Главная // Актуальные документы // ГОСТ (Государственный стандарт)СПРАВКА
Источник публикации
В данном виде документ опубликован не был.
Первоначальный текст документа опубликован в издании
М.: ИПК Издательство стандартов, 2002.
Информацию о публикации документов, создающих данную редакцию, см. в справке к этим документам.
Примечание к документу
Документ утратил силу с 1 февраля 2020 года в связи с изданием
Приказа Росстандарта от 20.06.2019 N 320-ст. Взамен введен в действие
ГОСТ 30407-2019.
Отдельные положения данного документа включены в
Перечень международных и региональных (межгосударственных) стандартов, а в случае их отсутствия - национальных (государственных) стандартов, в результате применения которых на добровольной основе обеспечивается соблюдение требований технического
регламента Таможенного союза "О безопасности продукции, предназначенной для детей и подростков" (ТР ТС 007/2011), и отдельные положения данного документа включены в Перечень международных и региональных (межгосударственных) стандартов (
п. п. 274,
278,
282,
286,
288), а в случае их отсутствия - национальных (государственных) стандартов, содержащих правила и методы исследований (испытаний) и измерений, в том числе правила отбора образцов, необходимые для применения и исполнения требований технического
регламента Таможенного союза "О безопасности продукции, предназначенной для детей и подростков" (ТР ТС 007/2011) и осуществления оценки соответствия объектов технического регулирования (
Решение Коллегии Евразийской экономической комиссии от 14.03.2023 N 31).
Документ включен в
Перечень документов в области стандартизации, в результате применения которых на добровольной основе обеспечивается соблюдение требований технического
регламента Таможенного союза "О безопасности продукции, предназначенной для детей и подростков" (ТР ТС 007/2011) и
Перечень документов в области стандартизации, содержащих правила и методы исследований (испытаний) и измерений, в том числе правила отбора образцов, необходимые для применения и исполнения требований технического
регламента Таможенного союза "О безопасности продукции, предназначенной для детей и подростков" (ТР ТС 007/2011) и осуществления оценки (подтверждения) соответствия продукции (
Решение Комиссии Таможенного союза от 23.09.2011 N 797).
С 1 июля 2003 года до вступления в силу технических регламентов акты федеральных органов исполнительной власти в сфере технического регулирования носят рекомендательный характер и подлежат обязательному исполнению только в части, соответствующей целям, указанным в
пункте 1 статьи 46 Федерального закона от 27.12.2002 N 184-ФЗ.
Изменение N 1 введено в действие с 1 сентября 2005 года Приказом Ростехрегулирования от 31.03.2005 N 74-ст.
Взамен ГОСТ 26821-86, ГОСТ 26822-86.
Название документа
"ГОСТ 30407-96 (ИСО 7086-1-82, ИСО 7086-2-82). Межгосударственный стандарт. Посуда и декоративные изделия из стекла. Общие технические условия"
(введен в действие Постановлением Госстандарта России от 10.04.1997 N 130)
(ред. от 31.03.2005)
"ГОСТ 30407-96 (ИСО 7086-1-82, ИСО 7086-2-82). Межгосударственный стандарт. Посуда и декоративные изделия из стекла. Общие технические условия"
(введен в действие Постановлением Госстандарта России от 10.04.1997 N 130)
(ред. от 31.03.2005)
Постановлением
Государственного комитета
Российской Федерации
по стандартизации,
метрологии и сертификации
от 10 апреля 1997 г. N 130
МЕЖГОСУДАРСТВЕННЫЙ СТАНДАРТ
ПОСУДА И ДЕКОРАТИВНЫЕ ИЗДЕЛИЯ ИЗ СТЕКЛА
ОБЩИЕ ТЕХНИЧЕСКИЕ УСЛОВИЯ
Tableware and decorative articles of glass.
General specifications
ГОСТ 30407-96
(ИСО 7086-1-82, ИСО 7086-2-82)
| | Список изменяющих документов Приказом Ростехрегулирования от 31.03.2005 N 74-ст) | |
Группа У11
МКС 81.040.30
ОКП 59 7000,
59 8100
(в ред.
Изменения N 1, введенного в действие Приказом Ростехрегулирования от 31.03.2005 N 74-ст)
Дата введения
1 января 1998 года
1. Разработан Межгосударственным техническим комитетом по стандартизации МТК 68 "Посуда и изделия культурно-бытового назначения из стекла".
Внесен Госстандартом России.
2. Принят Межгосударственным советом по стандартизации, метрологии и сертификации (Протокол N 10 от 4 октября 1996 г.).
За принятие проголосовали:
Наименование государства | Наименование национального органа по стандартизации |
Азербайджанская Республика | Азгосстандарт |
Республика Армения | Армгосстандарт |
Республика Белоруссия | Белстандарт |
Республика Казахстан | Госстандарт Республики Казахстан |
Киргизская Республика | Киргизстандарт |
Российская Федерация | Госстандарт России |
Республика Таджикистан | Таджикский государственный центр по стандартизации, метрологии и сертификации |
Туркменистан | Туркменглавгосинспекция |
Республика Узбекистан | Узгосстандарт |
Украина | Госстандарт Украины |
3.
Приложения А и
Б настоящего стандарта представляют собой полный аутентичный текст стандартов ИСО 7086-2-82 "Посуда стеклянная и стеклокерамическая в контакте с пищей. Выделение свинца и кадмия. Часть 2. Допустимые пределы" и ИСО 7086-1-82 "Посуда стеклянная и стеклокерамическая в контакте с пищей. Выделение свинца и кадмия. Часть 1. Метод испытания".
4. Взамен ГОСТ 26821-86, ГОСТ 26822-86.
5. Постановлением Государственного комитета Российской Федерации по стандартизации, метрологии и сертификации от 10 апреля 1997 г. N 130 межгосударственный стандарт ГОСТ 30407-96 введен в действие непосредственно в качестве государственного стандарта Российской Федерации с 1 января 1998 г.
6. Переиздание. Январь 2002 г.
Настоящий стандарт распространяется на посуду и декоративные изделия (далее - изделия) из стекла и хрусталя по
ГОСТ 24315.
(в ред.
Изменения N 1, введенного в действие Приказом Ростехрегулирования от 31.03.2005 N 74-ст)
Настоящий стандарт не распространяется на сувенирные изделия, скульптуры и памятные медали.
(в ред.
Изменения N 1, введенного в действие Приказом Ростехрегулирования от 31.03.2005 N 74-ст)
Абзац исключен с 1 сентября 2005 года. -
Изменение N 1, введенное в действие Приказом Ростехрегулирования от 31.03.2005 N 74-ст.
В настоящем стандарте использованы ссылки на следующие стандарты:
ГОСТ 427-75 Линейки измерительные металлические. Технические условия
(ссылка введена
Изменением N 1, введенным в действие Приказом Ростехрегулирования от 31.03.2005 N 74-ст)
ГОСТ 4644-75. Отходы производства текстильные хлопчатобумажные сортированные. Технические условия
(ссылка введена
Изменением N 1, введенным в действие Приказом Ростехрегулирования от 31.03.2005 N 74-ст)
ГОСТ 10134.1-82 Стекло неорганическое и стеклокристаллические материалы. Методы определения водостойкости при 98 °C
ГОСТ 10905-86 Плиты поверочные и разметочные. Технические условия
ГОСТ 15150-69 Машины, приборы и другие технические изделия. Исполнения для различных климатических районов. Категории, условия эксплуатации, хранения и транспортирования в части воздействия климатических факторов внешней среды
ГОСТ 15846-79 Продукция, отправляемая в районы Крайнего Севера и труднодоступные районы. Упаковка, маркировка, транспортирование и хранение
ГОСТ 16504-81 Система государственных испытаний продукции. Испытания и контроль качества продукции. Основные термины и определения
ГОСТ 18242-72 <*> Статистический приемочный контроль по альтернативному признаку. Планы контроля
--------------------------------
ГОСТ 21650-76 Средства скрепления тарно-штучных грузов в транспортных пакетах. Общие требования
