Главная // Актуальные документы // ГОСТ (Государственный стандарт)СПРАВКА
Источник публикации
М.: ИПК Издательство стандартов, 1999
Примечание к документу
С 1 июля 2003 года до вступления в силу технических регламентов акты федеральных органов исполнительной власти в сфере технического регулирования носят рекомендательный характер и подлежат обязательному исполнению только в части, соответствующей целям, указанным в
пункте 1 статьи 46 Федерального закона от 27.12.2002 N 184-ФЗ.
Ограничение срока действия снято по Протоколу N 2-92 Межгосударственного совета по стандартизации, метрологии и сертификации ("ИУС", N 2, 1993).
Введен в действие с 1 января 1988 года.
Взамен ГОСТ 13020.3-85, ГОСТ 13151.4-80, ГОСТ 13201-74, ГОСТ 13217.3-79, ГОСТ 13230.3-81, ГОСТ 14021.3-78, ГОСТ 14250.3-80, ГОСТ 14638.2-81, ГОСТ 14858.2-81, ГОСТ 15933.2-70, ГОСТ 16591.2-71, ГОСТ 16698.3-71, ГОСТ 17001.2-76, ГОСТ 21876.3-76.
Название документа
"ГОСТ 27041-86. Ферросплавы, хром и марганец металлические. Методы определения серы"
(утв. Постановлением Госстандарта СССР от 23.10.1986 N 3189)
(ред. от 01.12.1995)
"ГОСТ 27041-86. Ферросплавы, хром и марганец металлические. Методы определения серы"
(утв. Постановлением Госстандарта СССР от 23.10.1986 N 3189)
(ред. от 01.12.1995)
Утвержден и введен в действие
Постановлением Госстандарта СССР
от 23 октября 1986 г. N 3189
МЕЖГОСУДАРСТВЕННЫЙ СТАНДАРТ
ФЕРРОСПЛАВЫ, ХРОМ И МАРГАНЕЦ МЕТАЛЛИЧЕСКИЕ
МЕТОДЫ ОПРЕДЕЛЕНИЯ СЕРЫ
Ferroalloys, metal chromium and metal manganese.
Methods of sulphur determination
ГОСТ 27041-86
| | Список изменяющих документов (в ред. Изменения N 1, утв. в декабре 1995 г.) | |
Дата введения
с 1 января 1988 года
1. Разработан и внесен Министерством черной металлургии СССР.
2. Утвержден и введен в действие Постановлением Государственного комитета СССР по стандартам от 23.10.1986 N 3189.
Изменение N 1 принято Межгосударственным советом по стандартизации, метрологии и сертификации 15.04.1994 по переписке (отчет Технического секретариата N 2).
За принятие проголосовали:
────────────────────────┬─────────────────────────────────────────
Наименование государства│ Наименование национального органа
│ по стандартизации
────────────────────────┼─────────────────────────────────────────
Республика Беларусь │Госстандарт Беларуси
Республика Казахстан │Госстандарт Республики Казахстан
Республика Молдова │Молдовастандарт
Российская Федерация │Госстандарт России
Туркменистан │Главная государственная инспекция
│Туркменистана
Украина │Госстандарт Украины
3. Взамен ГОСТ 13020.3-85, 13151.4-80, 13201-74, 13217.3-79, 13230.3-81, 14021.3-78, 14250.3-80, 14638.2-81, 14858.2-81, 15933.2-70, 16591.2-71, 16698.3-71, 17001.2-76, 21876.3-76.
4. Ссылочные нормативно-технические документы
─────────────────────────────────────────┬────────────────────────
Обозначение НТД, на который дана ссылка │ Номер пункта
─────────────────────────────────────────┼────────────────────────
5. Ограничение срока действия снято по Протоколу N 2-92 Межгосударственного совета по стандартизации, метрологии и сертификации (ИУС 2-93).
6. Переиздание (июнь 1999 г.) с Изменением N 1, утвержденным в декабре 1995 г. (ИУС 3-96).
Настоящий стандарт устанавливает кулонометрический, титриметрический и инфракрасно-абсорбционный методы определения серы в ферросплавах, металлических хроме и марганце (при массовой доле серы от 0,002 до 0,6%).
(Измененная редакция, Изм. N 1).
1.1. Общие требования к методам анализа - по
ГОСТ 28473.
1.2. Лабораторная проба должна быть приготовлена в соответствии с табл. 1, с размером частиц, проходящих через сито с сеткой по
ГОСТ 6613.
Таблица 1
──────────────────────────────┬──────────────────┬────────────────
Анализируемый материал │ Характеристика │ Размер стороны
│ лабораторной │ячейки в свету,
│ пробы │мм (номер сетки)
──────────────────────────────┼──────────────────┼────────────────
Феррониобий, феррохром │ Порошок │0,080 (N 008)
углеродистый и азотированный, │ │
содержащий азота 4% и более │ │
──────────────────────────────┼──────────────────┼────────────────
Феррохром остальных марок │ Стружка толщиной │1,600 (N 1,6)
│не более 0,2 мм, │
│размельченная в │
│агатовой ступке │
──────────────────────────────┼──────────────────┼────────────────
Ферросиликохром, ферросилико-│ Порошок │0,160 (N 016)
цирконий, ферросилиций, │ │
ферросиликомарганец, ферро- │ │
марганец, ферротитан, ферро- │ │
молибден, феррованадий, │ │
ферровольфрам, силикокальций, │ │
ферробор, марганец металли- │ │
ческий и азотированный │ │
──────────────────────────────┼──────────────────┼────────────────
Хром металлический │ Стружка толщиной │
│не более 0,5 мм, │
│подготовленная по │
2. КУЛОНОМЕТРИЧЕСКИЙ МЕТОД
2.1. Сущность метода
Метод основан на сжигании навески ферросплава или металла в потоке кислорода при температуре, указанной в табл. 2.
