Главная // Актуальные документы // ГОСТ (Государственный стандарт)СПРАВКА
Источник публикации
М.: Издательство стандартов, 1993
Примечание к документу
С 1 июля 2003 года до вступления в силу технических регламентов акты федеральных органов исполнительной власти в сфере технического регулирования носят рекомендательный характер и подлежат обязательному исполнению только в части, соответствующей целям, указанным в
пункте 1 статьи 46 Федерального закона от 27.12.2002 N 184-ФЗ.
Введен в действие с 1 января 1980 года.
Взамен ГОСТ 5496-67.
Название документа
"ГОСТ 5496-78. Государственный стандарт Союза ССР. Трубки резиновые технические. Технические условия"
(утв. и введен в действие Постановлением Госстандарта СССР от 25.08.1978 N 2337)
(ред. от 01.04.1991)
"ГОСТ 5496-78. Государственный стандарт Союза ССР. Трубки резиновые технические. Технические условия"
(утв. и введен в действие Постановлением Госстандарта СССР от 25.08.1978 N 2337)
(ред. от 01.04.1991)
Утвержден и введен в действие
Постановлением Госстандарта СССР
от 25 августа 1978 г. N 2337
ГОСУДАРСТВЕННЫЙ СТАНДАРТ СОЮЗА ССР
ТРУБКИ РЕЗИНОВЫЕ ТЕХНИЧЕСКИЕ
ТЕХНИЧЕСКИЕ УСЛОВИЯ
Rubber technical tubes. Specifications
ГОСТ 5496-78
| | Список изменяющих документов (в ред. Изменения N 1, утв. в июне 1984 г., Изменения N 2, утв. в марте 1989 г., Изменения N 3, утв. в апреле 1991 г.) | |
Дата введения
1 января 1980 года
1. Разработан и внесен Министерством нефтеперерабатывающей и нефтехимической промышленности СССР.
Разработчики: Г.С. Клитеник, В.А. Малахова, М.В. Жильцова, Е.Б. Трифонова, Н.С. Чарушникова, И.Ш. Новиков.
2. Утвержден и введен в действие Постановлением Государственного комитета СССР по стандартам от 25.08.1978 N 2337.
3. Взамен ГОСТ 5496-67.
4. Ссылочные нормативно-технические документы
───────────────────────────────────────┬──────────────────────────
Обозначение НТД, на который дана ссылка│Номер пункта, приложения
───────────────────────────────────────┼──────────────────────────
ИС МЕГАНОРМ: примечание.
Взамен ГОСТ 8.326-89 на территории Российской Федерации
Порядок проведения испытаний и утверждения типа средств измерений"
ИС МЕГАНОРМ: примечание.
Взамен ГОСТ 5530-81 Приказом Ростехрегулирования от
18.10.2005 N 244-ст с 1 января 2006 года введен в действие
ИС МЕГАНОРМ: примечание.
Взамен ГОСТ 7502-89 Постановлением Госстандарта РФ от
27.07.1999 N 220-ст с 1 июля 2000 года введен в действие
5. Снято ограничение срока действия Постановлением Госстандарта СССР N 541 от 22.04.1991.
6. Переиздание (январь 1993 г.) с Изменениями N 1, 2, 3, утвержденными в июне 1984 г., марте 1989 г., апреле 1991 г. (ИУС 11-84, 6-89, 7-91).
Настоящий стандарт распространяется на резиновые технические трубки, предназначенные для подачи по ним жидкостей, воздуха и газов с давлением не более 0,05 МПа (0,5 кгс/см2) и применяемые в различных областях народного хозяйства.
Стандарт не распространяется на трубки специального назначения.
(Измененная редакция, Изм. N 2).
1. ОСНОВНЫЕ ПАРАМЕТРЫ И РАЗМЕРЫ
1.1. В зависимости от условий эксплуатации трубки изготовляют: 6 типов; трех степеней твердости - малой (М), средней (С), повышенной (П); двух групп:
1 - для работы трубок без избыточного давления рабочей среды;
2 - для работы трубок с давлением рабочей среды не более 0,05 МПа.
