Главная // Актуальные документы // НормыСПРАВКА
Источник публикации
Госстрой России, ГУП ЦПП, 1998
Примечание к документу
Документ фактически утратил силу в связи с введением в действие с 01.01.2013 "
СП 61.13330.2012. Свод правил. Тепловая изоляция оборудования и трубопроводов. Актуализированная редакция СНиП 41-03-2003", утв.
Приказом Минрегиона России от 27.12.2011 N 608.
СНиП 41-03-2003 подлежит обязательному исполнению в порядке, определенном
статьей 46 Федерального закона от 27.12.2002 N 184-ФЗ (
Письмо Минрегиона России от 25.09.2009 N 31531-ИП/08).
По вопросу, касающемуся порядка применения данного документа, см.
Письмо Минпромэнерго России N АР-6893/08, Минрегиона России N 12325-ЮТ/08 от 29.11.2006.
Постановлением Госстроя РФ от 26.06.2003 N 114, которому Минюстом РФ отказано в регистрации (Письмо Минюста РФ от 18.03.2004 N 07/2956-ЮД), данный документ признан утратившим силу и с 1 ноября 2003 года рекомендован к применению
СНиП 41-03-2003. Но в соответствии с
пунктом 10 Указа Президента РФ от 23.05.1996 N 763 нормативные правовые акты федеральных органов государственной власти, не прошедшие государственную регистрацию, не влекут правовых последствий как не вступившие в силу.
Документ
введен в действие с 01.01.1990.
Название документа
"СНиП 2.04.14-88*. Строительные нормы и правила. Тепловая изоляция оборудования и трубопроводов"
(утв. Постановлением Госстроя СССР 09.08.1988 N 155)
(ред. от 31.12.1997)
"СНиП 2.04.14-88*. Строительные нормы и правила. Тепловая изоляция оборудования и трубопроводов"
(утв. Постановлением Госстроя СССР 09.08.1988 N 155)
(ред. от 31.12.1997)
Постановлением Госстроя СССР
от 9 августа 1988 г. N 155
СТРОИТЕЛЬНЫЕ НОРМЫ И ПРАВИЛА
ТЕПЛОВАЯ ИЗОЛЯЦИЯ ОБОРУДОВАНИЯ И ТРУБОПРОВОДОВ
СНиП 2.04.14-88*
| | Список изменяющих документов | |
Срок введения в действие
1 января 1990 года
Разработаны ВНИПИ Теплопроект Минмонтажспецстроя СССР (В.В. Попова - руководитель темы, Л.В. Ставрицкая; кандидаты техн. наук В.Г. Петров-Денисов, И.Л. Майзель, В.И. Калинин; А.И. Лисенкова, О.В. Дибровенко, В.Н. Гордеева), ЦНИИПроект Госстроя СССР (И.М. Губакина), ВНИИПО МВД СССР (кандидаты техн. наук М.Н. Колганова, Р.З. Фахрисламов).
Внесены Министерством монтажных и специальных строительных работ СССР.
Подготовлены к утверждению Управлением стандартизации и технических норм в строительстве Госстроя СССР (Г.М. Хорин, В.А. Глухарев).
С введением в действие СНиП 2.04.14-88 утрачивают силу разд. 8 и прил. 12 - 19 СНиП 2.04.07-86 "Тепловые сети",
разд. 13 и
прил. 6 -
8 СНиП II-35-76 "Котельные установки",
СН 542-81 "Инструкция по проектированию тепловой изоляции оборудования и трубопроводов промышленных предприятий",
разд. 7 СН 527-80 "Инструкция по проектированию технологических стальных трубопроводов на

до 10 МПа",
разд. 6 СН 550-82 "Инструкция по проектированию технологических трубопроводов из пластмассовых труб",
п. 1.5 СНиП 2.04.05-86 "Отопление, вентиляция и кондиционирование".
Настоящие строительные нормы и правила следует соблюдать при проектировании тепловой изоляции наружной поверхности оборудования, трубопроводов и воздуховодов в зданиях, сооружениях и наружных установках с температурой содержащихся в них веществ от минус 180 до 600 °С.
Настоящие нормы не распространяются на проектирование тепловой изоляции оборудования и трубопроводов, содержащих и транспортирующих взрывчатые вещества, изотермических хранилищ сжиженных газов, зданий и помещений для производства и хранения взрывчатых веществ, атомных электростанций и установок.
1.1. Для тепловой изоляции оборудования, трубопроводов и воздуховодов, как правило, следует применять полносборные или комплектные конструкции заводского изготовления, а также трубы с тепловой изоляцией полной заводской готовности.
1.2. Для трубопроводов тепловых сетей, включая арматуру, фланцевые соединения и компенсаторы, тепловую изоляцию необходимо предусматривать независимо от температуры теплоносителя и способов прокладки.
Для обратных трубопроводов тепловых сетей при

мм, прокладываемых в помещениях, тепловой поток от которых используется для отопления помещений, а также конденсатопроводов при сбросе конденсата в канализацию, тепловую изоляцию допускается не предусматривать. При технико-экономическом обосновании допускается прокладывать конденсатные сети без тепловой изоляции.
1.3. Арматуру, фланцевые соединения, люки, компенсаторы следует изолировать, если изолируется оборудование или трубопровод, на котором они установлены.
1.4. При проектировании необходимо также соблюдать требования к тепловой изоляции, содержащиеся в других нормативных документах, утвержденных или согласованных с Госстроем России.
2. ТРЕБОВАНИЯ К ТЕПЛОИЗОЛЯЦИОННЫМ КОНСТРУКЦИЯМ,
ИЗДЕЛИЯМ И МАТЕРИАЛАМ
2.1. Теплоизоляционные конструкции следует предусматривать из следующих элементов:
теплоизоляционного слоя;
армирующих и крепежных деталей;
пароизоляционного слоя;
покровного слоя.
Защитное покрытие изолируемой поверхности от коррозии не входит в состав теплоизоляционной конструкции.
2.2. В теплоизоляционной конструкции пароизоляционный слой следует предусматривать при температуре изолируемой поверхности ниже 12 °С. Необходимость устройства пароизоляционного слоя при температуре от 12 до 20 °С определяется расчетом.
2.3. Для теплоизоляционного слоя оборудования и трубопроводов с положительными температурами содержащихся в них веществ для всех способов прокладок, кроме бесканальной, следует применять материалы и изделия со средней плотностью не более 400 кг/м3 и теплопроводностью не более 0,07 Вт/(м х °С) (при температуре 25 °С и влажности, указанной в соответствующих государственных стандартах и технических условиях на материалы и изделия). Допускается применение шнуров асбестовых для изоляции трубопроводов условным проходом до 50 мм включительно.
Для изоляции поверхностей с температурой выше 400 °С в качестве первого слоя допускается применение изделий с теплопроводностью более 0,07 Вт/(м х °С).
2.4. Для теплоизоляционного слоя оборудования и трубопроводов с отрицательными температурами следует применять теплоизоляционные материалы и изделия со средней плотностью не более 200 кг/м3 и расчетной теплопроводностью в конструкции не более 0,07 Вт/(м х °С).
Примечание. При выборе теплоизоляционной конструкции поверхности с температурой от 19 до 0 °С следует относить к поверхностям с отрицательными температурами.
2.5. Число слоев пароизоляционного материала в теплоизоляционных конструкциях для оборудования и трубопроводов с отрицательными температурами содержащихся в них веществ приведено в табл. 1.
Таблица 1
Пароизоляционный материал | Толщина, мм | Число слоев пароизоляционного материала при различных температурах изолируемой поверхности и сроках эксплуатации теплоизоляционной конструкции |
от минус 60 до 19 °C | от минус 61 до минус 100 °C | ниже минус 100 °C |
8 лет | 12 лет | 8 лет | 12 лет | 8 лет | 12 лет |
| 0,15 - 0,2 | 2 | 2 | 2 | 2 | 3 | - |
0,21 - 0,3 | 1 | 2 | 2 | 2 | 2 | 3 |
0,31 - 0,5 | 1 | 1 | 1 | 1 | 2 | 2 |
| 0,06 - 0,1 | 1 | 2 | 2 | 2 | 2 | 2 |
| 2 | 1 | 2 | 2 | 2 | 2 | 2 |
Рубероид, ГОСТ 10923-82 | 1 | 3 | - | - | - | - | - |
1,5 | 2 | 3 | 3 | - | - | - |
Примечания: 1. Допускается замена пленки полиэтиленовой на пленку поливинилбутиральную клеящую по ГОСТ 9438-85; ленту поливинилхлоридную липкую по ТУ 6-19-103-78, ТУ 102-320-82; пленку полиэтиленовую термоусадочную по ГОСТ 25951-83 с соблюдением толщин, указанных в таблице. 2. Допускается применение других материалов, обеспечивающих уровень сопротивления паропроницанию не ниже, чем у приведенных в таблице. Для материалов с закрытой пористостью, имеющих коэффициент паропроницаемости менее 0,1 мг/(м·ч·Па), во всех случаях принимается один пароизоляционный слой. При применении заливочного пенополиуретана пароизоляционный слой не устанавливается. Швы пароизоляционного слоя должны быть герметизированы; при температуре изолируемой поверхности ниже минус 60 °C следует также производить герметизацию швов покровного слоя герметиками или пленочными клеящимися материалами. В конструкциях не следует применять металлические крепежные детали, проходящие через всю толщину теплоизоляционного слоя. Крепежные детали или их части следует предусматривать из материалов с теплопроводностью не более 0,23 Вт/(м·°C). Деревянные крепежные детали должны быть обработаны антисептическим составом. Стальные части крепежных деталей должны быть окрашены битумным лаком. |
2.6. Для теплоизоляционного слоя трубопроводов с положительной температурой при бесканальной прокладке следует применять материалы со средней плотностью не более 600 кг/м3 и теплопроводностью не более 0,13 Вт/(м х °С) при температуре материала 20 °С и влажности, указанной в соответствующих государственных стандартах или технических условиях.
Конструкция тепловой изоляции трубопроводов при бесканальной прокладке должна обладать прочностью на сжатие не менее 0,4 МПа.
Тепловую изоляцию трубопроводов, предназначенных для бесканальной прокладки, следует выполнять в заводских условиях.
2.7. Расчетные характеристики теплоизоляционных материалов и изделий следует принимать по справочным
Приложениям 1 и
2.
2.8. Теплоизоляционные конструкции следует предусматривать из материалов, обеспечивающих:
тепловой поток через изолированные поверхности оборудования и трубопроводов согласно заданному технологическому режиму или нормированной плотности теплового потока;
исключение выделения в процессе эксплуатации вредных, пожароопасных и взрывоопасных, неприятно пахнущих веществ в количествах, превышающих предельно допустимые концентрации;
исключение выделения в процессе эксплуатации болезнетворных бактерий, вирусов и грибков.
2.9. Съемные теплоизоляционные конструкции должны применяться для изоляции люков, фланцевых соединений, арматуры, сальниковых и сильфонных компенсаторов трубопроводов, а также в местах измерений и проверки состояния изолируемых поверхностей.
2.10. Применение засыпной изоляции трубопроводов при подземной прокладке в каналах и бесканально не допускается.
2.11. Для тепловой изоляции оборудования и трубопроводов, содержащих вещества, являющиеся активными окислителями, не следует применять материалы самовозгорающиеся и изменяющие физико-химические, в том числе взрыво- и пожароопасные свойства при контакте с ними.
2.12. Для оборудования и трубопроводов, подвергающихся ударным воздействиям и вибрации, не следует применять теплоизоляционные изделия на основе минеральной ваты и засыпную теплоизоляционную конструкцию.
2.13. Для оборудования и трубопроводов, устанавливаемых в цехах для производства и в зданиях для хранения пищевых продуктов и химико-фармацевтических товаров, следует применять теплоизоляционные материалы, не допускающие загрязнения окружающего воздуха. Под покровный слой из неметаллических материалов в помещениях хранения и переработки пищевых продуктов следует предусматривать установку сетки стальной из проволоки диаметром не менее 1 мм с ячейками размером не более 12 х 12 мм.
Применение теплоизоляционных изделий из минеральной ваты, базальтового или супертонкого стекловолокна допускается только в обкладках со всех сторон из стеклянной или кремнеземной ткани и под металлическим покровным слоем.
2.14. Перечень материалов, применяемых для покровного слоя, приведен в рекомендуемом
Приложении 3.
Не допускается применение металлических покровных слоев при подземной прокладке трубопроводов. Покровный слой из стали рулонной холоднокатаной с полимерным покрытием (металлопласт) не допускается применять в местах, подверженных прямому воздействию солнечных лучей.
При применении напыляемого пенополиуретана для трубопроводов, прокладываемых в каналах, допускается покровный слой не предусматривать.
2.15. Теплоизоляционные конструкции из горючих материалов не допускается предусматривать для оборудования и трубопроводов, расположенных:
а) в зданиях, кроме зданий IVа и V степеней огнестойкости, одно- и двухквартирных жилых домов и охлаждаемых помещений холодильников;
б) в наружных технологических установках, кроме отдельно стоящего оборудования;
в) на эстакадах и галереях при наличии кабелей и трубопроводов, транспортирующих горючие вещества.
При этом допускается применение из горючих материалов:
пароизоляционного слоя толщиной не более 2 мм;
слоя окраски или пленки толщиной не более 0,4 мм;
покровного слоя трубопроводов, расположенных в технических подвальных этажах и подпольях с выходом только наружу в зданиях I и II степеней огнестойкости при устройстве вставок длиной 3 м из негорючих материалов не менее чем через 30 м длины трубопровода;
теплоизоляционного слоя из заливочного пенополиуретана при покровном слое из оцинкованной стали для аппаратов и трубопроводов, содержащих горючие вещества с температурой минус 40 °С и ниже в наружных технологических установках.
Покровный слой из трудногорючих материалов, применяемый для наружных технологических установок высотой 6 м и более, должен быть на основе стекловолокна.
2.16. Для трубопроводов надземной прокладки при применении теплоизоляционных конструкций из горючих материалов следует предусматривать вставки длиной 3 м из негорючих материалов не менее чем через 100 м длины трубопровода, участки теплоизоляционных конструкций из негорючих материалов на расстоянии не менее 5 м от технологических установок, содержащих горючие газы и жидкости.
При пересечении трубопроводом противопожарной преграды следует предусматривать теплоизоляционные конструкции из негорючих материалов в пределах размера противопожарной преграды.
3. РАСЧЕТ ТЕПЛОВОЙ ИЗОЛЯЦИИ
3.1*. Расчет толщины теплоизоляционного слоя производится:
а) по нормированной плотности теплового потока через изолированную поверхность, которую следует принимать:
для оборудования и трубопроводов с положительными температурами, расположенных на открытом воздухе, - по обязательному Приложению 4*
(табл. 1, 2); расположенных в помещении, - по обязательному Приложению 4*
(табл. 3, 4);
для оборудования и трубопроводов с отрицательными температурами, расположенных на открытом воздухе, - по обязательному Приложению 5*
(табл. 1); расположенных в помещении, - по обязательному Приложению 5*
(табл. 2);
для паропроводов с конденсатопроводами при их совместной прокладке в непроходных каналах - по обязательному
Приложению 6*;
для трубопроводов двухтрубных водяных тепловых сетей при прокладке в непроходных каналах и подземной бесканальной прокладке - по обязательному Приложению 7*
(табл. 1, 2).
При проектировании тепловой изоляции для технологических трубопроводов, прокладываемых в каналах и бесканально, нормы плотности теплового потока следует принимать как для трубопроводов, прокладываемых на открытом воздухе;
б) по заданной величине теплового потока;
в) по заданной величине охлаждения (нагревания) вещества, сохраняемого в емкостях в течение определенного времени;
г) по заданному снижению (повышению) температуры вещества, транспортируемого трубопроводами;
д) по заданному количеству конденсата в паропроводах;
е) по заданному времени приостановки движения жидкого вещества в трубопроводах в целях предотвращения его замерзания или увеличения вязкости;
ж) по температуре на поверхности изоляции, принимаемой не более, °С:
для изолируемых поверхностей, расположенных в рабочей или обслуживаемой зоне помещений и содержащих вещества:
температурой выше 100 °С .................................. 45
температурой 100 °С и ниже ................................ 35
температурой вспышки паров не выше 45 °С .................. 35
для изолируемых поверхностей, расположенных на открытом воздухе в рабочей или обслуживаемой зоне, при:
металлическом покровном слое .............................. 55
для других видов покровного слоя .......................... 60
Температура на поверхности тепловой изоляции трубопроводов, расположенных за пределами рабочей или обслуживаемой зоны, не должна превышать температурных пределов применения материалов покровного слоя, но не выше 75 °С;
з) с целью предотвращения конденсации влаги из окружающего воздуха на покровном слое тепловой изоляции оборудования и трубопроводов, содержащих вещества с температурой ниже температуры окружающего воздуха. Данный расчет следует выполнять только для изолируемых поверхностей, расположенных в помещении. Расчетная относительная влажность воздуха принимается в соответствии с заданием на проектирование, но не менее 60%;
и) с целью предотвращения конденсации влаги на внутренних поверхностях объектов, транспортирующих газообразные вещества, содержащие водяные пары или водяные пары и газы, которые при растворении в сконденсировавшихся водяных парах могут привести к образованию агрессивных продуктов.
3.2. Толщина теплоизоляционного слоя для оборудования и трубопроводов с положительными температурами определяется исходя из условий, приведенных в
подп. 3.1а -
3.1ж, 3.1и, для трубопроводов с отрицательными температурами - из условий
подп. 3.1а -
3.1г.
Для плоской поверхности и цилиндрических объектов диаметром 2 м и более толщина теплоизоляционного слоя

