиной
H (рис. 21.1), эпюры нагрузок
qГ по высоте
h вертикальных элементов обделки от массы грунта в пазухах имеют треугольный, либо трапецеидальный вид, эпюры инерционного давления

от сейсмических воздействий являются нелинейными (синусоидальными) [
4,
8].
Рисунок 21.1 - Вид расчетных эпюр нагрузок от веса грунта
qГ
и инерционного сейсмического давления

21.4 Расчет обделок допускается производить в квазистатической либо динамической постановках с использованием решений соответствующих задач строительной механики на основе схем нагрузок, аналогичных приведенным на
рис. 21.1.
21.5 При использовании решений задач в квазистатической постановке для определения напряженного состояния обделок рекомендуется применять принципиальные расчетные схемы в предположении вертикального (
рисунок 21.2, а) и горизонтального (
рисунок 21.2, б) направлений сейсмического воздействия.
Рисунок 21.2 - Расчетные схемы к квазистатическому
определению напряженного состояния обделок тоннелей
при сейсмических воздействиях:
а - вертикальных; б - горизонтальных
21.5.1 Вертикальные

,

и горизонтальные

,

составляющие инерционных нагрузок
Si от собственной массы элементов обделки тоннеля и
Qi от массы грунта за обделкой
(рис. 21.2) определяют в соответствии с
п. 5.5 СП 14.13330.2014.
21.5.2 Инерционная нагрузка

от бокового давления грунта вычисляется по формуле
где

- сейсмическое инерционное горизонтальное давление грунта;

- коэффициент трения грунта по материалу обделки или гидроизоляции.
21.5.3 Инерционная нагрузка

от массы грунта, расположенного на перекрытии, вычисляется по формуле
где

- плотность грунта;
коэффициенты
A,
K0,
K1 определяются в
п. 7.18.1. Со стороны основания приложена реакция
Ry.
21.5.4 Инерционные нагрузки

в горизонтальном направлении от массы элементов обделки определяются в соответствии с
ВСН 193-81 [2].
21.5.5 Инерционные нагрузки следует прикладывать либо в центре тяжести соответствующего элемента обделки
(рисунок 21.2), либо считать распределенными по длине элемента.
21.6 В динамической постановке учет инерционных свойств грунта осуществляется путем рассмотрения колебаний отдельных элементов обделки совместно с грунтом как некоторой присоединенной массы на основе решения дифференциальных уравнений колебаний элементов с учетом граничных условий и условий сопряжения силовых и кинематических факторов в стыках между элементами.
21.7 При определении сейсмической нагрузки необходимо учитывать сейсмичность площадки строительства и сейсмостойкость обделки
(раздел 7), а также не менее 5 форм собственных колебаний конструкции (для плоской модели).
21.8 Расчет может выполняться с использованием компьютерных программ, реализующих решения динамических задач методом конечных элементов.
21.8.1 Обделка и массив грунта моделируются соответствующими линейно-деформируемыми средами при расчете на воздействия ПЗ. Расчетные модели при рассмотрении воздействия МРЗ должны учитывать возможность развития неупругих деформаций и локальных хрупких разрушений.
21.8.2 Конечно-элементную модель протяженных тоннелей следует принимать плоской. Пространственная компьютерная модель может использоваться при необходимости уточнения полученных результатов.
21.8.3 Размеры и степень дискретизации рассматриваемой области, а также условия, задаваемые на ее границах, должны обеспечивать требуемую точность расчетов. Границы модели следует удалять от ближайшего элемента, моделирующего конструкцию подземного сооружения, на расстояние не менее 6D где D - наибольший поперечный размер сооружения (комплекса сооружений).
Пример расчета
В качестве примера приведен расчет обделки тоннеля на действие инерционных сил. Расчетная схема обделки приведена на
рис. 21.3.
Исходные данные:
- моменты инерции элементов стен J1 = 1,3·10-4 м4;
- моменты инерции элементов лотка и перекрытия - J2 = 3,3·10-4 м4;
- модуль деформации обделки E1 = 3,5·104 МПа;
- объемный вес грунта 18 кН/м3;
- угол внутреннего трения грунта 24°;
- коэффициент постели грунта в лотке

;
- коэффициенты постели грунта засыпки за стенами

;
- преобладающий период колебаний частиц пород T0 = 0,5 с;
- коэффициент, учитывающий назначение сооружения K0 = 1;
- коэффициент, учитывающий допускаемые повреждения K1 = 0,25;
- коэффициент, учитывающий интенсивность землетрясения A = 0,4.
Рисунок 21.3 - Расчетная схема обделки тоннеля
Результаты расчета получены с использованием алгоритма и компьютерной программы, разработанных в ЦНИИС. Расчетные эпюры изгибающих моментов представлены на
рисунке 21.4.
Рисунок 21.4 - Эпюры изгибающих моментов
M, кНм:
а - при основном (сплошные линии) и особом (штриховые линии)
сочетании нагрузок; б - для особого сочетания при жестком
(сплошные линии) и шарнирном (штриховые линии) сочетаниях
сопряжения верхнего ригеля со стенами
22 Методика расчета целиков и оптимизация компоновки параллельных тоннелей
22.1 Расчет целиков между параллельными взаимовлияющими выработками
(рис. 22.1) производится в целях проверки прочности целиков при их заданных размерах и состоит в определении коэффициента запаса прочности каждого целика по формуле
[15]

(
i = 1, 2, ...,
N - 1),
где N - число выработок;
Ki,i+1 - коэффициент запаса прочности целика между i-той и i + 1-той выработками;