Условия эксплуатации трубок приведены в табл. 1.
──────┬─────────────────────┬─────────┬─────────────┬──────────────────────
Тип │ Наименование трубки │ Степень │Температурный│ Рабочая среда
трубки│ │твердости│интервал │
│ │ │работо- │
│ │ │способности, │
│ │ │°C │
──────┼─────────────────────┼─────────┼─────────────┼──────────────────────
1 │ Кислотощелочестойкие│ М, С │ От минус 30 │ Растворы кислот и
│ │ │до плюс 50 │щелочей массовой долей
│ │ │ │до 20% (за исключением
│ │ │ │азотной и уксусной
│ │ │ │кислот), вода, воздух,
│ │ │ │азот и инертные газы
2 │ Теплостойкие │ М, С │ От минус 30 │ Воздух (при
│ │ │до плюс 140 │температуре до 90 °C),
│ │ │ │водяной пар (при
│ │ │ │температуре до 140 °C)
3 │ Морозостойкие │ М, С │ От минус 45 │ Воздух, азот,
│ │ │до плюс 50 │инертные газы
4 │ Маслобензостойкие │ М, С, П │ От минус 30 │ Масло, бензин
│ │ │до плюс 50 │
5 │ Унифицированные │ С │ От минус 50 │ То же, что для типов
│для использования │ │до плюс 50 │
1,
3, 4, а также
│в условиях, │ │ │дизельные масла и
│предусмотренных для │ │ │дизельные топлива
│районов с тропическим│ │ │
│климатом в изделиях │ │ │
│групп I, III, │ │ │
│категорий 2, 3, 4, 5 │ │ │
│по ГОСТ 15152-69 │ │ │
6 │ Для пищевой │ С │ От минус 30 │ Пищевые продукты
│промышленности │ │до плюс 50 │
(Измененная редакция, Изм. N 1, 2).
1.2. По согласованию изготовителя с потребителем допускается изготовлять трубки
типа 1,
2,
3 повышенной твердости с нормами физико-механических показателей резин
типов 1,
2,
3 по ГОСТ 6467-79.
(Измененная редакция, Изм. N 1).
1.3. Размеры поперечного сечения трубок должны соответствовать указанным в табл. 2.
Таблица 2
мм
──────────────────────────────────┬────────────────────────────────────────
Внутренний диаметр, номин. │ Толщина стенки, номин.
──────────────────────────────────┼────────────────────────────────────────
2,0 │1,3
3,0 │1,3; 2,0
4,5 │1,3; 2,0; 3,0
5,0 │1,3; 2,0; 3,0
6,3 │1,3; 2,0; 3,0
8,0 │1,3; 2,0; 3,0
10,0 │1,3; 2,0; 3,0
12,0 │ 2,0; 3,0; 4,0; 5,0
14,0 │ 2,0; 3,0; 4,0; 5,0
16,0 │ 2,0; 3,0; 4,0; 5,0
18,0 │ 2,0; 3,0; 4,0; 5,0
20,0 │ 2,0; 3,0; 4,0; 5,0; 6,0; 8,0
22,0 │ 2,0; 3,0; 4,0; 5,0; 6,0; 8,0
25,0 │ 2,0; 3,0; 4,0; 5,0; 6,0; 8,0
28,0 │ 3,0; 4,0; 5,0; 6,0; 8,0
32,0 │ 3,0; 4,0; 5,0; 6,0; 8,0
36,0 │ 3,0; 4,0; 5,0; 6,0; 8,0
40,0 │ 3,0; 4,0; 5,0; 6,0; 8,0
По согласованию между изготовителем и потребителем допускается изготовлять трубки внутренним диаметром 6,0 и 24,0 мм.
1.4. Предельные отклонения по внутреннему диаметру и толщине стенки трубок не должны превышать указанных в табл. 3,
4.
Таблица 3
мм
──────────────────────────────────────────────────────────────────
Внутренний диаметр
───────────────────────────────────┬──────────────────────────────
Номин. │ Пред. откл.
