Главная // Актуальные документы // ГОСТ (Государственный стандарт)СПРАВКА
Источник публикации
М.: Издательство стандартов, 1992
Примечание к документу
С 1 июля 2003 года до вступления в силу технических регламентов акты федеральных органов исполнительной власти в сфере технического регулирования носят рекомендательный характер и подлежат обязательному исполнению только в части, соответствующей целям, указанным в
пункте 1 статьи 46 Федерального закона от 27.12.2002 N 184-ФЗ.
Ограничение срока действия снято по Протоколу N 5-94 Межгосударственного Совета по стандартизации, метрологии и сертификации ("ИУС", N 11 - 12, 1994).
Срок действия продлен до 1 января 1996 года Постановлением Госстандарта СССР от 30.03.1990 N 739.
Введен в действие с 1 января 1981 года.
Взамен ГОСТ 14162-69.
Название документа
"ГОСТ 14162-79. Трубки стальные малых размеров (капиллярные). Технические условия"
(утв. Постановлением Госстандарта СССР от 12.07.1979 N 2527)
(ред. от 01.03.1990)
"ГОСТ 14162-79. Трубки стальные малых размеров (капиллярные). Технические условия"
(утв. Постановлением Госстандарта СССР от 12.07.1979 N 2527)
(ред. от 01.03.1990)
Утвержден и введен в действие
Постановлением Госстандарта СССР
от 12 июля 1979 г. N 2527
ГОСУДАРСТВЕННЫЙ СТАНДАРТ СОЮЗА ССР
ТРУБКИ СТАЛЬНЫЕ МАЛЫХ РАЗМЕРОВ
(КАПИЛЛЯРНЫЕ)
ТЕХНИЧЕСКИЕ УСЛОВИЯ
Steel tubes of small dimensions (capillary).
Specifications
ГОСТ 14162-79
| | Список изменяющих документов (в ред. Изменения N 1, утв. в декабре 1985 г., Изменения N 2, утв. в марте 1990 г.) | |
ОКП 11 9100
Срок действия
с 1 января 1981 года
до 1 января 1996 года
1. Разработан и внесен Министерством черной металлургии СССР.
Разработчики: А.А. Шевченко, В.П. Сокуренко, М.М. Бернштейн, Н.И. Петренко.
2. Утвержден и введен в действие Постановлением Государственного комитета СССР по стандартам от 12.07.1979 N 2527.
3. Взамен ГОСТ 14162-69.
4. Ссылочные нормативно-технические документы
────────────────────────────────────────┬─────────────────────────
Обозначение НТД, на который дана ссылка │ Номер пункта
────────────────────────────────────────┼─────────────────────────
ИС МЕГАНОРМ: примечание.
Взамен ГОСТ 8.326-89 на территории Российской Федерации
Порядок проведения испытаний и утверждения типа средств измерений"
ИС МЕГАНОРМ: примечание.
Взамен ГОСТ 7502-89 Постановлением Госстандарта РФ от
27.07.1999 N 220-ст с 1 июля 2000 года введен в действие
ИС МЕГАНОРМ: примечание.
Взамен ГОСТ 8026-75 Постановлением Госстандарта РФ от
23.03.1992 N 233 с 1 января 1993 года введен в действие
ИС МЕГАНОРМ: примечание.
Взамен ГОСТ 10006-73 Постановлением Госстандарта СССР от
31.03.1980 N 1464 с 1 июля 1980 года введен в действие
ИС МЕГАНОРМ: примечание.
Взамен ГОСТ 12344-88 Постановлением Госстандарта РФ от
20.01.2004 N 24-ст с 1 сентября 2004 года введен в действие
ИС МЕГАНОРМ: примечание.
Взамен ГОСТ 12345-88 Постановлением Госстандарта РФ от
28.08.2001 N 356-ст с 1 марта 2002 года введен в действие
ИС МЕГАНОРМ: примечание.
Взамен ГОСТ 12351-81 Постановлением Госстандарта РФ от
09.03.2004 N 148-ст с 1 января 2005 года введен в действие
ИС МЕГАНОРМ: примечание.
Взамен ГОСТ 12358-82 Постановлением Госстандарта РФ от
11.09.2002 N 331-ст с 1 мая 2003 года введен в действие
ИС МЕГАНОРМ: примечание.
21.10.1999 N 360-ст с 1 июля 2000 года введен в действие
ИС МЕГАНОРМ: примечание.
Взамен ГОСТ 12361-82 Постановлением Госстандарта РФ от
