Главная // Актуальные документы // НормыСПРАВКА
Источник публикации
М.: Стройиздат, 1973
Примечание к документу
Утратил силу с 1 июля 1979 года в связи с изданием
Постановления Госстроя СССР от 14.03.1979 N 28. Взамен данного документа с 1 июля 1979 года введен в действие
СНиП II-3-79.
Введен в действие с 1 апреля 1972 года.
Взамен глав СНиП II-А.7-62 и II-В.6-62.
Название документа
"СНиП II-А.7-71. Строительные нормы и правила. Часть II, раздел А. Глава 7. Строительная теплотехника. Нормы проектирования"
(утв. Госстроем СССР 27.10.1971)
"СНиП II-А.7-71. Строительные нормы и правила. Часть II, раздел А. Глава 7. Строительная теплотехника. Нормы проектирования"
(утв. Госстроем СССР 27.10.1971)
Госстроем СССР
27 октября 1971 года
СТРОИТЕЛЬНЫЕ НОРМЫ И ПРАВИЛА
ЧАСТЬ II, РАЗДЕЛ А
ГЛАВА 7
СТРОИТЕЛЬНАЯ ТЕПЛОТЕХНИКА
НОРМЫ ПРОЕКТИРОВАНИЯ
СНиП II-А.7-71
Срок введения
1 апреля 1972 года
Внесены Научно-исследовательским институтом строительной физики Госстроя СССР.
Утверждены Государственным комитетом Совета Министров СССР по делам строительства 27 октября 1971 года.
Взамен глав СНиП II-А.7-62 и II-В.6-62.
Глава СНиП II-А.7-71 "Строительная теплотехника. Нормы проектирования" разработана Научно-исследовательским институтом строительной физики Госстроя СССР при участии институтов ЦНИИПромзданий Госстроя СССР, ЦНИИЭПЖилища Госгражданстроя, НИИ Мосстрой Главмосстроя Мосгорисполкома, МИСИ им. Куйбышева Министерства высшего и среднего специального образования СССР, ЦНИИЭПСельстрой Минсельстроя СССР, Гипронисельпром, Гипронисельхоз Минсельхоза СССР с учетом материалов Промстройпроекта Госстроя СССР и других научно-исследовательских и проектных институтов.
С введением в действие главы СНиП II-А.7-71 утрачивают силу с 1 апреля 1972 г. главы СНиП II-А.7-62 "Строительная теплотехника. Нормы проектирования" и II-В.6-62 "Ограждающие конструкции. Нормы проектирования".
Редакционная коллегия - инж. А.М. Кошкин (Госстрой СССР), кандидаты техн. наук С.И. Пермяков (НИИ строительной физики Госстроя СССР), И.С. Шаповалов (ЦНИИЭПЖилища Госгражданстроя), д-р техн. наук К.Ф. Фокин (НИИ Мосстроя Мосгорисполкома), инж. П.С. Суханов (ЦНИИПромзданий Госстроя СССР), д-р экон. наук Л.Д. Богуславский (МИСИ им. Куйбышева).
1.1. Настоящая глава содержит теплотехнические нормы и требования, которые распространяются на проектирование ограждающих конструкций (наружных и внутренних стен, перекрытий, покрытий, перегородок, полов, заполнений проемов: окон, фонарей, дверей, ворот) вновь строящихся и реконструируемых зданий и сооружений различного назначения.
Примечания. 1. При проектировании зданий и сооружений следует также соблюдать требования, предъявляемые к ограждающим конструкциям соответствующими главами СНиП и нормативными документами, утвержденными или согласованными с Госстроем СССР, в части необходимой прочности, жесткости, устойчивости, долговечности, биостойкости, коррозионной стойкости и других показателей.
2. Принятые в настоящей главе условные обозначения теплотехнических величин и их размерности приведены в
Приложении 1.
1.2. Настоящие теплотехнические нормы и требования распространяются на все ограждающие конструкции и стыки сборных элементов, на расположенные по периметру проемов участки конструкций, углы стен, теплопроводные включения, в том числе в местах примыкания к наружным стенам балконов, транспортных галерей, цокольных, междуэтажных и чердачных перекрытий и покрытий и т.д.
1.3. Замкнутые воздушные прослойки, устраиваемые в толще наружных стен зданий и сооружений, должны иметь высоту не более высоты этажа и не более 5 м.
В наружных стенах зданий и сооружений с мокрым и влажным режимом помещений допускается устройство воздушных прослоек только в случаях вентиляции этих прослоек наружным (при необходимости подогреваемым) воздухом; высота воздушных прослоек в этом случае не ограничивается.
Высота воздушных прослоек в окнах с переплетами определяется требованиями ГОСТов на изготовление переплетов.
1.4. Влажностный режим помещений зданий и сооружений в зависимости от относительной влажности внутреннего воздуха

следует считать:
сухим при

;
нормальным при

;
влажным при

;
мокрым при

.
1.5. При проектировании наружных стен необходимо предусматривать меры по защите их от увлажнения:
а) атмосферной влагой (косыми дождями), в первую очередь проникающей через стыки конструкций;
б) влагой, конденсирующейся на внутренней поверхности стен и в их толще;
в) влагой производственных и хозяйственно-бытовых процессов;
д) конденсатом, образующимся на поверхностях заполнений световых проемов или светопрозрачных ограждений.
Меры по ограничению возможного увлажнения, указанного в
подпунктах "б",
"в",
"г",
"д", следует предусматривать также и при проектировании внутренних стен и перегородок.
1.6. Беспустотные полы на грунте, устраиваемые в отапливаемых помещениях (с нормируемым перепадом между температурами внутреннего воздуха и поверхности пола), следует утеплять в зонах примыкания пола к наружным стенам. Утепление, устраиваемое непосредственно по грунту, следует предусматривать из неорганических влагостойких материалов.
1.7. Для защиты от увлажнения теплоизоляционного слоя в покрытиях следует предусматривать пароизоляцию (ниже теплоизоляционного слоя) или вентилируемые наружным воздухом прослойки и каналы.
Примечания. 1. В вентилируемых покрытиях зданий и сооружений необходимая высота воздушной прослойки или диаметр каналов должны определяться в соответствии с указаниями Пособия по теплотехническому расчету ограждающих конструкций, но независимо от расчета они должны приниматься не менее 5 см, а расстояние между осями каналов 15 - 25 см.
2. Устройство невентилируемых воздушных прослоек в покрытиях над отапливаемыми помещениями с влажным и мокрым режимом не допускается.
3. В покрытиях не следует предусматривать пароизоляцию в тех случаях, когда влажность теплоизоляционного материала превышает по условиям эксплуатации влажность, указанную в
табл. 1 Приложения 2, а предусматривать другие мероприятия.
1.8. Для зданий и сооружений, указанных в
п. 3.1 настоящей главы, возводимых в районах со среднемесячной температурой наружного воздуха за июль 20 °C и выше, следует при необходимости предусматривать меры по солнцезащите, например вентилируемые наружным воздухом воздушные прослойки и каналы в наружных стенах и покрытиях, защитные экраны, козырьки и жалюзи, охлаждаемые водой покрытия и др.
Рекомендуется предусматривать покрытие рулонных кровель мелким гравием светлых тонов толщиной не менее 10 мм.
2. СОПРОТИВЛЕНИЕ ТЕПЛОПЕРЕДАЧЕ ОГРАЖДАЮЩИХ КОНСТРУКЦИЙ
2.1. Сопротивление теплопередаче ограждающих конструкций

в м2 x ч x °C/ккал должно быть не менее сопротивления теплопередаче

, требуемого из санитарно-гигиенических условий, и

, определяемого экономическим расчетом в соответствии с указаниями
раздела 6 настоящей главы.
Примечание. Для индустриальных элементов ограждающих конструкций, изготовляемых по действующим каталогам, а также для сплошных каменных стен из штучных материалов (кирпича, камней и т.п.) допускается принимать

на 5% меньше

.
2.2. Требуемое сопротивление теплопередаче ограждающих конструкций

следует определять по формуле (1) с учетом требований
п. 1.2 настоящей главы:

, (1)
где n - коэффициент, зависящий от положения наружной поверхности ограждающей конструкции по отношению к наружному воздуху, принимаемый по
табл. 1;

- расчетная температура внутреннего воздуха в °C, принимаемая по нормам проектирования зданий и сооружений соответствующего назначения;

- расчетная зимняя температура наружного воздуха в °C, принимаемая согласно указаниям
п. 2.4 настоящей главы;

- нормируемый температурный перепад между температурой внутреннего воздуха и температурой внутренней поверхности ограждающей конструкции в °C, принимаемый по
табл. 2;

- коэффициент теплоотдачи внутренней поверхности ограждающей конструкции, принимаемый согласно указаниям
п. 2.13 настоящей главы.
Таблица 1
┌─────────────────────────────────────────────────────────────┬───────────┐
│ Ограждающие конструкции │Коэффициент│
│ │ n │
├─────────────────────────────────────────────────────────────┼───────────┤
│ 1. Наружные стены, покрытия, перекрытия над проездами, │ │
│а также перекрытия над холодными (проветриваемыми) │ │
│подпольями зданий и сооружений, возводимых в районах Северной│ │
│строительно-климатической зоны . . . . . . . . . . . . . . .│ 1 │
│ 2. Чердачные перекрытия со стальной, черепичной │ │
│или асбестоцементной кровлей по разреженной обрешетке │ │
│и покрытия с вентилируемыми прослойками . . . . . . . . . . .│ 0,9 │
│ 3. Чердачные перекрытия с кровлей из рулонных материалов . .│ 0,8 │
│ 4. Стены и перекрытия (за исключением указанных в
поз. 8 и
9│ │
│настоящей таблицы), отделяющие отапливаемые помещения │ │
│от сообщающихся с наружным воздухом неотапливаемых помещений │ │
│(например, тамбуры) . . . . . . . . . . . . . . . . . . . . .│ 0,7 │
│ 5. Стены и перекрытия, отделяющие отапливаемые помещения │ │
│от неотапливаемых, не сообщающихся с наружным воздухом . . .│ 0,4 │
│ 6. Перекрытия над подпольями, расположенными │ │
│ниже уровня земли, при непрерывной конструкции цоколя │ │
│с R > 1 м2 x ч x °C/ккал . . . . . . . . . . . . . . . . . .│ 0,4 │
│ 0 │ │
│ 7. То же, с R <= 1 м2 x ч x °C/ккал и перекрытия │ │
│ 0 │ │
│над холодными подпольями, расположенными выше уровня земли .│ 0,75 │
│ 8. Перекрытия над неотапливаемыми подвалами, расположенными │ │
│ниже уровня земли или имеющими наружные стены, выступающие │ │
│над уровнем земли до 1 м, при наличии окон в наружных стенах │ │
│подвалов . . . . . . . . . . . . . . . . . . . . . . . . . .│ 0,6 │
│ 9. То же, при отсутствии окон . . . . . . . . . . . . . . .│ 0,4 │
└─────────────────────────────────────────────────────────────┴───────────┘
Таблица 2
Нормируемые величины температурного перепада

┌──────────────────────────────────────────────────┬──────────────────────┐
│ Помещения │ н │
│ │ Дельта t в °C, │
│ │ не более │
│ ├────────┬─────────────┤
│ │ для │для покрытий │
│ │наружных│ и чердачных │
│ │ стен │ перекрытий │
├──────────────────────────────────────────────────┼────────┼─────────────┤
│ 1 │ 2 │ 3 │
├──────────────────────────────────────────────────┼────────┼─────────────┤
│ 1. Жилые помещения, а также помещения │ │ │
│общественных зданий (больницы, детские ясли-сады) │ 6 │ 4 │
│ 2. Помещения поликлиник и школ . . . . . . . . .│ 6 │ 4,5 │
│ 3. Помещения общественных зданий (за исключением │ │ │
│указанных в
поз. 1 и
2), административных зданий, │ │ │
│а также вспомогательные здания и помещения │ │ │
│промышленных предприятий, за исключением помещений│ │ │
│с влажным и мокрым режимами . . . . . . . . . . .│ 7 │ 5,5 │
│ 4. Отапливаемые помещения производственных зданий│ │ │
│с расчетной относительной влажностью внутреннего │ │ │
│воздуха менее 50% . . . . . . . . . . . . . . . .│ 10 │ 8 │
│ 5. То же, но с расчетной относительной влажностью│ │ │
│внутреннего воздуха от 50 до 60% . . . . . . . . .│ 8 │ 7 │
│ 6. Помещения производственных зданий │ │ │
│с избыточными тепловыделениями и расчетной │ │ │
│относительной влажностью внутреннего воздуха │ │ │
│не более 45% . . . . . . . . . . . . . . . . . . .│ 12 │ 12 │
│ 7. Помещения производственных зданий │ │ │
│(промышленных, сельскохозяйственных и других │ │ │
│предприятий) с расчетной влажностью внутреннего │ │ │
│воздуха выше 60%: │ │ │
│ а) в которых не допускается конденсация влаги │ │ │
│на внутренних поверхностях стен и потолков . . . .│ t - t │ t - t - 1 │
│ │ в р │ в р │
│ б) в которых не допускается конденсация влаги │ │ │
│на внутренних поверхностях потолков . . . . . . .│ 7 │t - t - 0,5│
│ │ │ в р │
│ │
│ Примечания. 1. Температурный перепад между расчетной температурой│
│ н │
│воздуха и температурой поверхности пола Дельта t следует принимать│
│равным: │
│ 2 °C - для полов жилых зданий, больниц, детских яслей-садов; │
│ 2,5 °C - для полов общественных зданий за исключением указанных выше,│
│а также производственных зданий с постоянными рабочими местами, если на│
│них не предусмотрены специальные мероприятия против охлаждения ног│
│работающих. На участках, где отсутствуют постоянные рабочие места,│
│ н │
│Дельта t не нормируется. │
│ 2. Расчетную разность между температурой воздуха помещения│
│ н│
│и температурой внутренней поверхности ограждающих конструкций Дельта t │
│в местах теплопроводных включений (диафрагм, толстых сквозных швов│
│раствора кладок, прокладных рядов, стыков панелей, колонн и ригелей│
│железобетонного каркаса и пр.), а также чердачных перекрытий помещений,│
│ н │
│равной Дельта t = t - t . │
│ в р │
│ н тр │
│ 3. Температурный перепад Дельта t , а также R не нормируются, и│
│ 0 │
│технические решения ограждающих конструкций принимаются по конструктивным│
│соображениям, если это допустимо по условиям технологического процесса и│
│когда: │
│ а) тепловыделения значительно превышают потери тепла (более чем на│
│50%), либо когда избытки явного тепла превышают 20 ккал\м3 x ч, а│
│влаговыделения незначительны; │
│ б) внутренняя поверхность стен и покрытий подвергается интенсивному│
│воздействию лучистого тепла или омывается сухим горячим воздухом; │
│ в) площадь пола помещений на одного работающего более 100 м2. │
│ 4. В
табл. 2 t - температура точки росы внутреннего воздуха в °C. │
│ р │
└─────────────────────────────────────────────────────────────────────────┘
Примечания. 1. Величину сопротивления теплопередаче

наружных стен жилых зданий, определенную по
формуле (1), при однослойных панельных стенах следует увеличивать на 10%, при многослойных панельных стенах на 20%. При изготовлении панелей со знаком качества указанные надбавки не предусматривать.
2. Для наружных ограждающих конструкций с характеристикой тепловой инерции D <= 2,5 жилых, общественных (больниц, поликлиник, детских яслей-садов) и производственных зданий, в которых по условиям технологии необходимо поддерживать постоянными температуру и относительную влажность воздуха, величину

, определенную по
формуле (1), следует увеличивать на 30%. При изготовлении конструкций со знаком качества указанную надбавку не предусматривать.
3. Для районов со среднемесячной температурой наружного воздуха за июль 20 °C и выше следует производить дополнительную проверку ограждающих конструкций на теплоустойчивость, согласно указаниям
п. 3.3 для зданий, перечисленных в
п. 3.1 настоящей главы.
4. Для внутренних ограждающих конструкций

следует определять только в случаях, когда разность температур в разделяемых ими помещениях превышает 10 °C. Для внутренних ограждающих конструкций помещений, в которых предусматривается кондиционирование воздуха, при определении

следует учитывать принятую в проекте разность температур внутреннего воздуха.
5. Требуемое сопротивление теплопередаче наружных ограждающих конструкций животноводческих и птицеводческих зданий, сооружений для выращивания растений (теплиц, оранжерей, парников, укрытий и др.) с технологическими тепло- и влаговыделениями при нормируемых параметрах воздуха в помещениях следует определять по
формуле (1) с проверкой по условиям тепловлажностного баланса зданий и сооружений в соответствии с указаниями норм технологического проектирования, утвержденных в установленном порядке, и указаниями Пособия по теплотехническому расчету ограждающих конструкций.
2.3. Требуемое сопротивление теплопередаче