, м, определяется по формуле

, (1)
где

- теплопроводность теплоизоляционного слоя, определяемая по
пп. 2.7 и
3.11, Вт/(м х °С);

- термическое сопротивление теплоизоляционной конструкции, м2 х °С/Вт;

- сопротивление теплопередачи теплоизоляционной конструкции, м2 х °С/Вт;

- коэффициент теплоотдачи от наружной поверхности изоляции, принимаемый по справочному
Приложению 9, Вт/(м2 х °С);

- термическое сопротивление неметаллической стенки объекта, определяемое по
п. 3.3, м2 х °С/Вт.
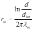
Для цилиндрических объектов диаметром менее 2 м толщина теплоизоляционного слоя определяется по формуле

, (2)

, (3)
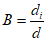
где

- отношение наружного диаметра изоляционного слоя к наружному диаметру изолируемого объекта;

- сопротивление теплопередачи на 1 м длины теплоизоляционной конструкции цилиндрических объектов диаметром менее 2 м, м х °С/Вт;

- термическое сопротивление стенки трубопровода, определяемое по
формуле (15);

- наружный диаметр изолируемого объекта, м.
Величины

и

в зависимости от исходных условий определяются по формулам:
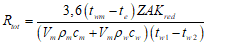
а) по нормированной поверхностной плотности теплового потока
(подп. 3.1а)

, (4)
где

- температура вещества, °С;

- температура окружающей среды, принимаемая согласно
п. 3.6, °С;
q - нормированная поверхностная плотность теплового потока, принимаемая по обязательным
Приложениям 4* -
7*, Вт/м2;
по нормированной линейной плотности теплового потока

, (5)
где

- нормированная линейная плотность теплового потока с 1 м длины цилиндрической теплоизоляционной конструкции, принимаемая по обязательным
Приложениям 4* -
7*, Вт/м;

, (6)
где А - теплоотдающая поверхность изолируемого объекта, м2;

- коэффициент, учитывающий дополнительный поток теплоты через опоры, принимаемый согласно
табл. 4;
Q - тепловой поток через теплоизоляционную конструкцию, Вт;

, (7)
где l - длина теплоотдающего объекта (трубопровода), м;
в) по заданной величине охлаждения (нагревания) вещества, сохраняемого в емкостях
(подп. 3.1в)

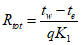
, (8)
где 3,6 - коэффициент приведения единицы теплоемкости кДж/(кг х °С) к единице Вт х ч/(кг х °С);

- средняя температура вещества, °С;
Z - заданное время хранения вещества, ч;

- объем стенки емкости, м3;

- плотность материала стенки, кг/м3;

- удельная теплоемкость материала стенки, кДж/(кг х °С);

- объем вещества в емкости, м3;

- плотность вещества, кг/м3;

- удельная теплоемкость вещества, кДж/(кг х °С);

- начальная температура вещества, °С;

- конечная температура вещества, °С;
г) по заданному снижению (повышению) температуры вещества, транспортируемого трубопроводами
(подп. 3.1г):

, (9)

, (10)
где

- расход вещества, кг/ч.
Формулы (9), (10) применяются для газопроводов сухого газа, если отношение

< 5, где Р - давление газа, МПа. Для паропроводов перегретого пара в знаменатель
формулы (10) следует поставить произведение расхода пара на разность удельных энтальпий пара в начале и конце трубопровода;
д) по заданному количеству конденсата в паропроводе насыщенного пара
(подп. 3.1д)

, (11)
где m - коэффициент, определяющий допустимое количество конденсата в паре;

- удельное количество теплоты конденсации пара, кДж/кг;
е) по заданному времени приостановки движения жидкого вещества в трубопроводе в целях предотвращения его замерзания или увеличения вязкости
(подп. 3.1е)

, (12)
где Z - заданное время приостановки движения жидкого вещества, ч;

- температура замерзания (твердения) вещества, °С;

и

- приведенные объемы вещества и материала трубопровода к метру длины, м3/м;

- удельное количество теплоты замерзания (твердения) жидкого вещества, кДж/кг;
ж) для предотвращения конденсации влаги на внутренних поверхностях объектов, транспортирующих газообразные вещества, содержащие водяные пары
(подп. 3.1и):
для объектов (газоходов) прямоугольного сечения

, (13)
где

- температура внутренней поверхности изолируемого объекта (газохода), °С;

- коэффициент теплоотдачи от транспортируемого вещества к внутренней поверхности изолируемого объекта, Вт/(м2 х °С);
для объектов (газоходов) диаметром менее 2 м

, (14)
где

- внутренний диаметр изолируемого объекта, м.
Примечание. При расчете толщины изоляции трубопроводов, прокладываемых в непроходных каналах и бесканально, следует дополнительно учитывать термическое сопротивление грунта, воздуха внутри канала и взаимное влияние трубопроводов.
3.3. При применении неметаллических трубопроводов следует учитывать термическое сопротивление стенки трубопровода, определяемое по формуле

, (15)
где

- теплопроводность материала стенки, Вт/ (м х °С).
Дополнительное термическое сопротивление плоских и криволинейных неметаллических поверхностей оборудования определяется по формуле

