Главная // Актуальные документы // ГОСТ (Государственный стандарт)СПРАВКА
Источник публикации
М.: ИПК Издательство стандартов, 2001
Примечание к документу
С 1 июля 2003 года до вступления в силу технических регламентов акты федеральных органов исполнительной власти в сфере технического регулирования носят рекомендательный характер и подлежат обязательному исполнению только в части, соответствующей целям, указанным в
пункте 1 статьи 46 Федерального закона от 27.12.2002 г. N 184-ФЗ.
Документ
введен в действие с 01.07.2002.
Взамен ГОСТ 13230.6-81.
Название документа
"ГОСТ 13230.6-93. Межгосударственный стандарт. Ферросилиций. Методы определения хрома"
(введен в действие Постановлением Госстандарта России от 26.06.2001 N 247-ст)
"ГОСТ 13230.6-93. Межгосударственный стандарт. Ферросилиций. Методы определения хрома"
(введен в действие Постановлением Госстандарта России от 26.06.2001 N 247-ст)
Введен в действие
комитета Российской Федерации
по стандартизации и метрологи
от 26 июня 2001 г. N 247-ст
МЕЖГОСУДАРСТВЕННЫЙ СТАНДАРТ
ФЕРРОСИЛИЦИЙ
МЕТОДЫ ОПРЕДЕЛЕНИЯ ХРОМА
Ferrosilicon. Methods for determination of cromium
ГОСТ 13230.6-93
Дата введения
с 1 июля 2002 года
1 РАЗРАБОТАН Техническим комитетом по стандартизации ТК 008 "Ферросплавы"
ВНЕСЕН Госстандартом России.
2 ПРИНЯТ Межгосударственным Советом по стандартизации, метрологии и сертификации 15 апреля 1994 г. (отчет Технического секретариата N 2)
За принятие проголосовали:
Наименование государства | Наименование национального органа по стандартизации |
Республика Армения | Армгосстандарт |
Республика Беларусь | Госстандарт Республики Беларусь |
Республика Казахстан | Госстандарт Республики Казахстан |
Республика Молдова | Молдовастандарт |
Российская Федерация | Госстандарт России |
Туркменистан | Главгосслужба "Туркменстандартлары" |
Украина | Госстандарт Украины |
3
Постановлением Государственного комитета Российской Федерации по стандартизации и метрологии от 26 июня 2001 г. N 247-ст межгосударственный стандарт ГОСТ 13230.6-93 введен в действие непосредственно в качестве государственного стандарта Российской Федерации с 1 июля 2002 г.
4 ВЗАМЕН ГОСТ 13230.6-81
Настоящий стандарт устанавливает методы определения хрома в ферросилиции: атомно-абсорбционный (при массовой доле хрома от 0,05% до 1,2%), фотометрический (при массовой доле хрома от 0,05% до 0,03%) и потенциометрический (при массовой доле хрома от 0,3% до 1,2%).
В настоящем стандарте использованы ссылки на следующие стандарты:
ГОСТ 435-77 Марганец (II) сернокислый 5-водный. Технические условия
ГОСТ 4208-72 Соль закиси железа и аммония двойная сернокислая (соль Мора). Технические условия
ГОСТ 24991-81 Феррохром, ферросиликохром, ферросилиций, ферросиликомарганец, ферромарганец. Методы отбора и подготовки проб для химического и физико-химического анализов
ГОСТ 28473-90 Чугун, сталь, ферросплавы, хром, марганец металлические. Общие требования к методам анализа.
3.1. Общие требования к методам анализа - по
ГОСТ 28473.
3.2. Лабораторная проба должна быть приготовлена в виде порошка максимальным размером частиц 0,16 мм по
ГОСТ 24991.
4. Атомно-абсорбционный метод
4.1. Сущность метода
Метод основан на измерении атомной абсорбции хрома в пламени закись азота-ацетилен при длине волны 357,9 нм. Атомизацию проводят из сернокислых растворов.
4.2. Аппаратура, реактивы и растворы
Атомно-абсорбционный спектрометр со всеми принадлежностями.
Кислота серная по
ГОСТ 4204 и растворы 1:1, 1:2.
Железо металлическое.