в м2 x ч x °C/ккал заполнений световых проемов (окон, балконных дверей и фонарей) в зависимости от разности расчетных температур внутреннего и наружного воздуха следует принимать по табл. 3.
Таблица 3
Требуемое сопротивление теплопередаче

заполнений
световых проемов (окон, балконных дверей и фонарей)
┌────────────────────┬────────────────────┬───────────────────────────────┐
│ │ │ тр │
│ Здания и помещения │Разности температур │ R в м3 x ч x °C/ккал │
│ │воздуха внутреннего │ 0 │
│ │ и наружного │ │
│ │(средней температуры├──────────────┬────────────────┤
│ │ наиболее холодной │ для окон │ для фонарей │
│ │ пятидневки) в °C │ и балконных │ │
│ │ │ дверей │ │
├────────────────────┼────────────────────┼──────────────┼────────────────┤
│ 1 │ 2 │ 3 │ 4 │
├────────────────────┼────────────────────┼──────────────┼────────────────┤
│ 1. Больницы, │ Менее 25 │ 0,2 │ 0,4 │
│поликлиники, детские│ 26 - 46 │ 0,4 │ 0,4 │
│ясли-сады, жилые │ 47 - 55 │ 0,44 │ 0,4 │
│здания и школы │ 56 и более │ 0,6 │ 0,6 │
│ 2. Общественные │ Менее 30 │ 0,2 │ 0,4 │
│здания │ 30 - 49 │ 0,35 │ 0,4 │
│(кроме указанных │ 50 - 65 │ 0,4 │ 0,4 │
│в
поз. 1) │ 66 и более │ 0,56 │ 0,4 │
│ 3. Производственные│ 35 и менее │ 0,18 при │ 0,18 │
│отапливаемые │ │ отсутствии │ │
│помещения с сухим │ │ постоянных │ │
│и нормальным │ │рабочих мест │ │
│влажностным режимами│ │на расстоянии │ │
│ │ │до 3 м от окон│ │
│ │ 36 - 49 │0,36 на высоте│ 0,18 │
│ │ │ от пола │ │
│ │ │ до 2,4 м │ │
│ │ │--------------│ │
│ │ │0,18 на высоте│ │
│ │ │от пола более │ │
│ │ │ 2,4 м │ │
│ │ 50 и более │ 0,36 │0,3 - уточняемое│
│ │ │ │ технико- │
│ │ │ │ экономическим │
│ │ │ │ расчетом │
│ │ │ │ с учетом │
│ │ │ │ теплопотерь │
│ │ │ │ здания │
│ 4. Производственные│ 30 и менее │ 0,18 │ 0,18 │
│отапливаемые │ 31 и более │ 0,6 │0,3 - уточняемое│
│помещения с влажным │ │ │ технико- │
│и мокрым режимами │ │ │ экономическим │
│ │ │ │ расчетом │
│ │ │ │ с учетом │
│ │ │ │ теплопотерь │
│ │ │ │здания и условий│
│ │ │ │его эксплуатации│
│ 5. Производственные│ Любые │ 0,18 │ 0,18 │
│помещения │ │ │ │
│с избытками явного │ │ │ │
│тепла, превышающими │ │ │ │
│20 ккал/м2 x ч │ │ │ │
│ │
│ Примечания. 1. Для зданий и сооружений, указанных в
примечании 5│
│ тр│
│к п. 2.2 настоящей главы, требуемое сопротивление теплопередаче R │
│ 0 │
│заполнений световых проемов следует принимать в пределах│
│0,2 - 0,4 м2 x ч x °C\ккал. │
│ тр │
│ 2. Требуемое сопротивление теплопередаче R дверей (кроме балконных)│
│ 0 │
│ тр │
│и ворот следует принимать не менее 0,6 R , определяемого по
формуле (1)│
│ 0 │
│для стен зданий и сооружений. │
│ 3. Конструкции заполнений световых проемов и величины сопротивлений│
│теплопередаче их приведены в
табл. 5. Применение тройного остекления│
│следует предусматривать руководствуясь требованиями
раздела 6. │
└─────────────────────────────────────────────────────────────────────────┘
2.4. Зимнюю температуру наружного воздуха

в °C при определении

по
формуле (1) следует принимать по главе СНиП "Строительная климатология и геофизика" с учетом следующих указаний:
а) для "массивных" ограждающих конструкций - среднюю температуру наиболее холодной пятидневки;
б) для "легких" ограждающих конструкций - среднюю температуру наиболее холодных суток;
в) для ограждающих конструкций "средней массивности" - среднюю из указанных в
подпунктах "а" и
"б" температур.
2.5. Степень массивности ограждающих конструкций следует устанавливать по характеристике их тепловой инерции D, определяемой по формуле

, (2)
где

,

, ...,

- термические сопротивления отдельных слоев ограждающей конструкции, определяемые по
формуле (7);

,

, ...,

- коэффициенты теплоусвоения материала отдельных слоев ограждающей конструкции (при периоде 24 ч), вычисляемые по формуле (3):

, (3)
где

- коэффициент теплопроводности материала, принимаемый по
табл. 1 Приложения 2;

- удельная теплоемкость материала, определяемая по формуле (4):

, (4)
где

- удельная теплоемкость сухого материала;

- весовая влажность в %.
Величины

и

следует принимать по
табл. 1 Приложения 2;

- объемный вес материала, определяемый по формуле (5):

, (5)
где

- объемный вес материала в сухом состоянии, принимаемый по
табл. 1 Приложения 2;

- весовая влажность материала

или

в %, принимаемая по
табл. 1 Приложения 2.
2.6. Ограждающие конструкции следует считать:
а) "легкими" - при D <= 4;
б) "средней массивности" - при 4 < D <= 7;
в) "массивными" - при D > 7.
2.7. Величину сопротивления теплопередаче

в м2 x ч x °C/ккал многослойных ограждающих конструкций следует определять по формуле:

, (6)
где

- коэффициент теплоотдачи внутренней поверхности ограждающей конструкции, определяемый согласно указаниям
п. 2.13 настоящей главы;

- коэффициент теплоотдачи наружной поверхности ограждающей конструкции, определяемый по
табл. 7, графа 2;

,

,

, ...,

- термические сопротивления отдельных слоев ограждающей конструкции, определяемые по
формуле (7), и замкнутых воздушных прослоек

, если они имеются в ограждающей конструкции, принимаемые согласно указаниям
п. 2.9 настоящей главы.
Примечания. 1. При определении

ограждающих конструкций со сплошными воздушными, вентилируемыми наружным воздухом прослойками допускается в расчетах учитывать только ту часть конструкции, которая расположена между прослойками и помещением.
2. При вычислении термического сопротивления покрытия с вентилируемыми каналами в расчетах следует принимать полную толщину теплоизолирующего слоя (без учета ослабления каналами), только если диаметр канала не превышает 5 см, а расстояние между каналами не менее 15 см.
2.8. Термическое сопротивление однородной ограждающей конструкции или отдельного слоя многослойной ограждающей конструкции R в м2 x ч x °C/ккал следует определять по формуле:

, (7)
где

- толщина однородной ограждающей конструкции или отдельного слоя многослойной конструкции в м;

- коэффициент теплопроводности материала, принимаемый по
табл. 1 Приложения 2.
2.9. Термическое сопротивление замкнутых воздушных прослоек в наружных ограждающих конструкциях

в м2 x ч x °C/ккал, в зависимости от толщины прослойки, ее расположения и направления теплового потока, следует принимать по табл. 4.
Таблица 4
Термические сопротивления замкнутых воздушных прослоек

┌─────────────────┬───────────────────────────────────────────────────────┐
│Толщина прослойки│ R в м2 x ч x °C/ккал │
│ в мм │ вп │
│ ├───────────────────────────┬───────────────────────────┤
│ │для горизонтальных прослоек│для горизонтальных прослоек│
│ │ при потоке тепла снизу │ при потоке тепла сверху │
│ │ вверх и для вертикальных │ вниз │
│ │ прослоек │ │
│ ├─────────────┬─────────────┼─────────────┬─────────────┤
│ │ при │ при │ при │ при │
│ │положительной│отрицательной│положительной│отрицательной│
│ │ температуре │ температуре │ температуре │ температуре │
│ │ воздуха │ воздуха │ воздуха │ воздуха │
│ │ в прослойке │ в прослойке │ в прослойке │ в прослойке │
├─────────────────┼─────────────┼─────────────┼─────────────┼─────────────┤
│ 10 │ 0,15 │ 0,17 │ 0,15 │ 0,18 │
│ 20 │ 0,16 │ 0,18 │ 0,18 │ 0,22 │
│ 30 │ 0,16 │ 0,19 │ 0,19 │ 0,24 │
│ 50 │ 0,16 │ 0,2 │ 0,2 │ 0,26 │
│ 100 │ 0,17 │ 0,21 │ 0,21 │ 0,27 │
│ 150 │ 0,18 │ 0,21 │ 0,22 │ 0,28 │
│ 200 - 300 │ 0,18 │ 0,22 │ 0,22 │ 0,28 │
│ │
│ Примечание. Величины R , приведенные в
табл. 4, определены при│
│ вп │
│разности температур на поверхности прослоек, равной 10 °C. Величину,│
│приведенную в
таблице 4, необходимо умножать: │
│при разности температур 8 °C на коэффициент 1,05; │
│ " " " 6 °C " " 1,1; │
│ " " " 4 °C " " 1,15; │
│ " " " 2 °C " " 1,2. │
└─────────────────────────────────────────────────────────────────────────┘
2.10. Величину сопротивления теплопередаче

в м2 x ч x °C/ккал заполнение световых проемов (окон, балконных дверей и фонарей) следует принимать по табл. 5.
Таблица 5
Величины сопротивления теплопередаче

заполнений
световых проемов (окон, балконных дверей и фонарей)
┌──────────────────────────────────┬────────────────┬─────────────────────┐
│ Заполнения световых проемов │Расстояние между│R в м2 x ч x °C/ккал│
│ │ стеклами в мм │ 0 │
├──────────────────────────────────┼────────────────┼─────────────────────┤
│ 1. Одинарные переплеты (одинарное│ │ │
│остекление) по ГОСТ 16407-70 │ │ │
│и ГОСТ 12506-67 . . . . . . . . .│ - │ 0,2 │
ИС МЕГАНОРМ: примечание.
│ 2. Двойные переплеты спаренные │ │ │
│(двойное остекление): │ │ │
│ по ГОСТ 11214-65* . . . . . . . .│ 55 │ 0,4 │
│ " ГОСТ 16407-70 . . . . . . . . .│ 50 │ 0,4 │
│ " ГОСТ 12506-67 . . . . . . . . .│ 55 │ 0,4 │
│ 3. Двойные переплеты раздельные │ │ │
│(двойное остекление): │ │ │
│ по ГОСТ 11214-65* . . . . . . . .│ 110 │ 0,44 │
│ " ГОСТ 16407-70 . . . . . . . . .│ 100 │ 0,44 │
│ 4. Тройные переплеты, одинарный +│ │ │
│спаренные (тройное остекление): │ │ │
│ по ГОСТ 16289-70 . . . . . . . .│ 160 │ 0,6 │
│ 5. Вертикальное остекление │ │ │
│из блоков стеклянных пустотелых: │ │ │
│ по ГОСТ 9272-66 . . . . . . . . .│ - │ 0,5 │
│ │
│ Примечания. 1. В
табл. 5 величины сопротивлений теплопередаче│
│приведены для окон, балконных дверей и фонарей с деревянными переплетами│
│и коробками. При применении металлических переплетов и коробок│
│приведенные в таблице величины следует уменьшать на 10%. │
│ 2. Сопротивление теплопередаче заполнений световых проемов, не│
│предусмотренных в
табл. 5, а также светопрозрачных ограждающих│
│конструкций следует определять расчетом, руководствуясь указаниями│
│Пособия по теплотехническому расчету ограждающих конструкций. │
└─────────────────────────────────────────────────────────────────────────┘
2.11. Термическое сопротивление ограждающих конструкций

в м2 x ч x °C/ккал с неоднородными слоями (различного вида пустотные блоки и камни, кладка с утепляющими вкладышами и т.п.) следует определять расчетом следующим образом:
а) термическое сопротивление ограждающей конструкции в направлении, параллельном тепловому потоку

, по формуле:

, (8)
где

,

, ...,

- термические сопротивления отдельных участков конструкции по поверхности ограждения, вычисляемые по
формуле (6), но без величин

и

, или по
формуле (7);

,

, ...,

- площади отдельных участков конструкции по поверхности ограждения;
б) термическое сопротивление ограждающей конструкции в направлении, перпендикулярном тепловому потоку

, для однородных слоев - по
формуле (7), а неоднородных слоев - по
формуле (8).
Величина термического сопротивления всей ограждающей конструкции

определяется как сумма термических сопротивлений отдельных слоев.
Если величина

превышает величину

не более чем на 25%, то величина термического сопротивления ограждающей конструкции определяется по формуле:

. (9)
Если величина

превышает величину

больше чем на 25%, а также если ограждающая конструкция не является плоской (имеет выступы в плане), то ее термическое сопротивление следует определять на основании расчета температурного поля, руководствуясь указаниями Пособия по теплотехническому расчету ограждающих конструкций.
Примечание. При определении термического сопротивления теплопроводных включений следует учитывать процент армирования и расположение арматуры в конструкции.
2.12. Величину сопротивления теплопередаче многослойных стеновых панелей при наличии в них теплопроводных включений в виде ребер и обрамлений следует определять согласно указаниям Пособия по теплотехническому расчету ограждающих конструкций.
2.13. Коэффициент теплоотдачи внутренней поверхности ограждающей конструкции

в ккал/м2 x ч x °C следует принимать по табл. 6.
Таблица 6
Коэффициент теплоотдачи внутренней поверхности ограждения

┌───────────────────────────────────────────────┬─────────────────────────┐
│ Поверхность │альфа в ккал/м2 x ч x °C│
│ │ в │
├───────────────────────────────────────────────┼─────────────────────────┤
│ 1. Внутренние поверхности стен, полов, а также│ │
│потолков, гладких или с выступающими ребрами │ │
│при соотношении высоты h ребер к расстоянию a │ │
│ h │ │
│между гранями соседних ребер - <= 0,3 . . . . .│ 7,5 │
│ a │ │
│ 2. Потолки с выступающими ребрами при │ │
│ h │ │
│соотношении - > 0,3 . . . . . . . . . . . . . .│ 6,5 │
│ a │ │
│ │
│ h │
│ Примечания. 1. Для потолков с кессонами при отношении - > 0,3 (где│
│ a │
│a - меньшая сторона кессона) следует принимать│
│альфа = 6 ккал/м2 x ч x °C. │
│ в │
│ 2. Коэффициенты теплоотдачи альфа внутренней поверхности ограждающих│
│ в │
│настоящей главы, следует определять в соответствии с указаниями Пособия│
│по теплотехническому расчету ограждающих конструкций. │
└─────────────────────────────────────────────────────────────────────────┘
2.14. Коэффициент теплоотдачи наружной поверхности ограждающей конструкции

в ккал/м2 x ч x °C следует определять по табл. 7.
Таблица 7
Коэффициенты теплоотдачи наружной поверхности
ограждающей конструкции

┌───────────────────────────────────────────┬─────────────────────────────┐
│ Расположение наружных поверхностей │ альфа в ккал/м2 x ч x °C │
│ ограждающих конструкций │ н │
│ ├──────────────┬──────────────┤
│ │зимние условия│летние условия│
├───────────────────────────────────────────┼──────────────┼──────────────┤
│ 1 │ 2 │ 3 │
├───────────────────────────────────────────┼──────────────┼──────────────┤
│ 1. Поверхности, соприкасающиеся │ │ │
│непосредственно с наружным воздухом: │ │ │
│ а) наружные стены и заполнения световых │ │ _ │
│проемов . . . . . . . . . . . . . . . . . .│ 20 │ 5 + 10\/v │
│ б) покрытия . . . . . . . . . . . . . . .│ 20 │ 7,5 + 2,2v │
│ 2. Поверхности, непосредственно │ │ │
│не соприкасающиеся с наружным воздухом: │ │ │
│ а) поверхности, выходящие на чердак . . .│ 10 │ 10 │
│ б) поверхности над холодными подвалами │ │ │
│и подпольями . . . . . . . . . . . . . . .│ 5 │ 5 │
│ в) поверхности вентилируемых воздушных │ │ │
│прослоек и холодных (проветриваемых) │ │ │
│подполий зданий, сооружаемых в Северной │ │ │
│строительно-климатической зоне . . . . . .│ 15 │ 15 │
│ │
│ Примечания. 1. Скорость ветра v следует принимать согласно указаниям│
│ 2. Для светопрозрачных ограждающих конструкций зданий для выращивания│
│растений альфа следует определять расчетом в соответствии с указаниями│
│ н │
│Пособия по теплотехническому расчету ограждающих конструкций. │
└─────────────────────────────────────────────────────────────────────────┘
2.15. Скорость ветра v в м/с следует принимать по данным, приведенным в главе СНиП "Строительная климатология и геофизика":
а) для зимних условий - скорость, равную максимальной скорости из средних скоростей ветра по румбам за январь, повторяемость которых составляет 16% и более;
б) для летних условий - минимальную из средних скоростей ветра по румбам за июль, повторяемость которых составляет 16% и более, но не менее 1 м/с.
2.16. В жилых, общественных зданиях, вспомогательных зданиях промышленных предприятий, а также в отапливаемых производственных зданиях, в которых не допускается образование конденсата на ограждающих конструкциях, температура внутренних поверхностей ограждающих конструкций в местах более теплопроводных включений (диафрагмы, сквозные швы раствора, прокладные ряды, стыки панелей и перемычки и другие элементы фахверка) должна быть не ниже точки росы

