Главная // Актуальные документы // ГОСТ (Государственный стандарт)СПРАВКА
Источник публикации
М.: Стандартинформ, 2014
Примечание к документу
Документ включен в
Перечень международных и региональных (межгосударственных) стандартов, а в случае их отсутствия - национальных (государственных) стандартов, содержащих правила и методы исследований (испытаний) и измерений, в том числе правила отбора образцов, необходимые для применения и исполнения требований технического
регламента Евразийского экономического союза "О безопасности мяса птицы и продукции его переработки" (ТР ЕАЭС 051/2021) и осуществления оценки соответствия объектов технического регулирования (
Решение Коллегии Евразийской экономической комиссии от 29.11.2022 N 188).
Документ включен в
Перечень стандартов, содержащих правила и методы исследований (испытаний) и измерений, в том числе правила отбора образцов, необходимые для применения и исполнения требований технического
регламента Таможенного союза "О безопасности мяса и мясной продукции" (ТР ТС 034/2013) и осуществления оценки (подтверждения) соответствия продукции (
Решение Коллегии Евразийской экономической комиссии от 26.05.2014 N 81).
Текст данного документа приведен с учетом
поправки, введенной в действие с 05.04.2023, опубликованной в "ИУС", N 7, 2023.
Документ
введен в действие с 01.07.2015.
Название документа
"ГОСТ 32224-2013. Межгосударственный стандарт. Мясо и мясные продукты для детского питания. Метод определения размеров костных частиц"
(введен в действие Приказом Росстандарта от 17.09.2013 N 1068-ст)
"ГОСТ 32224-2013. Межгосударственный стандарт. Мясо и мясные продукты для детского питания. Метод определения размеров костных частиц"
(введен в действие Приказом Росстандарта от 17.09.2013 N 1068-ст)
по техническому регулированию
и метрологии
от 17 сентября 2013 г. N 1068-ст
МЕЖГОСУДАРСТВЕННЫЙ СТАНДАРТ
МЯСО И МЯСНЫЕ ПРОДУКТЫ ДЛЯ ДЕТСКОГО ПИТАНИЯ
МЕТОД ОПРЕДЕЛЕНИЯ РАЗМЕРОВ КОСТНЫХ ЧАСТИЦ
Meat and meat products for child nutrition. Method
for determination of bone particle size
ГОСТ 32224-2013
Дата введения
1 июля 2015 года
Цели, основные принципы и основной порядок проведения работ по межгосударственной стандартизации установлены
ГОСТ 1.0-92 "Межгосударственная система стандартизации. Основные положения" и
ГОСТ 1.2-2009 "Межгосударственная система стандартизации. Стандарты межгосударственные, правила и рекомендации по межгосударственной стандартизации. Правила разработки, принятия, применения, обновления и отмены"
1 РАЗРАБОТАН Государственным научным учреждением Всероссийским научно-исследовательским институтом мясной промышленности имени В.М. Горбатова Российской академии сельскохозяйственных наук (ГНУ ВНИИМП им. В.М. Горбатова Россельхозакадемии)
2 ВНЕСЕН Федеральным агентством по техническому регулированию и метрологии (ТК 226)
3 ПРИНЯТ Межгосударственным советом по стандартизации, метрологии и сертификации (протокол N 58-П от 28 августа 2013 г.)
За принятие проголосовали:
Краткое наименование страны по МК (ИСО 3166) 004-97 | Код страны по МК (ИСО 3166) 004-97 | Сокращенное наименование национального органа по стандартизации |
Армения | AM | Минэкономики Республики Армения |
Беларусь | BY | Госстандарт Республики Беларусь |
Киргизия | KG | Кыргызстандарт |
Молдова | MD | Молдова-Стандарт |
Россия | RU | Росстандарт |
Узбекистан | UZ | Узстандарт |
4
Приказом Федерального агентства по техническому регулированию и метрологии от 17 сентября 2013 г. N 1068-ст межгосударственный стандарт ГОСТ 32224-2013 введен в действие в качестве национального стандарта Российской Федерации с 1 июля 2015 г.
| | ИС МЕГАНОРМ: примечание. Абзац дан в соответствии с официальным текстом документа. | |
1 января 2013 года.