- максимальные сжимающие средние
вертикальные напряжения в целике между i-той и i + 1-той выработками от суммарного действия собственного веса пород и сейсмических воздействий землетрясении;

- максимальные растягивающие (при их наличии) вертикальные напряжения в целике между
i-той и
i + 1-той выработками от суммарного действия собственного веса пород и сейсмических воздействий землетрясений;

- прочность породы целика между
i-той и
i + 1-той выработками на одноосное сжатие;

- прочность породы целика между
i-той и
i + 1-той выработками на одноосное растяжение.
Рисунок 22.1 - Расчетные схемы для определения напряжений
от действия произвольно направленных сейсмических волн:
а - продольной; б - поперечной
22.2 Максимальные средние вертикальные напряжения в каждом целике (под средним напряжением понимается отношение интеграла напряжений в целике к его ширине) складываются из средних напряжений, вызываемых действием собственного веса пород

, и максимальных средних напряжений

, которые могут возникать в целике при различных сочетаниях и направлениях длинных сейсмических продольных и поперечных волн, распространяющихся в плоскости поперечного сечения комплекса выработок.
22.3 Для определения средних напряжений в целиках от действия длинных падающих под произвольным углом

к горизонтали продольных и поперечных волн используются решения двух плоских квазистатических задач теории упругости для среды, моделирующей массив пород, имеющей модуль деформации
E0 и коэффициент Пуассона

. Среда ослаблена конечным числом круговых отверстий разных радиусов с центрами, произвольно расположенными на одной горизонтальной прямой. Расчетные схемы приведены соответственно на
рис. 22.1 а, б.
Напряжения на бесконечности определяются в соответствии с
п. 7.18.
Средние вертикальные напряжения в целиках от действия длинных произвольно направленных продольной и поперечной волн

,

определяются по формулам
где

,

- вертикальные напряжения в целике между
i-той и
i + 1-той выработками соответственно от продольной и поперечной волны.
22.4 Для определения максимальных средних напряжений в целиках от сейсмических воздействий

сумма и разность выражений
п. 22.3, характеризующие напряженное состояние целиков при совместном действии одновременно приходящих (худший случай) произвольно направленных продольных и поперечных волн, в каждом целике исследуются на экстремум по углу падения волн

.
Для этого решаются уравнения

(
i = 1, 2, ...,
N - 1),
откуда для каждого целика определяются сочетание волн и угол их падения

, при которых средние напряжения в данном целике максимальные по абсолютной величине, а затем находится величина максимальных средних напряжений
22.5 Средние напряжения в целиках от действия собственного веса пород

определяются из решения задачи, расчетная схема которой приведена на
рис. 22.1 а, при
где H - глубина заложения выработок;

- коэффициент бокового давления в ненарушенном массиве пород.
22.6 Максимальные сжимающие и растягивающие (при их наличии) средние напряжения в целиках от собственного веса пород и сейсмических воздействий, используемые в соотношении
п. 22.1, определятся соответственно по формулам
Если оба полученные значения

,

отрицательны (в целике могут возникать только сжимающие напряжения), то коэффициент запаса прочности целика определяется по формуле

(
i = 1, 2, ...,
N - 1).
22.7 Оптимизация компоновки параллельных тоннелей в сейсмических районах производится на основании решения задачи поиска таких целиков
S1,2,
S2,3, ...,
SN-1,N, для которых выполнялись условия
Ki,i+1 (S1,2, S2,3, ..., SN-1,N) = Ci,i+1
(i = 1, 2, ..., N - 1),
где Ci,i+1 - коэффициент запаса прочности целика между i-й и i + 1-й выработками. Оптимизация компоновки параллельных тоннелей реализована в виде компьютерной программы.
22.8 При расчете целиков или оптимизации расстояний между взаимовлияющими параллельными выработками некругового поперечного сечения в расчетных схемах, приведенных на
рисунке 22.1, радиусы следует принимать равными полупролетам выработок. При этом область применения методики (с погрешностью не превышающей 10%) при проектировании тоннелей некругового поперечного сечения приведена на
рис. 22.2, где
h/
d - отношение высоты выработки к ее пролету;
s/
d - относительная ширина целика между выработками.
Рисунок 22.2 - Область применения методик расчета целиков
и оптимизации компоновки параллельных тоннелей
в сейсмоопасных районах
22.9 Для приближенной оценки прочности целика и определения минимального сейсмобезопасного расстояния между двумя параллельными тоннелями разных размеров используются номограммы, приведенные на
рисунке 22.3.
Рисунок 22.3 - Зависимости средних напряжений в массиве
пород между двумя выработками от относительного
расстояния между их центрами:
а - при действии собственного веса пород;
б - при сейсмических воздействиях
Приведенные зависимости относительных величин средних напряжений, вызываемых собственным весом пород

(
рис. 22.3 а) и сейсмическими воздействиями

(
рис. 22.3 б), от относительного расстояния между их центрами тоннелей
L/
R2 (
L - расстояние между центрами) получены при различных отношениях радиусов тоннелей
R1/
R2, изменяющихся от 0,1 (кривые 1) до 1,0 (кривые 10) с шагом 0,1.
22.10 Средние напряжения в целике от собственного веса пород и сейсмических воздействий определяются по формулам
где