ГОСТ 24315-80 Посуда и декоративные изделия из стекла. Термины и определения видов стекол, способов выработки и декорирования
В настоящем стандарте применяют следующие термины и определения.
3.1. Хрустальные стекла, натрий-кальций-силикатное стекло - по
ГОСТ 24315.
3.2. Сувенирные изделия - оригинальные изделия, художественно оформленные в традиционном для страны (республики, края, области) стиле, отображающие национальные или местные особенности, выдающиеся события, памятные даты, достижения отечественной науки, культуры, искусства, спорта и не применяемые в качестве посуды.
(в ред.
Изменения N 1, введенного в действие Приказом Ростехрегулирования от 31.03.2005 N 74-ст)
3.2а. Декоративные изделия - изделия, предназначенные для удовлетворения эстетических потребностей человека и не применяемые в качестве посуды.
(п. 3.2а введен
Изменением N 1, введенным в действие Приказом Ростехрегулирования от 31.03.2005 N 74-ст)
3.3. Свиль, инородное включение, пузырь, закрытый пузырь, открытый пузырь, "мошка", складка, морщина, поверхностная посечка, скол и кованость - по
ГОСТ 30005.
3.4. Пузырь в виде капилляра - пузырь вытянутой формы, длина которого, по крайней мере, в десять раз больше его максимальной ширины.
3.5. Следы нарушения поверхности - нарушение поверхности изделий в виде царапин, складок, морщин, поверхностных посечек.
3.6. Царапина - механическое повреждение поверхности изделия в виде матовой линии.
3.7. Следы дистировки - риски от абразивного материала, не полностью сглаженные полировкой на шлифованных поверхностях изделий.
3.8. Прижог - наличие белых или темных полос на шлифованной поверхности.
3.9. Следы полировки - рябь, волнистость, остатки "солей" на поверхности изделий.
3.10. "Соли" - стеклообразные крупинки на поверхности изделий, не удаленные в процессе полировки.
3.11. Следы от форм - нарушение поверхности изделий в виде черчености, кованости, следов от швов форм.
3.12. Декор - рисунок, частичное или сплошное покрытие силикатными и/или люстровыми красками, препаратами драгоценных металлов, "насыпью" из легкоплавкого стекла, а также деколь, нанесенные на поверхность изделия.
(п. 3.12 в ред.
Изменения N 1, введенного в действие Приказом Ростехрегулирования от 31.03.2005 N 74-ст)
3.13. Дефекты декорирования - вспученность, пропуски, растрескивание, подтеки, разрывы, помарки, расплывчатость контура рисунка, матовость (если декор должен быть блестящим), сине-фиолетовый оттенок при покрытии препаратами золота, неравномерность сплошного покрытия.
(п. 3.13 в ред.
Изменения N 1, введенного в действие Приказом Ростехрегулирования от 31.03.2005 N 74-ст)
3.14. Комплект - набор, состоящий из нескольких изделий одинакового вида и одного назначения (не более 12 шт.).
3.15. Сервиз - набор, состоящий из двух или более изделий разных видов (например, ваза для крюшона с подносом и 6 кружками и пр.).
3.17. Тара потребительская, индивидуальная, групповая, транспортная - по
ГОСТ 17527.
4. ОСНОВНЫЕ ПАРАМЕТРЫ И РАЗМЕРЫ
4.1. Высота изделий и допускаемые отклонения по высоте должны соответствовать указанным в таблице 1.
Таблица 1
В миллиметрах
Высота | Допускаемые отклонения |
До 100 включ. | +/- 2 |
Св. 100 " 200 " | +/- 3 |
" 200 " 300 " | +/- 5 |
" 300 " 350 " | +/- 8 |
" 350 | +/- 10 |
Примечание. Требование
4.1 не распространяется на изделия с фигурным краем, свободного формирования, центробежной выработки, моллированные, графины и кувшины.
4.2. В зависимости от размеров изделия подразделяют на группы в соответствии с таблицей 2.
Таблица 2
Группа изделий | Высота, мм | Диаметр или длина, мм | Полная вместимость, см3 |
Мелкие | До 100 включ. | До 100 включ. | До 100 включ. |
Средние | Св. 100 " 200 " | Св. 100 " 150 " | Св. 100 " 500 " |
Крупные | " 200 " 300 " | " 150 " 250 " | " 500 " 1000 " |
Особо крупные | " 300 | " 250 | " 1000 |
Группу изделий определяют по наибольшему параметру.
4.3. Основные размеры конкретных видов изделий должны соответствовать техническим описаниям образцов-эталонов.
5. ОБЩИЕ ТЕХНИЧЕСКИЕ ТРЕБОВАНИЯ
5.1. Характеристики
5.1.1. По форме, цвету и декору изделия должны соответствовать образцам-эталонам и их техническим описаниям.
5.1.2. Требования к изделиям, предназначенным для экспорта, и продукции разового изготовления устанавливаются заказчиком.
5.1.3. На изделиях допускаются не портящие товарного вида:
- обработанные сколы;
- редко расположенная свиль;
- редко расположенная "мошка";
- пузырь в виде серпика в местах соединения отдельных частей изделия и декоративных элементов;
- переоплавление края;
- следы нарушения поверхности;
- следы от форм и ножниц;
- следы дистировки и полировки;
- недоведение и удлинение линий рисунка;
- дефекты декорирования силикатными и люстровыми красками, препаратами драгоценных и других металлов, деколью;
(в ред.
Изменения N 1, введенного в действие Приказом Ростехрегулирования от 31.03.2005 N 74-ст)
- крученость в изделиях механизированной выработки;
- утолщение с одним выступом на верхней кромке изделий из натрий-кальций-силикатного стекла;
(в ред.
Изменения N 1, введенного в действие Приказом Ростехрегулирования от 31.03.2005 N 74-ст)
- волнистость поверхности граней;
- отступление в рисунке от образца-эталона, вызванное необходимостью устранения дефектов;
- несимметричность спая сосуда и донышка, кольцевидное утолщение или волнистость в местах спая сосуда и ножки, ножки и донышка.
5.1.4. Количество и размеры инородных включений, не имеющих вокруг себя трещин и посечек, не должны превышать значений, приведенных в табл. 3.
Таблица 3
Размер инородного включения, мм | Группа изделий | Количество включений, шт. |
До 1,0 включ. | Мелкие | 1 |
| Средние | 3 |
| Крупные | 4 |
| Особо крупные | 5 |
Св. 1,0 до 2,0 включ. | Мелкие | 1 |
| Средние | 2 |
| Крупные | 2 |
| Особо крупные | 3 |
Примечания
1. На декорированных цветной крошкой участках изделий допускаются не портящие товарного вида инородные включения размером не более 1 мм в количестве не более 3 шт. для мелких и средних изделий, не более 5 шт. - для крупных и особо крупных изделий.
2. Общее количество инородных включений на одном изделии не должно быть более, шт.:
2 - для мелких изделий;
3 - для средних изделий;
4 - для крупных изделий;
5 - для особо крупных изделий.
5.1.5. Количество и размеры закрытых и открытых пузырей на внешней поверхности изделий не должны превышать значений, приведенных в таблице 4.
Таблица 4
| Группа изделий | Количество пузырей, шт. |
Св. 1,0 до 2,0 включ. | Мелкие | 4 |
Средние | 5 |
Крупные | 6 |
Особо крупные | 8 |
Св. 2,0 до 3,0 включ. | Мелкие | Не допускаются |
Средние | 1 |
Крупные | 5 |
Особо крупные | 7 |
Св. 3,0 до 5,0 включ. | Мелкие | Не допускаются |
Средние | То же |
Крупные | 1 |
Особо крупные | 2 |
--------------------------------
<*> Диаметр для круглых пузырей и половина суммы длины и ширины для овальных пузырей.
Примечания
1. Открытые пузыри на внутренней поверхности допускаются на вазах для цветов и других декоративных изделиях.
(в ред.
Изменения N 1, введенного в действие Приказом Ростехрегулирования от 31.03.2005 N 74-ст)
2. Требование
5.1.5 не распространяется на изделия, декорированные газовоздушным способом.
3. Пузыри в виде капилляра допускаются длиной не более 5 мм в количестве не более 3 шт. для изделий свободного формования, центробежной выработки и не более 1 шт. для изделий механизированной выработки.