───────────────────────────────────┼──────────────────────────────
От 2,0 до 6,3 │ +/- 0,5
" 8,0 " 18,0 │ +/- 1,0
" 20,0 " 40,0 │ +/- 1,5
мм
──────────────────────────────────────────────────────────────────
Толщина стенки
───────────────────────────────────┬──────────────────────────────
Номин. │ Пред. откл.
───────────────────────────────────┼──────────────────────────────
1,3 │ +/- 0,3
2,0 │ +/- 0,4
3,0 │ +/- 0,5
4,0; 5,0; 6,0 │ +/- 0,6
8,0 │ +/- 0,8
Пример условного обозначения трубки 1-й группы,
типа 1, средней твердости, внутренним диаметром 6,3 мм и толщиной стенки 3,0 мм:
Трубка 1-1С 6,3x3,0 ГОСТ 5496-78.
То же, для трубки 2-й группы,
типа 3, средней твердости, внутренним диаметром 10,0 мм и толщиной стенки 2,0 мм:
Трубка 2-3С 10,0x2,0 ГОСТ 5496-78.
То же, для трубки 2-й группы,
типа 5, средней твердости, внутренним диаметром 20,0 мм и толщиной стенки 4,0 мм для работы в районах с тропическим климатом в изделиях группы 1, категории размещения 2 и верхней предельной температурой эксплуатации 50 °C:
Трубка 2-5С 20,0x4,0-Т1-2-50 ГОСТ 5496-78.
(Измененная редакция, Изм. N 2).
1.5. Разнотолщинность стенок трубок должна быть в пределах поля допуска на толщину стенки.
(Измененная редакция, Изм. N 2).
1.6. Относительная овальность трубок не должна превышать значений, указанных в табл. 6.
| | ИС МЕГАНОРМ: примечание. Нумерация таблиц дана в соответствии с официальным текстом документа. | |
Таблица 6
мм
──────────────────────────┬──────────────────────┬─────────────────────────
Внутренний диаметр, номин.│Толщина стенки, номин.│Допустимая относительная
│ │ овальность, %, не более
──────────────────────────┼──────────────────────┼─────────────────────────
От 2,0 до 4,5 │ 1,3; 2,0; 3,0 │ 10
" 5,0 " 10,0 │ 1,3; 2,0; 3,0 │ 30
" 12,0 " 18,0 │ 2,0; 3,0 │ 50
│ 4,0; 5,0 │ 30
" 20,0 " 32,0 │ 2,0; 3,0; 4,0 │ 80
│ 5,0; 6,0; 8,0 │ 70
36,0; 40,0 │ 3,0; 4,0 │ 90
│ 5,0; 6,0; 8,0 │ 80
1.7. Длина трубок должна быть не менее 2 м. Трубки внутренним диаметром 32,0 мм и более могут изготовляться прямолинейными отрезками длиной от 2 до 3 м. Количество трубок отрезками менее 2 м не должно превышать 10% от партии.
2. ТЕХНИЧЕСКИЕ ТРЕБОВАНИЯ
2.1. Трубки должны изготовляться в соответствии с требованиями настоящего стандарта по технологическому регламенту, утвержденному в установленном порядке.
2.2. По физико-механическим показателям резины, применяемые для изготовления трубок, должны соответствовать нормам, указанным в табл. 7.