,

- величины, определяемые из графиков, приведенных на
рис. 22.3.
22.11 Максимальные напряжения в целиках от суммарного действия веса пород и сейсмических воздействий определяются согласно
п. 22.6.
22.12 Для определения минимальной сейсмобезопасной ширины целика между тоннелями используется итерационный процесс, заключающийся в пошаговом подборе расстояния
L между центрами тоннелей на основании оценки прочности целика. В качестве начального приближения принимается
После подбора расстояния между центрами определяется ширина целика
S = L - R1 - R2.
Примеры расчета
Пример 1. Определение коэффициента запаса прочности для целика между транспортным тоннелем и параллельной ему дренажно-вентиляционной штольней.
Исходные данные
- радиусы выработок R1 = 4,44 м; R2 = 2,50 м;
- ширина целика S1,2 = 8 м;
- прочность породы целика

;
- коэффициент бокового давления в массиве пород

;
- объемный вес пород

;
- глубина заложения тоннеля H = 80 м;
- модуль деформации пород
E0 = 4000 МПа; коэффициент Пуассона

;
- коэффициент, учитывающий назначение сооружения K0 = 1;
- коэффициент, учитывающий допускаемые повреждения K1 = 0,25;
- коэффициент, учитывающий интенсивность землетрясения A = 0,2;
- преобладающий период колебания грунта T0 = 0,5 с.
В результате определения напряженного состояния целика для заданного расположения тоннелей получена величина максимальных средних напряжений в целике

(растягивающие напряжения в целике отсутствуют). Коэффициент запаса прочности целика при этом
K = 0,746.
Пример 2. При исходных данных примера 1 требуется определить минимальное сейсмобезопасное расстояние между транспортным тоннелем и параллельной ему дренажно-вентиляционной штольней при коэффициенте запаса прочности C1,2 = 1,0.
В результате расчета в соответствии с
п. 22.7 настоящей методики минимальная сейсмобезопасная ширина целика должна быть
S1,2 = 28,66 м.
Пример 3. Определение ширины целика S1,2 между двумя параллельными тоннелями, обеспечивающей его сохранность с коэффициентом запаса прочности C1,2 = 1,0.
Исходные данные:
- радиусы выработок R1 = 2,30 м; R2 = 4,0 м;
- прочность породы целика

;
- коэффициент бокового давления в массиве пород

;
- объемный вес пород

;
- глубина заложения тоннеля H = 60 м;
- модуль деформации пород
E0 = 5000 МПа; коэффициент Пуассона

;
- коэффициент, учитывающий назначение сооружения K0 = 1;
- коэффициент, учитывающий допускаемые повреждения K1 = 0,25;
- коэффициент, учитывающий интенсивность землетрясения A = 0,4;
- преобладающий период колебания грунта T0 = 0,5 с.
В качестве начального приближения расстояние между центрами тоннелей принимается на основании
п. 22.12. Значение

находится из
рисунка 22.3 а путем интерполяции значений для двух ближайших отношений
R1/
R2. Используя найденное значение

и, учитывая, что

, окончательно получим

. Аналогичным образом из графиков на
рис. 22.3 б получим

. Согласно
п. 7.18.1 определим значение
P = 0,289 МПа и величину

. После сложения

со значением

, взятым со знаками "-" и "+", и анализа полученных сумм (см.
п. 22.6 настоящей методики), получим

и

. Таким образом, максимальное значение среднего сжимающего напряжения в целике равно

, коэффициент запаса прочности
K1,2 = 0,95.
Полученное значение K1,2 показывает, что при принятом значении ширины целика между тоннелями S = L - R1 - R2 = 3,3 м, целик обладает недостаточным коэффициентом запаса прочности.
Увеличив значение
L, например, до 10 м (при этом
S1,2 = 3,7 м) и выполнив операции, аналогичные описанным выше, получим

и
K1,2 = 1,0. Таким образом, при ширине целика
S1,2 = 3,5 м обеспечивается его сохранность с требуемым коэффициентом запаса прочности.
23 Рекомендации по расчету обделок тоннелей, расположенных в трансверсально-изотропном массиве пород
23.1 Для расчета обделок тоннелей, пройденных в трансверсально-изотропном массиве пород, допускается использовать решения соответствующих квазистатических задач при выполнении условия (

,

)
где E0,1, E0,2 - модули деформации грунта в плоскости изотропии и в направлении, перпендикулярном ей;

- модуль деформации грунта в направлении, определяемом углом

к плоскости изотропии;

- коэффициент поперечного сжатия (растяжения) в направлении, перпендикулярном плоскости изотропии, при растяжении (сжатии) в плоскости изотропии;
D - диаметр выработки.
23.2 Массив грунта моделируется линейно-деформируемой однородной трансверсально-изотропной средой, деформационные свойства которой характеризуются соответственно средними значениями модулей деформации
E0,1,
E0,2, коэффициентов поперечного сжатия (растяжения) в плоскости изотропии

и направлении, перпендикулярном плоскости изотропии

, при растяжении (сжатии) в плоскости изотропии, и модуля сдвига
G0,2 в плоскостях, перпендикулярных плоскости изотропии.
23.3 Расчет обделки выполняют для условий плоской деформации (тоннель пройден параллельно плоскости изотропии), т.к. в этом случае анизотропия грунтового массива оказывает наибольшее влияние на напряженное состояние обделки.
23.4 Напряженное состояние обделки тоннеля при совместном действии продольной и поперечной волн, направленных под произвольным углом

к горизонтали, определяют из решения плоской контактной задачи теории упругости для кольца, подкрепляющего отверстие в линейно-деформируемой трансверсально-изотропной среде, при действии на бесконечности напряжений

,

,

, определяемых в соответствии с теорией сейсмонапряженного состояния трансверсально-изотропного массива. Расчетная схема представлена на
рисунке 23.1 [
4,
5].
Рисунок 23.1 - Расчетная схема к определению
напряжений в обделке тоннеля, пройденного
в трансверсально-изотропном массиве
Обделка моделируется упругим кольцом
S1 из материала с деформационными характеристиками
E1,