, (16)
где

- толщина стенки оборудования.
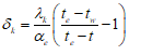
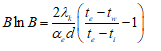
3.4. Толщина теплоизоляционного слоя, обеспечивающая заданную температуру на поверхности изоляции
(подп. 3.1ж), определяется:
для плоской и цилиндрической поверхностей диаметром 2 м и более

, (17)
где

- температура поверхности изоляции, °С;
для цилиндрических объектов диаметром менее 2 м по
формуле (2), причем В следует определять по формуле

. (18)
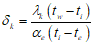
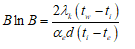
3.5. Толщина теплоизоляционного слоя, обеспечивающая предотвращение конденсации влаги из воздуха на поверхности изолированного объекта
(подп. 3.1з) определяется по формулам:
для плоской и цилиндрической поверхностей диаметром 2 м и более

; (19)
для цилиндрических объектов диаметром менее 2 м - по
формуле (2), где В следует определять по формуле

. (20)
Расчетные значения перепада

-

, °С, следует принимать по табл. 2.
Таблица 2
Температура окружающего воздуха, °C | Расчетный перепад te - ti, °C, при относительной влажности окружающего воздуха, % |
50 | 60 | 70 | 80 | 90 |
10 | 10,0 | 7,4 | 5,2 | 3,3 | 1,6 |
15 | 10,3 | 7,7 | 5,4 | 3,4 | 1,6 |
20 | 10,7 | 8,0 | 5,6 | 3,6 | 1,7 |
25 | 11,1 | 8,4 | 5,9 | 3,7 | 1,8 |
30 | 11,6 | 8,6 | 6,1 | 3,8 | 1,8 |
3.6. За расчетную температуру окружающей среды следует принимать:
а) для изолируемых поверхностей, расположенных на открытом воздухе:
для оборудования и трубопроводов при расчетах по нормированной плотности теплового потока - среднюю за год;
для трубопроводов тепловых сетей, работающих только в отопительный период, - среднюю за период со среднесуточной температурой наружного воздуха 8 °С и ниже;
при расчетах с целью обеспечения нормированной температуры на поверхности изоляции - среднюю максимальную наиболее жаркого месяца;
при расчетах по условиям, приведенным в
подп. 3.1в -
3.1е, 3.1и, - среднюю наиболее холодной пятидневки - для поверхностей с положительными температурами; среднюю максимальную наиболее жаркого месяца - для поверхностей с отрицательными температурами веществ;
б) для изолируемых поверхностей, расположенных в помещении, - согласно техническому заданию на проектирование, а при отсутствии данных о температуре окружающего воздуха 20 °С;
в) для трубопроводов, расположенных в тоннелях, 40 °С;
г) для подземной прокладки в каналах или при бесканальной прокладке трубопроводов:
при определении толщины теплоизоляционного слоя по нормам плотности теплового потока - среднюю за год температуру грунта на глубине заложения оси трубопровода;
при определении толщины теплоизоляционного слоя по заданной конечной температуре вещества - минимальную среднемесячную температуру грунта на глубине заложения оси трубопровода.
Примечание. При величине заглубления верхней части перекрытия канала (при прокладке в каналах) или верха теплоизоляционной конструкции трубопровода (при бесканальной прокладке) 0,7 м и менее за расчетную температуру окружающей среды должна приниматься та же температура наружного воздуха, что и при надземной прокладке.
3.7. За расчетную температуру теплоносителя при определении толщины теплоизоляционного слоя теплоизоляционной конструкции по нормам плотности теплового потока следует принимать среднюю за год, а в остальных случаях - в соответствии с техническим заданием.
При этом для трубопроводов тепловых сетей за расчетную температуру теплоносителя принимают:
для водяных сетей - среднюю за год температуру воды, а для сетей, работающих только в отопительный период, - среднюю за отопительный период;
для паровых сетей - среднюю по длине паропровода максимальную температуру пара;
для конденсатных сетей и сетей горячего водоснабжения - максимальную температуру конденсата или горячей воды.
При заданной конечной температуре пара принимается наибольшая из полученных толщин тепловой изоляции, определенных для различных режимов работы паровых сетей.
3.8. При определении температуры грунта в температурном поле подземного трубопровода тепловых сетей температуру теплоносителя следует принимать:
для водяных тепловых сетей - по графику температур при среднемесячной температуре наружного воздуха расчетного месяца;
для паровых сетей - максимальную температуру пара в рассматриваемом месте паропровода (с учетом падения температуры пара по длине трубопровода);
для конденсатных сетей и сетей горячего водоснабжения - максимальную температуру конденсата или воды.
Примечание. Температуру грунта в расчетах следует принимать: для отопительного периода - минимальную среднемесячную, для неотопительного периода - максимальную среднемесячную.
3.9. За расчетную температуру окружающей среды при определении количества теплоты, выделившейся с поверхности теплоизоляционной конструкции за год, принимают:
для изолируемых поверхностей, расположенных на открытом воздухе, - в соответствии с
подп. 3.6а;
для изолируемых поверхностей, расположенных в помещении или тоннеле, - в соответствии с
подп. 3.6б, в;
для трубопроводов при прокладке в каналах или бесканальной - в соответствии с
подп. 3.6г.
3.10. Для изолируемых поверхностей с положительными температурами толщина теплоизоляционного слоя, определенная по условиям
п. 3.1, должна быть проверена по
подп. 3.1а и
3.1ж, а для поверхностей с отрицательными температурами - по
подп. 3.1а и
3.1з. В результате принимается большее значение толщины слоя.
3.11. При бесканальной прокладке теплопроводность основного слоя теплоизоляционной конструкции

определяется по формуле

, (21)
где

- теплопроводность сухого материала основного слоя, Вт/(м х °С), принимаемая по справочному
Приложению 2;
К - коэффициент увлажнения, учитывающий увеличение теплопроводности от увлажнения, принимаемый в зависимости от вида теплоизоляционного материала и типа грунта по табл. 3.
Таблица 3
Материал теплоизоляционного слоя | Коэффициент увлажнения K |
Тип грунта по ГОСТ 25100-82 |
маловлажный | влажный | насыщенный водой |
Армопенобетон | 1,15 | 1,25 | 1,4 |
Битумоперлит | 1,1 | 1,15 | 1,3 |
Битумовермикулит | 1,1 | 1,15 | 1,3 |
Битумокерамзит | 1,1 | 1,15 | 1,25 |
Пенополиуретан | 1,0 | 1,05 | 1,1 |
Полимербетон | 1,05 | 1,1 | 1,15 |
Фенольный поропласт ФЛ | 1,05 | 1,1 | 1,15 |
3.12. Тепловой поток через изолированные опоры труб, фланцевые соединения и арматуру следует учитывать коэффициентом к длине трубопровода

