Главная // Актуальные документы // ГОСТ (Государственный стандарт)СПРАВКА
Источник публикации
М.: Стандартинформ, 2015
Примечание к документу
Текст данного документа приведен с учетом
поправки, опубликованной в "ИУС", N 6, 2021.
Документ
введен в действие с 1 января 2016 года.
Название документа
"ГОСТ 24849-2014. Межгосударственный стандарт. Вода. Методы санитарно-бактериологического анализа для полевых условий"
(введен в действие Приказом Росстандарта от 11.11.2014 N 1537-ст)
"ГОСТ 24849-2014. Межгосударственный стандарт. Вода. Методы санитарно-бактериологического анализа для полевых условий"
(введен в действие Приказом Росстандарта от 11.11.2014 N 1537-ст)
агентства по техническому
регулированию и метрологии
от 11 ноября 2014 г. N 1537-ст
МЕЖГОСУДАРСТВЕННЫЙ СТАНДАРТ
ВОДА
МЕТОДЫ САНИТАРНО-БАКТЕРИОЛОГИЧЕСКОГО АНАЛИЗА
ДЛЯ ПОЛЕВЫХ УСЛОВИЙ
Water. Methods of sanitary-bacteriological analysis
for field conditions
ГОСТ 24849-2014
Дата введения
1 января 2016 года
Цели, основные принципы и порядок проведения работ по межгосударственной стандартизации установлены
ГОСТ 1.0-92 "Межгосударственная система стандартизации. Основные положения" и
ГОСТ 1.2-2009 "Межгосударственная система стандартизации. Стандарты межгосударственные, правила и рекомендации по межгосударственной стандартизации. Правила разработки, принятия, применения, обновления и отмены".
1. Подготовлен Обществом с ограниченной ответственностью "Протектор" совместно с Федеральным государственным бюджетным учреждением "Научно-исследовательский институт экологии человека и гигиены окружающей среды им. А.Н. Сысина" Министерства здравоохранения Российской Федерации и Федеральным бюджетным учреждением науки "Ростовский научно-исследовательский институт микробиологии и паразитологии" Роспотребнадзора.
2. Внесен Федеральным агентством по техническому регулированию и метрологии, Техническим комитетом по стандартизации ТК 343 "Качество воды".
3. Принят Межгосударственным советом по стандартизации, метрологии и сертификации (Протокол от 20 октября 2014 г. N 71 П).
За принятие проголосовали:
Краткое наименование страны по МК (ИСО 3166) 004-97 | Код страны по МК (ИСО 3166) 004-97 | Сокращенное наименование национального органа по стандартизации |
Армения | AM | Минэкономики Республики Армения |
Беларусь | BY | Госстандарт Республики Беларусь |
Киргизия | KG | Кыргызстандарт |
Россия | RU | Росстандарт |
| | ИС МЕГАНОРМ: примечание. В официальном тексте документа, видимо, допущена опечатка: Приказ Федерального агентства по техническому регулированию и метрологии от 11 ноября 2014 г. имеет номер 1537-ст, а не 1537. | |
4.
Приказом Федерального агентства по техническому регулированию и метрологии от 11 ноября 2014 г. N 1537 межгосударственный стандарт ГОСТ 24849-2014 введен в действие в качестве национального стандарта Российской Федерации с 1 января 2016 г.
Информация об изменениях к настоящему стандарту публикуется в ежегодном информационном указателе "Национальные стандарты", а текст изменений и поправок - в ежемесячном информационном указателе "Национальные стандарты". В случае пересмотра (замены) или отмены настоящего стандарта соответствующее уведомление будет опубликовано в ежемесячном информационном указателе "Национальные стандарты". Соответствующая информация, уведомление и тексты размещаются также в информационной системе общего пользования - на официальном сайте Федерального агентства по техническому регулированию и метрологии в сети Интернет.
Настоящий стандарт распространяется на воду, используемую для питьевых и хозяйственно-бытовых целей, воду источников водоснабжения и устанавливает методы санитарно-бактериологического анализа, в том числе ускоренные и сигнальные, по определению содержания колиформных бактерий, бактерий Escherichia coli (далее - E. coli), бактерий энтерококков и общего числа микроорганизмов (ОМЧ), проводимые в полевых условиях, когда доставка проб воды в стационарную лабораторию невозможна в течение 6 ч после отбора.
Санитарно-бактериологический анализ воды в полевых условиях проводят в передвижной лаборатории или с использованием комплекта оборудования переносной лаборатории. Выбор метода анализа устанавливают в зависимости от цели анализа и оснащенности лаборатории.
Методы настоящего стандарта не применяют для проведения производственного контроля воды централизованных систем питьевого водоснабжения.
Примечание. Персонал, использующий настоящий стандарт, должен иметь подготовку по отбору проб и проведению бактериологических методов исследования воды различного назначения.
В настоящем стандарте использованы нормативные ссылки на следующие межгосударственные стандарты:
ГОСТ OIML R 76-1-2011 Государственная система обеспечения единства измерений. Весы неавтоматического действия. Часть 1. Метрологические и технические требования. Испытания
ГОСТ 171-81 Дрожжи хлебопекарные прессованные. Технические условия <*>
--------------------------------
<*> В Российской Федерации применяют также
ГОСТ Р 54731-2011 "Дрожжи хлебопекарные прессованные. Технические условия".
ГОСТ 857-95 Кислота соляная синтетическая техническая. Технические условия
ГОСТ 975-88 Глюкоза кристаллическая гидратная. Технические условия
ГОСТ 1770-74 (ISO 1042-83, ISO 4788-80) Посуда мерная лабораторная стеклянная. Цилиндры, мензурки, колбы, пробирки. Общие технические условия
ГОСТ 1820-2001 Спички. Технические условия
ГОСТ 2761-84 Источники централизованного хозяйственно-питьевого водоснабжения. Гигиенические, технические требования и правила выбора
ГОСТ 4198-75 Реактивы. Калий фосфорнокислый однозамещенный. Технические условия
ГОСТ 4209-77 Реактивы. Магний хлористый 6-водный. Технические условия
ГОСТ 4233-77 Реактивы. Натрий хлористый. Технические условия
ГОСТ 5556-81 Вата медицинская гигроскопическая. Технические условия
ГОСТ 6552-80 Реактивы. Кислота ортофосфорная. Технические условия
ГОСТ 12026-76 Бумага фильтровальная лабораторная. Технические условия
ГОСТ 13805-76 Пептон сухой ферментативный для бактериологических целей. Технические условия
ГОСТ 18300-87 Спирт этиловый ректификованный технический. Технические условия
ГОСТ 21241-89 Пинцеты медицинские. Общие технические требования и методы испытаний
ГОСТ 23932-90 Посуда и оборудование лабораторные стеклянные. Общие технические условия
ГОСТ 25336-82 Посуда и оборудование лабораторные стеклянные. Типы, основные параметры и размеры
ГОСТ 25706-83 Лупы. Типы, основные параметры. Общие технические требования
ГОСТ 27068-86 Реактивы. Натрий серноватистокислый (натрия тиосульфат) 5-водный. Технические условия
ГОСТ 29227-91 (ISO 835-1-81) Посуда лабораторная стеклянная. Пипетки градуированные. Часть 1. Общие требования
ГОСТ 31942-2012 (ISO 19458:2006) Вода. Отбор проб для микробиологического анализа
ГОСТ 31955.1-2013 (ISO 9308-1:2000) Вода питьевая. Обнаружение и количественный учет Escherichia coli и колиформных бактерий. Часть 1. Метод мембранной фильтрации.
Примечание. При пользовании настоящим стандартом целесообразно проверить действие ссылочных стандартов в информационной системе общего пользования - на официальном сайте Федерального агентства по техническому регулированию и метрологии в сети Интернет или по ежегодному информационному указателю "Национальные стандарты", который опубликован по состоянию на 1 января текущего года, и по выпускам ежемесячного информационного указателя "Национальные стандарты" за текущий год. Если ссылочный стандарт заменен (изменен), то при пользовании настоящим стандартом следует руководствоваться заменяющим (измененным) стандартом. Если ссылочный стандарт отменен без замены, то положение, в котором дана ссылка на него, применяется в части, не затрагивающей эту ссылку.
3. Термины, определения и сокращения
В настоящем стандарте применены термины по
ГОСТ 30813, а также следующие термины с соответствующими определениями:
3.1. Полевые условия: условия проведения санитарно-бактериологического посева и анализа проб воды вне стационарной лаборатории.
3.2. Передвижная лаборатория: средства (мобильного) передвижения и оснащения, предназначенные для проведения санитарно-бактериологического анализа воды в полевых условиях, монтируемые на специально для этого предназначенных передвижных транспортных средствах (железнодорожный подвижной состав, автомобили, суда), функционирующие при автономном режиме энергообеспечения.
3.3. Переносная лаборатория: комплект оборудования для проведения санитарно-бактериологического анализа воды в полевых условиях, который может перенести человек или группа лиц на значительное расстояние или можно перевезти на любом транспортном средстве, не предназначенном специально для этих целей.
3.4. Общее микробное число: число аэробных и факультативно анаэробных гетеротрофных микроорганизмов, использующих для питания органические вещества, обладающих свойством образовывать колонии на питательном агаре, при температуре (36 +/- 2) °C в течение 24 ч, видимые при двукратном увеличении.
3.5. Колиформные бактерии: грамотрицательные, оксидазоотрицательные, не образующие спор палочки, обладающие свойством образовывать колонии в аэробных условиях на селективной дифференциальной лактозной среде с образованием кислоты при температуре (36 +/- 2) °C в течение (24 +/- 3) ч.
3.6. Бактерии семейства Enterobacteriaceae: грамотрицательные, оксидазоотрицательные, лактозоотрицательные бактерии, обладающие свойством образовывать колонии в аэробных условиях на селективной дифференциальной лактозной среде и способные ферментировать глюкозу с образованием кислоты и газа при (36 +/- 2) °C в течение (21 +/- 3) ч.
