Главная // Актуальные документы // ГОСТ (Государственный стандарт)СПРАВКА
Источник публикации
М.: Стандартинформ, 2015
Примечание к документу
Документ
введен в действие с 1 июля 2016 года.
Название документа
"ГОСТ 33262-2015. Межгосударственный стандарт. Средства лекарственные для ветеринарного применения. Вакцина против трихофитоза крупного рогатого скота "ЛТФ-130". Технические условия"
(введен в действие Приказом Росстандарта от 31.08.2015 N 1218-ст)
"ГОСТ 33262-2015. Межгосударственный стандарт. Средства лекарственные для ветеринарного применения. Вакцина против трихофитоза крупного рогатого скота "ЛТФ-130". Технические условия"
(введен в действие Приказом Росстандарта от 31.08.2015 N 1218-ст)
Введен в действие
агентства по техническому
регулированию и метрологии
от 31 августа 2015 г. N 1218-ст
МЕЖГОСУДАРСТВЕННЫЙ СТАНДАРТ
СРЕДСТВА ЛЕКАРСТВЕННЫЕ ДЛЯ ВЕТЕРИНАРНОГО ПРИМЕНЕНИЯ
ВАКЦИНА ПРОТИВ ТРИХОФИТОЗА КРУПНОГО
РОГАТОГО СКОТА "ЛТФ-130"
ТЕХНИЧЕСКИЕ УСЛОВИЯ
Medicine remedies for veterinary use.
Vaccine against cattle trichophytosis "LTF-130".
Specifications
ГОСТ 33262-2015
Дата введения
1 июля 2016 года
Цели, основные принципы и основной порядок проведения работ по межгосударственной стандартизации установлены
ГОСТ 1.0-92 "Межгосударственная система стандартизации. Основные положения" и
ГОСТ 1.2-2009 "Межгосударственная система стандартизации. Стандарты межгосударственные, правила и рекомендации по межгосударственной стандартизации. Правила разработки, принятия, применения, обновления и отмены"
1 РАЗРАБОТАН Федеральным государственным бюджетным учреждением "Всероссийский государственный Центр качества и стандартизации лекарственных средств для животных и кормов" (ФГБУ "ВГНКИ") и Федеральным казенным предприятием "Ставропольская биофабрика" (ФКП "Ставропольская биофабрика")
2 ВНЕСЕН Федеральным агентством по техническому регулированию и метрологии (Росстандарт)
3 ПРИНЯТ Межгосударственным советом по стандартизации, метрологии и сертификации (протокол от 18 июня 2015 г. N 47)
За принятие проголосовали:
Краткое наименование страны по МК (ИСО 3166) 004-97 | Код страны по МК (ИСО 3166) 004-97 | Сокращенное наименование национального органа по стандартизации |
Армения | AM | Минэкономики Республики Армения |
Беларусь | BY | Госстандарт Республики Беларусь |
Киргизия | KG | Кыргызстандарт |
Россия | RU | Росстандарт |
4
Приказом Федерального агентства по техническому регулированию и метрологии от 31 августа 2015 г. N 1218-ст межгосударственный стандарт ГОСТ 33262-2015 введен в действие в качестве национального стандарта Российской Федерации с 1 июля 2016 г.
5 ВВЕДЕН ВПЕРВЫЕ
Информация об изменениях к настоящему стандарту публикуется в ежегодном информационном указателе "Национальные стандарты", а текст изменений и поправок - в ежемесячном информационном указателе "Национальные стандарты". В случае пересмотра (замены) или отмены настоящего стандарта соответствующее уведомление будет опубликовано в ежемесячном информационном указателе "Национальные стандарты". Соответствующая информация, уведомление и тексты размещаются также в информационной системе общего пользования - на официальном сайте Федерального агентства по техническому регулированию и метрологии в сети Интернет
Настоящий стандарт распространяется на вакцину против трихофитоза крупного рогатого скота "ЛТФ-130" (далее - вакцина), предназначенную для профилактики и терапии трихофитоза крупного рогатого скота.