Раствор железа 20 г/дм3: 20 г железа растворяют при нагревании в 40 см3 соляной кислоты, приливают 5 см3 азотной кислоты, раствор кипятят до удаления оксидов азота. Охлажденный раствор переносят в мерную колбу вместимостью 1 дм3, доливают водой до метки и перемешивают.
Хром металлический.
Стандартные растворы хрома.
Раствор А: 1,0000 г хрома растворяют в 50 см3 раствора серной кислоты (1:2), окисляют азотной кислотой, выпаривают раствор до начала выделения паров серной кислоты. Соли растворяют в воде при нагревании, охлаждают и переносят в мерную колбу вместимостью 1 дм3, доливают водой до метки и перемешивают.
Массовая концентрация хрома в растворе А равна 0,001 г/см3.
Раствор Б: 10,0 см3 раствора А помещают в мерную колбу вместимостью 100 см3, доливают до метки водой и перемешивают.
Массовая концентрация хрома в растворе Б равна 0,0001 г/см3.
4.3. Проведение анализа
4.3.1. Навеску пробы, отобранную согласно таблице 1, помещают во фторопластовый стакан или чашку из стеклоуглерода или платины, приливают 10 см
3 фтористоводородной кислоты, затем осторожно по каплям добавляют азотную кислоту до прекращения бурной реакции и 5 см
3 в избыток, 8 см
3 раствора серной кислоты (1:1), раствор выпаривают до выделения паров серной кислоты и охлаждают. Соли растворяют в 20 см
3 воды при нагревании. Охлажденный раствор переносят в мерную колбу вместимостью 100 см
3, доливают водой до метки и перемешивают. Раствор фильтруют через сухой фильтр в сухую колбу, отбрасывая первые порции фильтрата.
Массовая доля хрома, % | Масса навески пробы, г | Атомизируемая масса хрома, мг | Объем стандартного раствора Б, см3 |
От 0,05 до 0,2 включ. | 0,5 | 0,25 - 1 | 2,5 - 10,0 |
Св. 0,2 " 0,5 " | 0,2 | 0,4 - 1 | 4,0 - 10,0 |
" 0,5 " 1,2 " | 0,1 | 0,5 - 1,2 | 5,0 - 12,0 |
Атомную абсорбцию хрома измеряют параллельно в растворе контрольного опыта, растворе пробы, растворах для построения градуировочного графика, растворе стандартного образца при длине волны 357,9 нм в пламени закись азота-ацетилен.
4.3.2. После вычитания значения атомной абсорбции раствора контрольного опыта из значения абсорбции раствора пробы находят массовую долю хрома в пробе методом сравнения со стандартным образцом с химическим составом, соответствующим требованиям настоящего стандарта, или методом градуировочного графика, или методом добавок.
При применении метода сравнения навеску стандартного образца проводят через все стадии анализа, как указано в
4.3.1.
При применении метода градуировочного графика в ряд стаканов помещают раствор железа в количестве, соответствующем его содержанию в пробе, стандартный раствор хрома согласно
таблице 1. В один стакан стандартный раствор хрома не помещают. Во все стаканы помещают по 8 см
3 раствора серной кислоты (1:1) и далее поступают, как указано в
4.3.1.
Градуировочный график строят по результатам, полученным после вычитания значения абсорбции раствора, не содержащего стандартный раствор хрома, из значений абсорбции растворов, содержащих стандартный раствор, и соответствующим им массам хрома.
При применении метода добавок к навеске пробы добавляют такое количество стандартного раствора хрома, чтобы значение атомной абсорбции раствора пробы с добавлением стандартного раствора составляло не более двухкратного значения атомной абсорбции раствора пробы и находилось в линейном диапазоне градуировочного графика. Далее анализ проводят по
4.3.1.
4.4. Обработка результатов
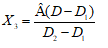
4.4.1. Массовую долю хрома X, %, определяемую методом сравнения, вычисляют по формуле