внутреннего воздуха при соответствующей относительной влажности этого воздуха.
2.17. Температура внутренней поверхности ограждающей конструкции

в °C в местах более теплопроводных включений должна проверяться в соответствии с указаниями Пособия по теплотехническому расчету ограждающих конструкций.
3. ТЕПЛОУСТОЙЧИВОСТЬ ОГРАЖДАЮЩИХ КОНСТРУКЦИЙ
И ТЕПЛОВАЯ АКТИВНОСТЬ ПОЛОВ
3.1. При проектировании для районов со среднемесячной температурой июля 20 °C и выше жилых, общественных (больниц, поликлиник, детских яслей-садов), а также тех производственных зданий, в которых по условиям технологии необходимо поддерживать постоянными температуру и относительную влажность воздуха, следует проверять расчетом теплоустойчивость наружных стен и покрытий.
Примечание. Теплоустойчивость ограждающих конструкций допускается не проверять, если характеристика тепловой инерции D стен превышает 4 и перекрытий - 5.
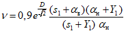
3.2. Амплитуда колебаний температуры внутренней поверхности ограждающих конструкций

в °C зданий, указанных в
п. 3.1 настоящей главы, не должна быть больше допускаемой, которая определяется по формуле:

, (10)
где

- среднемесячная температура наружного воздуха за июль, принимаемая по главе СНиП "Строительная климатология и геофизика".
Примечание. Требования
п. 3.2 настоящей главы не распространяются на остекленные поверхности ограждающих конструкций.
3.3. Амплитуда колебаний температуры внутренней поверхности ограждающей конструкции определяется по формуле:

, (11)
где

- амплитуда колебаний температуры наружного воздуха с учетом солнечной радиации, определяемая по формуле:

, (12)
где

и

- соответственно максимальное и среднее суточное значения суммарной солнечной радиации (прямой и рассеянной) за июль на наружные поверхности рассматриваемой ограждающей конструкции, принимаемые по главе СНиП "Строительная климатология и геофизика". При этом для наружных стен следует принимать значения солнечной радиации для вертикальных поверхностей западной ориентации;

- коэффициент поглощения солнечной радиации наружной поверхностью ограждающей конструкции, принимаемый по
Приложению 3;

- величина затухания колебаний температуры наружного воздуха в ограждающей конструкции, определяемая согласно указаниям
п. 3.4 настоящей главы;

- коэффициент теплоотдачи наружной поверхности ограждающей конструкции;

- максимальная амплитуда колебания температуры наружного воздуха в июле (половина величины, принимаемой по главе СНиП "Строительная климатология и геофизика").
3.4. Величину затухания амплитуды колебания температуры наружного воздуха в ограждающей конструкции

следует определять по формуле:

. (13)
В частном случае для однослойной ограждающей конструкции формула (14) будет иметь вид:

, (14)
где e = 2,718 - основание натуральных логарифмов;
D - характеристика тепловой инерции ограждающей конструкции, определяемая по
формуле (2);

,

, ...,

- коэффициенты теплоусвоения материалов отдельных слоев ограждающей конструкции, определяемые по
формуле (3);

,

, ...,

- коэффициенты, определяемые согласно указаниям
п. 3.5 настоящей главы;

- коэффициент теплоотдачи внутренней поверхности ограждающей конструкции, принимаемый согласно указаниям
п. 2.13 настоящей главы;

- коэффициент теплоотдачи наружной поверхности ограждающей конструкции, принимаемый согласно указаниям
п. 2.14 настоящей главы.
Примечания. 1. В
формуле (13) порядок нумерации слоев дан в направлении от внутренней поверхности ограждающей конструкции.
2. Если для обеспечения необходимой теплоустойчивости ограждающей конструкции требуется увеличивать сопротивление теплопередаче

, определяемое по
формуле (1), то независимо от результатов расчета увеличивать толщину теплоизоляционного слоя более чем в 1,5 раза не следует.
3.5. Коэффициенты Y отдельных слоев ограждающей конструкции следует определять:
а) если слой имеет D >= 1, то для него Y = s, т.е. коэффициенту теплоусвоения материала этого слоя;
б) если слой имеет D < 1, то для него величину Y следует определять по формуле:

, (15)
где R - термическое сопротивление слоя ограждающей конструкции, определяемое по
формуле (7);
s - коэффициент теплоусвоения материала этого слоя, определяемый по
формуле (3);
Y' - коэффициент теплоусвоения наружной поверхности предыдущего слоя, определяемый также по
формуле (15);
в) если первый слой ограждающей конструкции имеет D < 1, то для него величину

следует определять по формуле:

, (16)
где

- термическое сопротивление первого слоя, определяемое по
формуле (7);

- коэффициент теплоусвоения материала первого слоя, определяемый по
формуле (3);

- коэффициент теплоотдачи внутренней поверхности ограждающей конструкции, принимаемый согласно указаниям
п. 2.13 настоящей главы.
Примечания. 1. При наличии в ограждающей конструкции воздушной прослойки коэффициент теплоусвоения ее наружной поверхности Y следует определять по
формуле (15), принимая для слоя воздуха s = 0.
2. Определение величин Y производится последовательно, начиная с первого слоя, считая от внутренней поверхности ограждающей конструкции.
3.6. Полы жилых, общественных, вспомогательных и отапливаемых производственных зданий и сооружений должны иметь показатель тепловой активности

не более требуемого

, определяемого по табл. 8.
Таблица 8
Требуемые величины показателя тепловой активности полов

┌───────────────────────────────────────┬──────┬──────────────────────────┐
│ │ │ тр 1/2 │
│ Помещения │Группа│B в ккал/м2 x ч x °C,│
│ │ пола │ 0 │
│ │ │ не более │
├───────────────────────────────────────┼──────┼──────────────────────────┤
│ 1 │ 2 │ 3 │
├───────────────────────────────────────┼──────┼──────────────────────────┤
│ 1. Жилые помещения и комнаты, а также │ │ │
│палаты и другие помещения больниц, │ │ │
│поликлиник, школ, детских яслей-садов .│ I │ 10 │
│ 2. Помещения общественных зданий │ │ │
│(за исключением указанных в
поз. 1), │ │ │
│а также помещения производственных и │ │ │
│вспомогательных зданий с долговременным│ │ │
│пребыванием людей, не имеющих по роду │ │ │
│своих занятий большого физического │ │ │
│напряжения и интенсивности движений . .│ II │ 12
<*> │
│ 3. Все виды помещений (кроме указанных│ │ │
│в
поз. 1 и
2) . . . . . . . . . . . . .│ III │ Не нормируется │
│ -------------------------------- │
│ <*> Допускается величины показателей тепловой активности полов│
│принимать более высокими, чем указанные в
табл. 8: │
│ а) при условии укладки на пол у рабочих мест деревянных щитов или│
│теплоизолирующих ковриков в помещениях производственных и вспомогательных│
│зданий промышленных предприятий; │
│ б) если поверхность пола имеет температуру выше 23 °C; │
│ в) для помещений, эксплуатация которых не связана с постоянным│
│пребыванием в них людей (залы музеев и выставок, фойе театров и кино│
│и т.п.). │
└─────────────────────────────────────────────────────────────────────────┘
3.7. Полы для зданий и сооружений следует принимать в соответствии с главой СНиП по проектированию полов.
Примечания. 1. Для полов, не предусмотренных в указанной главе СНиП, показатели тепловой активности следует определять расчетом в соответствии с указаниями Пособия по теплотехническому расчету ограждающих конструкций.
2. Требования к полам животноводческих и птицеводческих зданий приведены в главе СНиП по проектированию животноводческих и птицеводческих зданий и сооружений.
4. СОПРОТИВЛЕНИЕ ВОЗДУХОПРОНИЦАНИЮ ОГРАЖДАЮЩИХ КОНСТРУКЦИЙ
4.1. Сопротивление воздухопроницанию наружных ограждающих конструкций

в м2 x ч x мм вод. ст./кг должно быть не меньше требуемого

.
| | ИС МЕГАНОРМ: примечание. Обозначение требуемого сопротивления в неравенстве дано в соответствии с официальным текстом документа. | |
Примечания. 1. Требование
п. 4.1 настоящей главы не распространяется на наружные стены, сопротивление воздухопроницанию которых

, либо когда поток воздуха через ограждающие конструкции G меньше 0,5 кг/м2 x ч, а также на покрытия с кровлей из рулонных воздухонепроницаемых материалов.
Поток воздуха через ограждающие конструкции G следует определять по формуле (17):

, (17)
где

- разность давления воздуха у наружной и внутренней поверхностей ограждающих конструкций, определяемая по
формуле (19);

- сопротивление воздухопроницанию наружных ограждающих конструкций, определяемое по
формуле (21).
2. Сопротивление воздухопроницанию слоев

, отделяющих в наружных стенах замкнутую воздушную прослойку от наружного воздуха, должно быть не менее 0,4 м2 x ч x мм вод. ст./кг.
4.2. Требуемое сопротивление воздухопроницанию

следует определять по формуле:

, (18)
где

- коэффициент, принимаемый по
табл. 9;

- разность давлений воздуха у наружной и внутренней поверхностей ограждающих конструкций зданий и сооружений с естественной вытяжной вентиляцией, для нижнего этажа следует принимать по формуле:

, (19)
где H - высота здания или сооружения в м;
v - скорость ветра, принимаемая согласно требованиям
п. 2.15 настоящей главы, но не менее 5 м/с и не менее 8 м/с для I подзоны Северной строительно-климатической зоны;

,

- объемные веса соответственно наружного и внутреннего воздуха, определяемые по формуле:

, (20)
где t - температуры внутреннего или наружного воздуха, принимаемые: для внутреннего воздуха - согласно указаниям
п. 2.2 настоящей главы, для наружного воздуха - равной средней температуре наиболее холодной пятидневки;

- коэффициент, учитывающий несовпадение во времени принятых в расчете скорости ветра и температуры наружного воздуха, принимаемый: 0,6 - для европейской части территории СССР, расположенной севернее 52° с.ш., для центральных районов Западной (до 68° с.ш.) и Восточной (до 70° с.ш.) Сибири, Иркутской области, Бурятской АССР, Читинской и Амурской областей, для территорий (за исключением прибрежных районов до высоты над уровнем моря не более 500 м) Сахалинской, Камчатской, Магаданской областей, Чукотского национального округа, Хабаровского и Приморского краев, а также для районов Средней Азии и Закавказья (за исключением Апшеронского полуострова); 1,2 - для прибрежных районов Приморского края до высоты над уровнем моря не более 500 м; 1 - для остальной территории СССР.
Таблица 9
Коэффициент

┌──────────────────────────────────────────────────────────┬──────────────┐
│ Ограждающие конструкции │ Значение │
│ │ коэффициента │
│ │ эпсилон │
├──────────────────────────────────────────────────────────┼──────────────┤
│ 1. Наружные стены и перекрытия над проездами и подпольями│ │
│жилых и общественных зданий, вспомогательных зданий │ │
│промышленных предприятий, а также производственных зданий,│ │
│перечисленных в
п. 3.1 настоящей главы . . . . . . . . . .│ 2 │
│ 2. Наружные стены отапливаемых производственных зданий .│ 1 │
│ 3. Перекрытия чердачные . . . . . . . . . . . . . . . . .│ 1,5 │
└──────────────────────────────────────────────────────────┴──────────────┘
4.3. Сопротивление воздухопроницанию наружных ограждающих конструкций

в м2 x ч x мм вод. ст./кг следует определять по формуле:

, (21)
где

,

, ...,

- сопротивления воздухопроницанию отдельных слоев или элементов ограждающих конструкций, принимаемые по
Приложению 4.
4.4. Количество воздуха, проникающего через окна жилых и общественных зданий

в кг/м2 x ч, должно быть не более допустимых значений воздухопроницаемости

в кг/м2 x ч, приведенных в табл. 10.
Таблица 10
Допустимые значения воздухопроницаемости окон

┌───────────────────────────────┬──────┬──────┬──────┬──────┬──────┬──────┐
│Расчетная температура наружного│ -10 │От -11│От -21│От -31│От -41│От -51│
│ воздуха в °C │и выше│до -20│до -30│до -40│до -50│и ниже│
├───────────────────────────────┼──────┼──────┼──────┼──────┼──────┼──────┤
│ тр │ │ │ │ │ │ │
│ G кг/м2 x ч │ 25 │ 17 │ 13 │ 11 │ 9 │ 8 │
│ 0 │ │ │ │ │ │ │
└───────────────────────────────┴──────┴──────┴──────┴──────┴──────┴──────┘
4.5. Количество воздуха в кг, проходящего в 1 ч через 1 м2 площади окна,

следует определять по формуле:

, (22)
где А и Б - параметры, принимаемые по
табл. 11;
Примечание. При расчете воздухопроницаемости окон зданий и сооружений, указанных в
примечании 4 к п. 2.2 настоящей главы, и производственных зданий следует учитывать требования норм технологического проектирования.
Таблица 11
Коэффициент воздухопроницаемости окон
с деревянными переплетами i в кг/м2 x ч и параметры А и Б
┌──────────┬──────┬───────────────────────────────────────────────────────┐
│ Тип │Коли- │ Коэффициент воздухопроницаемости окон i │
│переплетов│чество│ при Дельта p = 1 мм вод. ст. (в числителе) │
│ │рядов │ и параметры А и Б (в знаменателе) │
│ │уплот-├─────────────┬─────────────────────────────────────────┤
│ │нения │ без │ с уплотнением прокладками из │
│ │ │ уплотнения ├─────────────┬─────────────┬─────────────┤
│ │ │ │полушерстя- │ губчатой │пенополи- │
│ │ │ │ного шнура │ резины │уретана │
├──────────┼──────┼─────────────┼─────────────┼─────────────┼─────────────┤
│ 1 │ 2 │ 3 │ 4 │ 5 │ 6 │
├──────────┼──────┼─────────────┼─────────────┼─────────────┼─────────────┤
│ Одинарный│ 1 │ 27 │ 8 │ 6,1 │ 3,6 │
│и двойной │ │-------------│-------------│-------------│-------------│
│спаренный │ │0,011; 0,0010│0,065; 0,0075│0,093; 0,0110│0,197; 0,0219│
│ │ │ │ │ │ │
│ Двойной │ 1 │ 18 │ 7,3 │ 5,5 │ 3,5 │
│раздельный│ │-------------│-------------│-------------│-------------│
│ │ │0,017; 0,0023│0,070; 0,0084│0,110; 0,0130│0,203; 0,0227│
│ │ │ │ │ │ │
│ │ 2 │ │ 5,2 │ 3,9 │ 2,7 │
│ │ │ │-------------│-------------│-------------│
│ │ │ │0,114; 0,0137│0,182; 0,0202│0,289; 0,0308│
│ │ │ │ │ │ │
│ Тройной │ 1 │ │ 6,7 │ 5,2 │ 3,3 │
│ │ │ │-------------│-------------│-------------│
│ │ │ │0,081; 0,0096│0,114; 0,0137│0,227; 0,0256│
│ │ │ │ │ │ │
│ │ 2 │ 12 │ 4,7 │ 3,8 │ 2,3 │
│ │ │-------------│-------------│-------------│-------------│
│ │ │0,036; 0,0040│0,132; 0,0158│0,188; 0,0212│0,341; 0,0372│
│ │ │ │ │ │ │
│ │ 3 │ │ 3,6 │ 2,7 │ 1,8 │
│ │ │ │-------------│-------------│-------------│
│ │ │ │0,197; 0,0219│0,289; 0,0308│0,434; 0,0533│
│ │
│ Примечания. 1. Для балконных дверей следует принимать соответствующие│
│величины коэффициентов i для окон и увеличивать их на 25%. │
│ 2. Для окон с металлическими переплетами приведенные в
табл. 11│
│величины коэффициента i следует уменьшать на 20%. │
│ 3. При заклейке бумагой притворов раздельных переплетов│
│(при отсутствии уплотняющих прокладок) значения коэффициентов i следует│
│принимать как при уплотнении губчатой резиной. │
│ 4. Выбор параметров А и Б для типов окон, отсутствующих в
табл. 11,│
│следует производить по коэффициенту воздухопроницаемости окна i,│
│найденному экспериментальным путем. По найденному коэффициенту следует в│
│
табл. 11 путем интерполяции принимать значение коэффициента│
│воздухопроницаемости i и соответственно параметры А и Б. │
└─────────────────────────────────────────────────────────────────────────┘
5. ВЛАЖНОСТНЫЙ РЕЖИМ ОГРАЖДАЮЩИХ КОНСТРУКЦИЙ
5.1. Влажность материалов ограждающих конструкций зданий и сооружений при нормальных условиях эксплуатации не должна быть выше допускаемой.
Расчет влажностного режима следует производить, руководствуясь указаниями Пособия по теплотехническому расчету ограждающих конструкций.
5.2. Допускаемую весовую влажность материалов ограждающих конструкций зданий и сооружений следует принимать по табл. 12.
Таблица 12
Допускаемая влажность материалов наружных
ограждающих конструкций
┌────────────────────────────────────────────┬────────────────────────────┐
│ Материал и ограждающие конструкции │ Допускаемая весовая │
│ │ влажность в % │
│ │ (на сухой вес) │
│ ├───────────────┬────────────┤
│ │ средняя │максимальная│
│ │к концу периода│ местная │
│ │влагонакопления│ (в зоне │
│ │ │конденсации)│
├────────────────────────────────────────────┼───────────────┼────────────┤
│ 1 │ 2 │ 3 │
├────────────────────────────────────────────┼───────────────┼────────────┤
│ 1. Кладка кирпичная из глиняного │ │ │
│обыкновенного кирпича в наружных стенах │ │ │
│зданий . . . . . . . . . . . . . . . . . . .│ 5 │ 7 │
│ 2. Кладка из керамических пустотелых блоков│ │ │
│в наружных стенах зданий . . . . . . . . . .│ 3 │ 4 │
│ 3. Кладка кирпичная из силикатного кирпича │ │ │
│и из плотного силикатного бетона в наружных │ │ │
│стенах зданий . . . . . . . . . . . . . . .│ 4 │ 5 │
│ 4. Кладка крупноблочная из шлакобетонных │ │ │
│и керамзитобетонных сплошных и пустотелых │ │ │
│блоков, а также панели из этих материалов│ │ │
│наружных стен зданий . . . . . . . . . . . .│ 10 │ 12 │
│ 5. Кладка крупноблочная из ячеистых бетонов│ │ │
│(пенобетона, газобетона и т.п.), а также │ │ │
│панели и плиты из ячеистых бетонов наружных │ │ │
│ограждающих конструкций зданий при объемном │ │ │
│весе ячеистого бетона 600 кг/м3 . . . . . .│ 12 │ 17 │
│ 6. То же, при объемном весе ячеистого │ │ │
│бетона 800 кг/м3 . . . . . . . . . . . . . .│ 15 │ 20 │
│ 7. Пеногазостекло . . . . . . . . . . . . .│ 2,5 │ 4 │
│ 8. Фибролит цементный . . . . . . . . . . .│ 15 │ 25 │
│ 9. Минеральная вата и минераловатные │ │ │
│изделия (плиты и войлок) . . . . . . . . . .│ 4 │ 6 │
│ 10. Торфоплиты биоводостойкие . . . . . . .│ 20 │ 40 │
│ 11. Древесина сосновая . . . . . . . . . .│ 20 │ 25 │
│ 12. Мипора . . . . . . . . . . . . . . . .│ 30 │ 40 │
│ 13. Полистирольный пенопласт, стиропор . .│ 5 │ 10 │
│ 14. Шлаковая засыпка . . . . . . . . . . .│ 5 │ 3 │
│ 15. Керамзитовая засыпка . . . . . . . . .│ 5 │ 6 │
│ 16. Бетон объемного веса более 1800 кг/м3 .│ 2 │ 4 │
│ 17. Внутренний защитно-отделочный │ │ │
│(фактурный) слой панелей . . . . . . . . . .│ 4 │ 5 │
│ │
│ Примечания. 1. Период влагонакопления принимается равным│
│продолжительности периода со средними суточными температурами наружного│
│воздуха ниже 0 °C. │
│ 2. Соответствие влажности материалов наружных ограждающих конструкций│
│зданий и сооружений величинам допускаемой влажности, приведенным│
│в
табл. 12, следует определять расчетом в соответствии с указаниями│
│Пособия по теплотехническому расчету ограждающих конструкций. │
└─────────────────────────────────────────────────────────────────────────┘
5.3. Не требуют расчета влажностного режима следующие ограждающие конструкции (как удовлетворяющие требованиям
п. 5.1 настоящей главы):
а) наружные ограждающие конструкции помещений с сухим режимом;
б) однослойные наружные стены помещений с нормальным режимом;
в) двухслойные наружные стены помещений с нормальным режимом, если внутренний слой стены выполнен из тяжелого бетона, железобетона или других материалов с сопротивлением паропроницанию

;
г) трехслойные наружные стены с внутренним и наружным слоями из бетона или железобетона или других малопаропроницаемых материалов:
помещений с нормальным режимом, если отношение сопротивления паропроницанию внутреннего слоя к сопротивлению паропроницанию наружного слоя больше 1,2;
помещений с влажным режимом, если отношение сопротивлений паропроницанию указанных слоев больше 1,5.
Примечание. Для ограждающих конструкций, не указанных в
п. 5.3 настоящей главы, влажностный режим следует определять расчетом в соответствии с указаниями Пособия по теплотехническому расчету ограждающих конструкций.
5.4. Сопротивление паропроницанию

в м2 x ч x мм рт. ст./г отдельного слоя ограждающей конструкции следует определять по формуле:

, (23)
где

- толщина слоя ограждающей конструкции в м;

- коэффициент паропроницаемости слоя ограждающей конструкции, принимаемый по
табл. 1 Приложения 2.
Примечание. Величину сопротивления паропроницанию для листовых материалов следует принимать по
Приложению 5.
5.5. В наружных ограждающих конструкциях, на внутренней поверхности которых допускается конденсация водяного пара или внутренние поверхности которых по технологическим условиям производства требуют промывания водой, необходимо предусматривать устройство с внутренней стороны стены водонепроницаемого слоя (например, из бетона с добавками, придающими ему водонепроницаемость; облицовка глазурованными керамическими плитами; нанесение водоотталкивающих покрасок).
5.6. Над помещениями с повышенной влажностью внутреннего воздуха

рекомендуется применять вентилируемые конструкции покрытий, а при технико-экономическом обосновании - чердачные перекрытия. При этом части конструкции, расположенные ниже воздушной прослойки, а также чердачные перекрытия должны иметь сопротивление паропроницанию не менее величины, определяемой по формуле:

, (24)
где

- парциальное давление водяного пара внутреннего воздуха в мм рт. ст.;

- парциальное давление водяного пара наружного воздуха (среднее за три зимних месяца) в мм рт. ст.
5.7. Для зданий, строящихся в прибрежных районах с продолжительными дождями и ветром, следует применять наружные стены с водонепроницаемым слоем с наружной стороны.
6. СОПРОТИВЛЕНИЕ ТЕПЛОПЕРЕДАЧЕ ОГРАЖДАЮЩИХ КОНСТРУКЦИЙ
ИЗ ЭКОНОМИЧЕСКИХ УСЛОВИЙ
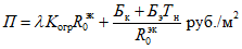
6.1. Сопротивление теплопередаче ограждающих конструкций (наружных стен, покрытий, чердачных перекрытий и перекрытий над проездами, неотапливаемыми подвалами и подпольями) из экономических условий следует определять по формуле:

, (25)
где

- удельные капитальные вложения в устройство системы теплоснабжения;

- годовые удельные эксплуатационные затраты на отопление;

- нормативный срок окупаемости дополнительных капитальных вложений;

- коэффициент теплопроводности материала однослойной ограждающей конструкции или теплоизолирующего слоя многослойной ограждающей конструкции, принимаемый по
табл. 1 Приложения 2;

- стоимость 1 м3 однослойной ограждающей конструкции или теплоизолирующего слоя многослойной ограждающей конструкции.
Примечания. 1. Сопротивление теплопередаче ограждающих конструкций

необходимо учитывать при разработке индивидуальных проектов и при привязке типовых проектов зданий к местным условиям, а также при проектировании новых или реконструкции действующих предприятий, изготавливающих ограждающие конструкции зданий.
2. Повышение сопротивления наружных ограждающих конструкций теплопередаче следует осуществлять, как правило, путем применения эффективных теплоизоляционных материалов. Толщину наружных ограждающих конструкций допускается увеличивать только при замене изношенных форм или реконструкции действующих предприятий.
6.2. При проектировании наружных ограждающих конструкций зданий с характеристиками помещений, предусмотренными в
примечании 3 к табл. 2, а также однослойных стен из кирпича разрешается

не определять.
6.3. Если увеличение сопротивления теплопередаче ограждающей конструкции вызывает необходимость усиления несущих конструкций зданий, то следует сопоставить приведенные затраты на ограждающую конструкцию при

с приведенными затратами при той предельной толщине теплоизолирующего слоя, при которой усиления конструкции не требуется, и принять вариант с меньшими приведенными затратами.
6.4. Экономически целесообразный уровень теплозащиты зданий следует определять по формуле:

, (26)
где

- суммарные приведенные из экономических условий затраты на ограждающие конструкции зданий, руб.,

,

,

- приведенные из экономических условий затраты на наружные стены, заполнения световых проемов и покрытия (чердачные перекрытия), руб./м2;

,

,

- суммарные площади соответствующих ограждающих конструкций зданий, м2.
Примечание. Экономически целесообразными следует считать ограждающие конструкции зданий, величины приведенных затрат на изготовление и эксплуатацию которых будут минимальными.
6.5. Приведенные из экономических условий затраты на наружные стены и покрытия (чердачные перекрытия) зданий следует определять по формуле:

. (27)
6.6. Приведенные из экономических условий затраты на заполнения световых проемов следует определять:
а) для жилых, общественных и вспомогательных зданий промышленных предприятий высотой до 25 м при отсутствии систем приточной вентиляции по формуле:

, (28)
где

- сметная стоимость 1 м2 заполнения светового проема в руб.;
0,05 - коэффициент, учитывающий затраты на амортизационные отчисления и текущий ремонт заполнения светового проема;