, подкрепляющим отверстие в трансверсально-изотропной среде
S0. Плоскость изотропии
Ox1 среды
S0 образует с горизонталью угол

.
23.5 Оценка наиболее неблагоприятного напряженного состояния обделки тоннеля производится на основе построения огибающей эпюр максимальных сжимающих и растягивающих напряжений, которые могут возникнуть в радиальных сечениях обделки тоннеля при землетрясении заданной интенсивности.
23.6 Огибающая эпюр напряжений строится по результатам многовариантных расчетов, выполняемых при разных направлениях распространения сейсмических волн относительно плоскости изотропии и разных сочетаниях продольной и поперечной волн.
Пример расчета
Исходные данные:
- деформационные характеристики грунта
E0,1 = 10740 МПа;
E0,2 = 5230 МПа;
G0,2 = 1200 МПа;

;

;
- объемный вес пород

;
- угол наклона плоскости изотропии к горизонтали

;
- преобладающий период колебаний частиц пород T0 = 0,5 с;
- коэффициент, учитывающий назначение сооружения K0 = 1;
- коэффициент, учитывающий допускаемые повреждения K1 = 0,25;
- коэффициент, учитывающий интенсивность землетрясения A = 0,4.
При расчете принималось, что жесткость обделки тоннеля много выше жесткости окружающего грунта. Результаты расчета - радиальные напряжения