4. Общее количество пузырей на одном изделии не должно быть более, шт.:
4 - для мелких изделий;
5 - для средних изделий;
9 - для крупных изделий;
10 - для особо крупных изделий.
5.1.6. Овальность края круглых изделий не должна превышать 2% от номинального диаметра; непараллельность края плоскости дна не должна быть более 1,5 мм для мелких изделий, 3,0 мм для средних изделий, 4,0 мм для крупных изделий и 5,0 мм для особо крупных изделий.
Примечания
1. Для изделий на ножке непараллельность края плоскости дна не должна быть более 1,0 мм для мелких изделий, 2,0 мм для средних изделий.
2. Требование по непараллельности края плоскости дна не распространяется на изделия с фигурным краем, моллированные, свободного формования, центробежной выработки, а также графины и кувшины.
5.1.7. Разнотолщинность стенок в крае изделий в процентах от номинальной толщины не должна быть более 20 - для изделий из хрустального стекла и более 30 - для изделий из натрий-кальций-силикатного стекла.
Примечания
1. Требование
5.1.7 не распространяется на изделия с фигурным краем, моллированные, свободного формования, центробежной выработки, а также графинов и кувшинов.
2. Для изделий с минимальной толщиной стенки 0,8 мм допускается разнотолщинность не более 0,5 мм.
5.1.8. Крышки и пробки подбирают к изделиям.
Пробки с непритертым стеблем должны свободно входить в горловину изделия. Притертый стебель пробки должен плотно прилегать к горловине изделия. Допускается едва заметное качание пробки в горловине изделия.
5.1.9. Дно изделия должно обеспечивать его устойчивое положение на плоской горизонтальной поверхности.
5.1.10. При контроле отжига качественным способом цвет интерференционной картины в поле зрения полярископа должен соответствовать цветам, приведенным в таблице 5.
Толщина просматриваемого участка изделия, см | Допустимые цвета интерференционной картины в поле зрения полярископа при переходе ее через |
синий цвет | желтый цвет |
До 1,5 включ. | Фиолетовый | Пурпурно-красный |
Фиолетовый | Красный |
Индиговый синий | Оранжево-красный |
Св. 1,5 до 2,5 включ. | Лазурно-синий | Оранжевый |
Зеленовато-синий | Оранжево-желтый |
Св. 2,5 до 4,0 включ. | Зеленый | Серо-желтый |
Зеленый | Светло-желтый |
Светло-зеленый | Ярко-желтый |
Св. 4,0 | Желтовато-зеленый | Желтый |
Зеленовато-желтый | Бледно-желтый |
Примечания
1. Цвета, располагающиеся в
таблице выше указанного цвета, допускаются для толщины просматриваемого участка изделия.
2. Допускается качество отжига цветных изделий определять сравнением с образцом такого же изделия из бесцветного стекла, прошедшего отжиг вместе с окрашенными изделиями.
3. Допускается свиль и качество отжига контролировать количественным способом. При этом удельная разность хода лучей поляриметра не должна превышать 110 нм/см.
5.1.11. Декор, нанесенный на поверхность изделий, должен быть прочно закреплен.
(п. 5.1.11 введен
Изменением N 1, введенным в действие Приказом Ростехрегулирования от 31.03.2005 N 74-ст)
5.1.12. Декор, нанесенный на поверхность изделий, должен быть устойчив к воздействию щелочных моющих средств (щелочных растворов).
(п. 5.1.12 введен
Изменением N 1, введенным в действие Приказом Ростехрегулирования от 31.03.2005 N 74-ст)
5.2. Маркировка
5.2.1. Маркировку изделий наносят на бумажную этикетку, которую наклеивают на изделие (применение силикатного клея не допускается) или в процессе выработки.
(п. 5.2.1 в ред.
Изменения N 1, введенного в действие Приказом Ростехрегулирования от 31.03.2005 N 74-ст)
5.2.2. Маркировка изделий должна содержать товарный знак и/или наименование предприятия-изготовителя.
Этикетку помещают на каждое изделие.
В комплектах этикетку помещают не менее чем на одно изделие, в сервизах - на наибольшее изделие и не менее чем на два других.
Допускается не наносить маркировку на изделие или наносить ее на часть изделий в партии.
(п. 5.2.2 в ред.
Изменения N 1, введенного в действие Приказом Ростехрегулирования от 31.03.2005 N 74-ст)
5.2.3. В маркировке изделий из свинцового хрусталя допускается указывать массовую долю оксида свинца в процентах.
(п. 5.2.3 в ред.
Изменения N 1, введенного в действие Приказом Ростехрегулирования от 31.03.2005 N 74-ст)
5.2.4. На изделия, предназначенные для экспорта, наносят маркировку в соответствии с условиями договора или контракта.
5.2.5. Потребительскую маркировку наносят на потребительскую тару и/или групповую упаковку из бумаги и/или транспортную тару типографским способом, или штампом, или с помощью бумажной этикетки.
Потребительская маркировка должна содержать следующие данные:
- наименование страны-изготовителя;
- наименование предприятия-изготовителя и его юридический адрес;
- товарный знак предприятия-изготовителя (при необходимости);
- наименование продукции;
- артикул (при необходимости);
- количество изделий;
- состав сервиза (набора);
- обозначение настоящего стандарта;
- штамп ОТК;
- основное (функциональное) предназначение изделий (при необходимости).
(п. 5.2.5 в ред.
Изменения N 1, введенного в действие Приказом Ростехрегулирования от 31.03.2005 N 74-ст)
5.2.6. Исключен с 1 сентября 2005 года. -
Изменение N 1, введенное в действие Приказом Ростехрегулирования от 31.03.2005 N 74-ст.
5.2.7. Транспортная маркировка - по
ГОСТ 14192 с указанием манипуляционного знака "Хрупкое. Осторожно".
Допускается дополнительно наносить другие манипуляционные знаки по
ГОСТ 14192 с учетом вида упаковки.
(п. 5.2.7 в ред.
Изменения N 1, введенного в действие Приказом Ростехрегулирования от 31.03.2005 N 74-ст)
5.3. Упаковка
5.3.1. Изделия упаковывают в потребительскую и (или) транспортную тару.
5.3.2. Конкретные виды тары и упаковки, обеспечивающие сохранность продукции при транспортировании, массу брутто указывают в договорах о поставках продукции между изготовителем и потребителем.
5.3.3. Упаковка изделий для районов Крайнего Севера и других отдаленных районов - по
ГОСТ 15846.
5.3.4. Упаковка изделий, предназначенных для экспорта, должна соответствовать условиям договора или контракта.
6. ТРЕБОВАНИЯ БЕЗОПАСНОСТИ
6.1. Допустимая миграция вредных веществ, выделяющихся из стеклянных изделий, контактирующих с пищевыми продуктами, устанавливается органами Госсанэпиднадзора в соответствующих нормативных документах, утвержденных в установленном порядке, а при их отсутствии - в соответствии с
Приложением А.
Краски, препараты драгоценных и других металлов, деколи, применяемые для декорирования изделий, должны быть разрешены к применению органами Госсанэпиднадзора.
(абзац введен
Изменением N 1, введенным в действие Приказом Ростехрегулирования от 31.03.2005 N 74-ст)
6.2. Водостойкость стекла изделий должна быть не ниже IV гидролитического класса (4/98).
(в ред.
Изменения N 1, введенного в действие Приказом Ростехрегулирования от 31.03.2005 N 74-ст)
6.3. Изделия для горячей пищи должны быть термически устойчивыми. Выдувные изделия не должны разрушаться при перепадах температур 95 - 70 - 20 °C, прессованные - при 95 - 60 - 20 °C.
(в ред.
Изменения N 1, введенного в действие Приказом Ростехрегулирования от 31.03.2005 N 74-ст)
6.4. На изделиях не допускаются:
сколы;
прорезанные грани;
прилипшие кусочки стекла;
режущие и осыпающиеся частицы стекла при декорировании изделий "насыпью";
сквозные посечки;
инородные включения, имеющие вокруг себя трещины и посечки.
6.5. Торцевая поверхность верхнего края и швы изделий должны быть гладкими.