Таблица 2
Условия определения серы в ферросплавах,
металлических хроме и марганце
──────┬──────┬────────┬─────┬────────┬─────┬──────┬──────┬────────
Анали-│Метод │Диапазон│Масса│Применя-│Соот-│Соот- │Способ│Рабочая
зируе-│опре- │опреде- │на- │емые │ноше-│ноше- │подго-│темпера-
мый │деле- │ляемых │вески│плавни │ние │ние │товки │тура
мате- │ния │концент-│про- │ │сос- │анали-│смеси │сжига-
риал │ │раций, %│бы, г│ │тав- │зируе-│к ана-│ния, °С
│ │ │ │ │ных │мого │лизу │
│ │ │ │ │час- │мате- │ │
│ │ │ │ │тей │риала │ │
│ │ │ │ │плав-│и пла-│ │
│ │ │ │ │ня │вня │ │
──────┼──────┼────────┼─────┼────────┼─────┼──────┼──────┼────────
Мар- │Куло- │От 0,005│0,5 │ Окись │- │1:1 │ На- │1325 +/-
ганец │номет-│до 0,12 │ │меди или│ │ │веску │25
метал-│ричес-│ │ │железо │ │ │пробы │
личес-│кий │ │ │ │ │ │поме- │
кий │ │ │ │ │ │ │щают │
│ │ │ │ │ │ │в ло- │
├──────┼────────┼─────┼────────┼─────┼──────┤дочку,│
│Титри-│От 0,005│1,0 │ Окись │- │1:1 │добав-│
│метри-│до 0,07 │ │меди или│ │ │ляют │
│ческий│Св. 0,07│0,5 │железо │ │ │пла- │
│ │до 0,12│ │ │ │ │вень │
│ │ │ │ │ │ │и пе- │
│ │ │ │ │ │ │реме- │
│ │ │ │ │ │ │шивают│
├──────┼────────┼─────┴────────┴─────┴──────┴──────┴────────
│Инфра-│От 0,005│Анализ проводят согласно прилагаемой
│крас- │до 0,12 │к прибору инструкции
│но-аб-│ │
│сорб- │ │
│цион- │ │
│ный │ │
──────┼──────┼────────┼─────┬────────┬─────┬──────┬──────┬────────
Хром │Куло- │От 0,005│0,5 │ Смесь │2:1 │1:4 │ На- │1375 +/-
метал-│номет-│до 0,05 │ │железа с│ │ │веску │25
личес-│ричес-│ │ │оловом, │ │ │пробы │
кий │кий │ │ │или │ │ │поме- │
│ │ │ │смесь │5:1 │1:4 │щают │
│ │ │ │окиси │ │ │в ло- │
│ │ │ │меди │ │ │дочку,│
│ │ │ │в виде │ │ │добав-│
│ │ │ │прово- │ │ │ляют │
│ │ │ │локи с │ │ │пла- │
│ │ │ │железом,│ │ │вень │
│ │ │ │или │ │ │и пе- │
│ │ │ │смесь │1:5 │1:2 │реме- │
│ │ │ │пятиоки-│ │ │шивают│
│ │ │ │си вана-│ │ │ │
│ │ │ │дия с │ │ │ │
│ │ │ │железом │ │ │ │
├──────┼────────┼─────┼────────┼─────┼──────┤ │
│Титри-│От 0,005│0,5 │ Смесь │2:1 │1:4 │ │
│метри-│до 0,05 │ │железа с│ │ │ │
│ческий│ │ │оловом, │ │ │ │
│ │ │ │или │ │ │ │
│ │ │ │смесь │5:1 │1:4 │ │
│ │ │ │окиси │ │ │ │
│ │ │ │меди │ │ │ │
│ │ │ │в виде │ │ │ │
│ │ │ │прово- │ │ │ │
│ │ │ │локи с │ │ │ │
│ │ │ │железом,│ │ │ │
│ │ │ │или │ │ │ │
│ │ │ │смесь │1:5 │1:2 │ │
│ │ │ │пятиоки-│ │ │ │
│ │ │ │си вана-│ │ │ │
│ │ │ │дия с │ │ │ │
│ │ │ │железом │ │ │ │
├──────┼────────┼─────┴────────┴─────┴──────┴──────┴────────
│Инфра-│От 0,005│Анализ проводят согласно прилагаемой
│крас- │до 0,05 │к прибору инструкции
│но-аб-│ │
│сорб- │ │
│цион- │ │
│ный │ │
──────┼──────┼────────┼─────┬────────┬─────┬──────┬──────┬────────
Фер- │Куло- │От 0,005│0,5 │ Окись │- │1:1 │ На- │1300 +/-
рова- │номет-│до 0,12 │ │меди │ │ │веску │20
надий │ричес-│ │ │ │ │ │пробы │
│кий │ │ │ │ │ │поме- │
│ │ │ │ │ │ │щают │
│ │ │ │ │ │ │в ло- │
├──────┼────────┼─────┼────────┼─────┼──────┤дочку,│
│Титри-│От 0,005│1,0 │ Окись │- │1:1 │добав-│
│метри-│до 0,07 │ │меди │ │ │ляют │
│ческий│Св. 0,07│0,5 │ │ │1:1 │пла- │
│ │до 0,12│ │ │ │ │вень │
│ │ │ │ │ │ │и пе- │
│ │ │ │ │ │ │реме- │
│ │ │ │ │ │ │шивают│
├──────┼────────┼─────┴────────┴─────┴──────┴──────┴────────
│Инфра-│От 0,005│Анализ проводят согласно прилагаемой
│крас- │до 0,12 │к прибору инструкции
│но-аб-│ │
│сорб- │ │
│цион- │ │
│ный │ │
──────┼──────┼────────┼─────┬────────┬─────┬──────┬──────┬────────
Фер- │Куло- │От 0,003│0,5 │ Окись │- │1:1,5 │ На- │1325 +/-
ромар-│номет-│до 0,05 │ │меди или│ │ │веску │25
ганец │ричес-│ │ │олово │ │1:1,5 │пробы │
│кий │ │ │ │ │ │поме- │
│ │ │ │ │ │ │щают │
│ │ │ │ │ │ │в ло- │
│ │ │ │ │ │ │дочку,│
│ │ │ │ │ │ │добав-│
├──────┼────────┼─────┼────────┼─────┼──────┤ляют │