3.7. Escherichia coli: колиформные бактерии, обладающие свойством ферментировать лактозу при температуре (44,0 +/- 1,0) °C в течение 24 ч с образованием кислоты и газа, а также продуцировать индол из триптофана в течение (21 +/- 3) ч. |
3.8. Энтерококки: грамположительные, каталазоотрицательные, полиморфные, круглые или овальные, с заостренными концами кокки, располагающиеся попарно или в коротких цепочках, обладающие свойством образовывать колонии на питательных средах, содержащих 0,04% азида натрия и 2,3,5-трифенилтетразолиум хлорид (ТТХ), способностью роста на питательной среде, содержащей 6,5% NaCl, и образующие характерные колонии на средах с эскулином.
3.9. Ускоренные методы: методы, позволяющие получить результаты в течение 24 ч.
3.10. Сигнальные методы: методы, позволяющие получить результаты только на основе качественной оценки.
3.11. Сливной рост: рост одной или нескольких колоний подвижных бактерий, распространившийся на всю поверхность питательной среды и не позволяющий точно подсчитать общее количество выросших колоний.
В настоящем стандарте применены следующие сокращения:
ОМЧ - общее число микроорганизмов;
КОЕ - колонии образующие единицы;
СИБ - система индикаторная бумажная;
ТСА - триптон-соевый агар неселективный;
ТЖА - триптон-желчный агар.
4.1. Общие требования к отбору проб - по
ГОСТ 31861.
4.2. Пробы воды для санитарно-бактериологического анализа отбирают в соответствии с требованиями
ГОСТ 31942 с учетом объемов, необходимых для проведения последующего анализа, но не менее 500 см
3.
4.3. Если проба воды не может быть исследована в течение 2 ч после отбора, допускается хранить ее в чистых продезинфицированных контейнерах не более 6 ч до начала испытаний при температуре от 2 °C до 8 °C, предохраняя от замерзания, действия прямых солнечных лучей и перегрева.
4.4. Если пробы воды отбирают после обеззараживания, нейтрализацию остаточного количества дезинфектанта проводят по
ГОСТ 31942.
4.5. Документирование процедуры отбора проб отражают в акте отбора проб с указанием всех сведений, приведенных в
ГОСТ 31942. При отборе проб воды из источников водоснабжения в акте дополнительно указывают погодные условия и температуру воды.
5. Средства измерений, оборудование, расходные материалы,
реактивы, питательные среды
5.1. Средства комплектования передвижной лаборатории
Весы неавтоматического действия по
ГОСТ OIML R 76-1 с пределами допускаемой абсолютной погрешности взвешивания +/- 0,001 г.
Весы лабораторные механические (аптечные равноплечные) с пределами допускаемой погрешности при полной нагрузке +/- 10 мг.
Весы лабораторные механические (аптечные равноплечные) с пределами допускаемой погрешности при полной нагрузке +/- 50 мг.
PH-метр, обеспечивающий измерение водородного показателя pH с пределами допускаемой абсолютной погрешности +/- 0,1 единиц pH#.
Автоматические дозаторы бактериологические или пипетки однократного или многоразового применения 1-1-2-1, 1-1-2-10 по
ГОСТ 29227.
Стерилизатор паровой с режимом стерилизации от (105 + 3) °C до (134 + 3) °C при рабочем давлении от 19 до 230 кПа#.
Стерилизатор суховоздушный, обеспечивающий поддержание температуры 200 °C, с пределами абсолютной допускаемой погрешности +/- 3 °C#.
Термостат для инкубации посевов, обеспечивающий поддержание температуры 36 °C, с пределами абсолютной допускаемой погрешности измерения температуры +/- 2 °C.
Термостат для инкубации посевов, обеспечивающий поддержание температуры 44 °C, с пределами абсолютной допускаемой погрешности измерения температуры +/- 1 °C.
Холодильник портативный, например автомобильный, поддерживающий температуру от 1 °C до 10 °C, или термоконтейнер с емкостями (например, для льда).
Аппарат для мембранной фильтрации под вакуумом с диаметром фильтрующей поверхности 37 или 47 мм.
Примечание. Допускается использовать одноразовые стерильные фильтровальные аппараты.
Устройство электрическое или ручное для создания разрежения.
Фильтры мембранные со средним диаметром пор 0,45 мкм и диаметром диска 35 - 37 мм или 45 - 47 мм, стерильные от производителя или простерилизованные и упакованные в лаборатории.
Емкости из нержавеющей стали или эмалированные с крышкой для стерилизации мембранных фильтров методом кипячения#.
Лампа ультрафиолетовая с длиной волны 254 нм.
Примечание. При работе с ультрафиолетовой лампой используют защитные очки и перчатки, т.к. ультрафиолетовое облучение вызывает раздражение глаз и кожи.
Лампа бактерицидная.
Устройство нагревательное для расплавления питательного агара и приготовления питательных сред из сухих препаратов#.
Лабораторный пистолет для фламбирования.
Зажигалки или спички по ГОСТ 1820.
Емкости для отбора проб однократного или многократного применения вместимостью 500 см
3 и другое оборудование, необходимое для отбора проб воды, приведенное в
ГОСТ 31942.
Пробирки бактериологические одноразового или многоразового использования по
ГОСТ 25336.
Штативы для пробирок.
Чашки (Петри) бактериологические одноразовые или стеклянные многократного применения по
ГОСТ 23932.
Посуда мерная лабораторная стеклянная 2-го класса точности вместимостью 500 и 1000 см
3 по
ГОСТ 1770.
Пробки силиконовые, выдерживающие стерилизацию сухим жаром#. Силиконовые колпачки многоразового использования.
Спиртовки стеклянные или металлические с подставкой по
ГОСТ 25336.
Петли бактериологические.
Палочки стеклянные.
Ножницы.
Емкости стеклянные или эмалированные для приготовления сред#.
Вата хлопчатобумажная гигроскопическая медицинская по
ГОСТ 5556.
Фломастер-маркер для маркировки посуды.
Контейнеры для хранения стерильной посуды.
Герметичные контейнеры или мешки для сбора и хранения отработанного материала.
Средства защиты (очки для защиты глаз от УФ-излучения, латексные перчатки, маски и шапочки одноразового использования).
Средство дезинфекционное, допущенное к применению в установленном порядке.
Бриллиантовый зеленый (C29H37N2O4), с массовой долей основного вещества - не менее 98%.
Калий фосфорнокислый однозамещенный по
ГОСТ 4198.
Бромтимоловый синий (C27H28Br2O5S), с массовой долей основного вещества - не менее 98%#.
Натрия азид.
Кислота соляная синтетическая техническая по
ГОСТ 857.
Спирт этиловый ректификованный 96%-ный по
ГОСТ 18300.
Жидкость горючая для спиртовок (например, спирт этиловый технический по
ГОСТ 17299).
Агар микробиологический питательный по
ГОСТ 17206 (сухой препарат или агар, приготовленный в стационарной лаборатории по
Приложению А и разлитый в емкости или пробирки).
Полоски индикаторные бумажные для измерения pH#.
Системы индикаторные бумажные для проведения оксидазного теста (диски или полоски).
Реактив для индольного теста.
Реактив Ковача.
Полоски реактивные бумажные для определения индола.
L-триптофан (C11H12N2O2), с массовой долей основного вещества - не менее 98%#.
2,3,5-Трифенилтетразолиум хлорид (ТТХ), с массовой долей основного вещества - не менее 99,5%#.
Гептадецилсульфат натрия (тергитол 7), с массовой долей основного вещества - не менее 98%#.
| | ИС МЕГАНОРМ: примечание. Текст дан в соответствии с официальным текстом документа. | |
Тетраметил-п-фенилендиамин гидрохлорид (CH3)2NC6H4N(CH3)2·2H2Cl или диметил-п-фенилендиамин дигидрохлорид (C8H12N2·2HCl), с массовой долей основного вещества - не менее 99%.

-нафтол (C
10H
7OH) для приготовления оксидазного реактива при использовании диметил-п-фенилендиамин дигидрохлорида, с массовой долей основного вещества - не менее 98%.
Пара-диметиламинобензальдегид ((CH3)2NC6H4CHO), с массовой долей основного вещества - не менее 99,2%.
Экстракт дрожжевой, сухой или приготовленный из хлебопекарных прессованных дрожжей по
ГОСТ 171.
Среда Эндо (сухой препарат)# или приготовленная по
Приложению А или другая селективная дифференциальная лактозная среда (например, среда с тергитолом 7 по
ГОСТ 31955.1-2013 или приготовленная по
Приложению А).
Сухой препарат с индикатором ВР и глюкозой# или полужидкая среда, приготовленная по
Приложению А, или готовые к использованию тест-системы, например СИБ-глюкоза.
Сухой препарат с индикатором ВР и лактозой# или полужидкая среда с лактозой и триптофаном, приготовленная по
Приложению А, или готовые к использованию тест-системы, например СИБ-лактоза.
Энтерококкагар (сухой препарат) или приготовленный по
Приложению А или другая азидная среда с ТТХ (например, азидная среда Сланеца-Бертли по
Приложению А).
Пептон сухой ферментативный для бактериологических целей по
ГОСТ 13805#.
Триптон - желчный агар (ТЖА).
Триптон - соевый агар неселективный (ТСА).
Готовые питательные среды для определения колиформных бактерий, E. coli, энтерококков и ОМЧ сигнальными методами, поставляемые на коммерческой основе и снабженные сертификатом, выданным в установленном порядке.
Примечания
1. Допускается использовать оборудование, расходные материалы, реактивы, питательные среды, диагностические препараты и системы идентификации с аналогичными характеристиками, разрешенные к применению для этих целей в установленном порядке.
2. Комплект средств лаборатории формируется исследователем из приведенного перечня в зависимости от выбранного метода анализа.
3. Комплектование передвижной лаборатории определяется продолжительностью работы в полевых условиях:
- передвижная лаборатория должна обеспечивать проведение анализа воды в интервале времени, который укладывается в установленные сроки хранения питательных сред, реактивов, стерильной посуды;
- если предусмотрена продолжительность работы лаборатории в течение длительного времени, превышающего установленные сроки хранения готовых питательных сред и стерильности лабораторной посуды, необходимых для выполнения анализа, в комплект лаборатории включают дополнительно сухие питательные среды, реактивы, материалы, оборудование для приготовления питательных сред и стерилизации, отмеченные в перечне комплектования знаком "#".