В настоящем стандарте использованы нормативные ссылки на следующие межгосударственные стандарты:
ГОСТ 12.0.004-90 Система стандартов безопасности труда. Организация обучения безопасности труда. Общие положения
ГОСТ 12.1.005-88 Система стандартов безопасности труда. Общие санитарно-гигиенические требования к воздуху рабочей зоны
ГОСТ 12.1.008-76 Система стандартов безопасности труда. Биологическая безопасность. Общие требования
ГОСТ 12.2.003-91 Система стандартов безопасности труда. Оборудование производственное. Общие требования безопасности
ГОСТ 12.3.002-75 Система стандартов безопасности труда. Процессы производственные. Общие требования безопасности
ГОСТ 12.4.011-89 Система стандартов безопасности труда. Средства защиты работающих. Общие требования и классификация
ГОСТ 17.2.3.02-78 Охрана природы. Атмосфера. Правила установления допустимых выбросов вредных веществ промышленными предприятиями
ГОСТ 6672-75 Стекла покровные для микропрепаратов. Технические условия
ГОСТ ISO 7218-2011 Микробиология пищевых продуктов и кормов для животных. Общие требования и рекомендации по микробиологическим исследованиям
ГОСТ ISO 7886-1-2011 Шприцы инъекционные однократного применения стерильные. Часть 1. Шприцы для ручного использования
ГОСТ 9142-90 Ящики из гофрированного картона. Общие технические условия
ГОСТ 9284-75 Стекла предметные для микропрепаратов. Технические условия
ГОСТ 10733-79 Часы наручные и карманные механические. Общие технические условия
ГОСТ 12301-2006 Коробки из картона, бумаги и комбинированных материалов. Общие технические условия
ГОСТ 12303-80 Пачки из картона, бумаги и комбинированных материалов. Общие технические условия
ГОСТ 17768-90 Средства лекарственные. Упаковка, маркировка, транспортирование и хранение
ГОСТ 18300-87 Спирт этиловый ректификованный. Технические условия <*>
--------------------------------
<*> В Российской Федерации действует
ГОСТ Р 55878-2013 "Спирт этиловый технический гидролизный ректификованный. Технические условия".
ГОСТ 21240-89 Скальпели и ножи медицинские. Общие технические требования и методы испытаний
ГОСТ 24061-2012 Средства лекарственные биологические лиофилизированные для ветеринарного применения. Метод определения массовой доли влаги
ГОСТ 25336-82 Посуда и оборудование лабораторные стеклянные. Типы, основные параметры и размеры
ГОСТ 28085-2013 Средства лекарственные биологические для ветеринарного применения. Метод бактериологического контроля стерильности
ГОСТ 29112-91 Среды питательные плотные (для ветеринарных целей). Общие технические условия
ГОСТ 29230-91 (ИСО 835-4-81) Посуда лабораторная стеклянная. Пипетки градуированные. Часть 4. Пипетки выдувные
ГОСТ 29251-91 (ИСО 835-2-84) Посуда лабораторная стеклянная. Бюретки. Часть 1. Общие требования
ГОСТ 31926-2013 Средства лекарственные для ветеринарного применения. Методы определения безвредности
ГОСТ 31929-2013 Средства лекарственные для ветеринарного применения. Правила приемки, методы отбора проб
Примечание - При пользовании настоящим стандартом целесообразно проверить действие ссылочных стандартов в информационной системе общего пользования - на официальном сайте Федерального агентства по техническому регулированию и метрологии в сети Интернет или по ежегодному информационному указателю "Национальные стандарты", который опубликован по состоянию на 1 января текущего года, и по выпускам ежемесячного информационного указателя "Национальные стандарты" за текущий год. Если ссылочный стандарт заменен (изменен), то при пользовании настоящим стандартом следует руководствоваться заменяющим (измененным) стандартом. Если ссылочный стандарт отменен без замены, то положение, в котором дана ссылка на него, применяется в части, не затрагивающей эту ссылку.
3. Условия выполнения испытаний и требования безопасности
3.1 Условия выполнения испытаний
3.1.1 Общие требования проведения микробиологического анализа и работы с микроорганизмами III - IV групп патогенности - по
ГОСТ ISO 7218.
К проведению испытаний допускаются квалифицированные сотрудники, имеющие опыт работы с микроорганизмами III - IV групп патогенности, изучившие методики микробиологических работ.
3.2 Требования безопасности
3.2.1 По биологической безопасности вакцина должна соответствовать требованиям
ГОСТ 12.1.008.
3.2.2 К работе по производству вакцины допускаются лица, прошедшие обучение по безопасности труда в соответствии с требованиями
ГОСТ 12.0.004.
3.2.3 Организация процесса производства вакцины должна соответствовать требованиям
ГОСТ 12.3.002, производственное оборудование -
ГОСТ 12.2.003.
3.2.5 Контроль за выбросами во внешнюю среду должен соответствовать требованиям
ГОСТ 17.2.3.02.