│Титри-│От 0,003│1,0 │ Окись │- │1:1,5 │пла- │
│метри-│до 0,05 │ │меди или│ │ │вень │
│ческий│ │ │олово │ │1:1,5 │и пе- │
│ │ │ │ │ │ │реме- │
│ │ │ │ │ │ │шивают│
├──────┼────────┼─────┴────────┴─────┴──────┴──────┴────────
│Инфра-│От 0,003│Анализ проводят согласно прилагаемой
│крас- │до 0,05 │к прибору инструкции
│но-аб-│ │
│сорб- │ │
│цион- │ │
│ный │ │
──────┼──────┼────────┼─────┬────────┬─────┬──────┬──────┬────────
Фер- │Куло- │От 0,03 │0,5 │ Окись │- │1:1 │ На- │1325 +/-
ромо- │номет-│до 0,20 │ │меди или│ │ │веску │25
либден│ричес-│Св. 0,20│0,25 │пяти- │ │1:2 │пробы │
│кий │до 0,40│ │окись │ │ │поме- │
│ │Св. 0,40│0,2 │ванадия │ │1:0,5 │щают │
│ │до 0,60│ │ │ │- при │в ло- │
│ │ │ │ │ │массе │дочку,│
│ │ │ │ │ │на- │добав-│
│ │ │ │ │ │вески │ляют │
│ │ │ │ │ │0,5 г,│пла- │
│ │ │ │ │ │1:1 - │вень │
│ │ │ │ │ │при │и пе- │
│ │ │ │ │ │массе │реме- │
│ │ │ │ │ │навес-│шивают│
│ │ │ │ │ │ки │ │
│ │ │ │ │ │0,25 г│ │
├──────┼────────┼─────┼────────┼─────┼──────┤ │
│Титри-│От 0,03 │1,0 │ Окись │- │1:1 │ │
│метри-│до 0,07 │ │меди │ │ │ │
│ческий│Св. 0,07│0,5 │ │ │1:1 │ │
│ │до 0,15│ │ │ │ │ │
│ │Св. 0,15│0,25 │ │ │1:2 │ │
│ │до 0,30│ │ │ │ │ │
│ │Св. 0,30│0,1 │ │ │ │ │
│ │до 0,60│ │ │ │ │ │
├──────┼────────┼─────┴────────┴─────┴──────┴──────┴────────
│Инфра-│От 0,03 │Анализ проводят согласно прилагаемой
│крас- │до 0,60 │к прибору инструкции
│но-аб-│ │
│сорб- │ │
│цион- │ │
│ный │ │
──────┼──────┼────────┼─────┬────────┬─────┬──────┬──────┬────────
Фер- │Куло- │От 0,01 │0,5 │ Окись │3:1 │1:1 │ На- │1325 +/-
ро- │номет-│до 0,15 │ │меди или│ │ │веску │25
воль- │ричес-│Св. 0,15│0,25 │смесь │ │1:2 │пробы │
фрам │кий │до 0,20│ │окиси │ │1:1 - │поме- │
│ │ │ │меди с │ │при │щают │
│ │ │ │железом │ │массе │в ло- │
│ │ │ │ │ │навес-│дочку,│
│ │ │ │ │ │ки │добав-│
│ │ │ │ │ │0,5 г,│ляют │
│ │ │ │ │ │1:2 - │пла- │
│ │ │ │ │ │при │вень │
│ │ │ │ │ │массе │и пе- │
│ │ │ │ │ │навес-│реме- │
│ │ │ │ │ │ки │шивают│
│ │ │ │ │ │0,25 г│ │
├──────┼────────┼─────┼────────┼─────┼──────┼──────┼────────
│Титри-│От 0,01 │1,0 │ Окись │3:1 │1:1 │ На- │1325 +/-
│метри-│до 0,07 │ │меди или│ │ │веску │25
│ческий│Св. 0,07│0,5 │смесь │ │1:1 │пробы │
│ │до 0,15│ │окиси │ │ │поме- │
│ │Св. 0,15│0,25 │меди с │ │1:2 │щают │
│ │до 0,20│ │железом │ │ │в ло- │
│ │ │ │ │ │ │дочку,│
│ │ │ │ │ │ │добав-│
│ │ │ │ │ │ │ляют │
│ │ │ │ │ │ │пла- │
│ │ │ │ │ │ │вень │
│ │ │ │ │ │ │и пе- │
│ │ │ │ │ │ │реме- │
│ │ │ │ │ │ │шивают│
├──────┼────────┼─────┴────────┴─────┴──────┴──────┴────────
│Инфра-│От 0,01 │Анализ проводят согласно прилагаемой
│крас- │до 0,20 │к прибору инструкции
│но-аб-│ │
│сорб- │ │
│цион- │ │
│ный │ │
──────┼──────┼────────┼─────┬────────┬─────┬──────┬──────┬────────
Фер- │Куло- │От 0,015│0,5 │ Окись │1:2 │1:2 │ На- │1325 +/-
роти- │номет-│до 0,12 │ │меди или│ │ │веску │25
тан │ричес-│ │ │смесь │ │ │пробы │
│кий │ │ │окиси │ │ │поме- │
│ │ │ │меди с │ │ │щают │
│ │ │ │железом │ │ │в ло- │
├──────┼────────┼─────┼────────┼─────┼──────┤дочку,│
│Титри-│От 0,015│1,0 │ Окись │1:2 │1:2 │добав-│
│метри-│до 0,07 │ │меди или│ │ │ляют │
│ческий│ │ │смесь │ │ │пла- │
│ │ │ │окиси │ │ │вень │
│ │Св. 0,07│ │меди с │ │1:2 │и пе- │
│ │до 0,12│ │железом │ │ │реме- │
│ │ │ │ │ │ │шивают│
├──────┼────────┼─────┴────────┴─────┴──────┴──────┴────────
│Инфра-│От 0,015│Анализ проводят согласно прилагаемой
│крас- │до 0,12 │к прибору инструкции
│но-аб-│ │
│сорб- │ │
│цион- │ │
│ный │ │
──────┼──────┼────────┼─────┬────────┬─────┬──────┬──────┬────────
Фер- │Куло- │От 0,005│0,5 │ Олово │- │1:2 │ На- │1325 +/-
робор │номет-│до 0,03 │ │или │ │ │веску │25
│ричес-│ │ │окись │ │ │пробы │
│кий │ │ │меди │ │ │поме- │
│ │ │ │ │ │ │щают │
│ │ │ │ │ │ │в ло- │