- сопротивление теплопередаче заполнения светового проема, принимаемое по
табл. 5;
б) для производственных зданий и любых помещений в зданиях и сооружениях высотой более 25 м и при наличии в них приточной вентиляции - в соответствии с указаниями Пособия по теплотехническому расчету ограждающих конструкций.
Примечание. Сопротивление теплопередаче из экономических условий заполнений световых проемов следует определять с учетом требования
примечания 1 к п. 6.1 настоящей главы.
УСЛОВНЫЕ ОБОЗНАЧЕНИЯ ТЕПЛОТЕХНИЧЕСКИХ ВЕЛИЧИН
И ИХ РАЗМЕРНОСТИ
┌────────────────────┬───────┬───────────────────────────────────────────────┐
│ Наименование │Обозна-│ Единицы измерения по │
│ │чение ├───────────────────────┬───────────────────────┤
│ │ │ технической системе │ системе СИ │
├────────────────────┼───────┼───────────────────────┼───────────────────────┤
│ 1 │ 2 │ 3 │ 4 │
├────────────────────┼───────┼───────────────────────┼───────────────────────┤
│ 1. Коэффициент │лямбда │ ккал/м x ч x °C │ 1,163 Вт/м x °К │
│теплопроводности │ │ │ │
│материала │ │ │ │
│ 2. Коэффициент │ k │ ккал/м2 x ч x °C │ 1,163 Вт/м x °К │
│теплопередачи │ │ │ │
│ограждающей │ │ │ │
│конструкции │ │ │ │
│ │ 1 │ │ │
│ 3. Сопротивление │R = - │ м2 x ч x °C/ккал │ 0,860 м2 x °К/Вт │
│теплопередаче │ 0 k │ │ │
│ограждающей │ │ │ │
│конструкции │ │ │ │
│ │ тр │ │ │
│ 4. Требуемое │ R │ м2 x ч x °C/ккал │ 0,860 м2 x °К/Вт │
│сопротивление │ 0 │ │ │
│теплопередаче │ │ │ │
│ограждающей │ │ │ │
│конструкции │ │ │ │
│ │ эк │ │ │
│ 5. Сопротивление │ R │ м2 x ч x °C/ккал │ 0,860 м2 x °К/Вт │
│теплопередаче │ 0 │ │ │
│ограждающей │ │ │ │
│конструкции │ │ │ │
│из экономических │ │ │ │
│условий │ │ │ │
│ 6. Термическое │ R │ м2 x ч x °C/ккал │ 0,860 м2 x °К/Вт │
│сопротивление слоя │ │ │ │
│ограждающей │ │ │ │
│конструкции │ │ │ │
│ 7. Термическое │ R │ м2 x ч x °C/ккал │ 0,860 м2 x °К/Вт │
│сопротивление │ вп │ │ │
│воздушной прослойки │ │ │ │
│ 8. Коэффициент │альфа │ ккал/м2 x ч x °C │ 1,163 Вт/м2 x °К │
│теплоотдачи │ п │ │ │
│излучением │ │ │ │
│ 9. Коэффициент │альфа │ ккал/м2 x ч x °C │ 1,163 Вт/м2 x °К │
│теплоотдачи │ к │ │ │
│конвекцией │ │ │ │
│ 10. Коэффициент │альфа │ ккал/м2 x ч x °C │ 1,163 Вт/м2 x °К │
│теплоотдачи │ в │ │ │
│внутренней │ │ │ │
│поверхности │ │ │ │
│ограждающей │ │ │ │
│конструкции │ │ │ │
│ 11. Коэффициент │альфа │ ккал/м2 x ч x °C │ 1,163 Вт/м2 x °К │
│теплоотдачи наружной│ н │ │ │
│поверхности │ │ │ │
│ограждающей │ │ │ │
│конструкции │ │ │ │
│ 12. Удельная │ c │ ккал/кг x °C │ 4187 Дж/кг x °К │
│теплоемкость │ │ │ │
│материала │ │ │ │
│ │ │ 1/2 │ 1/2 │
│ 13. Показатель │ B │ ккал/м2 x ч x °C │ 69,78 Вт x с м x °К │
│тепловой активности │ 0 │ │ │
│пола │ │ │ │
│ 14. Коэффициент │ s │ ккал/м2 x ч x °C │ 1,163 Вт/м2 x °К │
│теплоусвоения │ │ │ │
│материала │ │ │ │
│ 15. Коэффициент │ Y │ ккал/м2 x ч x °C │ 1,163 Вт/м2 x °К │
│теплоусвоения │ │ │ │
│поверхности │ │ │ │
│ограждающей │ │ │ │
│конструкции │ │ │ │
│ 16. Величина │ I │ ккал/м2 x ч │ 1,163 Вт/м2 │
│суммарной солнечной │ │ │ │
│радиации, падающей │ │ │ │
│на наружную │ │ │ │
│поверхность │ │ │ │
│ограждающей │ │ │ │
│конструкции │ │ │ │
│ 17. Характеристика │ D │ - │ - │
│тепловой инерции │ │ │ │
│ограждающей │ │ │ │
│конструкции │ │ │ │
│ 18. Давление │ E │ мм рт. ст. │ 133,322 Н/м2 │
│насыщенного водяного│ │ │ │
│пара │ │ │ │
│ 19. Парциальное │ e │ мм рт. ст. │ 133,322 Н/м2 │
│давление водяного │ │ │ │
│пара │ │ │ │
│ │ │ │ -9 │
│ 20. Коэффициент │ мю │ г/м x ч x мм рт. ст. │ 2,08 x 10 │
│паропроницаемости │ │ │ кг/(м x с x Н/м2) │
│материала │ │ │ │
│ │ │ │ 8 │
│ 21. Сопротивление │ R │ м2 x ч x мм рт. ст./г │ 4,7996 x 10 │
│паропроницанию │ п │ │ (м2 x с x Н/м2)/кг │
│ограждающей │ │ │ │
│конструкции или │ │ │ │
│отдельных ее слоев │ │ │ │
│ 22. Относительная │ фи │ % │ % │
│влажность воздуха │ │ │ │
│ 23. Весовая │ омега │ % │ % │
│влажность материала │ │ │ │
│ │ │ │ -5 │
│ 24. Коэффициент │ i │кг/м x ч x мм вод. ст. │ 2,83 x 10 │
│воздухопроницаемости│ │ │ кг(м x с x Н/м2) │
│материала │ │ │ │
│ограждающей │ │ │ │
│конструкции │ │ │ │
│ 25. Расчетная │Дельта │ мм вод. ст. │ 9,807 Н/м2 │
│разность давлений │ p│ │ │
│воздуха между │ │ │ │
│наружной и │ │ │ │
│внутренней │ │ │ │
│поверхностями │ │ │ │
│ограждающей │ │ │ │
│конструкции │ │ │ 4 │
│ 26. Сопротивление │ R │м2 x ч x мм вод. ст./кг│ 3,5304 x 10 │
│воздухопроницанию │ ои │ │ (м2 x с x Н/м2)/кг │
│ограждающей │ │ │ │
│конструкции или │ │ │ │
│отдельных ее слоев │ │ │ │
│ │ │ │ -4 │
│ 27. Поток воздуха │ G │ кг/м2 x ч │ 2,8 x 10 │
│через ограждающую │ 0 │ │ кг/м2 x с │
│конструкцию │ │ │ │
│ 28. Расчетная │ t │ °C │ (°C + 273) °К │
│температура │ н │ │ │
│наружного воздуха │ │ │ │
│ 29. Расчетная │ t │ °C │ (°C + 273) °К │
│температура воздуха │ в │ │ │
│внутри │ │ │ │
│помещения │ │ │ │
│ 30. Температура │ t │ °C │ (°C + 273) °К │
│точки росы │ р │ │ │
│ │ │ │ │
│ 31. Температура │ тау │ °C │ (°C + 273) °К │
│на внутренней │ в │ │ │
│поверхности │ │ │ │
│ограждения │ │ │ │
│ 32. Амплитуда │ А │ °C │ °К │
│колебания │ │ │ │
│температуры │ │ │ │
│ 33. Коэффициент │ ро │ - │ - │
│поглощения солнечной│ │ │ │
│радиации │ │ │ │
│ 34. Величина │ ню │ - │ - │
│затухания колебания │ │ │ │
│температуры │ │ │ │
│наружного воздуха │ │ │ │
│в ограждающей │ │ │ │
│конструкции │ │ │ │
│ 35. Расчетная │ v │ м/с │ м/с │
│скорость ветра │ │ │ │
│ 36. Толщина │дельта │ м │ м │
│однослойной │ │ │ │
│ограждающей │ │ │ │
│конструкции │ │ │ │
│или отдельного ее │ │ │ │
│слоя │ │ │ │
│ 37. Площадь │ F │ м2 │ м2 │
│отдельного участка │ │ │ │
│поверхности │ │ │ │
│ограждающей │ │ │ │
│конструкции │ │ │ │
│ 38. Объемный вес │ гамма │ кг/м3 │ кг/м3 │
│материала │ │ │ │
│(плотность) │ │ │ │
│ │
│ Примечание. В графе 4 числовые коэффициенты соответствуют переводу │
│величин из размерности, принятой в главе СНиП в размерности по системе СИ. │
└────────────────────────────────────────────────────────────────────────────┘
ВЕЛИЧИНЫ ТЕПЛОТЕХНИЧЕСКИХ ХАРАКТЕРИСТИК
СТРОИТЕЛЬНЫХ МАТЕРИАЛОВ И КОНСТРУКЦИЙ
(УСЛОВИЯ ЭКСПЛУАТАЦИИ А И Б ПРИНИМАЮТСЯ ПО
ТАБЛ. 2)
┌────────────────────────────┬──────┬───────────────┬───────────────┬────────────┬────────────────────┐
│ Наименование материалов │Объем-│Коэффициент │Расчетная │ Удельная │ Коэффициент │
│ │ный │тепло- │величина │теплоемкость│ паропроницаемости │
│ │вес в │проводности в │коэффициента │ в сухом │ мю в │
│ │сухом │сухом состоянии│теплопровод- │ состоянии │г/м x мм рт. ст. x ч│
│ │состо-│лямбда в │ности лямбда в │ c в │ │
│ │янии │ 0 │ккал/м x ч x °C│ 0 │ │
│ │гамма │ккал/м x ч x °C├───────────────┤ккал/кг x °C│ │
│ │ 0│ │ при условии │ │ │
│ │в │ │ эксплуатации │ │ │
│ │кг/м3 │ │ ограждения │ │ │
│ │ │ ├───────┬───────┤ │ │
│ │ │ │ А │ Б │ │ │
├────────────────────────────┼──────┼───────────────┼───────┼───────┼────────────┼────────────────────┤
│ 1 │ 2 │ 3 │ 4 │ 5 │ 6 │ 7 │
├────────────────────────────┼──────┼───────────────┼───────┼───────┼────────────┼────────────────────┤
│I. Асбестоцементные изделия │ │ │ │ │ │ │
│ (омега = 2%; омега = 3%) │ │ │ │ │ │ │
│ А Б │ │ │ │ │ │ │
│ │ │ │ │ │ │ │
│ 1. Асбестоцементные плиты -│ │ │ │ │ │ │
│ГОСТ 929-59 . . . . . . . .│ 1900 │ 0,35 │ 0,45 │ 0,5 │ 0,2 │ 0,0035 │
│ 2. То же . . . . . . . . .│ 1800 │ 0,3 │ 0,4 │ 0,45 │ 0,2 │ - │
│ │ │ │ │ │ │ │
│ II. Асфальтовые и битумные │ │ │ │ │ │ │
│ материалы │ │ │ │ │ │ │
│ (омега и омега = 0%) │ │ │ │ │ │ │
│ А Б │ │ │ │ │ │ │
│ │ │ │ │ │ │ │
│ 3. Асфальтобетон - │ │ │ │ │ │ │
│ГОСТ 12801-67 . . . . . . .│ 2100 │ 0,9 │ 0,9 │ 0,9 │ 0,4 │ 0,001 │
│ 4. Битумы нефтяные │ │ │ │ │ │ │
│строительные и кровельные - │ │ │ │ │ │ │
│ГОСТ 6617-56, ГОСТ 9548-60 .│ 1300 │ 0,21 │ 0,21 │ 0,21 │ 0,4 │ - │
│ 5. То же . . . . . . . . .│ 1000 │ 0,15 │ 0,15 │ 0,15 │ 0,4 │ 0,001 │
│ 6. Битумоперлит - │ │ │ │ │ │ │
│ГОСТ 16136-70 (омега = 1%; │ │ │ │ │ │ │
│ А │ │ │ │ │ │ │
│омега = 2%) . . . . . . . .│ 400 │ 0,095 │ 0,1 │ 0,105 │ 0,35 │ - │
│ Б │ │ │ │ │ │ │
│ 7. То же . . . . . . . . .│ 300 │ 0,075 │ 0,08 │ 0,085 │ 0,35 │ - │
│ │ │ │ │ │ │ │
│ III. Бетоны │ │ │ │ │ │ │
│ │ │ │ │ │ │ │
│ 8. Железобетон - │ │ │ │ │ │ │
│ГОСТ 13015-70 (омега = 2%, │ │ │ │ │ │ │
│ А │ │ │ │ │ │ │
│омега = 3%) . . . . . . . .│ 2500 │ 1,45 │ 1,65 │ 1,75 │ 0,2 │ - │
│ Б │ │ │ │ │ │ │
│ 9. Бетон на гравии │ │ │ │ │ │ │
│или щебне из природного │ │ │ │ │ │ │
│камня - ГОСТ 13579-68 │ │ │ │ │ │ │
│(омега = 2%, омега = 3%) .│ 2400 │ 1,3 │ 1,5 │ 1,6 │ 0,2 │ 0,004 │
│ А Б │ │ │ │ │ │ │
│ 10. Бетон силикатный │ │ │ │ │ │ │
│на кварцевом песке - │ │ │ │ │ │ │
│ТУ 21-01-91-67 (омега = 2%,│ │ │ │ │ │ │
│ А │ │ │ │ │ │ │
│омега = 3%) . . . . . . . .│ 2200 │ 1 │ 1,2 │ 1,3 │ 0,2 │ - │
│ Б │ │ │ │ │ │ │
│ 11. То же . . . . . . . . .│ 2000 │ 0,9 │ 1,1 │ 1,2 │ 0,2 │ - │
│ 12. " . . . . . . . . . .│ 1800 │ 0,8 │ 1,0 │ 1,1 │ 0,2 │ - │
│ 13. Шлакобетон на топливных│ │ │ │ │ │ │
│(котельных) шлаках и бетон │ │ │ │ │ │ │
│на аглопорите - ГОСТ 6928-54│ │ │ │ │ │ │
│(омега = 5%, омега = 8%) .│ 1800 │ 0,6 │ 0,7 │ 0,8 │ 0,2 │ 0,01 │
│ А Б │ │ │ │ │ │ │
│ 14. То же . . . . . . . . .│ 1600 │ 0,5 │ 0,6 │ 0,65 │ 0,2 │ 0,011 │
│ 15. " . . . . . . . . . .│ 1400 │ 0,45 │ 0,5 │ 0,55 │ 0,2 │ 0,012 │
│ 16. " . . . . . . . . . .│ 1200 │ 0,35 │ 0,4 │ 0,45 │ 0,2 │ 0,014 │
│ 17. " . . . . . . . . . .│ 1000 │ 0,25 │ 0,3 │ 0,35 │ 0,2 │ 0,018 │
│ 18. " . . . . . . . . . .│ 800 │ 0,2 │ 0,25 │ 0,3 │ 0,2 │ - │
│ 19. Шлакобетон, на доменных│ │ │ │ │ │ │
│гранулированных шлаках . . .│ 1800 │ 0,5 │ 0,6 │ 0,7 │ 0,2 │ 0,011 │
│ 20. То же . . . . . . . . .│ 1600 │ 0,4 │ 0,5 │ 0,55 │ 0,2 │ 0,012 │
│ 21. " . . . . . . . . . .│ 1200 │ 0,3 │ 0,4 │ 0,45 │ 0,2 │ 0,014 │
│ 22. Шлакобетон на доменных │ │ │ │ │ │ │
│гранулированных шлаках . . .│ 1000 │ 0,25 │ 0,3 │ 0,35 │ 0,2 │ - │
│ 23. Шлакопемзобетон │ │ │ │ │ │ │
│(термозитобетон) - │ │ │ │ │ │ │
│ГОСТ 11050-64 (омега = 6%, │ │ │ │ │ │ │
│ А │ │ │ │ │ │ │
│омега = 10%) . . . . . . .│ 1800 │ 0,45 │ 0,55 │ 0,65 │ 0,2 │ - │
│ Б │ │ │ │ │ │ │
│ 24. То же . . . . . . . . .│ 1600 │ 0,35 │ 0,45 │ 0,5 │ 0,2 │ - │
│ 25. " . . . . . . . . . .│ 1400 │ 0,3 │ 0,35 │ 0,4 │ 0,2 │ - │
│ 26. " . . . . . . . . . .│ 1200 │ 0,25 │ 0,3 │ 0,35 │ 0,2 │ - │
│ 27. " . . . . . . . . . .│ 1000 │ 0,2 │ 0,25 │ 0,3 │ 0,2 │ - │
│ 28. " . . . . . . . . . .│ 800 │ 0,15 │ 0,2 │ 0,25 │ 0,2 │ - │
│ 29. Шлакопемзопено- │ │ │ │ │ │ │
│или шлакопемзогазобетон │ │ │ │ │ │ │
│(омега = 8%, омега = 12%) │ 1600 │ 0,4 │ 0,55 │ 0,6 │ 0,2 │ - │
│ А Б │ │ │ │ │ │ │
│ 30. То же . . . . . . . . .│ 1400 │ 0,3 │ 0,45 │ 0,5 │ 0,2 │ - │
│ 31. " . . . . . . . . . .│ 1200 │ 0,25 │ 0,35 │ 0,4 │ 0,2 │ - │
│ 32. " . . . . . . . . . .│ 1000 │ 0,2 │ 0,3 │ 0,35 │ 0,2 │ - │
│ 33. " . . . . . . . . . .│ 800 │ 0,15 │ 0,25 │ 0,3 │ 0,2 │ - │
│ 34. " . . . . . . . . . .│ 600 │ 0,13 │ 0,2 │ 0,25 │ 0,2 │ - │
│ 35. Керамзитобетон - │ │ │ │ │ │ │
│ГОСТ 11024-64 (омега = 6%, │ │ │ │ │ │ │
│ А │ │ │ │ │ │ │
│омега = 10%) . . . . . . .│ 1600 │ 0,45 │ 0,55 │ 0,65 │ 0,2 │ - │
│ Б │ │ │ │ │ │ │
│ 36. То же . . . . . . . . .│ 1400 │ 0,4 │ 0,45 │ 0,5 │ 0,2 │ 0,013 │
│ 37. " . . . . . . . . . .│ 1200 │ 0,3 │ 0,35 │ 0,4 │ 0,2 │ 0,014 │
│ 38. " . . . . . . . . . .│ 1000 │ 0,2 │ 0,25 │ 0,3 │ 0,2 │ 0,018 │
│ 39. " . . . . . . . . . .│ 800 │ 0,17 │ 0,2 │ 0,25 │ 0,2 │ 0,025 │
│ 40. " . . . . . . . . . .│ 600 │ 0,14 │ 0,17 │ 0,2 │ 0,2 │ 0,035 │
│ 41. Перлитобетон
<*> - │ │ │ │ │ │ │
│ГОСТ 11050-64 (омега = 10%,│ │ │ │ │ │ │
│ А │ │ │ │ │ │ │
│омега = 15%) . . . . . . .│ 1000 │ 0,19 │ 0,23 │ 0,28 │ 0,2 │ 0,025 │
│ Б │ │ │ │ │ │ │
│ 42. То же . . . . . . . . .│ 800 │ 0,14 │ 0,18 │ 0,22 │ 0,2 │ 0,035 │
│ 43. " . . . . . . . . . .│ 600 │ 0,1 │ 0,12 │ 0,15 │ 0,2 │ 0,4 │
│ 44. " . . . . . . . . . .│ 400 │ 0,07 │ 0,1 │ 0,13 │ 0,2 │ - │
│ 45. Вермикулитобетон - │ │ │ │ │ │ │
│ГОСТ 11050-64 (омега = 8%, │ │ │ │ │ │ │
│ А │ │ │ │ │ │ │
│омега = 13%) . . . . . . .│ 700 │ 0,15 │ 0,17 │ 0,18 │ 0,2 │ - │
│ Б │ │ │ │ │ │ │
│ 46. То же . . . . . . . . .│ 500 │ 0,1 │ 0,11 │ 0,12 │ 0,2 │ - │
│ 47. " . . . . . . . . . .│ 300 │ 0,07 │ 0,08 │ 0,09 │ 0,2 │ - │
│ │ │ │ │ │ │ │
│ Бетоны ячеистые │ │ │ │ │ │ │
│ │ │ │ │ │ │ │
│ 48. Газо- и пенобетон, │ │ │ │ │ │ │
│газо- и пеносиликат - │ │ │ │ │ │ │
│ГОСТ 11118-65, ГОСТ 5742-61,│ │ │ │ │ │ │
│ГОСТ 11690-66, ГОСТ 12852-67│ │ │ │ │ │ │
│(омега = 10%, омега = 15%)│ 1000 │ 0,24 │ 0,3 │ 0,35 │ 0,2 │ 0,015 │
│ А Б │ │ │ │ │ │ │
│ 49. То же . . . . . . . . .│ 800 │ 0,18 │ 0,22 │ 0,25 │ 0,2 │ 0,018 │
│ │ │ │ │ │ │ │
│ 50. То же (омега = 8%, │ │ │ │ │ │ │
│ А │ │ │ │ │ │ │
│омега = 12%) . . . . . . .│ 600 │ 0,12 │ 0,15 │ 0,18 │ 0,2 │ 0,023 │
│ Б │ │ │ │ │ │ │
│ 51. " . . . . . . . . . .│ 400 │ 0,09 │ 0,11 │ 0,12 │ 0,2 │ 0,03 │
│ 52. " . . . . . . . . . .│ 300 │ 0,07 │ 0,09 │ 0,11 │ 0,2 │ 0,035 │
│ 53. Газо-
<*> и │ │ │ │ │ │ │
│пенозолобетон
<*> - │ │ │ │ │ │ │
│СТУ 109-641-62, │ │ │ │ │ │ │
│РТУ ЭССР 1274-67 │ │ │ │ │ │ │
│(омега = 15%, омега = 22%)│ 1200 │ 0,25 │ 0,35 │ 0,4 │ 0,2 │ 0,01 │
│ А Б │ │ │ │ │ │ │
│ 54. То же . . . . . . . . .│ 1000 │ 0,2 │ 0,3 │ 0,35 │ 0,2 │ 0,013 │
│ 55. То же . . . . . . . . .│ 800 │ 0,15 │ 0,2 │ 0,25 │ 0,2 │ 0,016 │
│ │ │ │ │ │ │ │
│Бетоны на пористых природных│ │ │ │ │ │ │
│ заполнителях │ │ │ │ │ │ │
│ (РТУ Арм. ССР 785-66) │ │ │ │ │ │ │
│ │ │ │ │ │ │ │
│ 56. Туфобетон (омега = 7%,│ │ │ │ │ │ │
│ А │ │ │ │ │ │ │
│омега = 10%) . . . . . . .│ 2000 │ 0,7 │ 0,9 │ 1,0 │ 0,23 │ - │
│ Б │ │ │ │ │ │ │
│ 57. То же . . . . . . . . .│ 1800 │ 0,55 │ 0,75 │ 0,85 │ 0,23 │ - │
│ 58. " . . . . . . . . . .│ 1600 │ 0,45 │ 0,6 │ 0,7 │ 0,23 │ - │
│ 59. " . . . . . . . . . .│ 1400 │ 0,35 │ 0,45 │ 0,5 │ 0,23 │ - │
│ 60. " . . . . . . . . . .│ 1200 │ 0,25 │ 0,35 │ 0,4 │ 0,23 │ - │
│ 61. Пемзобетон │ │ │ │ │ │ │
│(омега = 4%, омега = 6%) .│ 1700 │ 0,5 │ 0,6 │ 0,65 │ 0,23 │ - │
│ А Б │ │ │ │ │ │ │
│ 62. То же . . . . . . . . .│ 1500 │ 0,4 │ 0,46 │ 0,5 │ 0,23 │ - │
│ 63. " . . . . . . . . . .│ 1100 │ 0,25 │ 0,3 │ 0,33 │ 0,23 │ - │
│ 64. " . . . . . . . . . .│ 900 │ 0,19 │ 0,22 │ 0,25 │ 0,23 │ - │
│ 65. " . . . . . . . . . .│ 700 │ 0,13 │ 0,16 │ 0,2 │ 0,23 │ - │
│ 66. Бетон на вулканическом │ │ │ │ │ │ │
│шлаке (омега = 8%, │ │ │ │ │ │ │
│ А │ │ │ │ │ │ │
│омега = 10%) . . . . . . .│ 1200 │ 0,28 │ 0,35 │ 0,39 │ 0,23 │ - │
│ Б │ │ │ │ │ │ │
│ 67. То же . . . . . . . . .│ 1000 │ 0,21 │ 0,25 │ 0,3 │ 0,23 │ - │
│ 68. " . . . . . . . . . .│ 800 │ 0,17 │ 0,2 │ 0,25 │ 0,23 │ - │
│ │ │ │ │ │ │ │
│ IV. Вата минеральная │ │ │ │ │ │ │
│ и стеклянная и изделия │ │ │ │ │ │ │
│ из нее │ │ │ │ │ │ │
│ │ │ │ │ │ │ │
│ 69. Вата минеральная - │ │ │ │ │ │ │
│ГОСТ 4640-66 (омега = 2%, │ │ │ │ │ │ │
│ А │ │ │ │ │ │ │
│омега = 5%) . . . . . . . .│ 100 │ 0,038 │ 0,04 │ 0,042 │ 0,18 │ 0,065 │
│ Б │ │ │ │ │ │ │
│ 70. То же . . . . . . . . .│ 150 │ 0,042 │ 0,044 │ 0,047 │ 0,18 │ 0,065 │
│ 71. Плиты мягкие, │ │ │ │ │ │ │
│полужесткие и жесткие │ │ │ │ │ │ │
│минераловатные на │ │ │ │ │ │ │
│синтетическом связующем - │ │ │ │ │ │ │
│ГОСТ 9573-66 (омега = 2%, │ │ │ │ │ │ │
│ А │ │ │ │ │ │ │
│омега = 5%) . . . . . . . .│ 100 │ 0,04 │ 0,042 │ 0,045 │ 0,18 │ - │
│ Б │ │ │ │ │ │ │
│ 72. То же . . . . . . . . .│ 175 │ 0,044 │ 0,047 │ 0,052 │ 0,18 │ - │
│ │ │ │ │ │ │ │
│ 73. Плиты жесткие │ │ │ │ │ │ │
│минераловатные на битумном │ │ │ │ │ │ │
│связующем - ГОСТ 10140-62 │ │ │ │ │ │ │
│(омега = 2%, омега = 5%) .│ 300 │ 0,06 │ 0,062 │ 0,065 │ 0,22 │ 0,055 │
│ А Б │ │ │ │ │ │ │
│ 74. То же . . . . . . . . .│ 400 │ 0,07 │ 0,072 │ 0,075 │ 0,22 │ 0,045 │
│ 75. Плиты мягкие и │ │ │ │ │ │ │
│полужесткие минераловатные │ │ │ │ │ │ │
│на битумном связующем - │ │ │ │ │ │ │
│ГОСТ 12394-66 (омега = 2%, │ │ │ │ │ │ │
│ А │ │ │ │ │ │ │
│омега = 5%) . . . . . . . .│ 100 │ 0,04 │ 0,042 │ 0,045 │ 0,22 │ - │
│ Б │ │ │ │ │ │ │
│ 76. То же . . . . . . . . .│ 200 │ 0,05 │ 0,052 │ 0,058 │ 0,22 │ - │
│ 77. " . . . . . . . . . .│ 300 │ 0,06 │ 0,063 │ 0,07 │ 0,22 │ - │
│ 78. Маты минераловатные │ │ │ │ │ │ │
│прошивные - МРТУ 7-19-68 │ │ │ │ │ │ │
│(омега = 2%, омега = 5%) .│ 100 │ 0,038 │ 0,04 │ 0,042 │ 0,18 │ - │
│ А Б │ │ │ │ │ │ │
│ 79. То же . . . . . . . . .│ 200 │ 0,046 │ 0,048 │ 0,052 │ 0,18 │ - │
│ 80. Маты минераловатные, │ │ │ │ │ │ │
│рулонированные, на │ │ │ │ │ │ │
│синтетическом связующем - │ │ │ │ │ │ │
│ТУ 36-917-67 ММСС СССР │ │ │ │ │ │ │
│(омега = 2%, омега = 5%) .│ 50 │ 0,034 │ 0,038 │ 0,04 │ 0,18 │ - │
│ А Б │ │ │ │ │ │ │
│ 81. То же . . . . . . . . .│ 75 │ 0,037 │ 0,04 │ 0,042 │ 0,18 │ - │
│ 82. Плиты из минеральной │ │ │ │ │ │ │
│ваты на крахмальном │ │ │ │ │ │ │
│связующем - ТУ 1-81-69 │ │ │ │ │ │ │
│Мосгорисполкома │ │ │ │ │ │ │
│(омега = 2%, омега = 5%) .│ 125 │ 0,04 │ 0,042 │ 0,045 │ 0,18 │ - │
│ А Б │ │ │ │ │ │ │
│ 83. То же . . . . . . . . .│ 200 │ 0,05 │ 0,052 │ 0,056 │ 0,18 │ - │
│ 84. Вата стеклянная │ │ │ │ │ │ │
│из непрерывного волокна - │ │ │ │ │ │ │
│ГОСТ 5174-49 (омега = 2%, │ │ │ │ │ │ │
│ А │ │ │ │ │ │ │
│омега = 5%) . . . . . . . .│ 125 │ 0,042 │ 0,044 │ 0,046 │ 0,2 │ - │
│ Б │ │ │ │ │ │ │
│ 85. Плиты полужесткие │ │ │ │ │ │ │
│и маты теплоизоляционные │ │ │ │ │ │ │
│из стеклянного штапельного │ │ │ │ │ │ │
│волокна - ГОСТ 10499-67 │ │ │ │ │ │ │
│(омега = 2%, омега = 5%) .│ 35 - │ 0,04 │ 0,042 │ 0,045 │ 0,2 │ - │
│ А Б │ 50 │ │ │ │ │ │
│ 86. Маты и полосы │ │ │ │ │ │ │
│из стеклянного волокна - │ │ │ │ │ │ │
│ГОСТ 2245-43 (омега = 2%, │ │ │ │ │ │ │
│ А │ │ │ │ │ │ │
│омега = 5%) . . . . . . . .│ 175 │ 0,042 │ 0,044 │ 0,048 │ 0,2 │ - │
│ Б │ │ │ │ │ │ │
│ │ │ │ │ │ │ │
│ V. Стекло │ │ │ │ │ │ │
│ │ │ │ │ │ │ │
│87. Стекло оконное - │ │ │ │ │ │ │
│ГОСТ 111-65 (омега = 0%)│ 2600 │ 0,7 │ 0,7 │ 0,7 │ 0,2 │ - │
│ А, Б │ │ │ │ │ │ │
│ │ │ │ │ │ │ │
│ VI. Гипсовые материалы │ │ │ │ │ │ │
│ и изделия │ │ │ │ │ │ │
│ │ │ │ │ │ │ │
│ 88. Блоки из гипса - │ │ │ │ │ │ │
│ТУ 21-02-457-69, ТУ 55-67 │ │ │ │ │ │ │
│(омега = 2%, омега = 3%) .│ 1200 │ 0,3 │ 0,35 │ 0,4 │ 0,2 │ - │
│ А Б │ │ │ │ │ │ │
│ 89. То же . . . . . . . . .│ 1100 │ 0,25 │ 0,3 │ 0,35 │ 0,2 │ 0,014 │
│ 90. Гипсовые плиты с │ │ │ │ │ │ │
│органическим наполнителем - │ │ │ │ │ │ │
│ГОСТ 1008-41, ГОСТ 1007-41 │ │ │ │ │ │ │
│(омега = 8%, омега = 10%) │ 700 │ 0,12 │ 0,18 │ 0,2 │ 0,25 │ 0,025 │
│ А Б │ │ │ │ │ │ │
│ 91. То же . . . . . . . . .│ 500 │ 0,09 │ 0,15 │ 0,17 │ 0,25 │ - │
│ 92. Листы гипсовые │ │ │ │ │ │ │
│обшивочные (сухая │ │ │ │ │ │ │
│штукатурка) - ГОСТ 6266-67 │ │ │ │ │ │ │
│(омега = 2%, омега = 3%) .│ 800 │ 0,13 │ 0,16 │ 0,18 │ 0,24 │ - │
│ А Б │ │ │ │ │ │ │
│ │ │ │ │ │ │ │
│ VII. Грунтовые материалы │ │ │ │ │ │ │
│ │ │ │ │ │ │ │
│ 93. Засыпка из песка - │ │ │ │ │ │ │
│ГОСТ 8736-67 (омега = 1%, │ │ │ │ │ │ │
│ А │ │ │ │ │ │ │
│омега = 2%) . . . . . . . .│ 1700 │ 0,3 │ 0,4 │ 0,5 │ 0,18 │ - │