, принимаемым по табл. 4.
Способ прокладки трубопроводов | Коэффициент Kred |
На открытом воздухе, в непроходных каналах, тоннелях и помещениях: | |
для стальных трубопроводов на подвижных опорах, условным проходом, мм: | |
до 150 | 1,2 |
150 и более | 1,15 |
для стальных трубопроводов на подвесных опорах | 1,05 |
для неметаллических трубопроводов на подвижных и подвесных опорах | 1,7 |
для неметаллических трубопроводов, изолируемых совместно с основанием | 1,2 |
при групповой прокладке неметаллических трубопроводов на сплошном настиле | 2,0 |
Бесканальный | 1,15 |
Тепловой поток через опоры оборудования следует учитывать коэффициентом 1,1.
3.13. Значения коэффициента теплоотдачи от наружной поверхности покровного слоя и коэффициента теплоотдачи от воздуха в канале к стенке канала определяются расчетом. Допускается принимать эти коэффициенты по справочному
Приложению 9.
4. ТЕПЛОИЗОЛЯЦИОННЫЕ КОНСТРУКЦИИ
4.1. Расчетную толщину индустриальных теплоизоляционных конструкций из волокнистых материалов и изделий следует округлять до значений, кратных 20, и принимать согласно рекомендуемому
Приложению 11; для жестких, ячеистых материалов и пенопластов следует принимать ближайшую к расчетной толщине изделий по соответствующим государственным стандартам или техническим условиям.
4.2. Минимальную толщину теплоизоляционного слоя из неуплотняющихся материалов следует принимать:
при изоляции тканями, полотном холстопрошивным, шнурами - 30 мм;
при изоляции жесткоформованными изделиями - равной минимальной толщине, предусматриваемой государственными стандартами или техническими условиями;
при изоляции изделиями из волокнистых уплотняющихся материалов - 40 мм.
4.3. Предельная толщина теплоизоляционной конструкции при подземной прокладке в каналах и тоннелях приведена в рекомендуемом
Приложении 12.
4.4. Толщину и объем теплоизоляционных изделий из уплотняющихся материалов до установки на изолируемую поверхность следует определять по рекомендуемому
Приложению 13.
4.5. Для поверхностей с температурой выше 250 °С и ниже минус 60 °С не допускается применение однослойных конструкций. При многослойной конструкции последующие слои должны перекрывать швы предыдущего. При изоляции жесткоформованными изделиями следует предусматривать вставки из волокнистых материалов в местах устройства температурных швов.
4.6. Толщину металлических листов, лент, применяемых для покровного слоя, в зависимости от наружного диаметра или конфигурации теплоизоляционной конструкции следует принимать по табл. 5.
Таблица 5
Материал | Толщина листа, мм, при диаметре изоляции, мм |
350 и менее | св. 350 до 600 | св. 600 до 1600 | св. 1600 и плоские поверхности |
Сталь тонколистовая | 0,35 - 0,5 | 0,5 - 0,8 | 0,8 | 1,0 |
Листы из алюминия и алюминиевых сплавов | 0,3 | 0,5 - 0,8 | 0,8 | 1,0 |
Ленты из алюминия и алюминиевых сплавов | 0,25 - 0,3 | 0,3 - 0,8 | 0,8 | 1,0 |
Примечания. 1. Листы и ленты из алюминия и алюминиевых сплавов толщиной 0,25 - 0,3 мм рекомендуется применять гофрированными. 2. Для изоляции поверхностей диаметром изоляции более 1600 мм и плоских, расположенных в помещении с неагрессивными и слабоагрессивными средами, допускается применять металлические листы и ленты толщиной 0,8 мм, а для трубопроводов диаметром изоляции более 600 до 1600 мм - 0,5 мм. |
4.7. Для предохранения покровного слоя от коррозии следует предусматривать:
для кровельной стали - окраску;
для листов и лент из алюминия и алюминиевых сплавов при применении теплоизоляционного слоя в стальной некрашеной сетке или устройстве стального каркаса - установку под покровный слой прокладки из рулонного материала.
4.8. Конструкцию тепловой изоляции следует предусматривать исключающей деформацию и сползание теплоизоляционного слоя в процессе эксплуатации.
На вертикальных участках трубопроводов и оборудования через каждые 3 - 4 м по высоте следует предусматривать опорные конструкции.
4.9. Размещение крепежных деталей на изолируемых поверхностях следует принимать в соответствии с
ГОСТ 17314-81.
4.10. Детали, предусматриваемые для крепления теплоизоляционной конструкции на поверхности с отрицательными температурами, должны иметь защитное покрытие от коррозии или изготавливаться из коррозионно-стойких материалов.
Крепежные детали, соприкасающиеся с изолируемой поверхностью, следует предусматривать:
для поверхностей с температурой от минус 40 до 400 °С - из углеродистой стали;
для поверхностей с температурой выше 400 и ниже минус 40 °С - из того же материала, что и изолируемая поверхность.
Крепежные детали основного и покровного слоев теплоизоляционных конструкций оборудования и трубопроводов, расположенных на открытом воздухе в районах с расчетной температурой окружающего воздуха ниже минус 40 °С, следует применять из легированной стали или алюминия.
4.11. Температурные швы в покровных слоях горизонтальных трубопроводов следует предусматривать у компенсаторов, опор и поворотов, а на вертикальных трубопроводах - в местах установки опорных конструкций.
4.12. Выбор материала покровных слоев теплоизоляционных конструкций оборудования и трубопроводов, расположенных на открытом воздухе в районах с расчетной температурой окружающего воздуха минус 40 °С и ниже, следует производить с учетом температурных пределов применения материалов по государственным стандартам или техническим условиям.
4.13. Для конструкций тепловой изоляции оборудования и трубопроводов с отрицательными температурами веществ крепление покровного слоя следует предусматривать, как правило, бандажами. Крепление покровного слоя винтами допускается предусматривать при диаметре изоляционной конструкции более 800 мм.
Справочное
РАСЧЕТНЫЕ ТЕХНИЧЕСКИЕ ХАРАКТЕРИСТИКИ
ТЕПЛОИЗОЛЯЦИОННЫХ МАТЕРИАЛОВ И ИЗДЕЛИЙ
Материал, изделие, ГОСТ или ТУ | Средняя плотность в конструкции  , кг/м 3 | Теплопроводность теплоизоляционного материала в конструкции  , Вт/(м·°C) | Температура применения, °C | Группа горючести |
для поверхностей с температурой, °C |
20 и выше | 19 и ниже |
| | | | | |
75 | 65 - 85 | 0,041 + 0,00023tm | 0,051 - 0,045 | От минус 180 до 130 | Трудногорючие |
100 | 86 - 110 | 0,043 + 0,00019tm | 0,057 - 0,051 | От минус 180 до 150 |
| | ИС МЕГАНОРМ: примечание. ГОСТ 18109-80 утратил силу с 1 января 1992 года в связи с изданием Постановления Госстроя СССР от 14.08.1990 N 70. | |
|
Изделия перлитоцементные, ГОСТ 18109-80, марки: | | | | | |
250 | 250 | 0,07 + 0,00019tm | - | От 20 до 600 | Негорючие |
300 | 300 | 0,076 + 0,00019tm | - |
350 | 350 | 0,081 + 0,00019tm | - |
Изделия теплоизоляционные известково-кремнеземистые, ГОСТ 24748-81, марки: | | | | | |
200 | 200 | 0,069 + 0,00015tm | - | От 20 до 600 | Негорючие |
225 | 225 | 0,078 + 0,00015tm | - |
Изделия минераловатные с гофрированной структурой для промышленной тепловой изоляции, ТУ 36.16.22-8-86, марки: | В зависимости от диаметра изолируемой поверхности | | | | |
75 | От 66 до 98 | 0,041 + 0,00034tm | 0,054 - 0,05 | От минус 60 до 400 | Негорючие |
100 | От 84 до 130 | 0,042 + 0,0003tm |
| | ИС МЕГАНОРМ: примечание. ГОСТ 10179-74 утратил силу с 1 января 1992 года в связи с изданием Постановления Госстроя СССР от 14.08.1990 N 70. | |
|
Изделия теплоизоляционные вулканитовые, ГОСТ 10179-74, марки: | | | | | |
300 | 300 | 0,074 + 0,00015tm | - | От 20 до 600 | Негорючие |
350 | 350 | 0,079 + 0,00015tm | - |
400 | 400 | 0,084 + 0,00015tm | - |
Маты звукопоглощающие базальтовые марки БЗМ, РСТ УССР 1977-87 | До 80 | 0,04 + 0,0003tm | - | От минус 180 до 450 в оболочке из ткани стеклянной; до 700 - в оболочке из кремнеземной ткани | Негорючие |
Маты минераловатные прошивные, ГОСТ 21880-86, марки: | | | | От минус 180 до 450 для матов на ткани, сетке, холсте из стекловолокна; до 700 - на металлической сетке | Негорючие |
100 | 102 - 132 | 0,045 + 0,00021tm | 0,059 - 0,054 |
125 | 133 - 162 | 0,049 + 0,0002tm |
Маты из стеклянного штапельного волокна на синтетическом связующем, ГОСТ 10499-78, марки: | | | | | |
МС-35 | 40 - 56 | 0,04 + 0,0003tm | 0,048 | От минус 60 до 180 | Негорючие |
МС-50 | 58 - 80 | 0,042 + 0,00028tm | 0,047 |
Маты и вата из супертонкого стеклянного волокна без связующего, ТУ 21 РСФСР 224-87 | 60 - 80 | 0,033 + 0,00014tm | 0,044 - 0,037 | От минус 180 до 400 | Негорючие |
Плиты теплоизоляционные из минеральной ваты на синтетическом связующем, ГОСТ 9573-82, марки: | | | | | |
50 | 55 - 75 | 0,04 + 0,00029tm | 0,054 - 0,05 | От минус 60 до 400 | Негорючие |
75 | 75 - 115 | 0,043 + 0,00022tm | 0,054 - 0,05 |
125 | 90 - 150 | 0,044 + 0,00021tm | 0,057 - 0,051 | От минус 180 до 400 |
175 | 150 - 210 | 0,052 + 0,0002tm | 0,06 - 0,054 |
Плиты из стеклянного штапельного волокна полужесткие, технические, ГОСТ 10499-78, марки: | | | | | |
ППТ-50 | 42 - 58 | 0,042 + 0,00035tm | 0,053 | От минус 60 до 180 | Трудногорючие |
ППТ-75 | 59 - 86 | 0,044 + 0,00023tm |
Плиты теплоизоляционные из минеральной ваты на битумном связующем, ГОСТ 10140-80, марки: | | | | | |
75 | 75 - 115 | - | 0,054 - 0,057 | От минус 100 до 60 | Марки 75 - негорючие; остальные - горючие |
100 | 90 - 120 | - | 0,054 - 0,057 |
150 | 121 - 180 | - | 0,058 - 0,062 |
200 | 151 - 200 | - | 0,061 - 0,066 |
Плиты теплоизоляционные из пенопласта на основе резольных фенолформальдегидных смол, ГОСТ 20916-87, марки: | | | | | |
50 | Не более 50 | 0,040 + 0,00022tm | 0,049 - 0,042 | От минус 180 до 130 | Трудногорючие |
80 | Св. 70 до 80 | 0,042 + 0,00023tm | 0,051 - 0,045 |
90 | Св. 80 до 100 | 0,043 + 0,00019tm | 0,057 - 0,051 |
Полотна холстопрошивные стекловолокнистые, ТУ 6-48-0209777-1-88, марки: | | | | | |
ХПС-Т-5 | 180 - 320 | 0,047 + 0,00023tm | 0,053 - 0,047 | От минус 200 до 550 | Негорючие |
ХПС-Т-2,5 | 130 - 230 |
| | | | | |
75 | 110 | 0,052 + 0,00012tm | 0,05 - 0,042 | От минус 200 до 875 | Негорючий |
100 | 150 | 0,055 + 0,00012tm | 0,054 - 0,047 |
150 | 225 | 0,058 + 0,00012tm | - |
Полуцилиндры и цилиндры минераловатные на синтетическом связующем, ГОСТ 23208-83, марки: | | | | | |
100 | 75 - 125 | 0,049 + 0,00021tm | 0,047 - 0,053 | От минус 180 до 400 | Негорючие |
150 | 126 - 175 | 0,051 + 0,0002tm | 0,054 - 0,059 |
200 | 176 - 225 | 0,053 + 0,00019tm | 0,062 - 0,057 |
| | | | | |
20 | 20 | - | 0,048 - 0,04 | От минус 180 до 70 | Горючие |
25 | 25 | - | 0,044 - 0,035 |
30, 40 | 30, 40 | - | 0,042 - 0,032 |
Пенопласт плиточный, ТУ 6-05-1178-87, марки: | | | | | |
ПС-4-40 | 40 | - | 0,041 - 0,032 | От минус 180 до 60 | Горючий |
ПС-4-60 | 60 | - | 0,048 - 0,039 |
ПС-4-65 | 65 | - | 0,048 - 0,039 |
Пенопласт плиточный ПХВ, ТУ 6-05-1179-83, марки: | | | | | |
ПХВ-1-85 | 85 | - | 0,04 - 0,03 | От минус 180 до 60 | Горючий |
ПХВ-1-115 | 115 | - | 0,043 - 0,032 |
ПХВ-2-150 | 150 | - | 0,047 - 0,036 |
Пенопласт плиточный марки ПВ-1, ТУ 6-05-1158-87 | 65, 95 | - | 0,043 - 0,032 | От минус 180 до 60 | Горючий |
Пенопласт поливинилхлоридный эластичный ПВХ-Э, ТУ 6-05-1269-75 | 150 | - | 0,05 - 0,04 | От минус 180 до 60 | Горючий |
Пенопласт термореактивный ФК-20 и ФФ, жесткий, ТУ 6-05-1303-76, марки: | | | | | |
ФК-20 | 170, 200 | - | 0,055 - 0,052 | От 0 до 120 | Горючий |
ФФ | 170, 200 | - | 0,055 - 0,052 | От минус 60 до 150 | Трудногорючий |
Пенополиуретан ППУ-331/3 (заливочный) | 40 - 60 | - | 0,036 - 0,031 | От минус 180 до 120 | Горючий |
60 - 80 | - | 0,037 - 0,032 |
Пенопласт полиуретановый эластичный ППУ-ЭТ, ТУ 6-05-1734-75 | 40 - 50 | - | 0,043 - 0,038 | От минус 60 до 100 | Горючий |
Полотно иглопробивное стеклянное теплоизоляционное марки ИПС-Т-1000, ТУ 6-11-570-83 | 140 | 0,047 + 0,00023tm | 0,053 - 0,047 | От минус 200 до 550 | Негорючее |
| | ИС МЕГАНОРМ: примечание. Взамен ГОСТ 17139-79 Постановлением Госстандарта РФ от 22.07.2002 N 279-ст с 1 июня 2003 года введен в действие ГОСТ 17139-2000. | |
|
Ровинг (жгут) из стеклянных комплексных нитей, ГОСТ 17139-79 | 200 - 250 | - | 0,065 - 0,062 | От минус 180 до 450 | Негорючий |
Шнур асбестовый, ГОСТ 1779-83, марки: | | | | | |
ШАП | 100 - 160 | 0,093 + 0,0002tm | - | От 20 до 220 | Трудногорючий |
ШАОН | 750 - 600 | 0,13 + 0,00026tm | - | От 20 до 400 | Негорючий |
Шнур теплоизоляционный из минеральной ваты, ТУ 36-1695-79, марки: | | | | От минус 180 до 600 в зависимости от материала сетчатой трубки | В сетчатых трубках из металлической проволоки и нити стеклянной - негорючий; остальной - трудногорючий |
200 | 200 | 0,056 + 0,00019tm | 0,069 - 0,068 |
250 | 250 | 0,058 + 0,00019tm | - |