├──────┼────────┼─────┼────────┼─────┼──────┤дочку,│
│Титри-│От 0,005│1,0 │ Олово │- │1:2 │добав-│
│метри-│до 0,03 │ │или │ │ │ляют │
│ческий│ │ │окись │ │ │пла- │
│ │ │ │меди │ │ │вень │
│ │ │ │ │ │ │и пе- │
│ │ │ │ │ │ │реме- │
│ │ │ │ │ │ │шивают│
├──────┼────────┼─────┴────────┴─────┴──────┴──────┴────────
│Инфра-│От 0,005│Анализ проводят согласно прилагаемой
│крас- │до 0,03 │к прибору инструкции
│но-аб-│ │
│сорб- │ │
│цион- │ │
│ный │ │
──────┼──────┼────────┼─────┬────────┬─────┬──────┬──────┬────────
Фер- │Куло- │От 0,002│0,5 │ Окись │- │1:2 │ На- │1350 +/-
рони- │номет-│до 0,06 │ │меди │ │ │веску │25
обий │ричес-│ │ │ │ │ │пробы │
│кий │ │ │ │ │ │поме- │
│ │ │ │ │ │ │щают │
│ │ │ │ │ │ │в ло- │
│ │ │ │ │ │ │дочку,│
├──────┼────────┼─────┼────────┼─────┼──────┤добав-│
│Титри-│От 0,002│1,0 │ Окись │- │1:2 │ляют │
│метри-│до 0,06 │ │меди │ │ │пла- │
│ческий│ │ │ │ │ │вень │
│ │ │ │ │ │ │и пе- │
│ │ │ │ │ │ │реме- │
│ │ │ │ │ │ │шивают│
├──────┼────────┼─────┴────────┴─────┴──────┴──────┴────────
│Инфра-│От 0,002│Анализ проводят согласно прилагаемой
│крас- │до 0,06 │к прибору инструкции
│но-аб-│ │
│сорб- │ │
│цион- │ │
│ный │ │
──────┼──────┼────────┼─────┬────────┬─────┬──────┬──────┬────────
Фер- │Куло- │От 0,01 │0,5 │ Смесь │1:1 │1:3 │ На- │1325 +/-
роси- │номет-│до 0,05 │ │окиси │ │ │веску │25
лико- │ричес-│ │ │меди с │ │ │пробы │
мар- │кий │ │ │железом │ │ │поме- │
ганец │ │ │ │ │ │ │щают │
│ │ │ │ │ │ │в ло- │
├──────┼────────┼─────┼────────┼─────┼──────┤дочку,│
│Титри-│От 0,01 │1,0 │ Смесь │1:1 │1:3 │добав-│
│метри-│до 0,05 │ │окиси │ │ │ляют │
│ческий│ │ │меди с │ │ │пла- │
│ │ │ │железом │ │ │вень │
│ │ │ │ │ │ │и пе- │
│ │ │ │ │ │ │реме- │
│ │ │ │ │ │ │шивают│
├──────┼────────┼─────┴────────┴─────┴──────┴──────┴────────
│Инфра-│От 0,01 │Анализ проводят согласно прилагаемой
│крас- │до 0,05 │к прибору инструкции
│но-аб-│ │
│сорб- │ │
│цион- │ │
│ный │ │
──────┼──────┼────────┼─────┬────────┬─────┬──────┬──────┬────────
Фер- │Куло- │От 0,002│0,5 │ Смесь │2:1 │1:3 │ На- │1375 +/-
роси- │номет-│до 0,08 │ │окиси │ │ │веску │25
лиций │ричес-│ │ │меди с │ │ │пробы │
│кий │ │ │железом │ │ │поме- │
│ │ │ │ │ │ │щают │
│ │ │ │ │ │ │в ло- │
├──────┼────────┼─────┼────────┼─────┼──────┤дочку,│
│Титри-│От 0,002│1,0 │ Смесь │2:1 │1:3 │добав-│
│метри-│до 0,08 │ │окиси │ │ │ляют │
│ческий│ │ │меди с │ │ │пла- │
│ │ │ │железом │ │ │вень │
│ │ │ │ │ │ │и пе- │
│ │ │ │ │ │ │реме- │
│ │ │ │ │ │ │шивают│
├──────┼────────┼─────┴────────┴─────┴──────┴──────┴────────
│Инфра-│От 0,002│Анализ проводят согласно прилагаемой
│крас- │до 0,08 │к прибору инструкции
│но-аб-│ │
│сорб- │ │
│цион- │ │
│ный │ │
──────┼──────┼────────┼─────┬────────┬─────┬──────┬──────┬────────
Фер- │Куло- │От 0,002│0,5 │ Смесь │3:1 │1:4 │ До- │1375 +/-
роси- │номет-│до 0,04 │ │окиси │ │ │пуска-│25
лико- │ричес-│ │ │меди с │ │ │ется │
хром │кий │ │ │железом │ │ │расти-│
│ │ │ │или │ │ │рание │
│ │ │ │пяти- │ │1:1 │навес-│
│ │ │ │окись │ │ │ки с │
│ │ │ │ванадия │ │ │плав- │
├──────┼────────┼─────┼────────┼─────┼──────┤нем в │
│Титри-│От 0,005│1,0 │ Смесь │3:1 │1:3 │агато-│
│метри-│до 0,04 │ │окиси │ │ │вой │
│ческий│ │ │меди с │ │ │ступке│
│ │ │ │железом │ │ │ │
│ │ │ │или │ │ │ │
│ │ │ │пяти- │ │1:0,5 │ │
│ │ │ │окись │ │ │ │
│ │ │ │ванадия │ │ │ │
├──────┼────────┼─────┴────────┴─────┴──────┴──────┴────────
│Инфра-│От 0,002│Анализ проводят согласно прилагаемой
│крас- │до 0,04 │к прибору инструкции
│но-аб-│ │
│сорб- │ │
│цион- │ │
│ный │ │
──────┼──────┼────────┼─────┬────────┬─────┬──────┬──────┬────────
Фер- │Куло- │От 0,002│0,5 │ Окись │1:3 │1:3 │ На- │1375 +/-
ро- │номет-│до 0,09 │ │меди в │ │ │веску │25
хром │ричес-│ │ │виде │ │ │пробы │