3.2.6 Обеззараживание вакцины с истекшим сроком годности, серий, не выдержавших контрольных испытаний, а также вакцины, оставшейся во флаконах после испытаний, проводят автоклавированием в течение 1 ч при температуре (126 +/- 2) °C и давлении 1,5 атм (151,99 кПа или 1,5 кгс/см
2). Утилизация обеззараженной вакцины не требует специальных мер безопасности.
4. Технические требования
4.1 Вакцина представляет собой лиофилизированную массу аттенуированной культуры гриба Trichophyton verrucosum ТФ-130 Л ВГНКИ с защитной сахарозо-желатиновой средой.
4.2 Вакцина должна соответствовать требованиям настоящего стандарта и производиться по технологическому регламенту производства.
4.3 По показателям качества вакцина должна соответствовать требованиям и нормам, указанным в таблице 1.
Наименование показателя | Характеристика и норма |
Внешний вид и цвет | Пористая сухая масса от серого до бежевого цвета |
Наличие посторонней примеси, изменение консистенции, нарушение целостности и укупорки флаконов | Не допускается |
Массовая доля влаги, % | 1,0 - 4,0 |
Время ресуспензирования, мин | 2 - 4 |
Контаминация бактериальной и посторонней грибной микрофлорой | Не допускается |
Общая концентрация микроконидий в разведенной вакцине, млн/см3 | 30 - 60 |
Концентрация жизнеспособных микроконидий в разведенной вакцине, млн/см3 | 20 - 60 |
Безвредность: | |
- на белых мышах в тест-дозе 0,1 см3 или - морских свинках в тест-дозе 0,5 см3, или - кроликах в тест-дозе 1,0 см3 | Должна быть безвредной |
Иммуногенная активность | Должна быть иммуногенной |
4.4 Фасование и лиофилизация
4.4.1 Вакцину расфасовывают по 2 - 10 см3 (от 2 до 40 доз) в стерильные стеклянные или полимерные флаконы соответствующей вместимости. Расфасованную вакцину замораживают и лиофилизируют. После лиофилизации флаконы укупоривают резиновыми пробками и обжимают алюминиевыми колпачками.
Погрешность фасования в зависимости от объема составляет для одной упаковочной единицы, содержащей:
- 2 - 5 см3 включ. - 8%, для десяти упаковочных единиц - 2,5%;
- 5 - 10 см3 включ. - 5%, для десяти упаковочных единиц - 1,6%.
4.5 Упаковка
4.5.1 Флаконы с вакциной упаковывают в картонные коробки по
ГОСТ 12301 или пачки из картона по
ГОСТ 12303, или полистироловые коробки с разделительными перегородками, обеспечивающими сохранность вакцины при транспортировании. В каждую коробку (пачку) вкладывают инструкцию по применению вакцины.
Примечание - Вакцина может быть упакована в комплекте с разбавителем для вакцин против дерматофитозов животных в объеме, соответствующем числу доз вакцины во флаконе.
4.5.2 Коробки (пачки) с вакциной упаковывают в ящики из гофрированного картона по
ГОСТ 9142 или другие ящики, обеспечивающие сохранность вакцины при транспортировании. В каждый ящик вкладывают упаковочный лист с указанием:
- наименования организации-производителя;
- наименования вакцины;
- числа коробок в ящике;
- номера серии;
- номера или фамилии упаковщика.
Масса ящиков с вакциной должна быть не более 15 кг. Допускается отпуск вакцины потребителю в коробках.
4.6 Маркировка
4.6.1 Каждая упаковочная единица должна иметь маркировку, характеризующую вакцину и отвечающую требованиям нормативных документов, действующих на территории государства, принявшего стандарт.
4.6.2 На флаконы с вакциной наклеивают этикетку с указанием:
- наименования и товарного знака организации-производителя;
- наименования вакцины;
- объема вакцины во флаконе;
- числа доз вакцины во флаконе;
- лекарственной формы;
- номера серии;
- даты выпуска;
- срока годности;
- обозначения настоящего стандарта;
- надписи "Для ветеринарного применения".
Примечание - На этикетку может быть нанесена дополнительная информация.
4.6.3 На коробки (пачки) с вакциной наносят информацию с указанием:
- наименования и товарного знака организации-производителя, ее адреса (в том числе страны);
- наименования вакцины;
- объема вакцины во флаконе;
- числа доз вакцины во флаконе;
- лекарственной формы;
- номера серии;
- даты выпуска;
- срока годности;
- обозначения настоящего стандарта;
- номера регистрационного удостоверения;
- способа применения;
- числа флаконов в коробке (пачке);
- условий отпуска;
- условий хранения;
- штрихового кода;
- информации о подтверждении соответствия;
- надписи "Для ветеринарного применения".