, (1)
где

- аттестованное значение массовой доли хрома в стандартном образце, %;
D - значение атомной абсорбции раствора пробы;

- значение атомной абсорбции раствора контрольного опыта;

- значение атомной абсорбции раствора стандартного образца.
4.4.2. Массовую долю хрома

, %, определяемую методом градуировочного графика, вычисляют по формуле

, (2)
где

- масса хрома, найденная по градуировочному графику, г;
m - масса навески пробы, г.
4.4.3 Массовую долю хрома

, %, определяемую методом добавок, вычисляют по формуле

, (3)
где

- масса хрома стандартного раствора, добавленная к пробе, г;
D - значение атомной абсорбции раствора пробы без добавления стандартного раствора хрома;

- значение атомной абсорбции раствора контрольного опыта;

- значение атомной абсорбции раствора пробы с добавлением стандартного раствора хрома;
m - масса навески пробы, г.
4.4.4. Нормы точности и нормативы контроля точности определения массовой доли хрома приведены в таблице 2.
В процентах
Массовая доля хрома | Погрешность результатов анализа  | Допускаемое расхождение |
двух средних результатов анализа, выполненных в различных условиях, dк | двух параллельных определений d2 | трех параллельных определений d3 | результатов анализа стандартного образца и аттестованного значения  |
От 0,05 до 0,1 включ. | 0,014 | 0,017 | 0,014 | 0,018 | 0,009 |
Св. 0,1 " 0,2 " | 0,02 | 0,03 | 0,02 | 0,03 | 0,01 |
" 0,2 " 0,5 " | 0,03 | 0,04 | 0,03 | 0,04 | 0,02 |
" 0,5 " 1,0 " | 0,04 | 0,06 | 0,05 | 0,06 | 0,03 |
" 1,0 " 1,2 " | 0,06 | 0,08 | 0,06 | 0,08 | 0,04 |
5.1. Сущность метода
Метод основан на измерении оптической плотности красно-фиолетового комплексного соединения, полученного в результате реакции окисления дифенилкарбазида ионами шестивалентного хрома.
Железо, марганец и другие элементы, мешающие определению, отделяют осаждением углекислым натрием.
5.2. Аппаратура, реактивы и растворы
Спектрофотометр или фотоэлектроколориметр.
Кислота серная по
ГОСТ 4204 и растворы 1:1 и 1:5.
Натрий углекислый по
ГОСТ 83, раствор 200 г/дм
3.
Калий марганцовокислый по
ГОСТ 20490, раствор 10 г/дм
3.
Дифенилкарбазид по НД, свежеприготовленный раствор 1 г/дм3: 0,1 г реактива растворяют без нагревания в 10 см3 уксусной кислоты, приливают 90 см3 воды и перемешивают.
Стандартный раствор хрома: 0,2829 г перекристаллизованного и просушенного до постоянной массы при температуре 180 °С двухромовокислого калия растворяют в 200 см3 воды в мерной колбе вместимостью 1 дм3, доливают водой до метки и перемешивают.
Массовая концентрация хрома в растворе равна 0,0001 г/см3.
Железо металлическое.
Раствор железа 10 г/дм3: 5 г металлического железа растворяют при нагревании в 60 см3 раствора серной кислоты (1:5), окисляют азотной кислотой, раствор кипятят до удаления оксидов азота. Охлажденный раствор переносят в мерную колбу вместимостью 500 см3, доливают водой до метки и перемешивают.
5.3. Проведение анализа