│кий │ │ │прово- │ │ │поме- │
│ │ │ │локи, │ │ │щают │
│ │ │ │или │ │ │в ло- │
│ │ │ │пяти- │ │1:1 │дочку,│
│ │ │ │окись │ │ │добав-│
│ │ │ │ванадия,│ │ │ляют │
│ │ │ │или │ │ │пла- │
│ │ │ │железо │ │1:2 │вень │
├──────┼────────┼─────┼────────┼─────┼──────┤и пе- │
│Титри-│От 0,005│0,5 │ Окись │- │1:4 │реме- │
│метри-│до 0,09 │ │меди в │ │ │шивают│
│ческий│ │ │виде │ │ │ │
│ │ │ │проволо-│ │ │ │
│ │ │ │ки, или │ │ │ │
│ │ │ │пяти- │ │1:1 │ │
│ │ │ │окись │ │ │ │
│ │ │ │ванадия,│ │ │ │
│ │ │ │или │ │ │ │
│ │ │ │железо │ │1:2 │ │
├──────┼────────┼─────┴────────┴─────┴──────┴──────┴────────
│Инфра-│От 0,002│Анализ проводят согласно прилагаемой
│крас- │до 0,09 │к прибору инструкции
│но-аб-│ │
│сорб- │ │
│цион- │ │
│ный │ │
──────┼──────┼────────┼─────┬────────┬─────┬──────┬──────┬────────
Фер- │Куло- │От 0,003│0,5 │ Смесь │3:1 │1:4 │ На- │1375 +/-
роси- │номет-│до 0,05 │ │окиси │ │ │веску │25
лико- │ричес-│ │ │меди с │ │ │пробы │
цир- │кий │ │ │железом │ │ │поме- │
коний │ │ │ │или │ │ │щают │
│ │ │ │смесь │1:5 │1:2 │в ло- │
│ │ │ │пятиоки-│ │ │дочку,│
│ │ │ │си вана-│ │ │добав-│
│ │ │ │дия с │ │ │ляют │
│ │ │ │железом │ │ │пла- │
├──────┼────────┼─────┼────────┼─────┼──────┤вень │
│Титри-│От 0,003│1,0 │ Смесь │3:1 │1:3 │и пе- │
│метри-│до 0,05 │ │окиси │ │ │реме- │
│ческий│ │ │меди с │ │ │шивают│
│ │ │ │железом │ │ │ │
│ │ │ │или │ │ │ │
│ │ │ │смесь │1:5 │1:2 │ │
│ │ │ │пятиоки-│ │ │ │
│ │ │ │си вана-│ │ │ │
│ │ │ │дия с │ │ │ │
│ │ │ │железом │ │ │ │
├──────┼────────┼─────┴────────┴─────┴──────┴──────┴────────
│Инфра-│От 0,003│Анализ проводят согласно прилагаемой
│крас- │до 0,05 │к прибору инструкции
│но-аб-│ │
│сорб- │ │
│цион- │ │
│ный │ │
──────┼──────┼────────┼─────┬────────┬─────┬──────┬──────┬────────
Сили-│Куло- │От 0,003│0,5 │ Окись │- │1:2 │ До- │1325 +/-
ко- │номет-│до 0,15 │ │меди в │ │ │пуска-│25
каль- │ричес-│Св. 0,15│0,25 │виде │ │ │ется │
ций │кий │до 0,20│ │проволо-│ │ │расти-│
│ │ │ │ки или │ │ │рание │
│ │ │ │порошка │ │1:4 │навес-│
├──────┼────────┼─────┼────────┼─────┼──────┤ки с │
│Титри-│От 0,005│1,0 │ Окись │- │1:3 │плав- │
│метри-│до 0,05 │ │меди │ │ │нем в │
│ческий│Св. 0,05│0,5 │в виде │ │1:3 │агато-│
│ │до 0,15│ │проволо-│ │ │вой │
│ │Св. 0,15│0,25 │ки или │ │1:4 │ступке│
│ │до 0,20│ │порошка │ │ │ │
├──────┼────────┼─────┴────────┴─────┴──────┴──────┴────────
│Инфра-│От 0,003│Анализ проводят согласно прилагаемой
│крас- │до 0,20 │к прибору инструкции
│но-аб-│ │
│сорб- │ │
│цион- │ │
│ный │ │
Образовавшийся при сжигании сернистый газ вытесняется потоком кислорода в сосуд, содержащий поглотительный раствор с определенным начальным значением рН.
В установке для кулонометрического титрования измеряют количество электричества, необходимое для восстановления исходного значения рН, которое изменяется за счет образования кислоты.
Количество определенного электричества пропорционально массовой доле серы в навеске пробы.
2.2. Аппаратура, реактивы и растворы
Экспресс-анализатор типа АС 7012, АС 7412 в комплекте с устройством сжигания УС-7077.
Допускается применять анализаторы и устройства сжигания других типов.
Кислород технический из кислородопровода или баллон с кислородом, снабженный редукционным вентилем.
Трубки огнеупорные муллито-кремнеземистые длиной 650 - 800 мм с внутренним диаметром 18 - 22 мм, прокаленные при рабочей температуре при пропускании через трубку кислорода до отсутствия показания на табло прибора.
Лодочки фарфоровые N 2 по
ГОСТ 9147, предварительно прокаленные в муфельной печи при температуре не ниже 900 °С в течение 3 - 4 ч, хранят в эксикаторе.
При определении серы 0,1% и менее лодочки прокаливают в потоке кислорода непосредственно перед анализом при рабочей температуре.