─────────────────┬─────────────────────────────────────────────────────────────────────────────────────────────────────────┬────────────────
Наименование │ Норма для резины, применяемой для изготовления трубок типа │Метод испытания
показателя ├─────────┬─────────┬───────────────────────────┬─────────────────────────────────────────┬────────┬──────┤
├─────────┴─────────┴───────────────────────────┴─────────────────────────────────────────┴────────┴──────┤
│ степени твердости │
├────┬────┬────┬────┬─────────────┬─────────────┬─────────────┬─────────────┬─────────────┬────────┬──────┤
│ М │ С │ М │ С │ М │ С │ М │ С │ П │ С │ С │
├────┴────┴────┴────┴─────────────┴─────────────┴─────────────┴─────────────┴─────────────┴────────┴──────┤
│ группы │
├───────────────────┬──────┬──────┬──────┬──────┬──────┬──────┬──────┬──────┬──────┬──────┬────────┬──────┤
│ 1 │ 1 │ 2 │ 1 │ 2 │ 1 │ 2 │ 1 │ 2 │ 1 │ 2 │ 2 │ 1 │
─────────────────┼────┬────┬────┬────┼──────┼──────┼──────┼──────┼──────┼──────┼──────┼──────┼──────┼──────┼────────┼──────┼────────────────
1. Условная │4,0 │4,0 │4,0 │4,0 │ 4,0 │ 4,9 │ 4,0 │ 5,4 │ 5,0 │ 5,4 │ 5,0 │ 6,5 │ 8,0 │ 8,0 │ 7,0 │ 3,0 │По
ГОСТ 270-75
прочность │ │ │ │ │ │ │ │ │ │ │ │ │ │ │ │ │на образцах
при растяжении, │ │ │ │ │ │ │ │ │ │ │ │ │ │ │ │ │
типа 1, толщиной
МПа, не менее │ │ │ │ │ │ │ │ │ │ │ │ │ │ │ │ │(2,0 +/- 0,2) мм
2. Относительное│350 │250 │350 │300 │ 350 │ 220 │ 250 │ 400 │ 300 │ 190 │ 200 │ 250 │ 250 │То же
удлинение при │ │ │ │ │ │ │ │ │ │ │ │ │ │
разрыве, %, │ │ │ │ │ │ │ │ │ │ │ │ │ │
не менее │ │ │ │ │ │ │ │ │ │ │ │ │ │
3. Твердость │40 -│55 -│40 -│55 -│ 40 - 55 │ 55 - 70 │ 35 - 50 │ 50 - 70 │ 65 - 85 │55 - 70 │50 - │По
ГОСТ 20403-75
в международных │ 55│ 70│ 55│ 70│ │ │ │ │ │ │ 65│
единицах IRHD │ │ │ │ │ │ │ │ │ │ │ │
4. Изменение │ От -40 │ От -30 │От -40│От -35│От -40│От -35│От -40│От -35│От -40│От -35│От -40│От -35│ От -40 │От -60│По
ГОСТ 9.024-74
относительного │ до +5 │ до +5 │до +5 │до +5 │до +5 │до +5 │до +5 │до +5 │до +5 │до +5 │до +5 │до +5 │ до +5 │до +10│
удлинения │ │ │ │ │ │ │ │ │ │ │ │ │ │ │
при старении │ │ │ │ │ │ │ │ │ │ │ │ │ │ │
в воздухе │ │ │ │ │ │ │ │ │ │ │ │ │ │ │
при температуре │ │ │ │ │ │ │ │ │ │ │ │ │ │ │
(100 +/- 1) °C │ │ │ │ │ │ │ │ │ │ │ │ │ │ │
в течение │ │ │ │ │ │ │ │ │ │ │ │ │ │ │
(24,0 +/- 0,5) ч,│ │ │ │ │ │ │ │ │ │ │ │ │ │ │
% │ │ │ │ │ │ │ │ │ │ │ │ │ │ │
5. Коэффициент │ - │ 0,7 │ - │ - │ - │ - │ - │ - │По
п. 4.6
теплостойкости, │ │ │ │ │ │ │ │ │настоящего
не менее │ │ │ │ │ │ │ │ │стандарта
│ │ │ │ │ │ │ │ │
│ │ │ │ │ │ │ │ │
6. Изменение │ -20 │ - │ - │ - │ - │ - │ - │ - │По ГОСТ 9.030-74
удлинения после │ │ │ │ │ │ │ │ │
воздействия при │ │ │ │ │ │ │ │ │
температуре │ │ │ │ │ │ │ │ │
(23 +/- 2) °C │ │ │ │ │ │ │ │ │
в течение │ │ │ │ │ │ │ │ │
(24,0 +/- 0,5) ч,│ │ │ │ │ │ │ │ │
%; не менее │ │ │ │ │ │ │ │ │
20%-ной серной │ │ │ │ │ │ │ │ │
кислоты по │ │ │ │ │ │ │ │ │
соляной кислоты │ │ │ │ │ │ │ │ │