5.3.1. Навеску пробы массой 0,2 г помещают в стеклоуглеродную или платиновую чашку, приливают 10 см3 фтористоводородной кислоты, осторожно по каплям добавляют азотную кислоту до прекращения бурной реакции и 5 см3 в избыток. Приливают 5 см3 раствора серной кислоты (1:1) и выпаривают до выделения паров серной кислоты. После охлаждения стенки чашки обмывают водой и снова выпаривают раствор до выделения паров серной кислоты, которым дают выделяться 3 - 5 мин.
После охлаждения в чашку приливают 30 см3 воды и растворяют соли при нагревании. Переносят раствор в коническую колбу вместимостью 100 см3. (В раствор контрольного опыта добавляют 4 см3 раствора железа). Раствор выпаривают до объема 30 - 40 см3. В горячий раствор приливают 1 - 1,5 см3 раствора марганцовокислого калия и кипятят до выпадения осадка диоксида марганца и просветления раствора. Охлаждают и осторожно небольшими порциями при перемешивании приливают раствор углекислого натрия до образования осадка гидроксида железа и в избыток 10 см3.
5.3.2. Раствор с осадком охлаждают, переносят в мерную колбу вместимостью 100 см3, доливают до метки водой и перемешивают. Осадку дают отстояться и затем фильтруют раствор через сухой фильтр средней плотности в сухую колбу, отбрасывая первые порции фильтрата. Аликвотную часть раствора, содержащую от 10 до 50 мкг хрома помещают в мерную колбу вместимостью 100 см3, разбавляют водой до 50 см3, нейтрализуют раствором серной кислоты (1:5) по бумаге "конго", а затем добавляют в избыток этой же кислоты 3 см3. Раствор охлаждают, приливают 5,0 см3 раствора дифенилкарбазида, доливают до метки водой и перемешивают.
Оптическую плотность раствора измеряют через 5 мин на спектрофотометре при длине волны 530 нм или фотоэлектроколориметре в области светопропускания от 510 до 560 нм.
В качестве раствора сравнения применяют воду.
После вычитания значения оптической плотности раствора контрольного опыта из значения оптической плотности раствора пробы находят массовую долю хрома методом сравнения со стандартным образцом с химическим составом, соответствующим требованиям настоящего стандарта, или методом градуировочного графика.
5.3.3. Построение градуировочного графика
В ряд конических колб вместимостью 100 см3 вводят от 1,0 до 5,0 см3 стандартного раствора хрома, что соответствует от 0,0001 до 0,0005 г хрома. В одну колбу стандартный раствор хрома не вводят.
Во все колбы добавляют воду до объема 20 см3, прибавляют по 4 см3 раствора железа и осторожно приливают раствор углекислого натрия до образования осадка гидроксида железа и 10 см3 в избыток. Охлажденные растворы с осадком переносят в мерные колбы вместимостью 100 см3, доливают до метки водой и перемешивают.
Осадку дают отстояться, затем фильтруют растворы через сухой фильтр в сухие колбы, отбрасывая первые порции фильтрата. От каждого раствора отбирают аликвотную часть, равную 10,0 см3, в мерную колбу вместимостью 100 см3, разбавляют водой до 50 см3 и далее поступают, как указано в 5.3.1.
В качестве раствора сравнения применяют раствор, не содержащий стандартного раствора хрома.
По полученным значениям оптических плотностей растворов и соответствующим им массам хрома строят градуировочный график.
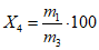
5.4. Обработка результатов
5.4.1. Массовую долю хрома