Кислота соляная по
ГОСТ 3118, раствор с молярной концентрацией 0,1 моль/дм3.
Плавень. В качестве плавня могут быть использованы:
железо металлическое или карбонильное;
меди (II) окись в виде порошка по
ГОСТ 16539, проволоки или гранул, прокаленная при температуре (800 +/- 20) °С в течение 3 - 4 ч;
ванадия пятиокись, прокаленная при температуре (450 +/- 20) °С в течение 3 - 4 ч;
Соотношение составных частей плавня, а также соотношение массы навески с плавнем приведены в
табл. 2.
Допускается применять другие плавни в других соотношениях с навеской.
Массовая доля серы в плавнях не должна превышать величины допускаемых расхождений, приведенных в табл. 4.
--------------------------------
<*> Таблица 3. (Исключена, Изм. N 1).
─────────────────────────┬──────┬─────────────────────────────────
Массовая доля серы, % │Пог- │ Допускаемое расхождение, %
│реш- ├────────┬───────┬───────┬────────
│ность │двух │двух │трех │резуль-
│ре- │средних │парал- │парал- │татов
│зуль- │резуль- │лельных│лельных│стан-
│татов │татов │опреде-│опреде-│дарт-
│анали-│анализа,│лений │лений │ного
│за │выпол- │d │d │образца
│Дель- │ненных │ 2 │ 3 │от атте-
│та,% │в раз- │ │ │стован-
│ │личных │ │ │ного
│ │условиях│ │ │значения
│ │d │ │ │дельта
│ │ к │ │ │
─────────────────────────┼──────┼────────┼───────┼───────┼────────
От 0,002 до 0,005 включ.│0,0012│0,0015 │0,0012 │0,0015 │0,0008
Св. 0,005 " 0,010 " │0,0016│0,0020 │0,0017 │0,0020 │0,0010
" 0,01 " 0,02 " │0,004 │0,005 │0,004 │0,005 │0,003
" 0,02 " 0,05 " │0,006 │0,008 │0,007 │0,008 │0,004
" 0,05 " 0,1 " │0,012 │0,015 │0,012 │0,015 │0,008
" 0,1 " 0,2 " │0,016 │0,020 │0,017 │0,020 │0,010
" 0,2 " 0,5 " │0,024 │0,030 │0,025 │0,030 │0,016
" 0,5 " 0,6 " │0,03 │0,04 │0,03 │0,04 │0,02
Растворы поглотительный и вспомогательный готовят согласно инструкции, прилагаемой к экспресс-анализатору.
(Измененная редакция, Изм. N 1).
2.3. Проведение анализа
В лодочку помещают навески пробы и плавня массой, установленной в соответствии с
табл. 2. Затем лодочку помещают в наиболее нагретую часть трубки печи и сразу же закрывают затвором.
Устанавливают показание индикаторного цифрового табло на "0" и сжигают пробу при соответствующей температуре, приведенной в
табл. 2.
В процессе сжигания пробы на цифровом табло осуществляется непрерывный отсчет показаний. Анализ считается законченным, если цифровые показания табло за 1 мин изменяются на величину, не превышающую величину холостого счета прибора. Записывают результаты анализа по показаниям табло, открывают затвор и извлекают лодочку.
2.4. Обработка результатов
2.4.1. Массовую долю серы (Х) в процентах вычисляют по формуле

,
где

- масса навески стандартного образца, по которой отградуирован прибор, г;
а - показание прибора при сжигании анализируемого образца, %;

- показание прибора при проведении контрольного опыта на загрязнение реактивов, %;
m - масса навески анализируемого образца, г.
2.4.2. Нормы точности и нормативы контроля точности определения массовой доли серы приведены в
табл. 4.
3. ТИТРИМЕТРИЧЕСКИЙ МЕТОД
3.1. Сущность метода
Метод основан на сжигании навески ферросплава или металла в потоке кислорода при температуре, указанной в
табл. 2, поглощении образующейся двуокиси серы водой или раствором сернокислого калия в присутствии перекиси водорода, последующем титровании сернистой кислоты раствором йодид-йодата калия в присутствии индикатора - крахмала или, соответственно, серной кислоты раствором тетраборнокислого натрия в присутствии смеси индикаторов.
3.2. Аппаратура, реактивы и растворы
Для проведения анализа применяют установку, схема которой приведена на чертеже.
Стеклянные части установки соединяют встык при помощи отрезков резиновых трубок так, чтобы продукты сжигания не находились в соприкосновении с резиновыми трубками. Во избежание нагревания концов трубки торцевые поверхности печи прикрывают асбестовыми экранами, а концы трубки охлаждают влажными полосками хлопчатобумажной ткани или другими подходящими охлаждающими устройствами.
Установка состоит из следующих элементов: стального баллона с кислородом или кислородопровода 1, снабженного редукционным вентилем 2 и манометром 3; промывной склянки 4.1, содержащей раствор марганцовокислого калия в растворе гидроокиси калия. Допускается применять сухую очистку кислорода, для чего промывную склянку 4.1 заменяют U-образной трубкой, наполненной в первой половине по направлению потока кислорода асбестом, пропитанным оксидом марганца, а во второй - обезвоженным хлористым кальцием; колонки 4, заполненной в нижней части аскаритом, а в верхней - ангидроном; реометра или газового счетчика 5; трехходового крана 6 для пуска кислорода в поглотительный сосуд через печь или минуя печь; печи трубчатой горизонтальной с силитовыми нагревателями 7, обеспечивающими нагрев до температуры 1400 °С; трансформатора 8, трубки огнеупорной муллито-кремнеземистой 9 длиной 650 - 800 мм, с внутренним диаметром 18 - 22 мм, концы которой должны выступать на (190 +/- 10) мм; лодочки фарфоровой 10 по
ГОСТ 9147, N 2, предварительно прокаленной в муфельной печи при температуре не ниже 900 °С в течение 4 - 5 ч, а затем в потоке кислорода в течение 5 мин при рабочей температуре; резиновой трубки для подачи кислорода через барботажную трубку в поглотительный сосуд, минуя печь 11; термопары с терморегулятором для контроля температуры печи 12; стеклянной трубки, заполненной стекловатой для очистки смеси газов от оксидов, образующихся при сжигании, 13; крана для изолирования печи от поглотительного сосуда 14; поглотительного сосуда 15, высотой 250 мм и диаметром 30 - 50 мм; бюретки 16; сосуда для раствора сравнения высотой 250 мм и диаметром 30 - 50 мм 17. Допускается применение поглотительного сосуда другой формы без сосуда сравнения.