│ Б │ │ │ │ │ │ │
│ │ │ │ │ │ │ │
│ VIII. Дерево и изделия │ │ │ │ │ │ │
│ из него │ │ │ │ │ │ │
│ │ │ │ │ │ │ │
ИС МЕГАНОРМ: примечание.
Взамен ГОСТ 8486-66 Постановлением Госстандарт СССР от 30.09.1986
│ 94. Хвойные породы (поперек│ │ │ │ │ │ │
│волокон) - ГОСТ 8486-66, │ │ │ │ │ │ │
│ГОСТ 9463-60 (омега = 10%, │ │ │ │ │ │ │
│ А │ │ │ │ │ │ │
│омега = 20%) . . . . . . .│ 500 │ 0,08 │ 0,12 │ 0,15 │ 0,6 │ 0,0082 │
│ Б │ │ │ │ │ │ │
│ 95. То же (вдоль волокон) .│ 500 │ 0,15 │ 0,25 │ 0,3 │ 0,6 │ 0,043 │
│ 96. Лиственные породы │ │ │ │ │ │ │
│(поперек волокон) │ │ │ │ │ │ │
│ГОСТ 9462-60, ГОСТ 2695-62 .│ 700 │ 0,09 │ 0,15 │ 0,2 │ 0,6 │ 0,0075 │
│ 97. То же (вдоль волокон) .│ 700 │ 0,2 │ 0,3 │ 0,35 │ 0,6 │ 0,004 │
│ 98. Фанера клееная - │ │ │ │ │ │ │
│ГОСТ 3916-69 (омега = 10%, │ │ │ │ │ │ │
│ А │ │ │ │ │ │ │
│омега = 13%) . . . . . . .│ 600 │ 0,1 │ 0,13 │ 0,15 │ 0,6 │ 0,003 │
│ Б │ │ │ │ │ │ │
│ 99. Плиты фибролитовые │ │ │ │ │ │ │
│на портландцементе - │ │ │ │ │ │ │
│ГОСТ 8928-58 (омега = 10%, │ │ │ │ │ │ │
│ А │ │ │ │ │ │ │
│омега = 15%) . . . . . . .│ 500 │ 0,1 │ 0,15 │ 0,2 │ 0,5 │ - │
│ Б │ │ │ │ │ │ │
│ 100. То же . . . . . . . .│ 400 │ 0,08 │ 0,12 │ 0,15 │ 0,5 │ - │
│ 101. " . . . . . . . . .│ 300 │ 0,06 │ 0,1 │ 0,13 │ 0,5 │ 0,04 │
│ 102. Плиты │ │ │ │ │ │ │
│древесно-волокнистые │ │ │ │ │ │ │
│и древесно-стружечные - │ │ │ │ │ │ │
│ГОСТ 4598-60, ГОСТ 8904-66,│ │ │ │ │ │ │
│ГОСТ 10632-70 (омега = 10%,│ │ │ │ │ │ │
│ А │ │ │ │ │ │ │
│омега = 12%) . . . . . . .│ 1000 │ 0,13 │ 0,2 │ 0,25 │ 0,5 │ 0,016 │
│ Б │ │ │ │ │ │ │
│ 103. То же . . . . . . . .│ 600 │ 0,09 │ 0,11 │ 0,14 │ 0,5 │ 0,015 │
│ 104. " . . . . . . . . .│ 400 │ 0,07 │ 0,08 │ 0,12 │ 0,5 │ - │
│ 105. " . . . . . . . . .│ 200 │ 0,05 │ 0,06 │ 0,07 │ 0,5 │ - │
│ 106. Арболит на древесных │ │ │ │ │ │ │
│отходах - │ │ │ │ │ │ │
│РТУ Лит. ССР 1031-69 │ │ │ │ │ │ │
│(омега = 10%, омега = 12%)│ 700 │ 0,12 │ 0,18 │ 0,23 │ 0,5 │ - │
│ А Б │ │ │ │ │ │ │
│ 107. То же . . . . . . . .│ 600 │ 0,1 │ 0,15 │ 0,19 │ 0,5 │ - │
│ 108. " . . . . . . . .│ 500 │ 0,08 │ 0,12 │ 0,15 │ 0,5 │ - │
│ │ │ │ │ │ │ │
│ IX. Засыпки │ │ │ │ │ │ │
│ │ │ │ │ │ │ │
│ 109. Щебень из доменного │ │ │ │ │ │ │
│шлака - ГОСТ 5578-65 │ │ │ │ │ │ │
│(омега = 2%, омега = 4%) .│ 900 │ 0,14 │ 0,18 │ 0,22 │ 0,2 │ 0,027 │
│ А Б │ │ │ │ │ │ │
│ 110. То же . . . . . . . .│ 500 │ 0,08 │ 0,12 │ 0,14 │ 0,2 │ 0,031 │
│ 111. Гравий керамзитовый - │ │ │ │ │ │ │
│ГОСТ 9759-65 (омега = 2%, │ │ │ │ │ │ │
│ А │ │ │ │ │ │ │
│омега = 5%) . . . . . . . .│ 800 │ 0,15 │ 0,18 │ 0,2 │ 0,2 │ - │
│ Б │ │ │ │ │ │ │
│ 112. То же . . . . . . . .│ 600 │ 0,12 │ 0,15 │ 0,17 │ 0,2 │ - │
│ 113. " . . . . . . . . . .│ 400 │ 0,105 │ 0,11 │ 0,12 │ 0,2 │ - │
│ 114. " . . . . . . . . . .│ 200 │ 0,085 │ 0,09 │ 0,1 │ 0,2 │ - │
│ 115. Щебень аглопоритовый -│ │ │ │ │ │ │
│ГОСТ 11991-66 (омега = 3%, │ │ │ │ │ │ │
│ А │ │ │ │ │ │ │
│омега = 6%) . . . . . . . .│ 800 │ 0,15 │ 0,19 │ 0,23 │ 0,2 │ - │
│ Б │ │ │ │ │ │ │
│ 116. То же . . . . . . . .│ 600 │ 0,13 │ 0,16 │ 0,19 │ 0,2 │ - │
│ 117. " . . . . . . . . . .│ 400 │ 0,105 │ 0,13 │ 0,15 │ 0,2 │ - │
│ 118. Пемза шлаковая - │ │ │ │ │ │ │
│ГОСТ 9760-61 (омега = 3%, │ │ │ │ │ │ │
│ А │ │ │ │ │ │ │
│омега = 6%) . . . . . . . .│ 800 │ 0,14 │ 0,18 │ 0,22 │ 0,2 │ - │
│ Б │ │ │ │ │ │ │
│ 119. То же . . . . . . . .│ 600 │ 0,12 │ 0,15 │ 0,18 │ 0,2 │ - │
│ 120. " . . . . . . . . . .│ 400 │ 0,1 │ 0,12 │ 0,14 │ 0,2 │ - │
│ 121. Перлит вспученный - │ │ │ │ │ │ │
│ГОСТ 10832-64 (омега = 2%, │ │ │ │ │ │ │
│ А │ │ │ │ │ │ │
│омега = 5%) . . . . . . . .│ 400 │ 0,065 │ 0,075 │ 0,08 │ 0,2 │ - │
│ Б │ │ │ │ │ │ │
│ 122. То же . . . . . . . .│ 200 │ 0,05 │ 0,065 │ 0,07 │ 0,2 │ - │
│ 123. " . . . . . . . . .│ 100 │ 0,04 │ 0,045 │ 0,05 │ 0,2 │ - │
│ 124. Вермикулит │ │ │ │ │ │ │
│(омега = 3%, омега = 6%) .│ 300 │ 0,065 │ 0,09 │ 0,1 │ 0,2 │ - │
│ А Б │ │ │ │ │ │ │
│ 125. То же . . . . . . . .│ 200 │ 0,055 │ 0,08 │ 0,09 │ 0,2 │ - │
│ 126. " . . . . . . . . .│ 100 │ 0,045 │ 0,065 │ 0,07 │ 0,2 │ - │
│ │ │ │ │ │ │ │
│ X. Камни природные │ │ │ │ │ │ │
│ │ │ │ │ │ │ │
│ 127. Гранит, гнейс │ │ │ │ │ │ │
│и базальт - │ │ │ │ │ │ │
│РТУ Латв. ССР 098-67 . . . .│ 2800 │ 3,0 │ 3,0 │ 3,0 │ 0,22 │ - │
│ 128. Мрамор - │ │ │ │ │ │ │
│РТУ Латв. ССР 098-67 . . . .│ 2800 │ 2,5 │ 2,5 │ 2,5 │ 0,22 │ - │
│ 129. Камни из известняков -│ │ │ │ │ │ │
│ГОСТ 4001-66 (омега = 2%, │ │ │ │ │ │ │
│ А │ │ │ │ │ │ │
│омега = 3%) . . . . . . . .│ 2100 │ 0,9 │ 1,1 │ 1,2 │ 0,22 │ - │
│ Б │ │ │ │ │ │ │
│ 130. То же . . . . . . . .│ 1700 │ 0,55 │ 0,7 │ 0,8 │ 0,22 │ 0,01 │
│ 131. " . . . . . . . .│ 1500 │ 0,45 │ 0,55 │ 0,6 │ 0,22 │ - │
│ 132. Камни из туфа │ │ │ │ │ │ │
│месторождений Арм. ССР - │ │ │ │ │ │ │
│ГОСТ 4001-66 (омега = 3%, │ │ │ │ │ │ │
│ А │ │ │ │ │ │ │
│омега = 5%) . . . . . . . .│ 2000 │ 0,65 │ 0,8 │ 0,9 │ 0,22 │ 0,01 │
│ Б │ │ │ │ │ │ │
│ 133. То же . . . . . . . .│ 1700 │ 0,4 │ 0,5 │ 0,6 │ 0,22 │ - │
│ 134. " . . . . . . . . .│ 1500 │ 0,3 │ 0,4 │ 0,5 │ 0,22 │ - │
│ 135. " . . . . . . . . .│ 1300 │ 0,25 │ 0,35 │ 0,4 │ 0,22 │ 0,013 │
│ 136. " . . . . . . . . .│ 1100 │ 0,2 │ 0,25 │ 0,3 │ 0,22 │ - │
│ Кладка на тяжелом растворе │ │ │ │ │ │ │
│из камня правильной формы │ │ │ │ │ │ │
│при объемном весе камня - │ │ │ │ │ │ │
│ГОСТ 4001-66 (омега = 2%, │ │ │ │ │ │ │
│ А │ │ │ │ │ │ │
│омега = 3%): │ │ │ │ │ │ │
│ Б │ │ │ │ │ │ │
│ 137. гамма = 2800 кг/м3 . .│ 2600 │ 2,2 │ 2,55 │ 2,75 │ 0,22 │ - │
│ 138. гамма = 2000 кг/м3 . .│ 1900 │ 0,65 │ 0,9 │ 1,0 │ 0,22 │ - │
│ 139. гамма = 1200 кг/м3 . .│ 1200 │ 0,3 │ 0,4 │ 0,45 │ 0,22 │ - │
│ Кладка на тяжелом растворе │ │ │ │ │ │ │
│из камня неправильной формы │ │ │ │ │ │ │
│при объемном весе камня - │ │ │ │ │ │ │
│ГОСТ 4001-66 (омега = 2%, │ │ │ │ │ │ │
│ А │ │ │ │ │ │ │
│омега = 3%): │ │ │ │ │ │ │
│ Б │ │ │ │ │ │ │
│ 140. гамма = 2800 кг/м3 . .│ 2400 │ 1,8 │ 2,05 │ 2,2 │ 0,22 │ - │
│ 141. гамма = 2000 кг/м3 . .│ 1850 │ 0,6 │ 0,8 │ 0,9 │ 0,22 │ - │
│ 142. гамма = 1200 кг/м3 . .│ 1300 │ 0,35 │ 0,45 │ 0,5 │ 0,22 │ - │
│ │ │ │ │ │ │ │
│ XI. Кладка из кирпича │ │ │ │ │ │ │
│ на любом растворе │ │ │ │ │ │ │
│ │ │ │ │ │ │ │
│ 143. Кирпич глиняный │ │ │ │ │ │ │
│обыкновенный, пустотелый, │ │ │ │ │ │ │
│легковесный - ГОСТ 530-54, │ │ │ │ │ │ │
│6316-55, 6248-59, 648-41, │ │ │ │ │ │ │
│7484-69, 6328-55 │ │ │ │ │ │ │
│(омега = 1%, омега = 2%) .│ 1800 │ 0,48 │ 0,6 │ 0,7 │ 0,21 │ - │
│ А Б │ │ │ │ │ │ │
│ 144. То же . . . . . . . .│ 1600 │ 0,4 │ 0,5 │ 0,55 │ 0,21 │ - │
│ 145. " . . . . . . . . .│ 1400 │ 0,35 │ 0,45 │ 0,5 │ 0,21 │ - │
│ 146. " . . . . . . . . .│ 1200 │ 0,3 │ 0,4 │ 0,45 │ 0,21 │ - │
│ 147. " . . . . . . . . .│ 1000 │ 0,25 │ 0,35 │ 0,4 │ 0,21 │ - │
│ 148. Кирпич │ │ │ │ │ │ │
│силикатный
<*> -
ГОСТ 379-53│ │ │ │ │ │ │
│(омега = 2%, омега = 4%) .│ 1800 │ 0,6 │ 0,65 │ 0,75 │ 0,21 │ - │
│ А Б │ │ │ │ │ │ │
│ 149. Кирпич шлаковый - │ │ │ │ │ │ │
│ГОСТ 1148-41 (омега = 1,5%,│ │ │ │ │ │ │
│ А │ │ │ │ │ │ │
│омега = 3%) . . . . . . . .│ 1500 │ 0,45 │ 0,55 │ 0,6 │ 0,21 │ 0,014 │
│ Б │ │ │ │ │ │ │
│ │ │ │ │ │ │ │
│ XII. Органические │ │ │ │ │ │ │
│теплоизоляционные материалы │ │ │ │ │ │ │
│ │ │ │ │ │ │ │
│ 150. Плиты камышитовые - │ │ │ │ │ │ │
│ГОСТ 7483-58 (омега = 10%, │ │ │ │ │ │ │
│ А │ │ │ │ │ │ │
│омега = 15%) . . . . . . .│ 350 │ 0,06 │ 0,08 │ 0,12 │ 0,4 │ 0,06 │
│ Б │ │ │ │ │ │ │
│ 151. То же . . . . . . . .│ 250 │ 0,05 │ 0,06 │ 0,08 │ 0,4 │ - │
│ 152. Плиты торфяные │ │ │ │ │ │ │
│теплоизоляционные - │ │ │ │ │ │ │
│ГОСТ 4861-65 (омега = 15%, │ │ │ │ │ │ │
│ А │ │ │ │ │ │ │
│омега = 20%) . . . . . . .│ 250 │ 0,05 │ 0,055 │ 0,065 │ 0,4 │ 0,025 │
│ Б │ │ │ │ │ │ │
│ 153. То же . . . . . . . .│ 170 │ 0,04 │ 0,045 │ 0,05 │ 0,4 │ - │
│ │ │ │ │ │ │ │
│ XIII. Пористые │ │ │ │ │ │ │
│ полимерные материалы │ │ │ │ │ │ │
│ │ │ │ │ │ │ │
ИС МЕГАНОРМ: примечание.
Взамен ГОСТ 15588-70 Постановлением Госстроя СССР от 17.06.1986 N 80
│ 154. Пенопласт │ │ │ │ │ │ │
│полистирольный бисерный - │ │ │ │ │ │ │
│ГОСТ 15588-70 (омега = 2%, │ │ │ │ │ │ │
│ А │ │ │ │ │ │ │
│омега = 10%) . . . . . . .│ 25 - │ 0,035 │ 0,036 │ 0,037 │ 0,32 │ - │
│ Б │ 35 │ │ │ │ │ │
│ 155. Пенопласт плиточный │ │ │ │ │ │ │
│марки ПС-4 - СТУ 9-92-61 │ │ │ │ │ │ │
│(омега = 2%, омега = 10%) │ 74 │ 0,035 │ 0,036 │ 0,037 │ 0,32 │ - │
│ А Б │ │ │ │ │ │ │
│ 156. Пенопласт плиточный │ │ │ │ │ │ │
│марки ПС-1 - СТУ 9-91-61 │ │ │ │ │ │ │
│(омега = 2%, омега = 10%) │ 100 │ 0,035 │ 0,036 │ 0,037 │ 0,32 │ - │
│ А Б │ │ │ │ │ │ │
│ 157. То же (омега = 1%, │ │ │ │ │ │ │
│ А │ │ │ │ │ │ │
│омега = 5%) . . . . . . . .│ 150 │ 0,04 │ 0,041 │ 0,042 │ 0,32 │ - │
│ Б │ │ │ │ │ │ │
│ 158. " (омега = 1%, │ │ │ │ │ │ │
│ А │ │ │ │ │ │ │
│омега = 5%) . . . . . . . .│ 200 │ 0,05 │ 0,051 │ 0,052 │ 0,32 │ - │
│ Б │ │ │ │ │ │ │
│ 159. Мипора - │ 15 │ 0,035 │ 0,04 │ 0,045 │ 0,32 │ - │
│МРТУ 6-05-1112-68 │ │ │ │ │ │ │
│(омега = 15%, омега = 30%)│ │ │ │ │ │ │
│ А Б │ │ │ │ │ │ │
│ 160. Пенопласт плиточный │ │ │ │ │ │ │
│ПХВ-1 - МРТУ 6-05-1179-69 │ │ │ │ │ │ │
│(омега = 2%, омега = 10%) │ 100 │ 0,04 │ 0,041 │ 0,043 │ 0,3 │ - │
│ А Б │ │ │ │ │ │ │
│ 161. То же . . . . . . . . │ 125 │ 0,05 │ 0,051 │ 0,053 │ 0,3 │ - │
│ 162. Пенопласт плиточный │ │ │ │ │ │ │
│ПВ-1 - ВТУ 11-103-64 │ │ │ │ │ │ │
│(омега = 2%, омега = 10%) │ 75 │ 0,035 │ 0,036 │ 0,038 │ 0,3 │ - │
│ А Б │ │ │ │ │ │ │
│ 163. То же . . . . . . . .│ 125 │ 0,04 │ 0,041 │ 0,043 │ 0,3 │ - │
│ 164. Пенопласт заливочный │ │ │ │ │ │ │
│марки ФРП-1 - ВТУ 38-64 │ │ │ │ │ │ │
│ВНИИСС (омега = 5%, │ │ │ │ │ │ │
│ А │ │ │ │ │ │ │
│омега = 25%) . . . . . . .│ 50 │ 0,04 │ 0,042 │ 0,045 │ 0,4 │ - │
│ Б │ │ │ │ │ │ │
│ 165. Поропласт │ │ │ │ │ │ │
│полиуретановый │ │ │ │ │ │ │
│эластичный самозатухающий │ │ │ │ │ │ │
│ППУЭС и поропласт │ │ │ │ │ │ │
│полиуретановый эластичный │ │ │ │ │ │ │
│ППУЭ - МРТУ 6-05-1150-68 │ │ │ │ │ │ │
│(омега = 1%, омега = 3%) .│ 50 │ 0,04 │ 0,041 │ 0,042 │ 0,35 │ - │
│ А Б │ │ │ │ │ │ │
│ 166. Пенополиуретан │ │ │ │ │ │ │
│жесткий самозатухающий │ │ │ │ │ │ │
│ППУ-ЗН-ТУ-67-66 ВНИИСС │ │ │ │ │ │ │
│(омега = 1%, омега = 3%) .│ 75 │ 0,035 │ 0,036 │ 0,037 │ 0,35 │ - │
│ А Б │ │ │ │ │ │ │
│ │ │ │ │ │ │ │
│ XIV. Растворы строительные │ │ │ │ │ │ │
│и штукатурные (ГОСТ 5702-66)│ │ │ │ │ │ │
│ │ │ │ │ │ │ │
│ 167. Цементно-песчаный │ │ │ │ │ │ │
│раствор или штукатурка │ │ │ │ │ │ │
│из него (омега = 2%, │ │ │ │ │ │ │
│ А │ │ │ │ │ │ │
│омега = 4%) . . . . . . . .│ 1800 │ 0,5 │ 0,65 │ 0,8 │ 0,2 │ - │
│ Б │ │ │ │ │ │ │
│ 168. Сложный раствор │ │ │ │ │ │ │
│(песок, известь, цемент) │ │ │ │ │ │ │
│или штукатурка из него │ │ │ │ │ │ │
│(омега = 2%, омега = 4%) .│ 1700 │ 0,45 │ 0,6 │ 0,75 │ 0,2 │ - │
│ А Б │ │ │ │ │ │ │
│ 169. Известково-песчаный │ │ │ │ │ │ │
│раствор или штукатурка │ │ │ │ │ │ │
│из него (омега = 2%, │ │ │ │ │ │ │
│ А │ │ │ │ │ │ │
│омега = 4%) . . . . . . . .│ 1600 │ 0,4 │ 0,6 │ 0,7 │ 0,2 │ - │
│ Б │ │ │ │ │ │ │
│ 170. Штукатурка известково-│ │ │ │ │ │ │
│песчаным раствором по драни │ │ │ │ │ │ │
│(омега = 2%, омега = 4%) .│ 1400 │ 0,35 │ 0,45 │ 0,55 │ 0,2 │ - │
│ А Б │ │ │ │ │ │ │
│ 171. Цементно-шлаковый │ │ │ │ │ │ │
│раствор (омега = 2%, │ │ │ │ │ │ │
│ А │ │ │ │ │ │ │
│омега = 4%) . . . . . . . .│ 1400 │ 0,35 │ 0,45 │ 0,55 │ 0,2 │ - │
│ Б │ │ │ │ │ │ │
│ 172. То же . . . . . . . .│ 1200 │ 0,3 │ 0,4 │ 0,5 │ 0,2 │ - │
│ │ │ │ │ │ │ │
│ XV. Рулонные материалы │ │ │ │ │ │ │
│ │ │ │ │ │ │ │
│ 173. Линолеум │ │ │ │ │ │ │
│поливинилхлоридный │ │ │ │ │ │ │
│многослойный - ГОСТ 14632-69│ 1800 │ 0,33 │ 0,33 │ 0,33 │ 0,35 │ 0,0002 │
│ 174. То же . . . . . . . .│ 1600 │ 0,28 │ 0,28 │ 0,28 │ 0,35 │ 0,0002 │
│ 175. Линолеум │ │ │ │ │ │ │
│поливинилхлоридный │ │ │ │ │ │ │
│на тканевой основе - │ │ │ │ │ │ │
│ГОСТ 7251-66 . . . . . . . .│ 1700 │ 0,27 │ 0,27 │ 0,27 │ 0,35 │ 0,0002 │
│ 176. То же . . . . . . . .│ 1500 │ 0,22 │ 0,22 │ 0,22 │ 0,35 │ - │
│ 177. Картон облицовочный - │ │ │ │ │ │ │
│ГОСТ 8740-58 (омега = 5%, │ │ │ │ │ │ │
│ А │ │ │ │ │ │ │
│омега = 10%) . . . . . . .│ 1000 │ 0,15 │ 0,18 │ 0,2 │ 0,32 │ - │
│ Б │ │ │ │ │ │ │
│ 178. Картон строительный │ │ │ │ │ │ │
│многослойный "энсонит" - │ │ │ │ │ │ │
│ГОСТ 4408-48 . . . . . . . .│ 650 │ 0,11 │ 0,13 │ 0,15 │ 0,32 │ - │
│ 179. Рубероид - │ │ │ │ │ │ │
│ГОСТ 10923-64, пергамин - │ │ │ │ │ │ │
│ГОСТ 2697-64, толь - │ │ │ │ │ │ │
│ГОСТ 10999-64 . . . . . . .│ 600 │ 0,15 │ 0,15 │ 0,15 │ 0,35 │ - │
│ -------------------------------- │
│ <*> Расчетная величина коэффициента теплопроводности лямбда │
│ │
│ Примечания. 1. Если величина объемного веса материала отличается │
│от приведенной в
табл. 1, то расчетную величину коэффициента │
│теплопроводности следует определять линейной интерполяцией табличных │
│величин или принимать по экспериментальным данным. │
│ 2. Величины коэффициента теплопроводности материалов, принятые │
│по
табл. 1, надлежит увеличивать на 20% для материалов, подверженных │
│уплотнению, деформации или усадке (например, минеральная вата и изделия │
│на ее основе, войлок и т.п.), независимо от их объемного веса. │
│ 3. Коэффициенты теплопроводности строительных материалов, │
│не приведенные в
табл. 1, а также другие их теплофизические │
│характеристики, необходимые при проектировании, следует принимать │
│на основании экспериментальных данных. │
│ 4. Расчетные величины коэффициентов теплопроводности материалов │
│в ограждающих конструкциях зданий и сооружений следует принимать │
│по
табл. 1. Выбор требуемого столбца в
табл. 1 по условиям эксплуатации А │
│или Б производится по
табл. 2. При этом по карте устанавливается зона - │
│"сухая", "нормальная" или "влажная" (
карта помещена после стр. 16). │
│ 5. Теплоемкость материалов в сухом состоянии следует принимать │
│по
табл. 1. Для материалов из смеси органических и неорганических веществ │
│теплоемкость вычисляется как средневзвешенное, согласно весовому составу. │
│Для влажных материалов теплоемкость следует рассчитывать по
формуле (4). │
│ 6. Если заводы-изготовители выпускают строительные материалы с лучшими │
│(подтверждаемыми Знаком качества) контролируемыми теплотехническими │
│показателями, чем указанными в настоящей таблице, то их следует принимать │
│при привязке типовых проектов и при индивидуальном проектировании зданий │
│и сооружений. │
└─────────────────────────────────────────────────────────────────────────────────────────────────────┘
Таблица 2
Данные для выбора расчетных величин коэффициентов
теплопроводности, приведенных в
табл. 1, в зависимости
от условий эксплуатации ограждающих конструкций (А или Б)
| | ИС МЕГАНОРМ: примечание. Условия, отмеченные в таблице 2 ниже жирной линии в официальном тексте документа, в электронной версии документа отмечены знаком "#". | |
┌─────────────┬─────────────┬─────────────────────────────────────────────┐
│ Влажностный │Относительная│ Зоны влажности по схематической карте │
│ режим │ влажность ├─────────────┬───────────────┬───────────────┤
│ помещений │ воздуха │ сухая │ нормальная │ влажная │
│ │помещений в %│ │ │ │
├─────────────┼─────────────┼─────────────┼───────────────┼───────────────┤
│ 1 │ 2 │ 3 │ 4 │ 5 │
├─────────────┼─────────────┼─────────────┼───────────────┼───────────────┤
│Сухой . . . .│ Менее 50 │ Условия А │ Условия А │ Условия Б │
│Нормальный .│ 50 - 60 │ То же, А │ То же, Б │То же, Б <*> │
│Влажный . . .│ 61 - 75 │ " Б │ " Б <*>│#Условия Б <*>#│
│Мокрый . . .│ Более 75 │ " Б <*>│#Условия Б <*>#│#То же, Б <*># │
│ -------------------------------- │
│ <*> Приведенные в графе 5
табл. 1 расчетные величины коэффициента│
│теплопроводности следует повышать на 10% для наружных ограждающих│
│конструкций, выполняемых из медленно высыхающих материалов (например,│
│стены из золобетона, газозолобетона, бетона с перлитом т.п.). Для│
│животноводческих зданий это повышение следует принимать для условий,│
│отмеченных в
табл. 2 ниже жирной линии. │
│ │
│ Примечание. Для перекрытий над неотапливаемыми подвалами, а также для│
│стен подвалов и подземных помещений расчетные величины коэффициента│
│теплопроводности материала во всех случаях следует принимать для условий│
│Б. │
└─────────────────────────────────────────────────────────────────────────┘
КОЭФФИЦИЕНТ ПОГЛОЩЕНИЯ ТЕПЛА СОЛНЕЧНОЙ РАДИАЦИИ
НАРУЖНОЙ ПОВЕРХНОСТЬЮ ОГРАЖДАЮЩИХ КОНСТРУКЦИЙ
┌───────────────────────────────────────────────────────────────────┬─────┐
│ Материал │ ро │
├───────────────────────────────────────────────────────────────────┼─────┤
│ 1. Алюминий окисленный . . . . . . . . . . . . . . . . . . . . . .│ 0,5 │
│ 2. Асбестоцементные листы . . . . . . . . . . . . . . . . . . . .│ 0,65│
│ 3. Сталь листовая, окрашенная белой краской . . . . . . . . . . .│ 0,45│
│ 4. Сталь листовая, окрашенная темно-красной краской . . . . . . .│ 0,8 │
│ 5. Асфальтобетон . . . . . . . . . . . . . . . . . . . . . . . . .│ 0,9 │
│ 6. Рубероид с алюминиевой покраской . . . . . . . . . . . . . . .│ 0,5 │
│ 7. Рубероид с серой песчаной посыпкой . . . . . . . . . . . . . .│ 0,9 │
│ 8. Рубероид с красной песчаной посыпкой . . . . . . . . . . . . .│ 0,95│
│ 9. Рубероид с зеленой песчаной посыпкой . . . . . . . . . . . . .│ 0,9 │
│ 10. Рубероид, бронированный светлым гравием . . . . . . . . . . .│ 0,65│
│ 11. Кирпич красный . . . . . . . . . . . . . . . . . . . . . . . .│ 0,7 │
│ 12. " силикатный . . . . . . . . . . . . . . . . . . . . . .│ 0,35│
│ 13. Побелка известковая . . . . . . . . . . . . . . . . . . . . .│ 0,3 │
│ 14. " силикатная . . . . . . . . . . . . . . . . . . . . . .│ 0,7 │
│ 15. Штукатурка известковая темно-серая . . . . . . . . . . . . . .│ 0,75│
│ 16. То же, цвета терракот . . . . . . . . . . . . . . . . . . . .│ 0,7 │
│ 17. Штукатурка цементная светло-голубая . . . . . . . . . . . . .│ 0,3 │
│ 18. Штукатурка темно-зеленая . . . . . . . . . . . . . . . . . . .│ 0,6 │
│ 19. Штукатурка кремовая . . . . . . . . . . . . . . . . . . . . .│ 0,4 │
│ 20. Газозолобетон серый . . . . . . . . . . . . . . . . . . . . .│ 0,7 │
│ 21. Газобетон . . . . . . . . . . . . . . . . . . . . . . . . . .│ 0,6 │
│ 22. Газосиликат . . . . . . . . . . . . . . . . . . . . . . . . .│ 0,7 │
│ 23. Бетон серый . . . . . . . . . . . . . . . . . . . . . . . . .│ 0,6 │
│ 24. Плитка облицовочная, керамическая . . . . . . . . . . . . . .│ 0,8 │
│ 25. Плитка облицовочная стеклянная: │ │
│ синяя . . . . . . . . . . . . . . . . . . . . . . . . . . . .│ 0,6 │
│ белая . . . . . . . . . . . . . . . . . . . . . . . . . . . .│ 0,45│
│ палевая . . . . . . . . . . . . . . . . . . . . . . . . . . .│ 0,4 │
│ 26. Камень облицовочный белый . . . . . . . . . . . . . . . . . .│ 0,45│
└───────────────────────────────────────────────────────────────────┴─────┘
ЗНАЧЕНИЯ СОПРОТИВЛЕНИЙ ВОЗДУХОПРОНИЦАНИЮ