20%-ной │ -20 │ - │ - │ - │ - │ - │ - │ - │
гидроокиси натрия│ │ │ │ │ │ │ │ │
7. Изменение │ - │ - │ - │ - │ От -1,0 │ От -1,0 │ От -1,0 │От -1,0 │ - │То же
массы образца │ │ │ │ │ до +25,0 │ до +25,0 │ до +20,0 │до +25,0│ │
после воздействия│ │ │ │ │ │ │ │ │ │
смеси изооктана │ │ │ │ │ │ │ │ │ │
эталонного по │ │ │ │ │ │ │ │ │ │
и толуола по │ │ │ │ │ │ │ │ │ │
в соотношении 9:1│ │ │ │ │ │ │ │ │ │
(по объему) │ │ │ │ │ │ │ │ │ │
при температуре │ │ │ │ │ │ │ │ │ │
(23 +/- 2) °C │ │ │ │ │ │ │ │ │ │
в течение │ │ │ │ │ │ │ │ │ │
(24,0 +/- 0,5) ч,│ │ │ │ │ │ │ │ │ │
% │ │ │ │ │ │ │ │ │ │
8. Температурный│ - │ - │ -50 │ -50 │ - │ - │ - │ -52 │ - │По
ГОСТ 7912-74
предел хрупкости,│ │ │ │ │ │ │ │ │ │на образцах
°C, не выше │ │ │ │ │ │ │ │ │ │типа А
2.3. Рецептура резин, применяемых для изготовления трубок
типа 6, должна быть разрешена Министерством здравоохранения СССР для применения в конкретных пищевых средах и условиях.
2.4. Требования к качеству поверхности и срезу трубок должны соответствовать нормам, указанным в табл. 7а.
Таблица 7а
──────────────────────────────────────────┬────────────────────────────────
Наименование показателя │ Норма
├──────────────┬─────────────────
│на поверхности│ в срезе
──────────────────────────────────────────┼──────────────┴─────────────────
1. Трещины, механические повреждения, │ Не допускаются
пузыри │
2. Возвышения и углубления, мм, не более,│
при толщине стенки: │
до 3 мм │ 0,3
свыше 3 мм │ 0,5
3. Продольные углубления или возвышения │ 0,2
без ограничения длины, мм, не более │
4. Отпечатки от лотка, неровность │ Допускается │ -
поверхности, разноцвет (кроме трубок │ │
типа 6), разнотон, следы от воздействия │ │
пара, следы от антиадгезива, следы │ │
обработки, волнистость │ │
5. Пористость │Не допускается│ Допускается
Примечание. Допускается внешний вид трубок определять по контрольным образцам, утвержденным в установленном порядке.
(Измененная редакция, Изм. N 2).
2.5; 2.6. (Исключены, Изм. N 2).
2.7. Для работы в условиях тропического климата трубки всех типов должны изготовляться в соответствии с требованиями настоящего стандарта и ГОСТ 15152-69 для изделий групп I, III, категорий 2, 3, 4, 5.
(Введен дополнительно, Изм. N 1).
3.1. Трубки принимают партиями. Партией считают трубки одного типа и одной степени твердости, оформленные одним документом о качестве. Масса партии должна быть не более 10 т.
Документ о качестве должен содержать:
товарный знак или товарный знак и наименование предприятия-изготовителя;
условное обозначение трубки;
номер партии;
дату изготовления;
массу партии нетто;
штамп технического контроля;
обозначение настоящего стандарта;
подтверждение о соответствии продукции требованиям настоящего стандарта.
В документе о качестве на партию трубок
типа 6 дополнительно должны быть указаны номер и дата разрешения Министерства здравоохранения СССР с указанием пищевых сред.
(Измененная редакция, Изм. N 1, 2, 3).