11.09.2002 N 331-ст с 1 мая 2003 года введен в действие
5. Срок действия продлен до 01.01.1996 Постановлением Госстандарта СССР от 30.03.1990 N 739.
6. Переиздание (май 1992 г.) с Изменениями N 1, 2, утвержденными в декабре 1985 г., марте 1990 г. (ИУС 4-86, 7-90).
Настоящий стандарт распространяется на трубки малых размеров (капиллярные) из углеродистой и коррозионно-стойкой стали и сплавов, применяемые для трубопроводов и деталей конструкций разного назначения.
1.1. Размеры трубок должны соответствовать указанным в табл. 1.
(Измененная редакция, Изм. N 1).
─────┬──────────────────────────────────────────────────────────────
На- │ Предельные отклонения по внутреннему диаметру
руж- │ при толщине стенки, мм
ный │
диа- ├────────┬────────┬────────┬────────┬────────┬────────┬────────
метр,│ 0,10 │ 0,12 │ 0,15 │ 0,16 │ 0,18 │ 0,20 │ 0,22
мм │ │ │ │ │ │ │
─────┼────────┼────────┼────────┼────────┼────────┼────────┼────────
0,30 │0,1 +/- │- │- │- │- │- │-
│0,05 │ │ │ │ │ │
0,32 │0,12 +/-│- │- │- │- │- │-
│0,05 │ │ │ │ │ │
0,36 │0,16 +/-│0,12 +/-│- │- │- │- │-
│0,05 │0,05 │ │ │ │ │
0,40 │0,20 +/-│0,16 +/-│- │- │- │- │-
│0,05 │0,05 │ │ │ │ │
0,45 │0,25 +/-│0,21 +/-│0,15 +/-│0,13 +/-│- │- │-
│0,05 │0,05 │0,05 │0,05 │ │ │
0,50 │0,30 +/-│0,26 +/-│0,20 +/-│0,18 +/-│0,14 +/-│0,10 +/-│-
│0,05 │0,05 │0,05 │0,05 │0,05 │0,05 │
0,55 │0,35 +/-│0,31 +/-│0,25 +/-│0,23 +/-│0,19 +/-│0,15 +/-│0,11 +/-
│0,05 │0,05 │0,05 │0,05 │0,05 │0,05 │0,05
0,60 │0,40 +/-│0,36 +/-│0,30 +/-│0,28 +/-│0,24 +/-│0,20 +/-│0,16 +/-
│0,05 │0,05 │0,05 │0,05 │0,05 │0,05 │0,05
0,70 │0,50 +/-│0,46 +/-│0,40 +/-│0,38 +/-│0,34 +/-│0,30 +/-│0,26 +/-
│0,05 │0,05 │0,05 │0,05 │0,05 │0,05 │0,05
0,80 │0,60 +/-│0,56 +/-│0,50 +/-│0,48 +/-│0,44 +/-│0,40 +/-│0,36 +/-
│0,05 │0,05 │0,05 │0,05 │0,05 │0,05 │0,05
0,90 │0,70 │0,66 │0,60 │0,58 +/-│0,54 +/-│0,50 +/-│0,46 +/-
│ │ │ │0,05 │0,05 │0,05 │0,05
1,0 │0,80 │0,76 │0,70 │0,68 │0,64 │0,60 +/-│0,56 +/-
│ │ │ │ │ │0,05 │0,05
1,2 │1,0 │0,96 │0,90 │0,88 │0,84 │0,80 │0,76
1,4 │1,2 │1,16 │1,10 │1,08 │1,04 │1,0 │0,96
1,5 │1,3 │1,26 │1,20 │1,18 │1,14 │1,1 │1,06
1,6 │1,4 │1,36 │1,30 │1,28 │1,24 │1,20 │1,16
1,8 │1,6 │1,56 │1,50 │1,48 │1,44 │1,40 │1,36
2,0 │1,8 │1,76 │1,7 │1,68 │1,64 │1,60 │1,56
2,2 │2,0 │1,96 │1,9 │1,88 │1,84 │1,80 │1,76
2,4 │2,2 │2,16 │2,1 │2,08 │2,04 │2,0 │1,96
2,5 │2,3 │2,26 │2,2 │2,18 │2,14 │2,10 │2,06
2,8 │2,6 │2,56 │2,5 │2,48 │2,44 │2,40 │2,36
3,0 │2,8 │2,76 │2,7 │2,68 │2,64 │2,60 │2,56
3,2 │3,0 │2,96 │2,9 │2,88 │2,84 │2,80 │2,76
3,4 │3,2 │3,16 │3,1 │3,08 │3,04 │3,00 │2,96
Продолжение табл. 1
─────┬─────────────────────────────────────────────────────────────
На- │ Предельные отклонения по внутреннему диаметру
руж- │ при толщине стенки, мм
ный │
диа- ├────────┬────────┬───────┬────────┬────────┬────────┬────────
метр,│ 0,25 │ 0,28 │ 0,30 │ 0,32 │ 0,35 │ 0,36 │ 0,38
мм │ │ │ │ │ │ │
─────┼────────┼────────┼───────┼────────┼────────┼────────┼────────
0,30 │- │- │- │- │- │- │-
0,32 │- │- │- │- │- │- │-
0,36 │- │- │- │- │- │- │-
0,40 │- │- │- │- │- │- │-
0,45 │- │- │- │- │- │- │-
0,50 │- │- │- │- │- │- │-
0,55 │- │- │- │- │- │- │-
0,60 │0,10 +/-│- │- │- │- │- │-
│0,05 │ │ │ │ │ │
0,70 │0,20 +/-│0,14 +/-│- │- │- │- │-
│0,05 │0,05 │ │ │ │ │
0,80 │0,30 +/-│0,24 +/-│0,2 +/-│0,16 +/-│- │- │-
│0,05 │0,05 │0,05 │0,05 │ │ │
0,90 │0,40 +/-│0,34 +/-│0,3 +/-│0,26 +/-│0,20 +/-│0,18 +/-│-