МАТЕРИАЛОВ
И КОНСТРУКТИВНЫХ ЭЛЕМЕНТОВ (ИЛИ СЛОЕВ)
ОГРАЖДАЮЩИХ КОНСТРУКЦИЙ
┌───────────────────────────────────┬────────┬────────────────────────────┐
│Материалы и конструктивные элементы│Толщина │ R │
│(или слои) ограждающих конструкций │ слоев │ ои │
│ │ в мм │ в м2 x ч x мм вод. ст./кг │
├───────────────────────────────────┼────────┼────────────────────────────┤
│ 1 │ 2 │ 3 │
├───────────────────────────────────┼────────┼────────────────────────────┤
│ 1. Бетон (сплошной без швов) . . .│ 100 │ 2000 │
│ 2. Обои бумажные . . . . . . . . .│ - │ 2 │
│ 3. Известняк-ракушечник . . . . .│ 500 │ 0,6 │
│ 4. Облицовка стен штучными │ │ │
│керамическими плитами или │ │ │
│мелкоразмерными блоками . . . . . .│ Менее │ 0,2 │
│ │ 250 │ │
│ 5. Картон строительный (без швов) │ 1,3 │ 6,5 │
│ 6. Стена кирпичная сплошная │ │ │
│на тяжелом растворе толщиной более │ │ │
│1 кирпича . . . . . . . . . . . . .│ Более │ 1,8 │
│ │ 250 │ │
│ 7. То же, в 1 кирпич и менее . . .│ 250 │ 0,2 │
│ │и менее │ │
│ 8. Стена кирпичная сплошная │ │ │
│на легком растворе толщиной более │ │ │
│1 кирпича . . . . . . . . . . . . .│ Более │ 0,2 │
│ │ 250 │ │
│ 9. То же, в 1 кирпич и менее . . .│ 250 │ 0,1 │
│ │и менее │ │
│ 10. Стена из пустотелых │ │ │
│керамических камней толщиной │ │ │
│в 1/2 камня на тяжелом растворе . .│ - │ 0,9 │
│ 11. Стена из шлакобетонных камней │ │ │
│на тяжелом растворе . . . . . . . .│ 400 │ 1,3 │
│ 12. То же, на легком растворе . .│ 400 │ 0,1 │
│ 13. Обшивка из обрезных досок, │ │ │
│соединенных впритык или вчетверть .│20 - 25 │ 0,01 │
│ 14. То же, соединенных вшпунт . .│20 - 25 │ 0,15 │
│ 15. Обшивка из досок двойная │ │ │
│с прокладкой между обшивками │ │ │
│строительной бумагой . . . . . . .│ 50 │ 10 │
│ 16. Обшивка из фибролита, │ │ │
│древесно-волокнистых бесцементных │ │ │
│мягких плит и торфоплит с заделкой │ │ │
│швов . . . . . . . . . . . . . . .│15 - 70 │ 0,25 │
│ 17. То же, без заделки швов . . .│15 - 70 │ 0,05 │
│ 18. Обивка из жестких │ │ │
│древесно-волокнистых листов │ │ │
│(с заделкой швов) . . . . . . . . .│ 10 │ 3,4 │
│ 19. Обшивка из гипсовых │ │ │
│облицовочных листов (сухая │ │ │
│штукатурка с заделкой швов) . . . .│ 10 │ 2 │
│ 20. Газосиликат сплошной │ │ │
│(без швов) . . . . . . . . . . . .│ 140 │ 2,1 │
│ 21. Пенобетон автоклавный без швов│ │ │
│или при тщательном заполнении их │ │ │
│раствором . . . . . . . . . . . . .│ 100 │ 200 │
│ 22. То же, неавтоклавный . . . . .│ 100 │ 20 │
│ 23. Пеностекло сплошное (без швов)│ 12 │ Воздухонепроницаемо │
│ 24. Плиты минераловатные жесткие .│ 50 │ 0,2 │
│ 25. Рубероид . . . . . . . . . . .│ 1,5 │ Воздухонепроницаем │
│ 26. Стиропор . . . . . . . . . . .│50 - 100│ 8 │
│ 27. Толь . . . . . . . . . . . . .│ 1,5 │ 50 │
│ 28. Фанера клееная (без швов) . .│ 3 - 4 │ 300 │
│ 29. Шлакобетон сплошной без швов .│ 100 │ 1,4 │
│ 30. Штукатурка по каменной │ │ │
│или кирпичной кладке цементная . .│ 15 │ 38 │
│ 31. То же, известковая . . . . . .│ 15 │ 14,5 │
│ 32. Штукатурка известково-гипсовая│ │ │
│по драни (по дереву) . . . . . . .│ 20 │ 1,7 │
│ │
│ Примечания. 1. При иной, чем указано в
Приложении 4, толщине слоя│
│величину R следует определять: │
│ ои │
│ а) при больших толщинах - пропорционально величинам, приведенным в│
│ б) при меньших толщинах - на основании экспериментальных данных. │
│ 2. Для каменных стен, имеющих расшивку швов по наружной поверхности,│
│сопротивление воздухопроницанию следует увеличивать на│
│2 м2 x ч x мм вод. ст./кг против величин, приведенных в
Приложении 4. │
│ 3. Для воздушных прослоек и для слоев из сыпучих (шлак, керамзит,│
│пемза и пр.) и рыхлых, волокнистых (минеральная вата, солома, стружка и│
│пр.) материалов в расчетах следует принимать R равным нулю независимо│
│ ои │
│от толщины слоя. │
│ 4. Для материалов и конструктивных элементов ограждающих конструкций,│
│ ои │
│по экспериментальным данным. │
└─────────────────────────────────────────────────────────────────────────┘
ВЕЛИЧИНЫ СОПРОТИВЛЕНИЯ ПАРОПРОНИЦАНИЮ