Крючок из жаропрочной низкоуглеродистой проволоки диаметром 3 - 5 мм, длиной 500 - 600 мм, с помощью которого фарфоровые лодочки с пробой и плавнем помещают в трубку для сжигания и извлекают из нее.
Калия гидроокись по
ГОСТ 24363 и раствор с массовой концентрацией 100 г/дм3.
Калий марганцовокислый по
ГОСТ 20490; раствор с массовой концентрацией 40 г/дм3 в растворе гидроокиси калия с массовой концентрацией 100 г/дм3.
Магний хлорнокислый безводный (ангидрон).
Спирт этиловый ректификованный технический по
ГОСТ 18300.
Поглотительный раствор: 5 г сернокислого калия растворяют в 200 см3 прокипяченной воды, прибавляют 100 см3 раствора перекиси водорода и доводят до 2,5 дм3 прокипяченной водой.
Крахмал растворимый по
ГОСТ 10163, свежеприготовленный раствор с массовой концентрацией 0,5 г/дм3: 0,5 г растворимого крахмала смешивают с 50 см3 холодной воды. Полученную суспензию вливают в стакан, содержащий 950 см3 кипящей воды, прибавляют 10 см3 соляной кислоты и кипятят 2 - 3 мин. После охлаждения прибавляют раствор йодид-йодата калия до получения бледно-голубой окраски раствора и перемешивают.
Метиловый красный.
Метиленовый синий.
Смесь индикаторов: 0,1 г метилового красного растворяют при перемешивании и нагревании в 300 см3 этилового спирта и смешивают с раствором, содержащим 0,05 г метиленового синего в 50 см3 воды.
Кальций хлористый.
Аскарит.
Калия йодид-йодат, титрованные растворы.
Раствор А: 0,1110 г йодноватокислого калия, 5 г йодистого калия и 0,4 г гидроокиси калия помещают в стакан вместимостью 250 см3 и растворяют в 100 см3 воды. Раствор переносят в мерную колбу вместимостью 1 дм3, доливают до метки водой и перемешивают. Раствор хранят в склянке из темного стекла.
1 см3 раствора А соответствует ~0,00005 г серы.
Раствор Б: 250 см3 раствора А разбавляют в мерной колбе водой до 500 см3.
1 см3 раствора Б соответствует ~0,000025 г серы.
Массовую концентрацию раствора А или Б йодид-йодата калия устанавливают по стандартному образцу в соответствии с требованием
ГОСТ 28473.
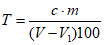
Массовую концентрацию растворов А или Б йодид-йодата калия (Т) в граммах серы на кубический сантиметр вычисляют по формуле

,
где с - массовая доля серы в стандартном образце ферросплава или металла, %;
V - объем раствора йодид-йодата калия, израсходованный на титрование серы, содержащейся в навеске стандартного образца, см3;

- объем раствора йодид-йодата калия, израсходованный на титрование раствора контрольного опыта, см3;
m - масса навески стандартного образца, г.
Натрий тетраборнокислый по
ГОСТ 4199, титрованные растворы.
Раствор А: 0,5947 г реактива растворяют в мерной колбе в 1 дм3 предварительно прокипяченной воды.
1 см3 раствора А соответствует ~0,00005 г серы.
Раствор Б: 250 см3 раствора А разбавляют в мерной колбе водой до 500 см3.
1 см3 раствора Б соответствует ~0,000025 г серы.
Массовую концентрацию растворов А или Б тетраборнокислого натрия (

) в граммах серы на кубический сантиметр раствора вычисляют по формуле 2, где

и

- соответствующие объемы раствора тетраборнокислого натрия.
Плавень. В качестве плавня могут быть использованы:
железо металлическое или железо карбонильное;
меди (II) окись в виде порошка по
ГОСТ 16539, проволоки или гранул, прокаленная при температуре (800 +/- 20) °С в течение 3 - 4 ч;
ванадия пятиокись, прокаленная при температуре (450 +/- 20) °С в течение 3 - 4 ч;
Соотношение составных частей плавня, а также соотношение массы навески с плавнем приведены в
табл. 2.
Допускается применять другие плавни в других соотношениях с навеской.
Массовая доля серы в плавнях не должна превышать величины допускаемых расхождений, приведенных в
табл. 4.
(Измененная редакция, Изм. N 1).
3.3. Подготовка к анализу
3.3.1. Устанавливают рабочую температуру печи и проверяют установку на герметичность. Для этого в нагретую трубку из газовой системы при помощи крана 6 подают кислород при закрытом кране 14. Установку считают герметичной, если в промывной склянке 4.1 через некоторое время прекратится появление пузырьков газа. В противном случае установку следует разобрать, проверить стеклянные стыки, краны, смазать их вазелином, собрать установку и снова проверить герметичность.
Перед проведением анализа контролируют полноту выгорания серы из трубки.
3.3.2. При применении титрованного раствора йодид-йодата калия в поглотительный сосуд и сосуд сравнения наливают по 50 см3 раствора крахмала, окрашенного йодид-йодатом калия до светло-голубого цвета. Затем через поглотительный сосуд пропускают поток кислорода с умеренной скоростью. Если через 4 - 5 мин окраска раствора в поглотительном сосуде исчезает, то добавляют раствор йодид-йодата до получения светло-голубой окраски раствора и вновь пропускают кислород. Устойчивость окраски раствора в поглотительном сосуде свидетельствует о полном выгорании серы из трубки.