6.6. Не допускается наносить декор (кроме препаратов золота) на поверхность изделий, контактирующую с пищевыми продуктами, и поверхность, соприкасающуюся с губами человека на расстоянии не менее 10 мм от верхнего края изделий.
(п. 6.6 в ред.
Изменения N 1, введенного в действие Приказом Ростехрегулирования от 31.03.2005 N 74-ст)
6.7. Крепление ручек изделий и элементов декоративного оформления должно быть прочным.
7.1. Изделия принимают партиями. Партией считают определенное количество изделий одного ассортимента из стекла одного вида.
(п. 7.1 в ред.
Изменения N 1, введенного в действие Приказом Ростехрегулирования от 31.03.2005 N 74-ст)
7.2. Для проверки соответствия изделий требованиям настоящего стандарта проводят приемочный контроль. Планы контроля - по
ГОСТ 18242 <*>. Приемочный уровень дефектности - 4%.
--------------------------------
(п. 7.2 в ред.
Изменения N 1, введенного в действие Приказом Ростехрегулирования от 31.03.2005 N 74-ст)
7.3. Для проверки изделий на соответствие требованиям
5.1.1,
5.1.3 -
5.1.5,
5.1.8,
5.1.9,
6.4,
6.5 по двухступенчатому плану нормального контроля II уровня от партии методом случайного отбора отбирают изделия в соответствии с таблицей 6.
Таблица 6
Объем партии, шт. | Выборка | Объем выборки, шт. | Объем двух выборок, шт. | Приемочное число | Браковочное число |
Св. 2 до 25 включ. | Одна | 3 | - | 0 | 1 |
Св. 25 до 50 включ. | Первая | 8 | - | 0 | 2 |
Вторая | 8 | 16 | 1 | 2 |
Св. 50 до 90 включ. | Первая | 8 | - | 0 | 2 |
Вторая | 8 | 16 | 1 | 2 |
Св. 90 до 150 включ. | Первая | 13 | - | 0 | 3 |
Вторая | 13 | 26 | 3 | 4 |
Св. 150 до 280 включ. | Первая | 20 | - | 1 | 4 |
Вторая | 20 | 40 | 4 | 5 |
Св. 280 до 500 включ. | Первая | 32 | - | 2 | 5 |
Вторая | 32 | 64 | 6 | 7 |
Св. 500 до 1200 включ. | Первая | 50 | - | 3 | 7 |
Вторая | 50 | 100 | 8 | 9 |
Св. 1200 до 3200 включ. | Первая | 80 | - | 5 | 9 |
Вторая | 80 | 160 | 12 | 13 |
Св. 3200 до 10000 включ. | Первая | 125 | - | 7 | 11 |
Вторая | 125 | 250 | 18 | 19 |
Св. 10000 до 35000 включ. | Первая | 200 | - | 11 | 16 |
Вторая | 200 | 400 | 26 | 27 |
7.4. Для проверки соответствия изделий требованиям
4.1,
4.3,
5.1.6,
5.1.7,
6.3,
6.7 по двухступенчатому плану нормального контроля I уровня отбирают изделия в соответствии с таблицей 7.
Таблица 7
Объем партии, шт. | Выборка | Объем выборки, шт. | Объем двух выборок, шт. | Приемочное число | Браковочное число |
Св. 2 до 25 включ. | Одна | 3 | - | 0 | 1 |
Св. 25 до 90 включ. | Одна | 3 | - | 0 | 1 |
Св. 90 до 150 включ. | Первая | 8 | - | 0 | 2 |
Вторая | 8 | 16 | 1 | 2 |
Св. 150 до 280 включ. | Первая | 8 | - | 0 | 2 |
Вторая | 8 | 16 | 1 | 2 |
Св. 280 до 500 включ. | Первая | 13 | - | 0 | 3 |
Вторая | 13 | 26 | 3 | 4 |
Св. 500 до 1200 включ. | Первая | 20 | - | 1 | 4 |
Вторая | 20 | 40 | 4 | 5 |
Св. 1200 до 3200 включ. | Первая | 32 | - | 2 | 5 |
Вторая | 32 | 64 | 6 | 7 |
Св. 3200 до 10000 включ. | Первая | 50 | - | 3 | 7 |
Вторая | 50 | 100 | 8 | 9 |
Св. 10000 до 35000 включ. | Первая | 80 | - | 5 | 9 |
Вторая | 80 | 160 | 12 | 13 |
7.5. Партию принимают, если число изделий, не соответствующих требованиям настоящего стандарта, в первой выборке меньше или равно приемочному числу, и бракуют, если это число больше или равно браковочному числу.
Если число изделий, не соответствующих требованиям настоящего стандарта, в первой выборке больше приемочного и меньше браковочного числа, то отбирают вторую выборку. Партию принимают, если число изделий, не соответствующих требованиям настоящего стандарта, в двух выборках меньше или равно приемочному числу, и бракуют, если это число в двух выборках больше или равно браковочному числу.
7.6. Для контроля прочности закрепления декора и стойкости декора к воздействию щелочных растворов отбирают по пять изделий от выборки. Партию бракуют, если изделия не выдержали испытания по этим показателям.
(п. 7.6 в ред.
Изменения N 1, введенного в действие Приказом Ростехрегулирования от 31.03.2005 N 74-ст)
7.7. Соответствие изделий требованиям
6.1 и
6.2 определяют при постановке продукции на производство и при изменении состава стекла.
Водостойкость стекла определяют на недекорированных образцах.
(п. 7.7 в ред.
Изменения N 1, введенного в действие Приказом Ростехрегулирования от 31.03.2005 N 74-ст)
8.1. Группу изделий (4.2) определяют:
измерением высоты и диаметра с помощью измерительного инструмента по
ГОСТ 427,
ГОСТ 164,
ГОСТ 166 или другого, обеспечивающего требуемую точность измерения;
взвешиванием вмещающейся в изделие воды в г на весах с погрешностью взвешивания не более 2 г. Воду наливают до края изделия. Температура воды при взвешивании не должна отклоняться от заданной более чем на +/- 1 °C. Заданная температура должна находиться в пределах (22 +/- 5) °C.
(абзац введен
Изменением N 1, введенным в действие Приказом Ростехрегулирования от 31.03.2005 N 74-ст)
(в ред.
Изменения N 1, введенного в действие Приказом Ростехрегулирования от 31.03.2005 N 74-ст)
Оценку дефектов, указанных в
5.1.3,
5.1.8,
6.5, допускается проводить по контрольным образцам, согласованным разработчиком стандарта или потребителем.
8.2. Линейные размеры изделий проверяют линейкой по
ГОСТ 427 или другим измерительным инструментом, обеспечивающим требуемую точность измерения.
8.3. Соответствие требованиям
5.1.6,
5.1.7 и размеры инородных включений и пузырей проверяют с помощью измерительного инструмента по
ГОСТ 164,
ГОСТ 166 или другого, обеспечивающего требуемую точность измерения.
8.3.1. Овальность края определяют путем измерения наибольшего и наименьшего диаметров изделия. Отношение разности этих диаметров к номинальному, умноженное на 100, будет составлять овальность в процентах. За результат контроля принимают значение, округленное до целого числа.
8.3.2. Разнотолщинность стенок в крае определяют измерением наибольшей и наименьшей толщин стенки. Отношение разности этих толщин к номинальной, умноженное на 100, будет составлять разнотолщинность в процентах. За результат контроля принимают значение, округленное до целого числа.
8.3.3. Непараллельность края изделия плоскости дна определяют измерением в противоположных точках высоты изделия, установленного на поверочную плиту по
ГОСТ 10905 или ровную горизонтальную поверхность. Разность наибольшей и наименьшей высот будет составлять непараллельность края плоскости дна.
8.4. Определение качества отжига
8.4.1. Метод отбора образцов
Для просмотра отбирают изделия непосредственно после отжига. Периодичность контроля и количество контролируемых образцов - согласно технологическим регламентам предприятия-изготовителя.
8.4.2. Аппаратура, материалы:
полярископ ПКС-500 или полярископы-поляриметры ПКС-125, ПКС-250 или других типов;
инструмент для измерения толщины дна и стенок изделий по НД;
хлопчатобумажная ткань для протирания оптических деталей.
8.4.3. Подготовка к проведению контроля
Полярископ или полярископ-поляриметр должен быть установлен в затемненном месте при температуре окружающей среды от 10 до 35 °C и относительной влажности не более 80%.
Образцы перед просмотром выдерживают при комнатной температуре не менее 30 мин.
8.4.4. Проведение контроля
При просмотре изделие ориентируют так, чтобы просматриваемый участок был перпендикулярен направлению распространения света полярископа или полярископа-поляриметра.
При применении полярископов-поляриметров ПКС-125 и ПКС-250 переключатель компенсатора должен находиться в положении