3.2. Приемо-сдаточные испытания проводят по внешнему виду, срезу трубок, внутреннему диаметру, толщине и разнотолщинности стенок трубок не менее чем на трех бухтах или пачках прямолинейных отрезков трубок каждого размера от партии:
по внешнему виду - по всей поверхности;
по срезу и размерам - на двух торцовых срезах бухты или отрезка.
(Измененная редакция, Изм. N 3).
3.3. Периодические испытания изготовитель проводит на трубках, выдержавших приемо-сдаточные испытания, и на текущей закладке резиновой смеси в сроки, по показателям и в объеме, указанным в табл. 8.
Таблица 8
──────────────────────────────────┬───────────────────────┬────────────────
Наименование показателя │ Объем выборки │ Периодичность
│ │ испытания
──────────────────────────────────┼───────────────────────┼────────────────
Длина трубок │ 5% от партии, │ 1 раз в квартал
│но не менее трех бухт │
│или пачек прямолинейных│
│отрезков │
Относительная овальность трубок │ То же │ 2 раза в месяц
Условная прочность при растяжении│ Одна закладка │ 1 раз в квартал
│резиновой смеси │
Относительное удлинение при │ То же │ То же
разрыве │ │
Относительная остаточная │ " │ 1 раз в квартал
деформация после разрыва │ │
Твердость резины │ " │ 1 раз в месяц
Изменение относительного │ " │ 1 раз в квартал
удлинения при старении в воздухе │ │
Коэффициент теплостойкости │ " │ 1 раз в квартал
Изменение относительного │ " │ То же
удлинения после воздействия │ │
серной, соляной кислоты │ │
и гидроокиси натрия │ │
Изменение массы после воздействия│ " │ "
смеси изооктана и толуола │ │
Температурный предел хрупкости │ " │ "
Соответствие трубок гигиеническим│ На трех бухтах или │ "
требованиям │пачках прямолинейных │
│отрезков от партии │
(Измененная редакция, Изм. N 1, 2).
3.4. При получении неудовлетворительных результатов испытаний хотя бы по одному из показателей проводят повторные испытания по этому показателю на удвоенном объеме выборки, взятом от той же партии трубок, а для резиновой смеси - на удвоенном количестве образцов, взятых от текущей закладки.
Результаты повторных испытаний распространяются на всю партию.
(Измененная редакция, Изм. N 1).
3.5. При получении неудовлетворительных результатов повторных испытаний резин по физико-механическим показателям и трубок по гигиеническим требованиям проверке подвергают каждую закладку резиновой смеси или партию трубок до получения положительных результатов испытаний не менее чем от пяти закладок или пяти партий трубок подряд.
(Измененная редакция, Изм. N 1).
3.6. Потребитель проводит входной контроль трубок на соответствие требованиям настоящего стандарта по плану, принятому для приемо-сдаточных испытаний.
(Введен дополнительно, Изм. N 1).
4.1. Для проверки соответствия трубок гигиеническим требованиям из отобранных в выборку бухт или пачек отрезают по одному образцу длиной не менее 0,5 м.
4.2. Внешний вид наружной поверхности трубок и вид среза стенок трубок проверяют визуально. Срез трубок производят ножом. Допускается смачивание ножа водой или мыльным раствором.
Разнотолщинность стенок трубок определяют как разность максимальной и минимальной толщин стенок трубок.
Внутренний диаметр измеряют штангенциркулем по ГОСТ 166-80.
| | ИС МЕГАНОРМ: примечание. Взамен ГОСТ 7502-89 Постановлением Госстандарта РФ от 27.07.1999 N 220-ст с 1 июля 2000 года введен в действие ГОСТ 7502-98. | |
Длину трубок измеряют линейкой по
ГОСТ 427-75 или рулеткой по ГОСТ 7502-89.
| | ИС МЕГАНОРМ: примечание. Взамен ГОСТ 8.326-89 на территории Российской Федерации с 1 декабря 2001 года введены в действие ПР 50.2.009-94 "ГСИ. Порядок проведения испытаний и утверждения типа средств измерений" (Постановление Госстандарта России от 27.09.2001 N 394-ст). | |
Допускается измерять трубки любым средством измерения, обеспечивающим погрешность измерения по ГОСТ 8.326-89.