Холсты из микроультрасупертонкого стекломикрокристаллического штапельного волокна из горных пород, РСТ УССР 1970-86, марка БСТВ-ст | До 80 | 0,041 + 0,00029tm | 0,04 | От минус 269 до 600 | Негорючие |
Примечания. 1. tm - средняя температура теплоизоляционного слоя, °C;  - на открытом воздухе в летнее время, в помещении, в каналах, тоннелях, технических подпольях, на чердаках и в подвалах зданий;  - на открытом воздухе в зимнее время, где tw - температура вещества. 2. Большее значение расчетной теплопроводности теплоизоляционного материала в конструкции для поверхностей с температурой 19 °C и ниже относится к температуре вещества от минус 60 до 20 °C, меньшее - к температуре минус 140 °C и ниже. Для промежуточных значений температур теплопроводность определяется интерполяцией. 3. При изоляции поверхностей с применением жестких плит расчетную теплопроводность следует увеличивать на 10%. 4. Допускается применение других материалов, отвечающих требованиям пп. 2.3; 2.4. |
Справочное
РАСЧЕТНЫЕ ТЕХНИЧЕСКИЕ ХАРАКТЕРИСТИКИ МАТЕРИАЛОВ,
ПРИМЕНЯЕМЫХ ДЛЯ ИЗОЛЯЦИИ ТРУБОПРОВОДОВ
ПРИ БЕСКАНАЛЬНОЙ ПРОКЛАДКЕ
Материал | Условный проход трубопровода, мм | Средняя плотность  , кг/м 3 | Теплопроводность сухого материала  , Вт/(м·°C), при 20 °C | Максимальная температура вещества, °C |
Армопенобетон | 150 - 800 | 350 - 450 | 0,105 - 0,13 | 150 |
Битумоперлит | 50 - 400 | 450 - 550 | 0,11 - 0,13 | 130 <*> |
Битумокерамзит | До 500 | 600 | 0,13 | 130 <*> |
Битумовермикулит | До 500 | 600 | 0,13 | 130 <*> |
Пенополимербетон | 100 - 400 | 400 | 0,07 | 150 |
Пенополиуретан | 100 - 400 | 60 - 80 | 0,05 | 120 |
Фенольный поропласт ФЛ монолитный | До 1000 | 100 | 0,05 | 150 |
------------------------------- <*> Допускается применение до температуры 150 °C при качественном методе отпуска теплоты. |
Рекомендуемое
МАТЕРИАЛЫ ДЛЯ ПОКРОВНОГО СЛОЯ ТЕПЛОВОЙ ИЗОЛЯЦИИ
Материал, ГОСТ или ТУ | Применяемая толщина, мм | Группа горючести |
1. Металлические | | |
Листы из алюминия и алюминиевых сплавов, ГОСТ 21631-76, марки АДО, АД1, АМц, АМг2, В95 | 0,3; 0,5 - 1 | Негорючие |
| | ИС МЕГАНОРМ: примечание. Взамен ГОСТ 13726-78 Постановлением Госстандарта РФ от 14.04.1998 N 121 с 1 января 1999 года введен в действие ГОСТ 13726-97. | |
|
Ленты из алюминия и алюминиевых сплавов, ГОСТ 13726-78, марки АДО, АД1, АМц, АМг2, В95 | 0,25 - 1 | Негорючие |
Сталь тонколистовая оцинкованная с непрерывных линий, ГОСТ 14918-80 | 0,35 - 1 | Негорючая |
Сталь тонколистовая кровельная, ОСТ 14-11-196-86 | 0,5 - 0,8 | Негорючая |
| | ИС МЕГАНОРМ: примечание. Взамен ГОСТ 16523-89 Постановлением Госстандарта РФ от 04.04.1999 N 113 с 1 января 2000 года введен в действие ГОСТ 16523-97. | |
|
Прокат тонколистовой из углеродистой стали качественной и обыкновенного качества, ГОСТ 16523-89 | 0,35 - 1 | Негорючий |
Оболочки гофрированные для теплоизоляционных конструкций отводов трубопроводов, ОСТ 36-67-82 | 0,2 | Негорючие |
2,5 | Горючие |
Сталь рулонная холоднокатаная с полимерным покрытием (металлопласт), ТУ 14-1-1114-74 | 0,8 - 1,3 | Трудногорючая |
2. На основе синтетических полимеров | | |
| 0,5 - 1,2 | Горючий |
Материалы армопластмассовые для защиты покрытий тепловой изоляции трубопроводов, ТУ 36-2168-85, марки: | | |
АПМ-1 | 2,2 | Горючий |
АПМ-2 | 2,1 | Трудногорючий |
АПМ-К | 2,1 | Горючий |
Стеклопластик рулонный РСТ, ТУ 6-11-145-80, марки РСТ-А, РСТ-Б, РСТ-Х | 0,25 - 0,5 | Трудногорючий |
Стеклопластик марки ФСП (стеклопластик фенольный покровный), ТУ 6-11-150-76 | 0,3; 0,6 | Горючий |
Пленка винипластовая каландрированная КПО, ГОСТ 16398-81 | 0,4 - 1 | Горючая |
Пленка из вторичного поливинилхлоридного сырья, ТУ 63.032.3-88 | 1,3 | Горючая |
Стеклотекстолит покровный листовой СТПЛ, ТУ 36-1583-88, марки: | | |
СТПЛ-СБ | 0,3 | Трудногорючий |
СТПЛ-ТБ | 0,5 |
СТПЛ-ВП | 0,8 |
3. На основе природных полимеров | | |
Рубероид, ГОСТ 10923-82, марка РКК-420 | 2 - 3 | Горючий |
| 2,5 | Горючий |
Толь кровельный и гидроизоляционный, ГОСТ 10999-76, марки ТКК-350, ТКК-400 | 1,0 - 1,5 | Горючий |
| 1,0 - 1,5 | Горючий |
Рубероид, покрытый стеклотканью, ТУ 21 ЭССР 48-83 | - | Горючий |
| 2 | Горючий |
4. Минеральные | | |
Стеклоцемент текстолитовый для теплоизоляционных конструкций, ТУ 36-940-85 | 1,5 - 2 | Негорючий |
| | ИС МЕГАНОРМ: примечание. Взамен ГОСТ 18124-75 Постановлением Минстроя РФ от 14.07.1995 N 18-68 с 1 июля 1996 года введен в действие ГОСТ 18124-95. | |
|
Листы асбестоцементные плоские, ГОСТ 18124-75 | 6 - 10 | Негорючие |
| | ИС МЕГАНОРМ: примечание. Взамен ГОСТ 16233-77 Постановлением Минстроя РФ от 22.02.1995 N 18-12 с 1 сентября 1996 года введен в действие ГОСТ 30340-95. | |
|
Листы асбестоцементные волнистые унифицированного профиля, ГОСТ 16233-77 | 5 - 8 | Негорючие |
Штукатурка асбестоцементная | 10 - 20 | Негорючая |
5. Дублированные фольгой | | |
Фольга алюминиевая дублированная для теплоизоляционных конструкций, ТУ 36-1177-77 | 0,5 - 1,5 | Дублированная бумагой и картоном - горючая, остальные - трудногорючие |
Фольгорубероид для защитной гидроизоляции утеплителя трубопроводов, ТУ 21 ЭССР 69-83 | 1,7 - 2 | Горючий |
| 2 - 2,5 | Горючий |
Примечание. При применении покровных слоев из листового металла следует учитывать характер и степень агрессивности окружающей среды и производства. |
Обязательное
ПЛОТНОСТИ ТЕПЛОВОГО ПОТОКА ЧЕРЕЗ ПОВЕРХНОСТЬ
ИЗОЛЯЦИИ ОБОРУДОВАНИЯ И ТРУБОПРОВОДОВ
С ПОЛОЖИТЕЛЬНЫМИ ТЕМПЕРАТУРАМИ
Таблица 1
Нормы плотности теплового потока при расположении
оборудования и трубопроводов на открытом воздухе
и общей продолжительности работы
в год более 5000 ч
Условный проход трубопровода, мм | Средняя температура теплоносителя, °C |
20 | 50 | 100 | 150 | 200 | 250 | 300 | 350 | 400 | 450 | 500 | 550 | 600 |
Нормы линейной плотности теплового потока, Вт/м |
15 | 3 | 8 | 16 | 24 | 34 | 45 | 55 | 67 | 80 | 93 | 108 | 123 | 140 |
20 | 4 | 9 | 18 | 28 | 38 | 49 | 61 | 74 | 88 | 103 | 119 | 135 | 152 |
25 | 4 | 11 | 20 | 30 | 42 | 54 | 66 | 80 | 95 | 111 | 128 | 146 | 165 |
40 | 5 | 12 | 24 | 36 | 48 | 62 | 77 | 93 | 110 | 128 | 147 | 167 | 188 |
50 | 6 | 14 | 25 | 38 | 52 | 66 | 83 | 100 | 118 | 136 | 156 | 177 | 199 |
65 | 7 | 15 | 29 | 44 | 58 | 75 | 92 | 111 | 131 | 152 | 173 | 197 | 220 |
80 | 8 | 17 | 32 | 47 | 62 | 80 | 99 | 119 | 139 | 162 | 185 | 209 | 226 |
100 | 9 | 19 | 35 | 52 | 69 | 88 | 109 | 130 | 152 | 175 | 200 | 225 | 252 |
125 | 10 | 22 | 40 | 57 | 75 | 99 | 121 | 144 | 169 | 194 | 221 | 250 | 279 |
150 | 11 | 24 | 44 | 62 | 83 | 109 | 133 | 157 | 183 | 211 | 240 | 270 | 301 |
200 | 15 | 30 | 53 | 75 | 99 | 129 | 157 | 185 | 216 | 247 | 280 | 314 | 349 |
250 | 17 | 35 | 61 | 86 | 112 | 145 | 174 | 206 | 238 | 273 | 309 | 345 | 384 |
300 | 20 | 40 | 68 | 96 | 126 | 160 | 194 | 227 | 262 | 300 | 339 | 378 | 420 |
350 | 23 | 45 | 75 | 106 | 138 | 177 | 211 | 248 | 286 | 326 | 368 | 411 | 454 |
400 | 24 | 49 | 83 | 125 | 150 | 191 | 228 | 267 | 308 | 351 | 395 | 440 | 487 |
450 | 27 | 53 | 88 | 123 | 160 | 204 | 244 | 284 | 327 | 373 | 418 | 466 | 517 |
500 | 29 | 58 | 96 | 135 | 171 | 220 | 261 | 305 | 349 | 398 | 446 | 496 | 549 |
600 | 34 | 66 | 110 | 152 | 194 | 248 | 294 | 342 | 391 | 444 | 497 | 554 | 611 |
700 | 39 | 75 | 122 | 169 | 214 | 273 | 323 | 375 | 429 | 485 | 544 | 604 | 664 |
800 | 43 | 83 | 135 | 172 | 237 | 301 | 355 | 411 | 469 | 530 | 594 | 657 | 723 |
900 | 48 | 92 | 149 | 205 | 258 | 328 | 386 | 446 | 509 | 574 | 642 | 710 | 779 |
1000 | 53 | 101 | 163 | 223 | 280 | 355 | 418 | 482 | 348 | 618 | 691 | 753 | 837 |
Криволинейные поверхности диаметром более 1020 мм и плоские | Нормы поверхностной плотности теплового потока, Вт/м2 |
5 | 28 | 44 | 57 | 69 | 85 | 97 | 109 | 122 | 134 | 146 | 157 | 169 |
Примечание. Промежуточные значения норм плотности теплового потока следует определять интерполяцией. |
Таблица 2
Нормы плотности теплового потока при расположении
оборудования и трубопроводов на открытом воздухе
и общей продолжительности работы в год 5000 ч и менее
Условный проход трубопровода, мм | Средняя температура теплоносителя, °C |
20 | 50 | 100 | 150 | 200 | 250 | 300 | 350 | 400 | 450 | 500 | 550 | 600 |
Нормы линейной плотности теплового потока, Вт/м |
15 | 4 | 9 | 18 | 28 | 38 | 48 | 61 | 74 | 87 | 102 | 117 | 134 | 152 |
20 | 5 | 11 | 21 | 31 | 43 | 54 | 67 | 81 | 97 | 113 | 130 | 148 | 167 |
25 | 5 | 12 | 23 | 34 | 47 | 60 | 74 | 89 | 104 | 122 | 140 | 160 | 180 |
40 | 7 | 15 | 27 | 40 | 54 | 71 | 86 | 103 | 122 | 142 | 163 | 185 | 208 |
50 | 7 | 16 | 30 | 44 | 58 | 75 | 93 | 111 | 130 | 151 | 174 | 197 | 221 |
65 | 8 | 19 | 34 | 50 | 67 | 85 | 104 | 125 | 146 | 170 | 194 | 220 | 245 |
80 | 9 | 21 | 37 | 54 | 71 | 92 | 112 | 134 | 157 | 181 | 208 | 234 | 262 |
100 | 11 | 23 | 41 | 60 | 80 | 101 | 123 | 146 | 171 | 198 | 226 | 253 | 283 |
125 | 12 | 26 | 46 | 66 | 88 | 114 | 138 | 164 | 191 | 221 | 251 | 282 | 314 |
150 | 15 | 29 | 52 | 73 | 97 | 126 | 152 | 180 | 210 | 241 | 272 | 305 | 340 |
200 | 18 | 36 | 63 | 89 | 117 | 151 | 181 | 215 | 249 | 284 | 321 | 359 | 399 |
250 | 21 | 42 | 72 | 103 | 132 | 170 | 203 | 240 | 276 | 316 | 356 | 398 | 441 |
300 | 25 | 48 | 83 | 115 | 149 | 189 | 228 | 266 | 307 | 349 | 393 | 438 | 485 |
350 | 29 | 54 | 92 | 127 | 164 | 209 | 250 | 291 | 335 | 382 | 429 | 477 | 527 |
400 | 31 | 60 | 100 | 139 | 178 | 226 | 271 | 317 | 362 | 412 | 462 | 513 | 567 |
450 | 34 | 66 | 108 | 149 | 191 | 244 | 290 | 338 | 386 | 439 | 491 | 545 | 602 |
500 | 37 | 72 | 117 | 162 | 206 | 264 | 311 | 362 | 415 | 470 | 526 | 583 | 642 |
600 | 44 | 82 | 135 | 185 | 236 | 299 | 354 | 409 | 467 | 528 | 590 | 653 | 718 |
700 | 49 | 94 | 151 | 205 | 262 | 331 | 390 | 451 | 513 | 580 | 646 | 714 | 784 |
800 | 55 | 105 | 168 | 228 | 290 | 367 | 431 | 496 | 564 | 636 | 708 | 782 | 857 |
900 | 62 | 116 | 185 | 251 | 318 | 399 | 471 | 541 | 614 | 691 | 768 | 848 | 928 |
1000 | 68 | 127 | 203 | 273 | 345 | 435 | 510 | 586 | 664 | 747 | 829 | 914 | 1003 |
Криволинейные поверхности диаметром более 1020 мм и плоские | Нормы поверхностной плотности теплового потока, Вт/м2 |
21 | 36 | 58 | 72 | 89 | 109 | 125 | 135 | 156 | 171 | 186 | 201 | 217 |
Примечание. Промежуточные значения норм плотности теплового потока следует определять интерполяцией. |
Таблица 3
Нормы плотности теплового потока при расположении
оборудования и трубопроводов в помещении и общей
продолжительности работы в год более 5000 ч
Условный проход трубопровода, мм | Средняя температура теплоносителя, °C |
50 | 100 | 150 | 200 | 250 | 300 | 350 | 400 | 450 | 500 | 550 | 600 |
Нормы линейной плотности теплового потока, Вт/м |
15 | 6 | 14 | 22 | 32 | 42 | 53 | 65 | 77 | 91 | 106 | 120 | 136 |
20 | 7 | 16 | 26 | 36 | 46 | 58 | 71 | 85 | 100 | 116 | 132 | 149 |
25 | 8 | 18 | 28 | 39 | 51 | 63 | 78 | 92 | 108 | 125 | 142 | 160 |
40 | 10 | 21 | 33 | 46 | 59 | 74 | 90 | 107 | 125 | 143 | 163 | 184 |
50 | 10 | 22 | 35 | 49 | 64 | 79 | 96 | 114 | 133 | 152 | 173 | 194 |
65 | 12 | 26 | 40 | 55 | 72 | 90 | 107 | 127 | 148 | 169 | 192 | 216 |
80 | 13 | 28 | 43 | 59 | 78 | 95 | 114 | 135 | 158 | 180 | 204 | 229 |
100 | 14 | 31 | 48 | 65 | 84 | 104 | 125 | 147 | 170 | 195 | 220 | 247 |
125 | 17 | 35 | 53 | 72 | 94 | 116 | 140 | 164 | 190 | 216 | 243 | 273 |
150 | 19 | 39 | 58 | 78 | 104 | 128 | 152 | 179 | 206 | 234 | 263 | 294 |
200 | 23 | 47 | 70 | 94 | 124 | 151 | 180 | 209 | 241 | 273 | 306 | 342 |
250 | 27 | 54 | 80 | 106 | 139 | 169 | 199 | 231 | 266 | 302 | 338 | 376 |
300 | 31 | 62 | 90 | 119 | 154 | 186 | 220 | 255 | 293 | 330 | 370 | 411 |
350 | 35 | 68 | 99 | 131 | 170 | 205 | 241 | 278 | 318 | 359 | 402 | 446 |
400 | 38 | 74 | 108 | 142 | 184 | 221 | 259 | 299 | 342 | 386 | 431 | 477 |
450 | 42 | 81 | 116 | 152 | 196 | 235 | 276 | 318 | 364 | 409 | 456 | 506 |
500 | 46 | 87 | 125 | 164 | 211 | 253 | 296 | 341 | 388 | 435 | 486 | 538 |
600 | 54 | 100 | 143 | 186 | 238 | 285 | 332 | 382 | 434 | 486 | 542 | 598 |
700 | 59 | 111 | 159 | 205 | 262 | 313 | 365 | 418 | 474 | 530 | 591 | 651 |
800 | 67 | 124 | 176 | 226 | 290 | 344 | 399 | 457 | 518 | 581 | 643 | 708 |
900 | 74 | 136 | 193 | 247 | 316 | 374 | 435 | 496 | 562 | 629 | 695 | 764 |
1000 | 82 | 149 | 210 | 286 | 342 | 405 | 467 | 534 | 606 | 676 | 747 | 820 |
Криволинейные поверхности диаметром более 1020 мм и плоские | Нормы поверхностной плотности теплового потока, Вт/м2 |
23 | 40 | 54 | 66 | 83 | 95 | 107 | 119 | 132 | 143 | 155 | 166 |