, а лимб анализатора компенсатора - в нулевом положении. При вращении изделия находят участки с максимальными напряжениями.
При качественном способе контроля отжига записывают в журнал цвет интерференционной картины, наблюдаемой в поле зрения полярископа. Измеряют толщину просматриваемого участка изделия.
При количественном определении качества отжига вводят чувствительную пластинку

, для чего переключатель анализатора переводят из положения

в положение

. Участку с максимальным напряжением соответствует максимальное просветление темного поля полярископа-поляриметра.
Участок с максимальным напряжением устанавливают в центре поля зрения. Поворачивая головку анализатора, добиваются сведения темных полос в центре до потемнения просветленного участка. Списывают с лимба анализатора показания угла поворота. Измерения для бесцветных и слабоокрашенных изделий проводят 3 раза, а для интенсивно окрашенных - 6 раз (при выведенном зеленом светофильтре).
Измеряют толщину просматриваемого участка S. Для полых изделий значение S равно двойной толщине стенки при просмотре перпендикулярно оси изделия. При просмотре дна изделия S равно его толщине.
8.4.5. Обработка результатов
Качественный способ.
Цвет интерференционной картины в просматриваемом участке изделия должен соответствовать указанному в
таблице 5 для данной толщины.
Количественный способ.
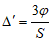
Удельную разность хода