4. Помещение передвижной оратории, в котором проводят посев воды, должно быть оборудовано бактерицидными лампами для соблюдения правил асептики, а также средствами для утилизации и обеззараживания отработанного материала в соответствии с установленными требованиями безопасности проведения работ.
5. При отсутствии автоклава или условий для кипячения отработанного материала лаборатория комплектуется специальными герметичными контейнерами или мешками для сбора и доставки отработанного материала в стационарную лабораторию с целью его последующей инактивации.
6. В случае возникновения нештатных ситуаций обеззараживание отработанного материала проводят с помощью дезинфекционных средств в концентрациях, эффективных по отношению к патогенным микроорганизмам семейства Enterobacteriaceae и разрешенных к использованию в установленном порядке.
5.2. Средства комплектования переносной лаборатории
Дозаторы автоматические или пипетки стерильные одноразового применения объемом 1 и 10 см3.
Переносной термостат для инкубации посевов проб воды, обеспечивающий поддержание температуры 36 °C. В зависимости от энергообеспечения, имеющегося на месте выполнения анализа, допускается использовать термоконтейнеры с нагревающими элементами.
Установка для мембранной фильтрации с отметкой объема воды 100 см3 для фильтрования под вакуумом с диаметром фильтрующей поверхности 35 - 37 или 47 - 50 мм и с приспособлением для создания разрежения (например, ручной вакуумный насос; шприцевые фильтрующие насадки, позволяющие фильтровать до 2 дм3 воды, и т.п.).
Фильтры мембранные со средним диаметром пор 0,45 мкм и диаметром фильтрующей поверхности 35 - 37 мм или 47 - 50 мм стерильные от производителя или подготовленные и простерилизованные в стационарной лаборатории.
Бумага фильтровальная по
ГОСТ 12026 стерильная, нарезанная кружочками диаметром немного большим, чем мембранный фильтр, упакованная в стерильную емкость или плотный пакет.
Пробирки бактериологические стерильные одноразового или многоразового применения.
Спиртовки стеклянные или металлические с подставкой по
ГОСТ 25336.
Штатив для пробирок.
Лабораторный пистолет или другое оборудование для фламбирования.
Петля бактериологическая.
Вата хлопчатобумажная гигроскопическая медицинская по
ГОСТ 5556.
Емкости для отбора проб многоразового или одноразового использования вместимостью 500 см
3 и другое оборудование, необходимое для отбора проб воды, приведенное в
ГОСТ 31942.
Чашки Петри одноразового применения.
Питательный агар, приготовленный по
Приложению А в стационарной лаборатории, разлитый в емкости (например, пробирки), удобные для быстрого расплавления агара.
Чашки Петри с готовыми дифференциально-диагностическими и селективными питательными средами для определения колиформных бактерий и энтерококков, приготовленные в стационарной лаборатории
(Приложение А) и помещенные в пенал или специальные пакеты.
Готовые питательные среды для определения колиформных бактерий, E. coli, энтерококков сигнальными методами, поставляемые на коммерческой основе и снабженные сертификатом, выданным в установленном порядке.
Пробирки с полужидкой средой с индикатором ВР и глюкозой или готовые тест-системы.
Реактивы для оксидазного теста: при работе с тетраметил-п-фенилендиамин гидрохлоридом - сухой препарат, при работе с диметил-п-фенилендиамин дигидрохлоридом - 1%-ные растворы, приготовленные по
Приложению А, или готовые бумажные индикаторные системы, заменяющие фильтровальную бумагу и реактивы для оксидазного теста.
Реактив Ковача или УФ лампа с длиной волны 254 нм.
Вода дистиллированная стерильная.
Примечания
1. Комплектование лаборатории зависит от выбранного метода анализа.
2. Допускается использовать другое оборудование, расходные материалы, реактивы, питательные среды, диагностические препараты и системы идентификации с аналогичными характеристиками, разрешенные к применению для этих целей в установленном порядке.
3. Рекомендуется использовать переносные лаборатории промышленного производства для проведения бактериологического анализа в полевых условиях.
4. Используют только заранее стерилизованную посуду, расходные материалы, заранее приготовленные и разлитые питательные среды в условиях стационарной лаборатории или приобретенные на коммерческой основе, готовые к употреблению и снабженные сертификатом среды.
5. Посевы воды в полевых условиях проводят между пламенем двух спиртовок с целью обеспечения условий асептики.
5.3. Средства комплектования лаборатории для посева проб воды на месте отбора проб с последующей доставкой в стационарную лабораторию
Дозаторы автоматические или пипетки стерильные одноразового применения вместимостью 1 и 10 см3.
Переносной термостат для инкубации посевов, обеспечивающий поддержание температуры 36 °C, или термоконтейнер с нагревающими элементами.
Установка для мембранной фильтрации с отметкой объема воды 100 см3 для фильтрования под вакуумом с диаметром фильтрующей поверхности 35 - 37 или 47 - 50 мм и с приспособлением для создания разрежения.
Фильтры мембранные со средним диаметром пор 0,45 мкм и диаметром фильтрующей поверхности 35 - 37 или 47 - 50 мм, стерильные от производителя или подготовленные и простерилизованные в стационарной лаборатории.
Емкости для отбора проб многоразового или одноразового использования вместимостью 500 см
3 и другое оборудование, необходимое для отбора проб воды, приведенное в
ГОСТ 31942.
Чашки Петри одноразового применения.
Лабораторный пистолет для фламбирования.
Вода дистиллированная стерильная.
Жидкость горючая для спиртовки.
Спиртовки стеклянные или металлические с подставкой по
ГОСТ 25336.
Вата хлопчатобумажная гигроскопическая медицинская по
ГОСТ 5556.
Питательный агар, приготовленный по
Приложению А в стационарной лаборатории, разлитый в емкости (например, пробирки), удобные для быстрого расплавления агара.
Чашки Петри с готовыми питательными средами для определения колиформных бактерий и энтерококков, приготовленные в стационарной лаборатории по
Приложению А, помещенные в пенал или специальные пакеты, или готовые питательные подложки для определения ОМЧ, колиформных бактерий, E. coli, или готовые питательные среды в чашках Петри, поставляемые на коммерческой основе и имеющие сертификат, выданный в установленном порядке.
6.1. Подготовка посуды
Для проведения анализа используют стерильную одноразовую посуду (чашки Петри, пипетки, пробирки, мерные емкости, емкости для отбора проб, в том числе с тиосульфатом натрия).
Допускается комплектовать лабораторию стерильной посудой многократного применения, подготовленной в стационарной лаборатории в соответствии с требованиями
ГОСТ 31942. Стерилизованная посуда должна иметь маркировку с указанием даты стерилизации для последующего учета срока хранения.
Емкости для отбора проб питьевой воды, обеззараженной хлорированием или другими окислителями, должны быть стерилизованы с тиосульфатом натрия и соответствующим способом маркированы.
При невозможности комплектования передвижной лаборатории стерильными емкостями для отбора проб и посудой для всего объема анализа допускается проводить в условиях передвижной лаборатории следующие операции:
- мытье, подготовку к стерилизации и стерилизацию лабораторной посуды в суховоздушном стерилизаторе в соответствии с требованиями
ГОСТ 31942;
- обеззараживание отработанного материала, полученного после санитарно-бактериологического анализа, в паровом стерилизаторе при температуре (126 +/- 2) °C, или кипячением в течение 30 мин, или дезинфицирующими средствами в соответствии с инструкцией по их применению.
Сведения о проведении стерилизации и обеззараживания в условиях передвижной лаборатории вносят в журнал испытаний.
6.2. Приготовление питательных сред и реактивов
6.2.1. Приготовление питательных сред и реактивов проводят в стационарной лаборатории или полевых условиях в соответствии с требованиями
ГОСТ 31955.1-2013 и
Приложением А. Питательный агар как основу большинства плотных питательных сред готовят в соответствии с инструкцией производителя (
А.1, Приложение А).
6.2.2. Питательные среды, которые в соответствии с указанием производителя не требуют стерилизации автоклавированием, а также среды с коротким сроком хранения после розлива в чашки Петри, могут быть приготовлены непосредственно перед анализом. Такие среды готовят в эмалированной или стеклянной емкости или емкости из нержавеющей стали. Допускается использовать заранее приготовленные в стационарной лаборатории навески из сухого препарата и соответствующий объем стерильной дистиллированной воды. Навески сухого препарата при хранении должны быть защищены от воздействия влаги и света.
6.2.3. Сведения о приготовлении сред и реактивов в условиях передвижной лаборатории должны быть внесены в журнал испытаний.
Примечания
1. Подготовленные заранее стерильные емкости, питательные среды, лабораторная посуда, реактивы должны храниться в условиях, предусмотренных для каждого средства, среды и реактива с соблюдением условий стерильности и предельных сроков хранения. При этом емкости и пробирки с готовыми средами должны быть закрыты силиконовыми пробками и защищены колпачками из силикона или жароустойчивой бумаги. Чашки Петри с готовыми средами должны быть помещены в специальные пакеты или завернуты в плотную бумагу, защищающую среду от высыхания и воздействия света.
2. При вскрытии упаковок и емкостей, удалении пробок (крышек) непосредственно перед проведением анализа пробка (крышка) и края емкости не должны касаться посторонних поверхностей.
3. Операции по подготовке и проведению анализа выполняют чистыми и продезинфицированными руками (например, после обработки рук 70%-ным этиловым спиртом или дезинфицирующими салфетками для индивидуального пользования) или в стерильных перчатках.
6.3. Подготовка мембранных фильтров
Подготовку мембранных фильтров проводят в соответствии с рекомендациями производителя. Если производитель поставляет нестерильные фильтры, их стерилизуют до начала анализа. Целесообразно стерилизовать мембранные фильтры в условиях стационарной лаборатории. После стерилизации фильтры высушивают в асептических условиях и упаковывают стерильно в чашки Петри или стерильные пакеты. Срок хранения фильтров, стерилизованных в лаборатории, - 10 сут.
Перед началом проведения анализа стерильные сухие фильтры смачивают в стерильной дистиллированной воде, накладывая стерильным пинцетом отдельно каждый фильтр на поверхность воды, налитой в стерильную чашку Петри.
Допускается проводить стерилизацию мембранных фильтров в условиях передвижной лаборатории.