на контакте "обделка-массив", полученные при действии горизонтально направленной продольной волны, приведены на
рис. 23.2. Пунктирной линией даны аналогичные напряжения, полученные для случая изотропного массива.
Рисунок 23.2 - Эпюры радиальных напряжений на контакте
обделки тоннеля с анизотропным массивом пород
24 Рекомендации по проектированию порталов и припортальных подпорных стен
24.1 Конструирование и расчет порталов следует производить в соответствии с требованиями
СП 122.13330.2012, а припортальных подпорных стен в соответствии с
ВСН 167-70 [1] и рекомендациями данного раздела.
24.2 Конструкции порталов транспортных тоннелей, сооружаемых в сейсмических районах, выбираются в зависимости от устойчивости откосов, трещиноватости и физико-механических свойств пород склона горного массива, а также состояния подходов к тоннелю. Типовые схемы порталов приведены на
рис. 24.1 [4].
Рисунок 24.1 - Принципиальные схемы порталов:
а - врезные; б - наклонные; с лобовой подпорной стеной;
в - выносные с искусственной засыпкой
24.3 Порталы тоннелей должны проектироваться, как правило, железобетонными. Допускается применение бетонных порталов при сейсмичности площадки строительства не более 7 баллов и устойчивых скальных грунтах. Лобовые подпорные стены следует конструировать из железобетона с устройством ограждающего парапета, возвышающегося над поверхностью откоса не менее чем на 1 м.
24.4 Припортальные подпорные стены могут выполняться как из железобетона, так и из бетона.
24.5 При назначении места расположения портала высоту подпорных стен у откосов припортальных выемок следует принимать по данным
табл. 24.1. При невозможности выполнения таких требований необходимо уполаживать откосы или выносить портал (
рис. 24.1 б, в).
Таблица 24.1
Предельная высота припортальных подпорных стен
Материал подпорных стен | Расчетная сейсмичность площадки строительства, баллы | Высота подпорных стен, м |
железобетон | 8 | 12 |
9 | 10 |
бетон | 8 | 12 |
9 | 8 |
24.6 Для поддержания откосов припортальных выемок в зависимости от используемого материала и характера наклона передней поверхности, а также высоты стен рекомендуется применять массивные бетонные и облегченные железобетонные конструкции подпорных стен. Тип проектируемой стены, ее конструкция и размеры должны устанавливаться на основании технико-экономического анализа вариантов, составленных с учетом местных инженерно-геологических, мерзлотно-грунтовых, сейсмических и других условий.
24.7 Подпорные припортальные стены, включая фундамент, по всей высоте необходимо разделять по длине сквозными вертикальными швами на секции длиной не более 15 м, а на площадках сейсмичностью 8 и 9 баллов - длиной до 10 м. Швы следует располагать так, чтобы подошва каждой секции опиралась на однородный по степени сжимаемости грунт.
24.8 При расчете порталов и припортальных подпорных стен на устойчивость против опрокидывания с учетом сейсмического воздействия коэффициент условий работы принимают согласно
п. 9.8 ВСН 193-81
[2].
24.9 При расчетной сейсмичности площадки 9 баллов для предотвращения неблагоприятного влияния податливости основания на сейсмостойкость припортальной подпорной стены рекомендуется доводить фундамент стены до скального или полускального грунта или производить искусственное уплотнение основания.
24.10 Склоны над тоннельными порталами и откосы припортальных выемок должны быть укреплены с целью предотвращения завалов у входа в тоннель при землетрясении.
24.11 Целесообразно придание внутренней поверхности припортальной стены наклона в сторону откоса выемки.
24.12 Дренажные устройства для отвода воды из-за припортальных подпорных стен должны выполняться в соответствии с требованиями
пп. 2.16 -
2.18 ВСН 167-70
[1].
24.13 Тип нижнего строения пути, применяемый в тоннеле, должен устраиваться и за пределом портала на расстоянии не менее чем на 10 м.
25 Мониторинг состояния обделок тоннелей при строительстве и эксплуатации
25.1 Мониторинг транспортных тоннелей, эксплуатируемых в сейсмических районах, необходим для получения данных о состоянии обделок (изменения фактической геометрии, образования трещин, сколов, вывалов) и параметрах колебаний конструкций тоннелей и окружающего грунтового массива.
25.2 Состав и объем работ по мониторингу должны назначаться в зависимости от силы землетрясения, уровня ответственности тоннелей, их конструктивных особенностей, категории сложности инженерно-геологических условий, технологии возведения подземного сооружения и ряда других условий.
25.3 Данные сейсмического мониторинга следует учитывать при разработке дополнительных мер антисейсмической защиты, обеспечивающих долговечность объекта и безопасность движения по нему поездов и автомобилей. Расходы на сейсмометрический мониторинг несет организация, эксплуатирующая сооружение. |
25.4 Транспортные тоннели длиной более 500 м, расположенные на площадке с сейсмичностью 7 баллов и выше, должны быть оборудованы комплексами измерительной и регистрирующей аппаратуры, устройствами для записи колебаний элементов обделки во время землетрясения, которые должны передавать параметры в реальном времени с одновременной записью на магнитные носители для последующей обработки и получения необходимой информации.
25.5 Протяженные тоннели в районах сейсмичностью 8 баллов и более оборудуются инженерно-сейсмометрическими станциями для записи смещений, скоростей и ускорений элементов обделки и окружающего массива во время землетрясений.
25.6 В проектах транспортных сооружений класса сейсмостойкости I, возводимых на участках сейсмичностью более 9 баллов, следует предусматривать устройство стационарной станции инструментального сейсмического мониторинга, включая сейсмический мониторинг землетрясений, инженерно-сейсмометрический мониторинг реагирования конструкций на землетрясения, геодезический мониторинг деформирования грунта, обусловленного тектоническими процессами и землетрясениями. Примечание - Инструментальный сейсмический мониторинг может включаться в программу работ станций технического мониторинга на транспортных объектах. 25.7 Проект станции разрабатывается по утвержденному заказчиком техническому заданию генерального проектировщика, согласованному организацией, принимающей на себя эксплуатацию станции. |