Примечания. 1. При расположении изолируемых поверхностей в тоннеле к нормам плотности следует вводить коэффициент 0,85. 2. Промежуточные значения норм плотности теплового потока следует определять интерполяцией. |
Таблица 4
Нормы плотности теплового потока при расположении
оборудования и трубопроводов в помещении и тоннеле
и общей продолжительности работы в год 5000 ч и менее
Условный проход трубопровода, мм | Средняя температура теплоносителя, °C |
50 | 100 | 150 | 200 | 250 | 300 | 350 | 400 | 450 | 500 | 550 | 600 |
Нормы линейной плотности теплового потока, Вт/м |
15 | 7 | 16 | 25 | 35 | 46 | 58 | 70 | 83 | 98 | 113 | 129 | 146 |
20 | 8 | 18 | 28 | 39 | 51 | 64 | 78 | 92 | 108 | 125 | 142 | 161 |
25 | 9 | 20 | 31 | 43 | 56 | 70 | 85 | 100 | 118 | 135 | 154 | 173 |
40 | 10 | 23 | 37 | 51 | 66 | 82 | 99 | 117 | 136 | 156 | 178 | 200 |
50 | 12 | 26 | 39 | 54 | 71 | 88 | 106 | 125 | 146 | 166 | 190 | 213 |
65 | 14 | 30 | 46 | 62 | 81 | 99 | 119 | 141 | 163 | 186 | 211 | 237 |
80 | 16 | 33 | 50 | 67 | 86 | 106 | 128 | 150 | 175 | 199 | 226 | 253 |
100 | 18 | 36 | 55 | 74 | 95 | 117 | 140 | 164 | 190 | 217 | 245 | 274 |
125 | 20 | 41 | 62 | 82 | 108 | 132 | 157 | 183 | 213 | 242 | 272 | 303 |
150 | 22 | 45 | 68 | 91 | 119 | 145 | 172 | 201 | 232 | 263 | 295 | 330 |
200 | 29 | 56 | 82 | 110 | 143 | 173 | 205 | 239 | 274 | 310 | 347 | 386 |
250 | 34 | 65 | 94 | 124 | 161 | 194 | 230 | 266 | 305 | 343 | 384 | 426 |
300 | 38 | 74 | 106 | 139 | 180 | 216 | 255 | 294 | 337 | 379 | 423 | 469 |
350 | 42 | 82 | 118 | 154 | 198 | 239 | 280 | 323 | 368 | 414 | 462 | 510 |
400 | 48 | 90 | 130 | 168 | 215 | 259 | 303 | 349 | 397 | 446 | 496 | 549 |
450 | 51 | 98 | 138 | 180 | 233 | 278 | 324 | 372 | 423 | 474 | 527 | 582 |
500 | 57 | 106 | 150 | 194 | 251 | 298 | 348 | 399 | 453 | 507 | 564 | 622 |
600 | 65 | 122 | 172 | 222 | 286 | 338 | 394 | 450 | 510 | 570 | 634 | 695 |
700 | 73 | 136 | 191 | 247 | 315 | 374 | 433 | 494 | 559 | 624 | 691 | 760 |
800 | 82 | 152 | 212 | 274 | 349 | 412 | 477 | 543 | 614 | 685 | 757 | 830 |
900 | 91 | 167 | 234 | 300 | 382 | 450 | 520 | 592 | 668 | 743 | 821 | 903 |
1000 | 100 | 183 | 254 | 326 | 415 | 489 | 563 | 640 | 722 | 802 | 884 | 969 |
Криволинейные поверхности диаметром более 1020 мм и плоские | Нормы поверхностной плотности теплового потока, Вт/м2 |
29 | 50 | 68 | 84 | 106 | 121 | 136 | 150 | 167 | 181 | 196 | 210 |
|
Обязательное
НОРМЫ
ПЛОТНОСТИ ТЕПЛОВОГО ПОТОКА ЧЕРЕЗ ПОВЕРХНОСТЬ
ИЗОЛЯЦИИ ОБОРУДОВАНИЯ И ТРУБОПРОВОДОВ
С ОТРИЦАТЕЛЬНЫМИ ТЕМПЕРАТУРАМИ
Таблица 1
Нормы плотности теплового потока при расположении
оборудования и трубопроводов на открытом воздухе
Условный проход трубопровода, мм | Средняя температура вещества, °C |
0 | -10 | -20 | -40 | -60 | -80 | -100 | -120 | -140 | -160 | -180 |
Нормы линейной плотности теплового потока, Вт/м |
20 | 3 | 3 | 4 | 6 | 7 | 9 | 10 | 12 | 14 | 16 | 17 |
25 | 3 | 4 | 5 | 6 | 8 | 9 | 11 | 12 | 15 | 17 | 18 |
40 | 4 | 5 | 5 | 7 | 9 | 10 | 12 | 13 | 16 | 18 | 19 |
50 | 5 | 5 | 6 | 8 | 9 | 11 | 13 | 14 | 16 | 19 | 20 |
65 | 6 | 6 | 7 | 9 | 10 | 12 | 14 | 15 | 17 | 20 | 21 |
80 | 6 | 6 | 8 | 10 | 11 | 13 | 15 | 16 | 18 | 21 | 22 |
100 | 7 | 7 | 9 | 11 | 13 | 14 | 16 | 18 | 20 | 22 | 23 |
125 | 8 | 8 | 9 | 12 | 14 | 16 | 18 | 20 | 21 | 23 | 25 |
150 | 8 | 9 | 10 | 13 | 16 | 17 | 20 | 21 | 23 | 25 | 27 |
200 | 10 | 10 | 12 | 16 | 18 | 20 | 23 | 25 | 27 | 29 | 31 |
250 | 11 | 12 | 14 | 18 | 20 | 23 | 26 | 27 | 30 | 33 | 35 |
300 | 12 | 13 | 16 | 20 | 23 | 25 | 28 | 30 | 34 | 36 | 39 |
350 | 14 | 15 | 18 | 22 | 24 | 27 | 30 | 33 | 36 | 38 | 41 |
400 | 16 | 16 | 20 | 23 | 26 | 29 | 32 | 34 | 38 | 40 | 43 |
450 | 17 | 18 | 21 | 26 | 28 | 31 | 36 | 37 | 39 | 42 | 45 |
500 | 19 | 20 | 23 | 27 | 30 | 33 | 35 | 38 | 41 | 44 | 46 |
Криволинейные поверхности диаметром более 600 мм и плоские | Нормы поверхностной плотности теплового потока, Вт/м2 |
11 | 12 | 12 | 13 | 14 | 15 | 15 | 16 | 17 | 18 | 19 |
Примечания. 1. Нормы линейной плотности теплового потока при температуре веществ от 0 до 19 °C, а также при dy меньше 20 мм следует определять экстраполяцией. 2. Промежуточные значения норм плотности теплового потока следует определять интерполяцией. |
Таблица 2
Нормы плотности теплового потока при расположении
оборудования и трубопроводов в помещении
Условный проход трубопровода, мм | Средняя температура вещества, °C |
0 | -10 | -20 | -40 | -60 | -80 | -100 | -120 | -140 | -160 | -180 |
Нормы линейной плотности теплового потока, Вт/м |
20 | 5 | 6 | 6 | 7 | 8 | 9 | 10 | 10 | 11 | 13 | 14 |
25 | 6 | 7 | 7 | 8 | 9 | 10 | 11 | 14 | 16 | 17 | 20 |
40 | 7 | 7 | 8 | 9 | 11 | 12 | 13 | 16 | 17 | 19 | 21 |
50 | 7 | 8 | 9 | 10 | 12 | 13 | 15 | 17 | 19 | 20 | 22 |
65 | 8 | 9 | 9 | 11 | 13 | 14 | 16 | 18 | 20 | 21 | 23 |
80 | 9 | 9 | 10 | 12 | 13 | 15 | 17 | 19 | 20 | 22 | 24 |
100 | 10 | 10 | 11 | 13 | 14 | 16 | 18 | 20 | 21 | 23 | 25 |
125 | 11 | 11 | 12 | 14 | 16 | 18 | 20 | 21 | 23 | 26 | 27 |
150 | 12 | 13 | 13 | 16 | 17 | 20 | 21 | 23 | 25 | 27 | 30 |
200 | 15 | 16 | 16 | 19 | 21 | 23 | 25 | 27 | 30 | 31 | 34 |
250 | 16 | 17 | 19 | 20 | 23 | 26 | 27 | 30 | 33 | 36 | 38 |
300 | 19 | 20 | 21 | 23 | 26 | 29 | 31 | 34 | 37 | 39 | 41 |
350 | 21 | 22 | 23 | 26 | 29 | 31 | 34 | 36 | 38 | 41 | 44 |
400 | 23 | 24 | 26 | 28 | 30 | 34 | 36 | 38 | 41 | 44 | 46 |
450 | 25 | 27 | 28 | 30 | 33 | 35 | 37 | 40 | 42 | 45 | 48 |
500 | 28 | 29 | 30 | 33 | 35 | 37 | 40 | 42 | 45 | 47 | 49 |
Криволинейные поверхности диаметром более 600 мм и плоские | Нормы поверхностной плотности теплового потока, Вт/м2 |
15 | 16 | 17 | 18 | 19 | 19 | 20 | 21 | 22 | 22 | 23 |
|
Обязательное
ПЛОТНОСТИ ТЕПЛОВОГО ПОТОКА ЧЕРЕЗ ПОВЕРХНОСТЬ
ИЗОЛЯЦИИ ПАРОПРОВОДОВ С КОНДЕНСАТОПРОВОДАМИ
ПРИ ИХ СОВМЕСТНОЙ ПРОКЛАДКЕ В НЕПРОХОДНЫХ КАНАЛАХ, Вт/м
Условный проход трубопровода, мм | Паропровод | Конденсатопровод | Паропровод | Конденсатопровод | Паропровод | Конденсатопровод | Паропровод | Конденсатопровод | Паропровод | Конденсатопровод | Паропровод | Конденсатопровод |
Паропровод | Конденсатор | Расчетная температура теплоносителя, °C |
115 | 100 | 150 | 100 | 200 | 100 | 250 | 100 | 300 | 100 | 350 | 100 |
25 | 25 | 22 | 18 | 30 | 18 | 41 | 18 | 51 | 18 | 64 | 18 | 79 | 18 |
30 | 25 | 23 | 18 | 32 | 18 | 43 | 18 | 54 | 18 | 69 | 18 | 83 | 18 |
40 | 25 | 25 | 18 | 33 | 18 | 45 | 18 | 58 | 18 | 73 | 18 | 88 | 18 |
50 | 25 | 27 | 18 | 36 | 18 | 52 | 18 | 64 | 18 | 79 | 18 | 95 | 18 |
65 | 30 | 31 | 21 | 43 | 21 | 58 | 21 | 71 | 21 | 88 | 20 | 103 | 20 |
80 | 40 | 35 | 23 | 46 | 23 | 62 | 23 | 81 | 22 | 98 | 22 | 117 | 21 |
100 | 40 | 38 | 23 | 49 | 23 | 66 | 23 | 81 | 22 | 98 | 22 | 117 | 21 |
125 | 50 | 42 | 24 | 53 | 24 | 72 | 24 | 88 | 23 | 107 | 23 | 126 | 23 |
150 | 70 | 45 | 27 | 58 | 27 | 78 | 27 | 94 | 26 | 115 | 26 | 142 | 26 |
200 | 80 | 52 | 27 | 68 | 29 | 89 | 29 | 108 | 28 | 131 | 28 | 153 | 28 |
250 | 100 | 58 | 31 | 75 | 31 | 99 | 31 | 119 | 31 | 147 | 31 | 172 | 31 |
300 | 125 | 64 | 33 | 83 | 33 | 110 | 33 | 133 | 33 | 159 | 33 | 186 | 33 |
350 | 150 | 70 | 38 | 90 | 38 | 118 | 38 | 143 | 37 | 171 | 37 | 200 | 37 |
400 | 180 | 75 | 42 | 96 | 42 | 127 | 42 | 153 | 41 | 183 | 41 | 213 | 41 |
450 | 200 | 81 | 44 | 103 | 44 | 134 | 44 | 162 | 44 | 193 | 43 | 224 | 43 |
500 | 250 | 86 | 50 | 110 | 50 | 143 | 50 | 173 | 49 | 207 | 49 | 239 | 48 |
600 | 300 | 97 | 55 | 123 | 55 | 159 | 55 | 190 | 54 | 227 | 54 | 261 | 53 |
700 | 300 | 105 | 55 | 133 | 55 | 172 | 55 | 203 | 54 | 243 | 53 | 280 | 53 |
800 | 300 | 114 | 55 | 143 | 55 | 185 | 55 | 220 | 54 | - | - | - | - |
Примечание. Промежуточные значения норм плотности теплового потока следует определять интерполяцией. |
Обязательное
ПЛОТНОСТИ ТЕПЛОВОГО ПОТОКА ЧЕРЕЗ ПОВЕРХНОСТЬ
ИЗОЛЯЦИИ ТРУБОПРОВОДОВ ДВУХТРУБНЫХ ВОДЯНЫХ ТЕПЛОВЫХ СЕТЕЙ
ПРИ ПРОКЛАДКЕ В НЕПРОХОДНЫХ КАНАЛАХ И ПОДЗЕМНОЙ
БЕСКАНАЛЬНОЙ ПРОКЛАДКЕ
Таблица 1
Нормы плотности теплового потока
трубопроводов при общей продолжительности
работы в год 5000 ч и менее, Вт/м
Условный проход трубопровода, мм | Трубопровод |
подающий | обратный | подающий | обратный | подающий | обратный |
Среднегодовая температура теплоносителя, °C |
65 | 50 | 90 | 50 | 110 | 50 |
25 | 15 | 10 | 22 | 10 | 26 | 9 |
30 | 16 | 11 | 23 | 11 | 28 | 10 |
40 | 18 | 12 | 25 | 12 | 31 | 11 |
50 | 19 | 13 | 28 | 13 | 34 | 12 |
65 | 23 | 16 | 32 | 14 | 40 | 13 |
80 | 25 | 17 | 35 | 15 | 43 | 14 |
100 | 28 | 19 | 39 | 16 | 48 | 16 |
125 | 29 | 20 | 42 | 17 | 52 | 17 |
150 | 32 | 22 | 46 | 19 | 55 | 18 |
200 | 41 | 26 | 55 | 22 | 71 | 20 |
250 | 46 | 30 | 65 | 25 | 79 | 21 |
300 | 53 | 34 | 74 | 27 | 88 | 24 |
350 | 58 | 37 | 79 | 29 | 98 | 25 |
400 | 65 | 40 | 87 | 32 | 105 | 26 |
450 | 70 | 42 | 95 | 33 | 115 | 27 |
500 | 75 | 46 | 107 | 36 | 130 | 28 |
600 | 83 | 49 | 119 | 38 | 145 | 30 |
700 | 91 | 54 | 139 | 41 | 157 | 33 |
800 | 106 | 61 | 150 | 45 | 181 | 36 |
900 | 117 | 64 | 162 | 48 | 199 | 37 |
1000 | 129 | 66 | 169 | 51 | 212 | 42 |
1200 | 157 | 73 | 218 | 55 | 255 | 46 |
1400 | 173 | 77 | 241 | 59 | 274 | 49 |
Примечания: 1. Расчетные среднегодовые температуры воды в водяных тепловых сетях 65; 90; 110 °C соответствуют температурным графикам 95 - 70 °C; 150 - 70 °C; 180 - 70 °C. 2. Промежуточные значения норм плотности теплового потока следует определять интерполяцией. |
Таблица 2
Нормы плотности теплового потока
трубопроводов при общей продолжительности
работы в год более 5000 ч, Вт/м
Условный проход трубопровода, мм | Трубопровод |
подающий | обратный | подающий | обратный | подающий | обратный |
Среднегодовая температура теплоносителя, °C |
65 | 50 | 90 | 50 | 110 | 50 |
25 | 14 | 9 | 20 | 9 | 24 | 8 |
30 | 15 | 10 | 20 | 10 | 26 | 9 |
40 | 16 | 11 | 22 | 11 | 27 | 10 |
50 | 17 | 12 | 24 | 12 | 30 | 11 |
65 | 20 | 13 | 29 | 13 | 34 | 12 |
80 | 21 | 14 | 31 | 14 | 37 | 13 |
100 | 24 | 16 | 35 | 15 | 41 | 14 |
125 | 26 | 18 | 38 | 16 | 43 | 15 |
150 | 27 | 19 | 42 | 17 | 47 | 16 |
200 | 33 | 23 | 49 | 19 | 58 | 18 |
250 | 38 | 26 | 54 | 21 | 66 | 20 |
300 | 43 | 28 | 60 | 24 | 71 | 21 |
350 | 46 | 31 | 64 | 26 | 80 | 22 |
400 | 50 | 33 | 70 | 28 | 86 | 24 |
450 | 54 | 36 | 79 | 31 | 91 | 25 |
500 | 58 | 37 | 84 | 32 | 100 | 27 |
600 | 67 | 42 | 93 | 35 | 112 | 31 |
700 | 76 | 47 | 107 | 37 | 128 | 31 |
800 | 85 | 51 | 119 | 38 | 139 | 34 |
900 | 90 | 56 | 128 | 43 | 150 | 37 |
1000 | 100 | 60 | 140 | 46 | 163 | 40 |
1200 | 114 | 67 | 158 | 53 | 190 | 44 |
1400 | 130 | 70 | 179 | 58 | 224 | 48 |
|
Справочное
РАСЧЕТНЫЕ КОЭФФИЦИЕНТЫ ТЕПЛООТДАЧИ
1. Расчетные коэффициенты теплоотдачи от наружной поверхности покровного слоя в зависимости от вида и температуры изолируемой поверхности, вида расчета толщины тепловой изоляции и применяемого покровного слоя приведены в таблице.
Температура изолируемой поверхности, °C | Изолируемая поверхность | Вид расчета изоляции | Коэффициент теплоотдачи  , Вт/(м 2·°C) при расположении изолируемых поверхностей |
в помещениях, тоннелях для покровных слоев с коэффициентом излучения C | на открытом воздухе, для покровных слоев с коэффициентом излучения C |
малым | высоким | малым | высоким |
Выше 20 | Плоская поверхность, оборудование, вертикальные трубопроводы | По заданной температуре на поверхности покровного слоя | 6 | 11 | 6 | 11 |
Остальные виды расчетов | 7 | 12 | 35 | 35 |
Горизонтальные трубопроводы | По заданной температуре на поверхности покровного слоя | 6 | 10 | 6 | 10 |
Остальные виды расчетов | 6 | 11 | 29 | 29 |
19 и ниже | Все виды изолируемых объектов | Предотвращение конденсации влаги из окружающего воздуха на поверхности покровного слоя | 5 | 7 | - | - |
Остальные виды расчетов | 6 | 11 | 29 | 29 |
Примечания. 1. Для трубопроводов, прокладываемых в каналах, коэффициент теплоотдачи  . 2. К покровным слоям с малым коэффициентом излучения C относятся покрытия с C <= 2,33 Вт/(м2·К4) и менее, в том числе из тонколистовой оцинкованной стали, листов из алюминия и алюминиевых сплавов, а также других материалов, окрашенных алюминиевой краской. К покрытиям с высоким коэффициентом излучения относятся покрытия с C > 2,33 Вт/(м2·К4), в том числе стеклопластики и прочие материалы на основе синтетических и природных полимеров, асбестоцементные листы, штукатурки, покровные слои, окрашенные различными красками, кроме алюминиевой. 3. Коэффициент теплоотдачи от воздуха в канале к стенке канала допускается принимать равным 8 Вт/(м2·°C). |
Обязательное
КОЭФФИЦИЕНТ