6.4. Подготовка аппарата для фильтрования и фильтрация
Воронку и столик аппарата для фильтрования протирают марлевым (ватным) тампоном, смоченным 96%-ным спиртом ректификованным по
ГОСТ 18300, и фламбируют. После сгорания спирта и охлаждения воронку снимают, а на столик аппарата для фильтрования кладут фламбированным пинцетом стерильный мембранный фильтр и снова присоединяют фильтровальную воронку.
Примечание. При использовании одноразовых стерильных аппаратов для фильтрования указанные выше процедуры по стерилизации фильтровального аппарата не проводят.
В воронку аппарата для фильтрования наливают отмеренный объем воды, затем создают разрежение и отфильтровывают содержимое воронки.
После окончания фильтрования и осушения фильтра отключают вакуум, воронку снимают, фильтр осторожно поднимают за край фламбированным пинцетом и переносят его, не поворачивая, на питательную среду, разлитую в чашки Петри, добиваясь отсутствия пузырьков воздуха между средой и фильтром. Поверхность фильтра с осевшими на ней бактериями должна быть обращена вверх.
При фильтровании 1 см
3 пробы воды в воронку до внесения проб воды добавляют 4 - 5 см
3 стерильного раствора для разведения (
А.2, Приложение А), чтобы обеспечить равномерное распределение бактерий на поверхности фильтра.
При посеве нескольких объемов из одной пробы воды фильтрование проводят через один аппарат для фильтрования без повторной стерилизации фламбированием. В первую очередь фильтруют меньшие, а затем большие объемы воды, используя для каждого объема отдельный фильтр. Перед фильтрованием новой пробы аппарат стерилизуют фламбированием.
7.1. Определение колиформных бактерий и E. coli
7.1.1. Определение колиформных бактерий ускоренным методом с использованием мембранной фильтрации
7.1.1.1. Проведение анализа
При анализе питьевой воды системы централизованного водоснабжения и подземных источников 1-го класса по
ГОСТ 2761 анализируют 300 см
3 воды, пропуская этот объем не менее чем через два мембранных фильтра.
При исследовании питьевой воды нецентрализованного водоснабжения и поверхностных источников водоснабжения анализируют не менее 100 см3 воды, пропуская ее не менее чем через три мембранных фильтра, например пробы воды 1,0, 10 и 100 см3.
При фильтровании воды неизвестного качества целесообразно увеличивать количество фильтруемых объемов для получения изолированных колоний (например, выполняя посев по 1 см3 из 1-го и 2-го десятикратных разведений). При этом объем воды для посева выбран правильно, если на одном-двух мембранных фильтрах выросли изолированные колонии, среди которых не более 30 колоний относятся к числу колиформных бактерий.
Для фильтрования используют стерильные мембранные фильтры, подготовленные по
6.3. Отмеренные объемы воды фильтруют через мембранные фильтры с использованием аппарата для фильтрования и соблюдением процедуры по
6.4.
После фильтрования анализируемой воды мембранные фильтры размещают посевом вверх на одну из селективных дифференциальных питательных сред (например, на фуксин-сульфитную среду Эндо) (
А.3, Приложение А), разлитых в чашки Петри, добиваясь полного прилегания фильтров к среде без пузырьков воздуха. Вместо среды Эндо допускается использовать лактозный агар с тергитолом 7 (
А.4, Приложение А).
Примечание. Лактозный агар с тергитолом 7 допускается использовать только при исследовании воды, в которой фоновая посторонняя водная микрофлора не мешает росту изолированных колоний колиформных бактерий на фильтре.
На одну чашку допускается помещать несколько фильтров с условием, чтобы фильтры не соприкасались. Маркировку профильтрованного объема воды наносят под фильтром с наружной стороны дна чашки Петри.
Чашки с посевами помещают в термостат дном вверх и инкубируют при температуре (36 +/- 2) °C в течение 18 - 24 ч.
7.1.1.2. Учет результатов
После окончания инкубации посевов регистрируют в журнале испытаний отсутствие или наличие на мембранных фильтрах колоний микроорганизмов.
Учитывают в качестве лактозоположительных все выросшие на мембранных фильтрах характерные колонии независимо от их размера:
- на среде Эндо - с темно-красной окраской и металлическим блеском или без него, слизистые с красным центром и отпечатком на оборотной стороне фильтра;
- на среде с тергитолом 7 с желто-оранжевой, кирпично-красной окраской, иногда с ржаво-окрашенным центром, образующим желтую окраску в среде под мембраной
(ГОСТ 31955.1-2013).
Для подтверждения принадлежности колоний к колиформным бактериям проводят оксидазный тест одним из способов, указанных в
Приложении Б, с использованием реактива для оксидазного теста (
А.5, Приложение А). При этом исследованию подлежат только те мембранные фильтры, на которых выросло не более 30 - 50 изолированных характерных колоний.
При использовании способа 3 определения оксидазной активности проводят проверку всех (до 10) колоний или выборочно 3 - 4 колонии разной морфологии.
Если при выборочной проверке колоний каждого типа получают неодинаковые результаты, то число оксидазоотрицательных колоний рассчитывают по
формуле (2), 7.1.1.4.
Выборочную проверку колоний не проводят, если оксидазный тест выполняют по способу 1 или 2. Оксидазную активность одновременно всех колоний на фильтре учитывают через 1 - 4 мин после контакта с реактивом, что исключает субъективную оценку результатов исследования.
Подсчитывают сумму (А) всех колоний лактозоположительных оксидазоотрицательных бактерий, подтвержденных как колиформные бактерии.
Результаты подсчета регистрируют в журнале испытаний.
7.1.1.3. С целью повышения надежности оценки эпидемической безопасности воды при отсутствии роста колиформных бактерий, но наличии роста лактозоотрицательных, оксидазоотрицательных колоний разной морфологии - розовых, розовых с центром подтверждают принадлежность бактерий к семейству Enterobacteriaceae по ферментации глюкозы. Для этого на всех фильтрах подсчитывают число указанных колоний каждого типа отдельно и регистрируют в журнале испытаний. Проводят посев двух-трех колоний каждого типа в бактериологические пробирки на полужидкую среду с индикатором ВР и глюкозой (
А.6, Приложение А).
Пробирки с посевами помещают в термостат и инкубируют при температуре (36,0 +/- 2,0) °C в течение 4 - 5 ч.
По истечении 4 - 5 ч инкубации посевов проводят учет реакции ферментации глюкозы:
- отсутствие в пробирках кислоты и газа подтверждает отсутствие бактерий, принадлежащих к семейству Enterobacteriaceae;
- образование в пробирках кислоты и газа подтверждает принадлежность бактерий к семейству Enterobacteriaceae.
Если при выборочной проверке реакции ферментации глюкозы, проведенной на колониях каждого типа, получены неодинаковые результаты, то число подтвержденных колоний рассчитывают по
формуле (2), 7.1.1.4.
Подсчитывают число колоний лактозоотрицательных, не обладающих оксидазной активностью бактерий и ферментирующих глюкозу с образованием кислоты и газа, что подтверждает их принадлежность к семейству Enterobacteriaceae.
В журнале испытаний регистрируют число бактерий, относящихся к семейству Enterobacteriaceae.
7.1.1.4. Обработка результатов
При отсутствии на мембранных фильтрах колоний микроорганизмов или наличии пленчатых, губчатых с неровными поверхностью и краями, плесневых и других нехарактерных для колиформных бактерий колоний, а также при наличии оксидазной активности у всех колоний (изменение цвета исследуемых колоний) делают вывод о том, что в анализируемой пробе воды колиформные бактерии, а также бактерии семейства Enterobacteriaceae и E. coli отсутствуют.
При регистрации по
7.1.1.2 отсутствия оксидазной активности у лактозоположительных бактерий делают вывод о том, что в пробе анализируемой воды колиформные бактерии присутствуют.
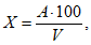
Для получения количественной оценки результата анализа рассчитывают число колоний колиформных бактерий в 100 см3 пробы воды X по формуле

(1)
где A - общее число колоний, подсчитанных на всех фильтрах, которые подтверждены и зарегистрированы как лактозоположительные, оксидазоотрицательные по
7.1.1.2;
V - объем воды, пропущенный через все фильтры, на которых проводился учет числа колоний A, см3.
Если на мембранных фильтрах зарегистрирован рост колоний разного типа (разной морфологии) и при выборочной проверке колоний одного типа получены неодинаковые результаты, то число подтвержденных колоний бактерий этого типа (XT) рассчитывают по формуле:

(2)
где a - общее число колоний одного конкретного типа, по которому проведен учет;
b - число проверенных колоний из общего числа a;
c - число колоний, подтвержденных на принадлежность к конкретному виду микроорганизмов.
При наличии в пробе воды колиформных бактерий результат испытаний выражают числом КОЕ колиформных бактерий в 100 см3 пробы воды.
При отсутствии в пробе воды колиформных бактерий и бактерий E. coli в протоколе испытаний записывают: "Колиформные бактерии и бактерии E. coli в 100 см3 пробы воды не обнаружены".
При необходимости получения количественного результата определения в пробе воды оксидазоотрицательных бактерий, ферментирующих глюкозу до кислоты и газа, для которых по
7.1.1.3 установлена принадлежность к семейству Enterobacteriaceae, расчет проводят по
формуле (1) аналогично определению в пробе воды колиформных бактерий.
7.1.1.5. Оформление результатов
Результаты анализа вносят в протокол испытаний, оформленный в соответствии с требованиями
ГОСТ ИСО/МЭК 17025. Протокол должен содержать:
- ссылку на настоящий стандарт;
- информацию, необходимую для идентификации пробы анализируемой воды;
- определяемый показатель, используемый метод и результаты анализа;
- любые отклонения, которые могли повлиять на результаты анализа.
7.1.2. Определение бактерий E. coli
7.1.2.1. Проведение анализа
Для определения E. coli используют посевы, которые получены на мембранных фильтрах при проведении анализа на определение колиформных бактерий (см.
7.1.1.1 и
7.1.1.2).
Если на мембранном фильтре в течение 24 ч не обнаружен рост колоний или выросли колонии, не характерные для лактозоположительных колиформных бактерий, в журнале испытаний регистрируют сведения об отсутствии E. coli в пробе воды.
