Главная // Актуальные документы // Методические указанияСПРАВКА
Источник публикации
Документ опубликован не был
Примечание к документу
Взамен "Методических
указаний по определению расходов топлива, электроэнергии и воды на выработку тепла отопительными котельными коммунальных теплоэнергетических предприятий" (М., ОНТИ АКХ, 1994).
Название документа
"Методические указания по определению расходов топлива, электроэнергии и воды на выработку теплоты отопительными котельными коммунальных теплоэнергетических предприятий (издание 4-ое)"
(одобрены Научно-техническим советом Центра энергоресурсосбережения Госстроя России, протокол от 12.07.2002 N 5)
"Методические указания по определению расходов топлива, электроэнергии и воды на выработку теплоты отопительными котельными коммунальных теплоэнергетических предприятий (издание 4-ое)"
(одобрены Научно-техническим советом Центра энергоресурсосбережения Госстроя России, протокол от 12.07.2002 N 5)
Директор Академии
коммунального хозяйства
им. К.Д. Памфилова,
д.т.н., профессор
В.Ф.ПИВОВАРОВ
Одобрено
Научно-техническим советом
Центра энергоресурсосбережения
Госстроя России
(протокол от 12.07.2002 N 5)
МЕТОДИЧЕСКИЕ УКАЗАНИЯ
ПО ОПРЕДЕЛЕНИЮ РАСХОДОВ ТОПЛИВА, ЭЛЕКТРОЭНЕРГИИ
И ВОДЫ НА ВЫРАБОТКУ ТЕПЛОТЫ ОТОПИТЕЛЬНЫМИ КОТЕЛЬНЫМИ
КОММУНАЛЬНЫХ ТЕПЛОЭНЕРГЕТИЧЕСКИХ ПРЕДПРИЯТИЙ
(ИЗДАНИЕ 4-ОЕ)
Методические указания содержат методики расчета расходов теплоты потребителями на отопление, на нагрев воды для горячего водоснабжения, вентиляцию; расхода теплоты на собственные нужды котельной; расходов топлива, электроэнергии и воды на выработку теплоты источниками.
Приведены практические рекомендации и вспомогательные материалы для проведения расчетов и примеры расчетов.
Методические указания предназначены для использования инженерно-техническими работниками коммунальных теплоэнергетических предприятий при проведении расчетов по определению плановых расходов топлива, электроэнергии и воды при выработке теплоты и жилищно-коммунальных служб при определении планового теплопотребления жилищно-коммунальным сектором.
Настоящая редакция Методических указаний выпускается взамен "Методических
указаний по определению расходов топлива, электроэнергии и воды на выработку тепла отопительными котельными коммунальных теплоэнергетических предприятий" (М., ОНТИ АКХ, 1994).
Методические указания разработаны отделом энергоэффективности ЖКХ АКХ им. К.Д. Памфилова.
Замечания и предложения по настоящим Методическим указаниям просьба направлять по адресу: 123371, Москва, Волоколамское шоссе, 116, АКХ им. К.Д. Памфилова, отдел энергоэффективности ЖКХ.
1.1. Настоящие Методические указания предназначены для использования работниками коммунальных теплоэнергетических предприятий при текущем планировании потребности в топливе, электроэнергии и воде для выработки теплоты.
1.2. Методические указания могут быть использованы жилищными предприятиями и муниципальными организациями для определения потребности в теплоте для нужд отопления, горячего водоснабжения и вентиляции для жилых и общественных зданий и разработки мероприятий по энергосбережению.
1.3. Нормативные расходы воды и теплоты следует рассматривать как максимально допустимые при нормальных условиях эксплуатации систем отопления и горячего водоснабжения. При превышении расходов воды и теплоты необходимо определить причины перерасхода и обеспечить мероприятия по его ликвидации за счет повышения уровня эксплуатации. Мероприятия, приводящие к снижению величин расхода воды и теплоты ниже нормативных при обеспечении комфортных условий проживания жителей, относятся к разряду энергосбережения.
1.4. Учет количества реализованной теплоты должен производиться приборами в точке учета на границе раздела тепловых сетей. Потери теплоты тепловыми сетями относятся на счет стороны, на балансе которой находятся тепловые сети. Потери теплоты теплопроводами, проложенными в подвале зданий, следует относить на счет потребителей пропорционально нагрузкам зданий, подключенным к теплопроводам.
1.5. Перед проведением расчетов потребности в теплоте должна быть проведена оценка достоверности исходной информации: проектных тепловых нагрузок при централизованном теплоснабжении, объемов зданий, количества жителей, обеспеченных централизованным горячим водоснабжением, диаметров и протяженности трубопроводов тепловых сетей, находящихся на балансе потребителя, и пр.
1.6. Настоящие Методические указания выпускаются взамен "Методических
указаний по определению расходов топлива, электроэнергии и воды на выработку тепла отопительными котельными коммунальных теплоэнергетических предприятий", разработанных и изданных ГУП АКХ им. К.Д. Памфилова в 1994 г.
2. ОПРЕДЕЛЕНИЕ КОЛИЧЕСТВА ПОТРЕБЛЯЕМОЙ ТЕПЛОТЫ
Количество потребляемой теплоты, ГДж (Гкал), определяется по формуле:
где

- количество теплоты, потребляемое i-м потребителем;
n - количество потребителей.
Потребляемая теплота складывается из количеств теплоты, требуемой на нужды отопления, вентиляции и горячего водоснабжения, ГДж (Гкал):
где

- количество теплоты, требуемое для отопления, ГДж (Гкал);

- количество теплоты, требуемое для вентиляции, ГДж (Гкал);

- количество теплоты, требуемое для нужд горячего водоснабжения, ГДж (Гкал).
2.1. ОПРЕДЕЛЕНИЕ КОЛИЧЕСТВА ТЕПЛОТЫ НА ОТОПЛЕНИЕ
2.1.1. Количество теплоты, ГДж (Гкал), за расчетный период (месяц, квартал, год) в общем случае определяется по формуле:
где

- максимальный тепловой поток (тепловая нагрузка) на отопление, МВт (Гкал/ч);

- средняя расчетная температура внутреннего воздуха отапливаемых зданий, принимается: для жилых зданий - 18 °C для районов с расчетной температурой наружного воздуха выше -31 °C, 20 °C для районов с расчетной температурой наружного воздуха ниже -31 °C
[1], для новых зданий, имеющих повышенные теплозащитные характеристики

, принимается соответственно 20 и 22 °C; для гражданских зданий, в зависимости от назначения здания, - по
табл. 1 Прил. 1;

- средняя температура наружного воздуха за расчетный период, °C, принимается для планирования по
СНиП 23-01-99 [2], фактическая - по данным местной метеостанции;

- расчетная температура наружного воздуха для проектирования отопления, °C, принимается по
СНиП 23-01-99 [2] или по
СНиП 2.01.01-82 [3] (в зависимости от года постройки) для наиболее холодной пятидневки обеспеченностью 0,92 или по данным местной метеостанции;

- продолжительность работы системы отопления за расчетный период, сут., принимается для планирования по
СНиП 23-01-99 (период со средней суточной температурой наружного воздуха <= +8 °C), фактическая - по фактической продолжительности работы системы отопления;
24 - продолжительность работы системы отопления в сутки, ч;
3,6 - переводной коэффициент.
2.1.2. Максимальный тепловой поток на отопление здания

должен приниматься в расчетах в соответствии с проектной документацией на данное здание.
Для здания, построенного по типовому проекту, при отсутствии конкретного проекта для оценки максимального теплового потока на отопление, МВт (Гкал/ч), может быть произведена корректировка по типовому проекту по формуле:
где значения

соответствуют данным типового проекта.
Формула (2.4) справедлива при отклонении расчетных температур от принятых в типовом проекте в пределах 5 °C. При больших отклонениях расчетное значение максимального теплового потока должно быть согласовано с разработчиками проекта.
2.1.3. При отсутствии проектных данных максимальный тепловой поток

, МВт (Гкал/ч), может быть определен по формуле укрупненных расчетов:
2.1.4. Количество теплоты

, ГДж (Гкал), при укрупненном расчете может определяться по формуле:
a - поправочный коэффициент, учитывающий район строительства здания, принимается по
табл. 2 Прил. 1;

- удельная отопительная характеристика здания при

, Вт/(м
3·°C) [ккал/(м
3·ч·°C)], принимается: для жилых зданий по
таблицам 3 -
5, для общественных зданий по
табл. 6, для производственных зданий по
табл. 7 Прил. 1;

- объем здания по наружному обмеру выше отметки +/- 0,000 (надземная часть), м
3;

- повышающий коэффициент для учета потерь теплоты теплопроводами, проложенными в неотапливаемых помещениях, принимается в соответствии со
СНиП 2.04.05-91* [4] равным 1,05;

- средняя температура наружного воздуха за расчетный период, °C.
Потери теплоты трубопроводами, проложенными в неотапливаемых помещениях, Вт [ккал/(ч·м)], могут быть определены расчетом по соотношению:
где

- тепловой поток от i-го трубопровода, Вт/м (ккал/ч·м), принимается по
табл. 8 Прил. 1;

- протяженность участка i-го трубопровода, м;
n - количество участков.
2.1.5. Величина удельной отопительной характеристики

при укрупненных расчетах может быть увеличена:
для зданий облегченного (барачного) типа и сборно-щитовых домов до 15%;
для каменных зданий в первый сезон отопления, законченных строительством в мае - июне, - 12; в июне - августе - 20; в сентябре - до 25%; в течение отопительного сезона - до 30%;
для зданий, расположенных на возвышенностях, у рек, озер, на берегу моря, на открытой местности, в городской застройке, не защищенной от сильных ветров, при их средней скорости от 3 до 5 м/с - до 10%; от 5 до 10 м/с - до 20%; более 10 м/с - до 30%; средняя скорость ветра за отопительный период принимается по
СНиП 23-01-99 [2] или по данным местной метеостанции.
2.1.6. Наружный строительный объем (надземный) для зданий с чердачными перекрытиями определяется умножением площади горизонтального сечения, взятого по наружному обводу здания на уровне первого этажа выше цоколя, на полную высоту здания, измеренную от уровня чистого пола первого этажа до верхней плоскости теплоизоляционного слоя чердачного покрытия; при плоских, совмещенных крышах - до средней отметки верха крыши.
При измерении наружного строительного объема не учитываются выступающие архитектурные детали и конструктивные элементы, портики, террасы, балконы, объемы проездов и пространства под зданием на опорах (в чистоте), а также проветриваемые подполья под зданиями, проектируемые для строительства на вечномерзлых грунтах
[1].
2.1.7. Количество теплоты на отопление здания, части здания или отдельного помещения, кДж (ккал), в общем случае определяется по формуле:
где

- расход теплоты на возмещение трансмиссионных потерь теплоты, кДж (ккал);

- расход теплоты на подогрев инфильтрующегося воздуха в помещения, кДж (ккал);

- внутренние бытовые тепловыделения от технологического оборудования, людей и пр., кДж (ккал);

- теплопоступления через остекленные проемы за счет инсоляции, кДж (ккал);

- коэффициент, учитывающий способность ограждающих конструкций помещений зданий аккумулировать или отдавать теплоту, принимается равным 0,8.
Расход теплоты на возмещение трансмиссионных потерь ограждающими конструкциями и на нагрев инфильтрующегося воздуха (через остекленные поверхности, двери, неплотности и т.д.) зависит от температуры наружного воздуха, бытовые и инсоляционные теплопоступления - не зависят.
2.1.8. Значение удельной отопительной характеристики

, Вт/(м
3·ч·°C) [ккал/(м
3·ч·°C)], для части здания или отдельного помещения (занимаемого арендаторами) может быть рассчитано в соответствии с характеристиками ограждающих конструкций рассматриваемого здания по формуле:

- общий приведенный коэффициент теплопередачи совокупности ограждающих конструкций, Вт/(м
2·°C) [ккал/(ч·м
2·°C);

- приведенный трансмиссионный коэффициент теплопередачи совокупности ограждающих конструкций, Вт/(м
2·°C) [ккал/(ч·м
2·°C);

- приведенный инфильтрационный (условный) коэффициент теплопередачи совокупности ограждающих конструкций, Вт/(м
2·°C) [ккал/(ч·м
2·°C);

- общая площадь ограждающих конструкций, м
2;

- объем помещений по наружному обмеру, м
3.
2.1.9. Приведенный трансмиссионный коэффициент теплопередачи

, Вт/(м
2·°C) [ккал/(ч·м
2·°C), определяется по формуле:
где

- площадь элементов ограждающих зданий: стен (за вычетом остекленных площадей), пола, окон, дверей и др., м
2;

- приведенное сопротивление теплопередаче ограждающих конструкций здания (м
2·°C)/Вт [(ч·м
2·°C)/ккал].
Приведенное сопротивление теплопередаче

(м
2·°С)/Вт [(ч·м
2·°C)/ккал], определяется по формуле:
где

- коэффициенты теплоотдачи соответственно внутренней и наружной поверхностей ограждающих конструкций, Вт/(м
2·°C) [ккал/(ч·м
2·°C), принимаются по
табл. 10 Прил. 1
[5];

- термическое сопротивление ограждающей конструкции (м
2·°С)/Вт [(ч·м
2·°C)/ккал].
где

- толщина однородного слоя, м;

- расчетный коэффициент теплопроводности материала слоя, Вт/(м·°C) [ккал/(ч·м·°C)], принимается по
приложению 3* СНиП II-3-79**
[5] или по справочным данным;
n - количество однородных последовательно расположенных слоев ограждающей конструкции.
При определении

слои конструкции, расположенные между воздушной прослойкой, вентилируемой наружным воздухом, и наружной поверхностью ограждающей конструкции, не учитываются.
2.1.10. Приведенная воздухопроницаемость,

, кг/(м
2·ч), определяется по формуле:
где

- площадь ограждающих конструкций соответственно стен (за вычетом окон, дверей), остекленных проемов, дверей, м
2;

- сопротивление воздухопроницанию ограждающих конструкций соответственно стен (за вычетом окон, дверей), остекленных проемов, дверей (м
2·Па)/кг, принимается по
СНиП II-3-79* [5];

- разность давлений воздуха на наружной и внутренней поверхностях ограждающих конструкций на рассматриваемом этаже, Па, определяется по
формуле (2.15);

- суммарная площадь ограждающих конструкций, м
2.
где H - высота этажа, м;

- удельный вес соответственно наружного и внутреннего воздуха, Н/м
3;
w - средняя скорость ветра за отопительный период, м/с, принимается по
[2] или по данным местной метеостанции.
2.1.11. Определение приведенного инфильтрационного (условного) коэффициента теплопередачи совокупности ограждающих конструкций

, Вт/(м
2·°C) [ккал/(ч·м
2·°C)], производится по формуле:
где

- приведенная воздухопроницаемость ограждающих конструкций, кг/(ч·м
2);
c - удельная теплоемкость воздуха, равная 1 кДж/(кг·°C) [0,24 ккал/(кг·°C)];
k - коэффициент влияния встречного теплового потока в конструкциях, принимаемый равным 0,7 для стыков панелей стен и окон с тройными переплетами, 0,8 - для окон и балконных дверей с раздельными переплетами и 1 для одинарных окон, окон и балконных дверей со спаренными переплетами и открытых проемов.
2.1.12. Внутренние бытовые тепловыделения

, Вт (ккал/ч), определяются:
где

- тепловой поток, Вт (ккал·ч), регулярно поступающий от приборов, оборудования, людей и др. источников на 1 м
2 площади, определяется расчетом: для жилых зданий принимается не менее 10 Вт/м
2 [8,6 ккал/м
2] общей площади
[4];

- площадь, м
2;
n - количество участков с тепловыделениями.
При искусственном освещении и наличии электрического оборудования тепловыделения

, Вт (ккал/ч), определяются:
где

- коэффициент, учитывающий фактическое использование мощности (k = 0,7 - 0,9), загрузку (k = 0,5 - 0,7) и одновременность работы (k = 0,5 - 1,0) нескольких приборов или оборудования и долю перехода электрической энергии в тепловую, которая поступает в помещение (от 0,15 до 0,95 по технологии); при светильниках в помещении

= 1, при светильниках, встроенных в перекрытия помещения,

= 0,4;

- электрическая мощность прибора или оборудования, Вт;
m - количество тепловыделяющих единиц.
Теплопотери на нагревание материалов, транспортных средств массой

, кг, в течение заданного времени определяются по соотношению:
где c - удельная массовая теплоемкость материала, Дж/(кг·°C) [ккал/(кг·°C)];

- температура внутреннего воздуха, °C;

- температура поступившего материала, транспортного средства, °C;
B - поправочный коэффициент, выражающий среднее уменьшение полной разности температуры во всем объеме материала за интервал времени с начала нагревания в помещении, принимается по
табл. 11 Прил. 1.
Теплопоступления от нагретых материалов и изделий, а также от горячих газов, поступающих в помещение, определяются по
формуле (2.17), подставляя разность температур

.
2.1.13. Теплопоступления от солнечной радиации

, Вт [ккал/ч], определяются по формуле:
где

- коэффициенты, учитывающие затенение светового проема соответственно окон и зенитных фонарей непрозрачными элементами заполнения, принимаются по
табл. 12 Прил. 1;

- площадь световых проемов фасадов, соответственно ориентированных по четырем направлениям, м
2;

- средняя за отопительный период интенсивность солнечной радиации на вертикальную поверхность световых проемов, соответственно ориентированных по четырем фасадам здания (Вт·ч)/м
2 [ккал/м
2], принимается по
[2] или данным метеостанции как сумма величин по месяцам за отопительный период;

- средняя за отопительный период интенсивность солнечной радиации на горизонтальную поверхность, Вт·ч/м
2 [ккал/м
2], принимается как сумма величин по месяцам за отопительный период,
[2].
Теплопоступления от солнечной радиации при расчете мощности отопительных установок включают в тепловой баланс в исключительных случаях (в районах с преобладанием зимой солнечной погоды) для помещений со световыми проемами, обращенными на юг. Преимущественно эти теплопоступления учитываются при эксплуатации систем отопления с целью экономии теплоты.
2.1.14. Удельная тепловая характеристика гражданского здания

, Вт/(м
3·°C) [ккал/(м
3·ч·°C)], может быть ориентировочно найдена по формуле
[6]:
где d - доля остекления стен;
A и S - площадь соответственно наружных стен и здания в плане, м2.
2.1.15. Максимальный тепловой поток на отопление помещений

, Вт (ккал/ч), может быть также определен по установленной мощности отопительных приборов, в том числе и для случая, когда тип и количество установленных отопительных приборов в ряде помещений жилого здания (например, арендуемых) отличаются от предусмотренных в проекте отопительной системы жилого дома, по формуле:
где

- тепловой поток, поступающий от отопительных приборов, Вт [ккал/ч];

- потери теплоты j-м трубопроводом (стояком или подводкой к отопительным приборам) отопления, Вт/м [(ккал/(ч·м)], принимаются по
табл. 13 Прил. 1
[6];

- длина j-го трубопровода (стояка), м;
n - количество отопительных приборов;
m - количество трубопроводов отопления;
1,15 - коэффициент, учитывающий тепловыделения трубопроводами и отопительными приборами, расположенными в местах общего пользования (вестибюли, лестничные клетки, подвалы, чердаки).
Максимальный тепловой поток от отопительных приборов

, Вт [ккал/ч], определяется по формуле:
где

- коэффициент теплопередачи отопительного прибора, Вт/(м
2·°C) [ккал/(м
2·ч·°C)];

- площадь поверхности нагрева прибора, м
2;

- соответственно расчетные температуры воды на входе и выходе из отопительного прибора и воздуха внутри помещения, °C.
Коэффициент теплопередачи отопительного прибора

принимается по паспортным данным приборов, а при отсутствии данных - по
табл. 14 Прил. 1 или по справочным данным.
2.1.16. Расход теплоты для помещений, отличающихся по высоте от остальных помещений здания, определяется пропорционально занимаемому объему в здании.
2.1.17. Для зданий, в которых необходимо поддерживать температуру внутреннего воздуха

выше или ниже 18 °C (если не менялись теплозащитные характеристики ограждающих конструкций, а поверхность отопительных приборов приведена в соответствие с требуемой температурой внутреннего воздуха), расход теплоты может быть скорректирован по соотношению:
2.1.18. При замене в части помещений системы отопления на электрическое с изъятием отопительных приборов водяного отопления и части стояков, проходящих в этих помещениях, максимальный тепловой поток на отопление здания уменьшается на величину, соответствующую данной части помещений. При этом может произойти разрегулировка системы отопления, поэтому необходима наладка оставшейся части системы.
2.1.19. Потребность в теплоте на технологические нужды сельскохозяйственных объектов, обслуживаемых теплоэнергетическим предприятием, определяется в соответствии с утвержденными нормами расхода теплоты в сельскохозяйственном производстве, представляемыми потребителем.
Количество теплоты, расходуемой на технологические нужды теплиц и оранжерей, ГДж (Гкал), определяется по формуле
[7]:
где

- количество теплоты на i-е технологические операции, ГДж (Гкал);
n - количество технологических операций.
где

- соответственно потери теплоты через ограждения, при воздухообмене, для подогрева поливочной воды и для пропарки почвы, ГДж (Гкал);
1,05 - коэффициент, учитывающий расход теплоты на обогрев бытовых помещений.
Потери теплоты через ограждения, ГДж (Гкал):
где F - площадь поверхности ограждения, м2;
K - коэффициент теплопередачи, принимается для одинарного остекления 6,4 Вт/(м2·°C) [5,5 ккал/(м2·ч·°C)], для одинарного пленочного ограждения 8,1 Вт/(м2·°C) [7,0 ккал/(м2·ч·°C)];

- средняя за отопительный период соответственно технологическая температура воздуха в оранжерее и наружного воздуха, °C;
Z - продолжительность отопительного периода, сут.
Потери теплоты за счет воздухообмена в отопительный период, ГДж (Гкал):
для оранжерей со стеклянным покрытием
для оранжерей с пленочным покрытием
где:

- инвентарная площадь оранжереи, м
2;
S - коэффициент объема, равный

, м, характеризует высоту сооружения, лежит в пределах 0,24 - 0,5 для малогабаритных сооружений и достигает 3 м и более для ангарных теплиц.
Количество теплоты на подогрев поливочной воды, ГДж (Гкал), определяется по соотношению:
где

- полезная площадь оранжереи, м
2.
Количество теплоты, требуемое для пропарки почвы, ГДж (Гкал), определяется по соотношению:
2.1.20. Примеры расчетов
Пример 1. Определить годовое количество тепла на отопление жилого 5-этажного кирпичного здания объемом 22400 м3 (в т.ч. подвал 2000 м3) постройки 1950 года, расположенного в г. Вологде.
Основные климатические данные: расчетная температура наружного воздуха (наиболее холодной пятидневки обеспеченностью 0,92) -31 °C; средняя температура наружного воздуха за отопительный период (период с температурой ниже 8 °C) -4,8 °C; продолжительность отопительного сезона 228 сут. Усредненная температура внутреннего воздуха здания равна 20 °C.
1. Находим наружный объем надземной части отапливаемого здания

:
2. По
табл. 3 Прил. 1 находим табличное значение удельной отопительной характеристики

для здания объемом 20400 м
3, равное 0,326 Вт/(м
3·°C) [0,28 ккал/(ч·м
3·°C)]; по
табл. 2 находим значение поправочного коэффициента a, равное 0,99.
Коэффициент потерь тепла подводящими трубопроводами, проложенными в неотапливаемых помещениях,

, принимаем равным 1,05.
3. Определяем для рассматриваемого здания годовое количество тепла по
формуле (2.6):
Пример 2. Определить максимальный тепловой поток на отопление для магазина, занимающего часть первого этажа 9-этажного жилого здания, расположенного в г. Москве. Расчетная температура наружного воздуха в холодный период года

; температура внутреннего воздуха помещений для магазина

.
Магазин расположен на первом этаже кирпичного, облицованного керамическим кирпичом жилого дома. Дом оборудован всеми видами благоустройства.
Помещение магазина имеет прямоугольную форму. Высота этажа 3,35 м. Глубина подземной части 2,8 м. Стены дома кирпичные толщиной 73 см, включая облицовочный керамический кирпич. С внутренней стороны стены оштукатурены сложным раствором, толщина слоя 2 см. Окна двойные, раздельные, в деревянных переплетах, имеют уплотнительные прокладки. Пол первого этажа расположен над подвалом, утеплен. Входные двери оборудованы тамбурами.
Со стороны главного фасада магазина имеется витрина с двойным остеклением. Воздушная прослойка составляет 55 см, замкнута за счет уплотнения стекол, укладки внизу витрины теплой прокладки.
Площади конструкции | Размер площади, м2 |
Отапливаемая (площадь пола) | 573,8 |
Стен за вычетом окон, дверей и витрины | 286,7 |
Окон | 49 |
Дверей | 18,8 |
Витрины | 107 |
Общая площадь | 1035,3 |
Объем помещения магазина по наружному обмеру с высотой пола первого жилого этажа составил: V = 2660,7 м3.
Наружная стена имеет следующий состав:
N слоя | Состав конструкции |  м |  кг/м 3 |  Вт/м 2·°C | S, Вт/м2·°C | R, Вт/м2·°C | Rв, м2·ч·Па/кг |
1 | 2 | 3 | 4 | 5 | 6 | 7 | 8 |
1 | Штукатурка | 0,03 | 1800 | 0,93 | 10,09 | 1,35 | 746 |
2 | Кирпич пустотный керамический | 0,19 | 1200 | 0,52 | 6,62 | 2 |
3 | Кирпич керамический пустотный | 0,51 | 1400 | 0,64 | 7,01 | 2 |
Перекрытие над подвалом |
4 | Железобетон | 0,24 | 2500 | 2,04 | 17,98 | 1,68 | 47088 |
5 | Минераловатные плиты | 0,10 | 100 | 0,07 | 0,73 | 8 |
6 | Плиты ДВП | 0,01 | 200 | 0,08 | 1,81 | 3,3 |
1. Определяем сопротивление теплопередаче ограждающих конструкций по
формуле (2.10) с использованием данных по
СНиП II-А.7-71 "Строительная теплотехника":
стен
перекрытия
окон - двойные переплеты раздельные
2. Определяем приведенный трансмиссионный коэффициент теплопередачи совокупности ограждающих конструкций

, Вт/м
2·°C:
3. Определяем разность давлений воздуха на наружной и внутренней поверхностях ограждающих конструкций по
формуле (2.15)
Находим значения сопротивления воздухопроницанию ограждающих конструкций по
СНиП II-3-79*
стен
окон
дверей
5. Определяем удельный расход теплоты на нагревание инфильтрующегося воздуха

по
формуле (2.16):
Пример 3. Определить годовой расход теплоты на отопление для встроенного магазина на первом этаже жилого здания.
Климатологические данные для расчета: расчетная температура наружного воздуха для отопления

, средняя температура наружного воздуха за отопительный сезон

, длительность отопительного периода

сут.
Встроенные помещения первого этажа обслуживаются самостоятельной системой отопления, которая подключена непосредственно к узлу управления параллельно системе отопления жилой части здания.
Температурный график подачи тепла в систему отопления первого этажа 105 - 70 °C. В магазине установлены конвекторы "Комфорт" (

) длиной 1300 мм - 4 шт., 1200 мм - 1 шт., 1100 мм - 1 шт., 1000 мм - 2 шт. с общей поверхностью нагрева

. Общая протяженность горизонтальных труб диаметром 20 мм

.
Определяем температурный напор отопительных приборов:
1. Находим значение коэффициента теплопередачи отопительных приборов по
табл. 14 Прил. 1.
2. Определяем максимальный тепловой поток от отопительных приборов по
формуле (2.23):
3. Определяем максимальный тепловой поток от неизолированных трубопроводов по
табл. 11 Прил. 1:
4. Полный максимальный тепловой поток на отопление:
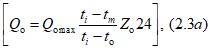
5. Определяем годовое количество теплоты на отопление магазина по
формуле (2.3):
2.2. ОПРЕДЕЛЕНИЕ КОЛИЧЕСТВА ТЕПЛОТЫ НА ВЕНТИЛЯЦИЮ
2.2.1. Потребность в теплоте на вентиляцию для зданий рассчитывается при наличии в них систем вентиляции с механическим побуждением. Расчеты следует производить в соответствии с требованиями
СНиП 2.04.05-91* [4].
2.2.2. Для жилых и общественных зданий с естественным воздухообменом количество тепла на нагрев воздуха учитывается при проектировании систем отопления. Кратность воздухообмена при естественной вентиляции для жилых и некоторых общественных зданий приведена в
табл. 16 -
18 Прил. 1.
2.2.3. При наличии проекта вентиляции здания и соответствии установленного оборудования проекту максимальный тепловой поток на вентиляцию принимается по проектным данным.
При наличии типового проекта вентиляции для здания, построенного по типовому проекту, пересчет расхода тепла для конкретного здания, Вт [ккал·ч], производится по формуле:
где

- проектный максимальный тепловой поток на вентиляцию по типовому проекту, Вт [ккал/ч];

- средняя температура внутреннего воздуха вентилируемых помещений здания, °C, соответственно для конкретного здания и по типовому проекту;

- расчетная температура наружного воздуха для проектирования отопления, °C, соответственно для конкретного здания и по типовому проекту.
2.2.4. При отсутствии проекта вентилируемого здания расчетный расход теплоты на вентиляцию, Вт [ккал/ч], определятся по формуле для укрупненных расчетов:
где

- объем здания по наружному обмеру, м
3;

- удельная вентиляционная характеристика здания, Вт/(м
3·°C) [ккал/(ч·м
3·°C)], принимается по расчету; при отсутствии данных - по
табл. 6 для общественных зданий и по
табл. 7 - для предприятий (Прил. 1).
2.2.5. Продолжительность работы системы вентиляции в течение суток принимается в зависимости от назначения и режима работы учреждений и организаций, но не более общего числа часов их работы в сутки.
При отсутствии данных продолжительность работы вентиляции в гостиницах принимается равной 16 ч.
2.2.6. Если в одном здании находятся помещения различного назначения, отличающиеся между собой удельной вентиляционной характеристикой, то расчетный расход теплоты на вентиляцию определяется раздельно для каждой части здания и суммируется.
2.2.7. Количество теплоты, кДж [ккал], требуемое для вентиляции здания за расчетный период, определяется по формуле:
где

- средняя температура наружного воздуха за расчетный период, °C;

- усредненное число часов работы системы вентиляции в течение сут.;

- продолжительность работы системы вентиляции за расчетный период.
При укрупненных расчетах количество тепла за расчетный период, кДж [ккал], можно определить по соотношению:
2.2.8. В общем случае при общеобменной вентиляции расчет воздухообмена в помещении определяется из условий разбавления воздуха помещений, содержащих повышенную концентрацию вредностей, до допустимых концентраций, регламентированных нормами
СНиП 2.04.05-91* или соответствующими санитарно-гигиеническими нормами.
При выделении избыточной теплоты в помещении требуемый расход воздуха

, кг/ч, определяется по формуле:
где

- избыточный тепловой поток в помещении, Вт [ккал/ч];

- температура воздуха, уходящего из помещения, °C;

- температура приточного воздуха, °C;
c - удельная теплоемкость воздуха, принимается равной 1 кДж/(кг·°C) [0,24 ккал/(кг·°C)].
Температура уходящего из помещения воздуха определяется по формуле:
где

- температура воздуха в рабочей зоне, °C, принимается на 3 - 5 °C выше температуры наружного воздуха;

- коэффициент нарастания температуры воздуха по высоте помещения, принимается 1 - 1,5 в зависимости от высоты помещения и уровня тепловыделений;
H - вертикальное расстояние от пола до центра вытяжных фрамуг, м;
2 - высота рабочей зоны, м.
При выделении избыточного количества газов в помещении требуемый расход воздуха

, кг/ч, определяется по формуле:
где

- количество газов, выделяющихся в помещении, мг/ч;

- допустимая концентрация газов, мг/м
3;

- концентрация газов в наружном воздухе, мг/м
3.
При выделении избыточной влаги в помещении требуемый расход воздуха

, кг/ч, определяется по формуле:
где

- количество водяных паров, выделяющихся в помещении, г/ч;

- влагосодержание воздуха, уходящего из помещения, г/кг, сухого воздуха;

- влагосодержание наружного воздуха, г/кг, сухого воздуха.
При выделении пыли в помещении требуемый расход воздуха

, кг/ч, определяется по формуле:
где

- количество пыли, выделяющейся в помещении, мг/ч;

- допустимая концентрация пыли, мг/м
3;

- концентрация пыли в наружном воздухе, мг/м
3.
Максимальный тепловой поток

, Вт [ккал/ч], требуемый для нагревания удаляемого воздуха с вредностями из помещения, определяется по формуле:
где

- масса нагреваемого воздуха, кг/ч, принимается по расчету;

- удельная теплоемкость воздуха, принимается равной 1 кДж/(кг·°C) [0,24 ккал/(кг·°C)];

,

- температура соответственно внутреннего и наружного воздуха для расчета отопления, °C; при наличии калориферов соответственно температура на выходе и входе в калорифер.
2.2.9. Максимальный тепловой поток (тепловая мощность) тепловой завесы, Вт (ккал/ч), определяется по формуле:
где

- количество воздуха, подаваемого завесой (при отсутствии в помещении механического притока и вытяжки или их балансе), кг/ч;

- удельная теплоемкость воздуха при средней температуре воздуха, выходящего из тепловой завесы, принимается равной 1,21 кДж/(м
3·°C) [0,29 ккал/(м
3·°C)];

- температура воздуха, подаваемого тепловой завесой, °C;

- расчетная температура наружного воздуха для проектирования отопления, °C, принимается по
[2].
Количество воздуха, подаваемого завесой

, кг/с,
[8]:
где:

- отношение расхода воздуха, подаваемого завесой, к расходу воздуха, проходящего через проем; для завес с горизонтальной подачей воздуха принимается равным 0,6 - 0,7;

- коэффициент расхода, для завес с горизонтальной подачей принимается равным 0,25 - 0,3;

- площадь открываемого проема, м
2;

- разность давлений воздуха снаружи и внутри помещения на уровне проема, оборудованного завесой, Па;

- плотность смеси воздуха завесы и наружного воздуха, кг/м
3, при температуре смеси, принимается по
табл. 19 Прил. 1.
Расчетная разность давлений воздуха определяется по соотношению:
где

- высота проема, м;

,

- плотность соответственно наружного воздуха и воздуха помещения, кг/м
3, принимается по
табл. 19 Прил. 1;
g - ускорение свободного падения, равное

.
Температура воздуха

, подаваемого завесой в дверной проем, не должна превышать 50 °C у наружных дверей и 70 °C у ворот предприятий и технологических проемов, и определяется по формуле:
где

- температура смеси воздуха, проходящего через открытый проем, принимается равной температуре внутреннего воздуха помещения; для вестибюля, лестничной клетки жилого здания принимается +16 °C
[1];

- расчетная температура наружного воздуха, °C;

- отношение количества теплоты, теряемой с воздухом, уходящим через открытый проем наружу, к тепловой мощности завесы, принимается по
табл. 20 Прил. 1.
Скорость выпуска воздуха из щелей или отверстий тепловых завес не должна превышать 8 м/с у наружных дверей и 25 м/с у ворот и технологических проемов
[4].
2.2.10. Количество теплоты

, кДж [ккал], требуемое для расчетного периода работы тепловой завесы, определяется по формуле:
где

- средняя температура наружного воздуха за расчетный период, °C;

- число часов работы тепловой завесы в сутки;

- продолжительность работы тепловой завесы в расчетном периоде, сутки.
2.2.11. Расход теплоносителя из тепловой сети на вентиляцию

, кг/ч, определяется по формуле:
где

- расчетный часовой расход теплоты на вентиляцию, Вт (ккал/ч);

,

- расчетная температура теплоносителя по температурному графику отпуска теплоты соответственно в подающем и обратном трубопроводах тепловой сети, °C;
c - удельная теплоемкость воды, принимается 4,187 кДж/(кг·°C) [1 ккал/(кг·°C)].
2.2.12. Примеры расчетов.
Пример 1. Определить годовое количество теплоты, требуемое на вентиляцию кинотеатра, расположенного в отдельно стоящем здании объемом 8000 м3. Проектные данные отсутствуют.
Расчетная температура наружного воздуха равна -25 °C, средняя температура наружного воздуха за отопительный период равна -3,4 °C, продолжительность отопительного периода 182 суток. Продолжительность работы системы вентиляции в сутки 16 часов.
1. Определяем величину удельной вентиляционной характеристики по
табл. 6 Прил. 1:

.
Находим среднюю температуру внутреннего воздуха для кинотеатра по
табл. 1 Прил. 1, равную 14 °C.
2. Определяем максимальный тепловой поток на вентиляцию по
формуле (2.33):
3. Определяем годовое количество теплоты, требуемое на вентиляцию, по
формуле (2.34):
Пример 2. Определить максимальный тепловой поток для удаления углекислоты из зала на 1000 чел. Температура воздуха в зале 20 °C. Расчетная температура наружного воздуха для отопления -25 °C.
Начальное содержание углекислоты в воздухе составляет

.
Выделение углекислоты одним человеком в состоянии покоя составляет

.
Допустимое предельное содержание углекислоты в помещении

.
1. Определяем количество выделяемого углекислого газа

:
2. Определяем требуемый объем удаляемого воздуха:
3. Определяем максимальный тепловой поток для вентиляции по
формуле (2.41):
2.3. ОПРЕДЕЛЕНИЕ КОЛИЧЕСТВА ТЕПЛОТЫ НА ПОДОГРЕВ ВОДЫ
ДЛЯ ГОРЯЧЕГО ВОДОСНАБЖЕНИЯ
2.3.1. Качество холодной и горячей воды, подаваемой на хозяйственно-питьевые нужды, должно соответствовать требованиям
ГОСТ 2874-82* "Вода питьевая".
2.3.2. Температуру горячей воды в местах водоразбора следует предусматривать в соответствии со
СНиП 2.04.01-85* [9]:
не ниже 60 °C - для систем централизованного горячего водоснабжения, присоединяемых к открытым системам теплоснабжения;
не ниже 50 °C - для систем горячего водоснабжения, присоединяемых к закрытым системам теплоснабжения;
не выше 75 °C - для всех систем, указанных в первых двух подпунктах;
не выше 37 °C - для умывальников и душей в помещениях детских дошкольных учреждений.
2.3.3. Для потребителей, которым необходима горячая вода с температурой выше указанной в
п. 2.3.2, следует для догрева воды предусматривать местные водонагреватели.
2.3.4. Расход горячей воды в средние сутки потребителями в здании

, м
3/сут., в отопительный период при расчете потребления тепла системой горячего водоснабжения определяется по формуле:
где

- расход воды (норма) i-м потребителем, л/сут., принимается по
табл. 21 Прил. 1;

- количество однотипных потребителей;
n - количество групп однотипных потребителей.
При ограничении подачи горячей воды в жилые и общественные здания производится корректировка расхода воды по
табл. 22 Прил. 1.
2.3.5. Если температура подаваемой к водоразборным кранам воды отличается от нормированной, то действительный расход горячей воды

будет соответствовать соотношению:
где

- фактическая средняя температура горячей воды, °C.
При отклонении величины давления в системе горячего водоснабжения

от требуемого P фактический расход горячей воды определяется по формуле:
2.3.6. Расход теплоты на горячее водоснабжение в общем случае определяется по формуле:
где

- расход теплоты на подогрев воды в отопительный период, ГДж (Гкал);

- расход теплоты на подогрев воды в неотопительный период, ГДж (Гкал);

- потери тепла системой горячего водоснабжения, ГДж (Гкал).