│0,05 │0,05 │0,05 │0,05 │0,05 │0,05 │
1,0 │0,50 +/-│0,44 +/-│0,4 +/-│0,36 +/-│0,30 +/-│0,28 +/-│0,24 +/-
│0,05 │0,05 │0,05 │0,05 │0,05 │0,05 │0,05
1,2 │0,70 │0,64 │0,6 +/-│0,56 +/-│0,50 +/-│0,48 +/-│0,44 +/-
│ │ │0,05 │0,05 │0,05 │0,05 │0,05
1,4 │0,9 │0,84 │0,8 │0,76 │0,70 │0,68 │0,64
1,5 │1,0 │0,94 │0,9 │0,86 │0,80 │0,78 │0,74
1,6 │1,10 │1,04 │1,0 │0,96 │0,90 │0,88 │0,84
1,8 │1,30 │1,24 │1,2 │1,16 │1,10 │1,08 │1,04
2,0 │1,50 │1,44 │1,4 │1,36 │1,30 │1,28 │1,24
2,2 │1,70 │1,64 │1,6 │1,56 │1,50 │1,48 │1,44
2,4 │1,90 │1,84 │1,8 │1,76 │1,70 │1,68 │1,64
2,5 │2,00 │1,94 │1,9 │1,86 │1,80 │1,78 │1,74
2,8 │2,30 │2,24 │2,2 │2,16 │2,10 │2,08 │2,04
3,0 │2,50 │2,44 │2,4 │2,36 │2,30 │2,28 │2,24
3,2 │2,70 │2,64 │2,6 │2,56 │2,50 │2,48 │2,44
3,4 │2,90 │2,84 │2,8 │2,76 │2,70 │2,68 │2,64
Продолжение табл. 1
─────┬──────────────────────────────────────────────────────────────
На- │ Предельные отклонения по внутреннему диаметру
руж- │ при толщине стенки, мм
ный │
диа- ├────────┬────────┬────────┬────────┬────────┬────────┬────────
метр,│ 0,40 │ 0,45 │ 0,50 │ 0,55 │ 0,60 │ 0,70 │ 0,80
мм │ │ │ │ │ │ │
─────┼────────┼────────┼────────┼────────┼────────┼────────┼────────
0,30 │- │- │- │- │- │- │-
0,32 │- │- │- │- │- │- │-
0,36 │- │- │- │- │- │- │-
0,40 │- │- │- │- │- │- │-
0,45 │- │- │- │- │- │- │-
0,50 │- │- │- │- │- │- │-
0,55 │- │- │- │- │- │- │-
0,60 │- │- │- │- │- │- │-
0,70 │- │- │- │- │- │- │-
0,80 │- │- │- │- │- │- │-
0,90 │- │- │- │- │- │- │-
1,0 │0,20 +/-│0,10 +/-│- │- │- │- │-
│0,05 │0,05 │ │ │ │ │
1,2 │0,40 +/-│0,30 +/-│0,20 +/-│0,10 +/-│- │- │-
│0,05 │0,05 │0,05 │0,05 │ │ │
1,4 │0,6 +/- │0,50 +/-│0,4 +/- │0,30 +/-│0,2 +/- │- │-
│0,05 │0,05 │0,05 │0,05 │0,05 │ │
1,5 │0,7 │0,60 │0,5 +/- │0,40 +/-│0,3 +/- │- │-
│ │ │0,05 │0,05 │0,05 │ │
1,6 │0,80 │0,70 │0,60 +/-│0,50 +/-│0,40 +/-│0,20 +/-│-
│ │ │0,05 │0,05 │0,05 │0,05 │
1,8 │1,0 │0,90 │0,8 │0,70 │0,6 +/- │0,4 +/- │0,2 +/-
│ │ │ │ │0,05 │0,05 │0,05
2,0 │1,20 │1,10 │1,00 │0,90 │0,80 │0,60 +/-│0,40 +/-
│ │ │ │ │ │0,04 │0,04
2,2 │1,40 │1,30 │1,20 │1,10 │1,00 │0,80 │0,60 +/-
│ │ │ │ │ │ │0,04
2,4 │1,60 │1,50 │1,40 │1,30 │1,20 │1,00 │0,80
2,5 │1,70 │1,60 │1,50 │1,40 │1,30 │1,10 │0,90
2,8 │2,00 │1,90 │1,80 │1,70 │1,60 │1,40 │1,20
3,0 │2,20 │2,10 │2,00 │1,90 │1,80 │1,60 │1,40
3,2 │2,40 │2,30 │2,20 │2,10 │2,00 │1,80 │1,60
3,4 │2,60 │2,50 │2,40 │2,30 │2,20 │2,0 │1,80
Продолжение табл. 1
─────┬─────────────────────────────────────────────────────────────────────
На- │ Предельные отклонения по внутреннему диаметру
руж- │ при толщине стенки, мм
ный │
диа- ├────────┬────────┬────────┬────────┬───────┬────────┬───────┬────────
метр,│ 0,90 │ 1,0 │ 1,10 │ 1,20 │ 1,30 │ 1,40 │ 1,50 │ 1,60
мм │ │ │ │ │ │ │ │
─────┼────────┼────────┼────────┼────────┼───────┼────────┼───────┼────────
0,30 │- │- │- │- │- │- │- │-
0,32 │- │- │- │- │- │- │- │-
0,36 │- │- │- │- │- │- │- │-
0,40 │- │- │- │- │- │- │- │-
0,45 │- │- │- │- │- │- │- │-
0,50 │- │- │- │- │- │- │- │-
0,55 │- │- │- │- │- │- │- │-
0,60 │- │- │- │- │- │- │- │-
0,70 │- │- │- │- │- │- │- │-
0,80 │- │- │- │- │- │- │- │-
0,90 │- │- │- │- │- │- │- │-
1,0 │- │- │- │- │- │- │- │-
1,2 │- │- │- │- │- │- │- │-
1,4 │- │- │- │- │- │- │- │-
1,5 │- │- │- │- │- │- │- │-
1,6 │- │- │- │- │- │- │- │-
1,8 │- │- │- │- │- │- │- │-
2,0 │0,20 +/-│- │- │- │- │- │- │-
│0,04 │ │ │ │ │ │ │
2,2 │0,40 +/-│0,20 +/-│- │- │- │- │- │-
│0,04 │0,04 │ │ │ │ │ │
2,4 │0,60 │0,40 +/-│- │- │- │- │- │-