5 ВВЕДЕН ВПЕРВЫЕ
Информация об изменениях к настоящему стандарту публикуется в ежегодном информационном указателе "Национальные стандарты", а текст изменений и поправок - в ежемесячном информационном указателе "Национальные стандарты". В случае пересмотра (замены) или отмены настоящего стандарта соответствующее уведомление будет опубликовано в ежемесячном информационном указателе "Национальные стандарты". Соответствующая информация, уведомление и тексты размещаются также в информационной системе общего пользования - на официальном сайте Федерального агентства по техническому регулированию и метрологии в сети Интернет
Настоящий стандарт распространяется на следующие виды мяса и мясных продуктов для детского питания, в том числе с использованием мяса птицы: мясные полуфабрикаты (рубленые, фарши, полуфабрикаты в тесте); мясо механической обвалки и дообвалки; колбасные изделия; мясные, мясорастительные и растительно-мясные консервы и другие мясные продукты для детского питания и устанавливает метод определения в них размеров костных частиц.
В настоящем стандарте использованы нормативные ссылки на следующие межгосударственные стандарты:
ГОСТ 12.1.007-76 Система стандартов безопасности труда. Вредные вещества. Классификация и общие требования безопасности
ГОСТ 12.1.018-93 Система стандартов безопасности труда. Пожаровзрывобезопасность статического электричества. Общие требования
ГОСТ 12.1.019-79 Система стандартов безопасности труда. Электробезопасность. Общие требования и номенклатура видов защиты
ГОСТ 4288-76 Изделия кулинарные и полуфабрикаты из рубленого мяса. Правила приемки и методы испытаний
ГОСТ 4328-77 Реактивы. Натрия гидроокись. Технические условия
ГОСТ 7269-79 Мясо. Методы отбора образцов и органолептические методы определения свежести
ГОСТ 8756.0-70 Продукты пищевые консервированные. Отбор проб и подготовка их к испытанию
ГОСТ 9284-75 Стекла предметные для микропрепаратов. Технические условия
ГОСТ 9792-73 Колбасные изделия и продукты из свинины, баранины, говядины и мяса других видов убойных животных и птиц. Правила приемки и методы отбора проб
ГОСТ 12026-76 Бумага фильтровальная лабораторная. Технические условия
ГОСТ 21240-89 Скальпели и ножи медицинские. Общие технические требования и методы испытаний
ГОСТ 21241-89 Пинцеты медицинские. Общие технические требования и методы испытаний
ГОСТ 25336-82 Посуда и оборудование лабораторные стеклянные. Типы, основные параметры и размеры
ГОСТ 26678-85 Холодильники и морозильники бытовые электрические компрессионные параметрического ряда. Общие технические условия
Примечание - При пользовании настоящим стандартом целесообразно проверить действие ссылочных стандартов в информационной системе общего пользования - на официальном сайте Федерального агентства по техническому регулированию и метрологии в сети Интернет или по ежегодному информационному указателю "Национальные стандарты", который опубликован по состоянию на 1 января текущего года, и по выпускам ежемесячного информационного указателя "Национальные стандарты" за текущий год. Если ссылочный стандарт заменен (изменен), то при пользовании настоящим стандартом следует руководствоваться заменяющим (измененным) стандартом. Если ссылочный стандарт отменен без замены, то положение, в котором дана ссылка на него, применяется в части, не затрагивающей эту ссылку.
Метод основан на измерении размеров костных частиц с помощью системы анализатора изображения или окуляра-микрометра после химического выделения костного остатка из продукта и определении процентного содержания костных частиц.