лучей, нм/см, вычисляют по формуле

,
где

- угол поворота лимба анализатора, нм;
S - толщина просматриваемого участка изделий (толщина двух стенок), см.
За окончательный результат принимают среднее арифметическое результатов трех определений для бесцветных и слабоокрашенных изделий при введенном зеленом светофильтре и среднее арифметическое результатов шести определений для интенсивно окрашенных изделий.
8.5. Прочность закрепления декора, нанесенного на поверхность изделия, проверяют механическим воздействием - потиранием сухой хлопчатобумажной тканью по
ГОСТ 4644 в течение 30 с с усилием, не допускающим разрушения изделия.
Поверхность декора должна оставаться без изменения.
(п. 8.5 в ред.
Изменения N 1, введенного в действие Приказом Ростехрегулирования от 31.03.2005 N 74-ст)
8.6. Контроль изделий на термическую устойчивость проводят в помещении температурой воздуха не ниже 18 °C. Изделия перед испытанием должны находиться в помещении не менее 30 мин. В испытуемое изделие из закрытого сосуда струей наливают горячую воду температурой не ниже 95 °C. После постепенного охлаждения воды до температуры не ниже 70 °C (для прессованных изделий - до 60 °C) ее выливают и изделие тут же, не более чем через 2 с, погружают в воду температурой не выше 20 °C.
8.7. Водостойкость стекла определяют по
ГОСТ 10134.1, метод А.
8.8. Определение стойкости декора к воздействию щелочных растворов
Метод основан на определении стойкости декора к воздействию 1%-ного раствора питьевой соды по
ГОСТ 2156.
(п. 8.8 в ред.
Изменения N 1, введенного в действие Приказом Ростехрегулирования от 31.03.2005 N 74-ст)
8.8.1. Отбор образцов
Испытания проводят не менее чем на пяти изделиях, одинаковых по форме, размерам и декору.
(п. 8.8.1 в ред.
Изменения N 1, введенного в действие Приказом Ростехрегулирования от 31.03.2005 N 74-ст)
8.8.2. Проведение испытания
Декорированные изделия погружают в сосуд с 1%-ным раствором питьевой соды, имеющим температуру (20 +/- 5) °C, так чтобы декорированные участки изделий были наполовину покрыты раствором. Раствор доводят до температуры (60 +/- 5) °C и выдерживают 15 мин.
(п. 8.8.2 в ред.
Изменения N 1, введенного в действие Приказом Ростехрегулирования от 31.03.2005 N 74-ст)
8.8.3. Обработка результатов
После выдержки в растворе изделие вынимают, охлаждают и насухо вытирают. Участки декора, подвергшиеся воздействию щелочного раствора, сравнивают с участками, которые не погружались в него. При этом испытуемая поверхность должна оставаться без изменения.
(п. 8.8.3 в ред.
Изменения N 1, введенного в действие Приказом Ростехрегулирования от 31.03.2005 N 74-ст)
8.8.4. Проведение испытания
Испытания проводят в лабораторном помещении, снабженном вытяжным шкафом.
Образцы погружают в сосуд с раствором уксусной кислоты или наполняют изделие так, чтобы декорированные испытуемые участки изделий были наполовину покрыты раствором.
Образцы выдерживают в течение (24 +/- 0,5) ч при температуре не ниже 15 °C. Раствор кислоты используют один раз.
После проведения испытания образцы промывают проточной водой и насухо вытирают хлопчатобумажной тканью.
8.8.5. Обработка результатов
Выдержанные в растворе уксусной кислоты декорированные участки изделий сравнивают с участками, которые не погружались в раствор.
Изделия считают кислотостойкими, если на испытуемой поверхности отсутствует граница, обусловленная потерей блеска или изменением цвета декоративного покрытия.
8.9. Для проверки прочности крепления ручек изделие заполняют до края водой, затем приподнимают за ручку и в таком положении выдерживают не менее 1 мин. Ручка должна выдержать нагрузку без признаков разрушения в местах соединения с изделием.
8.10. Определение количества свинца и кадмия, допустимые пределы миграции которых указаны в
Приложении А, проводят в соответствии с
Приложением Б.
9. ТРАНСПОРТИРОВАНИЕ И ХРАНЕНИЕ
9.1. Изделия транспортируют всеми видами транспорта в крытых транспортных средствах в соответствии с правилами перевозки грузов, действующими на данном виде транспорта.
9.2. Размещение упакованных в потребительскую тару или бумажную упаковку, а также транспортную тару изделий производят, начиная от дальних (торцевых) сторон транспортного средства. Внизу следует размещать крупную продукцию повышенной механической прочности с прокладкой по рядам плотного слоя прокладочного материала. Свободные места должны быть заполнены прокладочным материалом.
(в ред.
Изменения N 1, введенного в действие Приказом Ростехрегулирования от 31.03.2005 N 74-ст)
9.3. Допускается применять пакетирование для изделий, упакованных в транспортную тару, а также в прокладки-лотки. В качестве средств пакетирования используют поддоны по
ГОСТ 9078 или другие, обеспечивающие заданные требования.
Средства скрепления грузов в транспортных пакетах - по
ГОСТ 21650.
9.4. Хранение изделий - по
ГОСТ 15150, группа (2) "С".
(рекомендуемое)
ДОПУСТИМЫЕ ПРЕДЕЛЫ ВЫДЕЛЕНИЯ СВИНЦА И КАДМИЯ
ИЗ ПОСУДЫ СТЕКЛЯННОЙ И СТЕКЛОКЕРАМИЧЕСКОЙ
ПРИ КОНТАКТЕ С ПИЩЕЙ (ИСО 7086-2-82)
0. ВВЕДЕНИЕ
Проблема выделения свинца и кадмия из стеклянных и стеклокерамических изделий требует эффективных средств контроля для обеспечения защиты здоровья населения от опасности при использовании неправильно составленных, нанесенных, примененных и обожженных глазурей в декоре, не вступающих в контакт с продуктами питания поверхностях керамической посуды, используемой для приготовления, сервирования и хранения продуктов питания и напитков.
Различные требования в разных странах к контролю выделения токсичных веществ с поверхности стеклянной и стеклокерамической посуды создают затруднения в международной торговле этими товарами. В связи с этим возникла необходимость установить методы испытания стеклянной и керамической посуды на выделение свинца и кадмия.
Экспертный совет Всемирной организации здравоохранения (ВОЗ) в Женеве в июне 1976 г. рекомендовал принять методику отбора образцов, методы испытания и предельно допустимые количества при выделении токсичных веществ из керамических изделий <1>. Еще одно совещание ВОЗ состоялось в ноябре 1979 г.
<2>.
--------------------------------
<1> См. ВОЗ. Пищевые добавки 7744. Сохранность продуктов в керамической посуде, анализ и пределы выделения. Доклад на заседании ВОЗ. Женева, 8 - 10 июня, 1976.
<2> См. ВОЗ. Пищевые добавки 79.7. Сохранность пищевых продуктов в керамической посуде. Критический обзор отбора образцов, анализа и пределов выделения свинца и кадмия. Доклад на заседании ВОЗ. Женева, 12 - 14 ноября, 1979.
Допустимые пределы, внесенные в настоящий стандарт, составлены на основании рекомендаций ВОЗ, так как на заседании ВОЗ было принято, что термин "керамика" включает в себя керамику, стекло, эмаль и стеклокерамику. Будут сделаны попытки уменьшить допуски при выделении свинца и кадмия.
Результаты международного опроса показали, что кухонную посуду из стекла и стеклокерамики обычно не декорируют на поверхности, вступающей в контакт с пищей. С этой точки зрения настоящий стандарт не относится к кухонной посуде.
1. ОБЩИЕ ПОЛОЖЕНИЯ
Эта часть ИСО 7086 определяет допустимые пределы выделения свинца и кадмия для стеклянных и стеклокерамических изделий, используемых в контакте с пищей (включая напитки).
2. ОБЛАСТЬ ПРИМЕНЕНИЯ
Эта часть ИСО 7086 относится к стеклянным и стеклокерамическим изделиям, прозрачным, просвечивающим, матовым, цветным и нецветным, а также декорированным на поверхности, вступающей в контакт с пищей, и предназначенных для приготовления, сервирования и хранения пищи, включая изделия, используемые в качестве упаковки.
Стандарт не относится к эмалированным и керамическим изделиям.
3. ССЫЛКА НА ДРУГИЕ СТАНДАРТЫ
ИСО 7086-1. Стеклянные и стеклокерамические изделия в контакте с пищей. Выделение свинца и кадмия. Часть 1. Метод испытания.
4. ОПРЕДЕЛЕНИЯ - см. ИСО 7086-1
5. ДОПУСТИМЫЕ ПРЕДЕЛЫ
Выделение свинца и кадмия, определенное согласно методу, описанному в ИСО 7086-1, не должно превышать величин, приведенных в таблице.
Примечание. Эти показатели выражены в миллиграммах на квадратный дециметр площади поверхности для плоской посуды и в миллиграммах на кубический дециметр экстракционного раствора для полых изделий.
Тип стеклянных и стеклокерамических изделий | Предельно допустимое количество |
свинца | кадмия |
мг/дм2 | мг/дм3 | мг/дм2 | мг/дм3 |
Плоские изделия | 1,7 | - | 0,17 | - |
Малые полые | - | 5,0 | - | 0,50 |
Большие полые изделия | - | 2,5 | - | 0,25 |
(рекомендуемое)
МЕТОД ОПРЕДЕЛЕНИЯ ВЫДЕЛЕНИЯ СВИНЦА И КАДМИЯ
ИЗ ПОСУДЫ СТЕКЛЯННОЙ И СТЕКЛОКЕРАМИЧЕСКОЙ
ПРИ КОНТАКТЕ С ПИЩЕЙ (ИСО 7086-1-82)
Проблема выделения свинца и кадмия из стеклянных и стеклокерамических изделий требует эффективных средств контроля для обеспечения защиты здоровья населения от опасности при использовании неправильно составленных, нанесенных, примененных и обожженных глазурей в декоре, не вступающих в контакт с продуктами питания поверхностях керамической посуды.
Различные требования в разных странах к контролю выделения токсичных веществ с поверхности стеклянной и стеклокерамической посуды создают затруднения в международной торговле этими товарами. В связи с этим возникла необходимость установить методы испытания стеклянной и керамической посуды на выделение свинца и кадмия.
Экспертный совет Всемирной организации здравоохранения (ВОЗ) в Женеве в июне 1976 г. рекомендовал принять методику отбора образцов, методы испытания и предельно допустимые количества при выделении токсичных веществ из керамических изделий <1>. Еще одно совещание ВОЗ состоялось в ноябре 1979 г.
<2>.
--------------------------------
<1> См. ВОЗ. Пищевые добавки 7744. Сохранность продуктов в керамической посуде, анализ и пределы выделения. Доклад на заседании ВОЗ. Женева, 8 - 10 июня, 1976.
<2> См. ВОЗ. Пищевые добавки 79.7. Сохранность пищевых продуктов в керамической посуде. Критический обзор отбора образцов, анализа и пределов выделения свинца и кадмия. Доклад на заседании ВОЗ. Женева, 12 - 14 ноября, 1979.
Метод испытания, представленный в настоящем стандарте, основан на рекомендации ВОЗ, так как на заседании ВОЗ было принято, что термин "керамика" включает в себя керамику, стекло, эмаль и стеклокерамику.
Количество свинца и кадмия, определенное согласно методу настоящего стандарта, не меньше, а в большинстве случаев больше того количества, которое выделяется в кислотные продукты и напитки в течение того же времени <3>.
--------------------------------
<3> Фрай Е., Шольце Н. Выделение свинца и кадмия из обожженных красок, глазурей и эмалей, находящихся в контакте с уксусной кислотой и продуктами питания и под воздействием света - Berichte DKG, 1979.56, N 10, 293 - 297.
Результаты международного опроса показали, что кухонную посуду из стекла и стеклокерамики обычно не декорируют на поверхности, вступающей в контакт с пищей. С этой точки зрения настоящий международный стандарт не относится к кухонной посуде.
Эта часть ИСО 7086 определяет метод испытания на выделение свинца и кадмия из стеклянной и стеклокерамической посуды, которая используется в контакте с пищей (включая напитки).
Эта часть ИСО 7086 относится к стеклянной и стеклокерамической посуде, которая используется для приготовления, сервирования и хранения пищи.
Стандарт не относится к стеклянным изделиям из боросиликатного стекла или натриево-кальциево-силикатного стекла, не покрытых глазурью или декором на поверхности, вступающей в контакт с пищей, а также не применим к стеклокерамическим изделиям, не покрытым глазурью или декором на поверхности, вступающей в контакт с пищей.
Стандарт не относится к эмалированным и керамическим изделиям.
3. ССЫЛКИ НА ДРУГИЕ СТАНДАРТЫ
ИСО 385-2. Лабораторная стеклянная посуда. Бюретки. Часть 2. Бюретки, для которых не регламентируется время выдерживания
ИСО 648. Лабораторная стеклянная посуда. Калиброванные пипетки
ИСО 835-2. Лабораторная стеклянная посуда. Градуированные пипетки. Часть 2. Пипетки, для которых не регламентируется время выдерживания
ИСО 1042. Лабораторная стеклянная посуда. Мерные колбы
| | ИС МЕГАНОРМ: примечание. Текст дан в соответствии с официальным текстом документа. | |
ИСО 3585. Стеклянное оборудование, трубопровод и арматура. Свойства боросиликатного стекла - по 3.3
ИСО 4788. Лабораторные стеклянные изделия. Градуированные мерные цилиндры
ИСО 7086-2. Стеклянная и стеклокерамическая посуда в контакте с пищей. Выделение свинца и кадмия. Часть 2. Допустимые пределы.
В настоящем международном стандарте используются следующие определения.
4.1. Стекло - неорганический неметаллический материал, получаемый полным сплавлением сырьевых материалов при высокой температуре в гомогенный расплав, который охлаждается до твердого состояния без кристаллизации.
4.2. Стеклокерамика - неорганический неметаллический материал, получаемый полным сплавлением сырьевых материалов при высокой температуре в гомогенный расплав с некоторой степенью кристаллизации.
Материал может быть просвечивающим или матовым.
4.3. Боросиликатное стекло - стекло, содержащее достаточное количество оксида бора, чтобы влиять на его свойства, в частности обеспечивать высокую химическую и термическую устойчивость.
Свинец и кадмий содержатся только в незначительных количествах в виде случайных загрязняющих примесей. Выделение этих элементов должно находиться ниже пределов обнаружения методов испытания настоящего стандарта.
4.4. Известково-натриевое силикатное стекло - стекло, основные компоненты которого - оксид натрия, оксид кальция и оксид кремния.
Свинец и кадмий содержатся только в незначительных количествах в виде загрязняющих примесей. Выделение этих элементов должно находиться ниже пределов обнаружения метода испытания, определяемого настоящим международным стандартом.
4.5. Пищевая посуда - изделия из стекла и стеклокерамики, предназначенные для приготовления, тепловой обработки, сервирования и хранения пищи и напитков, включая упаковку.
4.6. Плоская посуда - изделия, имеющие внутреннюю глубину не более 25 мм, измеренную от нижней внутренней точки до горизонтальной плоскости, проходящей через край (точку перелива).
4.7. Полая посуда - изделия, имеющие внутреннюю глубину более 25 мм, измеренную от нижней внутренней точки до горизонтальной плоскости, проходящей через край (точку перелива).
Полые изделия разделяются на большие и малые, в зависимости от их вместимости (объем заполнения -
8.3.1):
а) большие полые изделия - полые изделия вместимостью от 1,1 дм3 и более;
б) малые полые изделия - полые изделия вместимостью менее 1,1 дм3.
Испытываемые образцы заполняют 4%-ным раствором уксусной кислоты и выдерживают в течение 24 ч при температуре 22 °C в отсутствие света.
Этот раствор экстрагирует свинец и/или кадмий (если таковые имеются) с поверхности испытываемых образцов.
Выделенное количество свинца и/или кадмия определяют методом атомной абсорбционной спектрометрии (ААС).
Все реактивы должны быть ч.д.а. Кроме особо оговоренных случаев, применяют дистиллированную воду или воду эквивалентной степени чистоты.
6.1. Кислота уксусная