,
УЧИТЫВАЮЩИЙ ИЗМЕНЕНИЕ СТОИМОСТИ ТЕПЛОТЫ
И ТЕПЛОИЗОЛЯЦИОННОЙ КОНСТРУКЦИИ В ЗАВИСИМОСТИ ОТ РАЙОНА
СТРОИТЕЛЬСТВА И СПОСОБА ПРОКЛАДКИ ТРУБОПРОВОДА
(МЕСТА УСТАНОВКИ ОБОРУДОВАНИЯ)
Район строительства | Способ прокладки трубопровода и месторасположение оборудования |
на открытом воздухе | в помещении, тоннеле | в непроходном канале | бесканальный |
Европейские районы (I.I - I.5, II.I - II.2) | 1,0 | 1,0 | 1,0 | 1,0 |
Урал (VII.I - VII.3) | 1,02 | 1,03 | 1,03 | 1,0 |
Казахстан (XI.I - ХI.3) | 1,04 | 1,06 | 1,04 | 1,02 |
Средняя Азия (VI.I - VI.3, XII.I - XII.4) | 1,04 | 1,04 | 1,02 | 1,02 |
Западная Сибирь (VIII.I - VIII.5) | 1,03 | 1,05 | 1,03 | 1,02 |
Восточная Сибирь (IX.I - IX.3) | 1,07 | 1,09 | 1,07 | 1,03 |
Дальний Восток (X.I - X.3) | 0,88 | 0,9 | 0,8 | 0,96 |
Районы Крайнего Севера и приравненные к ним (Iс - Xс) | 0,9 | 0,93 | 0,85 | - |
Примечание. Районы строительства приведены в соответствии с Письмом Госстроя СССР от 06.09.84 N ИИ 4448-19/5. В скобках указаны территориальные районы и подрайоны по СНиП IV-5-84. |
Рекомендуемое
ТОЛЩИНА ИНДУСТРИАЛЬНЫХ (ПОЛНОСБОРНЫХ И КОМПЛЕКТНЫХ)
ТЕПЛОИЗОЛЯЦИОННЫХ КОНСТРУКЦИЙ
Толщина основного слоя, мм |
| принимаемая | | принимаемая |
40 - 45 | 40 | До 40 | 40 |
46 - 65 | 60 | 41 - 60 | 60 |
66 - 85 | 80 | 61 - 80 | 80 |
86 - 105 | 100 | 81 - 100 | 100 |
106 - 125 | 120 | 101 - 120 | 120 |
126 - 150 | 140 | 121 - 140 | 140 |
151 - 175 | 160 | 141 - 160 | 160 |
176 - 200 | 180 | 161 - 180 | 180 |
Рекомендуемое
ПРЕДЕЛЬНАЯ ТОЛЩИНА ТЕПЛОИЗОЛЯЦИОННЫХ КОНСТРУКЦИЙ
ПРИ ПОДЗЕМНОЙ ПРОКЛАДКЕ В ТОННЕЛЯХ И НЕПРОХОДНЫХ КАНАЛАХ
Условный проход трубопровода, мм | Способ прокладки трубопроводов |
в тоннеле | в непроходном канале |
Предельная толщина теплоизоляционной конструкции, мм, при температуре вещества, °C |
ниже минус 30 | от минус 30 до 19 | от 20 до 600 включ. | до 150 включ. | 151 и выше |
15 | 60 | 60 | 60 | 40 | 60 |
25 | 100 | 60 | 80 | 60 | 100 |
40 | 120 | 60 | 80 | 60 | 100 |
50 | 140 | 80 | 100 | 80 | 120 |
65 | 160 | 100 | 140 | 80 | 140 |
80 | 180 | 100 | 160 | 80 | 140 |
100 | 180 | 120 | 160 | 80 | 160 |
125 | 180 | 120 | 160 | 80 | 160 |
150 | 200 | 140 | 160 | 100 | 180 |
200 | 200 | 140 | 180 | 100 | 200 |
250 | 220 | 160 | 180 | 100 | 200 |
300 | 240 | 180 | 200 | 100 | 200 |
350 | 260 | 200 | 200 | 100 | 200 |
400 | 280 | 220 | 220 | 120 | 220 |
450 | 300 | 240 | 220 | 120 | 220 |
500 | 320 | 260 | 220 | 120 | 220 |
600 | 320 | 260 | 240 | 120 | 220 |
700 | 320 | 260 | 240 | 120 | 220 |
800 | 320 | 260 | 240 | 120 | 220 |
900 и более | 320 | 260 | 260 | 120 | 220 |
Примечания. 1. Толщина изоляции для трубопроводов в каналах указана для положительных температур транспортируемых веществ. Для трубопроводов с отрицательными температурами транспортируемых веществ, прокладываемых в каналах, предельная толщина принимается такой же, как при прокладке в тоннеле. 2. В случае, если по расчету толщина изоляции больше предельной, следует применять более эффективный материал. |
Рекомендуемое
ОПРЕДЕЛЕНИЕ ТОЛЩИНЫ И ОБЪЕМА ТЕПЛОИЗОЛЯЦИОННЫХ ИЗДЕЛИЙ
ИЗ УПЛОТНЯЮЩИХСЯ МАТЕРИАЛОВ
1. Толщину теплоизоляционного изделия из уплотняющихся материалов до установки на изолируемую поверхность следует определять с учетом коэффициента уплотнения