4. Требования безопасности
При выполнении работ необходимо соблюдать требования техники безопасности при работе с химическими реактивами по
ГОСТ 12.1.007, требования пожарной безопасности по
ГОСТ 12.1.018 и электробезопасности при работе с электроустановками по
ГОСТ 12.1.019, а также требования, изложенные в инструкциях на микротом и микроскоп.
5. Отбор и подготовка проб
5.2 Для проведения анализа отбирают не менее трех единиц мясных полуфабрикатов, колбасных изделий и банок консервов. Общая масса пробы - от 400 г до 5 кг. От блоков мяса механической обвалки и полуфабрикатов из разных мест отбирают не менее трех проб общей массой не менее 500 г.
5.3 Пробы, взятые для анализа, сопровождают актом отбора проб, в котором должны быть указаны: наименование продукции, дата отбора пробы и ее номер, наименование изготовителя, номер партии, место взятия пробы, цель анализа, фамилия лица, отбиравшего пробы, наименование лаборатории.
5.4 Пробы мяса механической обвалки хранят в холодильнике при температуре ниже минус 4 °C, пробы мясных продуктов - при температуре от 0 °C до плюс 5 °C до полного завершения анализа.
6. Средства измерений, вспомогательное оборудование, реактивы и материалы
Анализатор изображения компьютерный любой конструкции, с прилагаемой производителем программой, адаптированной для гистологии.
Микроскоп биологический световой любой конструкции в комплекте с осветителем или отдельно, предпочтительно бинокулярная насадка с фотовидеовыходом.
Окуляр-микрометр, 10 мм/100 делений, диаметром 20,4 мм.
Объект-микрометр типа ОМО с ценой деления 0,01 мм.
Шкаф сушильный, обеспечивающий поддержание температуры (103 +/- 2) °C.
Стекла предметные для микропрепаратов по
ГОСТ 9284.
Калия гидроокись по
ГОСТ 24363, х.ч., 2%-ный раствор.
Натрия гидроокись по
ГОСТ 4328, х.ч., 2%-ный раствор.
Палочка стеклянная.
Весы лабораторные с пределом допускаемой абсолютной погрешности однократного взвешивания не более +/- 0,01 г.
Баня комбинированная лабораторная, позволяющая поддерживать температуру 100 °C.
Допускается применение других средств измерений с метрологическими и вспомогательного оборудования с техническими характеристиками, а также реактивов по чистоте и материалов по качеству не ниже указанных.
7.1 Выделение костных частиц
(50,0 +/- 0,5) г анализируемой пробы измельчают ножом на кусочки массой до (1,0 +/- 0,2) г и помещают в химический стакан вместимостью 500 см3. Добавляют 300 см3 2%-го раствора гидроокиси калия (или гидроокиси натрия) и нагревают на кипящей водяной бане, периодически помешивая содержимое стеклянной палочкой.
После растворения основной части пробы, полученный щелочной раствор с плавающими в нем кусочками мягких тканей сливают. Обработку повторяют до полного растворения мягких тканей. Костные частицы находятся в осадке.
7.2 Промывка костных частиц
Выделенные костные частицы (осадок) помещают в колбу и через стеклянную воронку промывают тонкой струей воды в течение 15 мин.
7.3 Осаждение и высушивание
Промытые костные частицы осаждают на бумажный фильтр и высушивают вместе с фильтром в сушильном шкафу при температуре (103 +/- 2) °C до прекращения изменения массы.
8.1 Для проведения измерения размеров костных частиц их помещают на предметное стекло так, чтобы они располагались, не перекрывая и не соприкасаясь друг с другом.
8.2 Приготовленный препарат рассматривают под световым микроскопом проходящего света. Сначала используют обзорные план объективы - 10-кратный или меньше, а затем объективы со средним увеличением до 40-кратного. Окуляры применяют с 10- или 16-кратным увеличением. Для определения максимального размера измеряют наибольшие костные частицы, выделенные из пробы.