- норма расхода горячей воды на горячее водоснабжение на единицу измерения для потребителя, принимается для жилых зданий по
табл. 21 Прил. 1
(СНиП 2.04.01-85*) или по утвержденным местными органами власти, л/(сут.·чел.);
m - количество единиц измерения, отнесенное к суткам или сменам (число жителей, учащихся в учебных заведениях, мест в больнице и т.п.);

- средняя температура горячей воды, принимается для закрытой системы теплоснабжения равной 55, для открытой - 65 °C, при этом норма расхода горячей воды принимается с коэффициентом 0,85
[9];
c - удельная теплоемкость горячей воды, принимается 4,187 кДж/(кг·°C) [1 ккал/(кг·°C)];

- плотность горячей воды, принимается равной 1 кг/л;

- температура холодной (водопроводной) воды в отопительном периоде, принимается при отсутствии данных 5 °C;

- температура холодной (водопроводной) воды в неотопительном периоде, принимается при отсутствии данных 15 °C;

,

- продолжительность работы системы горячего водоснабжения соответственно в отопительном и неотопительном периодах, сут.;

- коэффициент, учитывающий изменение среднего расхода воды на горячее водоснабжение в неотопительный период по отношению к отопительному периоду, принимаемый при отсутствии данных для жилищно-коммунального сектора равным 0,8 (для курортов

), для предприятий - 1
[10].
Фактическое число обслуженных посетителей в банях определяется на основании данных бухгалтерского учета по числу реализованных за отчетный период разовых билетов на пользование всеми отделениями и номерами бань. Количество платных посетителей, пропущенных номерами, определяется по вместимости номеров, оплаченных посетителями, независимо от фактического числа мывшихся. В этот показатель включается также количество посетителей по установленным льготным тарифам для воинских частей при командном посещении. Дети до 7 лет в число посетителей не включаются
[11].
Расчет числа условных блюд, приготовляемых и реализуемых в предприятиях общественного питания, определяется по формуле
[12]:
где

- количество i-х блюд;

- переводной коэффициент к норме расхода горячей воды на условное блюдо, принимается для: холодной закуски - 0,4; первого блюда - 1; второго блюда - 0,66; третьего блюда - 0,14;
n - общее количество блюд.
2.3.7. Для конкретного случая потери тепла системой горячего водоснабжения, кДж (ккал), могут быть определены расчетом по формулам:
где

- удельный тепловой поток от i-го трубопровода (стояка, циркуляционного трубопровода), Вт/м (ккал/ч·м), принимается по
табл. 23 Прил. 1;

- протяженность i-го трубопровода, м;

- продолжительность работы системы горячего водоснабжения в расчетном периоде, сут.;
n - продолжительность пользования горячей водой в сутки, ч;
k - количество участков трубопроводов.
где

- температура окружающей среды, °C, принимается при прокладке трубопроводов: в бороздах, вертикальных каналах, коммуникационных шахтах сантехнических кабин 23; в ванных комнатах 25; в кухнях и туалетных комнатах жилых домов, общежитий и гостиниц 21; на лестничных площадках 16; в каналах подземной прокладки 5; в тоннелях 40; в подвалах 5; на чердаках 9;

- коэффициент теплоотдачи от поверхности изоляции к окружающему воздуху, принимается равным 6 Вт/(м
2·°C) [7 ккал/(ч·м
2·°C)];
d - наружный диаметр трубопровода, м;

- диаметр трубы с изоляцией, м,

;

- толщина изоляции, м;

- коэффициент теплопроводности теплоизоляционного слоя, принимается для минераловатной изоляции 0,06 Вт/(м·°C) [0,05 ккал/(ч·м·°C)], для других видов изоляции - по паспортным или справочным данным.
Удельные потери изолированными трубопроводами могут быть приняты по
табл. 23, неизолированными - по
табл. 13 Прил. 1.
При отсутствии конкретных данных потери тепла системой горячего водоснабжения могут быть оценены коэффициентом

. Тогда
формулы (2.55) -
(2.57) принимают вид:
где:

- коэффициент, учитывающий тепловые потери системой горячего водоснабжения (стояками, подающими и циркуляционными трубопроводами, полотенцесушителями и пр.), принимаемый по
табл. 24 Прил. 1 в зависимости от степени благоустройства.
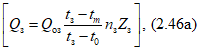
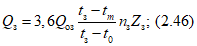
2.3.8. Средний часовой расход теплоты, Вт (ккал/ч), на подогрев воды для нужд горячего водоснабжения определяется:
в отопительный период
в неотопительный период
среднегодовой
2.3.9. При известной величине максимального расхода воды на горячее водоснабжение

средний расход горячей воды может быть определен по соотношению:
где:

- коэффициент часовой неравномерности водопотребления, принимается по
табл. 25 Прил. 1
[8].
Для систем горячего водоснабжения, обслуживающих одновременно жилые и общественные здания, коэффициент часовой неравномерности следует принимать по сумме численности жителей и условной численности жителей

в общественных зданиях, определяемой по формуле:
где:

- средний расход воды на горячее водоснабжение за отопительный период, кг/ч, для общественных зданий, определяемый по
СНиП 2.04.01-85*.
При отсутствии данных о назначении общественных зданий при определении коэффициента часовой неравномерности условно численность жителей допускается принимать с коэффициентом 1,2.
2.3.10. При отсутствии водоразбора требуемый расход циркуляционной горячей воды

, м
3/ч, для наиболее удаленного от подогревателя узла системы горячего водоснабжения определяется по формуле:
где

- потери теплоты всеми подающими трубопроводами расчетного узла системы горячего водоснабжения, Вт (ккал/ч);

- разность температур горячей воды от разводящего трубопровода до дальней водоразборной точки стояка, принимается равной для зданий высотой до 4-х этажей - 5, свыше 4-х этажей - 8,5 °C;
c - теплоемкость воды, принимается равной 4,187 кДж/(кг·°C) [1 ккал/(кг·°C)].
Общее остывание циркуляционной воды от подогревателя до дальней водоразборной точки не должно превышать 10 °C.
2.3.11. Расходы холодной и горячей воды водоразборной арматурой определяются по методике, изложенной в
СНиП 2.04.01-85* [9].
2.3.12. Количество теплоты, ГДж (Гкал), на производственные нужды бань и прачечных определяется по формуле
[14]:
где n - количество технологического оборудования, использующего теплоту;

- количество теплоты, используемое i-м оборудованием, ГДж (Гкал), определяется по формуле:
где: q - удельный расход теплоты на единицу технологического процесса, принимается:
на 1 помывку для печи-каменки 2302,9 кДж/чел. (550 ккал/чел.);
на дезинфекцию белья в камерах: огневых 837,4 кДж/кг (200 ккал/кг), паровых 1507,3 кДж/кг (360 ккал/кг), пароформалиновых 1172,4 кДж/кг (280 ккал/кг);
m - количество единиц технологического процесса.
Количество теплоты, ГДж (Гкал), на производственное пароснабжение прачечных определяется по формуле:
где

- среднечасовой расход теплоты на производственное пароснабжение, Вт (ккал/ч);

- среднее количество часов работы прачечной в сутки;

- продолжительность работы прачечной в планируемом периоде, сут.
Среднечасовой расход теплоты на производственное пароснабжение прачечных, Вт (ккал/ч), определяется по формуле:
где:

- суммарный среднечасовой расход нормального пара на производственное пароснабжение, кг/ч;

- теплосодержание нормального пара, равное 2675,5 кДж/кг (639 ккал/кг).
Суммарный среднечасовой расход нормального пара, кг/ч, определяется по формуле:
где

- удельный расход пара i-й машины j-го оборудования, кг н.п./ч;

- производительность i-й машины j-го типа, кг/ч;
n - количество однотипных машин;
m - количество типов машин.
Удельные расходы пара технологическим оборудованием принимаются по паспортным данным, а при их отсутствии по
табл. 26 Прил. 1.
2.3.13. Примеры расчета.
Пример 1. Определить годовое количество тепла, требуемое для подогрева воды на горячее водоснабжение больницы на 450 мест. Продолжительность отопительного периода составляет 206 сут., продолжительность работы системы горячего водоснабжения в году - 350 сут.
Больница оборудована ваннами и душами, общими для каждого отделения. Подача горячей воды осуществляется непрерывно в течение недели и круглосуточно. В здании смонтированы 12 неизолированных стояков с наружным диаметром труб 20 мм и длиной 23,5 м каждый. Подающий и циркуляционный трубопроводы с наружным диаметром труб соответственно 76 и 57 мм и длиной 26 м каждый расположены в подвале и изолированы минераловатной изоляцией толщиной 10 мм. Средняя температура воды в подающих стояках и циркуляционном трубопроводе 55 °C.
Температуру холодной водопроводной воды в расчете принимаем равной 5 °C в отопительный и 15 °C в неотопительный периоды.
1. По
табл. 20 Прил. 1 определяем норму горячей воды, равную 75 л на 1 больничную койку.
2. По
формуле (2.54) находим годовой расход тепла на горячее водоснабжение без учета тепловых потерь трубопроводами системы:
3. Находим удельный тепловой поток

от неизолированных стояков по
табл. 13 Приложения 1 при перепаде температур

:
4. Находим тепловой поток (потери тепла) от стояков горячего водоснабжения в помещениях больницы:
5. Находим удельный тепловой поток от подающих и циркуляционных трубопроводов, расположенных в подвале, по
формуле (2.57):
для подающего трубопровода:
для циркуляционного трубопровода:
6. Находим суммарный тепловой поток от трубопроводов, расположенных в подвале:

.
7. Находим годовые тепловые потери стояками, подающими и циркуляционными трубопроводами:
8. Определяем годовую потребность в теплоте системы горячего водоснабжения:
2.4. ОПРЕДЕЛЕНИЕ РАСХОДОВ ТЕПЛОНОСИТЕЛЯ
2.4.1. Расчетный расход сетевой воды определяется отдельно для нужд отопления, вентиляции и горячего водоснабжения с последующим их суммированием.
Расчетные расходы сетевой воды, т/ч, определяются по формулам
[10]:
на отопление
где

,

- соответственно температуры теплоносителя в подающем и обратном трубопроводах, °C.
Расчетный расход теплоносителя из тепловой сети в систему отопления при зависимой схеме может быть определен по соотношению:
где u - расчетный коэффициент смешения, равный отношению расчетного расхода подмешиваемой воды к расчетному расходу сетевой воды, определяется по формуле:
где

,

,

- соответственно температура в подающем сетевом трубопроводе, температура горячей воды, подаваемой в систему отопления после смесительного узла, температура воды в обратном трубопроводе после системы отопления, °C.
При присоединении местных систем отопления и вентиляции по независимой схеме через теплообменник расчетная температура воды в обратном трубопроводе тепловой сети после теплообменника принимается на 10 °C выше расчетной температуры воды в обратном трубопроводе от систем отопления и вентиляции.
на вентиляцию
на горячее водоснабжение (средний)
а) в открытых системах теплоснабжения:
где

- температура горячей воды в системе горячего водоснабжения при непосредственном водоразборе, принимается равной 65 °C
[СНиП 2.04.01-85*];

- температура холодной (водопроводной) воды, °C;
б) в закрытых системах теплоснабжения:
при одноступенчатой схеме
где

,

- соответственно температура сетевой воды в подающем трубопроводе в точке излома графика температуры воды и после подогревателя горячего водоснабжения, рекомендуется принимать
[13];
при параллельной схеме присоединения водоподогревателей
при двухступенчатых схемах присоединения водоподогревателей
где t' - температура воды после первой ступени подогрева при двухступенчатых схемах присоединения водоподогревателей, °C.
2.4.2. Суммарные расчетные расходы сетевой воды, т/ч, в двухтрубных тепловых сетях в открытых и закрытых системах теплоснабжения при качественном регулировании отпуска теплоты следует определять по формуле
[10]:
Коэффициент f, учитывающий долю среднего расхода воды на горячее водоснабжение при регулировании по нагрузке отопления, следует принимать:
для открытой системы теплоснабжения | |
при мощности 100 МВт и более | 0,6 |
при мощности менее 100 МВт | 0,8 |
для закрытой системы теплоснабжения при мощности | |
100 МВт и более | 1,0 |
менее 100 МВт при отсутствии баков-аккумуляторов | 1,2 |
менее 100 МВт при наличии баков-аккумуляторов | 1,0 |
При регулировании по совмещенной нагрузке отопления и горячего водоснабжения коэффициент f принимается равным 0.
Для потребителей при соотношении

и отсутствии баков-аккумуляторов, а также с тепловым потоком 10 МВт (8,6 Гкал/ч) и менее суммарный расчетный расход воды определяется по формуле:
2.4.3. Расчетный расход сетевой воды на отопление и вентиляцию, запроектированный на расчетную температуру наружного воздуха для отопления, т/ч, может быть определен с помощью удельных расходов воды по формуле:
где g - удельный расчетный расход воды, т/МВт[т/(Гкал/ч)], принимается по
табл. 15 Прил. 1.
2.4.4. Максимальный расход горячей воды

, т/ч, для жилых районов может быть определен по формуле:
где

- коэффициент часовой неравномерности, принимается по
табл. 25 Прил. 1 в зависимости от количества потребителей.
При отсутствии данных о назначении общественных зданий допускается при определении коэффициента часовой неравномерности условно численность жителей принимать с коэффициентом 1,2.
3. ОПРЕДЕЛЕНИЕ КОЛИЧЕСТВА ВЫРАБАТЫВАЕМОЙ ТЕПЛОТЫ
Общее количество вырабатываемой теплоты теплоисточником (котельной), ГДж (Гкал), определяется по формуле:
где

- количество теплоты, отпущенного в тепловую сеть от теплоисточника за рассматриваемый период, ГДж (Гкал);

- количество теплоты, расходуемое на собственные нужды теплоисточника, ГДж (Гкал), за тот же период.
Количество отпущенной теплоты, ГДж (Гкал), определяется по формуле:
где

- количество потребленной теплоты в теплоиспользующих установках потребителей, ГДж (Гкал), определяется по
разделу 2;

- количество теплоты, теряемое тепловыми сетями при транспортировании теплоносителя от источника до потребителей, ГДж (Гкал).
3.1. ОПРЕДЕЛЕНИЕ КОЛИЧЕСТВА ТЕПЛОТЫ НА СОБСТВЕННЫЕ НУЖДЫ
КОТЕЛЬНЫХ
3.1.1. Общий расход теплоты на собственные нужды котельной определяется расчетным или опытным путем исходя из потребностей конкретного теплоисточника, как сумма расходов теплоты (пара) на отдельные элементы затрат:
потери теплоты на нагрев воды, удаляемой из котла с продувкой;
расход теплоты на подогрев мазута в железнодорожных цистернах, мазутохранилищах, расходных емкостях;
расход теплоты в паровых форсунках на распыление жидкого топлива;
расход теплоты на технологические процессы подготовки воды;
расход теплоты на отопление помещений котельной и вспомогательных зданий;
расход теплоты на бытовые нужды персонала;
прочие.
где

- потери теплоты на i-й элемент собственных нужд, ГДж (Гкал);
n - количество элементов затрат на собственные нужды.
При расчетах собственные нужды котлов отнесены к статье нужд котельной, при этом принимается к.п.д. котла брутто.
Доля теплоты на собственные нужды котельной определяется по формуле:
или
3.1.2. Расход и количество теплоты, отпускаемой на отопление зданий котельной, мазутонасосной и других производственных зданий, определяется в соответствии с
разделом 2.
3.1.3. Расход теплоты на растопку паровых котлов, МВт (Гкал/ч), определяется по формуле:
где

- теплопроизводительность котла, МВт (Гкал/ч);

- показатель потери теплоты, принимается равным 0,3 ч при простое котла до 12 ч (из горячего состояния) и 0,65 ч - при простое свыше 12 ч (из холодного состояния).
Потери теплоты при растопке водогрейных котлов принимаются равными 0,9 аккумулирующей способности обмуровки. В
табл. 1 Прил. 2 приведены потери теплоты при растопке некоторыми типами водогрейных котлов.
Потери теплоты при растопке котла за расчетный период, ГДж (Гкал), определяются:
где

- показатель потерь теплоты для i-ой растопки;
n - количество растопок для котла в расчетном периоде.
Потери теплоты при растопке водогрейных котлов принимаются равными 0,9 аккумулирующей поверхности обмуровки. В
табл. 1 Прил. 2 приведены потери теплоты некоторыми типами котлов при растопке.
3.1.4. Потери теплоты на технологические нужды химводоочистки при отсутствии охладителя выпара (при наличии охладителя выпара в расчете используется первая часть формулы), ГДж (Гкал), определяются по формуле:
где

- удельный расход воды на собственные нужды ХВО, т исходной воды на 1 т химически очищенной воды, принимается по
табл. 2 Прил. 3;

- поправочный коэффициент, принимаемый 1 при наличии бака взрыхления и 1,2 при его отсутствии;

- производительность ХВО, т/ч;

- теплоемкость воды, 4,187 кДж/(кг·°C) [1 ккал/(кг·°C)];
t", t' - соответственно температура сырой воды после водоподогревателя и исходной воды, °C;

,

- продолжительность работы соответственно ХВО и деаэратора в расчетном периоде, ч;

- производительность деаэратора, т/ч;

, I' - энтальпия соответственно выпара из деаэратора и исходной воды, кДж/кг (ккал/кг).
3.1.5. Потери теплоты с продувочной водой, ГДж (Гкал), зависят от периодичности и продолжительности продувки котла и определяются по формуле:
или

,

- количество теплоты, ГДж (Гкал), выработанное за планируемый период соответственно котлом и котельной в целом;
n - количество котлов;

- коэффициент продувки, определяется в зависимости от величины продувки:
Величина продувки P, % | Коэффициент продувки Kпрод |
непрерывная | 0,01 |
5 | 0,0035 |
10 | 0,007 |
15 | 0,0105 |
Средневзвешенная величина продувки котлов по котельной, %, определяется за планируемый период по формуле:
где

- величина продувки i-го котла в планируемом периоде, %.
3.1.6. Потери теплоты баками различного назначения (декарбонизаторы, баки-аккумуляторы и пр.), ГДж (Гкал), определяются по формуле:
где

- норма плотности теплового потока через поверхность бака, Вт/м
2 (ккал/м
2), принимается по
СНиП 2.04.14-88 [15];

- поверхность бака, м
2;

- продолжительность работы бака в планируемом периоде, ч;
n - количество баков;

- пересчетный температурный коэффициент, определяется по соотношению:
где

,

- соответственно температура горячей воды в баке и усредненная температура воздуха в помещении за планируемый период, °C.
Плотности теплового потока через изоляцию баков-аккумуляторов при температуре воды в баке 65 °C и температуре окружающего воздуха 5 °C приведены в
табл. 3 Прил. 2.
3.1.7. Количество теплоты, расходуемое на хозяйственно-бытовые нужды, ГДж (Гкал), определяется по формуле:
где

- норма расхода горячей воды на одну душевую сетку, принимается 0,27 м
3/смену, в соответствии с
[9];
n - количество душевых сеток;

- коэффициент использования душевых, определяется практическим путем, при отсутствии данных принимается 1;
a - норма расхода горячей воды на 1 человека в смену, при отсутствии данных принимается 0,0141 м
3/(чел./смену) в соответствии с
[9];
m - число работающих человек в смену;

- теплоемкость воды, 4,187 кДж/(кг·°C) [1 ккал/(кг·°C)];

- плотность воды, 1000 кг/м
3;

,

- соответственно температура горячей и исходной (водопроводной) воды, °C;
Z - продолжительность планируемого периода, сут.;
N - количество смен.
3.1.8. Количество теплоты, требуемое для нужд мазутного хозяйства, ГДж (Гкал), определяется как сумма потерь теплоты для обогрева мазута в резервуарах, мазутопроводах, при сливе и паровом распыливании:
где

- потери теплоты со сливом мазута, ГДж (Гкал);

- потери теплоты при хранении мазута, ГДж (Гкал);

- расход теплоты на подогрев мазута, ГДж (Гкал);

- потери теплоты на обогрев мазутопроводов, ГДж (Гкал);

- потери теплоты при распыливании мазута, ГДж (Гкал).
3.1.9. Удельное количество теплоты на разогрев мазута при сливе, кДж/т (ккал/т), определяется по соотношению:
где

- начальная температура мазута в цистерне, °C, при отсутствии данных принимается равной от 0 до -2 °C для южного пояса, от -7 до -10 °C - для северного пояса, от -10 до -15 °C - для Сибири (через 7 сут. после наполнения температура мазута в цистерне равна температуре наружного воздуха);

- конечная температура подогрева мазута в цистерне, °C, принимается по
табл. 4 Прил. 2 в зависимости от марки мазута;

- коэффициент охлаждения, принимается 1,55 для 60-тонной, 1,71 - для 50-тонной, 2,26 - для 25-тонной цистерны;

- фактическое время разогрева и слива из цистерны, ч, принимается по
табл. 5 Прил. 2;

- плотность мазута, т/м
3.
3.1.10. Удельные потери теплоты при хранении мазута, кДж/т (ккал/т), определяются по формуле:
где F - поверхность охлаждения резервуара, м2, принимают по паспортным или фактическим данным;
K - коэффициент теплопередачи стенок резервуара, Вт/(м2·°C) [ккал/м2·ч·°C], принимается 6,98 Вт/(м2·°C) [6 ккал/(м2·ч·°C)] для металлических неизолированных резервуаров, соответственно для изолированных 3,49 (3) и 0,314 (0,27) для подземных резервуаров;

- температура наружного воздуха, °C, принимается как средняя для заданного периода (для подземных 5 °C);

- время хранения, ч;
V - емкость резервуара, м3.
Расход пара на подогрев мазута в мазутоподогревателях или расходных емкостях приведен в
табл. 6 Прил. 2.
При отсутствии данных для расчета расход пара давлением 1 - 1,2 МПа и температурой 220 - 250 °C на разогрев, слив и зачистку 10 железнодорожных систем емкостью 50 т принимается равным 7,65 т/ч (85 - 120 кг/т); расход пара на сливные лотки для 10 м двухпутной эстакады 0,1 т/ч, на промежуточные емкости объемом 200 м3 - 0,6 т/ч, 400 м3 - 1,2 т/ч, 600 м3 - 1,8 т/ч, 1000 м3 - 2 т/ч.
3.1.11. Расход теплоты на обогрев мазутопроводов, Вт (ккал/ч), определяется по формуле:
где q - плотность теплового потока от мазутопровода в окружающую среду, Вт/м, принимают по нормам плотности теплового потока
(СНиП 2.04.14-88*);
l - длина паропровода, обогревающего мазутопровод, м;

- коэффициент, учитывающий потери теплоты опорами, арматурой, компенсаторами, принимается 1,15 для бесканальной прокладки, 1,2 - для прокладки на открытом воздухе, в непроходных каналах для стальных трубопроводов диаметром до 150 мм на подвижных опорах - 1,2, на подвесных опорах - 1,05.
Количество теплоты на обогрев мазутопровода, ГДж (Гкал), определяется по формуле:
где

- продолжительность обогрева, ч.
3.1.12. Потери теплоты на паровое распыливание мазута, ГДж (Гкал), определяются по формуле:
где

- удельный расход пара на распыливание, кг/кг мазута, принимается равным 0,3 для напорных форсунок, 0,02 - 0,03 - для паромеханических форсунок;

- количество распыляемого мазута, т;

,

- энтальпия соответственно пара и питательной воды, кДж/кг (ккал/кг).
3.1.13. Количество теплоты, требуемое на обдувку поверхностей нагрева паровых котлов, ГДж (Гкал), определяется по формуле:
где

- средняя паропроизводительность i-го котла, т/ч;

- коэффициент обдувки, принимаемый равным 0,003 при паропроизводительности котла 10 т/ч и выше и 0,002 - 0,003 - при паропроизводительности менее 10 т/ч;

- продолжительность работы котла, ч;

,

- энтальпия соответственно пара и питательной воды, кДж/кг (ккал/кг);
n - количество котлов.
3.1.14. Количество теплоты, требуемое на обмывку котлов, ГДж (Гкал), определяется:
где

- теплопроизводительность котла, МВт (Гкал/ч);

- коэффициент обмывки, принимается 0,15 - 025;

- продолжительность обмывки в планируемом периоде, ч.
3.1.15. Прочие и неучтенные потери (опробование предохранительных клапанов, потери с утечками и парением, потери через изоляцию трубопроводов и пр.), ГДж (Гкал), принимаются равными:
для открытой системы теплоснабжения
для закрытой системы теплоснабжения
3.1.16. При отсутствии данных для определения расходов теплоты на собственные нужды используются нормативы расхода теплоты по элементам затрат, приведенные в
табл. 7 Прил. 2.
3.2. ОПРЕДЕЛЕНИЕ КОЛИЧЕСТВА ТЕПЛОТЫ, ТЕРЯЕМОЙ
В ТЕПЛОВЫХ СЕТЯХ
3.2.1. Количество теплоты, теряемое при транспортировании теплоносителя от теплоисточника до потребителя, ГДж (Гкал), определяется как сумма потерь с поверхности тепловой изоляции и с утечками теплоносителя:
где

,

- потери теплоты через изолированную поверхность соответственно подающего и обратного трубопроводов, ГДж (Гкал);

- потери теплоты с утечками теплоносителя, ГДж (Гкал).
3.2.2. Потери теплоты через изолированную поверхность трубопроводов за планируемый период, ГДж (Гкал), определяют по формулам:
где

,

- нормы плотности теплового потока через поверхность изоляции трубопроводов, Вт/м [ккал/(ч·м)] принимаются по
табл. 8 -
11 Прил. 2 в зависимости от вида прокладки теплопроводов и температуры теплоносителя;

,

- протяженность i-х участков трубопроводов соответственно подающего и обратного трубопроводов, м;
Z - продолжительность работы тепловых сетей в планируемом периоде, сут.;
n - количество участков тепловой сети;

- коэффициент, учитывающий тепловой поток через изолированные опоры труб, фланцевые соединения и арматуру, принимается
[15]:
Способ прокладки трубопроводов | Коэффициент  |
На открытом воздухе, в непроходных каналах, тоннелях и помещениях: | |
для стальных трубопроводов на подвижных опорах, условным проходом, м | |
до 150 | 1,2 |
150 и более | 1,15 |
для стальных трубопроводов на подвесных опорах | 1,05 |
Бесканальный | 1,15 |
При значениях средних температур грунта и теплоносителя за планируемый период, отличных от среднегодовых, принятых при расчете норм плотности теплового потока, производится пересчет по формулам:
для участков двухтрубной прокладки подземных трубопроводов
где

- суммарная норма плотности теплового потока через изолированные поверхности подающего и обратного трубопроводов, Вт/м [ккал/(ч·м)], для усредненных конкретных значений температур грунта и теплоносителя за планируемый период;

- суммарная норма плотности теплового потока через изолированные поверхности подающего и обратного трубопроводов, Вт/м [(ккал/(ч·м)], для среднегодовых значений температуры грунта и теплоносителя, принятых при расчете норм, принимается по
табл. 8,
9 Прил. 2;

,

- средние температуры теплоносителя за рассматриваемый период в подающем и обратном трубопроводах тепловой сети, °C;

,

- среднегодовые температуры теплоносителя, при которых рассчитаны нормы плотности теплового потока, °C;

- средняя температура грунта на глубине заложения трубопровода за рассматриваемый период, °C, принимается по данным местной метеостанции; для некоторых местностей температуры грунта приведены в
табл. 12 Прил. 2;
5 - температура грунта, при которой рассчитаны нормы плотности теплового потока для подземных теплопроводов, °C;
для участков надземной прокладки
для подающего трубопровода
для обратного трубопровода

,

- соответственно нормы плотности теплового потока, Вт/м [ккал/(ч·м)], принимаются по
табл. 10 Прил. 2 для подающего и обратного трубопроводов при среднегодовых значениях температур теплоносителя и наружного воздуха, принятых при расчете норм;

,

- соответственно нормы плотности теплового потока, Вт/м [ккал/(ч·м)], для конкретных значений усредненных за планируемый период температур теплоносителя в подающем и обратном трубопроводах и температуры наружного воздуха. Для новых тепловых сетей, спроектированных и построенных в соответствии со
СНиП 2.04.14-88, нормы плотности теплового потока должны приниматься по этому СНиПу;

- средняя температура наружного воздуха за рассматриваемый период, °C, принимается по данным местной метеостанции или по
СНиП 23-01-99;
5 - температура наружного воздуха, при которой рассчитаны нормы плотности теплового потока для трубопроводов, °C.
3.2.3. Расход теплоты на потери с утечкой теплоносителя, Вт (ккал/ч), определяется с учетом потерь теплоты из тепловых сетей и систем теплопотребления.
где

- расход воды на подпитку, кг/ч;

- теплоемкость воды, кДж/(кг·°C) [ккал/(кг·°C)];

,

,

- соответственно средние за планируемый период температуры воды в подающем и обратном трубопроводах и холодной (исходной), °C. Температуры теплоносителя (воды) принимаются для теплопроводов тепловой сети и местных систем отопления в зависимости от графика отпуска теплоты соответственно в тепловую сеть и систему отопления.
3.2.4. Расход воды на подпитку тепловой сети в закрытой системе теплоснабжения с зависимым присоединением систем отопления к тепловым сетям, кг/ч, определяется по формуле:
где a - нормативное значение утечки из тепловой сети и местных систем отопления, принимается для периода эксплуатации равным 0,0025 м3/(ч·м2);

,

- объемы соответственно тепловой сети и присоединенных к тепловым сетям местных систем отопления потребителей, м
3, определяются в соответствии с
разделом 6;

,

- плотность воды соответственно при средней температуре воды в тепловых сетях и системах отопления

, кг/м
3.
Количество теплоты, теряемое с утечкой из трубопроводов тепловых сетей и местных систем отопления за планируемый период, ГДж (Гкал), определяется по формуле:
где

- продолжительность планируемого периода, ч.
3.2.5. Потери теплоты изолированными теплопроводами и арматурой, расположенными в помещениях котельных и ЦТП, принимаются как сумма нормативных потерь теплопроводами и арматурой в зависимости от диаметра трубопровода, средней температуры теплоносителя и продолжительности транспортирования теплоты в течение планируемого периода (год, квартал, месяц).
Потери теплоты трубопроводами, расположенными в помещениях, определяются по
формуле (3.26), нормы плотности теплового потока для трубопроводов, расположенных в помещениях, принимаются по
табл. 11 Прил. 2.
Плотность теплового потока через поверхность изолированной арматуры Вт (ккал/ч), принимается по
табл. 13 Прил. 2.
Для помещений со средней температурой, отличной от принятой в расчете норм плотности теплового потока, 25 °C и средней температурой теплоносителя, отличной от принятой для расчета норм, производится корректировка норм плотности теплового потока по соотношению:
где