При наличии на мембранных фильтрах характерных колоний на среде Эндо или на среде с тергитолом 7 проводят их дальнейшую идентификацию на наличие бактерий E. coli. Все указанные колонии (но не более 15) засевают в бактериологические пробирки с полужидкой средой, с индикатором ВР и лактозой, с добавлением триптофана (
А.7, Приложение А), предварительно нагретой до температуры 43 °C - 44 °C.
В засеянные пробирки под пробку вставляют полоски, пропитанные реактивом (
А.8, Приложение А), для обнаружения продуцирования индола. Пробирки немедленно помещают в термостат и инкубируют при температуре (44 +/- 1) °C в течение 18 - 20 ч.
По истечении срока инкубации посева в журнале испытаний регистрируют результаты ферментации лактозы и наличие или отсутствие индола. Подтверждением наличия E. coli является ферментация лактозы с образованием кислоты и газа и ярко малиновый цвет полоски, пропитанной реактивом, указывающий на наличие индола.
7.1.2.2. Обработка результатов
При необходимости получения количественной оценки результата определения E. coli в анализируемой пробе воды подсчитывают сумму всех подтвержденных по
7.1.2.1 колоний.
Расчет E. coli в пробе воды проводят аналогично расчету колиформных бактерий по
формуле (1), 7.1.1.4.
При обнаружении в пробе воды E. coli результат испытаний выражают числом КОЕ бактерий E. coli в 100 см3 анализируемой пробы воды и вносят в протокол испытаний.
При отсутствии на фильтрах роста характерных колоний на среде Эндо или на среде с тергитолом 7 и отрицательной реакции на ферментацию лактозы и образования индола в протоколе испытаний записывают: "Бактерии E. coli в 100 см3 анализируемой пробы воды не обнаружены".
7.1.2.3. Оформление результатов - по
7.1.1.5.
Примечание. Метод применяют в передвижной лаборатории при наличии термостата, поддерживающего температуру (44 +/- 1) °C.
7.1.3. Определение колиформных бактерий и E. coli ускоренным методом с использованием хромогенных сред
Метод позволяет определить содержание колиформных бактерий и бактерий E. coli в пробе воды в течение 18 - 24 ч без дальнейшей идентификации выросших колоний и без термостата, поддерживающего температуру (44 +/- 1) °C.
Определение колиформных бактерий и бактерий E. coli в пробе анализируемой воды проводят с использованием мембранной фильтрации по
7.1.1.1, применяя в качестве питательной среды вместо среды Эндо или среды с тергитолом 7 и ТТХ одну из хромогенных сред, например хромокульт колиформ агар (
А.9, Приложение А).
Инкубацию посевов проводят при температуре (36 +/- 2) °C.
Хромогенные среды обеспечивают одновременное определение колиформных бактерий и E. coli в одном посеве. Для дифференциации колиформных бактерий и E. coli используют различия указанных видов бактерий по ферментативной активности. Колиформные бактерии имеют фермент

-галактозидазу, а E. coli, помимо этого фермента, обладают ферментом

-глюкуронидазой.
В качестве колиформных бактерий учитывают колонии красного и красно-коричневого цвета с окрашенным ореолом вокруг колонии. В качестве E. coli учитывают колонии бактерий сине-фиолетового цвета.
На среде хромокульт колиформ агаре иные бактерии, за исключением бактерий E. coli, обладающих ферментом

-глюкуронидазой, образуют колонии светло-голубого цвета, которые при подсчете не учитывают.
Обработку результатов проводят по
7.1.1.4.
Оформление результатов проводят по
7.1.1.5.
Примечание. Эффективность метода зависит от качества материала, из которого изготовлены мембранные фильтры (например, предпочтительно использовать мембранные фильтры из нитроцеллюлозы или сложных эфиров ацетатцеллюлозы).
7.1.4. Определение E. coli ускоренным методом с использованием среды с желчью
Для определения E. coli используют две среды - триптон-желчный агар (ТЖА) и триптон-соевый агар (ТСА) (
А.10, Приложение А).
Проводят фильтрование отмеренных объемов воды, установленных по
7.1.1.1, через мембранные фильтры, подготовленные по
6.3 с соблюдением требований
6.4.
После фильтрования отмеренных объемов воды мембранные фильтры с посевами накладывают на среду ТСА и инкубируют в термостате при температуре (36,0 +/- 2,0) °C в течение 4 - 5 ч. Затем фильтры переносят на среду ТЖА. Инкубацию посевов продолжают при температуре (44 +/- 1) °C в течение 19 - 20 ч.
После инкубации посевов регистрируют в журнале испытаний наличие или отсутствие на фильтрах роста колоний. При росте на фильтрах изолированных колоний белого, палевого, кремового цветов мембранный фильтр помещают на фильтровальную бумагу, смоченную реактивом для индольного теста (
А.11, Приложение А), и облучают ультрафиолетовой лампой в течение 10 - 30 мин в зависимости от скорости окрашивания. Все колонии микроорганизмов красного цвета на мембранном фильтре учитывают как колонии E. coli и подсчитывают их число.
Обработку результатов проводят по
7.1.1.4 аналогично обработке результатов по определению колиформных бактерий.
Результат испытаний выражают числом КОЕ бактерий E. coli в 100 см3 анализируемой пробы воды.
При отсутствии роста колоний на фильтрах или наличии отрицательной реакции на образование индола (отсутствие изменения цвета колоний) в протоколе испытаний записывают: "Бактерии E. coli в 100 см3 пробы воды не обнаружены".
Оформление результатов - по
7.1.1.5.
Примечания
1. Использование коммерческого реактива Ковача на водной основе дает более четкие и быстрые результаты без применения ультрафиолетового облучения.
2. Неравномерное распределение колоний микроорганизмов на фильтре или обильный рост сопутствующих микроорганизмов могут мешать идентификации колоний микроорганизмов с положительной реакцией на образование индола из-за диффузии окраски в прилегающие колонии микроорганизмов.
7.1.5. Определение колиформных бактерий и E. coli ускоренными методами с использованием готовых питательных сред на подложке
Для ускоренного определения колиформных бактерий и E. coli применяют готовые питательные подложки, например петрифильмы серии Aqua по методическим
указаниям [1] и другие тест-системы, имеющие сертификат и разрешение на применение.
Примечание. Необходимо перед использованием петрифильмов в полевых условиях проверить сопоставимость результатов в сравнении с методами, применяемыми в стационарной лаборатории. В случае получения достоверных различий по критерию Стьюдента более чем в 80% полученные результаты следует отнести к ориентировочным.
7.1.5.1. Проведение анализа
Подложку с питательной средой готовят к анализу в соответствии с технической документацией производителя и соблюдением правил стерильности.
Для определения колиформных бактерий и E. coli в воде используют мембранную фильтрацию. Пробы воды фильтруют по
6.4. Фильтры стерильным пинцетом накладывают на подложку и помещают в инкубатор или термостат. Посевы инкубируют при температуре 36 °C в течение 18 - 24 ч.
Колиформные бактерии в зависимости от использованной тест-системы определяют по следующим признакам - характерному цвету колоний, изменению цвета среды вокруг колоний. Наличие газообразования под пленкой петрифильма также подтверждает присутствие в пробе воды колиформных бактерий.
Для определения E. coli при использовании петрифильмов одновременно с ростом бактерий учитывают газообразование, что исключает дополнительный этап их идентификации.
Тест-системы, в состав питательных сред которых входит хромогенный субстрат, позволяют выявить специфическую ферментативную активность анализируемых бактерий (глюкуронидазную - для бактерий E. coli,

-галактозидазную - для колиформных бактерий) по характерной окраске их колоний, что позволяет в первичном посеве подсчитать число колоний этих бактерий и получить окончательный ответ через 18 - 24 ч.
Оксидазный тест для выявления колиформных бактерий и E. coli проводят по
Приложению Б.
7.1.5.2. Учет, обработка и оформление результатов - по
7.1.1.4 и
7.1.1.5.
Примечания
1. Готовые тест-системы используют в полевых условиях при необходимости проведения анализа воды с небольшим микробным загрязнением; их использование при работе в полевых условиях существенно сокращает перечень необходимого оборудования при комплектовании лабораторий.
2. Использование тест-систем сокращает продолжительность анализа за счет исключения этапов подготовки посуды и приготовления питательных сред, стерилизации, розлива, разогрева и хранения питательных сред, упрощает процедуру посева, в ряде случаев исключает процесс идентификации бактерий, способствует защите персонала от вредного микробного воздействия и исключает контаминацию помещения, сокращает трудозатраты при утилизации.
7.1.6. Определение колиформных бактерий и бактерий E. coli сигнальным методом
Метод не требует фильтрования воды и наличия в комплекте лаборатории чашек с питательными средами. Метод обеспечивает возможность получения только качественной оценки результатов. Для проведения анализа используют навеску соответствующей среды для определения колиформных бактерий или E. coli в соответствии с прилагаемой инструкцией производителя.
В стерильные емкости наливают 100 см3 исследуемой воды, вносят навеску сухой среды и тщательно перемешивают до полного растворения. Посевы инкубируют в течение 10 - 24 ч при температуре 36 °C.
Примечание. Допускается при отсутствии в комплекте лаборатории термостата инкубировать посевы при температуре 20 °C - 25 °C в течение 48 ч.
После инкубации посевов проводят учет результатов, при этом считают, что:
- колиформные бактерии и E. coli отсутствуют, если цвет среды не изменился или отмечено помутнение без изменения цвета среды;
- бактерии обнаружены, если среда приобрела зелено-голубой цвет во всем объеме или верхнем слое. При перемешивании цвет среды не должен измениться.
Для подтверждения наличия E. coli в емкостях, в которых отмечено изменение цвета среды, вносят 2,5 см
3 реактива Ковача (
А.11, Приложение А). Красное кольцо на поверхности среды подтверждает образование индола, что свидетельствует о наличии E. coli в пробе воды. Наличие E. coli можно подтвердить также по свечению содержимого емкости в УФ-свете при использовании УФ-лампы (при наличии флюорогенного субстрата в составе среды).
Оформление результатов - по
7.1.1.5.