25.8 Проект станции инструментального сейсмического мониторинга должен иметь общую схему размещения измерительных пунктов и регистрирующего комплекса, полный перечень оборудования и приборов, строительную часть, включающую рабочие чертежи размещения и крепления приборов, вспомогательного оборудования, кабельных линий, а также чертежи основных и вспомогательных помещений.
25.9 Станция инструментального сейсмического мониторинга в тоннелях должна предусматривать обустройство измерительных пунктов вблизи портала, непосредственно в тоннеле с учетом различного конструктивного выполнения обделок, над тоннелем в месте наибольшей глубины заложения. В случае значительной длины тоннеля, пересекающего напластования пород разных видов, при наличии действующих тектонических подвижек и в других случаях на основании специального технико-экономического и сейсмологического обоснования на стадии технического проекта горного транспортного тоннеля следует предусматривать установку дополнительных комплектов сейсмометрической аппаратуры.
25.10 Сейсмометрическая аппаратура должна быть расположена в специальной выработке (камере), обеспечивающей условия, необходимые для нормальной работы оборудования.
25.11 Работы по мониторингу должны проводиться специализированными инженерно-сейсмометрическими службами или организациями, имеющими лицензии на проведение этих работ, по специально разработанному проекту (программе).
25.12 Проект (программа) мониторинга должен предусматривать общую схему обустройства на подземных объектах станций инструментального сейсмического мониторинга, включающих полный перечень необходимых помещений, оборудования и приборов, вспомогательного оборудования, кабельных линий, измерительных пунктов и регистрирующего комплекса и схемы их размещения.
25.13 Общий порядок проектирования и установки сейсмометрических приборов и оборудования на инженерно-сейсмометрических станциях регламентируются инструкциями по организации станций инженерно-сейсмометрической службы для регистрации колебаний зданий и сооружений при землетрясениях.
25.14 Приемники сейсмометрических станций должны обеспечивать регистрацию смещений, скоростей и ускорений частиц грунтов во времени, преобладающего периода сейсмических колебаний частиц пород, получение осциллограмм сейсмических движений частиц грунта (акселерограмм, велосиграмм и сейсмограмм) для построения спектральных кривых упругого смещения, его скорости и абсолютного ускорения (коэффициенты динамичности).
25.15 Следует предусмотреть систему датчиков и приборов, устанавливаемых на тоннельных конструкциях, связанных с системами связи, блокировки, электропитания контактного рельса или провода и системой пожаротушения, позволяющих отключать источники силового электропитания подвижного состава, включать необходимую сигнализацию, управлять средствами автоматического пожаротушения при возникновении колебаний, превосходящих задаваемые заранее по условиям безопасности максимальные величины.
25.16 Приборы и оборудование систем наблюдений, инженерно-сейсмометрические станции должны обладать достаточной точностью и быть сертифицированы или аттестованы в соответствии с требованиями Госстандарта России.
25.17 В измерительном пункте в тоннеле одновременно должны фиксироваться колебания элементов обделки и окружающего массива. Сейсмоприемники в измерительном пункте в тоннеле, предназначенные для фиксации колебаний обделки, устанавливаются на рабочих площадках - горизонтальных жестких постаментах, закрепленных на обделке. Сейсмоприемники для фиксации колебаний грунта заглубляются на 0,5 - 1,0 м в породный массив (грунт).
25.18 Мониторинг целесообразно осуществлять с использованием комплексных автоматизированных программ, позволяющих дистанционно с использованием современных технологий передачи информации оперативно выявлять и передавать контролируемые параметры и их отклонения.
25.19 Конструктивные решения измерительных пунктов должны обеспечивать надежный контакт сейсмоприемников с обделкой и породой (грунтом), свободный доступ к приборам при монтаже, наладке и эксплуатации, надежную защиту аппаратуры от попадания воды и частиц породы и кусков обделки, а также необходимые для нормальной работы аппаратуры температурный и влажностный режимы.
25.20 Места установки датчиков для измерений, частота наблюдений назначаются в зависимости от прогноза диапазона изменения наблюдаемых (контролируемых) величин и интенсивности их изменения, размеров поперечного сечения и протяженности тоннеля, технологии проходки и конструктивных особенностей обделки, особенностей геологического строения массива пород. Если тоннель имеет несколько типов конструкций обделок, целесообразно устраивать измерительные пункты на каждом типе обделок.
(справочное)
ОПРЕДЕЛЕНИЕ УТОЧНЕННОЙ ИНТЕНСИВНОСТИ ЗЕМЛЕТРЯСЕНИЙ
В ЗАВИСИМОСТИ ОТ РАЙОНА СТРОИТЕЛЬСТВА НА ОСНОВЕ РЕЗУЛЬТАТОВ
СЕЙСМОЛОГИЧЕСКИХ ИССЛЕДОВАНИЙ
А.1 При проектировании транспортных тоннелей исходную сейсмичность площадки строительства в баллах шкалы MSK-64 следует определять: при расчете на воздействие ПЗ - по
карте ОСР-2015-A; при расчете на воздействие МРЗ - по
карте ОСР-2015-B.
А.2 Исходные амплитудные характеристики колебаний грунта в горизонтальной плоскости на площадке строительства принимаются по
табл. А.1 в соответствии с
СП 14.13330.2014.
Таблица А.1
Амплитудные характеристики колебаний грунта
при землетрясениях
Сейсмичность площадки строительства, баллы | Ускорение W, см/с2 | Скорость V, см/с | Перемещение U, см |
7 | 100 | 8,0 | 4,0 |
8 | 200 | 16,0 | 8,0 |
9 | 400 | 32,0 | 16,0 |
А.3 Исходные амплитудные характеристики колебаний корректируют с применением результатов научно-исследовательских работ по актуализации
карт ОСР-2015, фондовых и справочных материалов с уточнением силы землетрясения в районе строительства до десятых долей целого балла.
А.4 Уточненная сейсмичность площадки строительства может отличаться от сейсмичности района, указанной на выбранной
карте ОСР-2015, на положительное или отрицательное значение. В любом случае для дальнейшего расчета принимают, что модуль поправки не должен превышать 1,0.
А.5 По приращению балльности определяют поправку к исходным амплитудным характеристикам колебаний грунта в виде коэффициента, который находят по формуле
где