│ │0,04 │ │ │ │ │ │
2,5 │0,70 │0,50 +/-│0,30 +/-│0,10 +/-│- │- │- │-
│ │0,04 │0,04 │0,04 │ │ │ │
2,8 │1,00 │0,80 │0,60 +/-│0,40 +/-│- │- │- │-
│ │ │0,04 │0,04 │ │ │ │
3,0 │1,20 │1,00 │0,80 │0,60 +/-│0,4 +/-│0,20 +/-│- │-
│ │ │ │0,04 │0,05 │0,04 │ │
3,2 │1,40 │1,20 │1,00 │0,80 │0,6 │0,40 +/-│- │-
│ │ │ │ │ │0,04 │ │
3,4 │1,60 │1,40 │1,20 │1,00 │0,8 │0,60 +/-│0,4 +/-│0,20 +/-
│ │ │ │ │ │0,04 │0,04 │0,04
Продолжение табл. 1
─────────┬────────────────────────────────────────────────────────
Наружный │ Предельные отклонения по внутреннему диаметру
диаметр, │ при толщине стенки, мм
мм ├────────┬──────┬───────┬───────┬───────┬────────┬───────
│ 0,10 │ 0,12 │ 0,15 │ 0,16 │ 0,18 │ 0,20 │ 0,22
─────────┼────────┼──────┼───────┼───────┼───────┼────────┼───────
3,5 │3,3 │3,26 │3,2 │3,18 │3,14 │3,10 │3,06
3,6 │3,4 │3,36 │3,3 │3,28 │3,24 │3,20 │3,16
3,8 │3,6 │3,56 │3,5 │3,48 │3,44 │3,40 │3,36
4,0 │3,8 │3,76 │3,7 │3,68 │3,64 │3,60 │3,56
4,2 │4,0 │3,96 │3,9 │3,88 │3,84 │3,80 │3,76
4,5 │4,3 │4,26 │4,2 │4,18 │4,14 │4,10 │4,06
4,8 │4,6 │4,56 │4,5 │4,48 │4,44 │4,40 │4,36
5,0 │4,8 │4,76 │4,70 │4,68 │4,64 │4,60 │4,56
Продолжение табл. 1
─────────┬────────────────────────────────────────────────────────
Наружный │ Предельные отклонения по внутреннему диаметру
диаметр, │ при толщине стенки, мм
мм ├────────┬──────┬───────┬───────┬───────┬────────┬───────
│ 0,25 │ 0,28 │ 0,30 │ 0,32 │ 0,35 │ 0,36 │ 0,38
─────────┼────────┼──────┼───────┼───────┼───────┼────────┼───────
3,5 │3,0 │2,94 │2,9 │2,86 │2,80 │2,78 │2,74
3,6 │3,10 │3,04 │3,0 │2,96 │2,90 │2,88 │2,84
3,8 │3,30 │3,24 │3,2 │3,16 │3,10 │3,08 │3,04
4,0 │3,50 │3,44 │3,4 │3,36 │3,30 │3,28 │3,24
4,2 │3,70 │3,64 │3,6 │3,56 │3,50 │3,48 │3,44
4,5 │4,00 │3,94 │3,9 │3,86 │3,80 │3,78 │3,74
4,8 │4,30 │4,24 │4,2 │4,16 │4,10 │4,08 │4,04
5,0 │4,50 │4,44 │4,40 │4,36 │4,30 │4,28 │4,24
Продолжение табл. 1
────────┬─────────────────────────────────────────────────────────
Наружный│ Предельные отклонения по внутреннему диаметру
диаметр,│ при толщине стенки, мм
мм ├────────┬──────┬───────┬───────┬───────┬────────┬────────
│ 0,40 │ 0,45 │ 0,50 │ 0,55 │ 0,60 │ 0,70 │ 0,80
────────┼────────┼──────┼───────┼───────┼───────┼────────┼────────
3,5 │2,7 │2,6 │2,50 │2,4 │2,3 │2,1 │1,9
3,6 │2,8 │2,70 │2,60 │2,50 │2,40 │2,20 │2,00
3,8 │3,00 │2,90 │2,80 │2,70 │2,60 │2,40 │2,20
4,0 │3,20 │3,10 │3,00 │2,90 │2,80 │2,60 │2,40
4,2 │3,40 │3,30 │3,20 │3,10 │3,00 │2,80 │2,60
4,5 │3,70 │3,60 │3,50 │3,40 │3,30 │3,10 │2,90
4,8 │4,00 │3,90 │3,80 │3,70 │3,60 │3,40 │3,20
5,0 │4,20 │4,10 │4,00 │3,9 │3,80 │3,60 │3,40
Продолжение табл. 1
────────┬─────────────────────────────────────────────────────────
Наружный│ Предельные отклонения по внутреннему диаметру
диаметр,│ при толщине стенки, мм
мм ├────┬────┬────┬────┬────┬─────┬────────────┬─────────────
│0,90│1,0 │1,10│1,20│1,30│1,40 │ 1,50 │ 1,60
────────┼────┼────┼────┼────┼────┼─────┼────────────┼─────────────
3,5 │1,7 │1,5 │1,3 │1,1 │0,9 │0,7 │0,5 +/- 0,04│0,30 +/- 0,04
3,6 │1,80│1,60│1,40│1,20│1,0 │0,80 │0,6 +/- 0,04│0,40 +/- 0,04
3,8 │2,00│1,80│1,60│1,40│1,2 │1,00 │0,8 +/- 0,04│0,60 +/- 0,04
4,0 │2,20│2,00│1,80│1,60│1,4 │1,20 │1,0 │0,80
4,2 │2,40│2,20│2,00│1,80│1,6 │1,40 │1,2 │1,00
4,5 │2,70│2,50│2,30│2,10│1,9 │1,70 │1,5 │1,30
4,8 │3,00│2,80│2,60│2,40│2,2 │2,00 │1,8 │1,60
5,0 │3,20│3,00│2,80│2,60│2,4 │2,20 │2,0 │1,80
Примечание. Линейная масса трубки (