Примечания
1. Представленные методики позволяют в течение 24 ч оценить санитарное состояние водных объектов при использовании минимально необходимого набора лабораторного оборудования, питательных сред и расходных материалов в полевых условиях.
2. Вода в изучаемом объекте, в которой выявлено бактериальное загрязнение с использованием сигнальных методов и результат превышает допустимые нормативы, подлежит дальнейшему анализу по
7.1.1 и
7.1.2 после повторного отбора пробы.
При расследовании нештатных ситуаций эпидемического характера, а также при использовании водоема для питьевого и хозяйственно-бытового водопользования или в качестве поверхностного источника воды для централизованного водоснабжения, помимо определения колиформных бактерий и бактерий E. coli, проводят исследование отобранных проб воды на наличие патогенных энтеробактерий (сальмонелл), используя экспедиционный метод посева в магниевую среду накопления по методическим
указаниям [2]. Для этого все компоненты магниевой среды, в соответствии с прописью
А.12 Приложения А, вносят в две емкости, содержащие по 500 см
3 исследуемой воды. Каждый компонент тщательно перемешивают до полного растворения и инкубируют в течение 24 ч при температуре (36 +/- 2) °C.
После инкубации посевов из емкостей с признаками роста проводят высев на одну из плотных сред: XLD - агар (
А.13, Приложение А) или хромогенную дифференциально-диагностическую среду Рамбах-агар (
А.14, Приложение А) или другую разрешенную к применению среду. Посевы инкубируют в течение 24 ч при температуре (36 +/- 2) °C.
На дифференциально-селективной среде XLD сальмонеллы образуют колонии красного цвета с черным центром за счет образования сероводорода (H2S).
На среде Рамбах-агар сальмонеллы образуют колонии красного цвета. Колиформные бактерии растут в виде сине-зеленых или сине-фиолетовых колоний. Остальные энтеробактерии и грамотрицательные бактерии, такие как Proteus, Pseudomonas, Shigella, вырастают в виде бесцветных или желтоватых колоний.
Дальнейшую идентификацию выросших колоний при необходимости проводят по методическим
указаниям [2] в стационарной лаборатории.
7.2. Определение бактерий энтерококков
7.2.1. Определение бактерий энтерококков с использованием мембранной фильтрации
7.2.1.1. Проведение анализа
Фильтруют 100 см
3 пробы воды через мембранные фильтры с соблюдением требований
6.3 и
6.4. После фильтрования фильтры переносят, не переворачивая, на агаризованную плотную азидную среду Сланеца-Бертли (
А.15, Приложение А) или энтерококкагар (
А.16, Приложение А) и добиваются полного прилегания его к среде без образования пузырьков воздуха. Чашки с посевами помещают в термостат дном вверх и инкубируют при температуре (36 +/- 2) °C в течение 24 ч.
При отсутствии роста колоний инкубацию посевов продолжают до 48 ч.
После инкубации посевов учитывают колонии, характерные для бактерий энтерококков, - выпуклые, с ровными краями, темно-малиновые, розовые, светло-розовые, равномерно окрашенные или с темно-красным нечетко оформленным центром, и подсчитывают их число.
Очень мелкие (на пределе видимости невооруженным глазом), плоские разных оттенков, ярко-малиновые с четко выраженным малиновым центром и бесцветным ободком колонии не учитывают.
Регистрируют число колоний бактерий энтерококков или их отсутствие в журнале испытаний.
7.2.1.2. При необходимости подтверждают наличие бактерий энтерококков одним из способов, указанных ниже.
Для этого по 2 - 3 колонии каждого типа пересевают секторами на солевой агар с ТТХ (
А.17, Приложение А) и инкубируют при температуре (36 +/- 2) °C в течение 24 ч. Бактерии энтерококков на указанной среде дают равномерный нежный рост на протяжении всего штриха. Иные бактерии на этой подтверждающей среде не растут или растут на платформе штриха.
При наличии в комплектации лаборатории термостата, обеспечивающего температуру 44 °C, мембранный фильтр с выросшими колониями стерильным пинцетом, не переворачивая, переносят на поверхность желчь-эскулин-азидного агара (
А.18, Приложение А), предварительно нагретого до 44 °C, и инкубируют в течение 2 ч. В течение этого времени энтерококки гидролизируют эскулин с образованием характерных продуктов, что проявляется окрашиванием типичных для кишечных энтерококков колоний от коричневого до черного цвета.
7.2.1.3. Результаты испытаний обрабатывают по
7.1.1.4 аналогично обработке результатов испытаний при определении колиформных бактерий. Результаты испытаний выражают числом КОЕ бактерий энтерококков в 100 см
3 пробы анализируемой воды.
При отсутствии в пробе анализируемой воды бактерий энтерококков в протоколе записывают: "Бактерии энтерококков в 100 см3 пробы анализируемой воды не обнаружены".
7.2.1.4. Оформление результатов - по
7.1.1.5.
7.2.2. Определение бактерий энтерококков ускоренными методами с использованием готовых питательных сред на подложках
Подготовку подложки перед посевом, фильтрование пробы воды, инкубацию посевов проводят по
7.1.5.1.
Идентификацию бактерий энтерококков среди выросших колоний проводят по морфологии, цвету колоний в соответствии с технической документацией производителя в зависимости от используемой питательной среды.
7.2.3. Определение бактерий энтерококков сигнальным методом
Анализ проводят по
7.1.6, применяя среду для определения бактерий энтерококков в соответствии с прилагаемой инструкцией производителя. Навеску среды вносят в 100 см
3 исследуемой воды и тщательно перемешивают до полного растворения. Посевы инкубируют в течение 18 - 24 ч при температуре 36 °C.
Примечание. Производитель среды допускает возможность инкубировать посевы при температуре 20 °C - 25 °C в течение 48 ч.
После инкубации посевов проводят учет результатов, при этом считают, что:
- бактерии энтерококков отсутствуют, если цвет среды не изменился или отмечено помутнение среды без изменения цвета;
- бактерии энтерококков обнаружены, если среда приобрела цвет, описанный в инструкции производителя во всем объеме или верхнем слое. При перемешивании цвет среды не должен изменяться.
Оформление результатов - по
7.1.1.5.
7.3. Определение общего числа микроорганизмов
7.3.1. Определение ОМЧ методом заливки питательным агаром
7.3.1.1. Проведение анализа
При анализе питьевой воды, прошедшей обеззараживание, или воды подземных источников в каждую из двух чашек Петри вносят по 1 см3 пробы без разведения.
При анализе проб воды нецентрализованного водоснабжения, поверхностного водоема или воды неизвестного уровня микробного загрязнения из каждой пробы делают посев по 1 см3 воды без разведения и по 1 см3 из 1-го и 2-го десятикратных разведений (но не менее двух объемов с разным содержанием исходной анализируемой воды), выбранных с таким расчетом, чтобы на чашках Петри выросло от 20 до 300 колоний. При этом ориентируются на результаты предыдущих исследований и санитарную обстановку в месте отбора пробы.
Разведения готовят с использованием любого из растворов, указанных в
А.2 Приложения А.
Посев воды проводят после тщательного перемешивания пробы. При посеве вносят по 1 см
3 воды из пробы или соответствующих разведений в стерильные чашки Петри, слегка приоткрывая крышку. Сразу же после внесения воды в каждую чашку Петри наливают небольшое количество (5 - 6 см
3 на одну чашку Петри диаметром 90 мм) расплавленного и остуженного до температуры 45 °C - 48 °C питательного агара (
А.1, Приложение А), предварительно фламбируя край емкости, в которой он находился. После внесения агара содержимое чашки Петри быстро перемешивают, равномерно распределяя его по дну чашки, избегая образования пузырьков воздуха, попадания агара на края и крышку чашки, и помещают на горизонтальную поверхность.
Посев и заливку посевов питательным агаром проводят между пламенем двух спиртовок с целью обеспечения условий асептики.
Не допускается применять посев разведений, приготовленных заранее.
После застывания агара чашки Петри с посевами помещают вверх дном в термостат и инкубируют в термостате при температуре (36 +/- 2) °C в течение (24 +/- 4) ч.
После инкубации посевов чашки с посевами извлекают из термостата, подсчитывают число всех выросших на чашках колоний микроорганизмов (N), видимых при двукратном увеличении, и регистрируют в журнале испытаний. Подсчет проводят только на тех чашках, на которых выросло от 20 до 300 колоний.
Результат допускается представлять на основании подсчета колоний на одной чашке, если на другой ползучий рост колоний распространился на всю поверхность чашки или число колоний превышает 300.
Если на всех чашках имеет место рост расплывчатых колоний, который не распространился на всю поверхность чашки, подсчитывают колонии на секторе с изолированным ростом колоний, с последующим пересчетом на всю площадь чашки.
Если на чашке выросло более 300 изолированных колоний и анализ нельзя повторить, подсчитывают колонии на двух секторах, выбранных на участках чашки с максимальным и минимальным ростом, и пересчитывают на всю площадь чашки.
В этих случаях в протоколе испытаний записывают: "Число КОЕ микроорганизмов в 1 см3 пробы воды ориентировочное".
Если подсчет колоний на чашках невозможен за счет сплошного роста изолированных колоний, в журнале испытаний записывают: "Сплошной рост". Если на всех засеянных чашках рост расплывчатых колоний бактерий распространился на всю поверхность чашки, то в журнале испытаний делают запись: "Сливной рост".
Если ни на одной из засеянных чашек не выросло ни одной колонии, в протоколе испытаний записывают: "КОЕ микроорганизмов в 1 см3 пробы воды не обнаружено".
Примечание. Если рост колоний на чашках с посевами через 24 ч не обнаружен, то продолжают инкубацию посевов до 48 ч.
7.3.1.2. Обработка результатов
Число колоний микроорганизмов в 1 см3 анализируемой пробы воды X1 рассчитывают по формуле

(3)
где N - суммарное число колоний, подсчитанных на чашках и зарегистрированных по
7.3.1.1;
V - общий объем исходной анализируемой воды, использованный для посева на чашки Петри, на которых велся учет, в том числе включающий объемы исходной анализируемой воды, использованной при разведении
(7.3.1.1), см
3.