- нормы плотности теплового потока для трубопроводов с температурой теплоносителя 100 °C при температуре воздуха в помещении 25 °C;

,

- соответственно усредненные температуры теплоносителя и воздуха в помещении за рассматриваемый период, °C;

,

- соответственно температура теплоносителя, принятая при расчете норм 100 °C, и температура воздуха в помещении, принятая 25 °C.
Плотность теплового потока через неизолированную и частично изолированную арматуру определяется по формуле:
где

- нормы плотности теплового потока, Вт/м (ккал/ч·м), принимаются по
табл. 13 Прил. 2;

- эквивалентная длина i-го элемента арматуры, м, принимается по
табл. 14 Прил. 2.
Потери теплоты неизолированными фланцевыми соединениями в помещении приведены в
табл. 15 Прил. 2.
Количество теплоты, теряемое арматурой за планируемый период, кДж (ккал), вычисляется по формуле:
где

,

,

- соответственно средняя температура внутреннего воздуха, наружного за планируемый период и расчетная температура наружного воздуха для проектирования отопления, °C;

- продолжительность работы i-й арматуры в рассматриваемом периоде, ч;
n - количество арматуры.
3.2.6. Потери теплоты с поверхности тепловой изоляции паропроводов и конденсатопроводов определяются аналогично потерям водяными тепловыми сетями в соответствии с нормами плотности теплового потока для паропроводов и конденсатопроводов, приведенными в
СНиП 2.04.14-88*.
3.2.7. Потери теплоты при замене участка тепловой сети бесканальной прокладки с традиционной тепловой изоляцией теплопроводом с современной теплоизоляционной конструкцией с пенополиуретановой теплоизоляцией определяются следующим образом.
Плотность теплового потока для бесканальной двухтрубной прокладки определяется по формулам:
для подающего трубопровода
для обратного трубопровода
где

,

- полные термические сопротивления соответственно для подающего и обратного трубопроводов.
где

,

,

- соответственно термическое сопротивление тепловой изоляции, грунта и дополнительные термические сопротивления взаимного влияния теплопроводов (м·°C)/Вт [(ч·м·°C)/ккал].
где

- теплопроводность основного теплоизоляционного слоя, Вт/(м·°C) [ккал/(ч·м·°C)];

,

- соответственно диаметр трубопровода с изоляцией и наружный диаметр стального трубопровода без изоляции, м.
где

- теплопроводность грунта, Вт/(м·°C) [ккал/(ч·м·°C)];
h - глубина заложения трубопровода до его оси, м.
где

- фактор термического сопротивления взаимного влияния теплопроводов (м·°C)/Вт [(ч·м·°C)/ккал];

,

- коэффициенты, определяющие дополнительное термическое сопротивление соответственно для подающего и обратного трубопроводов.
где r - расстояние между осями трубопровода по горизонтали, м.
При проведении расчетов коэффициент теплопроводности тепловой изоляции из пенополиуретана принимается 0,03 Вт/(м·°C) [0,026 ккал/(ч·м·°C)] (данные изготовителя трубопроводов, изолированных ППУ, завода "Мосфлоулайн"). Значения коэффициентов теплопроводности традиционных теплоизоляционных материалов для бесканальной прокладки определяются с учетом увлажнения:
где

- коэффициент теплопроводности сухого теплоизоляционного материала, Вт/(м·°C) [ккал/(ч·м·°C)], принимается по
табл. 16 Прил. 2;
K - коэффициент увлажнения, учитывающий увеличение теплопроводности от увлажнения, принимается по
табл. 17 Прил. 2.
Пример 1. Определить расход теплоты на разогрев и слив мазута, поступившего в г. Самару в январе в 60-тонной цистерне.
Марка мазута М 80. Время следования в пути 72 ч. Температура мазута перед сливом 50 °C, начальная температура в цистерне -1,7 °C. Коэффициент охлаждения для 60-тонной цистерны равен 1,55. Плотность мазута 990 кг/м3. Время разогрева и слива (табл. 3.5) 10 ч.
1. По
формуле (3.16) определим удельное количество теплоты, необходимое на разогрев и слив мазута:
2. Определим количество теплоты, необходимое на разогрев и слив 60 т мазута:
Пример 2. Определить расход теплоты на компенсацию тепловых потерь при хранении мазута М 80 в изолированном резервуаре.
Масса мазута в резервуаре 2 тыс. т, поверхность резервуара 927 м2. Емкость резервуара 2150 м3. Расход топлива 100 т/сут. Плотность мазута 990 кг/м3. Коэффициент теплопередачи стенок резервуара 3,49 Вт/(м2·°C). Температура слива мазута 50 °C. Средняя температура наружного воздуха за время хранения -13,8 °C.
1. Определяем время хранения в резервуаре:
2. Определяем удельный расход теплоты на компенсацию потерь при хранении мазута по
формуле (3.17):
3. Определяем среднюю массу мазута

в резервуаре за время хранения в течение 20 сут. (480 ч) при отборе 100 т ежесуточно:
4. Определяем количество теплоты для компенсации потерь при хранении мазута:
Пример 3. Определить нормативные потери теплоты за отопительный период тепловой сетью общей протяженностью 11,6 км, в том числе: прокладка в подземных непроходных каналах трубопроводов диаметром 377 мм - 0,5 км; 273 мм - 1 км; 219 мм - 2 км; 159 мм - 2,5 км; 108 мм - 3 км; 76 мм - 1,1 км; бесканальная прокладка трубопровода диаметром 219 мм - 1 км; надземная прокладка трубопровода диаметром 377 мм - 0,5 км.
Средняя температура грунта за отопительный период 1,3 °C, средняя температура наружного воздуха за отопительный период -3 °C. Среднегодовая температура теплоносителя в подающем трубопроводе 84, в обратном - 48 °C. Продолжительность отопительного периода 218 сут. Температура холодной воды за отопительный период 5 °C.
для подземной прокладки
для надземной прокладки
2. Определяем плотность теплового потока с поверхности тепловой изоляции по видам прокладки с учетом диаметра, протяженности и поправочных коэффициентов. Нормы плотности теплового потока принимаем по
табл. 8 -
10 Прил. 2 для температуры теплоносителя в подающем трубопроводе 90 °C, в обратном - 50 °C.
По прокладке в подземных непроходных каналах
По бесканальной прокладке
По надземной прокладке
3. Определяем суммарные потери теплоты через изолированную поверхность теплопроводов за отопительный период по
формуле (3.26):
4. Определяем объем воды в двухтрубных тепловых сетях в соответствии с
табл. 3 Прил. 5.
5. Определяем потери теплоты с утечкой теплоносителя из трубопроводов тепловой сети по
формуле (3.32):
6. Определяем суммарные нормативные тепловые потери трубопроводами за отопительный период:
4. ОПРЕДЕЛЕНИЕ ПОТРЕБНОГО КОЛИЧЕСТВА ТОПЛИВА
НА ВЫРАБОТКУ ТЕПЛОТЫ
4.1. Полная потребность в условном топливе для котельной в планируемом периоде определяется с учетом потерь топлива при транспортировании и хранении, т у.т.:
где: B - потребное количество топлива на выработку теплоты котельной в планируемом периоде, кг у.т.;

- коэффициент, учитывающий потери топлива, принимается по
табл. 1 и
2 Приложения 3.
4.2. Потребность в условном топливе для выработки теплоты котельной, т у.т., определяется умножением общего количества вырабатываемой теплоты

, определяемой по
формуле (3.1), на удельную норму расхода условного топлива для выработки 1 ГДж (1 Гкал) теплоты или 1 т нормального пара:
где: b - удельный расход условного топлива, кг у.т./ГДж (кг у.т./Гкал).
4.3. Удельный расход условного топлива, кг у.т./ГДж (кг у.т./Гкал), вычисляется по формуле:
где:

- коэффициент полезного действия котлоагрегата, соответствующий номинальной загрузке котлоагрегата, %.
КПД котлоагрегата определяется на основании паспортных данных или на основании режимно-наладочных испытаний котлоагрегата, находящегося в технически исправном и отлаженном состоянии. Испытания котлоагрегатов проводятся по утвержденной методике специализированными организациями. <...> нормы расхода топлива.
Если за котлоагрегатом установлен экономайзер для нагрева питательной воды или теплообменник для подогрева дутьевого воздуха, общий КПД котлоагрегата принимается с учетом утилизатора.
4.4. Удельные нормы расхода топлива на выработку теплоты для котлоагрегатов на номинальной нагрузке (паспортные данные) приведены в
табл. 3 Приложения 3. При отклонении нагрузки от номинальной удельные нормы определяются в соответствии с нормативными характеристиками котлоагрегатов. Нормативная характеристика определяет изменение величины удельного расхода топлива, кг у.т./ГДж (кг у.т./Гкал), во всем диапазоне нагрузок котлоагрегата от минимальной до максимальной
[14].
где

- фактический КПД котельного агрегата при i-ой нагрузке.
При отклонении условий эксплуатации должны быть определены нормативные коэффициенты:
- коэффициент

, учитывающий эксплуатационную нагрузку котлоагрегата;
- коэффициент

, учитывающий работу котлоагрегата без хвостовых поверхностей нагрева;
- коэффициент

, учитывающий использование нерасчетных видов топлива.
Коэффициенты

,

,

- определяются как отношение величин удельного расхода топлива при фактических нагрузках котлоагрегата в условиях эксплуатации к удельному расходу топлива при оптимальных условиях эксплуатации при номинальной нагрузке:
При работе котлоагрегата с установленными хвостовыми поверхностями на расчетном топливе и в номинальном режиме коэффициенты равны единице.
Для некоторых типов котлов значения коэффициента

приведены в
табл. 4 Приложения 3.
Коэффициент

определяется только при отсутствии чугунных экономайзеров в котлах паропроизводительностью до 20 т/ч при параметрах, соответствующих номинальной нагрузке. Значения

в зависимости для различных видов топлива приведены ниже:
Топливо | Значение K2 |
Газ | 1,025 - 1,035 |
Мазут | 1,03 - 1,037 |
Каменный уголь | 1,07 - 1,08 |
Бурый уголь | 1,07 - 1,08 |
Меньшее значение коэффициента

принимается для котлоагрегатов типа ДКВР.ШБА, большее - для котлов типа Шухова, КРШ.ВВД.
Коэффициент

для секционных стальных и чугунных котлов типа НР-18, "Минск-1", "Универсал", "Тула-3" и др., а также для паровых котлов типа Е-1/9, топки которых оборудованы колосниковой решеткой с ручным обслуживанием, при сжигании рядовых углей с содержанием мелочи (класс 0 - 6 мм) более 60% принимается равным 1,15 - для антрацита; 1,17 - для каменных углей; 1,2 - для бурых углей.
Для остальных котлоагрегатов коэффициент

определяется по величине потерь теплоты топок от механического недожога в зависимости от типа топочного устройства, зольности и фракционного состава топлива:
где:

,

- соответственно нормативная (проектная) величина потерь теплоты от механического недожога и исходная, %;

- поправка на содержание мелочи (класс 0 - 6 мм). Величина поправки приведена ниже.
Содержание мелочи (класс 0 - 6 мм) в топливе, % | Км |
55 | 1,0 |
60 | 1,03 |
70 | 1,1 |
80 | 1,22 |
90 | 1,4 |
4.5. Удельные нормы расхода топлива на выработку 1 т нормального пара, кг у.т./т, при энтальпии пара 2675,5 кДж/кг (639 ккал/кг) при атмосферном давления определяется по соотношению:
где:

- расчетная удельная норма расхода топлива на выработку 1 т нормального пара, кг у.т./т, значения удельных норм приведены в
табл. 5 Приложения 3;

- коэффициент, учитывающий потери теплоты с продувочной водой.
Пересчет пара из котла в нормальный выполняется по формуле:
где:

- паропроизводительность котельной в нормальном паре, кг/ч;

- паропроизводительность котельной в рабочем паре, кг/ч;

,

- соответственно энтальпия пара и питательной золы, кДж/кг (ккал/кг);

- энтальпия нормального пара, равная 2675,5 кДж/кг (639 ккал/кг).
4.6. При наличии в котельной нескольких котлов разных типов средняя норма расхода условного топлива на выработку теплоты за планируемый период, кг у.т./ГДж (кг у.т./Гкал), определяется как средневзвешенная величина по формуле:
где:

- норма удельного расхода топлива для i-го котла, кг у.т./ГДж (кг у.т./Гкал);

- выработка теплоты (пара) i-м котлом за планируемый период, ГДж (Гкал);
n - количество котлов в котельной.
4.7. Удельный расход условного топлива на растопку котла с учетом технологического процесса зависит от площади поверхности нагрева котла, числа и длительности остановок котла (
табл. 5 Приложения 3).
4.8. Пересчет условного топлива

в натуральное

выполняется в соответствии с характеристикой топлива и значением калорийного эквивалента по формуле:
где: Э - калорийный коэффициент, определяемый по соотношению:
где:

- низшая теплота сгорания условного топлива, равная 29309 кДж/кг (ккал/ кг);

- низшая теплота сгорания натурального топлива (твердого, жидкого, газообразного), кДж/кг (м
3) [ккал/кг (м
3)], определяется сертификатом или лабораторным анализом.
Для приближенных расчетов можно пользоваться величинами калорийных эквивалентов, приведенными в
табл. 7 Приложения 3.
4.9. Установленные на теплоэнергетическом предприятии нормы расхода топлива подлежат корректировке на основании проведения энергосберегающих мероприятий и эксплуатационных испытаний топливоиспользующих агрегатов. Испытания должны проводиться только после проведения объектов в исправное состояние и оформления соответствующего акта.
4.10. Для контроля экономичности работы котельных и возможности сопоставления плановых показателей с отчетными потребность в топливе и удельные расходы топлива могут быть представлены в расчете на выработку теплоты, отпускаемой с коллекторов котельной.
Потребность в условном топливе на производство теплоты, отпускаемой с коллекторов котельной, т у.т./ГДж (т у.т./Гкал), определяется по формуле:
где:

- количество отпущенной теплоты за рассматриваемый период, Дж [Гкал];

- удельная норма расхода условного топлива на выработку теплоты, отпускаемой в тепловую сеть, кг у.т./ГДж (кг у.т./Гкал).
4.11. Удельный расход условного топлива, кг у.т./ГДж (кг у.т./Гкал), на отпуск теплоты определяется по формулам:
где:

- коэффициент, учитывающий расход теплоты (топлива) на собственные нужды котельной, % (см.
раздел 3),
или
где:

- средний коэффициент полезного действия нетто с учетом расхода теплоты на собственные нужды котельной, %, определяется по соотношению:
Коэффициент, учитывающий расход топлива на собственные нужды котельной, %, определяется:
где:

- удельный расход топлива на i-е нужды котельной, кг у.т./ГДж (кг у.т./Гкал);
n - количество различных собственных нужд котельной, требующих затрат топлива.
4.12. Примеры расчетов.
Пример 1. Определить потребность котельной в топливе на растопку котла с площадью поверхности нагрева 138 м2. Графиком ремонтных работ предусмотрены следующие остановки котлов: по 48 ч - 2; по 24 ч - 2; по 12 ч - 5.
1. По
табл. 6 Приложения 3 находим удельный расход топлива, кг у.т., на одну растопку котла в зависимости от продолжительности остановки и вычисляем потребность в топливе на предусмотренные графиком ремонтных работ растопки котла:
Пример 2. Определить удельную норму расхода топлива на выработку 1 т нормального пара для котельной с пятью котлами ДКВР-4/13, работающими на природном газе, КПД котлов 90,8%.
1. Находим расчетную удельную норму расхода топлива на выработку 1 т нормального пара по
табл. 5 Приложения 3 методом интерполяции:
2. Находим по
табл. 7 Приложения 1 коэффициент, учитывающий потери теплоты с продувочной водой, равный 0,13.
3. По
формуле (4.5) определяем удельную норму расхода топлива на выработку 1 т нормального пара с учетом потерь теплоты с продувочной водой:
b = 100,654 x (1 + 0,13) = 113,74 кг у.т./т.
Пример 3. Определить потребность в топливе по двум отопительным котельным.
Котельная N 1 имеет 5 котлов ДКВР-4/13, работающих на природном газе, теплотворной способностью

. Площадь поверхности нагрева каждого котла 138 м
2. КПД котлоагрегата 88%. Запланированы две остановки котлов в год продолжительностью 48 ч и более.
Годовой расход теплоты составляет: на отопление 70342 ГДж (16800 Гкал), вентиляцию 17585 ГДж (4200 Гкал), горячее водоснабжение 77041 ГДж (18400 Гкал), собственные нужды 3601 ГДж (860 Гкал), потери теплоты в тепловой сети 837 ГДж (200 Гкал).
1. Определяем годовую выработку теплоты:
2. Производим пересчет теплоты в т нормального пара по
формуле (4.6):
3. Находим удельную норму расхода условного топлива на выработку 1 т нормального пара по
формуле (4.5), принимая:
b = 103,86 x (1 + 0,13) = 117,4 кг у.т./т пара.
4. Вычисляем расход топлива на выработку пара котельной по
формуле (4.1):
5. Определяем потребность в топливе для растопки котлов. По табл. 4.3 находим удельный расход топлива для растопки котла при остановке котла на 48 ч - 800, свыше 48 ч - 1200 кг у.т.
6. Общая потребность в условном топливе для котельной N 1 составит:
Э = 35589,5 / 29309 = 1,214.
8. Определяем потребность в природном газе котельной N 1 по
формуле (4.8):
Котельная N 2 имеет два котла МГ-2, работающих на угле марки АМ теплотворной способностью 26922,4 кДж/кг (6430 ккал/кг), и обеспечивает отопление жилых зданий. Площадь поверхности нагрева одного котла 64,6 м2. Запланирована одна остановка котла в год продолжительностью более 48 ч. Годовая выработка теплоты котельной 12561 ГДж (3000 Гкал).
1. Находим удельную норму расхода условного топлива на выработку теплоты по
табл. 3 Приложения 3 равной 50,9 кг у.т./ГДж (213 кг у.т./ккал).
2. Вычисляем потребность в топливе на выработку расчетного количества теплоты:
3. Определяем потребность в топливе на растопку котлов по табл. 4.3 равной 600 кг у.т.
4. Определяем общую потребность в топливе:
5. Определяем калорийный эквивалент натурального топлива по
формуле (4.9):
Э = 26922,4 / 29309 = 0,919.
6. Вычисляем потребность котельной N 2 в угле марки АМ по
формуле (4.8):
Пример 4. Определить потребность в топливе на отпуск теплоты в тепловую сеть котельной с двумя котлами МГ-2.
Площадь поверхности нагрева каждого котла 64,6 м2, КПД брутто 65%. Котлы работают на угле марки АМ. Годовая выработка теплоты 12561 ГДж (3000 Гкал). Расход теплоты на собственные нужды 565 ГДж (135 Гкал).
1. Определяем коэффициент, учитывающий расход теплоты на собственные нужды котельной:
2. Рассчитываем средний КПД нетто котельной с учетом расхода теплоты на собственные нужды котельной по
формуле (4.13):
3. Вычисляем удельный расход условного топлива на выработку теплоты, отпускаемого в тепловую сеть:
4. Определяем количество теплоты, отпускаемой в тепловую сеть:
5. Находим потребность в условном топливе на производство теплоты, отпускаемой с коллекторов котельной:
6. Производим пересчет условного топлива в натуральное (см.
пример 3):
5. ОПРЕДЕЛЕНИЕ КОЛИЧЕСТВА ЭЛЕКТРОЭНЕРГИИ, ТРЕБУЕМОГО
ДЛЯ ВЫРАБОТКИ ТЕПЛОТЫ
5.1. Расход электроэнергии на производственные нужды условно можно разделить на технологические, связанные непосредственно с выработкой и транспортированием теплоты от котельных до потребителя, и вспомогательные (например, производственных мастерских, складов топлива и т.п.).
Расходы электроэнергии на вспомогательные нужды не учитываются в расчетах, поскольку не связаны непосредственно с процессами выработки и потребления теплоты.
5.2. Расходы на технологические нужды включают в себя расходы электроэнергии на тягодутьевые устройства (вентиляторы, дымососы); насосы питательные, циркуляционные, химводоочистки, мазутные, вакуумные; привод механизмов для транспортирования топлива в котельных, топливоподготовки, топливоподачи, шлакозолоудаления (дробилки, углезабрасыватели, транспортеры, скреперные лебедки и пр.).
5.3. Суммарное количество электроэнергии за планируемый период, кВт·ч, определяется по формуле:
где

- количество электроэнергии, требуемое соответственно для технологического оборудования, имеющего электропривод, на транспортирование теплоносителя от источника до потребителя, на перекачку теплоносителя в насосных станциях при получении теплоты со стороны, на собственные нужды котельной (освещение, вентиляцию, потери в сетях, на подъемно-транспортные, вспомогательные механизмы и пр.).
5.4. Количество электроэнергии на привод технологического оборудования, кВт·ч, определяется по формуле:
где

- номинальная мощность i-го двигателя, кВт, принимается из паспортных данных;

- полезное время работы i-го оборудования, ч;

- коэффициент использования мощности электрооборудования;

- КПД i-го электрооборудования;
n - количество электрооборудования.
5.5. Коэффициент использования мощности электрооборудования определяется практическим путем как отношение активной мощности отдельного приемника (или группы их) к номинальному (паспортному) значению:
где

- соответственно средняя активная и номинальная мощность, кВт.
Для группы приемников, имеющих различные режимы работы, определяется средневзвешенный коэффициент использования активной мощности по формуле:
где

- средневзвешенная номинальная мощность группы электрооборудования, кВт;

- период времени, к которому отнесены номинальные величины мощности, ч;

- полезное время работы каждого элемента электрооборудования за планируемый период, ч.
5.6. Количество электроэнергии, требуемое на топливоприготовление, топливоподачу, золошлакоудаление, кВт·ч, при отсутствии данных для расчета оценивается по формуле:
где

- удельный расход электроэнергии на топливоприготовление, топливоподачу и золошлакоудаление, кВт·ч/МВт (кВт·ч/Гкал), принимается по
табл. 1 Прил. 4;

- максимальная мощность котельной по отпуску теплоты, МВт (Гкал);

- продолжительность работы оборудования в планируемом периоде, ч.
5.7. Мощность электродвигателя для привода вентиляторов и дымососов, кВт, определяется по формуле:
где V - производительность вентилятора (дымососа), м3/с;
H - полное давление, создаваемое вентилятором (дымососом), мм вод. ст.;

- КПД установки, принимается по паспортным данным.
5.8. Удельная производительность тягодутьевых установок, м3/ГДж (м3/Гкал), определяется по формулам:
для вентилятора
для дымососа
где

- теоретический объем воздуха, необходимый для полного сгорания 1 м
3 (1 кг) топлива,

, принимается по
табл. 2 Прил. 4;

- теоретический объем продуктов сгорания,

, принимается по
табл. 2 Прил. 4;

- коэффициенты избытка воздуха соответственно в топке и уходящих газах, принимаются по
табл. 3 Прил. 4;

- температура холодного воздуха, принимается 20 °C;

- температура уходящих газов, °C;

- барометрическое давление, кПа.
5.9. При отсутствии данных для расчета количество электроэнергии на привод электродвигателей тягодутьевых машин, кВт·ч, приближенно можно определить по формулам:
для вентилятора
для дымососа
где

- удельные расходы электроэнергии соответственно на подачу воздуха дутьевыми вентиляторами и на удаление уходящих газов дымососами, кВт·ч/1000 м
3, принимаются по
табл. 4 Прил. 4.
5.10. Мощность электродвигателя для привода насоса, кВт, определяется по формуле:
где G - расход теплоносителя, кг/ч;
H - напор, создаваемый насосом, м;

- КПД насосной установки.
5.11. Мощность электродвигателя для привода компрессора, кВт, определяется по формуле:
где

- производительность компрессора, кг/с;
R - удельная газовая постоянная, равная 287 Дж/(кг·°К);
T - температура, °К;

- соответственно начальное и конечное давления газа, МПа;

- КПД компрессорной установки.
5.12. Мощность электродвигателей, кВт, для привода механизмов транспортеров определяется по формулам:
горизонтального ленточного транспортера без промежуточных сбрасывателей
где

- производительность транспортера, т/ч;

- рабочая длина транспортерам;

- КПД передачи, принимается равной для ременной 0,85 - 0,9, клиноременной 0,97 - 0,98, зубчатой 0,98, при помощи муфты (непосредственно) 1,0;
скребковых транспортеров и шнеков
где R - коэффициент, учитывающий увеличение сопротивления при пуске, принимается 1,2 - 1,5;

- коэффициент сопротивления материала, принимается для угля 4,2 - 1,6, для золы - 4,0;

- длина перемещения груза, м;
S - высота подъема груза, м;
ковшового элеватора
где

- производительность ковшового элеватора, т/ч.
5.13. Количество электроэнергии, необходимое для освещения котельной, кВт·ч, определяется по числу и мощности установленных светильников и продолжительности горения электрических ламп по формуле:
где

- мощность i-го установленного светильника, кВт;

- число часов использования осветительного максимума, ч, при отсутствии данных принимается для непрерывной работы при наличии естественного освещения равным 4800 ч, при отсутствии естественного освещения - 7700 ч;
n - количество светильников.
5.14. Потери электроэнергии в сетях принимаются по
табл. 5 Прил. 4.
5.15. При отсутствии данных для расчета количество электроэнергии на прочие нужды (рециркуляция воды в контуре, подпитка тепловой сети, освещение котельной, потери в распределительной сети и силовых трансформаторах, работа устройств КИП и А и пр.), кВт, может быть определено укрупненным расчетом по формуле:
где

- удельная потребляемая мощность оборудования, кВт/МВт (кВт·ч/Гкал), расход электроэнергии которым учитывается в составе расхода на выработку теплоты, принимается по
табл. 6 Прил. 4;

- расчетный расход отпускаемого количества теплоты, МВт (Гкал/ч);

- продолжительность использования максимума тепловой нагрузки, ч.
5.16. Количество электроэнергии на отпуск теплоты от ЦТП, кВт·ч, может быть определено укрупненным расчетом по формуле:
где

- удельный расход электроэнергии в ЦТП, кВт/МВт (кВт·ч/Гкал);

- тепловая мощность ЦТП, МВт (Гкал/ч);

- продолжительность использования электрической нагрузки за планируемый период, ч.
Удельный расход электроэнергии принимают 2,32 (2,7) кВт/МВт (кВт·ч/Гкал) для ЦТП, обеспечивающего горячее водоснабжение и отопление зданий по зависимой и независимой схемам; 0,76 (0,88) - для ЦТП, обеспечивающего горячее водоснабжение и отопление зданий по элеваторной схеме; 1,56 (1,81) для ЦТП (бойлерной, насосной), обеспечивающего отопление по зависимой схеме с насосами смешения и горячее водоснабжение по независимой схеме с циркуляционными насосами.
5.17. Количество электроэнергии, требуемое для освещения ЦТП, кВт·ч, определяется по формуле:
где

- удельный расход электроэнергии на освещение, принимается 0,009 кВт/м
2;
F - площадь ЦТП, м2;

- продолжительность использования осветительной нагрузки за планируемый период, ч.
5.18. Количество электроэнергии, потребляемое приборами КИП и А, кВт·ч, определяется:
где

- мощность i-го прибора, в среднем может быть принята 0,065 кВт;

- продолжительность действия прибора в течение рассматриваемого периода;
n - количество приборов.
5.19. Предельные значения удельных расходов электроэнергии на выработку теплоты котельными, кВт/МВт (кВт·ч/Гкал), приведены в
табл. 7 -
9 Прил. 4.
5.20. Для ориентировочных расчетов количество электроэнергии, потребляемое электрооборудованием котельной, кВт·ч, можно определить по формуле:
где

- расчетная электрическая нагрузка i-го электроприемника, кВт, определяемая по
формуле (5.22);

- продолжительность использования электрооборудования в планируемом периоде, ч;
n - количество электрооборудования.
где

- установленная (паспортная) мощность электроприемника, кВт;

- коэффициент спроса, определяется опытным путем, ориентировочные значения для различного оборудования приведены в
табл. 10 Прил. 4.
5.21. Примеры расчетов.
Пример 1. Определить мощность электродвигателя для привода дымососа ДН-9 на котле, работающем на Кузнецком каменном угле с максимальным расходом топлива 287 кг/ч. Полное давление, создаваемое дымососом, 8,4 мм вод. ст., КПД установки 0,69. Тепловая мощность котла 2,5 МВт (2,15 Гкал/ч). Температура уходящих газов 180 °C.
1. Определяем теоретический объем продуктов сгорания по
табл. 2 Прил. 4 равным 6,58 нм
3/кг: коэффициент избытка воздуха в уходящих газах 1,6.

.
Пример 2. Определить потребляемую мощность и количество электроэнергии за отопительный период для сетевого насоса 3К45-30. Производительность насоса 49,1 т/ч, напор 30,5 м, КПД насосной установки 0,7. Продолжительность отопительного периода 4920 ч.
1. Определяем расчетную электрическую мощность:

.
Э = 5,83 x 4920 x 0,8 = 22946,88 кВт·ч.
Пример 3. Определить годовую потребность в электроэнергии отопительно-производственной котельной с четырьмя котлами ДЕ 4-14 ГМ. Котельная работает на нужды отопления, горячего водоснабжения и технологические нужды.
В котельной установлены: 4 дымососа ДН-9 с электродвигателями мощностью 5,7 кВт, работающие в отопительный период, в неотопительный период - 2 дымососа; 4 дутьевых вентилятора ВДН-8 с электродвигателями мощностью 5,7 кВт, режим работы в течение года, как у дымососов; вентилятор отделения декарбонизации с электродвигателем 1,5 кВт; сетевой насос ЦНС 60-9Э с электродвигателем мощностью 30 кВт; насос блока приготовления исходной воды с электродвигателем мощностью 7 кВт; насос декарбонизированной воды ЭКМ-6 с электродвигателем мощностью 17 кВт; насос промывочной воды водород-катионитовых фильтров 2К-20/18 с электродвигателем 1,5 кВт; насос перекачки крепкого раствора соли ХВ-13-Л1-52 с электродвигателем мощностью 3 кВт; перекачивающий насос 2КМ-20/30 с электродвигателем мощностью 3 кВт; насос горячего водоснабжения ЦНС 38-44 с электродвигателем мощностью 7 кВт, подпиточный насос 2КМ-20/30 с электродвигателем мощностью 4 кВт; питательный насос ЦНСГ 38-176 с электродвигателем мощностью 30 кВт; компрессор СО7А с электродвигателем мощностью 4 кВт. Котельная освещается 12 светильниками с мощностью ламп 0,1 кВт каждый.
Длительность отопительного периода 4920 ч. Число часов работы насосов: сетевого - 4920, горячего водоснабжения, подпиточного, питательного декарбонизированной воды, исходной воды - 8400, перекачки соляного раствора, промывки и взрыхления фильтров - 600, перекачивающего - 2600. Продолжительность работы вентилятора отделения декарбонизации 8400, компрессора - 1800 ч. Продолжительность действия осветительной нагрузки 4800 ч.
Оборудование | Мощность электродвигателя, кВт | Коэффициент спроса Kc | Расчетная мощность NKc, кВт | Продолжительность работы, ч | Расход электроэнергии, кВт·ч |
Дымосос ДН9 | 5,7 x 2 | 0,95 | 10,83 | 8400 | 90972,0 |
| | | 3480 | 37688,4 |
Вентилятор ВДН-8 | 5,7 x 2 | 0,95 | 10,83 | 8400 | 90972,0 |
| | | 3480 | 37688,4 |
Вентилятор Ц4-70 N 3 | 1,5 | 0,7 | 1,05 | 8400 | 8820,0 |
Насос: | | | | | |
сетевой | 30,0 | 0,8 | 24,0 | 4920 | 118080 |
исходной воды | 7,0 | 0,8 | 5,6 | 8400 | 47040 |
декарбонизированной воды | 17,0 | 0,8 | 13,6 | 8400 | 114240 |
промывочной воды | 1,5 | 0,7 | 1,05 | 600 | 630 |
перекачки соляного раствора | 3,0 | 0,8 | 2,4 | 600 | 1440 |
перекачивающий | 3,0 | 0,8 | 2,4 | 2600 | 6240 |
горячего водоснабжения | 7,0 | 0,8 | 5,6 | 8400 | 47040 |
подпиточный | 4,0 | 0,8 | 3,2 | 8400 | 26880 |
питательный | 30 | 0,8 | 24,0 | 8400 | 201600 |
Компрессор | 4,0 | 0,7 | 2,8 | 1800 | 5040 |
ИТОГО | 834370,8 |
2. Определяем количество электроэнергии на освещение по
формуле (5.16):

.
3. Определяем общее количество электроэнергии, потребляемое котельной за год:

.
6. ОПРЕДЕЛЕНИЕ КОЛИЧЕСТВА ВОДЫ ДЛЯ ВЫРАБОТКИ ТЕПЛОТЫ
6.1. Количество воды на коммунальных теплоэнергетических предприятиях, требуемое для выработки теплоты, слагается из расходов на разовое наполнение систем отопления, вентиляции, трубопроводов тепловых сетей, расходов на подпитку системы теплоснабжения, собственные нужды котельной:
где

- объем воды на заполнение тепловой сети, м
3;

- объем воды на подпитку системы теплоснабжения, м
3;

- объем воды на собственные нужды, м
3;

- объем воды на заполнение системы отопления i-го потребителя, м
3;
n - количество потребителей.
6.2. Объем воды на наполнение систем отопления, м3, присоединенных потребителей определяется по показаниям приборов учета, а при их отсутствии по формуле:
где v - удельный объем воды, м
3/МВт (м
3/(Гкал/ч)), определяется в зависимости от характеристики системы и расчетного графика температур по
табл. 1 Прил. 5;

- максимальный тепловой поток на отопление i-го потребителя, МВт (Гкал/ч);
n - количество систем отопления.
Объем воды в отдельных элементах системы отопления приведен в
табл. 2 Прил. 5.
6.3. Объем воды на наполнение местных систем горячего водоснабжения при открытой системе теплоснабжения определяется из расчета 5,2 м3/МВт (6 м3/(Гкал/ч)) среднечасовой расчетной мощности горячего водоснабжения.
6.4. При отсутствии данных о типе нагревательных приборов допускается принимать ориентировочно удельный объем воды на наполнение местных систем отопления зданий по всему объему в размере 25,9 м3/МВт (30 м3/(Гкал/ч)) суммарного расчетного часового расхода теплоты на отопление и вентиляцию.
6.5. Объем воды для наполнения трубопроводов тепловых сетей, м3, вычисляется в зависимости от их площади сечения и протяженности по формуле:
где

- удельный объем воды в трубопроводе i-го диаметра протяженностью 1 м, м
3/м, принимается по
табл. 3 Прил. 5;