, %, определяемую методом сравнения, вычисляют по формуле

, (4)
где

- аттестованное значение массовой доли хрома в стандартном образце, %;
D - значение оптической плотности раствора пробы;

- значение оптической плотности раствора контрольного опыта;

- значение оптической плотности раствора стандартного образца.
5.4.2. Массовую долю хрома

, %, определяемую методом градуировочного графика, вычисляют по формуле

, (5)
где

- масса хрома, найденная по градуировочному графику, г;

- масса навески пробы или масса навески, соответствующая аликвотной части раствора пробы, г.
5.4.3. Нормы точности и нормативы контроля точности определения массовой доли хрома приведены в
таблице 2.
6. Потенциометрический метод
6.1. Сущность метода
Метод основан на окислении трехвалентного хрома до шестивалентного в сернокислом растворе надсернокислым аммонием в присутствии катализатора - азотнокислого серебра. Полученную хромовую кислоту оттитровывают раствором соли Мора потенциометрическим методом.
6.2. Аппаратура, реактивы и растворы
Установка для потенциометрического титрования с индикаторным платиновым и сравнительным вольфрамовым или хлорсеребряным, или каломельным электродами.
Мешалка магнитная или механическая.
Кислота серная по
ГОСТ 4204, растворы 1:1 и 1:20.
Аммоний надсернокислый по
ГОСТ 20478, раствор 250 г/дм
3.
Серебро азотнокислое по
ГОСТ 1277, раствор 2,5 г/дм
3.
Натрий хлористый по
ГОСТ 4233, раствор 50 г/дм
3.
Марганец (II) сернокислый 5-водный по ГОСТ 435, раствор 10 г/дм3.
Калий двухромовокислый по
ГОСТ 4220, раствор с (1/6K
2Cr
2O
7) = 0,025 моль/дм
3: 1,2258 г перекристаллизованного и просушенного до постоянной массы при температуре 180 °С двухромовокислого калия растворяют в 200 см
3 воды, переносят в мерную колбу вместимостью 1 дм
3, доливают водой до метки и перемешивают.
Массовая концентрация раствора двухромовокислого калия, выраженная в граммах на кубический сантиметр хрома, равна 0,0004333 г/см3.
Соль закиси железа и аммония двойная сернокислая (соль Мора) по
ГОСТ 4208, раствор с [FeSO
4(NH
4)
2SO
4·6H
2O] = 0,025 моль/дм
3: 9,83 г соли Мора растворяют в 500 см
3 раствора серной кислоты (1:20). Раствор переносят в мерную колбу вместимостью 1 дм
3, доливают водой до метки и перемешивают.
Массовую концентрацию раствора соли Мора устанавливают по раствору двухромовокислого калия.
Для этого в стакан вместимостью 400 см3 помещают 25,0 см3 раствора двухромовокислого калия, затем прибавляют 200 см3 воды, 20 см3 раствора серной кислоты (1:1), 5 см3 ортофосфорной кислоты и титруют раствором соли Мора до резкого отклонения стрелки милливольтметра.
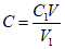
Массовую концентрацию раствора соли Мора C, г/см3 хрома, вычисляют по формуле

, (6)
где

- массовая концентрация раствора двухромовокислого калия, г/см
3 хрома;
V - объем раствора двухромовокислого калия, взятый для титрования, см3;

- объем раствора соли Мора, израсходованный на титрование раствора двухромовокислого калия, см
3.
6.3. Проведение анализа
6.3.1. Навеску пробы массой 2 г (при массовой доле хрома до 0,5%) или 1 г (при массовой доле хрома свыше 0,5%) помещают в платиновую или стеклоуглеродную чашку, приливают 10 - 20 см3 фтористоводородной кислоты, затем осторожно по каплям добавляют азотную кислоту до прекращения бурной реакции и 5 см3 в избыток, 20 см3 раствора серной кислоты (1:1) и выпаривают до выделения паров серной кислоты. После охлаждения прибавляют 5 см3 ортофосфорной кислоты, обмывают стенки чашки водой и снова выпаривают раствор до выделения паров серной кислоты.
Охлаждают, приливают 50 см3 воды, нагревают до растворения солей и переносят раствор в коническую колбу вместимостью 500 см3. Разбавляют раствор водой до объема 250 см3, приливают 5 см3 ортофосфорной кислоты и 1 см3 раствора азотнокислого серебра. Раствор нагревают до кипения, осторожно добавляют 10 см3 раствора надсернокислого аммония и нагревают до появления малиновой окраски марганцевой кислоты (при отсутствии марганца в пробе к раствору добавляют 2 - 3 капли раствора сернокислого марганца).
Затем раствор кипятят до разрушения избытка надсернокислого аммония, после чего добавляют 10 см3 раствора хлористого натрия и кипятят раствор в течение 3 - 5 мин для восстановления марганцевой кислоты. Раствор охлаждают и переносят в стакан вместимостью 400 см3, стакан помещают на столик потенциометрической установки, включают мешалку и титруют раствором соли Мора до резкого отклонения стрелки милливольтметра.
6.4. Обработка результатов
6.4.1. Массовую долю хрома

, %, вычисляют по формуле

, (7)
где C - массовая концентрация раствора соли Мора, г/см3 хрома;

- объем раствора соли Мора, израсходованный на титрование раствора пробы, см
3;

- объем раствора соли Мора, израсходованный на титрование раствора контрольного опыта, см
3.
m - масса навески пробы, г.
6.4.2 Нормы точности и нормативы контроля точности определения массовой доли хрома приведены в
таблице 2.