- приращение балльности в долях целого балла, найденное при уточнении исходной сейсмичности.
(справочное)
СКОРОСТИ РАСПРОСТРАНЕНИЯ СЕЙСМИЧЕСКИХ ВОЛН
В РАЗЛИЧНЫХ ГРУНТАХ (ПОРОДАХ)
Таблица Б.1
Скорости распространения сейсмических волн
в различных грунтах (породах)
Грунты и породы | Коэффициент крепости f | Объемный вес, МН/м3 | Скорости сейсмических волн, м/с |
продольных | поперечных |
Наиболее крепкие, плотные и вязкие кварциты и базальты, исключительные по крепости другие породы | 20 | 0,028 - 0,030 | 5600 | 3400 |
Очень крепкие гранитовые породы, кварцевый порфир, кремнистый сланец, самые крепкие песчаники и известняки | 15 | 0,026 - 0,027 | 5600 | 3400 |
Плотный гранит и гранитовые породы, очень крепкие песчаники и известняки, крепкий конгломерат | 10 | 0,025 - 0,026 | 3500 - 4500 | 2000 - 2600 |
Крепкие известняки, некрепкий гранит, крепкие песчаники, крепкий мрамор, доломит | 8 | 0,025 | 2400 - 3000 | 1400 - 1800 |
Обыкновенный песчаник | 6 | 0,024 | 2000 - 2600 | 1200 - 1500 |
Крепкий глинистый сланец, некрепкий песчаник и известняк, мягкий конгломерат | 4 | 0,028 | 1500 - 2300 | 900 - 1400 |
Разнообразные некрепкие сланцы, плотный мергель | 3 | 0,025 | 1400 - 1900 | 800 - 1100 |
Мягкий сланец, мягкий известняк, мел, гипс, мерзлый грунт, обыкновенный мергель, разрушенный песчаник, сцементированная галька, каменистый грунт | 2 | 0,024 | 1300 - 2100 | 800 - 1200 |
Щебенистый грунт, разрушенный сланец, слежавшаяся галька и щебень, отвердевшая глина | 1,5 | 0,018 - 0,020 | 1200 - 1900 | 700 - 1100 |
Глина плотная, крепкие наносы, глинистый грунт | 1 | 0,018 | 1100 - 1700 | 600 - 1000 |
Легкая песчаная глина, лесс, гравий | 0,8 | 0,016 | 100 - 1600 | 700 - 1000 |
Песок - осыпи, мелкий гравий, насыпная земля, плывуны, болотистый грунт, разжиженный лесс и другие разжиженные грунты | 0,1 - 0,5 | 0,017 | 300 - 500 | 200 - 300 |
(справочное)
ПЕРЕЧЕНЬ АЛГОРИТМОВ И ПРОГРАММ ПО РАСЧЕТУ ОБДЕЛОК ТОННЕЛЕЙ
НА СЕЙСМИЧЕСКИЕ ВОЗДЕЙСТВИЯ ЗЕМЛЕТРЯСЕНИЙ
Таблица В.1
Перечень алгоритмов и программ по расчету обделок тоннелей
на сейсмические воздействия землетрясений
N п/п | Назначение программ | Авторы алгоритмов | Авторы программ | Организации, эксплуатирующие программы |
1 | Расчет круговых обделок тоннелей глубокого заложения | Дорман И.Я., Фотиева Н.Н. | Тупиков В.Н. | ЦНИИС, НИИОСП, ТулГУ |
2 | Расчет многослойных обделок круговых тоннелей глубокого заложения | Булычев Н.С., Оловянный А.Г. | Савин И.И., Савин А.Н., Лянда А.А. | ТулГУ, Ленметрогипротранс |
3 | Расчет анкерной крепи круговых тоннелей глубокого заложения | Булычев Н.С., Степанян М.Н. | Степанян М.Н., Хомякова О.А. | ТулГУ |
4 | Расчет набрызг-бетонных обделок круговых тоннелей, сооружаемых с применением укрепления грунта | Фотиева Н.Н., Саммаль А.С., Хомякова О.А. | Хомякова О.А. | ТулГУ |
5 | Расчет обделок тоннелей некругового поперечного сечения глубокого заложения | Фотиева Н.Н. | Саммаль А.С., Лянда А.А., Гарайчук В.Г. | ТулГУ, Ленметрогипротранс, НИИОСП |
6 | Расчет монолитных обделок тоннелей, сооружаемых с применением инъекционного укрепления грунта | Фотиева Н.Н., Саммаль А.С., Климов Ю.И. | Саммаль А.С., Климов Ю.И. | ТулГУ, Ленметрогипротранс |
7 | Расчет набрызг-бетонных обделок некруговых тоннелей, сооружаемых с применением укрепления грунта | Фотиева Н.Н., Саммаль А.С. | Саммаль А.С. | ТулГУ |
8 | Расчет многослойных обделок переменной толщины тоннелей произвольного поперечного сечения глубокого заложения с учетом технологической неоднородности грунта | Фотиева Н.Н., Саммаль А.С. | Саммаль А.С. | ТулГУ, Ленметрогипротранс |
9 | Расчет многослойных обделок параллельных круговых тоннелей | Фотиева Н.Н., Анциферов С.В. | Анциферов С.В. | ТулГУ, Ленметрогипротранс |
10 | Расчет обделок параллельных тоннелей некругового поперечного сечения | Фотиева Н.Н., Фирсанов Е.С., Деев П.В. | Деев П.В., Фирсанов Е.С. | ТулГУ, Ленметрогипротранс |
11 | Расчет обделок тоннелей мелкого заложения, сооружаемых закрытым способом | Фотиева Н.Н., Шелепов Н.В., Деев П.В. | Саммаль А.С., Анциферов С.В., Деев П.В. | ТулГУ, Ленметрогипротранс |
12 | Расчет обделок тоннелей, сооружаемых открытым способом | Ишанходжаев А.А., Мубараков Я.Н., Левин И.Е. | Мубараков Я.Н., Левин И.Е. | Ленметрогипротранс |
(справочное)
АЛГОРИТМ ОПРЕДЕЛЕНИЯ КОЭФФИЦИЕНТОВ ОТОБРАЖАЮЩЕЙ ФУНКЦИИ
Алгоритм предназначен для определения коэффициентов bk функции вида