(Измененная редакция, Изм. N 2, 3).
4.4. Относительную овальность определяют по методу, указанному в
Приложении.
(Измененная редакция, Изм. N 2).
4.5. Физико-механические показатели резин определяют в соответствии с методами и требованиями
табл. 7.
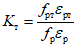
4.6. Коэффициент теплостойкости резины

вычисляют по формуле

,
где

- условная прочность резины при растяжении до воздействия пара, МПа;

- относительное удлинение резины при разрыве до воздействия пара, %;

- условная прочность резины при растяжении после воздействия пара, МПа;

- относительное удлинение резины при разрыве после воздействия пара, %.
Условную прочность при растяжении и относительное удлинение резины при разрыве до воздействия пара определяют по
ГОСТ 270-75 на образцах
типа 1.
Такие же образцы помещают в паровую среду при температуре (143 +/- 3) °C на (48,0 +/- 0,5) ч.
Допускается один перерыв не более 0,5 ч без изменения времени испытания.
Размер поперечного сечения образца определяют до помещения его в паровую среду.
Последующая выдержка образцов при температуре (23 +/- 2) °C должна быть не менее 2 ч.
Условную прочность и относительное удлинение резины при разрыве после воздействия пара определяют по
ГОСТ 270-75. Полученные значения показателей подставляют в формулу и вычисляют значение коэффициента теплостойкости резины.
(Измененная редакция, Изм. N 3).
4.7. Проверку соответствия трубок гигиеническим требованиям осуществляют в соответствии с порядком санитарно-химического исследования резин и изделий из них, предназначенных для контакта с пищевыми продуктами, утвержденным Министерством здравоохранения СССР.
5. МАРКИРОВКА, УПАКОВКА, ТРАНСПОРТИРОВАНИЕ И ХРАНЕНИЕ
5.1. Маркировку наносят на ярлык, который должен быть прикреплен к каждой упакованной единице и содержать:
1) товарный знак или товарный знак и наименование предприятия-изготовителя;
2) условное обозначение трубки;
3) дату изготовления;
4) массу нетто;
5) штамп службы технического контроля.
Резиновые трубки
типа 5, предназначенные для эксплуатации в условиях тропического климата, должны иметь дополнительную отметку желтой краской на трубке и на ярлыке в соответствии с ГОСТ 15152-69.
Резиновые трубки
типа 6 должны иметь цветную маркировку голубой краской на ярлыке и поперечными полосами по концам трубок.
(Измененная редакция, Изм. N 2, 3).
5.2. Масса трубок в бухтах или пачках прямолинейных отрезков должна быть не более 20 кг.
Бухты или пачки перевязывают в трех-четырех местах без плотной затяжки. Для перевязки применяют шпагат (
ГОСТ 17308-88), тесьму или шнуры их отходов производства.
(Измененная редакция, Изм. N 1, 2).
| | ИС МЕГАНОРМ: примечание. Взамен ГОСТ 5530-81 Приказом Ростехрегулирования от 18.10.2005 N 244-ст с 1 января 2006 года введен в действие ГОСТ 5530-2004. | |
5.3. Бухты или пачки упаковывают в мягкую тару - упаковочную ткань (ГОСТ 5530-81), нетканое тарное полотно или полиэтиленовую пленку
(ГОСТ 10354-82), или ящики
(ГОСТ 18573-86), массой брутто не более 80 кг.
(Измененная редакция, Изм. N 1).
5.4. (Исключен, Изм. N 3).
5.5. (Исключен, Изм. N 1).
5.6. Трубки транспортируют транспортом всех видов в крытых транспортных средствах в соответствии с правилами перевозки грузов, действующими на транспорте данного вида.
В контейнерах трубки транспортируют без упаковки в мягкую тару или ящики.
По согласованию с потребителем допускается транспортировать трубки без упаковки, за исключением трубок
типа 6.
Транспортирование трубок пакетами - на многооборотных поддонах по
ГОСТ 9078-84, ящичных поддонах.
По согласованию с потребителем допускается применять другие виды поддонов.