4.6.4 На ящики с вакциной (транспортную тару) наклеивают этикетку, на которой указывают:
- наименование и товарный знак организации-производителя, ее адрес (в том числе страну);
- наименование вакцины;
- номер серии;
- дату выпуска;
- срок годности;
- число коробок (пачек) в ящике;
- условия хранения и транспортирования;
- обозначение настоящего стандарта;
- надпись "Для ветеринарного применения".
4.6.5 На каждую единицу транспортной тары (ящик) наносят транспортную маркировку по
ГОСТ 14192 с указанием манипуляционных знаков: "Хрупкое. Осторожно", "Пределы температуры", "Верх".
4.6.6 Нанесение транспортной маркировки и маркировки, характеризующей упакованную продукцию, на одной стороне транспортной тары не допускается.
5.1 Каждая серия вакцины должна быть принята (проверена) в организации-производителе отделом, отвечающим за проведение контроля качества продукции, в соответствии с
ГОСТ 31929.
5.2 Серией вакцины считают определенное количество вакцины, произведенное за один технологический цикл и оформленное одним документом о качестве.
5.3 В документе о качестве указывают:
- наименование организации-производителя;
- наименование вакцины;
- номер серии;
- дату изготовления (месяц, год);
- объем серии в единицах объема или штуках;
- результаты испытания по показателям качества;
- срок годности (месяц, год);
- условия хранения;
- обозначение настоящего стандарта;
- номер и дату выдачи документа о качестве;
- заключение и подпись уполномоченного лица, выдавшего документ о качестве.
5.4 Для контроля качества вакцины от каждой серии отбирают выборку в соответствии с
ГОСТ 31929. Из выборки выделяют среднюю пробу в количестве 40 флаконов. 20 флаконов с вакциной используют для проведения испытания по показателям качества, указанным в
таблице 1, а 20 флаконов после получения положительных результатов испытаний по показателям качества, направляют в архив отдела, отвечающего за контроль качества готовой продукции организации-производителя. Пробы хранят в архиве в течение срока годности.
5.5 Архивные пробы маркируют надписью "Архив", опечатывают и снабжают документом с указанием:
- наименования организации-производителя;
- наименования вакцины;
- номера серии;
- даты выпуска (месяца и года);
- даты отбора проб;
- объема серии;
- числа отобранных проб;
- должности и подписи лица, отобравшего пробы;
- срока годности (месяца и года);
- обозначения настоящего стандарта;
- срока хранения проб в архиве.
5.6 При неудовлетворительных результатах испытаний хотя бы по одному из показателей проводят повторные испытания по этому показателю на удвоенном количестве проб вакцины, отобранных от той же серии, и на удвоенном количестве материалов и животных. Результаты повторного испытания считают окончательными и распространяют на всю серию.
В случае неудовлетворительных результатов повторного испытания серию вакцины считают не соответствующей требованиям настоящего стандарта, ее бракуют и уничтожают в соответствии с
3.2.6.
6.1 Средство измерения, аппаратура, материалы, реактивы и посуда
6.1.1 Для проведения испытаний вакцины используют:
- часы наручные или секундомер по ГОСТ 10733;
- камеру счетную Горяева;
- мышей белых беспородных массой от 20 до 25 г или морских свинок массой от 300 до 350 г, или кроликов массой от 2,0 до 2,5 кг, или телят возраста от 1 до 4 мес;
- штамм вирулентный (контрольный) T. verrucosum 153;
- 0,9%-ный раствор натрия хлорида изотонический с pH (7,0 +/- 0,2) или разбавитель для вакцин против дерматофитозов животных;
- сусло-агар по ГОСТ 29112;
- шприцы инъекционные однократного применения стерильные по
ГОСТ ISO 7886-1 вместимостью 1 и 5 см
3;
- скальпель по
ГОСТ 21240 или металлическую щетку, или наждачную бумагу, или скальпель;
- флаконы стеклянные по
ГОСТ 25336 с притертой пробкой вместимостью 200 см
3;
- пипетки стеклянные градуированные выдувные по
ГОСТ 29230 вместимостью 1, 5 и 10 см
3;
- пипетки Пастера;
- стекла покровные для микропрепаратов по
ГОСТ 6672;
- стекла предметные для микропрепаратов по
ГОСТ 9284;
- штатив для пробирок.