- протяженность участка тепловой сети i-го диаметра, км;
n - количество участков сети.
Число наполнений определяется графиком работ по ремонту и испытаниям тепловых сетей.
6.6. Общий удельный объем воды на заполнение местных систем и наружных тепловых сетей ориентировочно допускается принимать в размере 34,5 - 43,1 м3/МВт (40 - 50 м3/(Гкал/ч)) расхода отпущенной теплоты.
6.7. Количество подпиточной воды для восполнения потерь теплоносителя в системах теплопотребления и трубопроводах тепловой сети должно соответствовать величинам утечек для закрытой системы теплоснабжения, для открытой системы теплоснабжения дополнительно и количеству воды, отобранной для нужд горячего водоснабжения.
При эксплуатации с учетом возможных колебаний утечки в течение года в зависимости от режимных условий работы системы теплоснабжения норма утечки воды для закрытой системы принимается равной 0,0025/ч от объема воды в трубопроводах тепловых сетей и непосредственно присоединяемых к ним местных систем отопления и вентиляции зданий
[17].
Расход воды на подпитку, м3/ч, составит:
для закрытой системы теплоснабжения
где V - объем воды в трубопроводах тепловых сетей и непосредственно присоединенных местных систем отопления и вентиляции, м3;
для открытой системы теплоснабжения
где

- среднечасовой расход воды на горячее водоснабжение, м
3/ч, определяется по формуле:
где

- норма расхода горячей воды для потребителя в сутки, м
3/сутки, определяется по
табл. 21 Прил. 1;

- количество потребителей с нормой расхода горячей воды

;

- продолжительность действия системы горячего водоснабжения в сутки, ч;
n - количество различных потребителей.
6.8. Количество воды, потребное для возмещения утечки, м3, определяется по формуле:
где

- продолжительность планируемого периода подпитки с расходом

, ч.
6.9. Для плановых расчетов количество воды, необходимой для выработки теплоты котельными, работающими только на отопление и вентиляцию, можно пользоваться укрупненными нормативами расхода воды на разовое наполнение и подпитку систем отопления и наружных тепловых сетей в размере 0,1 - 0,12 м
3/ГДж (0,4 - 0,5 м
3/Гкал).
6.10. Расход воды на продувку определяется качеством воды, подаваемой в котел, и в каждом случае должен рассчитываться в соответствии с конкретными условиями. В общем случае расход воды на продувку, кг/ч, определяется по формулам:

- расход возвращаемого конденсата, кг/ч;

- расход добавляемой химически очищенной воды, кг/ч;

- паропроизводительность котла, кг/ч, принимается из технической характеристики или по испытаниям;

- характеристика (щелочность или сухой остаток) соответственно конденсата, добавляемой воды и пара, г-экв./кг или г/кг;

- характеристика установленной концентрации в котловой воде, г-экв./кг или г/кг;
b - количество отсепарированного пара в долях от расхода продуваемой воды;

- производительность котла соответственно по перегретому и насыщенному пару, кг/ч;

- солесодержание или щелочность соответственно питательной воды, котловой воды, пара, мг-экв./л, определяется химическим анализом.
Величины

- устанавливаются теплотехническими испытаниями котлоагрегата.
6.11. При отсутствии данных для расчета расход воды на продувку, кг/ч, определяется ориентировочно по формуле:
где

- коэффициент, учитывающий расход тепла на продувку, принимается по
табл. 7 Прил. 2;

- номинальная производительность котельной, МВт/(Гкал/ч);

- энтальпия соответственно котловой воды при температуре насыщения и питательной воды, кДж/кг (ккал/кг).
Требуемое количество воды на продувку, кг, определяется:
где

- продолжительность продувки, ч.
6.12. Общее количество воды на нужды водоподготовки, м3, определяется по формуле:
где

- количество воды, требуемое для i-го фильтра, м
3, определяется по
табл. 4,
5 Прил. 5;
n - количество одинаковых фильтров;
m - количество процессов взрыхления и регенерации для i-го фильтра;
p - количество разных фильтров;

- количество воды, выпариваемое в деаэраторе (при отсутствии охладителя выпара), м
3, определяется по формуле:
где

- производительность деаэратора, м
3/ч;

- продолжительность работы деаэратора, ч.
6.13. При отсутствии данных общее количество воды на водоподготовку может быть найдено по укрупненным данным по формуле:
где

- производительность ХВО, т/ч;

- удельный расход воды на собственные нужды ХВО, т, исходной воды на 1 т химически очищенной воды, в зависимости от общей жесткости воды принимается по
табл. 2 Прил. 2;

- поправочный коэффициент, принимаемый равным 1 при наличии бака взрыхления и 1,2 при его отсутствии.
6.14. Расход воды на хозяйственно-питьевые нужды, м3/ч, определяется по формуле:
где

- норма расхода воды на одну душевую сетку, принимается 0,5 м
3/сутки;

- количество душевых сеток;

- коэффициент использования душевых за 1 ч наибольшего водопотребления, определяется практическим путем, при отсутствии данных принимается равным 0,5;
a - норма расхода воды на 1 человека в смену, при отсутствии данных принимается равной 0,045 м3/(сут.·чел.);
M - численность работающих в сутки, чел.
Количество воды, расходуемой на хозяйственно-питьевые нужды, м3, определяется по формуле:
где Z - продолжительность планируемого периода, сут.
6.15. При отсутствии данных для расчета расход воды на хозяйственно-питьевые нужды котельной (души, умывальники, охлаждение подшипников, вращающихся механизмов и пр.) ориентировочно принимается 2 - 3 м3/сут. на 1 т производительности котлов.
6.16. На систему шлакозолоудаления используют воду после промывки фильтров, из душевых и умывальников и другую загрязненную на производстве воду. Удельные количества воды на системы шлакозолоудаления, м
3/т, шлака и золы, приведены в
табл. 6 Прил. 5.
6.17. Удельные потери воды на паровое распыливание мазута принимаются 0,3 для напорных форсунок и 0,02 - 0,03 кг/кг мазута для паромеханических форсунок.
6.18. Количество воды, требуемой на обмывку котлов, кг, определяется по формуле:
где

- количество теплоты, затраченное на обмывку котлов, ГДж (Гкал), определяется в соответствии с
разделом 3;

- соответственно температура горячей и исходной воды, °C.
6.19. Для отопительных котельных при закрытой системе теплоснабжения потребное количество воды, м3, ориентировочно может быть определено по формуле:
где g - удельный расход воды, т/ч·МВт, принимается по
табл. 1 Прил. 5;

- плотность воды, т/м
3, принимается по
табл. 19 Прил. 1;

- тепловая мощность котельной, МВт (Гкал/ч);

- коэффициент использования максимума нагрузки;
Z - продолжительность котельной в планируемом периоде, ч.
При открытой системе теплоснабжения к принятому по
формуле (6.21) значению следует добавить количество воды на горячее водоснабжение за расчетный период, при наличии мокрого золоулавливания и гидрозолоудаления следует учесть и этот расход.
6.20. Примеры расчетов.
Пример 1. Определить количество воды, необходимое для наполнения и подпитки тепловых сетей и присоединенных к ним систем отопления зданий, получающих тепло от котельной, работающей по режиму 150 - 70 °C. Система теплоснабжения закрытая.
Годовая выработка теплоты котельной 25122 ГДж (6000 Гкал), расчетный расход теплоты 2,984 МВт (2,75 Гкал/ч). Протяженность тепловой сети 800 м, из них 200 м диаметром 150 мм и 600 м диаметром 108 мм. Здания оборудованы чугунными радиаторами высотой 500 мм, температурный график отопления 95 - 70 °C.
Продолжительность отопительного периода 182 сут., расчетная температура наружного воздуха -25 °C, средняя температура наружного воздуха за отопительный период -3,4 °C.
1. Определяем количество воды, требуемое для заполнения систем отопления по
формуле (6.2). Предварительно находим удельный объем воды в местных системах отопления зданий при перепаде температур в системе отопления 95 - 70 °C по
табл. 1 Прил. 5 равным 16,8 м
3/МВт:
2. Определяем количество воды, требуемое для заполнения наружных тепловых сетей по
формуле (6.3), используя данные
табл. 3 Прил. 5:

.
3. Рассчитаем количество подпиточной воды в соответствии с нормой подпитки по
формулам (6.4) и
(6.7):

.
4. Находим общее количество воды на заполнение и подпитку системы теплоснабжения:
V = 50,131 + 8,242 + 637,433 = 695,806 м3.
Пример 2. Определить количество воды на нужды котельной с годовой выработкой тепла 12561 ГДж (3000 Гкал).
Расчет ведем по укрупненным данным в соответствии с
п. 6.9, принимая удельное количество воды в среднем 0,11 м
3/ГДж.
Общее количество воды для годовой выработки тепла составит:
V = 0,11 x 12561 = 1381,71 м3.
Пример 3. Определить годовое количество воды на собственные нужды химводоочистки и на выпар деаэратора. Химводоочистка оборудована двумя натрий-катионитовыми фильтрами диаметром 1000 мм. Регенерация фильтров производится 2 раза в сутки. При взрыхлении фильтров используется отмывочная вода. Производительность деаэратора 153 м3/ч. Продолжительность работы отделения водоподготовки 350 сут.
1. Находим расход воды на взрыхляющую промывку по
табл. 5 Прил. 5 равным 2,1 м
3 и на регенерацию фильтра 7,3 м
3.
V = (2,1 + 7,3)2 x 2 x 350 + 0,004 x 153 x 350 x 24 =
= 18300,8 м3.
Пример 4. Определить расход воды за год на бытовые нужды котельной, работающей в три смены в течение 350 дней в году. Численность работающих в первой смене 8, во второй - 4, в третьей - 3 чел. Бытовые помещения оборудованы душем с двумя душевыми сетками. Коэффициент использования душевых 0,5.
V = [0,5 x 2 x 0,5 x 3 + 0,045(8 + 4 + 3)]350 =
= 761,25 м3.
ТАБЛИЦЫ
ДЛЯ ОПРЕДЕЛЕНИЯ КОЛИЧЕСТВА ПОТРЕБЛЯЕМОЙ ТЕПЛОТЫ
СРЕДНЯЯ ТЕМПЕРАТУРА ВНУТРЕННЕГО ВОЗДУХА ДЛЯ ЗДАНИЙ
РАЗЛИЧНОГО НАЗНАЧЕНИЯ
Наименование здания | Средняя температура внутреннего воздуха ti, °C |
Гостиницы, общежития, административные здания | 18 - 20 |
Детские сады, ясли, поликлиники, амбулатории, диспансеры, больницы | 20 |
Высшие и средние специальные заведения, общеобразовательные школы, школы-интернаты, лаборатории, предприятия общественного питания, клубы, дома культуры | 16 |
Театры, магазины, пожарные депо, прачечные | 15 |
Кинотеатры | 14 |
Гаражи | 10 |
Бани | 25 |
Примечание. Средняя температура внутреннего воздуха для зданий принята по данным проектов общественных зданий и учреждений обслуживания.
ПОПРАВОЧНЫЙ КОЭФФИЦИЕНТ, УЧИТЫВАЮЩИЙ РАЙОН
СТРОИТЕЛЬСТВА ЗДАНИЯ
tо, °C | 0 | -5 | -10 | -15 | -20 | -25 | -30 | -35 | -40 | -45 | -50 | -55 |
| 2,05 | 1,67 | 1,45 | 1,29 | 1,17 | 1,08 | 1,0 | 0,95 | 0,90 | 0,85 | 0,82 | 0,80 |
УДЕЛЬНЫЕ ОТОПИТЕЛЬНЫЕ ХАРАКТЕРИСТИКИ ЖИЛЫХ ЗДАНИЙ,
ПОСТРОЕННЫХ ДО 1930 Г.
Объем здания по наружному обмеру Vн, м3 | Удельная отопительная характеристика здания qо, построенного до 1930 г., Вт/(м3·°C) [ккал/(ч·м3·°C)], для районов с наружной температурой воздуха tо |
ниже -30 | от -20 до -30 | выше -20 |
500 - 2000 | 0,430 (0,370) | 0,477 (0,410) | 0,523 (0,450) |
2001 - 5000 | 0,326 (0,280) | 0,349 (0,300) | 0,442 (0,380) |
5001 - 10000 | 0,279 (0,240) | 0,308 (0,265) | 0,331 (0,285) |
10001 - 15000 | 0,244 (0,210) | 0,267 (0,230) | 0,291 (0,250) |
15001 - 25000 | 0,227 (0,195) | 0,244 (0,210) | 0,267 (0,230) |
Более 25000 | 0,215 (0,185) | 0,227 (0,195) | 0,250 (0,215) |
УДЕЛЬНАЯ ОТОПИТЕЛЬНАЯ ХАРАКТЕРИСТИКА qо ДЛЯ ЖИЛЫХ ЗДАНИЙ
ПОСТРОЙКИ 1930 - 1958 ГГ. И ПОСЛЕ 1958 Г.
Объем здания по наружному обмеру Vн, м3 | Удельная отопительная характеристика здания qо, Вт/(м3·°C) [ккал/(ч·м3·°C)], для районов с расчетной температурой наружного воздуха tо = -30 °C, постройки |
1930 - 1958 гг. | после 1958 г. |
1 | 2 | 3 |
100 | 0,861 (0,74) | 1,07 (0,92) |
200 | 0,768 (0,66) | 0,954 (0,82) |
300 | 0,721 (0,62) | 0,907 (0,78) |
400 | 0,698 (0,60) | 0,861 (0,74) |
500 | 0,675 (0,58) | 0,826 (0,71) |
600 | 0,651 (0,56) | 0,802 (0,69) |
700 | 0,628 (0,54) | 0,791 (0,68) |
800 | 0,616 (0,53) | 0,779 (0,67) |
900 | 0,605 (0,52) | 0,768 (0,66) |
1000 | 0,593 (0,51) | 0,756 (0,65) |
1100 | 0,593 (0,50) | 0,721 (0,62) |
1200 | 0,570 (0,49) | 0,698 (0,60) |
1300 | 0,558 (0,48) | 0,686 (0,59) |
1400 | 0,547 (0,47) | 0,675 (0,58) |
1500 | 0,547 (0,47) | 0,663 (0,57) |
1700 | 0,535 (0,46) | 0,640 (0,55) |
2000 | 0,523 (0,45) | 0,616 (0,53) |
2500 | 0,512 (0,44) | 0,605 (0,52) |
3000 | 0,500 (0,43) | 0,582 (0,50) |
3500 | 0,488 (0,42) | 0,558 (0,48) |
4000 | 0,465 (0,40) | 0,547 (0,47) |
4500 | 0,454 (0,39) | 0,535 (0,46) |
5000 | 0,442 (0,38) | 0,523 (0,45) |
6000 | 0,430 (0,37) | 0,500 (0,43) |
7000 | 0,419 (0,36) | 0,488 (0,42) |
8000 | 0,407 (0,35) | 0,477 (0,41) |
9000 | 0,395 (0,34) | 0,465 (0,40) |
10000 | 0,384 (0,33) | 0,454 (0,39) |
11000 | 0,372 (0,32) | 0,442 (0,38) |
12000 | 0,361 (0,31) | 0,442 (0,38) |
13000 | 0,349 (0,30) | 0,430 (0,37) |
14000 | 0,349 (0,30) | 0,430 (0,37) |
15000 | 0,337 (0,29) | 0,430 (0,37) |
20000 | 0,326 (0,28) | 0,430 (0,37) |
25000 | 0,326 (0,28) | 0,430 (0,37) |
30000 | 0,326 (0,28) | 0,430 (0,37) |
35000 | 0,326 (0,28) | 0,407 (0,35) |
40000 | 0,314 (0,27) | 0,407 (0,35) |
45000 | 0,314 (0,27) | 0,395 (0,34) |
50000 | 0,302 (0,26) | 0,395 (0,34) |
Примечание. Для расчетной наружной температуры, отличной от

= -30 °C, при определении удельных отопительных характеристик следует применять поправочный коэффициент

УДЕЛЬНАЯ ОТОПИТЕЛЬНАЯ ХАРАКТЕРИСТИКА q
о ЖИЛЫХ ЗДАНИЙ
ПО ТИПОВЫМ ПРОЕКТАМ
Тип здания | Расчетная температура наружного воздуха tо, °C | Объем здания Vн, м3 | Теплопотери, Вт (ккал/ч) | Удельная отопительная характеристика qо, Вт/(м3·°C) [ккал/(ч·м3·°C)] |
1 | 2 | 3 | 4 | 5 |
П 43/16 | -26 | 24951 | 514743 (442600) | 0,469 (0,403) |
П 42/16 | -26 | 28676 | 576336 (495560) | 0,457 (0,393) |
П 30-6/12 | -26 | 22423 | 333130 (286440) | 0,337 (0,290) |
П 30-5/12 | -26 | 33616 | 496752 (427130) | 0,336 (0,289) |
П 30-4/12 | -26 | 22373 | 327245 (281380) | 0,333 (0,286) |
П 30-3/12 | -26 | 33552 | 490867 (422070) | 0,333 (0,286) |
П 30-2/12 | -26 | 33603 | 496752 (427130) | 0,336 (0,289) |
П 30-1/12 | -26 | 22426 | 333130 (286440) | 0,337 (0,290) |
И-700Л | -25 | 49665 | 915886 (787520) | 0,429 (0,369) |
П 46-2/12в | -26 | 18373 | 150609 (129500) | 0,186 (0,160) |
П 55-4/12 | -25 | 8422 | 190732 (164000) | 0,527 (0,453) |
П 55-2/12 | -25 | 12279 | 264001 (227000) | 0,500 (0,430) |
П 44-1/16 | -25 | 14600 | 232716 (200100) | 0,371 (0,319) |
П 44-4/6 | -26 | 15820 | 300054 (258000) | 0,441 (0,379) |
1605АМ-04/120 | -25 | 36149 | 627429 (539500) | 0,404 (0,347) |
П 3/16 | -26 | 33710 | 483529 (415760) | 0,326 (0,280) |
П 31/12 | -26 | 45430 | 707441 (608290) | 0,354 (0,304) |
П 47/12 | -26 | 36547 | 560566 (482000) | 0,349 (0,300) |
П-68-01/160-2/78 | -25 | 22828 | 393094 (338000) | 0,400 (0,344) |
УДЕЛЬНЫЕ ТЕПЛОВЫЕ ХАРАКТЕРИСТИКИ ДЛЯ ОТОПЛЕНИЯ
qо И ВЕНТИЛЯЦИИ qv ДЛЯ ОБЩЕСТВЕННЫХ ЗДАНИЙ
Наименование здания | Объем здания по наружному обмеру Vн, тыс. м3 | Удельная тепловая характеристика общественных зданий при tо = -30 °C, Вт/(м3·°C) [ккал/(ч·м3·°C)] |
для отопления qо | для вентиляции qv |
1 | 2 | 3 | 4 |
Административные здания | До 5 | 0,500 (0,43) | 0,105 (0,09) |
5,01 - 10 | 0,442 (0,38) | 0,093 (0,08) |
10,01 - 15 | 0,407 (0,35) | 0,081 (0,07) |
Более 15 | 0,372 (0,32) | 0,186 (0,16) |
Клубы | До 5 | 0,430 (0,37) | 0,291 (0,25) |
5,01 - 10 | 0,384 (0,33) | 0,267 (0,23) |
Более 10 | 0,349 (0,30) | 0,233 (0,20) |
Кинотеатры | До 5 | 0,419 (0,36) | 0,500 (0,43) |
5,01 - 10 | 0,372 (0,32) | 0,454 (0,39) |
Более 10 | 0,349 (0,30) | 0,442 (0,38) |
Театры | До 10 | 0,337 (0,29) | 0,447 (0,41) |
10,01 - 15 | 0,314 (0,27) | 0,465 (0,40) |
15,01 - 20 | 0,256 (0,22) | 0,442 (0,38) |
20,01 - 30 | 0,233 (0,20) | 0,419 (0,36) |
Более 30 | 0,209 (0,18) | 0,395 (0,34) |
Универмаги, универсамы, магазины | До 5 | 0,442 (0,38) | - |
5,01 - 10 | 0,384 (0,33) | 0,093 (0,08) |
Более 10 | 0,361 (0,31) | 0,314 (0,27) |
Детские сады и ясли | До 5 | 0,442 (0,38) | 0,128 (0,11) |
Более 5 | 0,395 (0,34) | 0,116 (0,10) |
Школы | До 5 | 0,454 (0,39) | 0,105 (0,09) |
5,01 - 10 | 0,407 (0,35) | 0,093 (0,08) |
Более 10 | 0,384 (0,33) | 0,08 (0,07) |
Лабораторные корпуса | До 5 | 0,430 (0,37) | 1,163 (1,0) |
5,01 - 10 | 0,407 (0,35) | 1,105 (0,95) |
Более 10 | 0,384 (0,33) | 1,047 (0,90) |
Высшие учебные заведения, техникумы, колледжи | До 10 | 0,407 (0,35) | - |
10,01 - 15 | 0,384 (0,33) | 0,116 (0,10) |
15,01 - 20 | 0,349 (0,30) | 0,093 (0,08) |
Более 20 | 0,279 (0,24) | 0,093 (0,08) |
Поликлиники, амбулатории, диспансеры | До 5 | 0,465 (0,40) | - |
5,01 - 10 | 0,419 (0,36) | 0,291 (0,25) |
10,01 - 15 | 0,372 (0,32) | 0,267 (0,23) |
Более 15 | 0,349 (0,30) | 0,256 (0,22) |
Больницы | До 5 | 0,465 (0,40) | 0,337 (0,29) |
5,01 - 10 | 0,419 (0,36) | 0,326 (0,28) |
10,01 - 15 | 0,372 (0,32) | 0,302 (0,26) |
Более 15 | 0,349 (0,30) | 0,291 (0,26) |
Бани | До 5 | 0,326 (0,28) | 1,163 (1,0) |
5,01 - 10 | 0,291 (0,25) | 1,105 (0,95) |
Более 10 | 0,267 (0,23) | 1,047 (0,90) |
Прачечные | До 5 | 0,442 (0,38) | 0,930 (0,80) |
5,01 - 10 | 0,384 (0,33) | 0,907 (0,78) |
Более 10 | 0,361 (0,31) | 0,872 (0,75) |
Гостиницы | До 5 | 0,500 (0,43) | 0,377 (0,32) |
5,01 - 10 | 0,442 (0,38) | 0,335 (0,29) |
10,01 - 15 | 0,407 (0,45) | 0,293 (0,25) |
Более 15 | 0,372 (0,32) | 0,754 (0,65) |
Предприятия общественного питания, фабрики-кухни, рестораны, кафе | До 5 | 0,407 (0,35) | 0,814 (0,70) |
5,01 - 10 | 0,384 (0,33) | 0,756 (0,65) |
Более 10 | 0,349 (0,30) | 0,698 (0,60) |
Пожарные депо | До 2 | 0,558 (0,48) | 0,163 (0,14) |
2,01 - 5 | 0,535 (0,46) | 0,105 (0,09) |
Более 5 | 0,523 (0,45) | 0,105 (0,09) |
Гаражи | До 2 | 0,814 (0,70) | - |
2,01 - 3 | 0,698 (0,60) | - |
3,01 - 5 | 0,640 (0,55) | 0,814 (0,70) |
Более 5 | 0,582 (0,50) | 0,756 (0,65) |
Примечание. Для других расчетных температур наружного воздуха

при определении удельной отопительной характеристики

следует применять поправочный коэффициент

значения которого приведены в табл.
УДЕЛЬНЫЕ ТЕПЛОВЫЕ ХАРАКТЕРИСТИКИ ДЛЯ ОТОПЛЕНИЯ
qо И ВЕНТИЛЯЦИИ qv ДЛЯ ПРОИЗВОДСТВЕННЫХ ЗДАНИЙ
Наименование здания | Объем здания по наружному обмеру, тыс. м3 | Удельная тепловая характеристика производственного задания qо при tо = -30 °C, Вт/(м3·°C) [ккал/(ч·м3·°C)] |
для отопления qо | для вентиляции qv |
1 | 2 | 3 | 4 |
Цеха: | 10 - 15 | 0,35 - 0,29 (0,3 - 0,25) | 1,38 - 1,16 (1,1 - 1,0) |
чугунолитейный | 50 - 100 | 0,29 - 0,26 (0,25 - 0,22) | 1,16 - 1,05 (1,0 - 0,9) |
100 - 150 | 0,26 - 0,21 (0,22 - 0,18) | 1,05 - 0,93 (0,9 - 0,8) |
меднолитейный | 5 - 10 | 0,47 - 0,41 (0,40 - 0,35) | 2,91 - 2,33 (2,5 - 2,0) |
10 - 20 | 0,41 - 0,29 (0,36 - 0,25) | 2,33 - 1,74 (2,0 - 1,5) |
20 - 30 | 0,29 - 0,23 (0,25 - 0,20) | 1,74 - 1,40 (1,5 - 1,2) |
термический | До 10 | 0,47 - 0,35 (0,40 - 0,30) | 1,51 - 1,40 (1,3 - 1,2) |
10 - 30 | 0,35 - 0,29 (0,30 - 0,25) | 1,40 - 1,16 (1,2 - 1,0) |
30 - 75 | 0,29 - 0,23 (0,25 - 0,20) | 1,16 - 0,70 (1,0 - 0,6) |
кузнечный | До 10 | 0,47 - 0,35 (0,40 - 0,30) | 0,81 - 0,70 (0,7 - 0,6) |
10 - 50 | 0,35 - 0,29 (0,30 - 0,25) | 0,70 - 0,58 (0,6 - 0,5) |
50 - 100 | 0,29 - 0,17 (0,25 - 0,15) | 0,58 - 0,35 (0,5 - 0,3) |
механосборочный, механический, слесарное отделение инструментального | 5 - 10 | 0,64 - 0,52 (0,40 - 0,30) | 0,47 - 0,29 (0,4 - 0,25) |
10 - 15 | 0,52 - 0,47 (0,45 - 0,40) | 0,29 - 0,17 (0,25 - 0,15) |
50 - 100 | 0,47 - 0,44 (0,40 - 0,36) | 0,17 - 0,14 (0,15 - 0,12) |
деревообделочный | До 5 | 0,70 - 0,64 (0,60 - 0,55) | 0,70 - 0,58 (0,6 - 0,5) |
5 - 10 | 0,64 - 0,62 (0,56 - 0,45) | 0,58 - 0,52 (0,5 - 0,45) |
10 - 50 | 0,52 - 0,47 (0,45 - 0,4) | 0,52 - 0,47 (0,45 - 0,4) |
металлических конструкций | 50 - 100 | 0,44 - 0,41 (0,38 - 0,45) | 0,62 - 0,52 (0,53 - 0,45) |
100 - 150 | 0,41 - 0,35 (0,35 - 0,30) | 0,52 - 0,41 (0,45 - 0,35) |
покрытий (гальванических и др.) | До 2 | 0,76 - 0,70 (0,66 - 0,60) | 5,82 - 4,65 (5,0 - 4,0) |
2 - 5 | 0,70 - 0,64 (0,60 - 0,55) | 4,65 - 3,49 (4,0 - 3,0) |
5 - 10 | 0,70 - 0,58 (0,65 - 0,60) | 3,49 - 2,33 (3,0 - 2,0) |
ремонтный | 5 - 10 | 0,70 - 0,58 (0,65 - 0,60) | 0,23 - 0,17 (0,2 - 0,15) |
0,58 - 0,52 (0,50 - 0,45) | 0,17 - 0,12 (0,15 - 0,1) |
котельный | 100 - 200 | 0,29 (0,25) | 0,70 (0,60) |
Котельные (отопительные и паровые) | 2 - 5 | 0,12 (0,10) | 0,58 - 0,35 (0,5 - 0,3) |
5 - 10 | 0,12 (0,10) | 0,58 - 0,35 (0,5 - 0,3) |
10 - 20 | 0,09 (0,08) | 0,47 - 0,23 (0,4 - 0,2) |
Мастерские | 5 - 10 | 0,58 (0,50) | 0,58 (0,50) |
10 - 15 | 0,47 (0,40) | 0,35 (0,30) |
15 - 20 | 0,41 (0,35) | 0,29 (0,25) |
20 - 30 | 0,35 (0,30) | 0,23 (0,20) |
Насосные | До 0,5 | 1,22 (1,05) | - |
0,5 - 1 | 1,16 (1,0) | - |
1 - 2 | 0,70 (0,60) | - |
2 - 3 | 0,58 (0,50) | - |
Компрессорные | До 0,5 | 0,81 - 2,33 (0,70 - 2,0) | - |
0,5 - 1 | 0,70 - 0,81 (0,60 - 0,70) | - |
1 - 2 | 0,52 - 0,70 (0,45 - 0,60) | - |
2 - 5 | 0,47 - 0,52 (0,40 - 0,45) | - |
5 - 10 | 0,41 - 0,47 (0,35 - 0,40) | - |
Газогенераторные | 5 - 10 | 0,116 (0,1) | 2,09 (1,8) |
Регенерация масел | 2 - 3 | 0,35 - 0,87 (0,3 - 0,75) | 0,58 - 0,70 (0,5 - 0,6) |
Склады химикатов, красок и т.п. | До 1 | 0,99 - 0,87 (0,85 - 0,75) | - |
1 - 2 | 0,87 - 0,76 (0,75 - 0,65) | - |
2 - 5 | 0,76 - 0,67 (0,65 - 0,58) | 0,76 - 0,67 (0,65 - 0,58) |
Склады моделей и главные магазины | 1 - 2 | 0,93 - 0,81 (0,8 - 0,7) | - |
2 - 5 | 0,81 - 0,7 (0,7 - 0,6) | - |
5 - 10 | 0,7 - 0,52 (0,6 - 0,45) | - |
Бытовые и административно-вспомогательные помещения | 0,5 - 1 | 0,70 - 0,52 (0,60 - 0,45) | - |
1 - 2 | 0,53 - 0,47 (0,45 - 0,40) | - |
2 - 5 | 0,47 - 0,38 (0,40 - 0,33) | 0,16 - 0,14 (0,14 - 0,12) |
5 - 10 | 0,38 - 0,35 (0,33 - 0,30) | 0,14 - 0,13 (0,12 - 0,11) |
10 - 20 | 0,35 - 0,29 (0,30 - 0,25) | 0,13 - 0,12 (0,11 - 0,10) |
Проходные | До 0,5 | 1,51 - 1,40 (0,30 - 1,20) | - |
0,5 - 2 | 1,40 - 0,81 (1,20 - 0,7) | - |
2 - 5 | 0,81 - 0,64 (0,70 - 0,55) | 0,17 - 0,12 (0,15 - 0,1) |
Казармы и помещения | 5 - 10 | 0,44 - 0,38 (0,38 - 0,33) | - |
ВОХР | 10 - 15 | 0,38 - 0,36 (0,33 - 0,31) | - |
Примечание. Для других расчетных температур наружного воздуха

при определении удельной отопительной характеристики

следует применять поправочный коэффициент

значения которого приведены в
табл. 2.
ТЕПЛООТДАЧА ИЗОЛИРОВАННЫХ ТЕПЛОПРОВОДОВ В ПОДВАЛАХ
И ТЕХНИЧЕСКИХ ПОДПОЛЬЯХ ЗДАНИЙ (ПРИ КОЭФФИЦИЕНТЕ
ЭФФЕКТИВНОСТИ ИЗОЛЯЦИИ 0,75)
[12]
t - tо, °C | Теплоотдача 1 м изолированной трубы, Вт/м (ккал/ч·м), при диаметре условного прохода, мм |
| 15 | 20 | 25 | 32 | 40 | 50 | 65 | 80 | 100 | 125 | 150 | 200 |
1 | 2 | 3 | 4 | 5 | 6 | 7 | 8 | 9 | 10 | 11 | 12 | 13 |
50 | 13 ---- 11,2 | 16 ---- 13,8 | 20 ---- 17,2 | 24 ---- 20,6 | 27 ---- 23,2 | 33 ---- 28,4 | 40 ---- 34,4 | 45 ---- 38,7 | 53 ---- 45,6 | 65 ---- 55,9 | 76 ---- 65,4 | 105 ---- 90,3 |
55 | 15 ---- 12,9 | 18 ---- 15,5 | 22 ---- 18,9 | 27 ---- 23,2 | 30 ---- 25,8 | 36 ---- 31,0 | 45 ---- 38,7 | 51 ---- 43,9 | 60 ---- 51,6 | 73 ---- 62,8 | 86 ---- 74,0 | 118 ---- 101,5 |
60 | 16 ---- 13,8 | 20 ---- 17,2 | 24 ---- 20,6 | 30 ---- 25,8 | 34 ---- 29,2 | 41 ---- 35,3 | 50 ---- 43,0 | 57 ---- 49,0 | 67 ---- 57,6 | 88 ---- 75,7 | 96 ---- 82,6 | 132 ---- 113,5 |
65 | 18 ---- 15,5 | 22 ---- 18,9 | 27 ---- 23,2 | 34 ---- 29,2 | 37 ---- 31,8 | 45 ---- 38,7 | 55 ---- 47,3 | 63 ---- 54,2 | 75 ---- 64,6 | 91 ---- 78,3 | 106 ---- 91,2 | 146 ----- 125,6 |
70 | 20 ---- 17,2 | 24 ---- 20,6 | 30 ---- 25,8 | 36 ---- 31,0 | 41 ---- 35,3 | 50 ---- 43,0 | 60 ---- 51,6 | 69 ---- 59,3 | 83 ---- 71,4 | 100 ---- 86,0 | 116 ---- 99,8 | 160 ----- 137,6 |
75 | 22 ---- 18,9 | 27 ---- 23,2 | 33 ---- 28,4 | 40 ---- 34,4 | 44 ---- 37,8 | 55 ---- 47,3 | 65 ---- 55,9 | 75 ---- 64,5 | 90 ---- 77,4 | 109 ---- 93,7 | 127 ----- 109,2 | 175 ----- 150,5 |
80 | 24 ---- 20,6 | 29 ---- 24,9 | 35 ---- 30,1 | 43 ---- 37,0 | 48 ---- 41,3 | 59 ---- 50,7 | 71 ---- 70,1 | 81 ---- 69,7 | 98 ---- 84,3 | 119 ----- 102,3 | 137 ----- 117,8 | 189 ----- 162,5 |
85 | 26 ---- 22,4 | 31 ---- 26,7 | 38 ---- 32,7 | 47 ---- 40,4 | 52 ---- 44,7 | 63 ---- 54,2 | 77 ---- 66,2 | 88 ---- 75,7 | 106 ---- 91,2 | 128 ---- 110,1 | 148 ----- 127,3 | 204 ----- 175,4 |
90 | 28 ---- 24,1 | 34 ---- 29,2 | 41 ---- 35,3 | 50 ---- 43,0 | 56 ---- 48,2 | 67 ---- 57,6 | 83 ---- 71,4 | 95 ---- 81,7 | 113 ---- 97,2 | 137 ----- 117,8 | 159 ----- 136,7 | 219 ----- 188,3 |
95 | 30 ---- 25,8 | 36 ---- 31,0 | 44 ---- 37,8 | 53 ---- 45,6 | 60 ---- 51,6 | 72 ---- 61,9 | 89 ---- 76,5 | 101 ---- 86,9 | 121 ----- 104,1 | 147 ----- 126,4 | 170 ----- 146,2 | 234 ----- 201,2 |
100 | 32 ---- 27,5 | 38 ---- 32,7 | 47 ---- 40,4 | 57 ---- 49,0 | 64 ---- 55,0 | 77 ---- 66,2 | 95 ---- 81,7 | 108 ---- 92,9 | 129 ----- 110,9 | 156 ----- 134,2 | 181 ----- 155,7 | 250 ----- 215,0 |
105 | 34 ---- 29,2 | 41 ---- 35,3 | 50 ---- 43,0 | 61 ---- 52,5 | 68 ---- 58,5 | 82 ---- 70,5 | 101 ---- 86,9 | 115 ---- 98,0 | 137 ----- 117,8 | 166 ----- 142,8 | 193 ----- 166,0 | 266 ----- 228,8 |
110 | 36 ---- 31,0 | 44 ---- 37,8 | 52 ---- 44,7 | 65 ---- 55,9 | 72 ---- 61,9 | 87 ---- 74,8 | 108 ---- 92,9 | 122 ----- 104,9 | 145 ----- 124,7 | 176 ----- 151,4 | 205 ----- 176,3 | 282 ----- 242,5 |
115 | 38 ---- 32,7 | 47 ---- 40,4 | 55 ---- 47,3 | 69 ---- 59,3 | 76 ---- 65,4 | 92 ---- 79,1 | 114 ---- 98,0 | 129 ----- 110,9 | 154 ----- 132,4 | 186 ----- 160,0 | 217 ----- 186,6 | 299 ----- 257,1 |
120 | 40 ---- 34,4 | 49 ---- 42,1 | 58 ---- 49,9 | 72 ---- 61,9 | 80 ---- 68,8 | 98 ---- 84,3 | 120 ----- 103,2 | 136 ----- 117,0 | 163 ----- 140,2 | 197 ----- 169,4 | 229 ----- 196,9 | 315 ----- 270,9 |
125 | 42 ---- 36,1 | 51 ---- 43,9 | 61 ---- 52,5 | 76 ---- 65,4 | 84 ---- 72,2 | 103 ---- 88,6 | 127 ----- 109,2 | 144 ----- 123,8 | 171 ----- 147,1 | 207 ----- 178,0 | 241 ----- 207,3 | 332 ----- 285,5 |
130 | 44 ---- 37,8 | 53 ---- 45,6 | 64 ---- 55,0 | 80 ---- 68,8 | 88 ---- 75,7 | 108 ---- 92,9 | 133 ----- 114,4 | 151 ----- 129,9 | 180 ----- 154,8 | 217 ----- 186,6 | 253 ----- 217,6 | 348 ----- 299,3 |
135 | 47 ---- 40,4 | 56 ---- 48,2 | 67 ---- 57,6 | 84 ---- 72,2 | 93 ---- 80,8 | 113 ----- 97,2 | 140 ----- 120,4 | 158 ----- 135,9 | 189 ----- 162,5 | 228 ----- 196,1 | 265 ----- 227,9 | 365 ----- 313,9 |
140 | 49 ---- 42,1 | 59 ---- 50,7 | 71 ---- 61,1 | 87 ---- 74,8 | 98 ---- 84,3 | 119 ----- 102,3 | 145 ----- 124,7 | 165 ----- 141,9 | 198 ----- 170,3 | 238 ----- 204,7 | 278 ----- 239,1 | |
ПОНИЖАЮЩИЙ КОЭФФИЦИЕНТ НА ТЕПЛООТДАЧУ
СТАЛЬНЫХ ЭЛЕКТРОСВАРНЫХ ПРЯМОШОВНЫХ ТРУБ K
Условный диаметр, мм | 10 | 15 | 20 | 25 | 32 | 40 | 50 |
Коэффициент K | 0,82 | 0,85 | 0,93 | 0,9 | 0,9 | 0,94 | 0,95 |
КОЭФФИЦИЕНТЫ ТЕПЛООТДАЧИ ДЛЯ ПОВЕРХНОСТЕЙ