Результат округляют до двух значащих цифр и выражают числом КОЕ микроорганизмов в 1 см3 пробы воды.
7.3.1.3. Оформление результатов - по
7.1.1.5.
7.3.2. Определение ОМЧ ускоренными методами с использованием готовых к употреблению питательных подложек
Подложку с питательной средой готовят к анализу в соответствии с технической документацией производителя и соблюдением правил стерильности.
Для определения ОМЧ анализируемую воду объемом 1 см3 вносят на поверхность подложки (в центр при использовании петрифильма и аккуратно опускают верхнюю пленку). Посевы инкубируют при температуре 36 °C в течение 18 - 24 ч.
Подсчет колоний микроорганизмов на питательной подложке проводят по
7.3.1.1.
Число КОЕ микроорганизмов X
1 в 1 см
3 анализируемой пробы воды рассчитывают по
7.3.1.2.
Оформление результатов - по
7.1.1.5.
8. Проведение посева проб воды на месте отбора проб
с последующей доставкой в стационарную лабораторию
8.1. Проведение посева
Посев проб воды на месте отбора для определения колиформных бактерий, E. coli, энтерококков и ОМЧ проводят по
7.1 -
7.3.
Посевы помещают в переносной термостат или термоконтейнер с температурой внутри камеры не ниже 30 °C и доставляют для дальнейшего анализа в стационарную лабораторию в течение 24 ч.
В стационарной лаборатории посевы переносят в термостат при температуре (36 +/- 2) °C. Через 24 ч инкубации посевов проводят учет выросших колоний. При отсутствии роста колоний общая продолжительность инкубации посевов должна составлять 48 ч.
8.2. Подсчет и идентификацию обнаруженных микроорганизмов в посеве проб воды, учет, обработку и оформление результатов проводят в стационарной лаборатории по методам, установленным в
[2] -
[4].
8.3. Доставка посевов проб воды в стационарную лабораторию должна сопровождаться передачей акта отбора проб воды и документа, включающего информацию о процедуре посева: условия посева (температуру и влажность воздуха), дату и время посева, фамилию, имя и отчество лица, проводившего отбор и посев проб воды.
(обязательное)
ПРИГОТОВЛЕНИЕ СРЕД И РЕАКТИВОВ
А.1. Приготовление питательного агара
Питательный агар готовят в стеклянной емкости из сухого препарата в соответствии с инструкцией производителя.
Емкости с готовым питательным агаром должны быть закрыты силиконовыми или ватными пробками, а сверху защищены колпачками из бумаги, пластика или фольги.
Питательный агар допускается хранить не более 1 мес при температуре не ниже 2 °C и не выше 23 °C.
А.2. Приготовление растворов для разведений
А.2.1. Приготовление солевого (физиологического) раствора
8,5 г хлорида натрия растворяют в 1000 см3 дистиллированной воды. Значение pH раствора должно быть равно 7,0 +/- 0,1. Значение pH раствора контролируют с использованием pH-метра. Раствор разливают в термостойкие стеклянные емкости и стерилизуют при температуре (120 +/- 2) °C в течение 15 мин. После стерилизации при необходимости корректируют pH раствора: значение pH раствора должно быть 7,0 +/-0,1.
Срок хранения раствора при температуре не ниже 2 °C и не выше 23 °C - не более 1 мес.
А.2.2. Приготовление пептонного раствора
1 г пептона растворяют при кипячении в 1000 см3 дистиллированной воды. Значение pH должно быть равно 7,0 +/- 0,1. Значение pH раствора контролируют с использованием pH-метра. Раствор разливают в стеклянные емкости и стерилизуют при температуре (120 +/- 2) °C в течение 20 мин. После стерилизации при необходимости корректируют pH раствора: значение pH раствора должно быть 7,0 +/- 0,1.
Срок хранения раствора при температуре не ниже 2 °C и не выше 23 °C - не более 1 мес.
А.2.3. Приготовление пептонно-солевого раствора
8,5 г хлористого натрия и 1 г пептона растворяют при кипячении в 1000 см3 дистиллированной воды. Значение pH должно быть равно 7,0 +/- 0,1. Значение pH раствора контролируют с использованием pH-метра. Раствор разливают в стеклянные емкости и стерилизуют при температуре (120 +/- 2) °C в течение 20 мин. После стерилизации при необходимости корректируют pH раствора: значение pH раствора должно быть 7,0 +/- 0,1.
Срок хранения раствора при температуре не ниже 2 °C и не выше 23 °C - не более 1 мес.
А.3. Приготовление среды Эндо
Среду Эндо готовят из сухого препарата по способу, указанному производителем.
Приготовленную и охлажденную до температуры 60 °C - 70 °C среду Эндо после тщательного перемешивания разливают в стерильные чашки Петри.
Среда, готовая к употреблению, не должна содержать следов влаги на поверхности.
Срок хранения чашек Петри со средой Эндо в стерильных светоизолирующих упаковках (например, пеналах или обернутыми плотной стерильной бумагой) при температуре 4 °C - 10 °C - не более 7 сут.
А.4. Приготовление среды с тергитолом 7
Приготовление среды с тергитолом 7 проводят по ГОСТ 31955.1 (
В.1, Приложение В) или из готового препарата по способу, указанному производителем. Готовую среду в чашках Петри хранят в защищенном от света месте при (5 +/- 3) °C не более 10 сут.
А.5. Приготовление реактивов для оксидазного теста
Реактивы для оксидазного теста готовят по одному из вариантов:
Вариант 1:
тетраметил-п-фенилендиамин гидрохлорид - 0,1 г;
дистиллированная вода - 10 см3.
Реактив нестабилен и его необходимо готовить непосредственно перед испытаниями и сразу же использовать. Хранить реактив не допускается.
Вариант 2:
1%-ный спиртовой раствор

-нафтола (раствор N 1).
1%-ный водный раствор диметил-п-фенилендиамина дигидрохлорида (раствор N 2).
Срок хранения растворов в емкостях из темного стекла с притертыми пробками составляет: не более 1 мес - раствора N 1; не более 7 сут - раствора N 2.
Перед использованием к 2,5 частям раствора N 1 добавляют 7,5 частей раствора N 2.
Примечания
1. Реактивы являются канцерогенными. Работу по приготовлению реактивов следует выполнять, используя маску и защитные перчатки, избегая контакта реактива с кожей.
2. Для постановки оксидазного теста допускается использовать готовые тест-системы.
А.6. Приготовление полужидкой среды с индикатором ВР и глюкозой
Полужидкую среду с глюкозой по
ГОСТ 975 готовят из сухого препарата в соответствии с инструкцией производителя.
Приготовленную среду разливают в небольшие бактериологические пробирки, закрывают силиконовыми или ватными пробками, обернутыми фольгой, и стерилизуют при температуре 112 °C в течение 10 - 12 мин.
Срок хранения приготовленной полужидкой среды при температуре 22 °C - 25 °C - не более 20 сут.
А.7. Приготовление полужидкой среды с индикатором ВР, лактозой и триптофаном
Полужидкую среду с лактозой готовят из сухого препарата в соответствии с инструкцией производителя.
При приготовлении полужидкой среды с индикатором ВР с лактозой и триптофаном для определения бактерий E. coli в готовую среду перед разливом ее в бактериологические пробирки добавляют 0,05 г триптофана на 100 см3 среды.
Пробирки с приготовленной средой закрывают силиконовыми пробками и стерилизуют при температуре 112 °C в течение 10 - 12 мин.
Срок хранения приготовленной полужидкой среды при температуре 22 °C - 25 °C не более 20 сут.
А.8. Приготовление реактивных полосок для определения образования индола
Из фильтровальной бумаги нарезают полоски такого размера, чтобы полоска подходила для размещения под пробку бактериологической пробирки с готовой полужидкой средой с лактозой и триптофаном (см.
А.7) и не касалась поверхности среды.
Готовят реактив следующим образом: в стерильную стеклянную колбу вместимостью 100 см3 вносят 50 см3 96%-ного этилового спирта, добавляют до растворения 4 г пара-диметиламинобензальдегида, затем прибавляют 50 см3 ортофосфорной кислоты (очищенной концентрированной).
Нарезанные полоски из фильтровальной бумаги на 1/3 их длины опускают в колбу с реактивом и выдерживают не более 1 мин для полного смачивания реактивом указанного участка полоски. Затем полоски высушивают и упаковывают в стерильные емкости из темного стекла с притертой пробкой или плотные пакеты из черной бумаги.
Срок хранения высушенных реактивных полосок в темном месте - не более 40 сут.
Цвет обработанного участка поверхности готовой к применению реактивной полоски должен быть желтым.
Примечание. Чувствительность реактивных полосок увеличится, если этиловый спирт заменить на амиловый или изоамиловый.
А.9. Приготовление хромокульт колиформ агара для ускоренного одновременного определения E. coli и колиформных бактерий в одном посеве
Хромокульт колиформ агар (далее - агар) готовят из сухого препарата в соответствии с инструкцией производителя.
Навеску агара помещают в стеклянную или эмалированную емкость с дистиллированной водой и нагревают на кипящей водяной бане, периодически помешивая, до полного растворения препарата в течение 35 мин. Не допускается автоклавировать и перегревать.
Готовую среду охлаждают до 45 °C - 50 °C и разливают в чашки Петри.
Срок хранения питательной среды при температуре 2 °C - 8 °C в защищенном от света месте - не более 21 сут.
Для предотвращения от высыхания чашки со средой рекомендуется поместить в пластиковые мешки.
Готовая среда должна быть желтоватого цвета.
А.10. Приготовление сред для ускоренного определения E. coli
А.10.1. Приготовление триптон-желчного агара (ТЖА)
Приготовление среды ТЖА проводят по ГОСТ 31955.1 (
В.1, Приложение В) или из готового препарата в соответствии с инструкцией производителя. Приготовленную среду охлаждают до температуры (50 +/- 5) °C и разливают в чашки Петри. Срок хранения - не более 10 сут в защищенном от света месте при температуре (5 +/- 3) °C.
А.10.2. Приготовление неселективного триптон-соевого агара (ТСА)
Приготовление среды ТСА проводят по ГОСТ 31955.1 (
В.1, Приложение В) или из готового препарата в соответствии с инструкцией производителя. Приготовленную среду охлаждают до температуры (50 +/- 5) °C и разливают в чашки Петри. Срок хранения - не более 10 сут в защищенном от света месте при температуре (5 +/- 3) °C.