6.1.2 Указанные в
6.1.1 животные должны быть ранее не иммунизированными вакцинами против дерматофитозов животных, не болевшими трихофитозом и не имеющими признаков заболевания к моменту испытания.
6.1.3 Допускается применение другого средства измерения с метрологическими характеристиками, а также аппаратуры, материалов, реактивов и посуды по качеству не ниже указанных.
6.2 Определение внешнего вида
Для определения внешнего вида все флаконы с вакциной просматривают визуально. Наличие механической примеси и других посторонних включений проверяют в ресуспензированной вакцине. Флаконы с ресуспензированной вакциной встряхивают и просматривают в проходящем свете. Одновременно проверяют прочность укупорки, целостность флаконов и правильность маркировки.
6.3 Определение времени ресуспензирования
6.3.1 Проведение испытания
Для определения времени ресуспензирования в три флакона с лиофилизированной вакциной вносят дистиллированную воду или 0,9%-ный изотонический раствор натрия хлорида, или разбавитель для вакцин против дерматофитозов животных в объеме, соответствующем объему вакцины до лиофилизации. Флаконы встряхивают и определяют время ресуспензирования вакцины с помощью наручных часов или секундомера по ГОСТ 10733.
6.3.2 Обработка результатов
Содержимое флаконов должно ресуспензироваться в течение 2 - 4 мин с образованием гомогенной взвеси.
6.4 Определение массовой доли влаги
6.5 Определение наличия контаминации посторонней микробной и грибной микрофлорой
Определение наличия контаминации вакцины проводят по
ГОСТ 28085.
6.6 Определение общей концентрации микроконидий
6.6.1 Проведение испытания
Общую концентрацию микроконидий определяют в трех флаконах с вакциной путем их подсчета в камере Горяева. Вакцину разводят стерильно из расчета одна доза в 5,0 см3 разбавителя. После тщательного перемешивания вакцину набирают пипеткой Пастера и заполняют обе сетки камеры Горяева. Подсчет проводят в пяти больших квадратах каждой сетки камеры: четырех угловых и центральном. Если между значениями, полученными в обеих сетках, наблюдают разницу более чем 30 микроконидий, то вновь заполняют камеру и проводят повторный подсчет числа микроконидий. При подсчете микроконидий фрагменты мицелия не учитывают.
6.6.2 Обработка результатов
Общую концентрацию микроконидий в разведенной вакцине X, млн/см3, рассчитывают по формуле

(1)
где

- среднеарифметическое число микроконидий по двум сеткам камеры Горяева, шт.;
0,02 - объем заполнения камеры Горяева, мм3;
103 - пересчет объема вакцины на 1 см3;
5 - постоянный коэффициент, учитывающий степень разведения вакцины.
За окончательный результат принимают среднеарифметическое значение по трем флаконам.
6.7 Определение концентрации жизнеспособных микроконидий
6.7.1 Проведение испытаний
Концентрацию жизнеспособных микроконидий определяют в трех флаконах с вакциной, подготовленной по
6.6.1.
Испытания проводят через 30 - 60 мин после ресуспензирования. На каждый флакон берут пять пробирок, в каждую из которых бюреткой или пипеткой вносят по 4,5 см3 разбавителя. Содержимое флакона с ресуспензированной вакциной тщательно перемешивают встряхиванием, затем новой пипеткой отбирают 0,5 см3 ресуспензированной вакцины, переносят в первую пробирку и перемешивают, затем из первой пробирки берут 0,5 см3 полученной взвеси и переносят во вторую пробирку и т.д., то есть готовят ряд последовательных разведений от 10-1 до 10-5. Из пятой пробирки пипеткой отбирают 1,0 см3 взвеси и засевают в две чашки Петри по 0,5 см3 в каждую. Посев из каждого флакона делают в трех повторностях, то есть по шесть чашек Петри на каждый флакон. Легким покачиванием чашек засеянную вакцину распределяют равномерно по поверхности питательной среды. Засеянные чашки помещают в термостат при температуре (26 +/- 1) °C. Число выросших колоний подсчитывают на 7 - 12 сут.
6.7.2 Обработка результатов
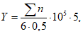
Концентрацию жизнеспособных микроконидий в разведенной вакцине Y, млн/см3, рассчитывают по формуле

(2)
где

- число колоний, выросших в шести чашках, шт.;
6 - число засеянных чашек;
0,5 - объем засеваемой суспензии, см3;
105 - степень разведения вакцины;
5 - пересчет на одну иммунизирующую дозу, равную 1 см3.