И
[5]
Внутренняя поверхность ограждающих конструкций | Коэффициент теплоотдачи  Вт/(м 2·°C) [ккал/(ч·м 2·°C)] | Наружная поверхность ограждающих конструкций | Коэффициент теплоотдачи  Вт/(м 2·°C) [ккал/(ч·м 2·°C )] |
1 | 2 | 3 | 4 |
1. Стен, полов, гладких потолков, потолков с выступающими ребрами при отношении высоты h ребер к расстоянию a между гранями соседних ребер h/a <= 0,3 | 8,7 (7,5) | 1. Наружных стен, покрытий, перекрытий над проездами и над холодными (без ограждающих стенок) подпольями в Северной строительно-климатической зоне | 23 (19,8) |
2. Перекрытий над холодными подвалами, сообщающимися с наружным воздухом: перекрытий над холодными (с ограждающими стенками) подпольями и холодными этажами в Северной строительно-климатической зоне | 17 (14,6) |
2. Потолков с выступающими ребрами при отношении h/a >= 0,3 | 7,6 (6,5) |
3. Зенитных фонарей | 9,9 (8,5) | 3. Перекрытий чердачных и над неотапливаемыми подвалами со световыми проемами в стенах, а также наружных стен с воздушной прослойкой, вентилируемой наружным воздухом | 12 (10,3) |
4. Перекрытий над неотапливаемыми подвалами без световых проемов в стенах, расположенных выше уровня земли, и над неотапливаемыми техническими подпольями, расположенными ниже уровня земли | 6 (5,2) |
ПОПРАВОЧНЫЙ КОЭФФИЦИЕНТ B
Продолжительность нахождения в помещении материала, изделий, одежды и транспортных средств | Значения коэффициента B |
для несыпучих материалов и транспорта | для сыпучих материалов | для одежды |
Для первого часа | 0,5 | 0,4 | 0,35 |
Для второго часа | 0,3 | 0,25 | 0,2 |
Для третьего часа | 0,2 | 0,15 | 0,12 |
ЗНАЧЕНИЯ КОЭФФИЦИЕНТОВ ЗАТЕНЕНИЯ СВЕТОВОГО ПРОЕМА