по формулам:
для цилиндрической поверхности

; (1)
для плоской поверхности

, (2)
где

,

- толщина теплоизоляционного изделия до установки на изолируемую поверхность (без уплотнения), м;
дельта - расчетная толщина теплоизоляционного слоя с уплотнением, м;
d - наружный диаметр изолируемого оборудования, трубопроводов, м;

- коэффициент уплотнения, принимаемый по
таблице настоящего Приложения.
Примечание. В случае, если в
формуле (1) произведение

меньше единицы, оно должно приниматься равным единице.
Теплоизоляционные материалы и изделия | Коэффициент уплотнения Kс |
Изделия минераловатные с гофрированной структурой при укладке на трубопроводы и оборудование условным проходом, мм: | |
до 200 | 1,3 |
от 200 до 350 | 1,2 |
св. 350 | 1,1 |
Маты минераловатные прошивные | 1,2 |
Маты из стеклянного штапельного волокна | 1,6 |
Маты из супертонкого стекловолокна, маты БЗМ, холсты из ультрасупертонких и стекломикрокристаллических волокон средней плотностью от 19 до 56 кг/м3 при укладке на трубопроводы и оборудование условным проходом, мм: | |
Dy < 800 при средней плотности 19 кг/м3 | |
То же, при средней плотности 56 кг/м3 | |
Dy >= 800 при средней плотности 19 кг/м3 | |
То же, при средней плотност 56 кг/м3 | |
Плиты минераловатные на синтетическом связующем марки: | |
50, 75 | 1,5 |
125, 175 | 1,2 |
Плиты минераловатные на битумном связующем марки: | |
75 | 1,5 |
100, 150 | 1,2 |
Плиты полужесткие стекловолокнистые на синтетическом связующем | 1,15 |
Пенопласт ПВХ-Э | 1,2 |
Пенопласт ППУ-ЭТ | 1,3 |
-------------------------------- <*> Промежуточные значения коэффициента уплотнения следует определять интерполяцией. Примечание. В отдельных случаях в проектно-сметной документации по тепловой изоляции могут быть предусмотрены другие коэффициенты уплотнения, обусловленные технико-экономическими расчетами и особенностями работы тепловой изоляции. |
2. При многослойной изоляции толщину изделия до его уплотнения следует определять отдельно для каждого слоя.
3. Объем теплоизоляционных изделий из уплотняющихся материалов до уплотнения следует определять по формуле

, (3)
где V - объем теплоизоляционного материала или изделия до уплотнения, м3;

- объем теплоизоляционного материала или изделия с учетом уплотнения, м3.