За окончательный результат принимают среднеарифметическое значение по трем флаконам.
К концу срока годности допускается снижение концентрации жизнеспособных микроконидий до 10 млн/см3, что соответствует минимальной иммунизирующей дозе вакцины.
6.8 Определение безвредности
6.8.1 Общие принципы испытания безвредности - по
ГОСТ 31926.
6.8.2 Подготовка к испытанию
Для проведения испытания вакцину разводят до рабочего разведения из расчета одна доза вакцины в 1 см3 разбавителя. Готовят объединенную пробу вакцины из трех флаконов, отбирая из каждого равные объемы вакцины.
6.8.3 Проведение испытания
Вакцину из объединенной пробы вводят подкожно в область спины 10 белым мышам в дозе 0,1 см3 или шести морским свинкам внутримышечно с наружной стороны бедра в дозе 0,5 см3, или трем кроликам внутримышечно с наружной стороны бедра в дозе 1,0 см3. Наблюдают за животными в течение 10 суток.
6.8.4 Обработка результатов
Вакцину считают безвредной, если все животные остаются живыми и клинически здоровыми в течение срока наблюдения.
6.9 Определение иммуногенной активности
6.9.1 Подготовка к испытанию
Вакцину ресуспензируют 0,9%-ным раствором натрия хлорида изотонического или стерильным разбавителем для вакцин против дерматофитозов животных из расчета одна доза вакцины в 1,0 см3 разбавителя.
6.9.2 Проведение испытаний
Проверку иммуногенной активности проводят один раз в шесть месяцев на морских свинках или телятах.
6.9.2.1 Проверка иммуногенной активности на морских свинках
Вакцину вводят 10 морским свинкам внутримышечно с наружной стороны бедра в объеме 0,1 см3 (шерсть на месте инъекции не выстригают, а обрабатывают 70°-ным этанолом). Через 10 - 14 сут инъекцию повторяют в той же дозе в бедренные мышцы другой конечности. Через 20 - 30 сут после второй инъекции 10 опытных (иммунизированных) и 10 контрольных (неиммунизированных) животных заражают гомогенизированной вирулентной культурой контрольного штамма T. verrucosum 153 накожно в пояснично-крестцовую область. Шерсть на месте аппликации культуры предварительно выстригают на площади 3 x 3 см и кожу скарифицируют металлической щеткой или наждачной бумагой, или скальпелем. Заражающая доза культуры - 5 x 106 микроконидий. Срок наблюдения за опытными животными - 20 - 25 сут.
6.9.2.2 Проверка иммуногенной активности на телятах
Вакцину вводят дважды пяти телятам внутримышечно в область ягодичных мышц в профилактической дозе 1,0 см3 с интервалом 10 - 14 сут. У телят через 10 - 14 сут после второй инъекции на месте введения вакцины на поверхности кожи должна образоваться специфическая локализованная корочка. Спустя 1 мес после второй инъекции пять опытных (иммунизированных) и двух контрольных (неиммунизированных) телят заражают гомогенизированной вирулентной культурой контрольного штамма T. verrucosum 153, выращенной в течение 20 - 30 сут, путем втирания в предварительно выстриженный и скарифицированный участок кожи площадью 5 x 5 см в дозе 5 x 106 млн микроконидий. Наблюдение за животными ведут в течение 30 - 35 сут.
6.9.3 Обработка результатов
Вакцину считают выдержавшей испытания, если после заражения из 10 иммунизированных морских свинок восемь не заболели трихофитозом, при условии заболевания всех контрольных животных; из пяти иммунизированных телят не должны заболеть четыре при условии заболевания всех неиммунизированных животных. Клиника заболевания должна быть подтверждена лабораторным исследованием патологического материала из экспериментального очага: микроскопия и выделение субкультуры гриба Trichophyton verrucosum. Субкультуру выделенного гриба Trichophyton verrucosum высевают уколом на сусло-агар в чашках Петри параллельно с контрольным штаммом T. verrucosum 153, который был использован для заражения, в целях подтверждения их идентичности.
7. Транспортирование и хранение
7.1 Вакцину транспортируют всеми видами транспорта в соответствии с
ГОСТ 17768.
7.2 Вакцину хранят в сухом темном месте при температуре от 2 °C до 8 °C в пределах срока годности.
7.3 Срок годности вакцины 18 мес с даты выпуска. Датой выпуска вакцины считают дату подписания документа о качестве. Датой изготовления вакцины считают дату фасования.