И

И ОТНОСИТЕЛЬНОГО ПРОНИКАНИЯ СОЛНЕЧНОЙ РАДИАЦИИ
kF и ks СООТВЕТСТВЕННО ОКОН И ЗЕНИТНЫХ ФОНАРЕЙ
N п/п | Заполнение светового проема | Значение коэффициентов  k F, k s |
в деревянных или пластмассовых переплетах | в металлических переплетах |
 и  | kF и ks |  и  | kF и ks |
1 | Двуслойное остекление с теплоотражающим покрытием на внутреннем стекле: | | | | |
- двухслойные стеклопакеты в одинарных переплетах | 0,80 | 0,57 | 0,90 | 0,57 |
- двойное остекление в спаренных переплетах | 0,75 | 0,57 | 0,85 | 0,57 |
- двойное остекление в раздельных переплетах | 0,65 | 0,57 | 0,80 | 0,57 |
2 | Тройное остекление в раздельно-спаренных переплетах | 0,5 | 0,83 | 0,7 | 0,83 |
3 | Двухслойные стеклопакеты и одинарное остекление в раздельных переплетах | 0,75 | 0,83 | - | - |
ТЕПЛООТДАЧА ОТКРЫТО ПРОЛОЖЕННЫХ ТРУБОПРОВОДОВ
СИСТЕМ ВОДЯНОГО ОТОПЛЕНИЯ q (ВЕРТИКАЛЬНЫХ - ВЕРХНЯЯ,
ГОРИЗОНТАЛЬНЫХ - НИЖНЯЯ СТРОКА)
t - tо, °C | Условный диаметр, мм | Теплоотдача 1 м трубы q, Вт/м, при t - tо, °C, через 1 °C |
0 | 1 | 2 | 3 | 4 | 5 | 6 | 7 | 8 | 9 |
1 | 2 | 3 | 4 | 5 | 6 | 7 | 8 | 9 | 10 | 11 | 12 |
30 | 10 | 15 --- 22 | 16 --- 23 | 17 --- 23 | 17 --- 24 | 18 --- 25 | 18 --- 26 | 20 --- 28 | 21 --- 28 | 21 --- 29 | 22 --- 30 |
15 | 20 --- 26 | 21 --- 28 | 21 --- 29 | 22 --- 30 | 23 --- 31 | 24 --- 32 | 24 --- 34 | 25 --- 35 | 26 --- 36 | 28 --- 37 |
20 | 23 --- 32 | 24 --- 34 | 25 --- 35 | 26 --- 36 | 28 --- 38 | 29 --- 39 | 31 --- 41 | 32 --- 42 | 34 --- 43 | 35 --- 44 |
25 | 31 --- 39 | 32 --- 41 | 34 --- 43 | 35 --- 44 | 36 --- 45 | 37 --- 47 | 38 --- 49 | 41 --- 51 | 42 --- 52 | 43 --- 53 |
32 | 39 --- 47 | 41 --- 50 | 43 --- 52 | 44 --- 54 | 45 --- 56 | 47 --- 58 | 50 --- 60 | 51 --- 63 | 52 --- 64 | 54 --- 67 |
40 | 51 --- 53 | 53 --- 56 | 56 --- 58 | 58 --- 60 | 60 --- 63 | 63 --- 65 | 65 --- 67 | 67 --- 69 | 69 --- 72 | 72 --- 74 |
50 | 56 --- 65 | 58 --- 67 | 60 --- 69 | 63 --- 73 | 65 --- 77 | 67 --- 78 | 69 --- 81 | 72 --- 84 | 74 --- 87 | 77 --- 90 |
40 | 10 | 22 --- 31 | 23 --- 32 | 24 --- 32 | 24 --- 34 | 25 --- 35 | 25 --- 36 | 27 --- 37 | 28 --- 38 | 28 --- 39 | 29 --- 41 |
15 | 28 --- 38 | 30 --- 39 | 30 --- 41 | 31 --- 42 | 32 --- 43 | 34 --- 44 | 34 --- 44 | 35 --- 46 | 36 --- 47 | 37 --- 49 |
20 | 36 --- 43 | 37 --- 47 | 38 --- 50 | 39 --- 52 | 41 --- 53 | 42 --- 55 | 43 --- 57 | 44 --- 58 | 45 --- 59 | 46 --- 60 |
25 | 44 --- 57 | 46 --- 59 | 47 --- 63 | 49 --- 65 | 51 --- 66 | 52 --- 68 | 53 --- 71 | 55 --- 72 | 56 --- 74 | 58 --- 75 |
32 | 56 --- 74 | 58 --- 77 | 60 --- 79 | 61 --- 81 | 64 --- 84 | 65 --- 86 | 67 --- 89 | 68 --- 92 | 71 --- 94 | 73 --- 96 |
40 | 64 --- 77 | 66 --- 79 | 68 --- 80 | 70 --- 84 | 72 --- 86 | 74 --- 88 | 77 --- 89 | 78 --- 92 | 80 --- 94 | 82 --- 97 |
50 | 79 --- 93 | 82 --- 95 | 85 --- 99 | 87 ---- 101 | 88 ---- 105 | 93 ---- 107 | 95 ---- 110 | 97 ---- 113 | 100 ---- 115 | 103 ---- 118 |
50 | 10 | 30 --- 41 | 30 --- 42 | 31 --- 32 | 32 --- 44 | 32 --- 45 | 34 --- 46 | 35 --- 47 | 35 --- 49 | 36 --- 50 | 37 --- 50 |
15 | 38 --- 50 | 38 --- 51 | 39 --- 52 | 41 --- 53 | 41 --- 56 | 43 --- 57 | 44 --- 58 | 44 --- 59 | 45 --- 60 | 46 --- 61 |
20 | 47 --- 63 | 49 --- 61 | 50 --- 64 | 51 --- 65 | 52 --- 66 | 53 --- 68 | 54 --- 70 | 56 --- 71 | 57 --- 73 | 58 --- 74 |
25 | 59 --- 73 | 60 --- 74 | 62 --- 76 | 64 --- 79 | 65 --- 80 | 67 --- 82 | 68 --- 85 | 70 --- 86 | 72 --- 88 | 73 --- 91 |
32 | 74 --- 91 | 76 --- 92 | 78 --- 94 | 80 --- 96 | 82 --- 99 | 84 ---- 101 | 86 ---- 103 | 88 ---- 106 | 91 ---- 108 | 92 ---- 112 |
40 | 85 ---- 100 | 86 ---- 102 | 88 ---- 106 | 91 ---- 108 | 93 ---- 110 | 96 ---- 113 | 97 ---- 116 | 99 ---- 118 | 101 ---- 121 | 103 ---- 124 |
50 | 106 ---- 122 | 108 ---- 125 | 111 ---- 129 | 114 ---- 132 | 117 ---- 135 | 120 ---- 138 | 123 ---- 141 | 125 ---- 144 | 128 ---- 148 | 131 ---- 151 |
60 | 10 | 38 --- 52 | 38 --- 52 | 39 --- 53 | 41 --- 54 | 42 --- 56 | 42 --- 57 | 43 --- 58 | 44 --- 59 | 44 --- 60 | 45 --- 62 |
15 | 47 --- 63 | 49 --- 65 | 50 --- 66 | 51 --- 67 | 52 --- 69 | 53 --- 70 | 55 --- 71 | 55 --- 73 | 56 --- 74 | 57 --- 75 |
20 | 59 --- 77 | 61 --- 79 | 63 --- 80 | 64 --- 81 | 65 --- 83 | 66 --- 85 | 67 --- 86 | 68 --- 88 | 70 --- 89 | 72 --- 92 |
25 | 74 --- 92 | 76 --- 94 | 78 --- 96 | 79 --- 98 | 81 ---- 100 | 83 ---- 102 | 85 ---- 104 | 86 ---- 106 | 88 ---- 108 | 89 ---- 110 |
32 | 94 ---- 114 | 96 ---- 115 | 98 ---- 118 | 100 ---- 121 | 102 ---- 123 | 105 ---- 125 | 106 ---- 128 | 108 ---- 130 | 110 ---- 132 | 113 ---- 135 |
40 | 107 ---- 127 | 109 ---- 129 | 111 ---- 132 | 114 ---- 135 | 116 ---- 137 | 119 ---- 141 | 121 ---- 143 | 123 ---- 145 | 125 ---- 149 | 128 ---- 151 |
50 | 134 ---- 155 | 137 ---- 157 | 141 ---- 160 | 143 ---- 164 | 146 ---- 167 | 149 ---- 171 | 152 ---- 174 | 156 ---- 177 | 158 ---- 182 | 162 ---- 185 |
70 | 10 | 46 --- 63 | 48 --- 64 | 49 --- 65 | 49 --- 66 | 50 --- 67 | 51 --- 68 | 52 --- 70 | 52 --- 71 | 53 --- 73 | 55 --- 73 |
15 | 59 --- 77 | 60 --- 79 | 61 --- 80 | 63 --- 81 | 64 --- 82 | 65 --- 84 | 66 --- 86 | 67 --- 87 | 68 --- 89 | 70 --- 91 |
20 | 74 --- 93 | 75 --- 95 | 77 --- 96 | 78 --- 97 | 80 ---- 100 | 81 ---- 102 | 83 ---- 103 | 84 ---- 105 | 86 ---- 107 | 87 ---- 108 |
25 | 93 ---- 113 | 94 ---- 114 | 96 ---- 116 | 97 ---- 118 | 100 ---- 121 | 101 ---- 123 | 103 ---- 125 | 107 ---- 128 | 107 ---- 128 | 109 ---- 131 |
32 | 117 ---- 138 | 119 ---- 141 | 121 ---- 143 | 123 ---- 145 | 125 ---- 148 | 128 ---- 151 | 130 ---- 153 | 133 ---- 156 | 135 ---- 159 | 137 ---- 162 |
40 | 132 ---- 155 | 135 ---- 157 | 137 ---- 160 | 140 ---- 163 | 143 ---- 166 | 145 ---- 168 | 148 ---- 172 | 151 ---- 174 | 152 ---- 178 | 154 ---- 180 |
50 | 165 ---- 187 | 167 ---- 191 | 171 ---- 194 | 174 ---- 198 | 178 ---- 202 | 180 ---- 205 | 185 ---- 208 | 187 ---- 213 | 191 ---- 215 | 194 ---- 218 |
80 | 10 | 56 --- 75 | 57 --- 75 | 58 --- 78 | 58 --- 79 | 59 --- 80 | 60 --- 81 | 61 --- 82 | 63 --- 84 | 64 --- 85 | 65 --- 86 |
15 | 71 --- 92 | 72 --- 93 | 73 --- 94 | 74 --- 96 | 75 --- 98 | 77 ---- 100 | 78 ---- 101 | 79 ---- 101 | 81 ---- 102 | 81 ---- 105 |
20 | 88 ---- 109 | 89 ---- 111 | 92 ---- 114 | 93 ---- 115 | 94 ---- 117 | 96 ---- 120 | 98 ---- 121 | 99 ---- 123 | 101 ---- 125 | 102 ---- 127 |
25 | 110 ---- 134 | 113 ---- 136 | 114 ---- 138 | 116 ---- 141 | 119 ---- 143 | 120 ---- 145 | 122 ---- 146 | 124 ---- 149 | 125 ---- 151 | 128 ---- 153 |
32 | 139 ---- 164 | 142 ---- 166 | 144 ---- 170 | 146 ---- 172 | 149 ---- 174 | 151 ---- 178 | 153 ---- 180 | 156 ---- 182 | 158 ---- 186 | 162 ---- 188 |
40 | 158 ---- 184 | 160 ---- 186 | 165 ---- 189 | 166 ---- 192 | 169 ---- 195 | 173 ---- 198 | 174 ---- 201 | 177 ---- 204 | 180 ---- 208 | 182 ---- 210 |
50 | 196 ---- 223 | 200 ---- 227 | 203 ---- 230 | 207 ---- 235 | 210 ---- 238 | 214 ---- 242 | 217 ---- 246 | 221 ---- 250 | 224 ---- 253 | 228 ---- 257 |
90 | 10 | 65 --- 87 | 66 --- 88 | 67 --- 91 | 68 --- 91 | 70 --- 93 | 71 --- 93 | 72 --- 95 | 72 --- 96 | 73 --- 97 | 74 --- 99 |
15 | 82 ---- 107 | 84 ---- 108 | 86 ---- 110 | 87 ---- 112 | 88 ---- 114 | 89 ---- 115 | 91 ---- 117 | 92 ---- 119 | 93 ---- 120 | 94 ---- 122 |
20 | 103 ---- 128 | 106 ---- 131 | 107 ---- 132 | 108 ---- 135 | 110 ---- 137 | 112 ---- 138 | 114 ---- 141 | 115 ---- 143 | 116 ---- 144 | 118 ---- 146 |
25 | 130 ---- 156 | 131 ---- 158 | 134 ---- 160 | 136 ---- 163 | 137 ---- 164 | 138 ---- 167 | 139 ---- 170 | 142 ---- 172 | 146 ---- 175 | 148 ---- 177 |
32 | 164 ---- 191 | 166 ---- 194 | 168 ---- 196 | 172 ---- 200 | 173 ---- 201 | 175 ---- 204 | 179 ---- 208 | 181 ---- 212 | 184 ---- 214 | 186 ---- 216 |
40 | 186 ---- 214 | 188 ---- 217 | 190 ---- 220 | 194 ---- 223 | 196 ---- 227 | 200 ---- 229 | 202 ---- 232 | 206 ---- 236 | 208 ---- 238 | 212 ---- 242 |
50 | 231 ---- 260 | 235 ---- 265 | 238 ---- 270 | 243 ---- 272 | 246 ---- 275 | 250 ---- 280 | 253 ---- 284 | 257 ---- 288 | 260 ---- 293 | 264 ---- 296 |
100 | 10 | 75 ---- 101 | 77 ---- 102 | 78 ---- 103 | 79 ---- 105 | 80 ---- 106 | 81 ---- 107 | 82 ---- 108 | 83 ---- 110 | 84 ---- 112 | 85 ---- 113 |
15 | 95 ---- 122 | 97 ---- 124 | 99 ---- 126 | 100 ---- 128 | 100 ---- 129 | 101 ---- 131 | 102 ---- 134 | 103 ---- 135 | 105 ---- 136 | 106 ---- 138 |
20 | 120 ---- 149 | 122 ---- 152 | 123 ---- 155 | 124 ---- 156 | 127 ---- 158 | 129 ---- 159 | 130 ---- 162 | 132 ---- 164 | 134 ---- 166 | 136 ---- 169 |
25 | 149 ---- 180 | 150 ---- 182 | 152 ---- 186 | 154 ---- 188 | 157 ---- 191 | 159 ---- 194 | 162 ---- 195 | 164 ---- 199 | 166 ---- 200 | 167 ---- 203 |
32 | 188 ---- 222 | 191 ---- 224 | 193 ---- 228 | 196 ---- 231 | 199 ---- 235 | 202 ---- 237 | 204 ---- 239 | 206 ---- 243 | 209 ---- 246 | 212 ---- 250 |
40 | 214 ---- 246 | 217 ---- 250 | 220 ---- 253 | 223 ---- 257 | 227 ---- 260 | 230 ---- 265 | 233 ---- 267 | 236 ---- 271 | 239 ---- 274 | 242 ---- 278 |
50 | 268 ---- 300 | 272 ---- 305 | 275 ---- 309 | 279 ---- 314 | 284 ---- 318 | 287 ---- 322 | 292 ---- 327 | 295 ---- 330 | 299 ---- 335 | 303 ---- 339 |
110 | 10 | 86 ---- 113 | 87 ---- 115 | 88 ---- 116 | 89 ---- 118 | 90 ---- 119 | 91 ---- 120 | 93 ---- 122 | 94 ---- 124 | 95 ---- 125 | 96 ---- 126 |
15 | 108 ---- 139 | 109 ---- 140 | 110 ---- 142 | 111 ---- 144 | 113 ---- 145 | 115 ---- 147 | 116 ---- 149 | 117 ---- 151 | 118 ---- 153 | 120 ---- 154 |
20 | 136 ---- 169 | 137 ---- 171 | 139 ---- 173 | 140 ---- 175 | 142 ---- 177 | 144 ---- 180 | 146 ---- 182 | 148 ---- 184 | 150 ---- 187 | 152 ---- 189 |
25 | 169 ---- 205 | 172 ---- 208 | 174 ---- 211 | 176 ---- 214 | 178 ---- 216 | 180 ---- 219 | 182 ---- 221 | 184 ---- 224 | 187 ---- 227 | 189 ---- 230 |
32 | 207 ---- 244 | 210 ---- 246 | 212 ---- 251 | 216 ---- 254 | 218 ---- 258 | 222 ---- 260 | 224 ---- 262 | 226 ---- 266 | 229 ---- 269 | 232 ---- 274 |
40 | 235 ---- 271 | 239 ---- 275 | 242 ---- 278 | 245 ---- 282 | 249 ---- 286 | 253 ---- 291 | 256 ---- 293 | 259 ---- 297 | 262 ---- 300 | 265 ---- 304 |
50 | 295 ---- 330 | 299 ---- 335 | 302 ---- 339 | 306 ---- 345 | 312 ---- 349 | 315 ---- 354 | 321 ---- 359 | 324 ---- 362 | 327 ---- 368 | 330 ---- 370 |
120 | 10 | 98 ---- 128 | 99 ---- 130 | 100 ---- 131 | 101 ---- 133 | 102 ---- 135 | 104 ---- 136 | 105 ---- 138 | 106 ---- 140 | 107 ---- 141 | 108 ---- 143 |
15 | 122 ---- 156 | 123 ---- 158 | 124 ---- 160 | 126 ---- 162 | 128 ---- 164 | 129 ---- 166 | 130 ---- 168 | 132 ---- 170 | 134 ---- 172 | 135 ---- 173 |
20 | 154 ---- 191 | 156 ---- 193 | 157 ---- 195 | 159 ---- 198 | 160 ---- 200 | 162 ---- 202 | 164 ---- 205 | 166 ---- 207 | 168 ---- 209 | 170 ---- 212 |
25 | 192 ---- 233 | 194 ---- 235 | 197 ---- 238 | 199 ---- 241 | 201 ---- 244 | 204 ---- 247 | 206 ---- 249 | 208 ---- 252 | 211 ---- 255 | 213 ---- 257 |
32 | 226 ---- 266 | 229 ---- 269 | 231 ---- 273 | 234 ---- 276 | 237 ---- 280 | 240 ---- 282 | 242 ---- 284 | 244 ---- 288 | 247 ---- 291 | 251 ---- 295 |
40 | 257 ---- 295 | 260 ---- 300 | 263 ---- 302 | 266 ---- 307 | 270 ---- 310 | 274 ---- 315 | 277 ---- 317 | 280 ---- 321 | 283 ---- 325 | 286 ---- 329 |
50 | 321 ---- 360 | 326 ---- 366 | 329 ---- 369 | 333 ---- 375 | 338 ---- 379 | 341 ---- 383 | 347 ---- 388 | 350 ---- 391 | 354 ---- 397 | 358 ---- 401 |
130 | 10 | 97 ---- 131 | 100 ---- 132 | 101 ---- 133 | 102 ---- 135 | 103 ---- 136 | 104 ---- 137 | 105 ---- 138 | 106 ---- 141 | 107 ---- 143 | 108 ---- 144 |
15 | 123 ---- 159 | 125 ---- 160 | 128 ---- 163 | 129 ---- 165 | 129 ---- 166 | 130 ---- 168 | 130 ---- 171 | 132 ---- 173 | 134 ---- 174 | 135 ---- 176 |
20 | 156 ---- 194 | 158 ---- 197 | 159 ---- 200 | 160 ---- 201 | 163 ---- 203 | 166 ---- 204 | 167 ---- 208 | 169 ---- 210 | 171 ---- 212 | 173 ---- 215 |
25 | 194 ---- 234 | 194 ---- 236 | 197 ---- 241 | 200 ---- 242 | 202 ---- 246 | 204 ---- 249 | 208 ---- 250 | 210 ---- 255 | 212 ---- 256 | 213 ---- 259 |
32 | 244 ---- 289 | 248 ---- 290 | 249 ---- 295 | 253 ---- 298 | 256 ---- 303 | 259 ---- 304 | 261 ---- 306 | 264 ---- 311 | 367 ---- 314 | 270 ---- 319 |
40 | 278 ---- 320 | 281 ---- 324 | 284 ---- 327 | 288 ---- 331 | 292 ---- 334 | 295 ---- 340 | 300 ---- 342 | 302 ---- 347 | 305 ---- 350 | 308 ---- 354 |
50 | 348 ---- 390 | 352 ---- 395 | 355 ---- 400 | 360 ---- 405 | 365 ---- 409 | 369 ---- 414 | 374 ---- 419 | 378 ---- 422 | 382 ---- 428 | 386 ---- 432 |
Примечание. Теплоотдача труб принята: при dy до 50 мм включительно для труб легких и обыкновенных; при dy свыше 50 мм - для труб стальных электросварных прямошовных.
КОЭФФИЦИЕНТЫ ТЕПЛОПЕРЕДАЧИ ОТОПИТЕЛЬНЫХ ПРИБОРОВ K
р
Тип нагревательных приборов | Коэффициент теплопередачи отопительного прибора Kр, Вт/(м2·°C) [ккал/(ч·м2·°C)] при температурном напоре прибора, °C |
50 - 60 | 60 - 70 | 70 - 80 | 80 - 100 |
1 | 2 | 3 | 4 | 5 |
Радиаторы чугунные: | | | | |
средние | 8,1 (7,0) | 8,7 (7,5) | 9,3 (8,0) | 9,9 (8,5) |
высокие | 7,2 (6,2) | 7,4 (6,4) | 7,7 (6,6) | 7,9 (6,8) |
Радиаторы стальные: | | | | |
панельные | 9,9 (8,5) | 10,5 (9,0) | 11,3 (9,5) | 11,6 (10,0) |
листотрубные | 6,4 (5,5) | 7,7 (6,0) | 7,6 (6,5) | 8,1 (7,0) |
Трубы чугунные ребристые: | | | | |
в один ряд | 5,2 (4,5) | 5,3 (4,6) | 5,6 (4,8) | 5,7 (4,9) |
в два ряда | 4,8 (4,1) | 4,9 (4,2) | 5,0 (4,3) | 5,1 (4,4) |
в три ряда и более | 4,2 (3,6) | 4,3 (3,7) | 4,4 (3,8) | 4,4 (3,9) |
Регистры из стальных труб: | | | | |
в одну нитку, Dy <= 40 мм | 13,4 (11,5) | 14,0 (12,0) | 14,5 (12,5) | 14,5 (12,5) |
то же, Dy = 50 - 100 мм | 11,6 (10,0) | 12,2 (10,5) | 12,8 (11,0) | 13,4 (11,5) |
то же, Dy >= 125 мм | 11,6 (10,0) | 12,2 (10,5) | 12,2 (10,5) | 12,2 (10,5) |
Регистры из стальных труб: | | | | |
в две и более ниток Dy <= 40 мм | 11,6 (10,0) | 12,8 (11,0) | 13,4 (11,5) | 13,4 (11,5) |
то же, Dy >= 50 мм | 9,3 (8,0) | 10,5 (9,0) | 10,5 (9,0) | 10,5 (9,0) |
Конвекторы без кожуха (типа КП, "Прогресс", "Аккорд" и др.) | 4,8 (4,1) | 4,9 (4,2) | 5,0 (4,3) | 5,1 (4,4) |
Конвекторы с кожухом типа: | | | | |
"Универсал" | 4,8 (4,1) | 4,9 (4,2) | 5,0 (4,3) | 5,1 (4,4) |
"Комфорт" | 4,7 (4,0) | 5,8 (5,0) | 6,5 (5,6) | 7,8 (6,7) |
Биметаллический прибор "Коралл" | 5,9 (5,1) | 6,5 (5,6) | 7,2 (6,2) | 8,6 (7,4) |
УДЕЛЬНЫЙ РАСХОД ТЕПЛОНОСИТЕЛЯ НА ОТОПЛЕНИЕ g
о ПРИ ЗАВИСИМОЙ
СХЕМЕ ПРИСОЕДИНЕНИЯ СИСТЕМ ОТОПЛЕНИЯ К ТЕПЛОВОЙ СЕТИ
Удельный расход теплоносителя g о, кг/Вт [кг/(ккал/ч)], при расчетной разности температуры теплоносителя  °C |
95 - 70 | 105 - 70 | 120 - 70 | 130 - 70 | 150 - 70 |
0,0344 -------- 0,040 | 0,02457 ---------- 0,02857 | 0,0172 -------- 0,020 | 0,0143 -------- 0,0167 | 0,01075 ---------- 0,0125 |
РАСЧЕТНЫЕ ПАРАМЕТРЫ ВОЗДУХА И КРАТНОСТЬ ВОЗДУХООБМЕНА
В ПОМЕЩЕНИЯХ ЖИЛЫХ ЗДАНИЙ
[1]
Помещение | Расчетная температура воздуха в холодный период года, °C | Кратность воздухообмена или количество удаляемого воздуха из помещения |
Приток | Вытяжка |
1 | 2 | 3 | 4 |
Жилая комната квартир или общежитий | 18 (20) | - | 3 м3/ч на 1 м3 жилых помещений |
То же, в районах с температурой наиболее холодной пятидневки (обеспеченностью 0,92) -31 °C и ниже | 20 (22) | - | То же |
Кухня квартиры и общежития, кубовая: | 18 | - | |
с электроплитами | | | Не менее 60 м3/ч |
с газовыми плитами | | - | Не менее 60 м3/ч при 2-конфорочных плитах Не менее 75 м3/ч при 3-конфорочных плитах Не менее 90 м3/ч при 4-конфорочных плитах |
Сушильный шкаф для одежды и обуви в квартирах | - | - | 30 м3/ч |
Ванная | 25 | - | 25 м3/ч |
Уборная индивидуальная | 18 | | 25 м3/ч |
Совмещенное помещение уборной и ванной | 25 | - | 50 м3/ч |
То же, с индивидуальным нагревом | 18 | - | 50 м3/ч |
Умывальная общая | 18 | - | 0,5 м3/ч |
Душевая общая | 25 | - | 5 м3/ч |
Уборная общая | 16 | - | 50 м3/ч на 1 унитаз и 25 м3/ч на 1 писсуар |
Гардеробная комната для чистки, умывальная в общежитии | 18 | - | 1,5 м3/ч |
Вестибюль, общий коридор, передняя, лестничная клетка в квартирном доме | 16 | - | - |
Вестибюль, общий коридор, передняя, лестничная клетка в общежитии | 18 | - | - |
Помещение для культурно-массовых мероприятий, отдыха, учебных и спортивных занятий, помещения для администрации и персонала | 18 | - | 1 |
Постирочная | 15 | По расчету, но не менее 4 | 7 м3/ч |
Гладильная, сушильная в общежитиях | 15 | По расчету, но не менее 2 | 3 м3/ч |
Кладовые для хранения личных вещей, спортивного инвентаря, хозяйственные и бельевые в общежитии | 12 | - | 0,5 м3/ч |
Палата изолятора в общежитии | 20 | - | 1 м3/ч |
Машинное помещение лифтов | 5 | - | По расчету, но не менее 0,5 м3/ч |
Мусоросборочная камера | 5 | - | 1 м3/ч (через ствол мусоропровода) |
Примечания к табл. 16: 1. В угловых помещениях квартир и общежитий расчетную температуру воздуха следует принимать на 2 °C выше указанной в таблице.
2. В лестничных клетках домов для IV климатического района и IIIБ климатического подрайона, а также домов с квартирным отоплением расчетная температура воздуха не нормируется.
3. Температура воздуха в машинном помещении лифтов в теплый период года не должна превышать 40 °C.
4. Значения в скобках относятся к домам для престарелых и семей с инвалидами.
РАСЧЕТНАЯ ТЕМПЕРАТУРА ВОЗДУХА И КРАТНОСТЬ ВОЗДУХООБМЕНА
В ДЕТСКИХ ДОШКОЛЬНЫХ УЧРЕЖДЕНИЯХ [18]
Помещение | Расчетная температура воздуха, °C | Кратность обмена воздуха в 1 ч |
в IА, IБ, IГ климатических подрайонах | в II, III климатических районах и IВ, IД климатических подрайонах | в IV климатическом районе | в IА, IБ, IГ климатических подрайонах | во всех климатических районах, за исключением IА, IБ, IГ подрайонов |
приток | вытяжка | приток | вытяжка |
1 | 2 | 3 | 4 | 5 | 6 | 7 | 8 |
Групповая, раздевальная 2-й группы раннего возраста и 1-й младшей группы | 23 | 22 | 21 | 2,5 | 1,5 | - | 1,5 |
Групповые раздевальные: | | | | | | | |
2-й младшей группы | 22 | 21 | 20 | 2,5 | 1,5 | - | 1,5 |
средней и старших групп | 21 | 20 | 19 | 2,5 | 1,5 | - | 1,5 |
Туалетные: | | | | | | | |
ясельных групп | 23 | 22 | 21 | - | 1,5 | - | 1,5 |
дошкольных групп | 21 | 20 | 19 | - | 1,5 | - | 1,5 |
Буфетные | 16 | 16 | 16 | - | 1,5 | - | 1,5 |
Залы для музыкальных и гимнастических занятий | 20 | 19 | 18 | 2,5 | 1,5 | - | 1,5 |
Прогулочные веранды | 12 | - | - | По расчету, но не менее 20 м3/ч на 1 ребенка |
Помещения бассейна для обучения детей плаванию | 30 | 30 | 30 | По расчету, но не менее 50 м3/ч на 1 ребенка |
РАСЧЕТНАЯ ТЕМПЕРАТУРА ВОЗДУХА И КРАТНОСТЬ
ВОЗДУХООБМЕНА В ЗДАНИЯХ ШКОЛ, ШКОЛ-ИНТЕРНАТОВ
И ПРОФЕССИОНАЛЬНО-ТЕХНИЧЕСКИХ УЧЕБНЫХ ЗАВЕДЕНИЙ [18]
Помещение | Расчетная температура воздуха, °C | Кратность обмена воздуха в 1 ч |
IА, IБ, IГ климатические подрайоны | II, III климатические районы и IВ, IД климатические подрайоны | IV климатический район | приток | вытяжка |
Классные помещения, учебные кабинеты, лаборатории | 21 | 18 | 17 | 16 м3/ч на 1 чел. |
Учебные мастерские | 17 | 15 | 15 | 20 м3/ч на 1 чел. |
Актовый зал - лекционная аудитория, класс пения и музыки - клубная комната | 20 | 18 | 18 | 20 м3/ч на 1 чел. |
Кружковые помещения | 21 | 18 | 17 | - | 1,5 |
Спальные комнаты школ-интернатов и интернатов при школах | 18 | 16 | 16 | - | 1,5 |
ПЛОТНОСТЬ ВОЗДУХА ПРИ НОРМАЛЬНОМ АТМОСФЕРНОМ
ДАВЛЕНИИ 0,1 МПа (760 мм рт. ст.)
Температура, °C | Плотность  кг/м 3 | Температура, °C | Плотность  кг/м 3 | Температура, °C | Плотность  кг/м 3 | Температура, °C | Плотность  кг/м 3 | Температура, °C | Плотность  кг/м 3 | Температура, °C | Плотность  кг/м 3 |
1 | 2 | 3 | 4 | 5 | 6 | 7 | 8 | 9 | 10 | 11 | 12 |
-40 | 1,555 | -22 | 1,405 | -4 | 1,312 | 14 | 1,23 | 33 | 1,154 | 52 | 1,086 |
-39 | 1,51 | -21 | 1,4 | -3 | 1,308 | 15 | 1,226 | 34 | 1,15 | 53 | 1,083 |
-38 | 1,5 | -20 | 1,396 | -2 | 1,303 | 16 | 1,222 | 35 | 1,146 | 54 | 1,08 |
-37 | 1,495 | -19 | 1,394 | -1 | 1,298 | 17 | 1,217 | 36 | 1,142 | 55 | 1,076 |
-36 | 1,49 | -18 | 1,385 | 0 | 1,293 | 18 | 1,213 | 37 | 1,139 | 56 | 1,073 |
-35 | 1,483 | -17 | 1,379 | 1 | 1,288 | 19 | 1,209 | 38 | 1,135 | 57 | 1,07 |
-34 | 1,476 | -16 | 1,374 | 2 | 1,284 | 20 | 1,205 | 39 | 1,132 | 58 | 1,067 |
-33 | 1,47 | -15 | 1,368 | 3 | 1,279 | 21 | 1,201 | 40 | 1,128 | 59 | 1,063 |
-32 | 1,463 | -14 | 1,363 | 4 | 1,275 | 22 | 1,197 | 41 | 1,124 | 60 | 1,06 |
-31 | 1,458 | -13 | 1,358 | 5 | 1,27 | 23 | 1,193 | 42 | 1,121 | 61 | 1,057 |
-30 | 1,452 | -12 | 1,353 | 6 | 1,265 | 24 | 1,189 | 43 | 1,117 | 62 | 1,054 |
-29 | 1,446 | -11 | 1,348 | 7 | 1,261 | 25 | 1,185 | 44 | 1,114 | 63 | 1,051 |
-28 | 1,44 | -10 | 1,342 | 8 | 1,256 | 26 | 1,181 | 45 | 1,11 | 64 | 1,048 |
-27 | 1,435 | -9 | 1,337 | 9 | 1,252 | 27 | 1,177 | 46 | 1,107 | 65 | 1,044 |
-26 | 1,43 | -8 | 1,332 | 10 | 1,248 | 28 | 1,173 | 47 | 1,103 | 66 | 1,041 |
-25 | 1,423 | -7 | 1,327 | 11 | 1,243 | 29 | 1,169 | 48 | 1,1 | 67 | 1,038 |
-24 | 1,418 | -6 | 1,322 | 12 | 1,239 | 30 | 1,165 | 49 | 1,096 | 68 | 1,035 |
-23 | 1,411 | -5 | 1,317 | 13 | 1,235 | 31 | 1,161 | 50 | 1,093 | 69 | 1,032 |
| | | | | | 32 | 1,157 | 51 | 1,09 | 70 | 1,029 |
ОТНОШЕНИЕ КОЛИЧЕСТВА ТЕПЛА, ТЕРЯЕМОГО С ВОЗДУХОМ,
УХОДЯЩИМ ЧЕРЕЗ ОТКРЫТЫЙ ПРОЕМ НАРУЖУ, Q'/Qз
Отношение площади проема к площади щелей F = Fпр / Fщ | Отношение количества тепла, теряемого с воздухом, уходящим через открытый проем наружу, Q'/Qз, при относительном расходе воздуха, q |
1,0 | 0,9 | 0,8 | 0,7 | 0,6 | 0,5 |
10 | 0,25 | 0,18 | 0,16 | 0,06 | 0 | - |
20 | 0,38 | 0,26 | 0,20 | 0,13 | 0,06 | 0,02 |
30 | 0,42 | 0,34 | 0,27 | 0,20 | 0,12 | 0,06 |
40 | 0,50 | 0,43 | 0,35 | 0,26 | 0,18 | 0,11 |
50 | 0,60 | 0,51 | 0,42 | 0,34 | 0,24 | 0,16 |
60 | - | 0,60 | 0,59 | 0,40 | 0,30 | 0,20 |
НОРМЫ РАСХОДА ГОРЯЧЕЙ ВОДЫ В СРЕДНИЕ СУТКИ
Водопотребители | Измеритель | Норма расхода горячей воды, л |
в средние сутки | в сутки наибольшего водопотребления | в час наибольшего водопотребления |
1 | 2 | 3 | 4 | 5 |
1. Жилые дома квартирного типа с централизованным горячим водоснабжением, оборудованные: | 1 житель | | | |
умывальниками, мойками и душами | 85 | 100 | 7,9 |
сидячими ваннами, оборудованными душами | 90 | 110 | 9,2 |
с ваннами длиной 1500 - 1700 мм, оборудованными душами | 105 | 120 | 10 |
жилые дома высотой св. 12 этажей с централизованным горячим водоснабжением и повышенными требованиями к их благоустройству | 115 | 130 | 10,9 |
2. Общежития: | 1 житель | | | |
с общими душевыми | 50 | 60 | 6,3 |
с душами при всех жилых комнатах | 60 | 70 | 8,2 |
блоками душевых на этажах при жилых комнатах в каждой секции здания | 80 | 90 | 7,5 |
3. Гостиницы, пансионаты и мотели с общими ваннами и душами | 1 житель | 70 | 70 | 8,2 |
4. Гостиницы и пансионаты с душами во всех отдельных номерах | 1 житель | 140 | 140 | 12 |
5. Гостиницы с ваннами в отдельных номерах, % общего числа номеров: | 1 житель | | | |
до 25 | 100 | 100 | 10,4 |
до 75 | 150 | 150 | 15 |
100 | 180 | 180 | 16 |
6. Больницы: | 1 койка | | | |
с общими ваннами и душевыми | 75 | 75 | 5,4 |
с санитарными узлами, приближенными к палатам | 90 | 90 | 7,7 |
инфекционные | 110 | 110 | 9,5 |
7. Санатории и дома отдыха: | 1 койка | | | |
с ваннами при всех жилых комнатах | 120 | 120 | 4,9 |
с душами при всех жилых комнатах | 75 | 75 | 8,2 |
8. Поликлиники и амбулатории | 1 больной в смену | 5,2 | 6 | 1,2 |
9. Детские ясли-сады: с дневным пребыванием детей: | 1 ребенок | | | |
со столовыми, работающими на полуфабрикатах | 11,5 | 16 | 4,5 |
со столовыми, работающими на сырье, и прачечными, оборудованными автоматическими стиральными машинами | 25 | 35 | 8 |
с круглосуточным пребыванием детей: | | | |
со столовыми, работающими на полуфабрикатах | 21,4 | 30 | 4,5 |
со столовыми, работающими на сырье, и прачечными, оборудованными автоматическими стиральными машинами | 28,5 | 40 | 8 |
10. Пионерские лагеря: | 1 место | | | |
со столовыми, работающими на сырье, и прачечными, оборудованными автоматическими стиральными машинами | 40 | 40 | 8 |
со столовыми, работающими на полуфабрикатах, и стиркой белья в централизованных прачечных | 30 | 30 | 8 |
11. Прачечные: | 1 кг сухого белья | | | |
механизированные | 25 | 25 | 25 |
немеханизированные | 15 | 15 | 15 |
12. Административные здания | 1 работающий | 5 | 7 | 2 |
13. Учебные заведения (в т.ч. высшие и средние специальные) с душевыми при гимнастических залах и буфетами, реализующими готовую продукцию | 1 учащийся и 1 преподаватель | 6 | 8 | 1,2 |
14. Лаборатории высших и средних специальных заведений | 1 прибор в смену | 112 | 130 | 21,6 |
15. Общеобразовательные школы с душевыми при гимнастических залах и столовыми, работающими на полуфабрикатах | 1 учащийся и 1 преподаватель в смену | 3 | 3,5 | 1 |
то же с продленным днем | 3,4 | 3,1 | 1 |
16. Профессионально-технические училища с душевыми при гимнастических залах и столовыми, работающими на полуфабрикатах | 1 учащийся и 1 преподаватель в смену | 8 | 9 | 1,4 |
17. Школы-интернаты с помещениями: | 1 учащийся и 1 преподаватель в смену | | | |
учебными (с душевыми при гимнастических залах) | 2,7 | 3,2 | 1 |
спальными | 1 место | 30 | 30 | 6 |
18. Научно-исследовательские институты и лаборатории: | 1 работающий | | | |
химического профиля | 60 | 80 | 8 |
биологического профиля | 55 | 75 | 8,2 |
физического профиля | 15 | 20 | 1,7 |
естественных наук | 5 | 7 | 1,7 |
19. Аптеки: | 1 работающий | | | |
торговый зал и подсобные помещения | 5 | 7 | 2 |
лаборатория приготовления лекарств | 55 | 75 | 8,2 |
20. Предприятия общественного питания: | 1 условное блюдо | | | |
для приготовления пищи, реализуемой в обеденном зале | 12,7 | 12,7 | 12,7 |
продаваемой на дом | 11,2 | 11,2 | 11,2 |
21. Магазины: | 1 работающий в смену (20 м2 торгового зала) | | | |
продовольственные | 65 | 65 | 9,6 |
промтоварные | 5 | 7 | 2 |
22. Парикмахерские | 1 рабочее место в смену | 33 | 35 | 4,7 |
23. Кинотеатры | 1 место | 1,5 | 1,5 | 0,2 |
24. Клубы | 1 место | 2,6 | 3 | 0,4 |
25. Театры: | | | | |
для зрителей | 1 место | 5 | 5 | 0,3 |
для артистов | 1 артист | 25 | 25 | 2,2 |
26. Стадионы и спортзалы: | | | | |
для зрителей | 1 место | 1 | 1 | 0,1 |
для физкультурников (с учетом приема душа) | 1 физкультурник | 30 | 30 | 2,5 |
для спортсменов | 1 спортсмен | 60 | 60 | 5 |
27. Плавательные бассейны: | | | | |
для зрителей | 1 место | 1 | 1 | 0,1 |
для спортсменов | 1 спортсмен | 60 | 6 | 5 |
28. Бани: | 1 посетитель | | | |
для мытья в мыльной с тазами на скамьях и ополаскиванием в душе | - | 120 | 120 |
то же с приемом оздоровительных процедур и ополаскиванием в душе | - | 190 | 190 |
душевая кабина | | 240 | 240 |
ванная кабина | | 360 | 360 |
29. Душевые в бытовых помещениях промышленных предприятий | 1 душевая сетка в смену | - | 270 | 270 |
30. Цехи с тепловыделениями свыше 84 кДж на 1 м3/ч | 1 чел. в смену | - | 24 | 8,4 |
31. Остальные цехи | 1 чел. в смену | - | 11 | 4,4 |
Примечания: 1. Нормы расхода воды установлены для основных потребителей и включают все дополнительные расходы (обслуживающим персоналом, душевыми для обслуживающего персонала, посетителями, на уборку помещений и т.п.).
Потребление воды в групповых душевых и на ножные ванны в бытовых зданиях и помещениях производственных предприятий, на стирку белья в прачечных и приготовление пищи на предприятиях общественного питания, а также на водолечебные процедуры в водолечебницах, входящих в состав больниц, санаториев и поликлиник, надлежит учитывать дополнительно.
Настоящие требования не распространяются на потребителей, для которых установлены нормы водопотребления, включающие расход воды на указанные нужды.
2. Для водопотребителей гражданских зданий, сооружений и помещений, не указанных в настоящей таблице, нормы расхода воды следует принимать для потребителей, аналогичных по характеру водопотребления.
ПОПРАВОЧНЫЙ КОЭФФИЦИЕНТ К РАСХОДАМ ТЕПЛА ПРИ РАЗЛИЧНОЙ
ПРОДОЛЖИТЕЛЬНОСТИ РАБОТЫ СИСТЕМЫ ГОРЯЧЕГО ВОДОСНАБЖЕНИЯ
Продолжительность работы системы горячего водоснабжения в неделю, сут. | Поправочный коэффициент к расходам тепла при продолжительности работы системы горячего водоснабжения в сутки, ч |
6 - 10 | 11 - 15 | 16 - 24 |
1 | 2 | 3 | 4 |