, ледяная,

(хранят в темноте).
6.2. Испытательный раствор: уксусная кислота, 4%-ный раствор.
Добавляют 40 см3 ледяной уксусной кислоты к воде, затем разбавляют до 1000 см3. Для каждого опыта требуется свежеприготовленный раствор.
6.3. Карбонат свинца

или трехводный ацетат свинца

.
Примечание. Можно пользоваться стандартными промышленными растворами (см.
примечание к 6.4).
6.4. Стандартный раствор свинца, содержащий 1 г Pb в 1 дм3.
Растворяют 1,2896 г карбоната свинца или 1,8308 г ацетата свинца в 40 г ледяной уксусной кислоты в мензурке вместимостью 400 см3. Слегка нагревают до растворения, затем охлаждают раствор и переносят его количественно в мерную колбу вместимостью 1000 см3. Доливают водой до метки и перемешивают.
Определение точной концентрации раствора производится известным стандартным методом, например комплексометрическим титрованием.
1 см3 такого стандартного раствора содержит 1 мг свинца.
Примечание. Можно пользоваться промышленным стандартным раствором свинца для атомной абсорбционной спектрометрии. Стандартный раствор приготовляют путем разбавления испытательным раствором или 2%-ным раствором азотной кислоты

.
6.5. Стандартный раствор свинца, содержащий 0,1 г Pb на 1 дм3.
Пипеткой переносят 10 см3 стандартного раствора свинца в мерную колбу вместимостью 100 см3, добавляют испытательный раствор до отметки и хорошо перемешивают. Раствор обновляют каждые 4 недели.
1 см3 такого стандартного раствора содержит 0,1 мг свинца.
6.6. Стандартные растворы свинца для калибровки.
Бюреткой или градуированной пипеткой переносят 0 - 0,5 - 1,0 - 2,0 - 5,0 и 10,0 см3 аликвотных частей стандартного раствора свинца в отдельные мерные колбы вместимостью 100 см3, добавляют в каждую до отметки испытательный раствор и перемешивают. Эти растворы имеют концентрацию свинца 0 - 0,5 - 1,0 - 2,0 - 5,0 и 10,0 мг/дм3 соответственно. Растворы для опытов готовят свежие.
6.7. Оксид кадмия (CdO).
Примечание. Можно пользоваться имеющимися в продаже стандартными растворами (см.
примечание к 6.8).
6.8. Стандартный раствор кадмия, содержащий 1 г Cd в 1 дм3.
Растворяют 1,1423 г оксида кадмия в 40 см3 ледяной уксусной кислоты в мензурке вместимостью 400 см3. Слегка нагревают до растворения, затем охлаждают раствор и переносят в мерную колбу вместимостью 1000 см3. Доливают водой до отметки и перемешивают.
Определение точной концентрации раствора осуществляется известным стандартным способом, например комплексометрическим титрованием.
1 см3 стандартного раствора содержит 1 мг кадмия.
Примечание. По выбору можно пользоваться имеющимся в продаже стандартным раствором кадмия для атомной абсорбционной спектрометрии. Стандартный раствор приготовляют путем разбавления испытательным раствором или 2%-ным раствором азотной кислоты