ЛИСТОВЫХ МАТЕРИАЛОВ
┌──────────────────────────────────────┬───────┬──────────────────────────┐
│ Листовой материал │Толщина│R в м2 x ч x мм рт. ст./г│
│ │ слоя │ П │
│ │ в мм │ │
├──────────────────────────────────────┼───────┼──────────────────────────┤
│ 1. Картон обыкновенный . . . . . . .│ 1 │ 0,12 │
│ 2. Листы обшивочные гипсовые . . . .│ 8 │ 0,9 │
│ 3. Листы древесно-волокнистые жесткие│ 8 │ 0,8 │
│ 4. Листы древесно-волокнистые мягкие │ 10 │ 0,4 │
│ 5. Окраска горячим битумом за 1 раз │ │ │
│(при тщательном выполнении) . . . . .│ - │ 2 │
│ 6. Окраска масляная за 2 раза │ │ │
│с предварительной шпаклевкой │ │ │
│и грунтовкой . . . . . . . . . . . . .│ - │ 4,8 │
│ 7. Окраска эмалевой краской . . . . .│ - │ 3,6 │
│ 8. Покрытие поливинилхлоридным лаком │ │ │
│за 2 раза . . . . . . . . . . . . . .│ - │ 29 │
│ 9. Покрытие хлоркаучуковым лаком │ │ │
│за 2 раза . . . . . . . . . . . . . .│ - │ 26 │
│ 10. Покрытие изольной мастикой за 1 │ - │ 4,5 │
│раз . . . . . . . . . . . . . . . . .│ │ │
│ 11. Покрытие битумно-кукерсольной │ │ │
│мастикой за 1 раз . . . . . . . . . .│ - │ 4,8 │
│ 12. То же, за 2 раза . . . . . . . .│ - │ 8,1 │
│ 13. Пергамин . . . . . . . . . . . .│ 0,4 │ 2,5 │
│ 14. Рубероид . . . . . . . . . . . .│ 1,5 │ 8,3 │
│ 15. Рулонный ковер двухслойный │ │ │
│(1 слой рубероида и 1 слой пергамина │ │ │
│на битумной мастике) . . . . . . . . .│ 6 │ 12,8 │
│ 16. Рулонный ковер трехслойный │ │ │
│(1 слой рубероида и 2 слоя пергамина │ │ │
│на битумной мастике) . . . . . . . . .│ 10 │ 18,6 │
│ 17. Толь кровельный . . . . . . . . .│ 1,9 │ 3 │
│ 18. Фанера клееная трехслойная . . .│ 5 │ 1,7 │
└──────────────────────────────────────┴───────┴──────────────────────────┘