), кг/м, определяется по формуле

,
где

- номинальный наружный диаметр, мм;

- номинальная толщина стенки, мм;

- плотность металла в соответствии с
табл. 3 в зависимости от марки стали.
1.2. По длине трубки должны изготовляться:
немерные - не менее 0,3 м;
мерные - не более 4 м, с предельным отклонением на общую длину плюс 15 мм;
кратные мерным - не более 4 м, с припуском на каждый рез по 5 мм и с предельным отклонением на общую длину плюс 15 мм;
в бунтах - не более 160 м.
По требованию потребителя трубки мерные и кратные мерным изготовляются длиной не более 7 м.
В партии мерных и кратных мерным трубок допускается не более 10% немерных трубок до 1 января 1988 г.
(Измененная редакция, Изм. N 1).
1.3. Трубки должны изготовляться по наружному диаметру и по толщине стенки. При внутреннем диаметре более 0,6 мм трубки также изготовляются по внутреннему диаметру и толщине стенки или по внутреннему и наружному диаметрам. По требованию потребителя трубки внутренним диаметром 0,6 мм и менее изготовляются по внутреннему диаметру и толщине стенки или по внутреннему и наружному диаметрам.
(Измененная редакция, Изм. N 1, 2).
1.4. Предельные отклонения по наружному диаметру и толщине стенки должны соответствовать табл. 2.
────────────────┬───────────────┬─────────────────────────────────
Параметры │ Размеры, мм │Предельные отклонения для трубок
│ │ точности изготовления, мм
│ ├────────────────┬────────────────
│ │ обычной │ повышенной
────────────────┼───────────────┼────────────────┼────────────────
Наружный диаметр│До 1 │+/- 0,03 │+/- 0,02
│Св. 1 до 2 │+/- 0,04 │+/- 0,02
│Св. 2 │+/- 0,05 │+/- 0,03
────────────────┼───────────────┼────────────────┼────────────────
Толщина стенки │До 0,2 │+ 0,03 │+0,02
│ │-0,02 │-0,01
│Св. 0,2 до 0,5 │+/- 0,04 │+/- 0,03
│Св. 0,5 │+/- 10% │+/- 8%
1.5. Для трубок внутренним диаметром 0,6 мм и менее предельные отклонения по внутреннему диаметру не должны превышать указанных в
табл. 1.
Для трубок внутренним диаметром более 0,6 мм предельные отклонения по внутреннему диаметру не должны превышать более чем на 0,01 мм соответствующие предельные отклонения по наружному диаметру (
табл. 2).
1.6. По требованию потребителя трубки могут изготовляться с комбинированными предельными отклонениями, например:
по наружному диаметру - повышенной точности,
по толщине стенки - обычной точности,
а также с односторонним предельным отклонением по наружному диаметру и толщине стенки. Величина одностороннего предельного отклонения не должна превышать суммы предельных отклонений.
По требованию потребителя трубки изготовляют по внутреннему диаметру без нормирования предельных отклонений по толщине стенки и наружному диаметру.
1.7. Кривизна трубок на участке длиной 1 м не должна превышать 3 мм. По требованию потребителя допускается изготовление трубок без правки.
Кривизна трубок наружным диаметром менее 1 мм и трубок, изготовляемых в бунтах или в нагартованном состоянии не нормируется, однако трубки не должны иметь резких перегибов.
Примеры условных обозначений
Трубка наружным диаметром 2,0 мм, толщиной стенки 0,4 мм, из стали марки 12Х18Н10Т, обычной точности изготовления по диаметру и толщине стенки, мерная, длиной 4000 мм, с поставкой по химическому составу и механическим свойствам:
Трубка 2,0 х 0,4 х 4000 - 12Х18Н10Т - А ГОСТ 14162-79
То же, повышенной точности изготовления по диаметру и толщине стенки, длиной кратной 1500 мм, с поставкой по химическому составу:
Трубка 2,0п х 0,4п х 1500 кр - 12Х18Н10Т - Б ГОСТ 14162-79
Трубка внутренним диаметром 1,2 мм, толщиной стенки 0,4 мм, из стали марки 12Х18Н10Т, обычной точности изготовления по диаметру и толщине стенки, немерная, с поставкой по механическим свойствам:
Трубка вн 1,2 х 0,4 - 12Х18Н10Т - В ГОСТ 14162-79
То же, повышенной точности изготовления по диаметру и обычной по толщине стенки, длиной 4000 мм (мерной), с поставкой по механическим свойствам:
Трубка вн 1,2п х 0,4 х 4000 - 12Х18Н10Т - В ГОСТ 14162-79
То же, при поставке труб в бунтах длиной 40 м:
Трубка вн 1,2п х 0,4 х бунт 40 - 12Х18Н10Т - В ГОСТ 14162-79
Трубка наружным диаметром 2,0 мм, внутренним диаметром 0,8 мм, обычной точности изготовления по наружному и внутреннему диаметрам, мерная, длиной 4000 мм, с нормированием химического состава:
Трубка 2,0 х вн 0,8 х 4000 - 12Х18Н10Т - Б ГОСТ 14162-79
1.6, 1.7. (Измененная редакция, Изм. N 1).
2. ТЕХНИЧЕСКИЕ ТРЕБОВАНИЯ
2.1. Трубки должны изготовляться в соответствии с требованиями настоящего стандарта по технологическим регламентам, утвержденным в установленном порядке из углеродистых и коррозионно-стойких сталей и сплавов, указанных в табл. 3 с химическим составом по
ГОСТ 1050-88,
ГОСТ 5632-72 и
ГОСТ 10994-74.
──────────────────┬─────────────────────────────┬─────────────────
Марка стали │ Механические свойства │Плотность, г/см3
│ термообработанных трубок │
├───────────────┬─────────────┤
│ временное │относительное│
│ сопротивление,│ удлинение, │
│ сигма , │ дельта , % │
│ в │ 5 │
│Н/мм2 (кгс/мм2)│ │
├───────────────┴─────────────┤
│ не менее │
──────────────────┼───────────────┬─────────────┼─────────────────
08 │314 (32) │24 │7,85
10 │333 (34) │24 │7,85
12Х18Н9 │По согласованию изготовителя │7,90
│с потребителем │
08Х18Н10Т │529 (54) │37 │7,90
12Х18Н10Т │549 (56) │35 │7,90
08Х18Н12Т │510 (52) │26 │7,95
12Х18Н12Т │510 (52) │26 │7,95
ХН77ТЮР (ЭИ 437 Б)│784 (80) │20 │8,20
ХН78Т (ЭИ 435) │По согласованию изготовителя │8,35
│с потребителем │
48НХ (Н48Х, │392 (40) │40 │8,35
ЭИ 693) │ │ │
По согласованию изготовителя с потребителем допускается изготовление трубок из сталей и сплавов других марок обычной выплавки, электрошлакового и вакуумно-дугового переплава.
2.2. В зависимости от назначения трубки должны изготовляться следующих групп:
А - с нормированием химического состава и механических свойств;
Б - с нормированием химического состава;
В - с нормированием механических свойств.
2.3. Трубки должны быть термически обработанными или нагартованными. Механические свойства термообработанных трубок должны соответствовать указанным в
табл. 3.
Механические свойства нагартованных трубок устанавливаются по согласованию изготовителя с потребителем.
2.1 - 2.3. (Измененная редакция, Изм. N 1).
2.4. Температурный коэффициент линейного расширения сплава 48НХ должен соответствовать требованиям ГОСТ 14080-78.
2.5. Термообработанные трубки изготовляют с травленой поверхностью. По требованию потребителя трубки изготовляют со шлифованной наружной поверхностью.
При термической обработке трубок в вакуумных печах или в печах с защитной атмосферой наружную поверхность их дополнительной обработке допускается не подвергать.
2.6. Наружная поверхность трубок должна быть светлой, чистой, не должна иметь рисок, вмятин, волосовин, закатов, раковин, плен, трещин и травильной сыпи.
Допускаются цвета побежалости, а также отдельные риски, царапины и пологие вмятины, не выводящие размеры трубок за пределы минусовых отклонений и легко удаляемые зачисткой.
На трубках допускается наличие тонкой, не отслаивающейся окисной пленки.
Внутренняя поверхность трубок должна быть светлой, чистой, не должна иметь окалины, перетрава, песочин и морщин, видимых невооруженным глазом. Допускаются цвета побежалости. По согласованию изготовителя с потребителем цвета побежалости не допускаются.
(Измененная редакция, Изм. N 1, 2).
2.7. Трубки диаметром более 1,6 мм должны изготовляться с обрезанными концами, без заусенцев. Концы трубок диаметром менее 1,6 мм не обрезают.
2.8. Для прочистки канала трубки должны быть продуты с каждого конца сухим воздухом или нейтральным газом.
Давление воздуха при продувке должно быть не менее 0,49 МПа (5 кгс/см2).