ЖИЛЫЕ ДОМА КВАРТИРНОГО ТИПА |
с умывальниками, мойками, душами |
4 | 0,65 | 0,74 | 0,79 |
5 | 0,69 | 0,80 | 0,86 |
6 | 0,72 | 0,85 | 0,93 |
7 | 0,76 | 0,91 | 1,0 |
с сидячими ваннами и душами |
4 | 0,72 | 0,79 | 0,83 |
5 | 0,75 | 0,84 | 0,89 |
6 | 0,77 | 0,88 | 0,94 |
7 | 0,80 | 0,93 | 1,0 |
с ваннами длиной 1500 - 1700 мм и душами |
4 | 0,76 | 0,82 | 0,85 |
5 | 0,78 | 0,80 | 0,90 |
6 | 0,80 | 0,90 | 0,95 |
7 | 0,83 | 0,94 | 1,0 |
при высоте здания более 12 этажей |
4 | 0,80 | 0,86 | 0,89 |
5 | 0,82 | 0,90 | 0,95 |
6 | 0,84 | 0,95 | 1,0 |
7 | 0,87 | 0,99 | 1,0 |
ОБЩЕЖИТИЯ |
с общими душевыми |
4 | 0,68 | 0,76 | 0,81 |
5 | 0,71 | 0,82 | 0,87 |
6 | 0,74 | 0,86 | 0,94 |
7 | 0,78 | 0,92 | 1,0 |
с общими душевыми, прачечными, столовыми |
4 | 0,65 | 0,74 | 0,79 |
5 | 0,68 | 0,80 | 0,86 |
6 | 0,72 | 0,85 | 0,93 |
7 | 0,75 | 0,91 | 1,0 |
ГОСТИНИЦЫ, МОТЕЛИ, ПАНСИОНАТЫ |
с общими ваннами и душами |
4 | 0,66 | 0,69 | 0,74 |
5 | 0,71 | 0,76 | 0,81 |
6 | 0,77 | 0,82 | 0,91 |
7 | 0,83 | 0,89 | 1,0 |
с ваннами и душами во всех номерах |
4 | 0,53 | 0,53 | 0,54 |
5 | 0,68 | 0,69 | 0,69 |
6 | 0,84 | 0,84 | 0,85 |
7 | 0,99 | 1,0 | 1,0 |
с ваннами и душами до 25% от общего числа номеров |
4 | 0,63 | 0,65 | 0,69 |
5 | 0,70 | 0,74 | 0,78 |
6 | 0,79 | 0,825 | 0,895 |
7 | 0,87 | 0,92 | 1,0 |
с ваннами и душами до 75% от общего числа номеров |
4 | 0,56 | 0,57 | 0,59 |
5 | 0,68 | 0,71 | 0,72 |
6 | 0,82 | 0,835 | 0,835 |
7 | 0,95 | 0,97 | 1,0 |
САНАТОРИИ ОБЩЕГО ТИПА, ДОМА ОТДЫХА, БОЛЬНИЦЫ |
с общими ваннами и душами |
4 | 0,75 | 0,81 | 0,84 |
5 | 0,77 | 0,85 | 0,89 |
6 | 0,81 | 0,90 | 0,95 |
7 | 0,81 | 0,94 | 1,0 |
с ваннами при всех комнатах |
4 | 0,57 | 0,63 | 0,66 |
5 | 0,66 | 0,73 | 0,77 |
6 | 0,75 | 0,84 | 0,89 |
7 | 0,84 | 0,94 | 1,0 |
ШКОЛЫ-ИНТЕРНАТЫ |
4 | 0,65 | 0,73 | 0,77 |
5 | 0,69 | 0,79 | 0,85 |
6 | 0,74 | 0,86 | 0,93 |
7 | 0,79 | 0,92 | 1,0 |
ДЕТСКИЕ ЯСЛИ-САДЫ |
с дневным пребыванием детей |
4 | 0,59 | 0,66 | 0,68 |
5 | 0,68 | 0,77 | 0,79 |
6 | 0,76 | 0,87 | 0,9 |
7 | 0,85 | 0,97 | 1,0 |
с круглосуточным пребыванием детей |
4 | 0,51 | 0,62 | 0,67 |
5 | 0,59 | 0,71 | 0,78 |
6 | 0,65 | 0,8 | 0,9 |
7 | 0,72 | 0,9 | 1,0 |
УДЕЛЬНЫЕ ТЕПЛОВЫЕ ПОТЕРИ ТРУБОПРОВОДАМИ СИСТЕМЫ
ГОРЯЧЕГО ВОДОСНАБЖЕНИЯ
Место и способ прокладки трубопровода | Удельные тепловые потери трубопроводами, Вт/м (ккал/ч·м), при диаметрах условного прохода, мм |
15 | 20 | 25 | 32 | 40 | 50 | 70 |
1 | 2 | 3 | 4 | 5 | 6 | 7 | 8 |
Главные подающие стояки при прокладке их в штрабе или коммуникационной шахте, изолированные | - | - | - | - | 19,8 (17,0) -------------- 25,4 (21,8) | 22,2 (19,1) -------------- 28,5 (24,5) | 27,2 (23,4) -------------- 34,9 (30,0) |
Водоразборные стояки без полотенцесушителей изолированные при прокладке в шахте сантехнической кабины, борозде или коммуканикационной шахте | 11,3 (9,7) -------------- 14,9 (12,8) | 12,6 (10,8) -------------- 6,5 (14,2) | 13,8 (11,9) -------------- 18,3 (15,7) | 15,7 (13,5) -------------- 20,7 (17,8) | - | - | - |
То же, с полотенцесушителями | - | 20,7 (17,8) -------------- 27,2 (23,4) | 24,1 (20,7) -------------- 31,7 (27,3) | 29,4 (25,3) -------------- 38,7 (33,3) | - | - | - |
Водоразборные стояки неизолированные при прокладке их в шахте сантехнической кабины, борозде, коммуканикационной шахте или открыто в ванной комнате, кухне | 24,1 (20,7) -------------- 31,7 (27,3) | 29,7 (25,5) -------------- 39,1 (35,6) | 35,1 (30,2) -------------- 46,3 (39,8) | 44,0 (37,9) -------------- 57,9 (49,8) | - | - | - |
Изолированные распределительные трубопроводы и подключающие участки стояков (подающие): | | | | | | | |
в подвале и на лестничной клетке | 15,7 (13,5) -------------- 19,3 (16,6) | 17,4 (15,0) -------------- 21,4 (13,4) | 19,2 (16,5) -------------- 23,6 (20,3) | 21,9 (18,8) -------------- 26,9 (23,1) | 24,2 (20,8) -------------- 29,8 (25,6) | 27,2 (23,4) -------------- 33,5 (26,8) | 33,3 (26,8) -------------- 40,9 (36,2) |
на холодном чердаке | 19,3 (16,6) -------------- 22,9 (19,7) | 21,5 (18,5) -------------- 25,5 (21,9) | 23,6 (20,3) -------------- 28,0 (24,1) | 27,0 (23,2) -------------- 32,0 (27,5) | 29,8 (25,6) -------------- 35,4 (30,4) | 33,5 (28,8) -------------- 39,8 (34,2) | 40,9 (35,2) -------------- 48,6 (41,8) |
на теплом чердаке | 13,5 (11,6) -------------- 17,1 (14,7) | 15,1 (13,0) -------------- 19,2 (16,5) | 16,6 (14,3) -------------- 21,1 (18,1) | 19,6 (16,3) -------------- 24,0 (20,6) | 20,8 (17,9) -------------- 26,4 (22,7) | 23,5 (20,2) -------------- 28,8 (25,6) | 28,6 (24,6) -------------- 36,3 (31,2) |
Циркуляционные трубопроводы: | | | | | | | |
в подвале изолированные | 12,7 (10,9) -------------- 16,3 (14,0) | 14,1 (12,1) -------------- 18,1 (15,6) | 15,5 (13,3) -------------- 19,9 (17,1) | 17,6 (15,1) -------------- 22,6 (19,4) | 19,4 (16,7) -------------- 25,0 (21,5) | 21,9 (18,8) -------------- 28,1 (24,2) | 26,7 (23,0) -------------- 34,4 (29,6) |
на теплом чердаке изолированные | 10,5 (9,0) -------------- 24,5 (21,1) | 11,6 (10,0) -------------- 15,6 (13,4) | 12,8 (11,0) -------------- 17,2 (14,8) | 14,7 (12,6) -------------- 19,7 (16,9) | 16,0 (13,8) -------------- 21,6 (18,6) | 18,1 (15,6) -------------- 24,4 (21,0) | 22,2 (19,1) -------------- 29,9 (25,7) |
на холодном чердаке изолированные | 16,3 (14,0) -------------- 19,9 (17,1) | 18,1 (15,6) -------------- 23,2 (19,1) | 19,9 (17,1) -------------- 24,3 (20,9) | 22,6 (19,4) -------------- 27,6 (23,7) | 25,0 (21,5) -------------- 27,6 (23,7) | 28,1 (24,2) -------------- 34,4 (29,6) | 34,2 (29,6) -------------- 42,1 (36,2) |
в помещениях квартиры неизолированные | 23,3 (20,0) -------------- 31,3 (26,9) | 28,6 (24,6) -------------- 38,5 (33,1) | 34,0 (29,2) -------------- 45,7 (39,3) | 42,6 (36,6) -------------- 57,2 (49,2) | 50,0 (43,0) -------------- 67,2 (57,8) | 60,5 (52,0) -------------- 81,3 (69,9) | 83,7 (72,0) --------------- 112,6 (96,8) |
на лестничной клетке неизолированные | 27,3 (23,5) -------------- 35,4 (30,4) | 33,6 (28,9) -------------- 43,5 (37,4) | 39,8 (34,2) -------------- 51,4 (44,2) | 49,2 (42,8) -------------- 64,4 (55,4) | 58,5 (50,3) -------------- 75,1 (65,1) | 70,7 (60,8) -------------- 91,5 (78,7) | 98,3 (84,5) ----------------- 127,2 (109,4) |
Циркуляционные стояки при прокладке их в штрабе сантехнической кабины или ванной комнате изолированные | 9,8 (8,4) -------------- 13,4 (11,5) | 10,9 (9,4) -------------- 15,0 (12,9) | 12,0 (10,3) -------------- 16,4 (14,1) | 13,6 (11,7) -------------- 18,6 (16,0) | 15,0 (12,9) -------------- 20,6 (17,7) | 17,0 (14,6) -------------- 23,3 (20,0) | 20,7 (17,8) -------------- 28,4 (24,4) |
То же, неизолированные | 21,6 (18,6) -------------- 29,7 (25,5) | 23,7 (23,0) -------------- 36,6 (31,5) | 31,5 (27,1) -------------- 43,1 (31,5) | 39,5 (34,0) -------------- 54,2 (46,6) | 46,5 (40,0) -------------- 63,7 (54,8) | 56,2 (48,3) -------------- 77,0 (66,2) | 78,2 (67,2) --------------- 107,1 (92,1) |
Примечание. В числителе приведены потери 1 м трубопровода систем горячего водоснабжения, присоединяемых к закрытым системам теплоснабжения, в знаменателе - к открытым системам теплоснабжения.
КОЭФФИЦИЕНТ, УЧИТЫВАЮЩИЙ ПОТЕРИ ТЕПЛА ТРУБОПРОВОДАМИ
Тип системы горячего водоснабжения | Коэффициент, учитывающий потери тепла, Kтп |
при наличии наружных сетей горячего водоснабжения после ЦТП (на балансе потребителя) | без наружных сетей горячего водоснабжения |
С изолированными стояками |
без полотенцесушителей | 0,15 | 0,1 |
с полотенцесушителями | 0,25 | 0,2 |
С неизолированными стояками |
без полотенцесушителей | 0,25 | 0,2 |
с полотенцесушителями | 0,35 | 0,3 |
ЗНАЧЕНИЯ КОЭФФИЦИЕНТА ЧАСОВОЙ НЕРАВНОМЕРНОСТИ
ВОДОПОТРЕБЛЕНИЯ kr
Численность жителей | Коэффициент часовой неравномерности kr | Численность жителей | Коэффициент часовой неравномерности kr |
1 | 2 | 3 | 4 |
150 | 5,15 | 2500 | 2,9 |
250 | 4,5 | 3000 | 2,85 |
350 | 4,1 | 4000 | 2,78 |
500 | 3,75 | 5000 | 2,74 |
700 | 3,5 | 6000 | 2,7 |
1000 | 3,27 | 7500 | 2,65 |
1500 | 3,09 | 10000 | 2,6 |
2000 | 2,97 | 20000 | 2,4 |
УДЕЛЬНЫЙ РАСХОД ПАРА В ПРАЧЕЧНЫХ
Тип оборудования | Удельный расход пара, кг на кг обрабатываемого белья |
Бак для приготовления стиральных растворов | 0,3 |
Стиральная машина загрузочной массой белья, кг: | |
5 | 1,0 |
10 | 0,95 |
25 | 0,85 |
50 | 0,80 |
100 | 0,75 |
Карусельная установка в машинах загрузочной массой 50 кг белья | 1,15 |
Сушильный барабан загрузочной массой белья, кг: | |
5 | 1,56 |
25 | 1,05 |
Сушильно-гладильные катки производительностью белья, кг/ч: | |
25 | 1,0 |
50 | 0,86 |
100 | 0,82 |
Гладильный пресс производительностью белья, кг: | |
5 - 18 | 1,0 |
2,5 | 1,0 |
Манекены для мужских рубашек: | |
для рукавов | 0,55 |
для манжет и рукавов | 0,45 |
для корпуса | 1,90 |
Примечание. Расход пара для стирального оборудования следует принимать с коэффициентом одновременности действия 0,8, а для сушильно-гладильного оборудования - 1,0.
ТАБЛИЦЫ
ДЛЯ ОПРЕДЕЛЕНИЯ КОЛИЧЕСТВА ВЫРАБАТЫВАЕМОЙ ТЕПЛОТЫ
ПОТЕРИ ТЕПЛА ПРИ РАСТОПКЕ ВОДОГРЕЙНЫХ КОТЛОВ
Тип водогрейного котла | Мощность котла, МВт (ккал/ч) | Потери тепла, ГДж (Гкал) |
1 | 2 | 3 |
ПТВМ-50 | 58,1 (50) | 3,01 (0,72) |
ПТВМ-30 | 40,7 (35) | 4,52 (1,08) |
ТВГМ-30 | 40,7 (35) | 4,52 (1,08) |
КВГМ-50 | 58,1 (50) | 4,9 (1,17) |
КВГМ-30 | 34,9 (30) | 9,8 (2,34) |
КВГМ-20 | 23,3 (20) | 9,04 (2,16) |
КВГМ-10 | 11,6 (10) | 7,16 (1,71) |
ТВГ-8м | 9,3 (8) | 17,7 (4,23) |
ТВГ-4н | 4,7 (4) | 12,4 (2,97) |
ОРЭ-3р | 3,5 (3) | 9,42 (2,25) |
ОРЭ-2 | 2,3 (2) | 9,42 (2,25) |
ОРЭ-1 | 1,16 (1) | 7,91 (1,89) |
ЗИО-60 | 1,0 (0,9) | 6,03 (1,44) |
"Минск-1" и др. | 1,16 (1) | 7,91 (1,89) |
"Энергия", "Универсал" и др. | 0,7 (0,6) | 4,9 (1,17) |
УДЕЛЬНЫЙ РАСХОД ВОДЫ НА СОБСТВЕННЫЕ НУЖДЫ ХВО
Схема ХВО | Ионит | Удельный расход воды на собственные нужды ХВО, т исходной воды на 1 т химочищенной воды, при жесткости исходной воды (общая), мг-экв./кг |
1 | 2 | 3 | 4 | 5 | 6 | 7 | 8 | 9 | 10 | 11 |
Na-катионирование | Сульфоуголь | 0,031 | 0,047 | 0,063 | 0,078 | 0,094 | 0,11 | 0,125 | - | - | - | - |
Катионит КУ-2 | 0,015 | 0,023 | 0,031 | 0,039 | 0,047 | 0,055 | 0,062 | - | - | - | - |
H-катионирование с "голодной" регенерацией | Сульфоуголь | - | 0,052 | 0,075 | 0,098 | 0,122 | 0,144 | 0,167 | 0,19 | 0,214 | 0,235 | 0,258 |
Примечание. Коэффициент на регенерацию воды определен на основании усредненных данных ВТИ и уточняется при проведении наладки ХВО.
ПОТЕРИ ТЕПЛА ИЗОЛИРОВАННЫМИ БАКАМИ
Характеристика стальных вертикальных цилиндрических баков-аккумуляторов | Плотность теплового потока через изоляцию, МВт (Гкал/ч) |
D = 4,73 м, H = 5,98 м, V = 100 м3 | 0,0050 (0,0043) |
D = 6,63 м, H = 5,98 м, V = 200 м3 | 0,0079 (0,0068) |
D = 7,58 м, H = 7,45 м, V = 300 м3 | 0,0109 (0,0094) |
D = 8,53 м, H = 7,45 м, V = 400 м3 | 0,0127 (0,0109) |
D = 10,43 м, H = 8,95 м, V = 700 м3 | 0,0187 (0,0161) |
D = 12,33 м, H = 8,95 м, V = 1000 м3 | 0,0239 (0,0205) |
Примечание. Размеры резервуаров приняты по данным института "Проектстальконструкция".
ТЕМПЕРАТУРА ПОДОГРЕВА МАЗУТА
Место подогрева | Температура подогрева мазута, °C, для марки мазута |
М 46 - 60 | М 80 - 100 |
1 | 2 | 3 |
В железнодорожных цистернах перед сливом | 30 | 60 |
В приемной емкости и хранилищах | 40 - 60 | 30 - 80 |
Перед форсунками: | | |
- механическими или паромеханическими | 100 | 120 |
- воздушными низконапорными | 90 | 110 |
- паровыми или воздушными высоконапорными | 85 | 105 |
Марка мазута | Время разогрева мазута, ч |
в холодное время года с 15.10 по 15.04 | в теплое время года с 15.04 по 15.10 |
М 20 | 6 | 3 |
М 40 | 8 | 4 |
М 60, М 80, М 100 | 10 | 4 |
РАСХОД ПАРА ДЛЯ РАЗОГРЕВА МАЗУТА
Мазут | Расход нормального пара, кг/т мазута, при типах форсунок |
воздушных | паровых | механических |
Флотский | 46 | 243 | 36 |
Топочный М 40 | 48 | 247 | 42 |
М 100 | 34 | 239 | 39 |
Примечание. В норму расхода пара для паровых форсунок входит расход пара на распыление мазута.
НОРМАТИВЫ РАСХОДА ТЕПЛА НА СОБСТВЕННЫЕ НУЖДЫ КОТЕЛЬНОЙ
Составляющая расхода тепловой энергии на собственные нужды котельных | Норматив расхода тепла по элементам затрат, % номинальной нагрузки котельной |
Газообразное топливо | Слоевые и факельно-слоевые топки | Жидкое топливо |
1 | 2 | 3 | 4 |
Продувка паровых котлов паропроизводительностью, т/ч: | | | |
до 10 | 0,13 | 0,13 | 0,13 |
более 10 | 0,06 | 0,06 | 0,06 |
Растопка котлов | 0,06 | 0,06 | 0,06 |
Обдувка котлов | - | 0,36 | 0,32 |
Дутье под решетку котла | - | 2,5 | - |
Мазутное хозяйство | - | - | 1,6 |
Паровой распыл мазута | - | - | 4,5 |
Подогрев воздуха в калориферах | - | - | 1,2 |
Эжектор дробеочистки | - | - | 0,17 |
Технологические нужды химводоочистки, деаэрации; отопление и хозяйственные нужды котельной; потери тепла паропроводами, насосами, баками и т.п.; утечки, испарения при опробировании и выявлении неисправностей в оборудовании; неучтенные потери | 2,2 | 2 | 1,7 |
ИТОГО | 2,39 - 2,32 | 5,05 - 2,55 | 9,68 - 3,91 |
Примечания: 1. Нормативы установлены при следующих показателях:
величина продувки котлов производительностью 10 т/ч - 10%, свыше 10 т/ч - 5%;
возврат конденсата 90 - 95%, температура возвращаемого конденсата 90 °C;
температура добавочной химически очищенной воды 5 °C;
марка мазута М 100, подогрев мазута от 5 до 105 °C;
дробеочистка принята для котлов паропроизводительностью более 25 т/ч, работающих на сернистом мазуте, бурых углях и угле марки АРШ с расходом пара на эжектор 1500 кг/ч при давлении 1,37 МПа (14 кгс/см2) и температуре 280 - 330 °C;
расход топлива на растопку принят исходя из следующего числа растопок в год: 6 после простоя длительностью до 12 ч, 3 после простоя длительностью более 12 ч;
расход пара на калориферы для подогрева воздуха перед воздухоподогревателем предусмотрен для котлов паропроизводительностью 25 т/ч и выше и работающих на сернистом мазуте, бурых углях и угле марки АРШ.
2. При наличии резервного топлива в котельной следует дополнительно учесть расход тепла на подогрев топлива.
НОРМЫ ПЛОТНОСТИ ТЕПЛОВОГО ПОТОКА ДЛЯ ТЕПЛОВЫХ СЕТЕЙ,
ПРОЛОЖЕННЫХ В НЕПРОХОДНЫХ КАНАЛАХ
Диаметр трубопровода, мм | Норма плотности теплового потока для двухтрубных водяных тепловых сетей при непроходных каналах, Вт/м [ккал/(ч·м)] |
для обратного трубопровода  = 50 °C | для подающего трубопровода  = 65 °C | суммарная для двухтрубной прокладки | для подающего трубопровода  = 90 °C | суммарная для двухтрубной прокладки | для подающего трубопровода  = 110 °C | суммарная для двухтрубной прокладки |
1 | 2 | 3 | 4 | 5 | 6 | 7 | 8 |
32 | 23,2 (20) | 29,1 (25) | 52,3 (45) | 37,2 (32) | 60,5 (52) | 44,2 (38) | 67,4 (58) |
57 | 29,1 (25) | 36,1 (31) | 65,2 (56) | 46,5 (40) | 75,6 (65) | 54,7 (47) | 83,8 (72) |
76 | 33,7 (29) | 40,7 (35) | 74,4 (64) | 52,3 (45) | 86,0 (74) | 61,6 (53) | 95,3 (82) |
89 | 36,1 (31) | 44,2 (38) | 80,3 (69) | 57,0 (49) | 93,1 (80) | 66,3 (57) | 102,4 (88) |
108 | 39,5 (34) | 48,8 (42) | 88,3 (76) | 62,8 (54) | 102,3 (88) | 72,1 (62) | 111,6 (96) |
159 | 48,8 (42) | 60,5 (52) | 109,3 (94) | 75,6 (65) | 124,4 (107) | 87,2 (75) | 136,0 (117) |
219 | 59,3 (51) | 72,1 (62) | 131,4 (113) | 91,9 (79) | 151,2 (130) | 105,8 (91) | 165,1 (142) |
273 | 69,8 (60) | 83,7 (72) | 153,5 (132) | 104,7 (90) | 174,5 (150) | 119,8 (103) | 189,6 (163) |
377 | 88,4 (76) | - | - | 124,4 (107) | 212,8 (183) | 146,5 (126) | 234,9 (202) |
426 | 95,4 (82) | - | - | 140,7 (121) | 236,1 (203) | 159,3 (137) | 254,7 (219) |
478 | 105,8 (91) | - | - | 153,5 (132) | 259,3 (223) | 174,5 (150) | 280,3 (24) |
529 | 117,5 (101) | - | - | 165,1 (142) | 282,6 (243) | 186,1 (160) | 303,6 (261) |
630 | 132,6 (114) | - | - | 189,6 (163) | 322,2 (277) | 214,0 (184) | 345,6 (298) |
Примечания: 1. Расчетные среднегодовые температуры воды в водяных тепловых сетях 65, 90, 110 °C соответствуют температурным графикам 95 - 70, 150 - 70, 180 - 70 °C.
2. Промежуточные значения норм плотности теплового потока следует определять интерполяцией.
НОРМЫ ПЛОТНОСТИ ТЕПЛОВОГО ПОТОКА ДЛЯ ПОДЪЕМНЫХ
ТЕПЛОВЫХ СЕТЕЙ ПРИ БЕСКАНАЛЬНОЙ ПРОКЛАДКЕ
Диаметр трубопровода, мм | Нормы плотности теплового потока для двухтрубных водяных тепловых сетей при бесканальной прокладке, Вт/м [ккал/(ч·м)] |
для подающего трубопровода  = 65 °C | для обратного трубопровода  = 50 °C | суммарная для двухтрубной прокладки | для подающего трубопровода  = 90 °C | для обратного трубопровода  = 50 °C | суммарная для двухтрубной прокладки |
1 | 2 | 3 | 4 | 5 | 6 | 7 |
32 | 22,0 (19) | 18,6 (16) | 40,6 (35) | 31,4 (27) | 18,6 (16) | 50,0 (43) |
57 | 27,9 (24) | 23,3 (20) | 51,2 (44) | 38,4 (33) | 23,3 (20) | 61,7 (53) |
76 | 30,2 (26) | 25,6 (22) | 55,8 (48) | 40,7 (35) | 25,6 (22) | 66,3 (57) |
89 | 32,6 (28) | 26,7 (23) | 59,3 (51) | 43,0 (37) | 25,6 (22) | 68,6 (59) |
108 | 34,9 (30) | 29,1 (25) | 62,8 (54) | 46,5 (40) | 29,1 (25) | 75,6 (65) |
133 | 38,4 (33) | 32,6 (28) | 71,0 (61) | 51,2 (44) | 32,6 (28) | 83,8 (72) |
159 | 40,7 (35) | 36,1 (31) | 76,8 (66) | 54,7 (47) | 33,7 (29) | 88,4 (76) |
219 | 47,7 (41) | 46,5 (40) | 94,2 (81) | 70,9 (61) | 46,5 (40) | 117,4 (101) |
273 | 62,8 (54) | 53,5 (46) | 116,3 (100) | 79,1 (68) | 51,2 (44) | 130,3 (112) |
325 | 69,8 (60) | 59,3 (51) | 129,1 (111) | 87,2 (75) | 58,2 (50) | 145,4 (125) |
377 | - | - | - | 96,5 (83) | 62,8 (54) | 159,3 (137) |
426 | - | - | - | 102,3 (88) | 67,5 (58) | 169,8 (146) |
478 | - | - | - | 108,2 (93) | 72,1 (62) | 180,3 (155) |
529 | | - | - | 114,0 (98) | 76,8 (66) | 191,8 (164) |
630 | - | - | - | 131,4 (113) | 89,6 (77) | 221,0 (190) |
НОРМЫ ПЛОТНОСТИ ТЕПЛОВОГО ПОТОКА ДЛЯ ТЕПЛОПРОВОДОВ,
РАСПОЛОЖЕННЫХ НА ОТКРЫТОМ ВОЗДУХЕ
Диаметр трубопровода, мм | Норма плотности теплового потока для теплопроводов, расположенных на открытом воздухе, Вт/м [ккал/(ч·м)], при средней температуре теплоносителя, °C |
50 | 65 | 75 | 100 | 125 | 150 |
1 | 2 | 3 | 4 | 5 | 6 | 7 |
48 | 19,8 (17) | 23,3 (20) | 26,7 (23) | 32,6 (28) | 41,9 (36) | 51,2 (44) |
57 | 22,1 (19) | 27,9 (24) | 30,2 (26) | 38,4 (33) | 47,7 (41) | 57,0 (49) |
76 | 24,4 (21) | 30,2 (26) | 33,7 (29) | 43,0 (37) | 54,7 (47) | 65,1 (56) |
89 | 27,9 (24) | 33,7 (29) | 38,4 (33) | 47,7 (41) | 59,3 (51) | 70,9 (61) |
108 | 30,2 (26) | 37,2 (32) | 41,9 (36) | 53,5 (46) | 66,3 (57) | 77,9 (67) |
133 | 34,9 (30) | 41,9 (36) | 47,7 (41) | 59,3 (51) | 73,3 (63) | 86,1 (74) |
159 | 38,4 (33) | 46,5 (40) | 52,3 (45) | 66,3 (57) | 81,4 (70) | 95,4 (82) |
219 | 46,5 (40) | 57,0 (49) | 64,0 (55) | 81,4 (70) | 98,9 (85) | 115,1 (99) |
273 | 53,5 (46) | 65,1 (56) | 73,3 (63) | 91,9 (79) | 110,5 (95) | 127,9 (110) |
325 | 61,6 (53) | 74,4 (64) | 82,6 (71) | 102,3 (88) | 122,1 (105) | 141,9 (122) |
377 | 68,6 (59) | 82,6 (71) | 91,9 (79) | 114,0 (98) | 136,1 (117) | 157,0 (135) |
426 | 75,6 (65) | 89,6 (77) | 100,0 (86) | 123,3 (106) | 147,7 (127) | 171,0 (147) |
478 | 81,4 (70) | 97,7 (84) | 108,2 (93) | 133,7 (115) | 158,2 (136) | 181,4 (156) |
529 | 88,4 (76) | 104,7 (90) | 116,0 (100) | 144,2 (124) | 171,0 (147) | 197,7 (170) |
630 | 102,3 (88) | 121,0 (104) | 133,7 (115) | 164,0 (141) | 194,2 (167) | 223,3 (192) |
720 | 114,0 (98) | 133,7 (115) | 147,7 (127) | 181,4 (156) | 214,0 (184) | 245,4 (211) |
Примечания: 1. Нормы плотности теплового потока определены при средней расчетной температуре окружающей среды за период работы 5 °C.
2. Промежуточные значения норм плотности теплового потока следует определять интерполяцией.
НОРМЫ ПЛОТНОСТИ ТЕПЛОВОГО ПОТОКА ДЛЯ ТЕПЛОПРОВОДОВ,
РАСПОЛОЖЕННЫХ ВНУТРИ ПОМЕЩЕНИЙ
Диаметр трубопровода, мм | Норма плотности теплового потока для теплопроводов, расположенных внутри помещений, Вт/м [ккал/(ч·м)], при средней температуре теплоносителя, °C |
50 | 75 | 100 | 125 | 150 |
1 | 2 | 3 | 4 | 5 | 6 |
32 | 13,2 (12) | 23,2 (20) | 32,6 (28) | 40,7 (35) | 50,0 (43) |
48 | 15,1 (13) | 25,6 (22) | 36,1 (31) | 46,5 (40) | 57,0 (49) |
57 | 16,3 (14) | 26,7 (23) | 37,2 (32) | 50,0 (43) | 61,6 (53) |
76 | 17,4 (15) | 30,2 (26) | 43,0 (37) | 57,0 (49) | 67,5 (58) |
89 | 18,6 (16) | 31,4 (27) | 45,4 (39) | 60,5 (52) | 72,1 (62) |
108 | 25,6 (22) | 39,5 (34) | 52,3 (45) | 66,3 (57) | 79,1 (68) |
133 | 31,4 (27) | 46,3 (40) | 61,6 (53) | 75,6 (65) | 88,4 (76) |
159 | 36,1 (31) | 52,3 (45) | 69,8 (60) | 83,7 (72) | 97,7 (84) |
194 | 40,7 (35) | 58,2 (50) | 76,8 (66) | 93,0 (80) | 108,2 (93) |
219 | 44,2 (38) | 60,5 (52) | 81,4 (70) | 98,9 (85) | 116,3 (100) |
273 | 48,8 (42) | 68,6 (59) | 90,7 (78) | 110,5 (95) | 129,1 (111) |
325 | 52,3 (45) | 70,9 (61) | 98,9 (85) | 121,0 (104) | 141,9 (122) |
Примечания: 1. Нормы плотности теплового потока определены при средней расчетной температуре окружающей среды за период работы 25 °C.
2. Промежуточные значения норм плотности теплового потока следует определять интерполяцией.
СРЕДНЯЯ ТЕМПЕРАТУРА ГРУНТА ДЛЯ НЕКОТОРЫХ ГОРОДОВ
Наименование городов | Средняя температура грунта, °C, для периода |
зимняя | летняя | годовая |
на глубине, м |
0,8 | 1,6 | 0,8 | 1,6 | 0,8 | 1,6 |
Брест | 1,2 | 3,1 | 19,1 | 16,4 | 9,7 | 9,6 |
Бежецк | 0,5 | 1,9 | 17,4 | 15,4 | 8,3 | 8,2 |
Вологда | 1,0 | 2,0 | 13,2 | 10,9 | 5,9 | 5,9 |
Волгоград | -1,9 | 0,7 | 23,7 | 19,5 | 10,1 | 10,2 |
Екатеринбург | 0,75 | 2,7 | 12 | 9,1 | 6,0 | 5,5 |
Иваново | -0,1 | 1,3 | 15 | 13,3 | 6,2 | 6,3 |
Москва | 1,0 | 1,6 | 14,4 | 13,4 | 6,5 | 6,5 |
Орел | 0 | 1,8 | 17,2 | 14,8 | 7,5 | 7,6 |
Оренбург | -1,1 | 1,9 | 15,6 | 12,5 | 6,8 | 7,1 |
Ростов-на-Дону | 0,8 | 4,8 | 20,2 | 16,6 | 10,4 | 10,7 |
Санкт-Петербург | -2,5 | 0,7 | 16,3 | 13,7 | 5,4 | 5,9 |
НОРМЫ ПЛОТНОСТИ ТЕПЛОВОГО ПОТОКА ДЛЯ ИЗОЛИРОВАННОЙ
АРМАТУРЫ В ПОМЕЩЕНИЯХ
Диаметр условного прохода трубопровода, мм | Норма плотности теплового потока через изолированную поверхность арматуры в помещениях при ti = 25 °C на одну единицу, Вт [ккал/ч] |
Изоляция шнуром толщиной 70 - 100 мм, обертка изоляционными материалами толщиной 70 - 100 мм | Мастичная изоляция толщиной 70 - 100 мм. Сборно-разборные металлические футляры с вкладышами из минеральной ваты под металлический кожух |
50 | 136 (117) | 116 (100) |
100 | 186 (160) | 162 (140) |
200 | 302 (260) | 262 (226) |
300 | 432 (390) | 394 (340) |
Примечание. Нормы плотности теплового потока рассчитаны для температуры теплоносителя 100 °C.
ЭКВИВАЛЕНТНАЯ ДЛИНА ИЗОЛИРОВАННОГО ТРУБОПРОВОДА
ДЛЯ ОДНОЙ ЕДИНИЦЫ АРМАТУРЫ
Характеристика изоляции арматуры | Эквивалентная длина изолированного трубопровода lэ, м, при условном диаметре |
до 0,1 м | до 0,5 м |
Неизолированная | 6,7 | 7,2 |
Изолированная на 3/4 всей поверхности | 2,5 | 5,1 |
РАСХОДЫ ТЕПЛА НЕИЗОЛИРОВАННЫМИ ФЛАНЦАМИ
Разность температур между наружной поверхностью трубы и окружающим воздухом  °C | Норма плотности теплового потока с поверхности неизолированных фланцев (одна пара), Вт [ккал/ч], при условном проходе трубопровода, мм |
70 | 100 | 150 | 200 | 250 | 300 |
75 | 122 (105) | 157 (135) | 232 (199) | 308 (265) | 383 (329) | 453 (390) |
100 | 174 (150) | 232 (199) | 348 (299) | 465 (400) | 580 (499) | 696 (598) |
125 | 244 (210) | 325 (279) | 476 (409) | 639 (549) | 790 (679) | 952 (819) |
ТЕХНИЧЕСКИЕ ХАРАКТЕРИСТИКИ МАТЕРИАЛОВ, ПРИМЕНЯЕМЫХ
ДЛЯ ИЗОЛЯЦИИ ТРУБОПРОВОДОВ, ПРИ БЕСКАНАЛЬНОЙ ПРОКЛАДКЕ
Теплоизоляционный материал | Условный проход трубопровода, мм | Средняя плотность, кг/м3 | Теплопроводность сухого материала, Вт/(м·°C) [ккал/(ч·м·°C)] |
Армопенобетон | 150 - 800 | 350 - 450 | 0,105 - 0,13 (0,09 - 0,11) |
Битумоперлит | 50 - 400 | 450 - 550 | 0,11 - 0,13 (0,09 - 0,11) |
Битумокерамзит | До 500 | 600 | 0,13 (0,11) |
Битумовермикулит | До 500 | 600 | 0,13 (0,11) |
Пенополимербетон | 100 - 400 | 60 - 80 | 0,07 (0,06) |
Фенольный поропласт ФЛ монолитный | До 1000 | 100 | 0,05 (0,043) |
КОЭФФИЦИЕНТ УВЛАЖНЕНИЯ ТЕПЛОИЗОЛЯЦИОННОГО СЛОЯ
ТРУБОПРОВОДА ПРИ БЕСКАНАЛЬНОЙ ПРОКЛАДКЕ
Теплоизоляционный материал | Коэффициент увлажнения K |
Тип грунта по ГОСТ 25100-82 |
маловлажный | влажный | насыщенный водой |
Армопенобетон | 1,15 | 1,25 | 1,4 |
Битумоперлит | 1,1 | 1,15 | 1,3 |
Битумокерамзит | 1,1 | 1,15 | 1,25 |
Битумовермикулит | 1,1 | 1,15 | 1,3 |
Пенополимербетон | 1,05 | 1,1 | 1,15 |
Фенольный поропласт ФЛ монолитный | 1,05 | 1,1 | 1,15 |
Пенополиуретан | 1 | 1,05 | 1,1 |
ТЕПЛОПРОВОДНОСТЬ ГРУНТА
Классификация по влажности | Вид грунта | Средняя плотность сухого грунта, кг/м3 | Расчетная абсолютная влажность, % | Теплопроводность грунта, Вт/(м·°C) [ккал/(ч·м·°C)] |
1 | 2 | 3 | 4 | 5 |
Сухой | Глинистые и суглинки | 1600 | | 0,87 (0,75) |
2000 | 5 | 1,74 (1,5) |
Пески и песчаные | 1600 | 5 | 1,11 (0,85) |
2000 | | 2,03 (1,75) |
Скальные | 2000 | 5 | 2,03 (1,75) |
2400 | 1 | 2,33 (2,0) |
Влажный | Глинистые и суглинки | 1600 | 20 | 1,74 (1,5) |
2000 | 10 | 2,56 (2,2) |
Пески и песчаные | 1600 | 15 | 1,92 (1,65) |
2000 | 5 | 3,2 (2,75) |
Скальные | 2000 | 8 | 2,73 (2,35) |
2400 | 3 | 3,48 (3,0) |
Насыщенный водой | Глинистые и суглинки | 1600 | 23,8 | 1,86 (1,6) |
2000 | 11,5 | 2,67 (2,3) |
Пески и песчаные | 1600 | 23,8 | 2,44 (2,1) |
2000 | 11,5 | 3,37 (2,9) |
Скальные | 2000 | 11,5 | 3,37 (2,9) |
2400 | 3,3 | 5,11 (4,4) |
ТАБЛИЦЫ ДЛЯ ОПРЕДЕЛЕНИЯ ПОТРЕБНОГО КОЛИЧЕСТВА
ТОПЛИВА НА ВЫРАБОТКУ ТЕПЛОТЫ
МАКСИМАЛЬНО ДОПУСТИМЫЕ ПОТЕРИ ТВЕРДОГО ТОПЛИВА, %
Наименование операций | Вид топлива |
Каменный уголь | Угольная мелочь | Бурый уголь | Кусковой торф | Фрезерный торф |
Железнодорожные перевозки | 0,8 | 1,0 | 0,8 | 0,6 | 1,25 |
Разгрузка вагона | 0,1 | 0,2 | 0,2 | 0,15 | 0,5 |
При складских перемещениях | 0,2 | 0,3 | 0,3 | 0,15 | 0,5 |
Хранение на складе в течение одного года | 0,2 | 0,3 | 0,5 | 2,0 | 3,0 |
Подача со склада в котельную | - | 0,1 | 0,2 | 0,1 | 0,3 |
Наименование операции | Потеря, % |
Перевозка в железнодорожных цистернах | 0,04 |
Прием на железной дороге и из автоцистерн в заглубленные железобетонные и наземные металлические резервуары | 0,021 |
Хранение в резервуарных емкостях (1 кг/м2 поверхности испарения в месяц): | |
резервуары заглубленные, железобетонные | 0,03 |
резервуары наземные, металлические | 0,006 |
НОРМЫ РАСХОДА УСЛОВНОГО ТОПЛИВА ДЛЯ КОТЛОАГРЕГАТОВ
НА НОМИНАЛЬНОЙ НАГРУЗКЕ
Тип котлоагрегата | Норма расхода условного топлива для котлоагрегатов на номинальной нагрузке, кг у.т./ГДж (кг у.т./Гкал), при работе на |
газе | жидком топливе | каменном угле | буром угле |
1 | 2 | 3 | 4 | 5 |
ПАРОВЫЕ |
ГМ50-1, ГМ50-14, ГМ50-14/250 | 37,4 (156,6) | 37,6 (157,7) | - | - |
К35-40, ТП35-У, ТП-35 | - | - | 38,7 (162) | 38,9 (163,0) |
ТП-35 | - | 37,0 (155) | - | - |
Б35-40, ТС-35-У | - | - | - | 40,3 (168,7) |
ЛМЗ (30 т/ч) | 36,0 (151,0) | - | - | - |
ТП-40 | 36,6 (153,5) | 36,9 (154,8) | - | - |
Б-25-15ГМ, Б25-14ГМ, Б25-24-ГМ | 36,9 (154,7) | 37,6 (157,5) | - | - |
СУ20-39, ТС20-М, ТС20-У, ТП20-У | - | - | 39,7 (166,4) | 40,6 (170,0) |
ТП-20 | 36,9 (154,7) | - | - | - |
ТС-20 | 37,0 (155,0) | 37,1 (155,4) | - | - |
ДКВР 20-13 | 37,5 (157,1) | 38,3 (160,4) | 41,7 (174,6) | 45,1 (189,0) |
ДКВР 10-13 | 37,6 (157,6) | 38,2 (160,1) | 41,7 (174,6) | 45,1 (189,0) |
ДКВР 6,5-13 | 37,7 (158,1) | 38,2 (160,1) | 41,7 (174,6) | 45,1 (189,0) |
ДКВР 4-13 | 37,9 (158,1) | 38,2 (160,1) | 41,7 (174,8) | 45,1 (189,0) |
ДКВР 2,5-13 | 38,3 (160,3) | 38,3 (160,4) | 41,9 (175,4) | 45,2 (189,2) |
ДКВ 10-13 | 38,4 (161,0) | 39,9 (167,2) | 44,8 (187,9) | - |
ДКВ 6,5-13 | 38,7 (162,0) | 39,9 (167,2) | 45,3 (189,6) | - |
ДКВ 4-13 | 38,8 (162,6) | 40,0 (167,4) | 45,3 (189,8) | - |
ДКВ 2-8 | 38,9 (163,0) | 40,0 (167,7) | 45,4 (190,0) | - |
ДЕ 25-14, КЕ 25-14 | 37,2 (155,9) | 37,9 (158,8) | 39,7 (166,2) | 40,0 (167,5) |
ДЕ 16-14 | 37,6 (157,5) | 38,8 (162,6) | - | - |
ДЕ 10-14, КЕ 10-14 | 37,4 (156,9) | 38,4 (161,0) | 42,6 (178,3) | 42,9 (179,6) |
ДЕ 6,5-14, КЕ 6,5-14 | 37,9 (158,9) | 38,9 (163,0) | 42,6 (178,3) | 42,9 (179,6) |
ДЕ 4-14, КЕ 4-14 | 38,2 (160,1) | 39,1 (163,9) | 42,6 (178,3) | 42,9 (179,6) |
КЕ 2,5-14 | - | - | 42,6 (178,3) | 42,9 (179,6) |
Шухова, т/ч: | | | | |
12 | - --------------- 39,1 (164,0) | - | - | - |