А.11. Приготовление реактива Ковача для индольного теста для ускоренного определения E. coli
Состав:
пара-диметиламинобензальдегид - 0,5 г;
соляная кислота молярной концентрации 1 моль/дм3 - 100 см3.
Реактив готовят путем растворения пара-диметиламинобензальдегида в соляной кислоте.
Срок хранения реактива: в защищенном от света месте при герметично закрытой капельнице - 1 год; после вскрытия капельницы и частичного использования - 2 мес.
Готовый раствор должен быть светло-желтого цвета; если цвет становится коричневато-желтым, реактив не используют.
А.12. Магниевая среда накопления в экспедиционной модификации
Состав: | |
Магний хлористый кристаллический | 19,5 г |
Натрий хлористый | 4,0 г |
Калий фосфорнокислый однозамещенный безводный | 0,8 г |
10%-ный раствор пептона | 25,0 см3 |
Дрожжевой экстракт: | |
жидкий из пекарских дрожжей | 11,0 см3 |
или сухой препарат | 2,5 г |
Бриллиантовый зеленый 0,1%-ный водный раствор | 2,5 см3. |
Каждый ингредиент (в виде навески или раствора) из указанных выше вносят последовательно в стеклянную емкость, содержащую 500 см3 анализируемой воды, по одному после полного растворения предыдущего.
Допускается использование стерильных емкостей, в которые в условиях стационарной лаборатории внесены сухие ингредиенты и растворы. Среды в емкости допускается хранить в течение 7 сут.
А.13. Приготовление XLD-агара
Среду готовят из сухого препарата в соответствии с инструкцией производителя. Приготовленную и охлажденную до 60 °C - 70 °C среду после тщательного перемешивания разливают в стерильные чашки Петри.
Разлитая среда не должна содержать следов влаги на поверхности.
Срок хранения чашек Петри со средой в стерильных светоизолированных упаковках (например, пеналах или обернутыми плотной стерильной бумагой) при температуре от 4 °C до 10 °C - не более 7 сут.
А.14. Приготовление хромогенной дифференциально-диагностической среды Рамбах-агар для обнаружения сальмонелл
Среду готовят из сухого препарата в соответствии с инструкцией производителя.
Приготовленную и охлажденную до 60 °C - 70 °C среду после тщательного перемешивания разливают в стерильные чашки Петри.
Разлитая среда не должна содержать следов влаги на поверхности.
Срок хранения чашек Петри со средой в стерильных светоизолированных упаковках (например, пеналах или обернутыми плотной стерильной бумагой) при температуре 4 °C - 10 °C - не более 7 сут.
А.15. Приготовление азидной среды Сланеца-Бертли (модификация)
Сухой питательный агар в количестве, указанном производителем, и 4 г однозамещенного фосфорнокислого калия расплавляют при нагревании в 1000 см3 дистиллированной воды. Разливают в термостойкие стеклянные емкости и стерилизуют при температуре (120 +/- 2) °C в течение 20 мин.
Перед применением в расплавленную и слегка остуженную основу среды из расчета на 100 см3 добавляют 2 см3 дрожжевого экстракта или 0,5 г сухого препарата, 1 г глюкозы, 0,04 г азида натрия и 1 см3 1%-ного водного раствора ТТХ. Тщательно перемешивают. Измеряют pH раствора: значение pH должно быть 7,1 (значение pH контролируют с использованием реактивных полосок). Разливают раствор в чашки Петри слоем толщиной 0,5 см. Готовую среду в чашках Петри хранят в защищенном от света месте при (5 +/- 3) °C не более двух недель.
Примечание. Азид натрия - высокотоксичное и мутагенное вещество. При работе с ним должны применяться средства защиты органов дыхания. Среды, содержащие азид натрия, не следует смешивать с сильными кислотами во избежание образования токсичных компонентов.
Растворы, содержащие азид натрия, могут образовывать взрывоопасные компоненты при контакте с металлическими трубопроводами.
А.16. Приготовление энтерококкагара
Энтерококкагар готовят из сухого препарата в соответствии с инструкцией производителя.
При приготовлении энтерококкагара следует обратить внимание на следующие приемы, необходимые для предохранения от разрушения ТТХ при нагревании:
- навеску питательной среды следует предварительно замочить на 30 мин - 1 ч в небольшом объеме дистиллированной воды;
- раствор питательной среды следует довести до кипения и кипятить при постоянном помешивании в течение не более 1 мин до полного расплавления агара, строго соблюдая время кипячения;
- раствор расплавленного агара следует быстро охладить до температуры 45 °C - 50 °C следующим способом: емкость, в которой готовили энтерококкагар, поместить в сосуд с водой температурой 45 °C - 50 °C, постоянно перемешивая питательную среду до охлаждения, затем разлить в стерильные чашки Петри до застывания. Готовую среду в чашках Петри следует хранить в защищенном от света месте при (5 +/- 3) °C не более 14 сут.
А.17. Приготовление солевого агара с ТТХ для подтверждения наличия энтерококков
Сухой питательный агар в количестве, указанном производителем, и 65 г хлорида натрия растворяют при нагревании в 1000 см3 дистиллированной воды, после чего разливают в термостойкие стерильные емкости, указывают объем раствора на емкости и стерилизуют при температуре (120 +/- 2) °C в течение 20 мин.
Перед применением в расплавленную основу среды из расчета на 100 см3 добавляют 1 г глюкозы, 2 см3 дрожжевого экстракта или 0,5 г сухого дрожжевого препарата, 1 см3 водного 1%-ного раствора ТТХ. Тщательно перемешивают и разливают в стерильные чашки Петри. Готовую среду в чашках Петри хранят в защищенном от света месте при (5 +/- 3) °C не более 14 сут.
А.18. Приготовление желчь-эскулин-азидного агара
Приготовление среды проводят из готового препарата в соответствии с инструкцией производителя. После приготовления среду охлаждают, медленно выливают в стерильные чашки Петри слоем 3 - 5 мм и оставляют для остывания на горизонтальной поверхности.
Срок хранения - не более 14 сут в защищенном от света месте при температуре (5 +/- 3) °C.
(обязательное)
ПОСТАНОВКА ОКСИДАЗНОГО ТЕСТА
Для подтверждения наличия в пробе воды колиформных бактерий выполняют оксидазный тест одним из способов:
Способ 1
В качестве реактива для оксидазного теста используют тетраметил-п-фенилендиамин гидрохлорид.
Мембранный фильтр с выросшими на нем колониями
(7.1.1.2) с питательной среды переносят на кружок фильтровальной бумаги большего диаметра, чем фильтр, обильно смоченный реактивом тетраметил-п-фенилендиамин гидрохлоридом для определения оксидазной активности (
А.5, Приложение А). Оксидазный тест считают положительным, если в течение 1 - 4 мин появляется окрашивание колоний в фиолетово-коричневый цвет. В случае необходимости дальнейшей идентификации оксидазоотрицательных бактерий по
7.1.1 настоящего стандарта пересев колоний на подтверждающие среды проводят непосредственно с мембранного фильтра, расположенного на кружке фильтровальной бумаги с реактивом. Время пересева не ограничено.
Способ 2
В качестве реактива для оксидазного теста используют диметил-п-фенилендиамин дигидрохлорид с

-нафтолом.
Допускается использовать готовые к употреблению диски СИБ-оксидаза, соблюдая сроки хранения.
Мембранный фильтр с выросшими на нем колониями
(7.1.1.2) с питательной среды переносят на кружок фильтровальной бумаги несколько большего диаметра, чем фильтр, обильно смоченный реактивом диметил-п-фенилендиамин дигидрохлоридом для определения оксидазной активности (
А.5, Приложение А). Оксидазный тест считают положительным, если появляется окрашивание колоний в синий цвет.
После появления первых признаков положительного теста (окрашивание колоний в синий цвет), но не позднее чем через 4 мин, мембранный фильтр переносят обратно на питательную среду. В случае необходимости дальнейшей идентификации оксидазоотрицательных бактерий по
7.1.1.3 пересев колоний на подтверждающие среды проводят непосредственно с мембранного фильтра, расположенного на питательной среде. Посев целесообразно проводить не сразу после определения оксидазной активности, а после выдерживания на питательной среде свыше 5 мин.
Способ 3
Полоску фильтровальной бумаги помещают в чистую чашку Петри и смачивают 2 - 3 каплями одного из указанных выше реактивов для оксидазного теста. Если используют бумажные индикаторные системы промышленного производства, то их смачивают дистиллированной водой. С мембранных фильтров
(7.1.1) отбирают по 3 - 4 изолированные колонии каждого типа из числа учтенных с использованием платиновой петли или стеклянной палочки (металлическая петля из нихрома дает ложноположительную реакцию при работе с реактивом тетраметил-п-фенилендиамин гидрохлоридом) и наносят их штрихом на подготовленную фильтровальную бумагу. Оксидазный тест считают положительным, если в течение 1 мин появляется окрашивание в сине-фиолетовый цвет. Тест считают отрицательным, если цвет в месте нанесения культуры не изменяется.
При получении нечеткого результата следует пересеять колонии секторами на питательный агар (
А.1, Приложение А) для получения роста изолированных колоний и через 24 ч инкубации посевов провести повторное определение оксидазной активности.
| Методические указания | Методы микробиологического контроля объектов окружающей среды и пищевых продуктов с использованием петрифильмов. М.: Федеральный центр гигиены и эпидемиологии Роспотребнадзора, 2011 |
| Методические указания | Санитарно-микробиологический и санитарно-паразитологический анализ воды поверхностных водных объектов |
[3] | Методические указания | Методы контроля. Биологические и микробиологические факторы. Санитарно-микробиологический анализ питьевой воды. М.: Федеральный центр Госсанэпиднадзора Минздрава России, 2001 |
| Методические рекомендации МР 24 ФЦ/513-2004 | Определение колиформных бактерий и E. coli с использованием хромогенных и флюорогенных индикаторных сред производства Merck (Германия). М.: Федеральный центр Госсанэпиднадзора Минздрава России, 2004. |