2.9. По требованию потребителя термообработанные трубки наружным диаметром 1 мм и более должны выдерживать загиб, сплющивание и контроль микроструктуры (величины зерна). Методы и нормы устанавливают по согласованию изготовителя с потребителем.
2.10. По требованию потребителя трубки, работающие под давлением, должны выдерживать испытание на герметичность под давлением 0,59 - 0,78 МПа (6 - 8 кгс/см2).
Способность трубок выдерживать испытание на герметичность обеспечивается технологией производства.
2.9, 2.10. (Измененная редакция, Изм. N 1).
2.11. По требованию потребителя термообработанные трубки внутренним диаметром 0,8 мм и более из стали 12Х18Н9; 08Х18Н10Т; 12Х18Н10Т; 08Х18Н12Т и 12Х18Н12Т должны выдерживать испытание на межкристаллитную коррозию.
(Введен дополнительно, Изм. N 1).
3.1. Трубки принимают партиями. Партия должна состоять из трубок одного номинального диаметра, одной толщины стенки, одной марки стали или сплава, одного режима термической обработки и сопровождаться одним документом о качестве в соответствии с
ГОСТ 10692-80.
Общая длина труб в партии должна быть не более 1000 м. Масса партии должна быть не более 70 кг.
(Измененная редакция, Изм. N 1).
3.2. Проверке наружной поверхности и наружного диаметра подвергают каждую трубку партии.
(Измененная редакция, Изм. N 2).
3.3. Для контроля качества от партии готовых трубок отбирают:
5%, но не менее десяти трубок - для проверки внутренней поверхности, толщины стенки и внутреннего диаметра;
пять трубок - для контроля механических свойств, загиба и сплющивания и микроструктуры;
две трубки - для контроля на межкристаллитную коррозию;
две трубки - для контроля на герметичность.
(Измененная редакция, Изм. N 1).
3.4. (Исключен, Изм. N 1).
3.5. Температурный коэффициент линейного расширения сплава 48НХ и химический состав металла трубок принимается в соответствии с документом о качестве заготовки для трубок.
3.6. (Исключен, Изм. N 1).
3.7. При получении неудовлетворительных результатов испытания хотя бы по одному из показателей проводят по нему повторные испытания на удвоенном количестве образцов, взятых от той же партии.
Результаты повторных испытаний распространяются на всю партию.
(Измененная редакция, Изм. N 2).
4.1. Для проверки механических свойств, испытания на загиб и сплющивание, контроля межкристаллитной коррозии, микроструктуры, качества внутренней поверхности и толщины стенки от каждой отобранной для испытания трубки отрезают по одному образцу.
4.2. Проверку наружной поверхности проводят визуальным осмотром.
Проверку внутренней поверхности проводят на продольных образцах длиной 50 - 100 мм, отрезанных от концов трубок и разрезанных вдоль образующей или сточенных по образующей до половины диаметра, или дувкой сухим воздухом под давлением не менее 0,49 МПа (5 кгс/см2) на белый экран.
| | ИС МЕГАНОРМ: примечание. Взамен ГОСТ 8.326-89 на территории Российской Федерации с 1 декабря 2001 года введены в действие ПР 50.2.009-94 "ГСИ. Порядок проведения испытаний и утверждения типа средств измерений" (Постановление Госстандарта России от 27.09.2001 N 394-ст). | |
4.3. Наружный диаметр контролируют микрометрами по
ГОСТ 6507-90 и
ГОСТ 4381-87 с точностью до 0,01 мм или другими приборами, обеспечивающими заданную точность измерения и аттестованными в соответствии с ГОСТ 8.326-89.
(Измененная редакция, Изм. N 1).
4.4. Толщину стенки трубок внутренним диаметром более 1 мм контролируют на трубках, патрубках или на подготовленных образцах стенкомерами индикаторными по
ГОСТ 11358-89 или специальными приспособлениями с индикаторами часового типа по
ГОСТ 577-68; на универсальных микроскопах; на инструментальных микроскопах по
ГОСТ 8074-82 или другими приборами, обеспечивающими необходимую точность измерения и аттестованными в соответствии с ГОСТ 8.326-89.
Толщину стенки (S) трубок, мм, с внутренним диаметром менее 1,0 мм вычисляют по формуле