9,5 | - --------------- 39,3 (164,8) | - | - | - |
7,5 | - --------------- 39,4 (165,2) | - | - | - |
5,5 | - --------------- 39,6 (166,0) | - | - | - |
4,7 | - --------------- 40,0 (167,4) | - | - | - |
2 | - --------------- 41,6 (174,5) | - | - | - |
ШБА-7 | 39,2 (164,3) --------------- 40,0 (167,5) | 40,0 (168,0) --------------- 41,2 (172,5) | 41,0 (171,9) --------------- - | 44,2 (183,5) --------------- - |
ШБА-5 | 39,3 (164,5) --------------- 40,2 (168,8 | 40,0 (168,0) --------------- 41,6 (174,3) | 41,4 (173,6) --------------- 44,4 (186,0) | 44,2 (185,1) --------------- 45,8 (192,0) |
ШБА-3 | 39,3 (164,5) --------------- 40,4 (169,5) | 40,1 (168,0) --------------- 42,0 (176,0) | 41,9 (175,5) --------------- 45,4 (190,2) | 44,7 (187,2) --------------- 46,8 (96,0) |
КРШ-4 | - --------------- 40,4 (169,4) | - | - | - |
Бабкок-Вилькокс (2,5-7,5-4,5 т/ч) | 39,9 (167,0) | 40,6 (170,0) | - | - |
ВВД 4-13 | 37,5 (157,1) --------------- 40,4 (169,3) | 38,3 (160,5) --------------- 40,5 (170,0) | - | - |
Ланкаширский | 39,3 (165,0) | 41,3 (173,1) | 50,1 (210,0) | 55,0 (230,3) |
Корнваллийский | 39,3 (165,0) | 41,3 (173,1) | 48,7 (204,0) | 54,9 (230,0) |
Е 1/9; Е 0,8/9; Е 0,4/9 | 39,6 (166,0) | 41,6 (174,1) | 47,6 (199,4) | 48,7 (204,0) |
ТМЗ-1/8 | 40,7 (170,6) | - | 62,0 (260,0) | - |
ММЗ-0,8/8 | 40,8 (170,8) | - | 62,3 (261,0) | - |
ВГД-28/8 | 40,7 (170,4) --------------- - | - | - --------------- 59,8 (250,5) | - |
МЗК | 41,9 (175,7) | 43,0 (180,1) | - | - |
ВОДОГРЕЙНЫЕ |
ПТВМ100, ВГМ100 | 37,6 (157,6) | 38,0 (159,1) | - | - |
ПТВМ50, КВГМ50 | 38,3 (160,5) | 39,1 (163,9) | - | - |
ПТВМ30, КВГМ30, КВТС30, КВТСВ30 | 37,4 (156,8) | 38,8 (162,7) | 42,3 (177,3) | 41,8 (175,3) |
КВГМ20, КВТС20, КВТСВ20 | 37,8 (158,4) | 39,4 (164,9) | 42,2 (177,0) | 41,2 (172,8) |
КВГМ10, КВТС10, КВТСВ10 | 37,8 (158,4) | 39,4 (164,9) | 42,2 (177,0) | 41,2 (172,8) |
КВГМ-6,5, КВТС-6,5, КВТС-4, КВГМ-4 | 37,5 (157,3) | 39,3 (164,8) | 41,6 (174,2) | 41,7 (175,0) |
ТВГ | 40,1 (168,0) | 41,6 (174,2) | - | - |
Секционные чугунные и стальные (НР-18, НИИСТУ-5 и др.) | 41,3 (173,1) | 42,6 (178,5) | 50,9 (213,2) | 56,8 (238,0) |
Примечания: 1. В знаменателе приведены нормы для котлов без хвостовых поверхностей нагрева.
2. При наличии резервного топлива в котельной удельные нормы расхода топлива в котельной определяют дифференцированно в зависимости от продолжительности работы котельной на резервном топливе.
ЗНАЧЕНИЯ КОЭФФИЦИЕНТОВ K
1 ДЛЯ НЕКОТОРЫХ КОТЛОАГРЕГАТОВ
В ЗАВИСИМОСТИ ОТ СТЕПЕНИ НАГРУЗКИ
Тип котлоагрегата | Топливо | Нагрузка, % номинальной |
90 | 80 | 70 | 60 | 50 | 40 |
1 | 2 | 3 | 4 | 5 | 6 | 7 | 8 |
ПАРОВЫЕ |
ГМ-50-1 | Г | 0,996 | 0,997 | 0,99 | 0,99 | 0,998 | 1,0 |
М | 0,999 | 0,997 | 0,996 | 0,996 | 0,997 | 1,001 |
ТП-35-У | КУ | 1,0 | 1,001 | 1,005 | 1,009 | 1,015 | 1,022 |
БУ | 0,997 | 0,996 | 1,0 | 1,005 | 1,009 | 1,014 |
ТП-35 | М | 1,0 | 1,001 | 1,002 | 1,005 | 1,008 | 1,011 |
ТП-30 | Г | 0,999 | 0,999 | 1,0 | 1,0 | 1,002 | 1,007 |
М | 0,995 | 0,993 | 0,99 | 0,99 | 0,993 | 1,001 |
ЛМЗ (30 т/ч) | Г | 0,997 | 0,996 | 0,995 | 0,996 | 1,001 | 1,011 |
БМ-25-15 | Г | 0,999 | 0,999 | 1,0 | 1,001 | 1,003 | 1,007 |
М | 0,999 | 0,999 | 0,999 | 1,0 | 1,001 | 1,004 |
ТС-20 | Г | 1,0 | 1,001 | 1,002 | 1,007 | 1,012 | 1,017 |
М | 1,002 | 1,006 | 1,011 | 1,016 | 1,021 | 1,028 |
ТП-20 | Г | 0,999 | 0,998 | 0,998 | 0,999 | 0,999 | 1,0 |
СУ-20-39 | КУ | 1,003 | 1,008 | 1,018 | 1,029 | 1,041 | 1,054 |
СУ-15-39 | Г | 1,003 | 1,009 | 1,015 | 1,021 | 1,027 | 1,035 |
ДКВР-20-13 | Г | 1,004 | 1,011 | 1,018 | 1,026 | 1,032 | 1,037 |
М | 0,995 | 0,99 | 0,99 | 0,995 | 1,0 | 1,005 |
КУ | 0,987 | 0,954 | 0,94 | 0,935 | 0,944 | 0,962 |
ДКВР-10-13 | Г | 0,997 | 0,996 | 0,996 | 0,998 | 0,999 | 1,001 |
М | 0,996 | 0,993 | 0,991 | 0,992 | 0,994 | 0,998 |
ДКВР-6,5-13 | Г | 0,993 | 0,988 | 0,993 | 0,997 | 1,003 | 1,011 |
М | 0,999 | 0,998 | 0,999 | 1,002 | 1,007 | 1,014 |
ДКВР-4-13 | Г | 1,0 | 1,0 | 1,001 | 1,002 | 1,008 | 1,02 |
М | 0,997 | 0,994 | 0,992 | 0,991 | 0,991 | 0,994 |
ДКВР-2,5-13 | Г | 1,0 | 1,0 | 1,001 | 1,005 | 1,011 | 1,019 |
ШБА-7 | Г | 0,998 | 0,995 | 0,993 | 0,994 | 0,995 | 0,999 |
М | 0,998 | 0,997 | 0,998 | 1,0 | 1,003 | 1,008 |
ШБА-5 | Г | 0,999 | 0,999 | 1,0 | 1,001 | 1,001 | 1,003 |
М | 1,001 | 1,002 | 1,003 | 1,005 | 1,007 | 1,011 |
ШБА-3 | Г | 1,002 | 1,005 | 1,008 | 1,012 | 1,017 | 1,024 |
М | 1,002 | 1,006 | 1,009 | 1,018 | 1,03 | 1,044 |
Шухова, т/ч: | | | | | | | |
12 | Г | 0,998 | 0,996 | 0,995 | 0,994 | 0,993 | 0,992 |
9,5 | Г | 0,998 | 0,996 | 0,996 | 0,996 | 0,998 | 1,001 |
7,5 | Г | 0,999 | 0,999 | 0,999 | 0,999 | 1,0 | 1,002 |
4,7 | Г | 1,001 | 1,002 | 1,003 | 1,007 | 1,012 | 1,019 |
3,8 | Г | 0,999 | 0,999 | 1,0 | 1,004 | 1,011 | 1,03 |
3,2 | Г | 1,001 | 1,003 | 1,007 | 1,015 | 1,025 | 1,04 |
2,0 | Г | 1,002 | 1,007 | 1,012 | 1,018 | 1,024 | 1,033 |
Ланкаширский, т/ч: | | | | | | | |
3,7 | Г | 1,003 | 1,007 | 1,012 | 1,018 | 1,026 | 1,036 |
2,5 | Г | 1,001 | 1,005 | 1,01 | 1,016 | 1,024 | 1,036 |
КРШ-4 | Г | 1,001 | 1,002 | 1,004 | 1,007 | 1,011 | 1,019 |
ВВД-4-13 | Г | 1,0 | 1,001 | 1,003 | 1,005 | 1,008 | 1,012 |
ТМЗ-1/8 | Г | 1,001 | 1,005 | 1,009 | 1,015 | 1,023 | 10,34 |
ВГД-28/8 | Г | 1,001 | 1,003 | 1,007 | 1,015 | 1,027 | 1,04 |
ММЗ-0,8/8 | Г | 1,005 | 1,012 | 1,023 | 1,036 | 1,05 | 1,065 |
ВОДОГРЕЙНЫЕ |
ПТВМ-100 | Г | 0,997 | 0,994 | 0,992 | 0,989 | 0,988 | 0,988 |
М | 0,999 | 0,999 | 1,0 | 1,001 | 1,002 | 1,004 |
ПТВМ-50 | Г | 0,997 | 0,994 | 0,992 | 0,99 | 0,988 | 0,988 |
М | 0,997 | 0,994 | 0,99 | 0,988 | 0,987 | 0,988 |
ТВГМ-30 | Г | 0,996 | 0,992 | 0,987 | 0,985 | 0,983 | 0,982 |
ПТВМ-30-МС | Г | 0,997 | 0,995 | 0,993 | 0,991 | 0,988 | 0,986 |
ТВГ | Г | 1,002 | 1,005 | 1,008 | 1,011 | 1,017 | 1,023 |
М | 1,0 | 0,994 | 0,988 | 0,986 | 0,987 | 1,002 |
Секционные чугунные и стальные (НР-18, НИИСТУ-5 и др.) | Г | 0,996 | 0,994 | 0,993 | 0,994 | 0,996 | 0,998 |
М | 0,999 | 0,999 | 1,0 | 1,004 | 1,011 | 1,03 |
КУ | 1,003 | 1,007 | 1,012 | 1,018 | 1,026 | 1,036 |
БУ | 1,005 | 1,012 | 1,023 | 1,036 | 1,05 | 1,065 |
Примечание: Г - газ, М - мазут, КУ - каменный уголь, БУ - бурый уголь.
УДЕЛЬНЫЙ РАСХОД ТОПЛИВА НА ВЫРАБОТКУ 1 Т НОРМАЛЬНОГО ПАРА
КПД котельного агрегата, % | Удельный расход топлива, кг у.т./т нормального пара | КПД котельного агрегата, % | Удельный расход топлива, кг у.т./т нормального пара | КПД котельного агрегата, % | Удельный расход топлива, кг у.т./т нормального пара |
1 | 2 | 3 | 4 | 5 | 6 |
50 | 182,80 | 66 | 138,48 | 82 | 111,46 |
51 | 179,21 | 67 | 136,41 | 83 | 110,12 |
52 | 175,76 | 68 | 134,41 | 84 | 108,80 |
53 | 172,45 | 69 | 132,46 | 85 | 107,52 |
54 | 169,25 | 70 | 130,57 | 86 | 106,27 |
55 | 166,18 | 71 | 128,73 | 87 | 105,05 |
56 | 163,21 | 72 | 126,94 | 88 | 103,86 |
57 | 160,35 | 73 | 125,20 | 89 | 102,69 |
58 | 157,58 | 74 | 123,51 | 90 | 101,55 |
59 | 154,91 | 75 | 121,86 | 91 | 100,43 |
60 | 152,33 | 76 | 120,26 | 92 | 99,34 |
61 | 149,83 | 77 | 118,70 | 93 | 98,27 |
62 | 147,41 | 78 | 117,17 | 94 | 97,23 |
63 | 145,07 | 79 | 115,69 | 95 | 96,21 |
64 | 142,81 | 80 | 114,25 | 96 | 95,05 |
65 | 140,61 | 81 | 112,83 | 97 | 94,07 |
УДЕЛЬНЫЙ РАСХОД ТОПЛИВА НА РАСТОПКУ КОТЛА
Площадь поверхности нагрева котла, м2 | Удельный расход условного топлива на растопку котла (кг у.т.) при длительности остановки, ч |
2 | 6 | 12 | 18 | 24 | 48 | более 48 |
До 50 | 10 | 25 | 50 | 75 | 100 | 200 | 300 |
51 - 100 | 17 | 50 | 100 | 150 | 200 | 400 | 600 |
101 - 200 | 34 | 100 | 200 | 300 | 400 | 800 | 1200 |
201 - 300 | 52 | 150 | 300 | 450 | 600 | 1200 | 1800 |
301 - 400 | 68 | 200 | 400 | 600 | 800 | 1600 | 2400 |
401 - 500 | 85 | 250 | 500 | 750 | 1000 | 2000 | 3000 |
Примечания: 1. Для котлов с площадью поверхности нагрева более 500 м2 на растопку после суточного останова расход топлива равен двухчасовому расходу топлива при его полной загрузке.
2. Норма расхода дров на растопку котла принимается 1 м3 на сезон.
3. Число растопок определяется графиком работ по ремонтам и обслуживанию котлов, технологическим процессом и производственным планом работы котельной.
ЭКВИВАЛЕНТЫ ДЛЯ ПЕРЕВОДА НАТУРАЛЬНОГО ТОПЛИВА В УСЛОВНОЕ
Вид топлива | Калорийный эквивалент Э | Вид топлива | Калорийный эквивалент Э |
1 | 2 | 3 | 4 |
Уголь: | | Брикеты из углей: | |
Донецкий | | украинского бурого | 0,60 |
спекающийся | 0,92 | башкирского | 0,60 |
газовый | 0,85 | донецкого | 0,92 |
длиннопламенный | 0,73 | Жидкое топливо: | |
антрацит АС | 0,94 | Мазут топочный | 1,37 |
Подмосковный | 0,38 | Дизельное | 1,45 |
Воркутинский | 0,86 | Дистиллятное | 1,43 |
Кизеловский | 0,75 | Горючие газы: | На 1000 м3 |
Челябинский | 0,52 | Природный и попутный | 1,20 |
Кузнецкий | 0,91 | Подземной газификации | 0,11 |
Карагандинский | 0,79 | Коксовый | 0,57 |
Экибастузский | 0,60 | Доменный | 0,143 |
Канско-ачинский | 0,49 | Сжиженный | 1,70 |
Черемховский | 0,82 | Сланцевый | 0,57 |
Райчихинский | 0,46 | Торф: | |
Приморский | 0,61 | фрезерный | 0,34 |
Сахалинский | 0,74 | кусковой | 0,40 |
Силезский | 0,80 | Торфобрикеты | 0,60 |
| | Дрова | 0,27 |
ТАБЛИЦЫ
ДЛЯ ОПРЕДЕЛЕНИЯ КОЛИЧЕСТВА ЭЛЕКТРОЭНЕРГИИ,
ТРЕБУЕМОЙ ДЛЯ ВЫРАБОТКИ ТЕПЛОТЫ
УДЕЛЬНЫЙ РАСХОД ЭЛЕКТРОЭНЕРГИИ НА ТОПЛИВОПРИГОТОВЛЕНИЕ,
ТОПЛИВОПОДАЧУ И ЗОЛОШЛАКОУДАЛЕНИЕ
Мощность котельной, МВт (Гкал/ч) | Удельный расход электроэнергии на топливоприготовление, топливоподачу и золошлакоудаление, кВт/МВт (кВт·ч/Гкал) при работе |
на жидком топливе | твердом топливе |
До 5,8 (До 5,0) | 0,95 (1,1) | 6,02 (7,0) |
От 5,8 до 11,6 (От 5 до 10) | 0,91 - 0,95 (1,06 - 1,1) | 5,85 - 6,02 (6,8 - 7,0) |
От 11,6 до 23,2 (От 10 до 20) | 0,86 - 0,91 (1,0 - 1,06) | 5,67 - 5,85 (6,6 - 6,8) |
От 23,2 до 34,9 (От 20 до 30) | 0,82 - 0,86 (0,95 - 1,0) | 5,5 - 5,67 (6,4 - 6,6) |
Свыше 34,9 (Свыше 30) | 0,52 - 0,82 (0,6 - 0,95) | 3,44 - 5,5 (4,0 - 6,4) |
Примечание. Более высокие значения удельного расхода электроэнергии соответствуют меньшим значениям мощности и наоборот.
ЗНАЧЕНИЯ НИЗШЕЙ ТЕПЛОТЫ СГОРАНИЯ, ТЕОРЕТИЧЕСКИХ ОБЪЕМОВ
ВОЗДУХА И ПРОДУКТОВ СГОРАНИЯ ДЛЯ НЕКОТОРЫХ ВИДОВ ТОПЛИВА
Топливо | Марка топлива | Низшая теплота сгорания, МДж/кг (м3) [ккал/кг (м3)] | Теоретический объем, нм3/кг |
воздуха | продуктов сгорания |
1 | 2 | 3 | 4 | 5 |
Твердое (уголь): | | | | |
Донецкий | Д | 19,59 (4680) | 5,16 | 5,67 |
Г | 22,02 (5260) | 5,83 | 6,28 |
А | 22,57 (5390) | 6,04 | 6,32 |
Кузнецкий | Д | 22,82 (5450) | 6,02 | 6,58 |
Г | 26,13 (6240) | 6,88 | 7,42 |
Подмосковный | Б2 | 10,43 (2490) | 2,94 | 3,57 |
Карагандинский | Д | 21,31 (5090) | 5,60 | 6,02 |
Львовско-Волынский | Г | 21,98 (5250) | 5,75 | 6,23 |
Челябинский | Д | 21,52 (5140) | 5,67 | 6,47 |
Жидкое (мазут): | | | | |
малосернистый | | 40,28 (9620) | 10,62 | 11,48 |
сернистый | | 39,73 (9490) | 10,45 | 11,28 |
высокосернистый | | 38,77 (9260) | 10,0 | 10,99 |
Газообразное: | | | | |
Ставрополь - Москва | | 36,55 (8730) | 9,68 | 10,86 |
Ставрополь - Невинномысск - Грозный | | 35,63 (8510) | 9,47 | 10,63 |
Шебелинка - Брянск - Москва | | 37,87 (9045) | 9,98 | 11,19 |
ЗНАЧЕНИЯ КОЭФФИЦИЕНТОВ ИЗБЫТКА ВОЗДУХА
ат В ТОПКЕ И УХОДЯЩИХ ГАЗАХ аух
Вид топлива | ат | аух |
Твердое | 1,2 - 1,25 | 1,55 - 1,6 |
Мазут, природный газ | 1,1 | 1,4 |
УДЕЛЬНЫЙ РАСХОД ЭЛЕКТРОЭНЕРГИИ НА ПЕРЕМЕЩЕНИЕ 1000 М
3
ВОЗДУХА ИЛИ УХОДЯЩИХ ГАЗОВ ТЯГОДУТЬЕВЫМИ УСТАНОВКАМИ
Тип вентилятора, дымососа | Частота вращения, 1/мин. | Удельный расход электроэнергии на перемещение 1000 м3 воздуха или уходящих газов, кВт·ч/1000 м3 | Тип вентилятора, дымососа | Частота вращения, 1/мин. | Удельный расход электроэнергии на перемещение 1000 м3 воздуха или уходящих газов, кВт·ч/1000 м3 |
1 | 2 | 3 | 4 | 5 | 6 |
ВД-2,5 | 3000 | 0,97 | ВГДН-19 | 1000 | 0,87 |
ВД-2,7 | 3000 | 0,65 | 1500 | 2,03 |
ВД-3,5 | 3000 | 1,2 | ВГДН-21 | 1000 | 1,08 |
ВДН-8 | 1000 | 0,33 | Д-3,5 | 1500 | 0,33 |
1500 | 0,8 | ДН-8 | 1000 | 0,26 |
ВДН-9 | 1000 | 0,40 | 1500 | 0,59 |
1500 | 0,93 | ДН-9 | 1000 | 0,30 |
ВДН-10 | 1000 | 0,54 | 1500 | 0,80 |
1500 | 1,20 | ДН-10 | 1000 | 0,40 |
ВДН-11,2 | 1000 | 0,69 | 1500 | 0,95 |
1500 | 1,50 | ДН-11,2 | 1000 | 0,53 |
ВДН-12,5 | 1000 | 0,82 | 1500 | 1,21 |
1500 | 1,88 | ДН-12,5 | 1000 | 0,67 |
ВДН-13 | 1000 | 0,82 | 1500 | 1,50 |
1500 | 1,88 | ДН-13 | 1000 | 0,68 |
ВДН-15 | 750 | 0,75 | 1500 | 1,52 |
1000 | 1,30 | ДН-15 | 750 | 0,59 |
1500 | 2,93 | 1000 | 1,06 |
ВД-15,5 | 750 | 1,37 | 1500 | 2,40 |
1000 | 2,35 | Д-15,5 | 750 | 1,13 |
ВДН-17 | 750 | 0,88 | 1000 | 1,79 |
1000 | 1,60 | ДН-17 | 750 | 0,75 |
1500 | 3,63 | 1000 | 1,27 |
ВДН-19 | 750 | 1,10 | 1500 | 3,0 |
1000 | 1,91 | ДН-19 | 600 | 0,57 |
ВДН-20 | 750 | 0,81 | 750 | 0,93 |
1000 | 1,48 | 1000 | 1,62 |
ВДН-21 | 750 | 1,36 | ДН-21 | 600 | 0,71 |
1000 | 2,50 | 750 | 1,08 |
ВВДН-15 | 1500 | 2,57 | 1000 | 1,96 |
ВВДН-18 | 1500 | 3,78 | ДН-22x2 | 600 | 0,73 |
ВГДН-15 | 1000 | 0,64 | 750 | 1,14 |
1500 | 1,96 | ДН-26x2 | 600 | 1,0 |
ВГДН-17 | 1000 | 0,77 | 750 | 1,62 |
1500 | 1,55 | | |
Примечание. Удельные расходы электроэнергии определены при максимальном К.П.Д. установки по данным Московского вентиляторного завода ОАО "Мовен" |
ПОТЕРИ ЭЛЕКТРОЭНЕРГИИ В СЕТЯХ
Элемент сети | Потеря напряжения, % | Потеря электроэнергии, % |
Сеть 6 кВ |
Питательная | 3,0 | 2,5 |
Распределительная | 2,0 | 1 |
Сетевые трансформаторы: | | |
постоянные потери | - | 2 |
переменные потери | - | 1 |
Сеть низкого напряжения общего пользования | 4,5 | 2 |
Сеть 10 кВ |
Питательная | 2,5 | 2 |
Распределительная | 1,5 | 1 |
Сетевые трансформаторы: | | |
постоянные потери | - | 2 |
переменные потери | - | 1 |
Сеть низкого напряжения общего пользования | 6,5 | 2,4 |
УДЕЛЬНАЯ ЭЛЕКТРИЧЕСКАЯ МОЩНОСТЬ, ИСПОЛЬЗУЕМАЯ
ДЛЯ ПРОЧИХ НУЖД КОТЕЛЬНЫХ
Вид водоразбора | Тип котлов | Период года | Удельная потребляемая мощность на прочие нужды, кВт/МВт (кВт·ч/Гкал) |
Закрытый | Водогрейные | Отопительный и неотопительный | 0,55 (0,64) |
Паровые | Отопительный и неотопительный | 0,33 (0,38) |
Открытый | Водогрейные | Отопительный | 1,33 (1,55) |
Неотопительный | 6,66 (7,75) |
Паровые | Отопительный | 0,99 (1,15) |
Неотопительный | 3,27 (3,80) |
УДЕЛЬНЫЕ РАСХОДЫ ЭЛЕКТРОЭНЕРГИИ НА ВЫРАБОТКУ
И ТРАНСПОРТИРОВАНИЕ ТЕПЛА ДЛЯ КОТЕЛЬНЫХ МОЩНОСТЬЮ ДО 50 МВТ
Расчетная тепловая мощность отопительных котельных малой мощности, МВт (Гкал/ч) | Удельный расход электроэнергии на выработку и транспортирование тепла, кВт/МВт (кВт·ч/Гкал) |
До 0,58 (До 0,5) | 17,2 (20) |
0,59 - 1,16 (0,51 - 1) | 17,2 (20) |
1,17 - 2,33 (1,01 - 2) | 16,3 (19) |
2,34 - 3,49 (2,01 - 3) | 15,5 (18) |
3,50 - 5,82 (3,01 - 5) | 15,5 (18) |
5,83 - 11,6 (5,01 - 10) | 15,5 (18) |
11,64 - 58,2 (10,01 - 50) | 15,5 (18) |
ПРЕДЕЛЬНЫЕ НАГРУЗКИ РАЙОННЫХ КОТЕЛЬНЫХ
Расчетная тепловая нагрузка, МВт (Гкал/ч) | Предельная удельная электронагрузка районных котельных (без учета сетевых насосов), кВт/МВт [кВт/(Гкал/ч)] |
Открытая система | Закрытая система |
Каменный и бурый уголь | Мазут | Природный газ | Каменный и бурый уголь | Мазут | Природный газ |
1 | 2 | 3 | 4 | 5 | 6 | 7 |
58 (50) и менее | 11,6 (13,5) | 9,5 (11,0) | 8,6 (10) | 8,0 (9,3) | 6,6 (7,7) | 5,5 (6,4) |
69,9 (60) | 10,8 (12,6) | 9,2 (10,7) | 8,3 (9,6) | 7,4 (8,6) | 6,4 (7,4) | 5,2 (6,1) |
93,0 (80) | 9,9 (11,5) | 8,9 (10,3) | 7,7 (9,0) | 6,6 (7,7) | 5,8 (6,8) | 4,9 (5,7) |
116 (100) | 9,1 (10,6) | 8,3 (9,7) | 7,3 (8,5) | 6,2 (7,2) | 5,7 (6,6) | 4,6 (5,3) |
139,6 (120) | - | 8,1 (9,4) | 7,1 (8,2) | - | 5,6 (6,5) | 4,2 (4,9) |
162,8 (140) | - | 7,7 (9,0) | 6,8 (7,9) | - | 5,5 (6,4) | 4,1 (4,8) |
186,0 (160) | - | 7,6 (8,8) | 6,7 (7,8) | - | 5,4 (6,3) | 4,1 (4,8) |
209,3 (180) | - | 7,5 (8,7) | 6,7 (7,8) | - | 5,3 (6,2) | 4,0 (4,7) |
232,6 (200) | - | 7,4 (8,6) | 6,6 (7,7) | - | 5,3 (6,2) | 4,0 (4,7) |
255,8 (220) | - | 7,3 (8,5) | 6,6 (7,6) | - | 5,3 (6,2) | 4,0 (4,6) |
279,1 (240) | - | 7,2 (8,4) | 6,4 (7,5) | - | 5,2 (6,0) | 4,0 (4,6) |
302,4 (260) | - | 7,2 (8,4) | 6,4 (7,4) | - | 5,1 (5,9) | 4,0 (4,6) |
325,6 (280) | - | 7,1 (8,3) | 6,3 (7,3) | - | 5,0 (5,8) | 3,9 (4,5) |
348,9 (300) | - | 7,1 (8,2) | 6,2 (7,2) | - | 4,9 (5,7) | 3,9 (4,5) |
УДЕЛЬНЫЙ РАСХОД ЭЛЕКТРОЭНЕРГИИ ДЛЯ КОТЕЛЬНЫХ
МОЩНОСТЬЮ ОТ 30 ДО 200 МВТ
Количество и тип установленных котлов | Вид топлива | Мощность котельной, МВт (Гкал/ч) | Коэффициент спроса | Удельный расход электроэнергии, кВт·ч/МВт (кВт·ч/Гкал) |
1 | 2 | 3 | 4 | 5 |
3хКВТС-10 | К | 34,89 (30) | 0,332 | 24,6 (28,6) |
3хКВГМ-10 | ГМ | 34,89 (30) | 0,354 | 21,7 (25,2) |
М | 0,354 | 21,7 (25,2) |
Г | 0,362 | 20,1 (23,4) |
4хКВТС-10 | К | 46,52 (40) | 0,332 | 17,3 (20,1) |
4хКВГМ-10 | ГМ | 46,52 (40) | 0,354 | 16,9 (19,6) |
М | 0,354 | 16,9 (19,6) |
Г | 0,362 | 15,6 (18,2) |
3хКВТС-20 | К | 69,78 (60) | 0,332 | 15,7 (18,3) |
КА | 0,310 | 15,6 (18,1) |
3хКВГМ-20 | ГМ | 69,78 (60) | 0,354 | 13,8 (16,1) |
М | 0,354 | 13,8 (16,1) |
Г | 0,362 | 13,1 (15,2) |
3хКВТС-30 | К | 104,67 (90) | 0,332 | 23,7 (27,6) |
КА | 0,310 | 23,4 (27,2) |
3хКВТК-30 | К | 104,67 (90) | 0,422 | 32,3 (37,6) |
КА | 0,394 | 32,0 (37,2) |
3хКВГМ-30 | ГМ | 122,1 (105) | 0,342 | 18,1 (21,0) |
М | 0,342 | 18,1 (21,0) |
Г | 0,354 | 13,5 (15,7) |
3хКВТС-30 | К | 139,6 (120) | 0,322 | 14,7 (17,1) |
КА | 0,310 | 14,5 (16,9) |
4хКВТК-30 | К | 162,8 (140) | 0,422 | 26,9 (31,3) |
КА | 0,394 | 29,1 (33,8) |
4хКВГМ-30 | ГМ | 162,8 (140) | 0,342 | 14,1 (16,4) |
М | 0,342 | 14,1 (16,4) |
Г | 0,354 | 11,5 (13,4) |
3хКВТК-50 | К | 174,5 (150) | 0,422 | 23,6 (27,4) |
КА | 0,394 | 23,7 (27,6) |
3хКВГМ-50 | ГМ | 174,5 (150) | 0,342 | 16,7 (19,4) |
М | 0,342 | 16,7 (19,4) |
Г | 0,354 | 15,0 (17,4) |
4хКВТК-50 | К | 232,6 (200) | 0,422 | 23,0 (26,7) |
КА | 0,394 | 24,0 (27,9) |
4КВГМ-50 | ГМ | 232,6 (200) | 0,342 | 14,0 (16,3) |
М | 0,342 | 14,9 (12,8) |
Г | 0,354 | 12,8 (14,9) |
ЗНАЧЕНИЯ КОЭФФИЦИЕНТА СПРОСА ДЛЯ РАЗЛИЧНОГО ОБОРУДОВАНИЯ
Наименование оборудования | Коэффициент спроса |
Трансформаторы | 0,5 - 0,8 |
Дробилки молотковые | 0,7 - 0,9 |
Скиповые подъемники | 0,3 |
Вентиляторы, дымососы котельных | 0,95 |
Скреперные лебедки | 0,35 - 0,5 |
Питатели ленточные, барабанные, маятниковые, лотковые | 0,65 - 0,7 |
Конвейеры легкие (до 10 кВт) | 0,65 - 0,7 |
Шнеки, элеваторы | 0,75 - 0,8 |
Механические топки | 0,75 - 0,8 |
Вакуум-насосы | 0,7 - 0,9 |
Тепловые пункты | 0,8 |
Котельные отопительные | 0,65 - 0,7 |
Насосы сетевые, питательные | 0,8 |
Компрессоры | 0,5 - 0,8 |
Кран-балки, тельферы, лифты, тали | 0,2 - 0,5 |
Сварочные трансформаторы | 0,3 - 0,35 |
Сантехвентиляторы | 0,65 - 0,75 |
Примечание. Меньшие значения коэффициента спроса соответствуют большим величинам мощности и наоборот.
ТАБЛИЦЫ ДЛЯ ОПРЕДЕЛЕНИЯ КОЛИЧЕСТВА ВОДЫ
ДЛЯ ВЫРАБОТКИ ТЕПЛОТЫ
УДЕЛЬНЫЙ ОБЪЕМ ВОДЫ НА НАПОЛНЕНИЕ СИСТЕМ ОТОПЛЕНИЯ
Оборудование теплопотребляющей системы | Удельный объем воды на разовое наполнение систем отопления, м3/МВт [м3/(Гкал/ч)], при перепаде температур воды в системе теплоснабжения, °C |
95 - 70 | 110 - 70 | 130 - 70 | 140 - 70 | 150 - 70 |
Система отопления: | | | | | |
радиаторы высотой 500 мм | 16,8 (19,5) | 15,1 (17,6) | 13,0 (15,1) | 12,6 (14,6) | 11,4 (13,3) |
радиаторы высотой 1000 мм | 26,7 (31,0) | 24,2 (28,2) | 20,8 (24,2) | 19,9 (23,2) | 18,6 (21,6) |
ребристые трубы | 12,2 (14,2) | 10,7 (12,5) | 9,3 (10,2) | 8,9 (10,4) | 7,9 (9,2) |
плинтусные конвекторы | 4,8 (5,6) | 4,3 (5,0) | 3,7 (4,3) | 3,5 (4,1) | 3,2 (3,7) |
регистры из гладких труб | 31,8 (37,0) | 27,5 (32,0) | 23,2 (27,0) | 22,4 (26,0) | 20,6 (24,0) |
Отопительно-вентиляционная система, оборудованная калориферами | 7,3 (8,5) | 6,4 (7,5) | 5,6 (6,5) | 5,2 (6,0) | 4,7 (5,5) |
УДЕЛЬНЫЙ ОБЪЕМ ВОДЫ В ЭЛЕМЕНТАХ СИСТЕМЫ ОТОПЛЕНИЯ
Элемент системы отопления | Удельный объем воды в системе отопления vо, при расчетной температуре горячей воды в системе, °C |
85 | 95 | 105 | 110 | 115 | 130 | 135 - 150 |
Радиатор чугунный секционный глубиной: | | | | | | | |
140 мм | 10,8 | 9,5 | 8,9 | 8,5 | 8,2 | 7,2 | 6,8 |
90 мм | 14,4 | 12,9 | 11,9 | 11,4 | 11,0 | 9,6 | 9,2 |
Конвекторы: "Аккорд", "Прогресс-20", "Прогресс-15" | - | 1,07 | 1,0 | 0,97 | 0,94 | 0,86 | 0,69 |
Радиатор стальной панельный | 8,1 | 7,1 | 6,6 | 6,4 | 6,1 | 5,3 | 5,1 |
Ребристая труба чугунная | - | 5,6 | 5,2 | 5,0 | 4,8 | 4,3 | 3,6 |
Гладкая труба Dу = 70 - 100 мм | 35,7 | 31,6 | 30,4 | 29,7 | 28,6 | 24,9 | 21,5 |
Бетонная отопительная панель | - | 1,72 | 1,59 | 1,52 | 1,46 | 1,29 | - |
Конвекторы типов КН, КО, КВ | - | 0,69 | 0,64 | 0,63 | 0,62 | 0,60 | 0,59 |
Калорифер пластинчатый | 0,47 | 0,43 | 0,40 | 0,39 | 0,38 | 0,34 | 0,33 |
Труба при циркуляции: | | | | | | | |
искусственной | 7,6 | 6,9 | 6,4 | 6,0 | 5,6 | 5,2 | 4,7 |
естественной | - | 13,8 | - | - | - | - | - |
Теплообменник скоростной | 0,23 | 0,21 | 0,19 | 0,18 | 0,17 | 0,15 | - |
Котел чугунный секционный | 2,6 | 2,6 | 2,6 | - | - | - | |
Примечания: 1. Объем воды в отопительных приборах, не приведенных в таблице, принимается по паспортным данным на прибор или по аналогичным приборам, приведенным в таблице.
2. Объем воды в наружных теплопроводах определяется в соответствии с диаметром и протяженностью трубопроводов.
УДЕЛЬНАЯ ЕМКОСТЬ ВОДЫ В ТРУБОПРОВОДАХ
Диаметр трубопровода, мм | Толщина стенки трубы, мм | Удельная емкость, м3/м | Диаметр трубопровода, мм | Толщина стенки трубы, мм | Удельная емкость, м3/м |
условный, Dу | наружный, Dн | условный, Dу | наружный, Dн |
1 | 2 | 3 | 4 | 5 | 6 | 7 | 8 |
15 | 18 | 2,0 | 0,00015 | 450 | 480 | 6,0 | 0,1720 |
20 | 25 | 2,0 | 0,00035 | 450 | 480 | 7,0 | 0,1710 |
25 | 32 | 2,5 | 0,00057 | 500 | 530 | 6,0 | 0,2100 |
32 | 38 | 2,5 | 0,00085 | 500 | 530 | 8,0 | 0,2070 |
40 | 45 | 2,5 | 0,0013 | 600 | 630 | 6,0 | 0,300 |
50 | 57 | 3,0 | 0,0020 | 600 | 630 | 8,0 | 0,296 |
70 | 76 | 3,0 | 0,0039 | 600 | 630 | 9,0 | 0,295 |
80 | 89 | 3,5 | 0,0053 | 600 | 630 | 11,0 | 0,290 |
80 | 89 | 3,0 | 0,0055 | 700 | 720 | 7,0 | 0,391 |
100 | 108 | 4,0 | 0,0079 | 700 | 720 | 8,0 | 0,389 |
100 | 108 | 3,5 | 0,0080 | 700 | 720 | 9,0 | 0,387 |
125 | 133 | 4,0 | 0,0123 | 700 | 720 | 11,0 | 0,382 |
125 | 133 | 3,5 | 0,0124 | 800 | 820 | 7,0 | 0,509 |
150 | 159 | 4,5 | 0,0177 | 800 | 820 | 8,0 | 0,507 |
175 | 194 | 5,0 | 0,0270 | 800 | 820 | 11,0 | 0,500 |
200 | 219 | 6,0 | 0,0330 | 900 | 920 | 8,0 | 0,642 |
200 | 219 | 5,0 | 0,0340 | 900 | 920 | 9,0 | 0,639 |
250 | 273 | 7,0 | 0,0530 | 900 | 920 | 11,0 | 0,633 |
300 | 325 | 8,0 | 0,0750 | 1000 | 1020 | 9,0 | 0,788 |
300 | 325 | 7,0 | 0,0760 | 1000 | 1020 | 10,0 | 0,785 |
350 | 377 | 9,0 | 0,1010 | 1000 | 1020 | 11,0 | 0,782 |
400 | 426 | 6,0 | 0,1350 | 1000 | 1020 | 12,0 | 0,779 |
400 | 426 | 7,0 | 0,1330 | 1000 | 1020 | 14,0 | 0,772 |
КОЛИЧЕСТВО ВОДЫ НА ВЗРЫХЛЯЮЩУЮ ПРОМЫВКУ
ОСВЕТЛИТЕЛЬНЫХ ФИЛЬТРОВ
Осветлительный фильтр | Количество воды на взрыхляющую промывку осветлительных фильтров, м3, при диаметре фильтра, мм |
1000 | 1500 | 2000 | 2600 | 3000 | 3400 |
Однопоточные антрацитовые | 2,3 | 6,2 | 11,2 | 18,7 | 25,0 | 32,0 |
Однопоточные кварцевые и двухслойные кварцево-антрацитовые | 4,1 | 9,3 | 16,7 | 28,1 | 37,5 | 48,1 |
КОЛИЧЕСТВО ВОДЫ НА ВЗРЫХЛЕНИЕ И РЕГЕНЕРАЦИЮ ФИЛЬТРОВ
Наименование процесса | Количество воды, м3, на взрыхление и регенерацию фильтров при диаметре стандартного фильтра, мм |
450 | 700 | 1000 | 1500 | 2000 | 2600 | 3000 | 3400 |
Взрыхляющая промывка | 0,5 | 1,1 | 2,1 | 4,6 | 8,4 | 14,0 | 18,8 | 24,6 |
Натрий-катионитовые фильтры первой ступени |
Регенерация: | | | | | | | | |
без использования отмывочных вод на взрыхление | 2,1 | 4,8 | 9,3 | 21,1 | 45,5 | 76,0 | 101,8 | 133,2 |
с использованием отмывочных вод на взрыхление | 1,6 | 3,7 | 7,3 | 16,2 | 37,0 | 62,0 | 83,0 | 108,6 |
Водородно-катионитовые фильтры (при "голодной" регенерации) |
Регенерация: | | | | | | | | |
без использования отмывочных вод на взрыхление | - | - | 11,2 | 25,3 | 54,8 | 92,0 | 122,9 | 160,9 |
с использованием отмывочных вод на взрыхление | - | - | 9,1 | 20,6 | 45,5 | 78,0 | 104,1 | 136,3 |
Натрий-катионитовые фильтры второй ступени (при использовании конструкции фильтров первой ступени) |
Регенерация: | | | | | | | | |
без использования отмывочных вод на взрыхление | 2,3 | 5,3 | 10,3 | 23,3 | 50,4 | 74,5 | 113,1 | 147,2 |
с использованием отмывочных вод на взрыхление | 1,8 | 4,2 | 3,2 | 18,7 | 42,0 | 70,5 | 94,3 | 123,2 |
УДЕЛЬНЫЙ РАСХОД ВОДЫ НА ШЛАКОЗОЛОУДАЛЕНИЕ
Способ золошлакоудаления | Удельный расход воды на 1 т шлака или золы, м3 |
Ручное (вагонетками) | 0,1 - 0,2 |
Механизированное мокрое скрепером или скребками | 0,1 - 0,5 |
Пневматическое | 0,1 - 0,2 |
Гидравлическое с багерными и песковыми насосами | 10 - 30 |
Гидравлическое с аппаратами Москалькова | 15 - 45 |
УДЕЛЬНЫЙ РАСХОД ВОДЫ ДЛЯ КОТЕЛЬНЫХ
ПРИ ЗАКРЫТОЙ СИСТЕМЕ ТЕПЛОСНАБЖЕНИЯ
Вид топлива | Удельный расход воды, т/ч·МВт [т/ч·(Гкал/ч)] при мощности одного агрегата, МВт (Гкал/ч) |
0,58 (0,5) | 1,16 (1,0) | 2,32 (2,0) | 4,64 (4,0) | 7,0 (6,0) | 9,3 (8,0) | 11,6 (10,0) | 23,2 (20,0) |
Твердое | 1,51 (1,75) | 1,32 (1,53) | 1,12 (1,3) | 0,86 (1,0) | 0,69 (0,8) | 0,60 (0,7) | 0,56 (0,65) | 0,52 (0,60) |
Газ и мазут | 0,95 (1,1) | 0,86 (1,0) | 0,69 (0,8) | 0,52 (0,6) | 0,43 (0,5) | 0,41 (0,48) | 0,39 (0,45) | 0,35 (0,40) |
СООТНОШЕНИЕ МЕЖДУ ТЕПЛОВЫМИ ЕДИНИЦАМИ, ОСНОВАННЫМИ
НА КАЛОРИИ, ЕДИНИЦАМИ СИСТЕМЫ МКГСС И ЕДИНИЦАМИ СИСТЕМЫ СИ
Величина | Соотношение между |
единицами в системе МКГСС и системой СИ | единицами системы СИ и системой МКГСС |
Масса | 1 кг·с2/м = 9,81 кг | 1 кг = 0,102 кг·с2/м |
Сила | 1 кгс = 9,81 Н | 1 Н = 0,102 кгс |
Давление | 1 кгс/см2 = 735,6 мм рт. ст. = 1 атм. техн. = 0,981 бар = 98066,5 Па = 0,1 МПа (10 мм вод. ст.) | 1 Н/м2 = 1 Па = 1,02·10-5 атм. техн. = 10-5 бар = 7,5 мм рт. ст. = 0,102 мм вод. ст. |
Работа и энергия | 1 кгс·м = 9,81 Дж 1 кВт·ч = 3,61·106 Дж 1 ккал = 4,187·103 Дж | 1 Дж = 1 Н·м = 0,102 кгс·м = 2,78·10-7 кВт·ч = 2,39·10-4 ккал |
Мощность | 1 кгс·м/с = 9,81 Вт 1 ккал/с = 4,19·103 Вт | 1 Вт = Дж/с = 0,102 кгс·м/с = 0,86 ккал/ч 1 МВт = 0,86 Гкал/ч |
Количество теплоты | 1 кал = 4,19 Дж 1 кВт·ч = 3,6·106 Дж 1 Гкал/ч = 1,163 МВт | 1 Дж = 0,239 кал = 239·10-4 ккал 1 кВт = 860 ккал |
Удельная теплоемкость | 1 ккал/(кг·°C) = 4190 Дж/(кг·°C) | 1 Дж/(кг·°C) = 0,239·10-3 ккал/(кг·°C) |
Тепловой поток | 1 кал/с = 4,187 Вт 1 ккал/ч = 1,163 Вт | 1 Вт = 0,239 кал/с = 0,86 ккал/ч |
Коэффициент теплоотдачи, теплопередачи | 1 кал/(см2·с·°C) = 41900 Вт/(м2·°C) 1 ккал/(м2·ч·°C) = 1,163 Вт/(м2·°C) | 1 Вт/(м2·°C) = 0,239·10-4 ккал/(см2·с·°C) = 0,86 ккал/(м2·ч·°C) |
Коэффициент теплопроводности | 1 кал/(с·см·°C) = 418,7 Вт/(м2·°C) 1 ккал/(ч·м·°C) = 1,163 Вт/(м·°C) | 1 Вт/(м·°C) = 0,239·10-2 кал/(с·см·°C) = 0,86 кал/(ч·м·°C) |
Теплота сгорания топлива | 1 ккал/кг = 4,187 кДж/кг | 1 Дж/кг = 0,239·10-3 ккал/кг |
Удельный расход условного топлива | 1 кг/ккал = 4,187 кг/кДж 1 кг/(кВт·ч) = 277,8 г/МДж | 1 кг/кДж = 0,239 кг/ккал 1 г/МДж = 0,36 г/(кВт·ч) |
СПИСОК ИСПОЛЬЗОВАННОЙ ЛИТЕРАТУРЫ
6. Внутренние санитарно-технические устройства, ч. 1. Отопление. Справочник проектировщика под ред. И.Г. Староверова, Ю.И. Шиллера. (М., Стройиздат, 1990).
7. Методические указания по нормированию расхода тепла и электроэнергии на выращивание цветочной продукции в оранжереях. РД 204 РСФСР 1.46-87. (М., 1987).
8. Голубков Б.Н. и др. Кондиционирование воздуха, отопление и вентиляция. (М., Энергоиздат, 1981).
11. Методические рекомендации по нормированию потребления холодной и горячей воды, тепла, топлива и электроэнергии в банях. (М., ОНТИ АКХ, 1977).
12. М.С. Богуславский. Эксплуатация инженерного оборудования общественных зданий. (М., Стройиздат, 1990).
14. Методика нормирования расхода холодной и горячей воды, теплоты, топлива и электроэнергии в прачечных. (М., ОНТИ АКХ, 1987).
16. Инструкция по нормированию расхода котельно-печного топлива на отпуск тепловой энергии котельными Министерства жилищно-коммунального хозяйства РСФСР. (М., ОНТИ АКХ, 1984).
17. Правила технической эксплуатации электрических станций и сетей Российской Федерации.
РД 34.20.501-95 (М., АО "Энергосервис", 1996).