(Г.1)
с помощью которой осуществляется отображение внешности окружности единичного радиуса на внешность заданного некругового контура.
Определение коэффициентов отображающей функции сводится к выполнению следующих операций.
1) Заданный контур разбивается на участки, представляющие собой гладкие кривые. Поскольку заданный контур имеет вертикальную ось симметрии, рассматривается только его половина, при этом искомые коэффициенты отображающей функции являются действительными числами.
2) Из начала координат, совмещенного с центром окружности, описанной вокруг заданного контура, с определенным постоянным шагом проводятся лучи. Число лучей n должно существенно (в несколько раз) превышать число искомых коэффициентов отображаемой функции.
3) Графически или аналитически определяются координаты (xj, yj) точек пересечения лучей с заданным контуром и составляется переопределенная система уравнений вида

(
j = 0, ...,
n - 1). (Г.2)
4) Методом наименьших квадратов определяются значения коэффициентов
bk, удовлетворяющие системе (Г.2) с наименьшей невязкой.
5) Определяются координаты точек, в которые перейдут точки единичной окружности

,

(
j = 0, ...,
n - 1) при конформном отображении
(Г.1) с использованием коэффициентов, полученных в
п. 4.
6) Осуществляется снос точек, координаты которых определены в
п. 5, по перпендикуляру на заданный контур, в результате чего определяются координаты (
xj,
yj) (
j = 0, ...,
n - 1) ближайших точек заданного контура.
8) Определяются значения коэффициентов отображающей функции bk в следующем приближении.
9) Выполняется сравнение коэффициентов
функции (Г.1), найденных в последнем и предыдущем приближениях. Если максимальное отличие коэффициентов, полученных в двух последних приближениях, меньше некоторой заранее заданной малой величины, итерационный процесс считается законченным, а искомые коэффициенты
bk (
k = 0,...,
m + 1) найденными. В противном случае вычисления повторяются, начиная с
п. 5.
Пример определения коэффициентов отображающей функции
Ниже приведен пример построения конформного отображения внешности единичной окружности на внешность контура, показанного на
рис. Г.1.
Рисунок Г.1 - Форма и размеры заданного контура
Определение коэффициентов отображающей функции выполнено с использованием специальной компьютерной программы, реализующей алгоритм, представленный выше. Получены следующие значения коэффициентов отображающей функции для m = 5:
b0 = 4,930356; b1 = 0,355534; b2 = -0,654742; b3 = 0,430812;
b4 = -0,228998; b5 = 0,079971; b6 = 0,006938.
На
рисунке Г.2 представлен контур, полученный при отображении единичной окружности с использованием
функции вида (Г.1) с найденными коэффициентами. Пунктирная линия соответствует заданному контуру.
Рисунок Г.2 - Контур, полученный в результате
конформного отображения
(справочное)
ПРИМЕРЫ КОНСТРУКЦИЙ АНТИСЕЙСМИЧЕСКИХ ДЕФОРМАЦИОННЫХ ШВОВ
Д.1 В сборной железобетонной обделке, в которой продольные и кольцевые швы перекрываются металлическими накладками, привариваемыми к металлоизоляции, антисейсмические деформационные швы допускается устраивать по схеме, представленной на
рис. Д.1 [4].
Рисунок Д.1 - Устройство деформационного шва в обделке
из сборного железобетона с металлоизоляцией:
а - обделка тоннеля; б - деформационный шов;
1 - металлоизоляция; 2 - стыковые накладки;
3 - деформационный шов; 4 - фанера, пропитанная
антисептиком; 5 - сварной шов; 6 - железобетонные блоки;
7 - деформационная накладка; 8 - цементный раствор
Д.2 В монолитной бетонной обделке с металлоизоляцией антисейсмические деформационные швы допускается устраивать по схеме, представленной на
рисунке Д.2.
Рисунок Д.2 - Устройство деформационного шва в обделке
из монолитного бетона с металлоизоляцией:
а - обделка тоннеля; б - деформационный шов;
1 - металлоизоляция; 2 - деформационный шов; 3 - уголок;
4 - закладные детали для крепления узла; 5 - фанера,
пропитанная антисептиком; 6 - уплотнение
1.
ВСН 167-70 Технические указания по проектированию подпорных стен для транспортного строительства. - М.: Оргтранстрой, 1970. - 27 с.
2.
ВСН 193-81 (Минтрансстрой) Инструкция по учету сейсмических воздействий при проектировании горных транспортных тоннелей. - М.: Минтрансстрой, 1982. - 68 с.
3. Булычев Н.С., Фотиева Н.Н., Стрельцов Е.В. Проектирование и расчет крепи капитальных выработок. - М.: Недра, 1986. - 288 с.
4. Дорман И.Я. Сейсмостойкость транспортных тоннелей - М.: ТИМР, 2000. - 307 с.
5. Ержанов Ж.С., Айталиев Ш.М., Масанов Ж.К. Сейсмонапряженное состояние подземных сооружений в анизотропном слоистом массиве - Алма-Ата: Наука, 1980. - 212 с.
6. Напетваридзе Ш.Г. Сейсмостойкость гидротехнических сооружений. - М.: Госстройиздат, 1959. - 216 с.
7. Рашидов Т.Р. Динамическая теория сейсмостойкости сложных систем подземных сооружений. - Ташкент: Фан, 1973. - 178 с.
8. Руководство по проектированию подземных сооружений в сейсмических районах. М.: ТИМР, 1996
9. Саммаль А.С., Хомякова О.А. Расчет круговых набрызг-бетонных обделок в сочетании с анкерами на сейсмические воздействия // Механика подземных сооружений / Сб. научных трудов. - Тула, 1992
10. Степанян М.Н. Расчет анкерной крепи замкового типа // Механика подземных сооружений / Сб. научн. тр. - Тула: ТулПИ, 1989. - С. 19 - 20
11. Фотиева Н.Н. Расчет крепи подземных сооружений в сейсмически активных районах. - М.: Недра, 1980. - 222 с.
12. Фотиева Н.Н., Саммаль А.С., Булычев Н.С. Расчет тоннельных обделок переменной толщины на сейсмические воздействия с учетом влияния земной поверхности // Int. Conf.: Problems of seismic risk, seismic stable construction and architecture. Baku, April 28 - 29, 2005. - С. 214 - 218
13. Фотиева Н.Н., Анциферов С.В. Расчет многослойных обделок комплексов параллельных круговых тоннелей на сейсмические воздействия // Подземное и шахтное строительство. - N 1. - 1993
14. Фотиева Н.Н., Булычев Н.С., Деев П.В. Оценка несущей способности обделок параллельных тоннелей глубокого заложения, расположенных в сейсмических районах / Известия Тульского государственного университета. Естественные науки. Серия "Науки о Земле". - Вып. 4. - Тула: Гриф и К, 2009. - С. 182 - 187
15. Фотиева Н.Н., Козлов А.Н. Расчет крепи параллельных выработок в сейсмических районах. - М.: Недра, 1992. - 231 с.
16. Фотиева Н.Н., Саммаль А.С. Расчет многослойных тоннельных обделок переменной толщины на статические и сейсмические воздействия // Известия ТулГУ. Сер. Геомеханика. Механика подземных сооружений. - Вып. 2. - Тула: Изд-во ТулГУ, 2004. - С. 231 - 240
17. Фотиева Н.Н., Шелепов Н.В. Расчет обделок тоннелей мелкого заложения на сейсмические воздействия // Горный информационно-аналитический бюллетень N 3, 2000, М.: Изд. МГГУ. С. 26 - 30