,
где

- наружный диаметр, мм;

- внутренний диаметр, мм, определяемый по формуле п. 4.5.
4.5. Внутренний диаметр (

) контролируют путем вычитания от наружного диаметра двух толщин стенок или вычисляют по формуле

,
где

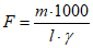
- площадь поперечного сечения трубки, мм2, рассчитываемая по формуле

,
где

- масса трубки, г;

- длина образца трубки, мм;

- плотность стали, г/см3.
Трубки взвешивают с погрешностью не более +/- 0,02 г.
Допускается контролировать внутренний диаметр трубок на шлифах, предельными проходными и непроходными калибрами-пробками по ГОСТ 14808-69 и ГОСТ 14809-69 или калиброванной проволокой.
(Измененная редакция, Изм. N 1).
| | ИС МЕГАНОРМ: примечание. Взамен ГОСТ 10006-73 Постановлением Госстандарта СССР от 31.03.1980 N 1464 с 1 июля 1980 года введен в действие ГОСТ 10006-80. | |
4.6. Испытание на растяжение проводят по ГОСТ 10006-73 на продольных образцах в виде отрезка трубы полного сечения. Для трубок с толщиной стенки менее 0,2 мм испытание проводят по нормативно-технической документации.
| | ИС МЕГАНОРМ: примечание. Взамен ГОСТ 12358-82 Постановлением Госстандарта РФ от 11.09.2002 N 331-ст с 1 мая 2003 года введен в действие ГОСТ 12358-2002. | |
| | ИС МЕГАНОРМ: примечание. Взамен ГОСТ 12345-88 Постановлением Госстандарта РФ от 28.08.2001 N 356-ст с 1 марта 2002 года введен в действие ГОСТ 12345-2001. | |
| | ИС МЕГАНОРМ: примечание. Взамен ГОСТ 12351-81 Постановлением Госстандарта РФ от 09.03.2004 N 148-ст с 1 января 2005 года введен в действие ГОСТ 12351-2003. | |
| | ИС МЕГАНОРМ: примечание. Взамен ГОСТ 12344-88 Постановлением Госстандарта РФ от 20.01.2004 N 24-ст с 1 сентября 2004 года введен в действие ГОСТ 12344-2003. | |
| | ИС МЕГАНОРМ: примечание. Взамен ГОСТ 12361-82 Постановлением Госстандарта РФ от 11.09.2002 N 331-ст с 1 мая 2003 года введен в действие ГОСТ 12361-2002. | |
4.7. Химический состав материала трубок контролируют по ГОСТ 12344-88, ГОСТ 12345-88,
ГОСТ 12346-78,
ГОСТ 12347-77,
ГОСТ 12348-78,
ГОСТ 12349-83,
ГОСТ 12350-78, ГОСТ 12351-81, ГОСТ 12352-66,
ГОСТ 12353-78,
ГОСТ 12354-81,
ГОСТ 12355-78,
ГОСТ 12356-81,
ГОСТ 12357-84, ГОСТ 12358-82, ГОСТ 12359-81, ГОСТ 12360-82, ГОСТ 12361-82, ГОСТ 12362-66 - ГОСТ 12365-66,
ГОСТ 28473-90 и
ГОСТ 22536.0-87,
ГОСТ 22536.1-88,
ГОСТ 22536.2-87,
ГОСТ 22536.3-88,
ГОСТ 22536.4-88,
ГОСТ 22536.5-87,
ГОСТ 22536.6-88.
4.8. Испытание на межкристаллитную коррозию проводят по методу АМ
ГОСТ 6032-89 или согласованной методике. Допускается проводить испытание по методу АМУ
ГОСТ 6032-89. В случае разногласий в оценке результатов испытание проводят по методу АМ
ГОСТ 6032-89.
(Измененная редакция, Изм. N 1).
4.9. Испытание на герметичность проводят нагнетанием сухого воздуха под давлением 0,57 - 0,78 МПа (6 - 8 кгс/см2) в находящуюся в воде трубку со сплющенным концом; при этом не должно быть утечки воздуха.
4.10. Контроль микроструктуры проводят по нормативно-технической документации.
| | ИС МЕГАНОРМ: примечание. Взамен ГОСТ 7502-89 Постановлением Госстандарта РФ от 27.07.1999 N 220-ст с 1 июля 2000 года введен в действие ГОСТ 7502-98. | |
| | ИС МЕГАНОРМ: примечание. Взамен ГОСТ 8.326-89 на территории Российской Федерации с 1 декабря 2001 года введены в действие ПР 50.2.009-94 "ГСИ. Порядок проведения испытаний и утверждения типа средств измерений" (Постановление Госстандарта России от 27.09.2001 N 394-ст). | |
4.11. Длину трубок контролируют измерительной рулеткой по ГОСТ 7502-89 или стационарной линейкой, аттестованной в соответствии с ГОСТ 8.326-89.
| | ИС МЕГАНОРМ: примечание. Взамен ГОСТ 8026-75 Постановлением Госстандарта РФ от 23.03.1992 N 233 с 1 января 1993 года введен в действие ГОСТ 8026-92. | |
4.12. Кривизну трубок контролируют поверочной линейкой по ГОСТ 8026-75 и щупом ТУ 2-034-225-87 или другими средствами измерения, обеспечивающими необходимую точность измерения и аттестованными в соответствии с ГОСТ 8.326-89.
4.13. Определение величины зерна проводят металлографическим методом на продольных образцах по
ГОСТ 5639-82.
Допускается определение величины зерна ультразвуковым методом.
В случае разногласий в оценке результатов определение производят металлографическим методом по
ГОСТ 5639-82.
4.11 - 4.13. (Введены дополнительно, Изм. N 1).
5. МАРКИРОВКА, УПАКОВКА, ТРАНСПОРТИРОВАНИЕ И ХРАНЕНИЕ
5.1. Маркировка, упаковка, транспортирование и хранение - по
ГОСТ 10692-80.
5.2. При транспортировании трубок в бунтах масса грузового места должна быть не более 70 кг. Бунты трубок должны быть перевязаны шпагатом не менее чем в двух местах. Внутренний диаметр бунта должен быть 400 - 700 мм.
(Измененная редакция, Изм. N 1, 2).
5.3. Трубки упаковывают в ящики или решетки.
5.4. При длительном хранении (не менее 3 мес), по требованию потребителя, трубки должны покрываться антикоррозионной смазкой. Смазка должна полностью растворяться в уайт-спирите (
ГОСТ 3134-78).
5.5. По требованию потребителя концы трубок, с целью предохранения канала от проникновения в него влаги, должны быть сплющены до соприкосновения стенок на длине 10 - 15 мм (без уменьшения мерной длины).