(Измененная редакция, Изм. N 2, 3).
5.7. Трубки должны храниться в крытом помещении при температуре от 0 до 25 °C на расстоянии не менее 1 м от нагревательных приборов. В летний период допускается температура хранения до 30 °C.
5.8. Трубки при хранении и эксплуатации не должны подвергаться воздействию прямых солнечных лучей и веществ, разрушающих резину.
Оконные стекла складских помещений, в которых хранятся неупакованные трубки, должны иметь защитное покрытие красного или оранжевого цвета.
Трубки
типа 6 следует хранить в отдельных помещениях или в упакованном виде.
(Измененная редакция, Изм. N 3).
5.9. Трубки должны храниться на стеллажах или поддонах, высота штабеля не более 1 м. Расстояние от нижней полки стеллажа или поддона до пола должно быть не менее 0,1 м.
6. УКАЗАНИЯ ПО ЭКСПЛУАТАЦИИ
6.1. Выбор типа трубок должен производиться в зависимости от условий эксплуатации (рабочей среды и интервала температур), указанных в
табл. 1.
6.2. После транспортирования при температурах ниже 0 °C необходима выдержка трубок перед монтажом при температуре (20 +/- 5) °C не менее 24 ч.
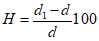
6.3. Натяг (Н) по внутреннему диаметру трубок при посадке на штуцер должен быть не более 20%.
Натяг (Н) в процентах вычисляют по формуле

,
где

- наружный диаметр штуцера, мм;
d - внутренний диаметр трубки, мм.
6.4. При эксплуатации трубок в случае появления трещин необходим перемонтаж соединения с обрезкой дефектного участка.
(Измененная редакция, Изм. N 1).
6.5. Минимально допустимый радиус изгиба трубки (R) при эксплуатации вычисляют по формуле
R = 9(d + 2B),
где d - внутренний диаметр трубки, мм;
B - толщина стенки, мм.
7.1. Изготовитель гарантирует соответствие технических резиновых трубок требованиям настоящего стандарта при соблюдении условий эксплуатации, хранения и транспортирования.
7.2. Гарантийный срок хранения трубок - 3 года со дня изготовления.
7.3. Гарантийный срок эксплуатации трубок
типов 1,
3 -
6 - 2,5 года со дня ввода в эксплуатацию в пределах гарантийного срока хранения.
Гарантийный срок эксплуатации трубок
типа 2 в зависимости от условий их эксплуатации устанавливается по согласованию между изготовителем и потребителем.
(Измененная редакция, Изм. N 1, 3).
Обязательное
ОПРЕДЕЛЕНИЕ ОТНОСИТЕЛЬНОЙ ОВАЛЬНОСТИ ТРУБОК
1. Допускаемая погрешность измерения относительной овальности трубок не должна превышать 4% номинального диаметра трубки.
2. Для измерения относительной овальности трубок используют штангенциркуль с ценой деления 0,1 мм по
ГОСТ 166-89.
3. При проведении испытаний температура воздуха должна быть (23 +/- 10) °C.
4. После воздействия на трубки отрицательных температур перед проведением измерений трубки должны быть выдержаны при температуре (23 +/- 10) °C не менее 24 ч.
5. Измерения проводят в торце трубки с предварительно нанесенными метками в двух направлениях

.
Не допускается деформировать трубки при переходе от одного направления к другому.
Губки штангенциркуля доводят до касания со стенками трубки.
Для контроля контактного усилия уменьшают расстояние между губками на 0,2 мм, при этом штангенциркуль должен свободно под действием собственного веса проходить в отверстие. При увеличении размера на 0,2 мм штангенциркуль должен зависать на трубке при вертикальном расположении оси трубки. При проведении измерения губки штангенциркуля погружают в контролируемую трубку на всю их длину.
6. Относительную овальность трубки, характеризующую искажение формы трубок (О), вычисляют по формуле

,
где

- максимальный внутренний диаметр, мм;

- минимальный внутренний диаметр, мм.
Приложение. (Введено дополнительно, Изм. N 2).