8.3 Определение цены деления окуляра-микрометра
Для каждого используемого в работе сочетания объективов и окуляров определяют цену деления окуляра-микрометра.
Окуляр-микрометр представляет собой круглую стеклянную пластинку, в центре которой нанесена линейка длиной 5 мм. Линейка разделена на 50 частей по 0,1 мм каждая. Перед измерением проводят определение цены деления окуляра-микрометра. Для этого при каждом используемом сочетании окуляра и объектива на предметный столик помещают объект-микрометр. Последний представляет собой предметное стекло с нанесенной линейкой длиной 1 мм, разделенной на 100 частей. Одно деление линейки объекта-микрометра соответствует 0,01 мм или 10 мкм. Устанавливают параллельно линейки объекта-микрометра и окуляра-микрометра и совмещают их нулевые отметки. Затем определяют, сколько делений объекта-микрометра точно совпадает с делениями окуляра-микрометра.
Цену деления окуляра-микрометра m рассчитывают по формуле

, (1)
где a - число делений, отсчитанное по линейке объекта-микрометра;
b - соответствующее число делений линейки окуляра-микрометра;
c - значение одного деления линейки объекта-микрометра, равное 10 мкм. Для измерения при очень малых увеличениях применяют объекты-микрометры, у которых 1 см линейки разделен на 100 частей по 0,1 мм каждая. В этом случае одно деление линейки объекта-микрометра равно 100 мкм.
8.4 Измерение с помощью окуляра-микрометра
При проведении измерений непосредственно под световым микроскопом используют специальный окуляр-микрометр или окуляр-микрометр в виде стеклянной пластинки с линейкой, помещаемой в окуляр микроскопа.
Предварительно определяют цену деления линейки окуляра под используемые объективы по линейке на предметном стекле (см.
приложение А). Измерение проводят с использованием любого объектива так, чтобы измеряемых структур в поле зрения было не меньше 10 и не больше 50. Измеряют максимальный размер костных частиц наибольшего размера, это значение является верхним пределом размера костных частиц в анализируемой пробе.
8.5 Измерение с помощью системы анализа изображения
С помощью системы анализа изображения для измерения костных частиц сложной формы измеряют их диаметр Фере <*>, для сильно удлиненных частиц - их длину. При невозможности автоматического разделения частиц используют их интерактивное разделение.
--------------------------------
<*> Диаметр Фере - расстояние между касательными к контуру изображения, проведенными параллельно направлению просмотра.
Получают следующие результаты: общее количество частиц, минимальные и максимальные размеры частиц, средние размеры частиц и их процентное соотношение, а также другие параметры в соответствии с программой системы анализа изображения. Статистические результаты получают автоматически в виде таблиц, графиков распределения размеров или диаграмм.
На основании полученных измерений размеров костных частиц рассчитывают процентное содержание костных частиц, превышающих нормативный размер X, %, по формуле

, (2)
где m1 - количество костных частиц, превышающих нормированный размер;
m2 - общее количество измеренных костных частиц.
Для получения достоверных результатов за окончательный результат принимают среднеарифметическое значение измерений трех параллельных проб выделенных костных частиц. В каждом из них измеряют не менее 100 частиц.
(обязательное)
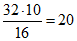
ПРИМЕР ОПРЕДЕЛЕНИЯ ЦЕНЫ ДЕЛЕНИЯ ОКУЛЯРА-МИКРОМЕТРА
В 32 делениях объекта-микрометра полностью укладывается 16 делений окуляра-микрометра; значение одного деления линейки объекта-микрометра равно 0,01 мм или 10 мкм. По
формуле (1) (см. 8.3) находят цену деления линейки окуляра-микрометра, мкм:

. (А.1)
Зная цену одного деления окуляра-микрометра при заданном увеличении, приступают к измерению объектов. При этом число делений окуляра-микрометра, соответствующее длине измеряемого объекта, умножают на 20 мкм (найденную цену деления).