.
6.9. Стандартный раствор кадмия, содержащий 0,01 г Cd в 1 дм3.
Пипеткой переносят 10 см3 стандартного раствора кадмия в мерную колбу вместимостью 1000 см3, доливают до отметки испытательным раствором и перемешивают. Раствор обновляют каждые 4 недели.
1 см3 такого стандартного раствора содержит 0,01 мг кадмия.
6.10. Стандартные растворы кадмия для калибровки.
Бюреткой или градуированной пипеткой переносят 0 - 1,0 - 2,0 - 5,0 - 10,0 и 20,0 см3 аликвотных частей стандартного раствора кадмия в отдельные мерные колбы вместимостью 100 см3, доливают в каждую до отметки испытательный раствор и перемешивают. Такие растворы имеют концентрацию кадмия 0 - 0,1 - 0,2 - 0,5 - 1,0 и 2,0 мг/дм3 соответственно.
Для опытов растворы каждый раз приготовляют заново.
Обычное лабораторное оборудование, а именно:
7.1. Атомный абсорбционный спектрометр, имеющий минимальную чувствительность 0,50 мг свинца на 1 дм3 и 0,5 мг кадмия на 1 дм3 для 1%-ной абсорбции. Прибор должен работать по инструкции изготовителя. Автоматическое устройство для определения концентрации необязательно, но желательно для скоростных анализов.
7.2. Источники линейного спектра для свинца и кадмия (лампы с полым катодом).
7.3. Мерные колбы вместимостью 100 и 1000 см3 по ИСО 1042.
7.4. Мерные пипетки вместимостью 10 и 100 см3 по ИСО 648.
7.5. Градуированные пипетки вместимостью 10 и 25 см3 по ИСО 835/2.
7.6. Мензурки.
7.7. Бюретки вместимостью 25 см3, градуированные по 0,05 см3, по ИСО 385/2.
7.8. Предметные стекла различных размеров для испытываемых образцов.
7.9. Градуированный мерный цилиндр вместимостью 500 см3 по ИСО 4788.
7.10. Матовые светонепроницаемые крышки соответствующей формы для накрывания матовых образцов во время испытания.
8. ОТБОР ПРОБ И ПРИГОТОВЛЕНИЕ ОБРАЗЦОВ
8.1. Порядок отбора
Для испытания отбирают изделия с интенсивной окраской или с декорированными поверхностями в местах контакта с пищей или имеющие высокое соотношение площади поверхности к объему.
8.2. Размер образца
Желательно разработать систему контроля, подходящую для данных условий. При необходимости испытывают шесть изделий. Отобранные изделия (опытные образцы) должны быть одинаковы по размеру, форме, цвету и декору.
8.3. Приготовление образцов
8.3.1. Определение объема заполнения
Из каждой группы идентичных образцов отбирают по одному, помещают на ровную горизонтальную поверхность и заполняют водой до уровня, отстоящего на 5 мм от точки перелива через край по всей поверхности образца. Измеряют и записывают объем воды с точностью +/- 2%.
8.3.2. Определение относительной площади поверхности для плоских изделий
Образец в перевернутом виде помещают на миллиметровую бумагу и очерчивают контур края изделия. Вычисляют площадь по контуру и записывают это как относительную площадь поверхности в квадратных дециметрах с точностью до двух десятичных знаков. Площадь изделий круглой формы рассчитывают по диаметру образца.
8.3.3. Подготовка изделий, которые невозможно заполнить жидкостью
Изделия, в которые нельзя налить жидкость до уровня, отстоящего от точки перелива на 5 мм, считаются незаполняемыми. Всю поверхность таких изделий, кроме относительной (испытуемой), покрывают воском или парафином и испытывают согласно
9.1.2.2.
8.4. Очистка образцов
Образцы должны быть вымыты и очищены от грязи и других веществ, влияющих на ход испытаний.
Образцы промывают раствором некислого дезинфицирующего вещества температурой 40 °C. Затем прополаскивают проточной и дистиллированной водой.
Протирают и сушат изделия в сушильном шкафу или протирают фильтровальной бумагой для удаления пятен. После очистки и сушки до испытываемых поверхностей не следует дотрагиваться.
При испытании незаполняемых изделий, покрытых воском согласно
8.3.3, не покрытые воском поверхности счищают так же, за исключением сушки в сушильном шкафу.
9.1. Экстракция
9.1.1. Температура опыта
Экстракцию проводят при температуре (22 +/- 2) °C; испытательный раствор и образцы должны достичь данной температуры до начала опыта.
9.1.2. Заполнение образцов
9.1.2.1. Образцы помещают на плоскую горизонтальную поверхность. Наливают часть испытательного раствора, равную объему заполнения
(8.3.1), используя мерный цилиндр.
Если образцы матовые, их накрывают подходящей матовой крышкой во избежание загрязнения. Не обязательно проводить экстракцию у таких образцов в темноте.
Если образцы прозрачные или просвечивающие, их сразу закрывают и помещают в темное место.
9.1.2.2. Незаполняемые образцы помещают в сосуд из боросиликатного стекла соответствующего размера и добавляют туда испытательный раствор, чтобы он полностью закрывал образец. Измеряют и записывают необходимый объем испытательного раствора с точностью +/- 2%. Сосуд накрывают предметным стеклом и помещают в темное место.
9.1.3. Продолжительность экстракции
Допускается выдержка образцов в течение (24 +/- 10) мин.
9.2. Отбор экстракционного раствора для проведения анализов
Для отбора экстракционного раствора для определения концентрации свинца и/или кадмия смешивают экстракционные растворы от каждого образца по принятой методике, избегая потерь раствора или повреждения испытываемой поверхности (например, при многократном пользовании пипеткой при сборе экстракционного раствора с образцов). Не следует разбавлять экстракционный раствор (например, при промывке образцов).
Переносят экстракционный раствор в соответствующую емкость (бюкс).
Примечание. Не обязательно переносить весь раствор.
Проводят как можно скорее анализ экстракционного раствора, т.к. имеется опасность адсорбции свинца или кадмия на стенках емкости, особенно если эти металлы присутствуют в малых концентрациях.
9.3. Калибровка
Устанавливают и настраивают аппаратуру на максимальную чувствительность, т.к. определение концентрации свинца менее 0,50 мг/дм3 или кадмия менее 0,05 мг/дм3 требует полной мощности у большинства приборов (низкий уровень шумов).
Определяют поглощающую способность стандартного раствора свинца или кадмия; для определений пользуются способом ограничивающих растворов или строят калибровочные кривые, где поглощающую способность стандартного раствора наносят на оси абсцисс, а концентрацию свинца или кадмия - мг/дм3 - на оси ординат.
Проводят холостую пробу реагентов, используемых для каждой серии определений.
9.4. Определение количества свинца и/или кадмия
Определяют концентрации свинца и/или кадмия в экстракционных растворах способом атомной абсорбционной спектрометрии, следуя инструкции изготовителя.
Если концентрация свинца в экстракционном растворе будет выше 20 мг/дм3 или кадмия - выше 2,0 мг/дм3, то берется необходимая аликвотная порция и разбавляется испытательным раствором для уменьшения концентрации до значения менее 20 мг/дм3 свинца и 2,0 мг/дм3 кадмия.
По выбору используют стандартные растворы более высокой концентрации для измерений методом ограничивающих растворов или для построения новых калибровочных кривых.
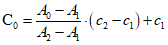
10. ВЫРАЖЕНИЕ РЕЗУЛЬТАТОВ
10.1. Способ ограничивающих растворов
Содержание свинца или кадмия

, мг/1 дм
3, экстракционного раствора вычисляют по формуле

,
где

- поглощение свинца или кадмия в экстракционном растворе;

- нижний предел поглощения свинца или кадмия в ограничивающем растворе с более низкой концентрацией;

- верхний предел поглощения свинца или кадмия в ограничивающем растворе с более высокой концентрацией;

- концентрация свинца или кадмия в ограничивающем растворе с низкой концентрацией, мг/дм
3;

- концентрация свинца или кадмия в ограничивающем растворе с высокой концентрацией, мг/дм
3.
Примечание. Если экстракционный раствор разбавляли, то в уравнение вводят соответствующую поправку.
10.2. Метод калибровочной кривой
Концентрация свинца или кадмия, мг/дм3, экстракционного раствора берется непосредственно с калибровочной кривой.
10.3. Расчет (определение) выделения свинца и кадмия для плоских изделий
Количество свинца или кадмия, выделяемого с единицы площади плоского изделия

, мг/дм
2, вычисляют по формуле

,
где

- концентрация свинца или кадмия, мг/дм
3, в экстракционном растворе, определяемая по
10.1 или
10.2;
V - объем, дм3, испытательного раствора, применяемого при экстракции;

- относительная (испытуемая) площадь поверхности образца, дм
2.
Для полых изделий отчетные данные представляют с точностью до 0,1 мг/дм3 для свинца и 0,01 мг/дм3 для кадмия.
Для плоских изделий отчетные данные - до 0,1 мг/дм2 для свинца и 0,01 мг/дм2 для кадмия.
11. ОТЧЕТ О ПРОВЕДЕНИИ ОПЫТОВ ДОЛЖЕН ВКЛЮЧАТЬ
СЛЕДУЮЩУЮ ИНФОРМАЦИЮ:
а) ссылку на настоящий международный стандарт;
б) тип испытанных изделий (плоские или полые);
в) количество испытанных образцов;
г) каждое единичное измерение в соответствии с
10.4;
д) необычные наблюдения (особенности), выявленные в процессе испытаний;
е) операции, не включенные в настоящий стандарт или сочтенные необязательными;
ж) отметка о том, соответствует ли каждый образец требованиям допустимых норм выделения токсичных веществ по ИСО 7086-2.