3.3.3. При применении титрованного раствора тетраборнокислого натрия в поглотительный сосуд наливают 50 см3 поглотительного раствора и 5 - 6 капель раствора смеси индикаторов. К раствору прибавляют несколько капель раствора тетраборнокислого натрия до изменения окраски раствора в светло-зеленую. В процессе прибавления раствора тетраборнокислого натрия пропускание кислорода не прекращают. Устойчивость окраски раствора в поглотительном сосуде свидетельствует о полном выгорании серы из трубки.
3.4. Проведение анализа
3.4.1. В лодочку помещают навески пробы и плавня массой, установленной в соответствии с
табл. 2. Закрывают кран 14, соединяющий печь с поглотительным сосудом 15, кран 6 поворачивают в положение, при котором кислород поступает в поглотительный сосуд через трубку 11 и верхний отвод барботажной трубки 15.3, минуя печь.
Открывают муллито-кремнеземистую трубку, помещают лодочку с навеской и плавнем в наиболее нагретую часть трубки, закрывают металлическим затвором или резиновой пробкой и продолжают нагревание навески при рабочей температуре, приведенной в
табл. 2, приблизительно 30 с без доступа кислорода.
Во время нагревания образца газ должен барботировать в поглотительном сосуде, не допуская поглощения двуокиси серы в барботажной трубке. Поворачивают кран 6 в положение, при котором кислород поступает в печь, затем быстро открывают кран 14 и пропускают поток газа через поглотительный раствор. Для контроля скорости подачи кислорода следует использовать реометр и поддерживать расход кислорода 1,5 - 2 дм3/мин.
Когда сернистый газ, поступающий из печи в поглотительный сосуд, начнет обесцвечивать нижний слой жидкости, из бюретки по каплям прибавляют раствор йодид-йодата калия с массовой концентрацией по сере, приведенной в табл. 5, со скоростью, при которой жидкость все время оставалась бы светло-голубого цвета. Титрование считают законченным, когда интенсивность окраски раствора в обоих сосудах будет одинаковой, не исчезающей в течение 1 мин. Для полноты сжигания навески кислород подают еще в течение 1 мин. Если интенсивность окраски раствора не уменьшится, анализ считают законченным.
Таблица 5
────────────────────────────┬─────────────────────────────────────
Масса серы, соответствующая│Массовая концентрация раствора йодид-
навеске пробы, г │ йодат калия или тетраборнокислого
│ натрия, г/см3
────────────────────────────┼─────────────────────────────────────
От 0,00002 до 0,0003 │0,000025
Св. 0,0003 " 0,001 │0,000050
При применении титрованного раствора тетраборнокислого натрия окраска поглотительного раствора изменяется из светло-зеленой в малиновую. В этом случае прибавляют раствор тетраборнокислого натрия с массовой концентрацией, соответствующей определяемой массе серы (табл. 5) до получения светло-зеленой окраски раствора. Прекращают подачу кислорода в печь. Для этого перекрывают кран 14 и быстро поворачивают кран 6 в положение, при котором кислород поступает в поглотительный сосуд, минуя печь, и извлекают лодочку из трубки.
Участок системы между трубкой сжигания и поглотительным сосудом должен быть сухим, для надежности перед началом работы его промывают этиловым спиртом и эфиром.
Недопустимо засасывание поглотительного раствора в барботажную трубку 15.1.
Если же в процессе сжигания навески или в момент переключения кранов все же наблюдается засасывание поглотительного раствора в барботажную трубку, то необходимо слить раствор из поглотительного сосуда и просушить его путем длительного пропускания горячего потока кислорода, проходящего через печь, или заменить поглотительный сосуд другим сосудом с сухой барботажной трубкой.
Для предотвращения засасывания поглотительного раствора в барботажную трубку вместо подачи кислорода в поглотительный сосуд через трехходовый кран 6 и резиновую трубку 11 рекомендуется трехходовый кран убрать и подачу кислорода осуществлять с различной скоростью двумя самостоятельными источниками. Через верхний отвод барботажной трубки 15.3 непрерывно подают кислород со скоростью 0,3 дм3/мин, при этом кран 14 должен быть закрыт, а в период сжигания навески сплава кран 14 открывают и кислород пропускают через трубку и нижний отвод барботажной трубки 15.2 со скоростью 1 - 2 дм3/мин, при этом необходимо исключить одноминутную выдержку в процессе сжигания навески сплава.
После сжигания навески и оттитровывания поглотительного раствора кран 14 перекрывают, открывают пробку и выгружают лодочку из трубки, кислород в поглотительную ячейку продолжают подавать через верхний отвод барботажной трубки со скоростью 0,3 дм3/мин.
3.5. Обработка результатов
3.5.1. Массовую долю серы (Х) в процентах вычисляют по формуле

,
где Т - массовая концентрация раствора йодид-йодата калия или тетраборнокислого натрия, выраженная в г/см3 серы;
V - объем раствора йодид-йодата калия или тетраборнокислого натрия, израсходованный на титрование, см3;

- объем раствора йодид-йодата калия или тетраборнокислого натрия, израсходованный на титрование раствора контрольного опыта, см3;
m - масса навески, г.
3.5.2. Нормы точности и нормативы контроля точности определения массовой доли серы приведены в
табл. 4.
(Измененная редакция, Изм. N 1).
4. ИНФРАКРАСНО-АБСОРБЦИОННЫЙ МЕТОД
4.1. Сущность метода
Метод основан на сжигании навески ферросплава или металла в потоке кислорода при соответствующей температуре и определении количества образовавшейся двуокиси серы путем измерения поглощенной ею инфракрасной радиации.
4.2. Аппаратура, реактивы и растворы
Автоматический анализатор, основанный на абсорбции инфракрасной радиации, любого типа со всеми принадлежностями.
Плавень, поглотительный и вспомогательные материалы - в зависимости от типа применяемого анализатора.
4.3. Проведение анализа
Перед проведением анализа проводят градуировку прибора по стандартным образцам.
Анализ проводят в зависимости от типа анализатора.
4.4. Обработка результатов
4.4.1. Массовую долю серы определяют по цифровому указателю анализатора.
4.4.2. Нормы точности и нормативы контроля точности определения массовой доли серы приведены в
табл. 4.
(Измененная редакция, Изм. N 1).